Spandidos Publications Logo
  • About
    • About Spandidos
    • Aims and Scopes
    • Abstracting and Indexing
    • Editorial Policies
    • Reprints and Permissions
    • Job Opportunities
    • Terms and Conditions
    • Contact
  • Journals
    • All Journals
    • Oncology Letters
      • Oncology Letters
      • Information for Authors
      • Editorial Policies
      • Editorial Board
      • Aims and Scope
      • Abstracting and Indexing
      • Bibliographic Information
      • Archive
    • International Journal of Oncology
      • International Journal of Oncology
      • Information for Authors
      • Editorial Policies
      • Editorial Board
      • Aims and Scope
      • Abstracting and Indexing
      • Bibliographic Information
      • Archive
    • Molecular and Clinical Oncology
      • Molecular and Clinical Oncology
      • Information for Authors
      • Editorial Policies
      • Editorial Board
      • Aims and Scope
      • Abstracting and Indexing
      • Bibliographic Information
      • Archive
    • Experimental and Therapeutic Medicine
      • Experimental and Therapeutic Medicine
      • Information for Authors
      • Editorial Policies
      • Editorial Board
      • Aims and Scope
      • Abstracting and Indexing
      • Bibliographic Information
      • Archive
    • International Journal of Molecular Medicine
      • International Journal of Molecular Medicine
      • Information for Authors
      • Editorial Policies
      • Editorial Board
      • Aims and Scope
      • Abstracting and Indexing
      • Bibliographic Information
      • Archive
    • Biomedical Reports
      • Biomedical Reports
      • Information for Authors
      • Editorial Policies
      • Editorial Board
      • Aims and Scope
      • Abstracting and Indexing
      • Bibliographic Information
      • Archive
    • Oncology Reports
      • Oncology Reports
      • Information for Authors
      • Editorial Policies
      • Editorial Board
      • Aims and Scope
      • Abstracting and Indexing
      • Bibliographic Information
      • Archive
    • Molecular Medicine Reports
      • Molecular Medicine Reports
      • Information for Authors
      • Editorial Policies
      • Editorial Board
      • Aims and Scope
      • Abstracting and Indexing
      • Bibliographic Information
      • Archive
    • World Academy of Sciences Journal
      • World Academy of Sciences Journal
      • Information for Authors
      • Editorial Policies
      • Editorial Board
      • Aims and Scope
      • Abstracting and Indexing
      • Bibliographic Information
      • Archive
    • International Journal of Functional Nutrition
      • International Journal of Functional Nutrition
      • Information for Authors
      • Editorial Policies
      • Editorial Board
      • Aims and Scope
      • Abstracting and Indexing
      • Bibliographic Information
      • Archive
    • International Journal of Epigenetics
      • International Journal of Epigenetics
      • Information for Authors
      • Editorial Policies
      • Editorial Board
      • Aims and Scope
      • Abstracting and Indexing
      • Bibliographic Information
      • Archive
    • Medicine International
      • Medicine International
      • Information for Authors
      • Editorial Policies
      • Editorial Board
      • Aims and Scope
      • Abstracting and Indexing
      • Bibliographic Information
      • Archive
  • Articles
  • Information
    • Information for Authors
    • Information for Reviewers
    • Information for Librarians
    • Information for Advertisers
    • Conferences
  • Language Editing
Spandidos Publications Logo
  • About
    • About Spandidos
    • Aims and Scopes
    • Abstracting and Indexing
    • Editorial Policies
    • Reprints and Permissions
    • Job Opportunities
    • Terms and Conditions
    • Contact
  • Journals
    • All Journals
    • Biomedical Reports
      • Information for Authors
      • Editorial Policies
      • Editorial Board
      • Aims and Scope
      • Abstracting and Indexing
      • Bibliographic Information
      • Archive
    • Experimental and Therapeutic Medicine
      • Information for Authors
      • Editorial Policies
      • Editorial Board
      • Aims and Scope
      • Abstracting and Indexing
      • Bibliographic Information
      • Archive
    • International Journal of Epigenetics
      • Information for Authors
      • Editorial Policies
      • Editorial Board
      • Aims and Scope
      • Abstracting and Indexing
      • Bibliographic Information
      • Archive
    • International Journal of Functional Nutrition
      • Information for Authors
      • Editorial Policies
      • Editorial Board
      • Aims and Scope
      • Abstracting and Indexing
      • Bibliographic Information
      • Archive
    • International Journal of Molecular Medicine
      • Information for Authors
      • Editorial Policies
      • Editorial Board
      • Aims and Scope
      • Abstracting and Indexing
      • Bibliographic Information
      • Archive
    • International Journal of Oncology
      • Information for Authors
      • Editorial Policies
      • Editorial Board
      • Aims and Scope
      • Abstracting and Indexing
      • Bibliographic Information
      • Archive
    • Medicine International
      • Information for Authors
      • Editorial Policies
      • Editorial Board
      • Aims and Scope
      • Abstracting and Indexing
      • Bibliographic Information
      • Archive
    • Molecular and Clinical Oncology
      • Information for Authors
      • Editorial Policies
      • Editorial Board
      • Aims and Scope
      • Abstracting and Indexing
      • Bibliographic Information
      • Archive
    • Molecular Medicine Reports
      • Information for Authors
      • Editorial Policies
      • Editorial Board
      • Aims and Scope
      • Abstracting and Indexing
      • Bibliographic Information
      • Archive
    • Oncology Letters
      • Information for Authors
      • Editorial Policies
      • Editorial Board
      • Aims and Scope
      • Abstracting and Indexing
      • Bibliographic Information
      • Archive
    • Oncology Reports
      • Information for Authors
      • Editorial Policies
      • Editorial Board
      • Aims and Scope
      • Abstracting and Indexing
      • Bibliographic Information
      • Archive
    • World Academy of Sciences Journal
      • Information for Authors
      • Editorial Policies
      • Editorial Board
      • Aims and Scope
      • Abstracting and Indexing
      • Bibliographic Information
      • Archive
  • Articles
  • Information
    • For Authors
    • For Reviewers
    • For Librarians
    • For Advertisers
    • Conferences
  • Language Editing
Login Register Submit
  • This site uses cookies
  • You can change your cookie settings at any time by following the instructions in our Cookie Policy. To find out more, you may read our Privacy Policy.

