Spandidos Publications Logo
  • About
    • About Spandidos
    • Aims and Scopes
    • Abstracting and Indexing
    • Editorial Policies
    • Reprints and Permissions
    • Job Opportunities
    • Terms and Conditions
    • Contact
  • Journals
    • All Journals
    • Oncology Letters
      • Oncology Letters
      • Information for Authors
      • Editorial Policies
      • Editorial Board
      • Aims and Scope
      • Abstracting and Indexing
      • Bibliographic Information
      • Archive
    • International Journal of Oncology
      • International Journal of Oncology
      • Information for Authors
      • Editorial Policies
      • Editorial Board
      • Aims and Scope
      • Abstracting and Indexing
      • Bibliographic Information
      • Archive
    • Molecular and Clinical Oncology
      • Molecular and Clinical Oncology
      • Information for Authors
      • Editorial Policies
      • Editorial Board
      • Aims and Scope
      • Abstracting and Indexing
      • Bibliographic Information
      • Archive
    • Experimental and Therapeutic Medicine
      • Experimental and Therapeutic Medicine
      • Information for Authors
      • Editorial Policies
      • Editorial Board
      • Aims and Scope
      • Abstracting and Indexing
      • Bibliographic Information
      • Archive
    • International Journal of Molecular Medicine
      • International Journal of Molecular Medicine
      • Information for Authors
      • Editorial Policies
      • Editorial Board
      • Aims and Scope
      • Abstracting and Indexing
      • Bibliographic Information
      • Archive
    • Biomedical Reports
      • Biomedical Reports
      • Information for Authors
      • Editorial Policies
      • Editorial Board
      • Aims and Scope
      • Abstracting and Indexing
      • Bibliographic Information
      • Archive
    • Oncology Reports
      • Oncology Reports
      • Information for Authors
      • Editorial Policies
      • Editorial Board
      • Aims and Scope
      • Abstracting and Indexing
      • Bibliographic Information
      • Archive
    • Molecular Medicine Reports
      • Molecular Medicine Reports
      • Information for Authors
      • Editorial Policies
      • Editorial Board
      • Aims and Scope
      • Abstracting and Indexing
      • Bibliographic Information
      • Archive
    • World Academy of Sciences Journal
      • World Academy of Sciences Journal
      • Information for Authors
      • Editorial Policies
      • Editorial Board
      • Aims and Scope
      • Abstracting and Indexing
      • Bibliographic Information
      • Archive
    • International Journal of Functional Nutrition
      • International Journal of Functional Nutrition
      • Information for Authors
      • Editorial Policies
      • Editorial Board
      • Aims and Scope
      • Abstracting and Indexing
      • Bibliographic Information
      • Archive
    • International Journal of Epigenetics
      • International Journal of Epigenetics
      • Information for Authors
      • Editorial Policies
      • Editorial Board
      • Aims and Scope
      • Abstracting and Indexing
      • Bibliographic Information
      • Archive
    • Medicine International
      • Medicine International
      • Information for Authors
      • Editorial Policies
      • Editorial Board
      • Aims and Scope
      • Abstracting and Indexing
      • Bibliographic Information
      • Archive
  • Articles
  • Information
    • Information for Authors
    • Information for Reviewers
    • Information for Librarians
    • Information for Advertisers
    • Conferences
  • Language Editing
Spandidos Publications Logo
  • About
    • About Spandidos
    • Aims and Scopes
    • Abstracting and Indexing
    • Editorial Policies
    • Reprints and Permissions
    • Job Opportunities
    • Terms and Conditions
    • Contact
  • Journals
    • All Journals
    • Biomedical Reports
      • Information for Authors
      • Editorial Policies
      • Editorial Board
      • Aims and Scope
      • Abstracting and Indexing
      • Bibliographic Information
      • Archive
    • Experimental and Therapeutic Medicine
      • Information for Authors
      • Editorial Policies
      • Editorial Board
      • Aims and Scope
      • Abstracting and Indexing
      • Bibliographic Information
      • Archive
    • International Journal of Epigenetics
      • Information for Authors
      • Editorial Policies
      • Editorial Board
      • Aims and Scope
      • Abstracting and Indexing
      • Bibliographic Information
      • Archive
    • International Journal of Functional Nutrition
      • Information for Authors
      • Editorial Policies
      • Editorial Board
      • Aims and Scope
      • Abstracting and Indexing
      • Bibliographic Information
      • Archive
    • International Journal of Molecular Medicine
      • Information for Authors
      • Editorial Policies
      • Editorial Board
      • Aims and Scope
      • Abstracting and Indexing
      • Bibliographic Information
      • Archive
    • International Journal of Oncology
      • Information for Authors
      • Editorial Policies
      • Editorial Board
      • Aims and Scope
      • Abstracting and Indexing
      • Bibliographic Information
      • Archive
    • Medicine International
      • Information for Authors
      • Editorial Policies
      • Editorial Board
      • Aims and Scope
      • Abstracting and Indexing
      • Bibliographic Information
      • Archive
    • Molecular and Clinical Oncology
      • Information for Authors
      • Editorial Policies
      • Editorial Board
      • Aims and Scope
      • Abstracting and Indexing
      • Bibliographic Information
      • Archive
    • Molecular Medicine Reports
      • Information for Authors
      • Editorial Policies
      • Editorial Board
      • Aims and Scope
      • Abstracting and Indexing
      • Bibliographic Information
      • Archive
    • Oncology Letters
      • Information for Authors
      • Editorial Policies
      • Editorial Board
      • Aims and Scope
      • Abstracting and Indexing
      • Bibliographic Information
      • Archive
    • Oncology Reports
      • Information for Authors
      • Editorial Policies
      • Editorial Board
      • Aims and Scope
      • Abstracting and Indexing
      • Bibliographic Information
      • Archive
    • World Academy of Sciences Journal
      • Information for Authors
      • Editorial Policies
      • Editorial Board
      • Aims and Scope
      • Abstracting and Indexing
      • Bibliographic Information
      • Archive
  • Articles
  • Information
    • For Authors
    • For Reviewers
    • For Librarians
    • For Advertisers
    • Conferences
  • Language Editing
Login Register Submit
  • This site uses cookies
  • You can change your cookie settings at any time by following the instructions in our Cookie Policy. To find out more, you may read our Privacy Policy.

