Spandidos Publications Logo
  • About
    • About Spandidos
    • Aims and Scopes
    • Abstracting and Indexing
    • Editorial Policies
    • Reprints and Permissions
    • Job Opportunities
    • Terms and Conditions
    • Contact
  • Journals
    • All Journals
    • Oncology Letters
      • Oncology Letters
      • Information for Authors
      • Editorial Policies
      • Editorial Board
      • Aims and Scope
      • Abstracting and Indexing
      • Bibliographic Information
      • Archive
    • International Journal of Oncology
      • International Journal of Oncology
      • Information for Authors
      • Editorial Policies
      • Editorial Board
      • Aims and Scope
      • Abstracting and Indexing
      • Bibliographic Information
      • Archive
    • Molecular and Clinical Oncology
      • Molecular and Clinical Oncology
      • Information for Authors
      • Editorial Policies
      • Editorial Board
      • Aims and Scope
      • Abstracting and Indexing
      • Bibliographic Information
      • Archive
    • Experimental and Therapeutic Medicine
      • Experimental and Therapeutic Medicine
      • Information for Authors
      • Editorial Policies
      • Editorial Board
      • Aims and Scope
      • Abstracting and Indexing
      • Bibliographic Information
      • Archive
    • International Journal of Molecular Medicine
      • International Journal of Molecular Medicine
      • Information for Authors
      • Editorial Policies
      • Editorial Board
      • Aims and Scope
      • Abstracting and Indexing
      • Bibliographic Information
      • Archive
    • Biomedical Reports
      • Biomedical Reports
      • Information for Authors
      • Editorial Policies
      • Editorial Board
      • Aims and Scope
      • Abstracting and Indexing
      • Bibliographic Information
      • Archive
    • Oncology Reports
      • Oncology Reports
      • Information for Authors
      • Editorial Policies
      • Editorial Board
      • Aims and Scope
      • Abstracting and Indexing
      • Bibliographic Information
      • Archive
    • Molecular Medicine Reports
      • Molecular Medicine Reports
      • Information for Authors
      • Editorial Policies
      • Editorial Board
      • Aims and Scope
      • Abstracting and Indexing
      • Bibliographic Information
      • Archive
    • World Academy of Sciences Journal
      • World Academy of Sciences Journal
      • Information for Authors
      • Editorial Policies
      • Editorial Board
      • Aims and Scope
      • Abstracting and Indexing
      • Bibliographic Information
      • Archive
    • International Journal of Functional Nutrition
      • International Journal of Functional Nutrition
      • Information for Authors
      • Editorial Policies
      • Editorial Board
      • Aims and Scope
      • Abstracting and Indexing
      • Bibliographic Information
      • Archive
    • International Journal of Epigenetics
      • International Journal of Epigenetics
      • Information for Authors
      • Editorial Policies
      • Editorial Board
      • Aims and Scope
      • Abstracting and Indexing
      • Bibliographic Information
      • Archive
    • Medicine International
      • Medicine International
      • Information for Authors
      • Editorial Policies
      • Editorial Board
      • Aims and Scope
      • Abstracting and Indexing
      • Bibliographic Information
      • Archive
  • Articles
  • Information
    • Information for Authors
    • Information for Reviewers
    • Information for Librarians
    • Information for Advertisers
    • Conferences
  • Language Editing
Spandidos Publications Logo
  • About
    • About Spandidos
    • Aims and Scopes
    • Abstracting and Indexing
    • Editorial Policies
    • Reprints and Permissions
    • Job Opportunities
    • Terms and Conditions
    • Contact
  • Journals
    • All Journals
    • Biomedical Reports
      • Information for Authors
      • Editorial Policies
      • Editorial Board
      • Aims and Scope
      • Abstracting and Indexing
      • Bibliographic Information
      • Archive
    • Experimental and Therapeutic Medicine
      • Information for Authors
      • Editorial Policies
      • Editorial Board
      • Aims and Scope
      • Abstracting and Indexing
      • Bibliographic Information
      • Archive
    • International Journal of Epigenetics
      • Information for Authors
      • Editorial Policies
      • Editorial Board
      • Aims and Scope
      • Abstracting and Indexing
      • Bibliographic Information
      • Archive
    • International Journal of Functional Nutrition
      • Information for Authors
      • Editorial Policies
      • Editorial Board
      • Aims and Scope
      • Abstracting and Indexing
      • Bibliographic Information
      • Archive
    • International Journal of Molecular Medicine
      • Information for Authors
      • Editorial Policies
      • Editorial Board
      • Aims and Scope
      • Abstracting and Indexing
      • Bibliographic Information
      • Archive
    • International Journal of Oncology
      • Information for Authors
      • Editorial Policies
      • Editorial Board
      • Aims and Scope
      • Abstracting and Indexing
      • Bibliographic Information
      • Archive
    • Medicine International
      • Information for Authors
      • Editorial Policies
      • Editorial Board
      • Aims and Scope
      • Abstracting and Indexing
      • Bibliographic Information
      • Archive
    • Molecular and Clinical Oncology
      • Information for Authors
      • Editorial Policies
      • Editorial Board
      • Aims and Scope
      • Abstracting and Indexing
      • Bibliographic Information
      • Archive
    • Molecular Medicine Reports
      • Information for Authors
      • Editorial Policies
      • Editorial Board
      • Aims and Scope
      • Abstracting and Indexing
      • Bibliographic Information
      • Archive
    • Oncology Letters
      • Information for Authors
      • Editorial Policies
      • Editorial Board
      • Aims and Scope
      • Abstracting and Indexing
      • Bibliographic Information
      • Archive
    • Oncology Reports
      • Information for Authors
      • Editorial Policies
      • Editorial Board
      • Aims and Scope
      • Abstracting and Indexing
      • Bibliographic Information
      • Archive
    • World Academy of Sciences Journal
      • Information for Authors
      • Editorial Policies
      • Editorial Board
      • Aims and Scope
      • Abstracting and Indexing
      • Bibliographic Information
      • Archive
  • Articles
  • Information
    • For Authors
    • For Reviewers
    • For Librarians
    • For Advertisers
    • Conferences
  • Language Editing
Login Register Submit
  • This site uses cookies
  • You can change your cookie settings at any time by following the instructions in our Cookie Policy. To find out more, you may read our Privacy Policy.

    I agree
Search articles by DOI, keyword, author or affiliation
Search
Advanced Search
presentation
Biomedical Reports
Join Editorial Board Propose a Special Issue
Print ISSN: 2049-9434 Online ISSN: 2049-9442
Journal Cover
November-2020 Volume 13 Issue 5

Full Size Image

Sign up for eToc alerts
Recommend to Library

Journals

International Journal of Molecular Medicine

International Journal of Molecular Medicine

International Journal of Molecular Medicine is an international journal devoted to molecular mechanisms of human disease.

