Spandidos Publications Logo
  • About
    • About Spandidos
    • Aims and Scopes
    • Abstracting and Indexing
    • Editorial Policies
    • Reprints and Permissions
    • Job Opportunities
    • Terms and Conditions
    • Contact
  • Journals
    • All Journals
    • Oncology Letters
      • Oncology Letters
      • Information for Authors
      • Editorial Policies
      • Editorial Board
      • Aims and Scope
      • Abstracting and Indexing
      • Bibliographic Information
      • Archive
    • International Journal of Oncology
      • International Journal of Oncology
      • Information for Authors
      • Editorial Policies
      • Editorial Board
      • Aims and Scope
      • Abstracting and Indexing
      • Bibliographic Information
      • Archive
    • Molecular and Clinical Oncology
      • Molecular and Clinical Oncology
      • Information for Authors
      • Editorial Policies
      • Editorial Board
      • Aims and Scope
      • Abstracting and Indexing
      • Bibliographic Information
      • Archive
    • Experimental and Therapeutic Medicine
      • Experimental and Therapeutic Medicine
      • Information for Authors
      • Editorial Policies
      • Editorial Board
      • Aims and Scope
      • Abstracting and Indexing
      • Bibliographic Information
      • Archive
    • International Journal of Molecular Medicine
      • International Journal of Molecular Medicine
      • Information for Authors
      • Editorial Policies
      • Editorial Board
      • Aims and Scope
      • Abstracting and Indexing
      • Bibliographic Information
      • Archive
    • Biomedical Reports
      • Biomedical Reports
      • Information for Authors
      • Editorial Policies
      • Editorial Board
      • Aims and Scope
      • Abstracting and Indexing
      • Bibliographic Information
      • Archive
    • Oncology Reports
      • Oncology Reports
      • Information for Authors
      • Editorial Policies
      • Editorial Board
      • Aims and Scope
      • Abstracting and Indexing
      • Bibliographic Information
      • Archive
    • Molecular Medicine Reports
      • Molecular Medicine Reports
      • Information for Authors
      • Editorial Policies
      • Editorial Board
      • Aims and Scope
      • Abstracting and Indexing
      • Bibliographic Information
      • Archive
    • World Academy of Sciences Journal
      • World Academy of Sciences Journal
      • Information for Authors
      • Editorial Policies
      • Editorial Board
      • Aims and Scope
      • Abstracting and Indexing
      • Bibliographic Information
      • Archive
    • International Journal of Functional Nutrition
      • International Journal of Functional Nutrition
      • Information for Authors
      • Editorial Policies
      • Editorial Board
      • Aims and Scope
      • Abstracting and Indexing
      • Bibliographic Information
      • Archive
    • International Journal of Epigenetics
      • International Journal of Epigenetics
      • Information for Authors
      • Editorial Policies
      • Editorial Board
      • Aims and Scope
      • Abstracting and Indexing
      • Bibliographic Information
      • Archive
    • Medicine International
      • Medicine International
      • Information for Authors
      • Editorial Policies
      • Editorial Board
      • Aims and Scope
      • Abstracting and Indexing
      • Bibliographic Information
      • Archive
  • Articles
  • Information
    • Information for Authors
    • Information for Reviewers
    • Information for Librarians
    • Information for Advertisers
    • Conferences
  • Language Editing
Spandidos Publications Logo
  • About
    • About Spandidos
    • Aims and Scopes
    • Abstracting and Indexing
    • Editorial Policies
    • Reprints and Permissions
    • Job Opportunities
    • Terms and Conditions
    • Contact
  • Journals
    • All Journals
    • Biomedical Reports
      • Information for Authors
      • Editorial Policies
      • Editorial Board
      • Aims and Scope
      • Abstracting and Indexing
      • Bibliographic Information
      • Archive
    • Experimental and Therapeutic Medicine
      • Information for Authors
      • Editorial Policies
      • Editorial Board
      • Aims and Scope
      • Abstracting and Indexing
      • Bibliographic Information
      • Archive
    • International Journal of Epigenetics
      • Information for Authors
      • Editorial Policies
      • Editorial Board
      • Aims and Scope
      • Abstracting and Indexing
      • Bibliographic Information
      • Archive
    • International Journal of Functional Nutrition
      • Information for Authors
      • Editorial Policies
      • Editorial Board
      • Aims and Scope
      • Abstracting and Indexing
      • Bibliographic Information
      • Archive
    • International Journal of Molecular Medicine
      • Information for Authors
      • Editorial Policies
      • Editorial Board
      • Aims and Scope
      • Abstracting and Indexing
      • Bibliographic Information
      • Archive
    • International Journal of Oncology
      • Information for Authors
      • Editorial Policies
      • Editorial Board
      • Aims and Scope
      • Abstracting and Indexing
      • Bibliographic Information
      • Archive
    • Medicine International
      • Information for Authors
      • Editorial Policies
      • Editorial Board
      • Aims and Scope
      • Abstracting and Indexing
      • Bibliographic Information
      • Archive
    • Molecular and Clinical Oncology
      • Information for Authors
      • Editorial Policies
      • Editorial Board
      • Aims and Scope
      • Abstracting and Indexing
      • Bibliographic Information
      • Archive
    • Molecular Medicine Reports
      • Information for Authors
      • Editorial Policies
      • Editorial Board
      • Aims and Scope
      • Abstracting and Indexing
      • Bibliographic Information
      • Archive
    • Oncology Letters
      • Information for Authors
      • Editorial Policies
      • Editorial Board
      • Aims and Scope
      • Abstracting and Indexing
      • Bibliographic Information
      • Archive
    • Oncology Reports
      • Information for Authors
      • Editorial Policies
      • Editorial Board
      • Aims and Scope
      • Abstracting and Indexing
      • Bibliographic Information
      • Archive
    • World Academy of Sciences Journal
      • Information for Authors
      • Editorial Policies
      • Editorial Board
      • Aims and Scope
      • Abstracting and Indexing
      • Bibliographic Information
      • Archive
  • Articles
  • Information
    • For Authors
    • For Reviewers
    • For Librarians
    • For Advertisers
    • Conferences
  • Language Editing
Login Register Submit
  • This site uses cookies
  • You can change your cookie settings at any time by following the instructions in our Cookie Policy. To find out more, you may read our Privacy Policy.