    I agree
Search articles by DOI, keyword, author or affiliation
Search
Advanced Search
presentation
Biomedical Reports
Join Editorial Board Propose a Special Issue
Print ISSN: 2049-9434 Online ISSN: 2049-9442
Journal Cover
December-2023 Volume 19 Issue 6

Full Size Image

Sign up for eToc alerts
Recommend to Library

Journals

International Journal of Molecular Medicine

International Journal of Molecular Medicine

International Journal of Molecular Medicine is an international journal devoted to molecular mechanisms of human disease.

International Journal of Oncology

International Journal of Oncology

International Journal of Oncology is an international journal devoted to oncology research and cancer treatment.

Molecular Medicine Reports

Molecular Medicine Reports

Covers molecular medicine topics such as pharmacology, pathology, genetics, neuroscience, infectious diseases, molecular cardiology, and molecular surgery.

Oncology Reports

Oncology Reports

Oncology Reports is an international journal devoted to fundamental and applied research in Oncology.

Experimental and Therapeutic Medicine

Experimental and Therapeutic Medicine

Experimental and Therapeutic Medicine is an international journal devoted to laboratory and clinical medicine.

Oncology Letters

Oncology Letters

Oncology Letters is an international journal devoted to Experimental and Clinical Oncology.

Biomedical Reports

Biomedical Reports

Explores a wide range of biological and medical fields, including pharmacology, genetics, microbiology, neuroscience, and molecular cardiology.

Molecular and Clinical Oncology

Molecular and Clinical Oncology

International journal addressing all aspects of oncology research, from tumorigenesis and oncogenes to chemotherapy and metastasis.

World Academy of Sciences Journal

World Academy of Sciences Journal

Multidisciplinary open-access journal spanning biochemistry, genetics, neuroscience, environmental health, and synthetic biology.

International Journal of Functional Nutrition

International Journal of Functional Nutrition

Open-access journal combining biochemistry, pharmacology, immunology, and genetics to advance health through functional nutrition.

International Journal of Epigenetics

International Journal of Epigenetics

Publishes open-access research on using epigenetics to advance understanding and treatment of human disease.