International Journal of Oncology

International Journal of Oncology

International Journal of Oncology is an international journal devoted to oncology research and cancer treatment.

Molecular Medicine Reports

Molecular Medicine Reports

Covers molecular medicine topics such as pharmacology, pathology, genetics, neuroscience, infectious diseases, molecular cardiology, and molecular surgery.

Oncology Reports

Oncology Reports

Oncology Reports is an international journal devoted to fundamental and applied research in Oncology.

Experimental and Therapeutic Medicine

Experimental and Therapeutic Medicine

Experimental and Therapeutic Medicine is an international journal devoted to laboratory and clinical medicine.

Oncology Letters

Oncology Letters

Oncology Letters is an international journal devoted to Experimental and Clinical Oncology.

Biomedical Reports

Biomedical Reports

Explores a wide range of biological and medical fields, including pharmacology, genetics, microbiology, neuroscience, and molecular cardiology.

Molecular and Clinical Oncology

Molecular and Clinical Oncology

International journal addressing all aspects of oncology research, from tumorigenesis and oncogenes to chemotherapy and metastasis.

World Academy of Sciences Journal

World Academy of Sciences Journal

Multidisciplinary open-access journal spanning biochemistry, genetics, neuroscience, environmental health, and synthetic biology.

International Journal of Functional Nutrition

International Journal of Functional Nutrition

Open-access journal combining biochemistry, pharmacology, immunology, and genetics to advance health through functional nutrition.

International Journal of Epigenetics

International Journal of Epigenetics

Publishes open-access research on using epigenetics to advance understanding and treatment of human disease.

Medicine International

Medicine International

An International Open Access Journal Devoted to General Medicine.

Journal Cover
November-2020 Volume 13 Issue 5

Full Size Image

Sign up for eToc alerts
Recommend to Library

  • Article
  • Citations
    • Cite This Article
    • Download Citation
    • Create Citation Alert
    • Remove Citation Alert
    • Cited By
  • Similar Articles
    • Related Articles (in Spandidos Publications)
    • Similar Articles (Google Scholar)
    • Similar Articles (PubMed)
  • Download PDF
  • Download XML
  • View XML
Article Open Access

Isolation and identification of a flavonoid compound and in vivo lipid‑lowering properties of Imperata cylindrica

  • Authors:
    • Siti Khaerunnisa
    • Nanik Siti Aminah
    • Alfinda Novi Kristanti
    • Sutji Kuswarini
    • Citrawati Dyah Kencono Wungu
    • Soetjipto Soetjipto
    • Suhartati Suhartati
  • View Affiliations / Copyright

    Affiliations: Department of Medical Biochemistry, Faculty of Medicine, Universitas Airlangga, Surabaya, East Java 60132, Indonesia, Department of Chemistry, Faculty of Science and Technology, Universitas Airlangga, Surabaya, East Java 60115, Indonesia, Department of Medical Biochemistry, Faculty of Medicine Universitas Wijaya Kusuma Surabaya, East Java 60225, Indonesia
    Copyright: © Khaerunnisa et al. This is an open access article distributed under the terms of Creative Commons Attribution License.
  • Article Number: 38
    |
    Published online on: August 24, 2020
       https://doi.org/10.3892/br.2020.1345
  • Expand metrics +
Metrics: Total Views: 0 (Spandidos Publications: | PMC Statistics: )
Metrics: Total PDF Downloads: 0 (Spandidos Publications: | PMC Statistics: )
Cited By (CrossRef): 0 citations Loading Articles...

This article is mentioned in:



Abstract

Cogon grass (Imperata cylindrica/I. cylindrica) of the Gramineae family is found abundantly in nature, and the roots of this plant possess several beneficial biological properties. The present study aimed to isolate and identify flavonoid compounds from cogon grass roots and examine their potential as hypocholesterolemic agents. The flavonoid compound was isolated using a maceration method, followed by gravity column chromatography until a pure compound was obtained. The molecular structure of the isolated compound was determined using 1H‑nuclear magnetic resonance (NMR) and 13C‑NMR spectroscopy. An in vivo lipid‑lowering test used a randomized post‑test only control group experimental design in rats with hypercholesterolemia. The animals were divided into four groups: K0, negative control; K1, positive control; K2, ethanol extract treated group; and K3, ethyl acetate fraction treated group, and the lipid profiles were examined at the end of the study. The isolated compound, 7,3',5'‑trimethoxyflavonol, was collected in yellow powder form; was shown to be a flavonoids and was comprised of 18 carbon atoms and 16 hydrogen atoms. In vivo tests demonstrated that 15 mg/200 g body weight (BW) of an ethanol extract significantly lowered total cholesterol levels (P=0.001) but did not lower low‑density lipoprotein (LDL) (P=0.109) and high‑density lipoprotein (HDL) levels (P=0.003). The fraction of ethyl acetate administered at 15 mg/200 g BW was capable of lowering the total cholesterol levels significantly (P=0.002) and lowered LDL levels (P=0.006) but was unable to increase HDL levels (P=0.190). The in vivo tests showed that the ethyl acetate fraction of I. cylindrica reduced total cholesterol and LDL levels more effectively than the ethanol extract, but did not affect HDL levels in rats with hypercholesterolemia.

Introduction

Cogon grass (Imperata cylindrica/I. cylindrica) is a member of the Gramineae family and is ubiquitously found in nature, but is often considered useless and treated as a weed (1). However, this plant is widely utilized within traditional medicine, particularly in Asia (2). Various studies have shown that I. cylindrica exhibits numerous beneficial biological properties, as it contains glycoside, triterpenoids, flavonoids, phenolic compounds, tannins and proteins, which display antioxidant properties in vitro (3-5). Cogon grass reeds are also suitable for use as an alternative medication to treat hypercholesterolemia (6). Patients with hypercholesterolaemia are at increased risk of developing cardiovascular diseases or suffering from a stroke, which can result in death at a young age, adding to the global disease burden (7).

Various studies have shown that hypercholesterolemia and cardiovascular disease are associated with the overproduction of reactive oxygen species (8-10). These free radicals facilitate lipid peroxidation within cell membranes, which results in the production of radical lipid peroxides and various other free radicals (11). Free radicals possess unpaired electrons, which are unstable and exhibit a tendency to absorb electrons from other molecules within close proximity to them in order to achieve stability (12,13). This can cause damage to various components of the cell (14).

Phenolic compounds located within I. cylindrica roots, such as flavonoids, oligostilbenoid and phenolic acids, are compounds that display strong antioxidant activity (15). Antioxidants serve an important role in the process of scavenging free radicals and breaking down oxidation chain reactions both in vitro and in vivo (14). The antioxidant activity of phenolic compounds is induced primarily via the presence of hydroxyl groups (-OH) within their aromatic ring structures, mediating redox reactions in a specific way to neutralize free radicals (16).