    I agree
Search articles by DOI, keyword, author or affiliation
Search
Advanced Search
presentation
Biomedical Reports
Join Editorial Board Propose a Special Issue
Print ISSN: 2049-9434 Online ISSN: 2049-9442
Journal Cover
June-2017 Volume 6 Issue 6

Full Size Image

Sign up for eToc alerts
Recommend to Library

Journals

International Journal of Molecular Medicine

International Journal of Molecular Medicine

International Journal of Molecular Medicine is an international journal devoted to molecular mechanisms of human disease.

International Journal of Oncology

International Journal of Oncology

International Journal of Oncology is an international journal devoted to oncology research and cancer treatment.

Molecular Medicine Reports

Molecular Medicine Reports

Covers molecular medicine topics such as pharmacology, pathology, genetics, neuroscience, infectious diseases, molecular cardiology, and molecular surgery.

Oncology Reports

Oncology Reports

Oncology Reports is an international journal devoted to fundamental and applied research in Oncology.

Experimental and Therapeutic Medicine

Experimental and Therapeutic Medicine

Experimental and Therapeutic Medicine is an international journal devoted to laboratory and clinical medicine.

Oncology Letters

Oncology Letters

Oncology Letters is an international journal devoted to Experimental and Clinical Oncology.

Biomedical Reports

Biomedical Reports

Explores a wide range of biological and medical fields, including pharmacology, genetics, microbiology, neuroscience, and molecular cardiology.

Molecular and Clinical Oncology

Molecular and Clinical Oncology

International journal addressing all aspects of oncology research, from tumorigenesis and oncogenes to chemotherapy and metastasis.

World Academy of Sciences Journal

World Academy of Sciences Journal

Multidisciplinary open-access journal spanning biochemistry, genetics, neuroscience, environmental health, and synthetic biology.

International Journal of Functional Nutrition

International Journal of Functional Nutrition

Open-access journal combining biochemistry, pharmacology, immunology, and genetics to advance health through functional nutrition.

International Journal of Epigenetics

International Journal of Epigenetics

Publishes open-access research on using epigenetics to advance understanding and treatment of human disease.