    I agree
Search articles by DOI, keyword, author or affiliation
Search
Advanced Search
presentation
Biomedical Reports
Join Editorial Board Propose a Special Issue
Print ISSN: 2049-9434 Online ISSN: 2049-9442
Journal Cover
February-2023 Volume 18 Issue 2

Full Size Image

Sign up for eToc alerts
Recommend to Library

Journals

International Journal of Molecular Medicine

International Journal of Molecular Medicine

International Journal of Molecular Medicine is an international journal devoted to molecular mechanisms of human disease.

International Journal of Oncology

International Journal of Oncology

International Journal of Oncology is an international journal devoted to oncology research and cancer treatment.

Molecular Medicine Reports

Molecular Medicine Reports

Covers molecular medicine topics such as pharmacology, pathology, genetics, neuroscience, infectious diseases, molecular cardiology, and molecular surgery.

Oncology Reports

Oncology Reports

Oncology Reports is an international journal devoted to fundamental and applied research in Oncology.

Experimental and Therapeutic Medicine

Experimental and Therapeutic Medicine

Experimental and Therapeutic Medicine is an international journal devoted to laboratory and clinical medicine.

Oncology Letters

Oncology Letters

Oncology Letters is an international journal devoted to Experimental and Clinical Oncology.

Biomedical Reports

Biomedical Reports

Explores a wide range of biological and medical fields, including pharmacology, genetics, microbiology, neuroscience, and molecular cardiology.

Molecular and Clinical Oncology

Molecular and Clinical Oncology

International journal addressing all aspects of oncology research, from tumorigenesis and oncogenes to chemotherapy and metastasis.

World Academy of Sciences Journal

World Academy of Sciences Journal

Multidisciplinary open-access journal spanning biochemistry, genetics, neuroscience, environmental health, and synthetic biology.

International Journal of Functional Nutrition

International Journal of Functional Nutrition

Open-access journal combining biochemistry, pharmacology, immunology, and genetics to advance health through functional nutrition.

International Journal of Epigenetics

International Journal of Epigenetics

Publishes open-access research on using epigenetics to advance understanding and treatment of human disease.

Medicine International

Medicine International

An International Open Access Journal Devoted to General Medicine.

Journal Cover
February-2023 Volume 18 Issue 2

Full Size Image

Sign up for eToc alerts
Recommend to Library

  • Article
  • Citations
    • Cite This Article
    • Download Citation
    • Create Citation Alert
    • Remove Citation Alert
    • Cited By
  • Similar Articles
    • Related Articles (in Spandidos Publications)
    • Similar Articles (Google Scholar)
    • Similar Articles (PubMed)
  • Download PDF
  • Download XML
  • View XML
Article Open Access

CRP as a potential predictor of outcome in acute ischemic stroke

  • Authors:
    • Jing Bian
    • Siping Guo
    • Tingting Huang
    • Xiuyun Li
    • Shoucai Zhao
    • Zhaohu Chu
    • Zibao Li
  • View Affiliations / Copyright

    Affiliations: Department of Neurology, Yijishan Hospital of Wannan Medical College, Wuhu, Anhui 241001, P.R. China, Department of Neurology, Suzhou Dushuhu Public Hospital, Suzhou, Jiangsu 215125, P.R. China
    Copyright: © Bian et al. This is an open access article distributed under the terms of Creative Commons Attribution License.
  • Article Number: 17
    |
    Published online on: January 17, 2023
       https://doi.org/10.3892/br.2023.1599
  • Expand metrics +
Metrics: Total Views: 0 (Spandidos Publications: | PMC Statistics: )
Metrics: Total PDF Downloads: 0 (Spandidos Publications: | PMC Statistics: )
Cited By (CrossRef): 0 citations Loading Articles...

This article is mentioned in:



Abstract

Ischemic stroke is one of the major causes of death and long‑term disability worldwide. C‑reactive protein (CRP) as a potential biomarker for functional outcome after acute ischemic stroke remains controversial. The aim of the present study was to examine the association between the level of CRP and functional outcome of stroke. A total of 218 consecutive patients with acute ischemic stroke within 24 h after onset were recruited for the study. Poor functional outcome was defined as a modified Rankin scale score of >2 at 3 months after stroke. The retrospective analysis was performed to investigate whether CRP within 24 h after stroke is associated with poor functional outcome at 3 months. Multivariate logistic regression analysis indicated that the CRP level (odds ratio=1.146, 95%CI: 1.012‑1.297, P=0.031) was an independent risk factor for poor outcome. The receiver operating characteristics curve analysis revealed that the optimal cut‑off value of CRP to distinguish favorable from poor outcome was 6.34 (area under the curve=0.829, 95%CI: 0.772‑0.887, P<0.001), with 68.2% sensitivity and 85.7% specificity. Spearman correlation analysis indicated that the CRP level was positively related to the baseline National Institutes of Health Stroke Scale (NIHSS) score (r=0.551, P<0.001), fasting glucose (r=0.301, P<0.001) and age (r=0.252, P<0.001). In conclusion, a high level of CRP within 24 h after onset was associated with a poor functional outcome after the acute ischemic event. The elevation of CRP may be correlated with the baseline NIHSS score, fasting glucose and age.