In the present study, flavonoid compounds from I. cylindrica roots were isolated and purified through several stages, and in vivo tests were used to assess the effects of I. cylindrica on lipid profile levels in a rat model of hypercholesterolaemia.

Materials and methods

I. cylindrica samples

The plant material used for isolation and identification in the present study was I. cylindrica roots obtained from the Punjul village, Karangrejo District, Tulungagung Regency, and farmland in Malang, East Java, Indonesia. The plant material utilized for in vivo evaluation of lipid-lowering properties was identified and confirmed by the Department of Biology, Faculty of Science and Technology, Universitas Airlangga, Indonesia.

Isolation and identification of I. cylindrica root compounds

A total of 850 g I. cylindrica roots powder was extracted by maceration using 96% methanol as a solvent three times, 24 h each, at room temperature. Subsequently, the filtrate and the residue were separated by filtering through a Whatman 42 filter paper (Whatman, plc; GE Healthcare) with a pore size of 2.5 µm. The methanol extract was then evaporated with a rotary vacuum evaporator (BÜCHI® R210; BÜCHI Labortechnik, AG) to yield a thick extract.

The thick methanol extract was then added to water and partitioned with n-hexane (1:1), followed by partitioning with ethyl acetate (1:1). The separation was performed using thin-layer chromatography (TLC). The ethyl acetate fraction was screened for flavonoids using Willstatter reagents, and the target flavonoid compound to be isolated was found in this fraction.

A total of 14 g ethyl acetate viscous extract obtained was absorbed in 28 g silica gel G 60 of size 0.2-0.5 mm. The compounds were then separated using gravity column chromatography. The eluent used was n-hexane ethyl acetate, starting with a ratio of 9:1 with an increasing polarity gradient, followed by 100% ethyl acetate and 100% methanol. From this separation process, 24 fractions were obtained, which were then grouped into 6 main fractions based on similar retention factor (Rf) values in a TLC test using n-hexane and ethyl acetate (2:8) eluate, termed fractions A, B, C, D, E and F.

The combined fractions of B and C were then targeted for this study and were separated and purified further. The combined fractions were absorbed in silica gel as above. Then, the compounds were separated by gravity column chromatography using a hexane-chloroform mixture eluent, starting with a ratio of 7:3, with an increasing polarity gradient, followed by 100% chloroform, 100% ethyl acetate and 100% methanol. Thus, 121 fractions were obtained, which were then grouped into five main fractions based on similar Rf values in a TLC test using 100% chloroform eluent, termed fractions G, H, I, J and K.

The combined fractions of I and J were then absorbed in silica gel. The compounds were separated by gravity column chromatography using the chloroform-n-hexane eluent, starting with a ratio of 19:1 with an increasing polarity gradient, followed by 100% chloroform and chloroform-ethanol eluent starting at 19:1, with an increasing polarity gradient to a ratio of 19:1, followed by 100% ethyl acetate and 100% methanol. From the elution process, 64 fractions were obtained, which were subsequently grouped based on similar Rf values in a TLC test using chloroform-ethanol (97:3) eluent into four main fractions, termed fractions L, M, N and O, in which the target compound was in the M and N fractions.

The M and N fractions were combined and further purified by gravity column chromatography using n-hexane ethyl acetate (9:1) as the eluent to obtain a pure yellow compound with a yield of 5 mg. The pure compounds obtained after showing a single spot on TLC were then identified using proton core nuclear magnetic resonance spectroscopy (1H-NMR) and carbon core nuclear magnetic resonance spectroscopy (13C-NMR). NMR spectroscopic analysis was performed using NMR JEOL ALPHA 500, 1H 500 MHz and 13C 125 MHz, at the Faculty of Pharmacy, Meijo University, Nagoya, Japan.

Determination of total phenolic content

The total phenolic content was determined using the Folin-Ciocalteu method (17,18). The ethanol extract/ethyl acetate fraction of I. cylindrica was oxidized using Folin-Ciocalteu reagent (Merck KGaA) and the reaction was neutralized using 20% Na2CO3. Absorbance was measured by exciting with blue light at a wavelength of 760 nm after 60 min, employing standard gallic acid. Total phenolic content is presented in units of g gallic acid equivalent (GAE) per kg of I. cylindrica extract/fraction. Measurements were taken three times, and the mean was taken (19).

Assessment of in vivo lipid-lowering properties

The present study was approved by the Animal Care and Use Committee, Faculty of Medicine Universitas Airlangga (Surabaya, Indonesia). All procedures were performed in accordance with the Guide for the Care and Use of Laboratory Animals published by the National Institutes of Health (20). A total of 28 male Wistar rats aged 2-3 months, weighing 180-200 g in a healthy condition were used in the present study. The animals were acclimatized to the laboratory conditions for 7 days, provided ad libitum access to food and water, and maintained under a 12 h light/dark cycle at room temperature. After acclimatization, the animals were divided randomly into four groups. The present study utilized a randomized post-test only control group experimental design. Group 1 (K0): A negative control group that received a control diet (CD); group 2 (K1): A positive control group that received a high cholesterol diet (HD); group 3 (K2): A treatment group that was administered a HD and the ethanol extract of I. cylindrica at a dose of 15 mg/200 g body weight (BW); and group 4 (K3): A treatment group that was administered a HD and the ethyl acetate I. cylindrica fraction at a dose of 15 mg/200 g BW [based on Suratman et al (21) with modifications].

Rats were used in the present study as they have similar physiological and behavioural characteristics as humans (22). The anatomical structure of rats is slightly different from those of other mammals, for examples, the oesophagus directly empties into the stomach such that the rat cannot spit out its food and they possess no gallbladder ties. At the age of 3 months, these rats are mature and their anatomy and physiology are optimal; the male rat does not possess an oestrus cycle, so it does not affect blood cholesterol levels (23,24).

For the in vivo test, re-extracts were created by replacing the methanol with ethanol in the aforementioned extraction procedures to obtain the ethyl acetate fraction. Ethanol was used due to its very low toxicity. The present study employed a single dose of 15 mg/200 g BW, according to the method described by Suratman et al (21) with slight modifications. Ethanol extracts were composed of various compounds, while the ethyl acetate fraction was a fraction comprised of semipolar compounds. The mean weight ± standard deviation of the rats was 197.28±10.78 g, thus, each rat received 15 mg of the extract, which was dissolved in 2 ml carboxymethyl cellulose sodium (1 ml/100 g BW).

Hypercholesterolemia was determined on the 15th day following induction with a HD, which was considered sufficient based on the increase in total blood cholesterol levels >54 mg/dl, with a normal value of 10-54 mg/dl (23,24).

Preliminary tests demonstrated that the administration of HD for 14 days resulted in increased blood cholesterol levels, and hypercholesterolemia persisted via continuation of a HD until the 30th day (data not shown). Thus, on days 15-30, the treatment group was administered 15 mg/200 g BW (K2) ethanol extract and 15 mg/200 g BW (K3) ethyl acetate fraction. The administration of HD within the control group (K1) and the treatment group (K2 and K3) was continued until the 30th day.