Medicine International

Medicine International

An International Open Access Journal Devoted to General Medicine.

Journal Cover
June-2017 Volume 6 Issue 6

Full Size Image

Sign up for eToc alerts
Recommend to Library

  • Article
  • Citations
    • Cite This Article
    • Download Citation
    • Create Citation Alert
    • Remove Citation Alert
    • Cited By
  • Similar Articles
    • Related Articles (in Spandidos Publications)
    • Similar Articles (Google Scholar)
    • Similar Articles (PubMed)
  • Download PDF
  • Download XML
  • View XML
Article

Pretreatment with intravenous amiodarone improves the efficacy of ibutilide treatment on cardioversion rate and maintenance time of sinus rhythm in patients with persistent atrial fibrillation

  • Authors:
    • Zengxiang Dong
    • Hong Yao
    • Zhuangzhuang Miao
    • Hao Wang
    • Rongsheng Xie
    • Ye Wang
    • Yingfang Shang
    • Chunlin Gong
    • Zhaoguang Liang
  • View Affiliations / Copyright

    Affiliations: Department of Cardiology, The First Affiliated Hospital of Harbin Medical University, Harbin, Heilongjiang 150001, P.R. China
  • Pages: 686-690
    |
    Published online on: April 20, 2017
       https://doi.org/10.3892/br.2017.896
  • Expand metrics +
Metrics: Total Views: 0 (Spandidos Publications: | PMC Statistics: )
Metrics: Total PDF Downloads: 0 (Spandidos Publications: | PMC Statistics: )
Cited By (CrossRef): 0 citations Loading Articles...

This article is mentioned in:



Abstract

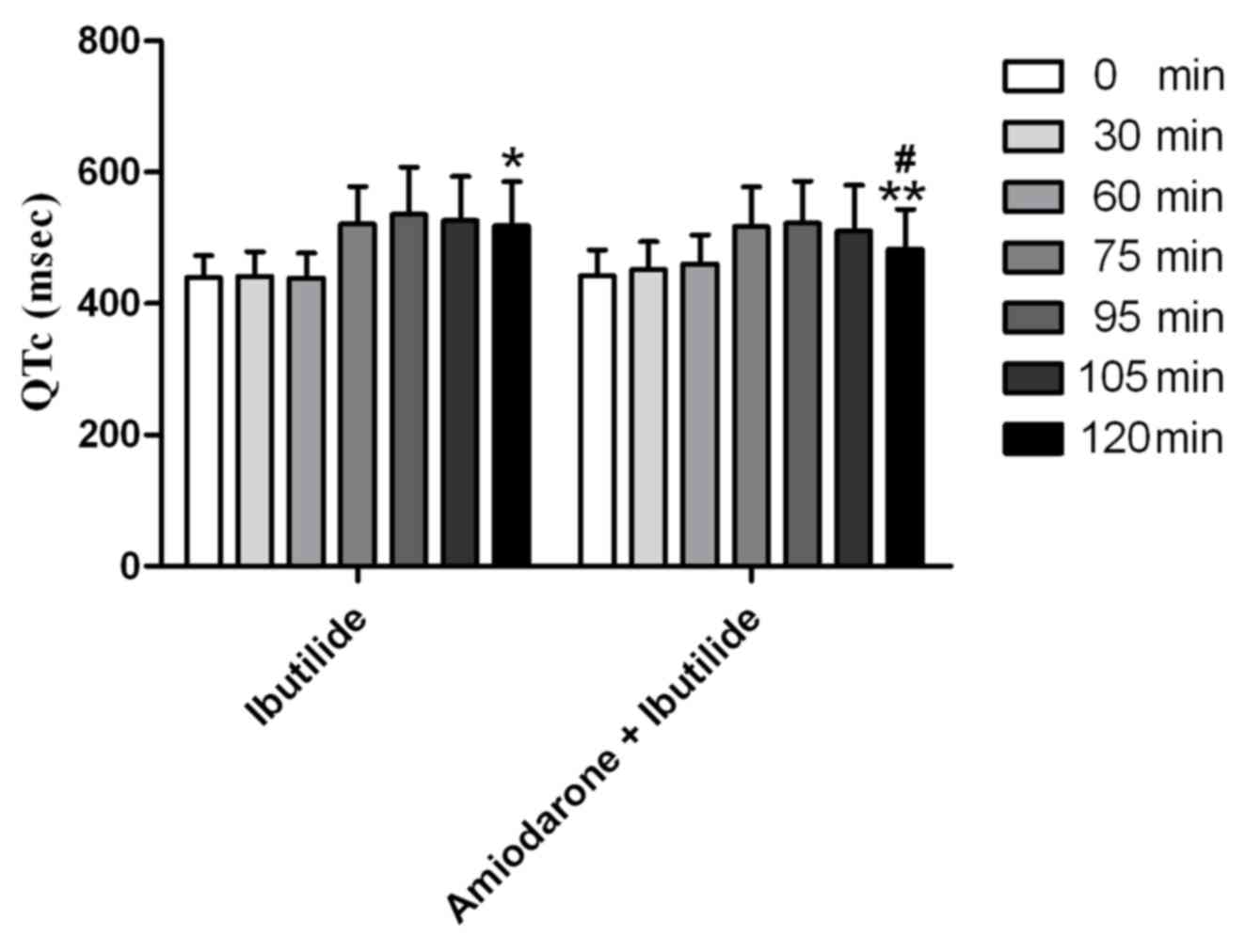
The aim of the present study was to assess the efficacy and safety of the pharmacological conversion of persistent atrial fibrillation (AF) using amiodarone or/and ibutilide. Seventy‑nine consecutive patients (48 males and 31 females; mean age, 64.6±11.2 years; range, 40‑80 years) with non‑valvular chronic AF lasting >7 days (range, 7‑97 days) that were admitted to hospital for elective pharmacological cardioversion were randomly assigned to receive treatment with intravenous ibutilide (1 mg plus an additional 1 mg if required; n=39) or intravenous amiodarone (300 mg) plus intravenous ibutilide (1 mg; n=40). Success rates of cardioversion were 51.3% (20/39 patients) for ibutilide alone and 71.8% (28/39 patients) for amiodarone + ibutilide (P<0.05). A comparable increase in the QTc interval was observed in the two groups. It was observed that the co‑administration of amiodarone and ibutilide was safer than ibutilide alone with regard to the risk of ventricular arrhythmia. Forty‑eight patients of successful cardioversion were personally contacted for follow‑up. The result indicated that the sinus rhythm maintenance time of the amiodarone + ibutilide group (4.36±2.44 months) was significantly higher than that of the ibutilide group (2.34±1.75 months; P<0.01). In conclusion, pretreatment with intravenous amiodarone + ibutilide for pharmacological cardioversion of persistent AF is considered to be more effective and safer than treatment with ibutilide alone.
View Figures