Introduction

Stroke is a serious global health problem and the second leading cause of disability worldwide (1,2). An estimated 80-87% of cases are ischemic (3). Over the past few decades, it has been established that inflammatory reaction has a vital pathophysiological role in the development of ischemic stroke (4,5). In the acute phase, inflammation may aggravate secondary brain damage through activation of glial cells, upregulation of pro-inflammatory cytokines and disruption of the blood-brain barrier (6). This suggests, to a certain extent, that inflammation may be a target for the prevention of secondary strokes (7).

Plasma C-reactive protein (CRP) is predominantly synthesized by the liver after tissue damage and is a sensitive marker of inflammation (8). According to previous research, CRP-based inflammatory markers were associated with various inflammatory conditions, such as diabetic nephropathy (9), subacute thyroiditis (10) and hepatitis (11). As stroke is also associated with inflammation, it is worthwhile studying CRP in subjects who have suffered a stroke. Although the association between CRP and clinical outcomes in patients with stroke has been under intense investigation, it has remained inconclusive. Certain studies suggested that CRP was related to post-stroke functional outcome (12-15), whereas other studies reported no significant association (8,16,17). In addition, factors that may be related to CRP levels in patients with acute ischemic stroke have rarely been explored.

In the present study, the association between plasma CRP levels and the functional outcomes of patients with acute ischemic stroke were investigated and relevant factors that may influence CRP expression levels were analyzed.

Subjects and methods

Patients

The study included 218 consecutive patients with acute ischemic stroke who were hospitalized and treated at the affiliated hospital of Soochow University (Suzhou, China) within 24 h after the onset of symptoms between June 2019 and January 2020. Acute ischemic stroke was defined as a sudden global or focal neurological deficit persisting for >24 h, which occurred owing to global or focal brain dysfunction as confirmed by computed tomography and/or magnetic resonance imaging at first presentation (18). Patients with hemorrhagic stroke, stroke mimics (such as hypoglycemia or complicated migraine), transient ischemic attack, a history of recent infection within 1 month prior to the stroke, infection as a secondary complication of stroke within 24 h after admission, history of surgery or trauma within 3 months, statin use, corticosteroids or anti-inflammatory drug use prior to hospitalization were excluded from the present study. Infection, such as pneumonia, urinary tract infections or pressure sore, was diagnosed by chest X-ray, routine urine analysis or comprehensive physical examination. All participants were given standardized antithrombotic treatment following the 2018 China Guidelines for the Diagnosis and Treatment of Acute Ischemic Stroke (19). Written informed consent was obtained from the patients or their relatives. The present study was approved by the ethics committee of the Affiliated Hospital of Soochow University (Suzhou, China; no. 2018104).

Stroke-related clinical data

The patients' data, including age, sex, stroke severity evaluated by the initial National Institutes of Health Stroke Scale (NIHSS) score, past medical history (hypertension, diabetes, coronary heart disease, atrial fibrillation, smoking and alcohol consumption), the laboratory data (low-density lipoprotein, high-density lipoprotein, triglycerides, total cholesterol, CRP and fasting glucose), were retrospectively reviewed. Venous fasting blood samples were obtained from each patient on the morning after admission. The level of CRP was measured by immunoturbidimetry assay (Olympus Au2700 automatic biochemical analyzer; Orion Diagnostics Oy). Hypertension was defined based on history of high blood pressure and/or two or more recordings exceeding 140/90 mmHg during the hospital stay. Type 2 diabetes was defined based on any history of diabetes and/or a fasting glucose level of ≥7.0 mmol/l or random blood glucose ≥11 mmol/l measured at >2 different time-points during the hospital stay. Atrial fibrillation was defined when at least one electrocardiogram indicated the presence of atrial fibrillation during the hospital stay or if a history of atrial fibrillation was present. Smoking was defined as smoking of at least one cigarette a day for at least six months prior to hospitalization. Alcohol consumption was defined as drinking alcohol more than once a week on average during the past year.

Functional outcome measurement

Trained neurologists determined the modified Rankin Scale (mRS) scores [ranging from 0 (no symptoms at all) to 6 (death)] to evaluate functional outcomes after 3 months. The mRS score was usually recorded in the outpatient department or via a standardized telephone follow-up interview if the former was not feasible. A poor functional outcome was defined as an mRS score >2 at 3 months after stroke (20).

Statistical analysis

The Kolmogorov-Smirnov test was used to analyze whether the data for the study variables followed a normal distribution. Continuous variables conforming to a normal distribution are expressed as the mean ± standard deviation (SD) and continuous variables with a non-normal distribution as the median [interquartile range (IQR)]. Categorical variables are expressed as n (%). Differences between the two groups were examined using χ2, t-tests and Mann-Whitney U-tests as appropriate. Furthermore, multivariate logistic regression models were used to determine factors independently associated with clinical outcome at 3 months. Odds ratios (OR) and 95% confidence intervals (CI) were calculated to estimate the association between CRP levels and functional outcome. Receiver operating characteristic (ROC) curve analysis and Youden's J statistic were used to determine the best cut-off value of CRP for predicting poor outcome. A Spearman correlation analysis was used to explore the correlation between the stroke-related variables and CRP levels. All tests were two-sided and P<0.05 was considered to indicate statistical significance. All statistical analyses were performed using SPSS for Windows (version 23.0; IBM Corporation).