On the day of the sacrifice (end of 5th week/day 36), the rats were anesthetized by a 0.1 ml/100 g BW intraperitoneal injection of a cocktail of drugs (ketamine 50 mg/kg, xylazine 2 mg/kg and acepromazine 0.5 mg/kg) (25). All rats were sacrificed by collecting the blood from the cardiac vein, and following drawing of blood, the arteries were cut to ensure termination of the animals.

HD was composed of 12.5% casein, 20% pork oil, 1% cholesterol, 0.25% cholic acid, 20,52% sucrose, 41,23% flour, 3,5% salt mixture and 1% multivitamins [based on and modified from Mohamed et al (26)]. The administration of HD lasted for one month. The CD was composed of 12,5% casein, 10% corn oil, 23,3% sucrose, 46,7% flour, 3,5% salt mixture, 1% multivitamins and 3% fibre (26). The feed was formed into pellets and was provided ad libitum every day for 30 days. Determination of total cholesterol, low-density lipoprotein (LDL) cholesterol, and high-density lipoprotein (HDL) cholesterol levels was outsourced to Surabaya Regional Health Laboratory were enzymatic methods and spectrophotometry were used.

Statistical analysis

Data were analysed using SPSS version 23 (IBM, Corp.). Comparisons between total cholesterol, HDL and LDL levels were assessed using ANOVA, followed by a least significant difference test. P<0.05 was considered to indicate a statistically significant difference.

Results

Identification of isolated compounds

The signals in 13C-NMR [insolvent (CD3)2 CO] presented at chemical shift (δ) in parts per million (ppm) values of 206.11, 167.5, 152.07, 148.07, 124.85, 122.89, 115.53, 113.46 and 56.3. The signal at δ 206.11 ppm was the C-carbonyl signal, whereas the signals at δ 167.5, 152.07, 148.07, 124.85, 122.89, 115.53 and 113.46 ppm represented 14 carbon atoms in a compound comprised 12 carbon atoms from the two aromatic rings on rings A and B (which were subdivided into five C-aryloxy atoms and 7 aromatic carbon atoms) and two ethylenic carbon signals on ring C. A shift of δ 56.3 ppm indicated the presence of a methoxy carbon signal (OCH3).

1H-NMR proton spectroscopy analysis in the CDCl3 solvent revealed that the isolated flavonoid has 6 aromatic protons at δ ppm 7.70 [1H, doublet (d), J=1.5 Hz], 7.68 (1H, d, J=2.2 Hz), 7.56 (2H, d, J=2.2 Hz) and 6.94 (2H, d, J=8.4 Hz). The 6-proton-signal aromatic was a doublet distributed over positions, such that for the meta position, the signal was δ 7.68 ppm (1H, d, J=2.2 Hz) and δ 7.56 ppm (2H, d, J=2.2 Hz), whereas the proton doublet signal δ 7.70 ppm (1H, d, J=1.5 Hz) represented a mutual position at an ortho position to the proton signal δ 6.94 ppm (2H, d, J=8.4 Hz). Signals at δ ppm 7.56 and 6.94 each represented two protons (visible from the signal intensity, which was two times higher than signals at δ ppm 7.70 and 7.68). A singlet signal at d ppm 3.87 (9H, s) indicated the presence of three OCH3 substituents.

The results of 1H-NMR analysis were as follows: d ppm 7.68 (1H, d, J=2.2 Hz), d ppm 7.56 (2H, d, J=2.2 Hz), d ppm 7.70 (1H, d, J=1.5 Hz) and d ppm 6.94 (2H, d, J=8.4 Hz) (Fig. 1).

Figure 1

Protons arranged at coupling positions of the isolated flavonoid compound. A, B and D show the position of the rings of the flavonoid.

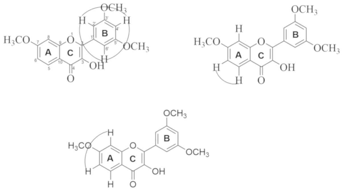
Tables I and II display the NMR spectral analysis of isolated compounds in comparison to previous studies covering a structure similar to the isolated compounds (27,28). From the analysis, the recommended structure for the compound as a result of isolation is shown in Fig. 2, noting the chemical shift data for each H and C atom.

Figure 2

Actualization of (A) proton and (B) carbon positions of the isolated flavonoid compound. ppm, parts per million; Hz, Hertz; d, duplet.

Table I

Comparison of δ 1H-NMR for isolated flavonol compounds based on previous studies.

Table I

Comparison of δ 1H-NMR for isolated flavonol compounds based on previous studies.

H positiond Isolated compoundd Quercetin (27)d Kaempferol (27)
H1-- 
H2---
H3---
H4---
H56.94 ppm, d, J=8.4 Hz--
H66.94 ppm, d, J=8.4 Hz6.37 ppm, d, J=2.5 Hz6.2 ppm, d, J=8 Hz
H7---
H87.70 ppm, d, J=1.5 Hz6.14 ppm, d, J=2.5 Hz6.4 ppm, d, J=8 Hz
H9---
H10---
H1'---
H2'7.56 ppm, d, J=2.2 Hz7.64 ppm, d, J=8.5 Hz8.0 ppm, d, J=8 Hz
H3'--6.9 ppm, d, J=8 Hz
H4'7.56 ppm, d, J=2.2 Hz--
H5'-6.85 ppm, d, J=8.5 Hz6.9 ppm, d, J=8 Hz
H6'7.68 ppm, d, J=0.2 Hz7.49 ppm, q, J=8.5 Hz(8.0 ppm, d, J=8 Hz
H-OMe3.87 ppm, s--
OH---

[i] H, proton; OH, hydroxyl; ppm, parts per million; s, singlet; d, doublet; t, triplet; q, quartet; δ, chemical shift.

Table II

Comparison of δ 13C-NMR for isolated flavonol compounds based on previous studies.

Table II

Comparison of δ 13C-NMR for isolated flavonol compounds based on previous studies.

C positionIsolated compound δ, ppmQuercetin δ, ppm (27)Quercetin δ, ppm (28)
C2124.8156.6146.8
C3124.8136.2135.5
C4206.11176.3175.8
C5115.53161.2160.7
C6115.5398.898.2
C7152.07164.5163.9
C8113.4693.793.3
C9148.7148.2156.2
C10122.8103.4103.1
C1'124.8120.4122.1
C2'113.46116.1115.3
C3'167.5145.5145.0
C4'113.46147.2147.6
C5'167.5115.5115.6
C6'113.46122.4120.0

[i] C, carbon; ppm, parts per million; δ, chemical shift.