Figure 1

Figure 2

View References

1 

Waktare JE and Camm AJ: Atrial fibrillation begets trouble. Heart. 77:393–394. 1997. View Article : Google Scholar : PubMed/NCBI

2 

Sasaki N, Watanabe I, Kogawa R, Sonoda K, Takahashi K, Okumura Y, Ohkubo K, Nakai T and Hirayama A: Effects of intravenous amiodarone and ibutilide on action potential duration and atrial conduction kinetics in patients with persistent atrial fibrillation. Int Heart J. 55:244–248. 2014. View Article : Google Scholar : PubMed/NCBI

3 

European Heart Rhythm Association; European Association for Cardio-Thoracic Surgery, ; Camm AJ, Kirchof P, Lip GY, Schotten U, Savelieva I, Ernst S, van Gelder IC, Al-Attar N, et al: Guidelines for the management of atrial fibrillation: The task force for the management of atrial fibrillation of the European society of cardiology (ESC). Eur Heart J. 31:2369–2429. 2010. View Article : Google Scholar : PubMed/NCBI

4 

Workman AJ, Smith GL and Rankin AC: Mechanisms of termination and prevention of atrial fibrillation by drug therapy. Pharmacol Ther. 131:221–241. 2011. View Article : Google Scholar : PubMed/NCBI

5 

Vasić NR, Milenković BA, Pešut DP, Stević RS and Jovanović DM: Drug induced lung disease-amiodarone in focus. Med Pregl. 67:334–337. 2014. View Article : Google Scholar : PubMed/NCBI