Results

Baseline characteristics

The clinical characteristics, laboratory data and outcomes of the patients were summarized in Table I. Of the 218 patients, 133 (61.0%) were male and 85 (39.0%) were female. The mean age was 66.7±12.3 years. The median NIHSS score on admission was 10.0 (IQR, 6.0-14.0). The median CRP level was 3.7 (IQR, 1.7-10.6) mg/l. The 3-month mRS scores were obtained by the outpatient department follow-up for 48 (22.0%) patients and standardized telephone follow-up interview for 170 (78.0%) patients. In total, 85 (39.0%) patients had a poor functional outcome and 35 (16.1%) died at 3 months after their acute ischemic stroke (data not shown).

Table I

Results of the univariate analysis of factors affecting the 3-month functional outcome (modified ranking scale at the third month after stroke) of patients with acute ischemic stroke.

Table I

Results of the univariate analysis of factors affecting the 3-month functional outcome (modified ranking scale at the third month after stroke) of patients with acute ischemic stroke.

VariableAll patients (n=218)Poor outcome (n=85)Favorable outcome (n=133)P-value
Age, years66.7±12.370.0±12.464.7±11.90.002
Male sex133 (61.0)57 (67.1)76 (57.1)0.143
Initial NIHSS score10 (6-14)16 (12-20)8 (5-9)<0.001
Past medical history    
     Hypertension149 (68.3)54 (70.0)95 (71.4)0.221
     Diabetes37 (17.0)16 (16.7)21 (17.0)0.560
     Coronary heart disease68 (31.2)26 (30.6)42 (31.6)0.878
     Atrial fibrillation33 (15.1)9 (10.6)24 (18.0)0.134
     Smoking59 (27.0)20 (23.5)39 (29.3)0.348
     Alcohol consumption39 (17.9)11 (12.9)28 (21.1)0.127
Laboratory results    
     Low-density lipoprotein, mg/dl2.5 (2.1-3.3)2.5 (2.1-3.3)2.5 (2.1-3.2)0.939
     High-density lipoprotein, mg/dl1.0 (0.9-1.2)1.0 (0.9-1.3)1.0 (0.9-1.2)0.549
     Triglycerides, mg/dl1.3 (1.0-2.0)1.3 (0.9-1.8)1.4 (1.0-2.1)0.245
     Total cholesterol, mg/dl4.3 (3.4-5.0)4.3 (3.6-5.1)4.2 (3.4-5.0)0.817
     CRP, mg/l3.7 (1.7-10.6)10.7 (5.1-13.6)1.9 (1.0-4.8)<0.001
     Fasting glucose, mmol/l5.6 (5.0-7.0)6.4 (5.5-7.9)5.3 (4.9-6.4)<0.001
     Telephone follow-up170 (78.0)62 (72.9)108 (81.2)0.375

[i] Values are expressed as the mean ± standard deviation, median (interquartile range) or n (%). CRP, C-reactive protein; NIHSS, National Institutes of Health Stroke scale.

In the univariate analysis, patients with poor functional outcomes were more likely to have an older age (mean, 70.0 vs. 64.7 years; P=0.002), higher NIHSS score (median, 16.0 vs. 8.0; P<0.001), higher level of fasting glucose (median, 6.4 vs. 5.3 mmol/l; P<0.001) and higher levels of CRP (median, 10.7 vs. 1.9 mg/l; P<0.001) compared to patients with good functional outcomes (Table I).

Multivariate model for poor outcome

After adjusting for age and fasting blood glucose, multivariate logistic regression analysis indicated that the CRP level (OR=1.146, 95%CI: 1.012-1.297, P=0.031; Table II) and NIHSS score (OR=2.056, 95%CI: 1.615-2.619, P<0.001; Table II) were independently associated with a poor outcome at 3 months after the stroke.

Table II

Results of the multivariate logistic regression analysis of factors affecting 3-month functional outcome of patients with acute ischemic stroke.

Table II

Results of the multivariate logistic regression analysis of factors affecting 3-month functional outcome of patients with acute ischemic stroke.

VariableOdds ratio95% confidence intervalP-value
Age1.0250.977-1.0760.310
Initial NIHSS score2.0561.615-2.619<0.001
CRP1.1461.012-1.2970.031
Fasting glucose1.1160.851-1.4630.428

[i] The regression analysis was performed for incremental increases of the parameters. CRP, C-reactive protein; NIHSS, National Institutes of Health Stroke scale.

Predictive value of CRP level for poor outcome

The ROC curve analysis indicated that the area under the ROC curve to distinguish favorable from poor outcome at 3 months was 0.829 (95% CI: 0.772-0.887, P<0.001). When the Youden index value was the highest (0.539), the optimal cut-off value of CRP found from the ROC curve was 6.34 mg/l, with 68.2% sensitivity and 85.7% specificity (Fig. 1).

Figure 1

ROC curve analysis of predictive value of C-reactive protein for functional outcome. ROC, receiver operating characteristic.