Total phenolic content

Total phenolic content is expressed as g GAE/kg extract by comparing the standard gallic acid curve with the absorbance curve of the sample. Both ethanol extracts and ethyl acetate fractions were screened using Willstater reagent, and they produced an orange colour, indicating a positive result for the presence of a flavonoid compound. The determination of total phenolic content was performed using the Folin-Ciocalteau method. In the ethanol extract I. cylindrica, the total phenolic content was 545.67 g GAE/kg extract. In the ethyl acetate fraction of I. cylindrica, total phenolic content was 682.33 g GAE/kg extract.

In vivo lipid-lowering properties

The effect of extracts were assessed in vivo for 5 weeks. At the end of the 5th week/day 36, the animals were sacrificed and ~5 ml blood was collected from the cardiac vein.

At the end of the treatment (end of 5th week/day 36), animals from each group (K0, K1, K2 and K3) were weighed. Total cholesterol, HDL and LDL levels were assessed in the blood samples. The results showed that the hypercholesterolemia diet in the experimental group increased cholesterol levels significantly (Table III and Fig. 3).

Figure 3

Total cholesterol, LDL and HDL levels in the experimental animal model. Data are presented as the mean ± standard deviation. N=6 per group. *P<0.05, **P<0.01 vs. K1; #P<0.05, ##P<0.01 vs. K2. LDL, low density protein; HDL, high-density protein; CD, control diet; HD, hypercholesterol diet; BW, body weight; HD, high cholesterol diet; I. cylindrica, Imperata cylindrica; K0, negative control group fed a control diet; K1, positive control fed HD; K2, treatment group fed a HD and the ethanol extract of I. cylindrica at a dose of 15 mg/200 g BW; K3, treatment group administered a HD and the ethyl acetate I. cylindrica fraction at a dose of 15 mg/200 g BW.

Table III

Total cholesterol, LDL and HDL levels in vivo.

Table III

Total cholesterol, LDL and HDL levels in vivo.

VariablesK0aK1aK2aK3a
Total cholesterol 74.29±4.3b,e84.14±6.6 60.43±7.6c 70.57±9.2c,d
LDL12.14±2.113.71±2.911.57±2.3 9.86±2.2c
HDL 26.29±3.1d27.57±4.1 21.14±2.8c25±4.1

[i] aMean ± standard deviation.

[ii] bP<0.05,

[iii] cP<0.01 vs. K1;

[iv] dP<0.05,

[v] eP<0.01 vs. K2. LDL, low density protein; HDL, high-density protein; HD, hypercholesterol diet; BW, body weight; HD, high cholesterol diet; I. cylindrica, Imperata cylindrica; K0, negative control group fed a control diet; K1, positive control fed HD; K2, treatment group fed a HD and the ethanol extract of I. cylindrica at a dose of 15 mg/200 g BW; K3, treatment group administered a HD and the ethyl acetate I. cylindrica fraction at a dose of 15 mg/200 g BW; SD, standard deviation.

Effect of ethanol extract and ethyl acetate fraction on total cholesterol levels

Treatment with the ethanol extract (15 mg/200 g BW; K2) lowered the total cholesterol levels significantly (P=0.001; mean ± standard deviation, 60.43±7.6 mg/dl) compared with the positive control group (K1). Treatment with the ethyl acetate fraction (15 mg/200 g BW; K3) also lowered the total cholesterol levels significantly (P=0.002; mean ± standard deviation, 70.57±9.2 mg/dl) compared with the positive control group (K1) (Table III and Fig. 3).

Effect of ethanol extract and ethyl acetate fraction on LDL levels

Treatment with the ethanol extract (K2) reduce LDL levels but the difference was not significant (P=0.109; mean ± standard deviation, 11.57±2.3 mg/dl) compared with the positive control group (K1). The ethyl acetate fraction (K3) significantly reduced LDL levels (P=0.006; mean ± standard deviation, 9.86±2.2 mg/dl) compared with the positive control group (K1) (Table III and Fig. 3).

Effect of ethanol extract and ethyl acetate fraction on HDL levels

The ethanol extract (K2) significantly reduced HDL levels (P=0.003; mean ± standard deviation, 21.14±2.8 mg/dl compared with the positive control group (K1). The ethyl acetate fraction (K3) did not significantly reduce HDL levels (P=0.190; mean ± standard deviation, 25±4.1 mg/dl compared with positive the control group (K1) (Table III and Fig. 3).

Discussion

Based on the results of the analysis of 1H-NMR and 13C-NMR, the isolated compound was considered to be a flavonoid of the flavonol group, and consisted of 18 carbon atoms and 16 hydrogen atoms, termed 7,3',5'-trimethoxyflavonol. The ethyl acetate fraction of I. cylindrica extraction was rich in flavonoid compounds.

A comparison of total serum cholesterol levels between the CD (K0) and HD-fed (K1) groups showed that the HD induced hypercholesterolemia in vivo. The present study demonstrated that a diet of pork fat and pure cholesterol for 4 weeks was successful in raising rat blood cholesterol levels in the K1 group.

The results demonstrated that the administration of the ethanol extract (K2) or the ethyl acetate fraction (K3) of I. cylindrica was capable of significantly reducing total cholesterol levels compared with the HD group (K1). The administration of the ethyl acetate fraction of I. cylindrica also significantly reduced LDL levels, and in groups treated with the ethanol extract, I. cylindrica extract did not significantly reduce cholesterol levels compared with the HD group. The administration of the ethyl acetate fraction of I. cylindrica did not exert a significant effect on HDL levels (P>0.05), and in the group administered with the ethanol extract of I. cylindrica, HDL levels were significantly reduced compared with the group fed an HD.

Based on previous studies, screening of the ethanol extracts of I. cylindrica showed the presence of tannins, saponins, flavonoids, alkaloids, cardiac glycosides, coumarin and terpenoids (29,30). It has also been demonstrated that I. cylindrica is a good source of antioxidants, including a high content of flavonoid and total phenolic compounds (4). Zhou et al (31) also showed that Rhizomes Imperata extract is rich in polyphenols, which also exhibit antioxidant activity.

The decrease in total cholesterol levels in the group administered ethanol extract was larger compared with the group administered the ethyl acetate fraction. Compounds contained within the ethanol extracts include flavonoids and saponins (32). Saponin binds with cholesterol and bile to form strong complex compounds and cannot be reabsorbed (33,34). This results in cholesterol elimination and increased bile excretion. The body attempts to increase the conversion of cholesterol into bile acids, thus reducing blood cholesterol levels (35).