6 

Fadahunsi O and Krol R: Acute amiodarone pulmonary toxicity following lung resection. Int J Biomed Sci. 10:217–220. 2014.PubMed/NCBI

7 

Lafuente-Lafuente C, Mouly S, Longás-Tejero MA, Mahé I and Bergmann JF: Antiarrhythmic drugs for maintaining sinus rhythm after cardioversion of atrial fibrillation: A systematic review of randomized controlled trials. Arch Intern Med. 166:719–728. 2006. View Article : Google Scholar : PubMed/NCBI

8 

Freemantle N, Lafuente-Lafuente C, Mitchell S, Eckert L and Reynolds M: Mixed treatment comparison of dronedarone, amiodarone, sotalol, flecainide, and propafenone, for the management of atrial fibrillation. Europace. 13:329–345. 2011. View Article : Google Scholar : PubMed/NCBI

9 

Camm J: Antiarrhythmic drugs for the maintenance of sinus rhythm: Risks and benefits. Int J Cardiol. 155:362–371. 2012. View Article : Google Scholar : PubMed/NCBI

10 

de Paola AA, Figueiredo E, Sesso R, Veloso HH and Nascimento LO: SOCES Investigators: Effectiveness and costs of chemical versus electrical cardioversion of atrial fibrillation. Int J Cardiol. 88:157–166. 2003. View Article : Google Scholar : PubMed/NCBI

11 

Korantzopoulos P, Kolettis TM, Papathanasiou A, Naka KK, Kolios P, Leontaridis I, Draganigos A, Katsouras CS and Goudevenos JA: Propafenone added to ibutilide increases conversion rates of persistent atrial fibrillation. Heart. 92:631–634. 2006. View Article : Google Scholar : PubMed/NCBI

12 

Kafkas NV, Patsilinakos SP, Mertzanos GA, Papageorgiou KI, Chaveles JI, Dagadaki OK and Kelesidis KM: Conversion efficacy of intravenous ibutilide compared with intravenous amiodarone in patients with recent-onset atrial fibrillation and atrial flutter. Int J Cardiol. 118:321–325. 2007. View Article : Google Scholar : PubMed/NCBI

13 

Vos MA, Golitsyn SR, Stangl K, Ruda MY, van Wijk LV, Harry JD, Perry KT, Touboul P, Steinbeck G and Wellens HJ: Superiority of ibutilide (a new class III agent) over DL-sotalol in converting atrial flutter and atrial fibrillation. The Ibutilide/Sotalol Comparator Study Group. Heart. 79:568–575. 1998. View Article : Google Scholar : PubMed/NCBI

14 

Fragakis N, Bikias A, Delithanasis I, Konstantinidou M, Liakopoulos N, Kozirakis M and Katsaris G: Acute beta-adrenoceptor blockade improves efficacy of ibutilide in conversion of atrial fibrillation with a rapid ventricular rate. Europace. 11:70–74. 2009. View Article : Google Scholar : PubMed/NCBI

15 

Stambler BS, Wood MA, Ellenbogen KA, Perry KT, Wakefield LK and VanderLugt JT: Efficacy and safety of repeated intravenous doses of ibutilide for rapid conversion of atrial flutter or fibrillation. Ibutilide Repeat Dose Study Investigators. Circulation. 94:1613–1621. 1996. View Article : Google Scholar : PubMed/NCBI

16 

Yang T, Snyders DJ and Roden DM: Ibutilide, a methanesulfonanilide antiarrhythmic, is a potent blocker of the rapidly activating delayed rectifier K+ current (IKr) in AT-1 cells. Concentration-, time-, voltage-, and use-dependent effects. Circulation. 91:1799–1806. 1995. View Article : Google Scholar : PubMed/NCBI

17 

Stambler BS, Beckman KJ, Kadish AH, Camm JA, Ellenbogen KA, Perry KT and VanderLugt JT: Acute hemodynamic effects of intravenous ibutilide in patients with or without reduced left ventricular function. Am J Cardiol. 80:458–463. 1997. View Article : Google Scholar : PubMed/NCBI

18 

Gill J, Heel RC and Fitton A: Amiodarone: An overview of its pharmacological properties and review of its therapeutic use in cardiac arrhythmias. Drugs. 43:69–110. 1992. View Article : Google Scholar : PubMed/NCBI