Baseline characteristics and relevant factors associated with different CRP levels

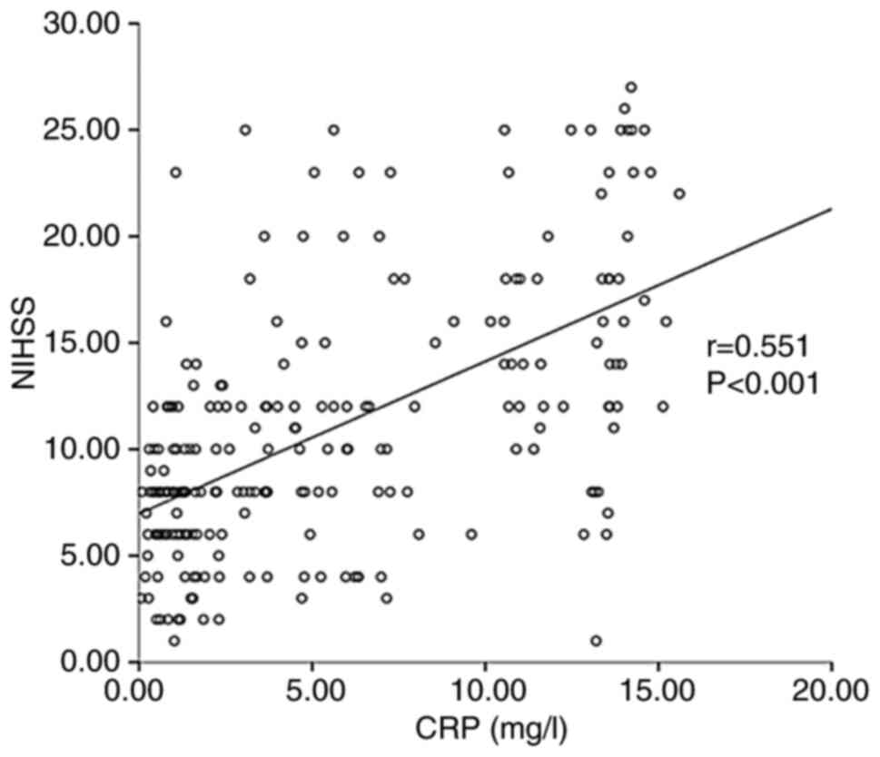
According to the optimal cut-off value of CRP, the patients were divided into two groups. Subsequently, χ2, t-tests or Mann-Whitney U-tests were performed as appropriate to explore stroke-related clinical data that may be related to the CRP expression level. Univariate analysis indicated that patients with CRP ≥6.34 mg/l were older (mean, 70.4 vs. 64.8 years; P=0.002), had a higher baseline NIHSS score (median, 14.5 vs. 8.0; P<0.001) and higher levels of fasting glucose (median, 6.4 vs. 5.3 mmol/l; P<0.001; Table III). Furthermore, a Spearman correlation analysis was used to investigate the association between stroke-related clinical data and CRP levels. The results indicated that the CRP level was positively related to the baseline NIHSS score (r=0.551, P<0.001) (Fig. 2), fasting glucose (r=0.301, P<0.001) (Fig. 3) and age (r=0.252, P<0.001) (Fig. 4).

Figure 2

CRP levels were positively correlated with the baseline NIHSS score. NIHSS, National Institutes of Health Stroke scale; CRP, C-reactive protein.

Figure 3

CRP levels were positively correlated with fasting glucose. CRP, C-reactive protein.

Figure 4

CRP levels were positively correlated with age. CRP, C-reactive protein.

Table III

Comparison of baseline characteristics and outcome of patients with different CRP levels.

Table III

Comparison of baseline characteristics and outcome of patients with different CRP levels.

VariableCRP <6.34 mg/l (n=142)CRP ≥6.34 mg/l (n=76)P-value
Age, years64.8±12.270.4±11.50.002
Male sex88 (62.0)45 (59.2)0.690
Initial NIHSS score8 (6-11.8)14.5 (11-18.5)<0.001
Past medical history   
     Hypertension95 (66.9)54 (71.1)0.530
     Diabetes24 (16.9)13 (17.1)0.970
     Coronary heart disease43 (30.3)25 (32.9)0.691
     Atrial fibrillation19 (13.4)14 (18.4)0.322
     Smoking37 (26.1)22 (28.9)0.647
     Alcohol consumption22 (15.5)17 (22.4)0.207
Laboratory results   
     Low-density lipoprotein, mg/dl2.5 (2.1-3.2)2.4 (2.0-3.3)0.213
     High-density lipoprotein, mg/dl1.0 (0.9-1.2)1.0 (0.9-1.3)0.363
     Triglycerides, mg/dl1.4 (1.0-2.1)1.2 (0.9-1.7)0.065
     Total cholesterol, mg/dl4.4 (3.7-5.0)3.9 (3.3-4.9)0.116
     Fasting glucose, mmol/l5.2 (4.8-6.4)6.4 (5.6-8.3)<0.001
     3-month mRS >225 (17.6)60 (78.9)<0.001

[i] Values are expressed as the mean ± standard deviation, median (interquartile range) or n (%). CRP, C-reactive protein; NIHSS, National Institutes of Health Stroke scale; mRS, modified Rankin scale.

Discussion

The present study indicated that elevated CRP levels within the first 24 h after stroke were significantly associated with poor functional outcome 3 months after stroke In addition, CRP levels were found to be likely correlated with stroke severity at admission, fasting glucose levels and age.

Similar to the findings reported in most studies (12-15), the present data indicated that CRP levels were independently associated with the functional outcomes of stroke. CRP is a glycoprotein produced by the liver, which may be rapidly upregulated by inflammatory cytokines, thereby potentiating ischemic brain injury (21). Furthermore, CRP may increase cerebral cell damage by promoting the development and progression of atherosclerosis, activating the complement system, inhibiting the fibrinolytic system and promoting thrombosis (22). Thus, an increase in CRP levels may reflect a greater degree of cerebral necrosis (22). Certain studies have indicated that CRP levels are not significantly associated with stroke outcomes. In the studies of Topakian et al (16) and Karlinski et al (17), CRP assessed within 24 h from symptom onset was not associated with the 3-month outcome; however, all of their patients were treated with intravenous thrombolysis treatment. The reason may be that early thrombolytic treatment may reduce systemic inflammation due to inhibition of brain tissue necrosis (23). Wang et al (8) performed a study comprising 368 patients and a systematic review of 18 studies involving 15,238 patients. They determined that CRP was not associated with poor outcome in patients with infection. Previous research has demonstrated that infection may prolong patients' hospital stay and delay recovery, thereby affecting functional outcomes (24). Furthermore, infection may significantly increase CRP levels, weakening the effect of CRP alone on stroke outcomes.