The LDL cholesterol levels in the group administered the ethyl acetate fraction exhibited a larger decrease compared with the group administered the ethanol extract. In the ethyl acetate fraction, there were only semipolar compounds such as flavonoids, which reduce blood cholesterol levels by inhibiting cholesterol synthesis and increasing LDL receptor expression (36,37). Several studies have shown that the consumption of isoflavones induces a decrease in plasma cholesterol in C57BL/6 mice, increasing the activity of LDL receptors on HepG2 cells (37,38). This is likely due to the effect of flavonoids on sterol regulatory element-binding protein 2(37). The ethyl acetate fraction consists of only semipolar compounds, and this is hypothesized to have a direct effect on LDL reduction, while the ethanol extract contains several complex compounds which exhibit antagonistic interactions between each other. Therefore, the effects of active constituents may be masked by other compounds in this complex mixture, thus making the LDL reduction effect of ethyl acetate fraction more potent than that of the ethanol extract. This phenomenon also occurs in mixtures of natural product (39). Semipolar compounds are considered to be more effective in regulating LDL uptake. The effect of reducing LDL cholesterol using the ethyl acetate fraction was better compared with the ethanol extract. It is hypothesized that the semipolar compounds increase LDL uptake, which can affect the regulation of LDL.

Flavonoids are reported in the literature to regulate apolipoprotein-B (apoB) secretion and cellular cholesterol homeostasis in human hepatoma cell lines, reducing ester cholesterol mass, inhibiting acyl-CoA: Cholesterol acyltransferase expression, inhibiting microsomal triglyceride transfer protein activity, and furthermore, inhibiting hepatic lipid synthesis by inhibiting apoB and increasing apoA levels in HepG2 cells (40).

Across all groups, the increase or decrease in HDL cholesterol levels could not be exclusively attributed to the administration of HD or the extract as it was suspected that the conditions of experimental animals were still in a compensated state; the positive control group (K1) showed high levels of HDL compared with other groups (K0, K2 and K3). This finding was supported by Dauqan et al (41), where, the normal stressed group of mice exhibited an increase in HDL levels, and Hayek et al (42) who suggested that a diet of saturated fat and a cholesterol diet facilitated an increase in HDL and Apo-A1 cholesterol levels.

Hayek et al (42) also suggested that a high-fat diet increased HDL levels, facilitated by an adaptation mechanism that is reflected in the increase in the flux of HDL, cholesterol ester (CE) and transport rate necessary when a high metabolic burden is created following a high-fat or high-cholesterol diet. A high-fat diet may reverse the transport of cholesterol via the HDL pathway. The administration of a high-fat diet can increase apolipoprotein-A1 (Apo-A1) levels via a posttranscriptional mechanism by increasing the translational ability of Apo-A1 mRNA and decreasing intracellular Apo-A1 degradation. High-fat diets can reduce the rate of catabolism of the HDL-CE and Apo-A1 fractions, which may be caused by an increase in HDL size. The duration of the diet is also considered a factor that influences the increase in HDL levels within the group fed a high-fat diet (42,43). This is further supported by Hayek et al (42), where administration of high-fat diets provided for 4 weeks resulted in an increase in HDL levels.

In general, the ethyl acetate fraction resulted in the most favourable effects, as the lipid-lowering profile included reduced total cholesterol and LDL levels, compared with the ethanol extract. This result is supported by the total phenolic contents of the two extracts, as the total phenolic content was higher in the ethyl acetate fraction compared with the ethanol extract.

The results of the present study are supported by previous studies that have shown the presence of an association between the intake of flavonoids such as flavones and flavonols and a decreased risk of coronary artery disease; even data on the intake of anthocyanins and flavanones showed reduced mortality rates from coronary cardiovascular diseases (CVDs) (44-46). A meta-analysis demonstrated that the consumption of three cups of tea per day reduced the risk of CVD by 11%, while the consumption of red wine reduced the risk of CVD by 32% (47). A high intake of flavonoids from herbs was associated with a reduced risk of developing cardiovascular disease. The mechanism underlying their beneficial effects however, remain unclear, but current evidence suggests that flavonoids can affect cardiovascular risk factors (35).

A limitation of the present study was the use of a single dose for assessing the effects of the extracts and the fraction. Thus, the dose-dependency and optimal dose were not determined. Furthermore, quantitative tests of various compounds in the extracts and fractions were not performed; thus, synergy calculations could not be performed.

In summary, a pure compound was extracted from I. cylindrica roots in the form of a yellow powder. Based on the results of the analysis by 1H-NMR and 13C-NMR, the isolated compound was shown to be a flavonoid, which consisted of 18 carbon atoms and 16 hydrogen atoms and was termed 7,3',5'-trimethoxyflavonol. The in vivo tests showed that the ethyl acetate fraction of I. cylindrica reduced total cholesterol and LDL level more effectively than the ethanol extract but did not affect HDL levels in a rat model of hypercholesterolemia.

Acknowledgements

We would like to thank Associate Professor Yoshiaki Takaya (Faculty of Pharmacy, Meijo University, Nagoya, Japan) for his support.

Funding

The present study was supported by a Grant-in-Aid from Dato' Sri Prof. Dr. Tahir through the Tahir Professorship Program.

Availability of data and materials

The datasets used and/or analysed during the present study are available from the corresponding author on reasonable request.

Authors' contributions

SKh conceived and designed the study. NSA, ANK, SKh, SKu and SSu performed the sample collection. SKh, CDKW and SSo performed the laboratory experiments. SKh and CDKW analysed the data and wrote the manuscript. All authors read and approved the final manuscript.

Ethics approval and consent to participate

This study was approved by the Ethics Committee of the Faculty of Medicine, University of Airlangga (Surabaya, Indonesia) (approval no. 027/EC/KEPK/FKUA/2012).

Patient consent for publication

Not applicable.

Competing interests

The authors declare that they have no competing interests.

References

1 

Hidayat S and Rachmadiyanto AN: Utilization of Alang-Alang (Imperata cylindrica (L.) Raeusch.) as Traditional Medicine in Indonesian Archipelago. Proc 1st Satreps Conf. 1:82–89. 2017.

2 

Subositi D and Widodo H: Genetic diversity of Cogon grass (Imperata cylindrica (L.) Beauv) based on the intersimpel marking of the sequence repeat (ISSR). Jurnal Ilmu-Ilmu Hayati. 17:115–122. 2018.

3 

Khaerunnisa S: Utilization of bioactive compounds from alang-alang root (Imperata cylindrica) as an antioxidant, 2009.

4 

Lalthanpuii PB, Zarzokimi   and Lalchhandama K: Some phytochemical analyses of different extracts of the cogon grass Imperata cylindrica from Mizoram, India. Sci Vis. 18:120–124. 2018.

5 

Padma R, Parvathy NG, Renjith V and Rahate KP: Quantitative estimation of tannins, phenols and antioxidant activity of methanolic extract of Imperata cylindrica. Int J Res Pharm Sci. 4:73–77. 2013.

6 

Anggraeni N, Syamsunarno MRA, Mukarromah GR, Zada A, Triatin RD, Pamela Y and Dhianawaty D: Low Serum cholesterol in Mice Pre-treated with Imperata cylindrica L. after Acute Olive Oil Gavage. KnE Life Sci. 3(460)2017.