Medicine International

Medicine International

An International Open Access Journal Devoted to General Medicine.

Journal Cover
December-2023 Volume 19 Issue 6

Full Size Image

Sign up for eToc alerts
Recommend to Library

  • Article
  • Citations
    • Cite This Article
    • Download Citation
    • Create Citation Alert
    • Remove Citation Alert
    • Cited By
  • Similar Articles
    • Related Articles (in Spandidos Publications)
    • Similar Articles (Google Scholar)
    • Similar Articles (PubMed)
  • Download PDF
  • Download XML
  • View XML

  • Supplementary Files
    • Supplementary_Data1.pdf
    • Supplementary_Data2.xlsx
    • Supplementary_Data3.xlsx
Article

IgG from patients with mild or severe COVID‑19 reduces the frequency and modulates the function of peripheral mucosal-associated invariant T cells in PBMCs from healthy individuals

  • Authors:
    • Nicolle Rakanidis Machado
    • Beatriz Oliveira Fagundes
    • Iara Grigoletto Fernandes
    • Daniela Terra De Apoena Reche
    • Maria Notomi Sato
    • Jefferson Russo Victor
  • View Affiliations / Copyright

    Affiliations: Laboratory of Medical Investigation LIM-56, Division of Dermatology, Medical School, University of São Paulo, São Paulo 05403-000, Brazil, Post Graduation Program in Health Sciences, Santo Amaro University (UNISA), São Paulo 04829-300, Brazil
  • Article Number: 95
    |
    Published online on: October 16, 2023
       https://doi.org/10.3892/br.2023.1677
  • Expand metrics +
Metrics: Total Views: 0 (Spandidos Publications: | PMC Statistics: )
Metrics: Total PDF Downloads: 0 (Spandidos Publications: | PMC Statistics: )
Cited By (CrossRef): 0 citations Loading Articles...

This article is mentioned in:



Abstract

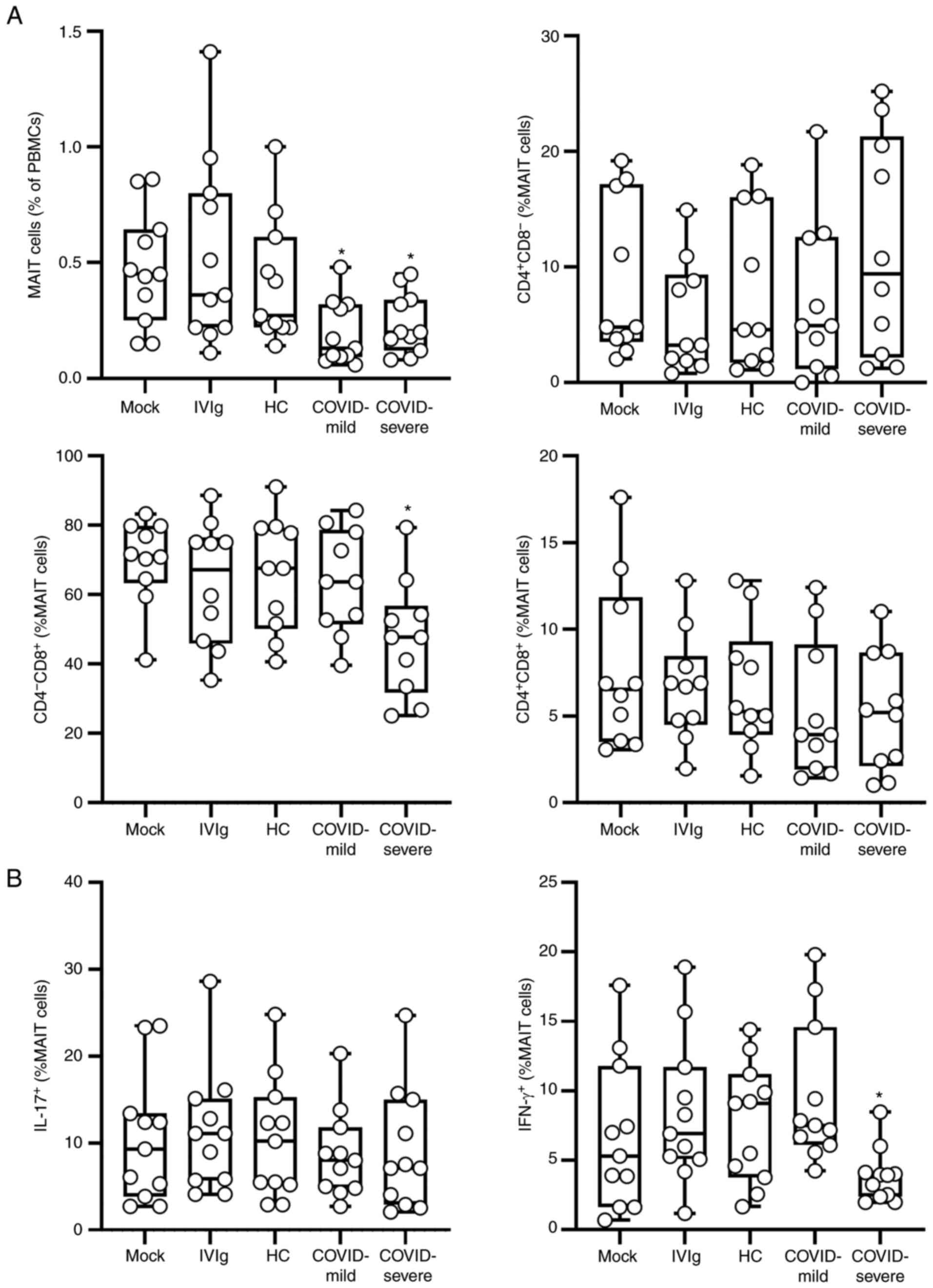
Lower levels of peripheral mucosal‑associated invariant T (MAIT) cells have been observed in the peripheral blood of patients with severe coronavirus disease 2019 (COVID‑19). Following on from previous research into the effect of the IgG repertoire on human lymphocytes, the present study aimed to evaluate if immunoglobulin G (IgG) antibodies obtained from patients with mild or severe COVID‑19 contribute to these effects on MAIT cells. Culture experiments were performed using healthy human peripheral blood mononuclear cells (PBMCs) and different repertoires of IgG obtained from patients with COVID‑19 as a mild or severe disease and compared with mock, healthy control or therapeutic IgG conditions. The results indicate that the IgG repertoire induced during the development of mild and severe COVID‑19 has, per se, the in vitro potential to reduce the frequency of MAIT cells and the production of IFN‑γ by the MAIT cell population in PBMCs from healthy individuals. In conclusion, the results of the present study indicate that IgG in patients with severe COVID‑19 may participate in the reduction of peripheral MAIT cell frequency and hinder the antiviral activity of these cells.
View Figures

Figure 1

View References

1 

Parrot T, Gorin JB, Ponzetta A, Maleki KT, Kammann T, Emgård J, Perez-Potti A, Sekine T and Rivera-Ballesteros O: Karolinska COVID-19 Study Group et al. MAIT cell activation and dynamics associated with COVID-19 disease severity. Sci Immunol. 5(eabe1670)2020.PubMed/NCBI View Article : Google Scholar

2 

Flament H, Rouland M, Beaudoin L, Toubal A, Bertrand L, Lebourgeois S, Rousseau C, Soulard P, Gouda Z, Cagninacci L, et al: Outcome of SARS-CoV-2 infection is linked to MAIT cell activation and cytotoxicity. Nat Immunol. 22:322–235. 2021.PubMed/NCBI View Article : Google Scholar

3 

Liechti T, Iftikhar Y, Mangino M, Beddall M, Goss CW, O'Halloran JA, Mudd PA and Roederer M: Immune phenotypes that are associated with subsequent COVID-19 severity inferred from post-recovery samples. Nat Commun. 13(7255)2022.PubMed/NCBI View Article : Google Scholar

4 

Victor JR: Do different IgG repertoires play a role in B- and T-cell functional modulation during ontogeny? The ‘hooks without bait’ theory. Immunol Cell Biol. 98:540–548. 2020.PubMed/NCBI View Article : Google Scholar