The present study determined that the best cutoff value of CRP to distinguish between good and poor outcomes was 6.34 mg/l, which was higher than the 3.0 mg/l reported by Li et al (15). This discrepancy is likely due to the fact that in this previous study, the cohort had mild ischemic stroke and transient ischemic attack with lower NIHSS scores than those in the present study.

In accordance with previous studies (25,26), the present study demonstrated that an elevated CRP level was correlated with stroke severity at admission, although the studies included different populations. Increased CRP levels may emphasize enhanced cerebral ischemia or a continuous increase in inflammation (27). There is increasing evidence that the inflammatory mechanism after cerebral ischemia may lead to secondary neuronal damage (25,27). Otherwise, stroke severity is usually related to the extent of brain tissue necrosis. When necrotic tissue is cleared by cells, body fluids and metabolic mechanisms, a part of the inflammatory response may be attributed to the increase in CRP (28). Therefore, it is not surprising that elevated CRP levels are positively correlated with stroke severity.

The present study also indicated that CRP levels were positively correlated with fasting blood glucose. Chinsky (29) reported that hyperglycemia may lead to insulin resistance and impaired insulin secretion due to inflammatory mediators and cytokines, such as interleukin-6 and TNF-α, as well as excessive CRP release, leading to uncontrolled or even systemic inflammatory reactions. Intensive insulin therapy by the strict control of blood glucose levels may help reduce the incidence of infection and systemic inflammatory response (30).

The present study indicated that CRP levels were positively related to age. Stephan et al (31) and Woloshin and Schwartz (32) reported that younger individuals tended to have lower CRP values due to higher homeostatic reserves and more sports activities, which reduces systemic inflammation and lowers CRP levels (33). This supports the present results.

However, the present study has certain limitations. This retrospective, single-center study had a limited sample size. Further studies with a larger sample size across multiple centers are required. Infarct volume and rehabilitation treatment are important factors for stroke outcome that should be considered. However, due to the retrospective nature of the present study, these data were not included in the present analysis; these data will be included in a subsequent study. CRP levels were measured only once per patient and the exact time of collecting the blood samples was unknown, although all blood samples were collected within 24 h in this study. Additional studies with serial CRP measurements and a precise blood collection time are required. Finally, important conditions influencing CRP levels were not excluded (e.g., tissue injury, neoplastic disease, acute coronary syndrome and other inflammatory diseases); therefore, further studies with strict inclusion and exclusion criteria are warranted.

In conclusion, the present results suggest that CRP levels were associated with functional outcomes 3 months after the acute ischemic event; furthermore, CRP levels were related to older age, higher baseline NIHSS score and the fasting glucose levels on the next morning after admission.

Acknowledgements

Not applicable.

Funding

Funding: This study was funded by the Natural Science Research Project of Universities of Anhui Province in China (grant no. 2022AH051244), the Health Research Program of Anhui in China (grant no. AHWJ2022b090) and the Scientific Research Fund Project for Talent Introduction of Yijishan Hospital in China (grant no. YR202111).

Availability of data and materials

The datasets used and/or analyzed during the current study are available from the corresponding author on reasonable request.

Authors' contributions

ZL was involved in all aspects of research, including study design, data analysis and revision of the manuscript. JB and SG analyzed the data and prepared the manuscript. TH and XL collected and analyzed general patient data. SZ and ZC interpreted the images and evaluated the clinical data of stroke patients. SG and ZC checked and approved the authenticity of the raw data. All authors have read and approved the final manuscript.

Ethics approval and consent to participate

The present study was approved by the ethics committee of the Affiliated Hospital of Soochow University (Suzhou, China; no. 2018104). All participants provided written informed consent in accordance with the Declaration of Helsinki.

Patient consent for publication

Not applicable.

Competing interests

The authors have no competing interests to declare.

References

1 

GBD 2019 Diseases and Injuries Collaborators. Global burden of 369 diseases and injuries in 204 countries and territories, 1990-2019: A systematic analysis for the Global Burden of Disease Study 2019. Lancet. 396:1204–1222. 2020.PubMed/NCBI View Article : Google Scholar

2 

Ojaghihaghighi S, Vahdati SS, Mikaeilpour A and Ramouz A: Comparison of neurological clinical manifestation in patients with hemorrhagic and ischemic stroke. World J Emerg Med. 8:34–38. 2017.PubMed/NCBI View Article : Google Scholar

3 

Benjamin EJ, Virani SS, Callaway CW, Chamberlain AM, Chang AR, Cheng S, Chiuve SE, Cushman M, Delling FN, Deo R, et al: Heart disease and stroke statistics-2018 update: A report from the American heart association. Circulation. 137:e67–e492. 2018.PubMed/NCBI View Article : Google Scholar

4 

Mu SW, Dang Y, Wang SS and Gu JJ: The role of high mobility group box 1 protein in acute cerebrovascular diseases. Biomed Rep. 9:191–197. 2018.PubMed/NCBI View Article : Google Scholar

5 

Godinho J, de Oliveira RMW, de Sa-Nakanishi AB, Bacarin CC, Huzita CH, Longhini R, Mello JCP, Nakamura CV, Previdelli IS, Dal Molin Ribeiro MH and Milani H: Ethyl-acetate fraction of Trichilia catigua restores long-term retrograde memory and reduces oxidative stress and inflammation after global cerebral ischemia in rats. Behav Brain Res. 337:173–182. 2018.PubMed/NCBI View Article : Google Scholar