7 

National Heart Foundation of Australia: The economic burden of Hypercholesterolaemia. Australia, 2018.

8 

Alinde OBL, Esterhuyse AJ and Oguntibeju OO: Role of reactive oxygen species in the pathogenesis of cardiovascular disease. Sci Res Essays. 7:4151–4159. 2012.

9 

Malekmohammad K, Sewell RDE and Rafieian-Kopaei M: Antioxidants and atherosclerosis: Mechanistic aspects. Biomolecules. 9(301)2019.PubMed/NCBI View Article : Google Scholar

10 

Panth N, Paudel KR and Parajuli K: Reactive oxygen species: A key hallmark of cardiovascular disease. Adv Med. 2016(9152732)2016.PubMed/NCBI View Article : Google Scholar

11 

Singh UN, Kumar S and Dhakal S: Study of oxidative stress in hypercholesterolemia. Int J Contemp Med Res. 4:2454–7379. 2017.

12 

Phaniendra A and Latha P: Free radicals: Properties, sources, targets, and their implication in various free radicals: Properties, sources, targets, and their implication in various diseases. Ind J Clin Biochem. 30:11–26. 2014.PubMed/NCBI View Article : Google Scholar

13 

Das Sarma A, Rahaman Mallick A and Ghosh A: Free radicals and their role in different clinical conditions: An overview. Int J Pharma Scie Res. 1:185–192. 2010.

14 

Abdul Qadir M, Shahzadi SK, Bashir A, Munir A and Shahzad S: Evaluation of phenolic compounds and antioxidant and antimicrobial activities of some common herbs. Int J Anal Chem. 2017(6)2017.PubMed/NCBI View Article : Google Scholar

15 

Tungmunnithum D, Thongboonyou A, Pholboon A and Yangsabai A: Flavonoids and other phenolic compounds from medicinal plants for pharmaceutical and medical aspects: An overview. Medicines. 5(93)2018.PubMed/NCBI View Article : Google Scholar

16 

Rajput B, Golave A, Yadav S and Jadhav JP: Total phenolic concentrations and antioxidant activities in Drimia sp. J Herbs Spices Med Plants. 24:28–36. 2018.

17 

Sánchez-Rangel Carlos J, Jorge BJ, Heredia JB, Zevallos LC and Jacobo-Velázquez DA: The Folin-Ciocalteu assay revisited: Improvement of its speci fi city for total phenolic content determination. Anal Methods. 5:5990–5999. 2013.

18 

Blainski A, Lopes G and de Mello J: Application and analysis of the folin ciocalteu method for the determination of the total phenolic content from Limonium Brasiliense L. Molecules. 18:6852–6864. 2013.PubMed/NCBI View Article : Google Scholar

19 

Mohamed OS, Said MM, Ali ZY, Atia HA and Mostafab HS: Improving effect of dietary oat bran supplementation on oxidative stress induced by hyperlipidemic diet. Researcher. 3:1–10. 2011.

20 

National Research Council (US) Committee for the Update of the Guide for the Care and Use of Laboratory Animals. Guide for the Care and Use of Laboratory Animals. 8th edition. Washington (DC), National Academies Press (US); 2011. Available from: https://www.ncbi.nlm.nih.gov/books/NBK54050/ doi: 10.17226/12910.

21 

Suratman S, Listyawati S and Sutarno S: Physical characteristics and NaCl content of urine white male rat (Rattus norvegicus L.) after orally intakes of cogon grass rhizome (Imperata cylindrica L.) extract. Biofarmasi J Nat Prod Biochem. 1:7–12. 2003.

22 

Gilbert G and Lickliter R: The various roles of animal models in understanding human development. Soc Dev. 13:311–325. 2004.

23 

Suryaningtyas W, Prasetyo R and Dewi B: Research and laboratory techniques in experimental animals and human. Airlangga University Press, Surabaya, 2015.

24 

Chow PKH, Ng RTH and Ogden BE: Using Animal Models in Biomedical Research. World Scientific Publishing, Singapore, pp 1-308, 2008.

25 

Institutional Animal care and use committee: Anesthesia (Guideline). Available from: https://animal.research.uiowa.edu/iacuc-guidelines-anesthesia.

26 

Mohamed DA, Hamed TE and Al-Okbi SY: Reduction in hypercholesterolemia and risk of cardiovascular diseases by mixtures of plant food extracts: A study on plasma lipid profile, oxidative stress and testosterone in rats. Grasas Y Aceites: 61: 2010 doi: 10.3989/gya.021210.

27 

Awaad S, Mohamed N, Maitland D and Soliman G: Anti-ulcerogenic activity of extract and some isolated flavonoids from Desmostachia bipinnata (L.) Stapf. Rec Nat Prod. 2(76)2008.

28 

Markham K: How to identify flavonoids. Institut Teknologi Bandung, Bandung, 1988.

29 

Krishnaiah D, Devi T, Bono A and Sarbatly R: Studies on phytochemical constituents of six Malaysian medicinal plants. J Med Plants Res. 3:067–072. 2009.

30 

Babu RH and Savithramma N: Phytochemical screening of underutilized species of Poaceae. An Int J. 1:947–951. 2013.

31 

Zhou X, Wang J, Jiang B, Shang J and Zhao C: A study of extraction process and in vitro antioxidant activity of total phenols from Rhizoma imperatae. Afr J Traditional Complementary Alternative Med. 10:175–178. 2013.PubMed/NCBI View Article : Google Scholar

32 

Akpakpan A, Ukpong EJ and Willie I: Phytochemical screening of the ethanol and aqueous extracts of dicliptera verticillata leaves phytochemical screening of the ethanol and aqueous extracts of dicliptera verticillata Leaves, 2017.

33 

Afrose S, Hossain S, Salma U, Miah AG and Tsujii H: Dietary karaya saponin and Rhodobacter capsulatus exert hypocholesterolemic effects by suppression of hepatic cholesterol synthesis and promotion of bile acid synthesis in laying hens. Cholesterol. 2010(7)2010.PubMed/NCBI View Article : Google Scholar

34 

Shi Y, Guo R, Wang X, Yuan D, Zhang S, Wang J, Yan X and Wang C: The regulation of alfalfa saponin extract on key genes involved in hepatic cholesterol metabolism in hyperlipidemic rats. PLoS One. 9(e88282)2014.PubMed/NCBI View Article : Google Scholar

35 

Vinarova L, Vinarov Z, Atanasov V, Pantcheva I, Tcholakova S, Denkov N and Stoyanov S: Lowering of cholesterol bioaccessibility and serum concentrations by saponins: In vitro and in vivo studies. Food Funct. 6:501–512. 2015.PubMed/NCBI View Article : Google Scholar

36 

Kobayashi S: The effect of polyphenols on hypercholesterolemia through inhibiting the transport and expression of Niemann-Pick C1-Like 1. Int J Mol Sci. 20(4939)2019.PubMed/NCBI View Article : Google Scholar