5 

de-Oliveira MG, Lira AAL, Sgnotto FR, Inoue AHS, Santos LS, Nakamatsu BY, Duarte AJS, Leite-de-Moraes M and Victor JR: Maternal IgG impairs the maturation of offspring intrathymic IL-17-producing γδT cells: Implications for murine and human allergies. Clin Exp Allergy. 49:1000–1012. 2019.PubMed/NCBI View Article : Google Scholar

6 

Sgnotto FDR, de Oliveira MG, Lira AAL, Inoue AHS, Titz TO, Orfali RL, Bento-de-Souza L, Sato MN, Aoki V, Duarte AJS and Victor JR: IgG from atopic dermatitis patients induces IL-17 and IL-10 production in infant intrathymic TCD4 and TCD8 cells. Int J Dermatol. 57:434–440. 2018.PubMed/NCBI View Article : Google Scholar

7 

Sgnotto FDR, Oliveira MG, Lira AAL, Bento-de-Souza L, Duarte AJDS and Victor JR: Low doses of IgG from atopic individuals can modulate in vitro IFN-γ production by human intra-thymic TCD4 and TCD8 cells: An IVIg comparative approach. Hum Vaccin Immunother. 13:1563–1572. 2017.PubMed/NCBI View Article : Google Scholar

8 

Santos LS, Sgnotto FDR, Sousa TR, Orfali RL, Aoki V, Duarte AJDS and Victor JR: IgG from atopic dermatitis patients induces non-atopic infant thymic invariant natural killer T (iNKT) cells to produce IL-4, IL-17, and IL-10. Int J Dermatol. 59:359–364. 2019.PubMed/NCBI View Article : Google Scholar

9 

Inoue AHS, Lira AAL, de-Oliveira MG, de Sousa TR, Sgnotto FDR, Duarte AJDS and Victor JR: The potential of IgG to induce murine and human thymic maturation of IL-10+ B Cells (B10) revealed in a pilot study. Cells. 9(2239)2020.PubMed/NCBI View Article : Google Scholar

10 

de Sousa TR, Sgnotto FDR, Fagundes BO, Duarte AJDS and Victor JR: Non-atopic neonatal thymic innate lymphoid cell subsets (ILC1, ILC2, and ILC3) identification and the modulatory effect of IgG from dermatophagoides pteronyssinus (Derp)-atopic individuals. Front Allergy. 2(650235)2021.PubMed/NCBI View Article : Google Scholar

11 

de Sousa TR, Fagundes BO, Nascimento A, Fernandes LA, Sgnotto FDR, Orfali RL, Aoki V, Duarte AJDS, Sanabani SS and Victor JR: IgG from adult atopic dermatitis (AD) patients induces thymic IL-22 production and CLA expression on CD4+ T cells: Possible epigenetic implications mediated by miRNA. Int J Mol Sci. 23(6867)2022.PubMed/NCBI View Article : Google Scholar

12 

Fagundes BO, de Sousa TR, Nascimento A, Fernandes LA, Sgnotto FDR, Orfali RL, Aoki V, Duarte AJDS, Sanabani SS and Victor JR: IgG from adult atopic dermatitis (AD) patients induces nonatopic neonatal thymic gamma-delta T cells (γδT) to acquire IL-22/IL-17 secretion profile with skin-homing properties and epigenetic implications mediated by miRNA. Int J Mol Sci. 23(6872)2022.PubMed/NCBI View Article : Google Scholar

13 

da Ressureição Sgnotto F, Souza Santos L, Rodrigues de Sousa T, Feitosa de Lima J, Mara da Silva Oliveira L, Saeed Sanabani S, José da Silva Duarte A and Russo Victor J: IgG from HIV-1-exposed seronegative and HIV-1-infected subjects differently modulates IFN-γ production by thymic T and B cells. J Acquir Immune Defic Syndr. 82:e56–e60. 2019.PubMed/NCBI View Article : Google Scholar

14 

Toori KU, Qureshi MA and Chaudhry A: Lymphopenia: A useful predictor of COVID-19 disease severity and mortality. Pak J Med Sci. 37:1984–1988. 2021.PubMed/NCBI View Article : Google Scholar

15 

Tavakolpour S, Rakhshandehroo T, Wei EX and Rashidian M: Lymphopenia during the COVID-19 infection: What it shows and what can be learned. Immunol Lett. 225:31–32. 2020.PubMed/NCBI View Article : Google Scholar