6 

Xu X, Yuan L, Wang W, Xu J, Yang Q, Zhu Y, Xu Y, Yang K, Ge L, Huang X and Zhou Z: Systemic inflammatory response syndrome and outcomes in ischemic patients treated with endovascular treatment. Clin Interv Aging. 15:2331–2340. 2020.PubMed/NCBI View Article : Google Scholar

7 

Shi K, Tian DC, Li ZG, Ducruet AF, Lawton MT and Shi FD: Global brain inflammation in stroke. Lancet Neurol. 18:1058–1066. 2019.PubMed/NCBI View Article : Google Scholar

8 

Wang L, Li Y, Wang C, Guo W and Liu M: C-reactive protein, infection, and outcome after acute ischemic stroke: A registry and systematic review. Curr Neurovasc Res. 16:405–415. 2019.PubMed/NCBI View Article : Google Scholar

9 

Bilgin S, Kurtkulagi O, Atak BM, Duman TT, Kahveci G, Khalid A and Aktas G: Does C-reactive protein to serum Albumin Ratio correlate with diabEtic nephropathy in patients with Type 2 dIabetes MEllitus? The CARE TIME study. Prim Care Diabetes. 15:1071–1074. 2021.PubMed/NCBI View Article : Google Scholar

10 

Baruah MP, Bhattacharya B and Baruah UM: C-Reactive protein level can be a better indicator than erythrocyte sedimentation rate in assessing the severity of inflammation and guiding glucocorticoid therapy in subacute thyroiditis. Indian J Endocrinol Metab. 26:328–333. 2022.PubMed/NCBI View Article : Google Scholar

11 

Demirkol ME, Aktas G, Bilgin S, Kahveci G, Kurtkulagi O, Atak BM and Duman TT: C-reactive protein to lymphocyte count ratio is a promising novel marker in hepatitis C infection: The clear hep-c study. Rev Assoc Med Bras (1992). 68:838–841. 2022.PubMed/NCBI View Article : Google Scholar

12 

VanGilder RL, Davidov DM, Stinehart KR, Huber JD, Turner RC, Wilson KS, Haney E, Davis SM, Chantler PD, Theeke L, et al: C-reactive protein and long-term ischemic stroke prognosis. J Clin Neurosci. 21:547–553. 2014.PubMed/NCBI View Article : Google Scholar

13 

Rocco A, Ringleb PA, Grittner U, Nolte CH, Schneider A and Nagel S: Follow-up C-reactive protein level is more strongly associated with outcome in stroke patients than admission levels. Neurol Sci. 36:2235–2241. 2015.PubMed/NCBI View Article : Google Scholar

14 

Geng HH, Wang XW, Fu RL, Jing MJ, Huang LL, Zhang Q, Wang XX and Wang PX: The Relationship between C-Reactive Protein level and discharge outcome in patients with acute ischemic stroke. Int J Environ Res Public Health. 13(636)2016.PubMed/NCBI View Article : Google Scholar

15 

Li J, Zhao X, Meng X, Lin J, Liu L, Wang C, Wang A and Wang Y and Wang Y: CHANCE Investigators. High-Sensitive C-Reactive protein predicts recurrent stroke and poor functional outcome: Subanalysis of the clopidogrel in high-risk patients with acute nondisabling cerebrovascular events trial. Stroke. 47:2025–2030. 2016.PubMed/NCBI View Article : Google Scholar

16 

Topakian R, Strasak AM, Nussbaumer K, Haring HP and Aichner FT: Prognostic value of admission C-reactive protein in stroke patients undergoing iv thrombolysis. J Neurol. 255:1190–1196. 2008.PubMed/NCBI View Article : Google Scholar

17 

Karlinski M, Bembenek J, Grabska K, Kobayashi A, Baranowska A, Litwin T and Czlonkowska A: Routine serum C-reactive protein and stroke outcome after intravenous thrombolysis. Acta Neurol Scand. 130:305–311. 2014.PubMed/NCBI View Article : Google Scholar

18 

Lee S, Song IU, Na SH, Jeong DS and Chung SW: Association between long-term functional outcome and change in hs-CRP level in patients with acute ischemic stroke. Neurologist. 25:122–125. 2020.PubMed/NCBI View Article : Google Scholar

19 

Liu L, Chen W, Zhou H, Duan W, Li S, Huo X, Xu W, Huang L, Zheng H, Liu J, et al: Chinese Stroke Association guidelines for clinical management of cerebrovascular disorders: Executive summary and 2019 update of clinical management of ischaemic cerebrovascular diseases. Stroke Vasc Neurol. 5:159–176. 2020.PubMed/NCBI View Article : Google Scholar

20 

Zhang XG, Xue J, Yang WH, Xu XS, Sun HX, Hu L, Liu LY and Yue YH: Inflammatory markers as independent predictors for stroke outcomes. Brain Behav. 11(e01922)2021.PubMed/NCBI View Article : Google Scholar

21 

Ye Z, Zhang H, Sun L, Cai H, Hao Y, Xu Z, Zhang Z and Liu X: GWAS-Supported CRP gene polymorphisms and functional outcome of large artery atherosclerotic stroke in han Chinese. Neuromolecular Med. 20:225–232. 2018.PubMed/NCBI View Article : Google Scholar