37 

Zeka K, Ruparelia K, Arroo R, Budriesi R and Micucci M: Flavonoids and their metabolites: Prevention in cardiovascular diseases and diabetes. Diseases. 5(19)2017. View Article : Google Scholar

38 

Millar CL, Duclos Q and Blesso CN: Effects of dietary flavonoids on reverse cholesterol transport, HDL metabolism, and HDL function. Adv Nutr. 8:226–239. 2017.PubMed/NCBI View Article : Google Scholar

39 

Caesar LK and Cech NB: Synergy and antagonism in natural product extracts: When 1 + 1 does not equal 2. Nat Prod Rep. 36:869–888. 2019.PubMed/NCBI View Article : Google Scholar

40 

Roza JM, Xian-Liu Z and Guthrie N: Effect of citrus flavonoids and tocotrienols on serum cholesterol levels in hypercholesterolemic subjects. Altern Ther Health Med. 13:44–48. 2007.PubMed/NCBI

41 

Dauqan EMA, Abdullah A, Sani HA and Selangor B: Lipid profile and antioxidant enzymes in normal and stressed rat fed with palm olein school of biosciences and biotechnology, school of chemical sciences and food technology, faculty of science and technology. Am J Appl Sci. 9:1071–1078. 2012.

42 

Hayek T, Ito Y, Azrolan N, Verdery RB, Aalto-Setmla K, Walsh A and Breslow JL: Dietary fat increases high density lipoprotein (HDL) levels both by increasing the transport rates and decreasing the fractional catabolic rates of HDL cholesterol ester and apolipoprotein (Apo) A-I. Presentation of a new animal model and mechanistic studies in human Apo A-I transgenic and control mice. J Clin Invest. 91:1665–1671. 1993.PubMed/NCBI View Article : Google Scholar

43 

San Mauro Martín I, Collado Yurrita L, Cuadrado Cenzual MÁ, Ciudad Cabañas MJ and Mendive Dubourdieu P: Role of ApoA1 on High-density lipoprotein: An intervention with plant sterols in patients with hypercholesterolemia. Nutr Hosp. 31:494–499. 2014.PubMed/NCBI View Article : Google Scholar

44 

Wallace TC: Anthocyanins in cardiovascular disease prevention anthocyanins in cardiovascular disease 1. Adv Nutr. 2:1–7. 2011.PubMed/NCBI View Article : Google Scholar

45 

Grassi D, Desideri G and Ferri C: Flavonoids: Antioxidants against atherosclerosis. Nutrients. 2:889–902. 2010.PubMed/NCBI View Article : Google Scholar

46 

Cassidy A, Bertoia M, Chiuve S, Flint A, Forman J and Rimm EB: Habitual intake of anthocyanins and flavanones and risk of cardiovascular disease in men. Am J Clin Nutr. 104:587–594. 2016.PubMed/NCBI View Article : Google Scholar

47 

Vauzour D, Rodriguez-Mateos A, Corona G, Oruna-Concha MJ and Spencer JPE: Polyphenols and human health: Prevention of disease and mechanisms of action. Nutrients. 2:1106–1131. 2010.PubMed/NCBI View Article : Google Scholar

Related Articles

  • Abstract
  • View
  • Download
  • Twitter
Copy and paste a formatted citation
Spandidos Publications style
Khaerunnisa S, Aminah NS, Kristanti AN, Kuswarini S, Wungu CD, Soetjipto S and Suhartati S: Isolation and identification of a flavonoid compound and <em>in&nbsp;vivo</em> lipid‑lowering properties of <em>Imperata&nbsp;cylindrica</em>. Biomed Rep 13: 38, 2020.
APA
Khaerunnisa, S., Aminah, N.S., Kristanti, A.N., Kuswarini, S., Wungu, C.D., Soetjipto, S., & Suhartati, S. (2020). Isolation and identification of a flavonoid compound and <em>in&nbsp;vivo</em> lipid‑lowering properties of <em>Imperata&nbsp;cylindrica</em>. Biomedical Reports, 13, 38. https://doi.org/10.3892/br.2020.1345
MLA
Khaerunnisa, S., Aminah, N. S., Kristanti, A. N., Kuswarini, S., Wungu, C. D., Soetjipto, S., Suhartati, S."Isolation and identification of a flavonoid compound and <em>in&nbsp;vivo</em> lipid‑lowering properties of <em>Imperata&nbsp;cylindrica</em>". Biomedical Reports 13.5 (2020): 38.
Chicago
Khaerunnisa, S., Aminah, N. S., Kristanti, A. N., Kuswarini, S., Wungu, C. D., Soetjipto, S., Suhartati, S."Isolation and identification of a flavonoid compound and <em>in&nbsp;vivo</em> lipid‑lowering properties of <em>Imperata&nbsp;cylindrica</em>". Biomedical Reports 13, no. 5 (2020): 38. https://doi.org/10.3892/br.2020.1345
Copy and paste a formatted citation
x
Spandidos Publications style
Khaerunnisa S, Aminah NS, Kristanti AN, Kuswarini S, Wungu CD, Soetjipto S and Suhartati S: Isolation and identification of a flavonoid compound and <em>in&nbsp;vivo</em> lipid‑lowering properties of <em>Imperata&nbsp;cylindrica</em>. Biomed Rep 13: 38, 2020.
APA
Khaerunnisa, S., Aminah, N.S., Kristanti, A.N., Kuswarini, S., Wungu, C.D., Soetjipto, S., & Suhartati, S. (2020). Isolation and identification of a flavonoid compound and <em>in&nbsp;vivo</em> lipid‑lowering properties of <em>Imperata&nbsp;cylindrica</em>. Biomedical Reports, 13, 38. https://doi.org/10.3892/br.2020.1345
MLA
Khaerunnisa, S., Aminah, N. S., Kristanti, A. N., Kuswarini, S., Wungu, C. D., Soetjipto, S., Suhartati, S."Isolation and identification of a flavonoid compound and <em>in&nbsp;vivo</em> lipid‑lowering properties of <em>Imperata&nbsp;cylindrica</em>". Biomedical Reports 13.5 (2020): 38.
Chicago
Khaerunnisa, S., Aminah, N. S., Kristanti, A. N., Kuswarini, S., Wungu, C. D., Soetjipto, S., Suhartati, S."Isolation and identification of a flavonoid compound and <em>in&nbsp;vivo</em> lipid‑lowering properties of <em>Imperata&nbsp;cylindrica</em>". Biomedical Reports 13, no. 5 (2020): 38. https://doi.org/10.3892/br.2020.1345
Follow us
  • Twitter
  • LinkedIn
  • Facebook
About
  • Spandidos Publications
  • Careers
  • Cookie Policy
  • Privacy Policy
How can we help?
  • Help
  • Live Chat
  • Contact
  • Email to our Support Team