19 

Mitchell LB, Wyse DG, Gillis AM and Duff HJ: Electropharmacology of amiodarone therapy initiation. Time courses of onset of electrophysiologic and antiarrhythmic effects. Circulation. 80:34–42. 1989. View Article : Google Scholar : PubMed/NCBI

20 

Stambler BS, Wood MA and Ellenbogen KA: Antiarrhythmic actions of intravenous ibutilide compared with procainamide during human atrial flutter and fibrillation: Electrophysiological determinants of enhanced conversion efficacy. Circulation. 96:4298–4306. 1997. View Article : Google Scholar : PubMed/NCBI

Related Articles

  • Abstract
  • View
  • Download
  • Twitter
Copy and paste a formatted citation
Spandidos Publications style
Dong Z, Yao H, Miao Z, Wang H, Xie R, Wang Y, Shang Y, Gong C and Liang Z: Pretreatment with intravenous amiodarone improves the efficacy of ibutilide treatment on cardioversion rate and maintenance time of sinus rhythm in patients with persistent atrial fibrillation. Biomed Rep 6: 686-690, 2017.
APA
Dong, Z., Yao, H., Miao, Z., Wang, H., Xie, R., Wang, Y. ... Liang, Z. (2017). Pretreatment with intravenous amiodarone improves the efficacy of ibutilide treatment on cardioversion rate and maintenance time of sinus rhythm in patients with persistent atrial fibrillation. Biomedical Reports, 6, 686-690. https://doi.org/10.3892/br.2017.896
MLA
Dong, Z., Yao, H., Miao, Z., Wang, H., Xie, R., Wang, Y., Shang, Y., Gong, C., Liang, Z."Pretreatment with intravenous amiodarone improves the efficacy of ibutilide treatment on cardioversion rate and maintenance time of sinus rhythm in patients with persistent atrial fibrillation". Biomedical Reports 6.6 (2017): 686-690.
Chicago
Dong, Z., Yao, H., Miao, Z., Wang, H., Xie, R., Wang, Y., Shang, Y., Gong, C., Liang, Z."Pretreatment with intravenous amiodarone improves the efficacy of ibutilide treatment on cardioversion rate and maintenance time of sinus rhythm in patients with persistent atrial fibrillation". Biomedical Reports 6, no. 6 (2017): 686-690. https://doi.org/10.3892/br.2017.896
Copy and paste a formatted citation
x
Spandidos Publications style
Dong Z, Yao H, Miao Z, Wang H, Xie R, Wang Y, Shang Y, Gong C and Liang Z: Pretreatment with intravenous amiodarone improves the efficacy of ibutilide treatment on cardioversion rate and maintenance time of sinus rhythm in patients with persistent atrial fibrillation. Biomed Rep 6: 686-690, 2017.
APA
Dong, Z., Yao, H., Miao, Z., Wang, H., Xie, R., Wang, Y. ... Liang, Z. (2017). Pretreatment with intravenous amiodarone improves the efficacy of ibutilide treatment on cardioversion rate and maintenance time of sinus rhythm in patients with persistent atrial fibrillation. Biomedical Reports, 6, 686-690. https://doi.org/10.3892/br.2017.896
MLA
Dong, Z., Yao, H., Miao, Z., Wang, H., Xie, R., Wang, Y., Shang, Y., Gong, C., Liang, Z."Pretreatment with intravenous amiodarone improves the efficacy of ibutilide treatment on cardioversion rate and maintenance time of sinus rhythm in patients with persistent atrial fibrillation". Biomedical Reports 6.6 (2017): 686-690.
Chicago
Dong, Z., Yao, H., Miao, Z., Wang, H., Xie, R., Wang, Y., Shang, Y., Gong, C., Liang, Z."Pretreatment with intravenous amiodarone improves the efficacy of ibutilide treatment on cardioversion rate and maintenance time of sinus rhythm in patients with persistent atrial fibrillation". Biomedical Reports 6, no. 6 (2017): 686-690. https://doi.org/10.3892/br.2017.896
Follow us
  • Twitter
  • LinkedIn
  • Facebook
About
  • Spandidos Publications
  • Careers
  • Cookie Policy
  • Privacy Policy
How can we help?
  • Help
  • Live Chat
  • Contact
  • Email to our Support Team