22 

Abubakar SA, Okubadejo NU, Ojo OO, Oladipo O, Ojini FI and Danesi MA: Relationship between admission serum C-reactive protein and short term outcome following acute ischaemic stroke at a tertiary health institution in Nigeria. Niger J Clin Pract. 16:320–324. 2013.PubMed/NCBI View Article : Google Scholar

23 

Ye L, Cai R, Yang M, Qian J and Hong Z: Reduction of the systemic inflammatory induced by acute cerebral infarction through ultra-early thrombolytic therapy. Exp Ther Med. 10:1493–1498. 2015.PubMed/NCBI View Article : Google Scholar

24 

Suda S, Aoki J, Shimoyama T, Suzuki K, Sakamoto Y, Katano T, Okubo S, Nito C, Nishiyama Y, Mishina M and Kimura K: Stroke-associated infection independently predicts 3-month poor functional outcome and mortality. J Neurol. 265:370–375. 2018.PubMed/NCBI View Article : Google Scholar

25 

Ye Z, Zhang Z, Zhang H, Hao Y, Zhang J, Liu W, Xu G and Liu X: Prognostic Value of C-Reactive protein and homocysteine in large-artery atherosclerotic stroke: A prospective observational study. J Stroke Cerebrovasc Dis. 26:618–626. 2017.PubMed/NCBI View Article : Google Scholar

26 

Irimie CA, Varciu M, Irimie M, Ifteni PI and Minea DI: C-Reactive Protein and T3: New prognostic factors in acute ischemic stroke. J Stroke Cerebrovasc Dis. 27:2731–2737. 2018.PubMed/NCBI View Article : Google Scholar

27 

Arenillas JF, Alvarez-Sabin J, Molina CA, Chacon P, Montaner J, Rovira A, Ibarra B and Quintana M: C-reactive protein predicts further ischemic events in first-ever transient ischemic attack or stroke patients with intracranial large-artery occlusive disease. Stroke. 34:2463–2468. 2003.PubMed/NCBI View Article : Google Scholar

28 

Audebert HJ, Rott MM, Eck T and Haberl RL: Systemic inflammatory response depends on initial stroke severity but is attenuated by successful thrombolysis. Stroke. 35:2128–2133. 2004.PubMed/NCBI View Article : Google Scholar

29 

Chinsky K: The evolving paradigm of hyperglycemia and critical illness. Chest. 126:674–676. 2004.PubMed/NCBI View Article : Google Scholar

30 

Robinson LE and van Soeren MH: Insulin resistance and hyperglycemia in critical illness: Role of insulin in glycemic control. AACN Clin Issues. 15:45–62. 2004.PubMed/NCBI View Article : Google Scholar

31 

Stephan Y, Sutin AR and Terracciano A: Younger subjective age is associated with lower C-reactive protein among older adults. Brain Behav Immun. 43:33–36. 2015.PubMed/NCBI View Article : Google Scholar

32 

Woloshin S and Schwartz LM: Distribution of C-reactive protein values in the United States. N Engl J Med. 352:1611–1613. 2005.PubMed/NCBI View Article : Google Scholar

33 

Caudroit J, Stephan Y, Chalabaev A and Le Scanff C: Subjective age and social-cognitive determinants of physical activity in active older adults. J Aging Phys Act. 20:484–496. 2012.PubMed/NCBI View Article : Google Scholar

Related Articles

  • Abstract
  • View
  • Download
  • Twitter
Copy and paste a formatted citation
Spandidos Publications style
Bian J, Guo S, Huang T, Li X, Zhao S, Chu Z and Li Z: CRP as a potential predictor of outcome in acute ischemic stroke. Biomed Rep 18: 17, 2023.
APA
Bian, J., Guo, S., Huang, T., Li, X., Zhao, S., Chu, Z., & Li, Z. (2023). CRP as a potential predictor of outcome in acute ischemic stroke. Biomedical Reports, 18, 17. https://doi.org/10.3892/br.2023.1599
MLA
Bian, J., Guo, S., Huang, T., Li, X., Zhao, S., Chu, Z., Li, Z."CRP as a potential predictor of outcome in acute ischemic stroke". Biomedical Reports 18.2 (2023): 17.
Chicago
Bian, J., Guo, S., Huang, T., Li, X., Zhao, S., Chu, Z., Li, Z."CRP as a potential predictor of outcome in acute ischemic stroke". Biomedical Reports 18, no. 2 (2023): 17. https://doi.org/10.3892/br.2023.1599
Copy and paste a formatted citation
x
Spandidos Publications style
Bian J, Guo S, Huang T, Li X, Zhao S, Chu Z and Li Z: CRP as a potential predictor of outcome in acute ischemic stroke. Biomed Rep 18: 17, 2023.
APA
Bian, J., Guo, S., Huang, T., Li, X., Zhao, S., Chu, Z., & Li, Z. (2023). CRP as a potential predictor of outcome in acute ischemic stroke. Biomedical Reports, 18, 17. https://doi.org/10.3892/br.2023.1599
MLA
Bian, J., Guo, S., Huang, T., Li, X., Zhao, S., Chu, Z., Li, Z."CRP as a potential predictor of outcome in acute ischemic stroke". Biomedical Reports 18.2 (2023): 17.
Chicago
Bian, J., Guo, S., Huang, T., Li, X., Zhao, S., Chu, Z., Li, Z."CRP as a potential predictor of outcome in acute ischemic stroke". Biomedical Reports 18, no. 2 (2023): 17. https://doi.org/10.3892/br.2023.1599
Follow us
  • Twitter
  • LinkedIn
  • Facebook
About
  • Spandidos Publications
  • Careers
  • Cookie Policy
  • Privacy Policy
How can we help?
  • Help
  • Live Chat
  • Contact
  • Email to our Support Team