16 

Guo Z, Zhang Z, Prajapati M and Li Y: Lymphopenia caused by virus infections and the mechanisms beyond. Viruses. 13(1876)2021.PubMed/NCBI View Article : Google Scholar

17 

Dusseaux M, Martin E, Serriari N, Péguillet I, Premel V, Louis D, Milder M, Le Bourhis L, Soudais C, Treiner E and Lantz O: Human MAIT cells are xenobiotic-resistant, tissue-targeted, CD161hi IL-17-secreting T cells. Blood. 117:1250–1259. 2011.PubMed/NCBI View Article : Google Scholar

18 

Le Bourhis L, Martin E, Péguillet I, Guihot A, Froux N, Coré M, Lévy E, Dusseaux M, Meyssonnier V, Premel V, et al: Antimicrobial activity of mucosal-associated invariant T cells. Nat Immunol. 11:701–708. 2010.PubMed/NCBI View Article : Google Scholar

19 

Dias J, Boulouis C, Gorin JB, van den Biggelaar RHGA, Lal KG, Gibbs A, Loh L, Gulam MY, Sia WR, Bari S, et al: The CD4-CD8-MAIT cell subpopulation is a functionally distinct subset developmentally related to the main CD8+ MAIT cell pool. Proc Natl Acad Sci USA. 115:E11513–E11522. 2018.PubMed/NCBI View Article : Google Scholar

20 

Shi J, Zhou J, Zhang X, Hu W, Zhao JF, Wang S, Wang FS and Zhang JY: Single-cell transcriptomic profiling of MAIT cells in patients with COVID-19. Front Immunol. 12(700152)2021.PubMed/NCBI View Article : Google Scholar

21 

Pankhurst TE, Buick KH, Lange JL, Marshall AJ, Button KR, Palmer OR, Farrand KJ, Montgomerie I, Bird TW, Mason NC, et al: MAIT cells activate dendritic cells to promote TFH cell differentiation and induce humoral immunity. Cell Rep. 42(112310)2023.PubMed/NCBI View Article : Google Scholar

Related Articles

  • Abstract
  • View
  • Download
  • Twitter
Copy and paste a formatted citation
Spandidos Publications style
Rakanidis Machado N, Fagundes BO, Fernandes IG, Terra De Apoena Reche D, Sato MN and Victor JR: IgG from patients with mild or severe COVID‑19 reduces the frequency and modulates the function of peripheral mucosal-associated invariant T cells in PBMCs from healthy individuals. Biomed Rep 19: 95, 2023.
APA
Rakanidis Machado, N., Fagundes, B.O., Fernandes, I.G., Terra De Apoena Reche, D., Sato, M.N., & Victor, J.R. (2023). IgG from patients with mild or severe COVID‑19 reduces the frequency and modulates the function of peripheral mucosal-associated invariant T cells in PBMCs from healthy individuals. Biomedical Reports, 19, 95. https://doi.org/10.3892/br.2023.1677
MLA
Rakanidis Machado, N., Fagundes, B. O., Fernandes, I. G., Terra De Apoena Reche, D., Sato, M. N., Victor, J. R."IgG from patients with mild or severe COVID‑19 reduces the frequency and modulates the function of peripheral mucosal-associated invariant T cells in PBMCs from healthy individuals". Biomedical Reports 19.6 (2023): 95.
Chicago
Rakanidis Machado, N., Fagundes, B. O., Fernandes, I. G., Terra De Apoena Reche, D., Sato, M. N., Victor, J. R."IgG from patients with mild or severe COVID‑19 reduces the frequency and modulates the function of peripheral mucosal-associated invariant T cells in PBMCs from healthy individuals". Biomedical Reports 19, no. 6 (2023): 95. https://doi.org/10.3892/br.2023.1677
Copy and paste a formatted citation
x
Spandidos Publications style
Rakanidis Machado N, Fagundes BO, Fernandes IG, Terra De Apoena Reche D, Sato MN and Victor JR: IgG from patients with mild or severe COVID‑19 reduces the frequency and modulates the function of peripheral mucosal-associated invariant T cells in PBMCs from healthy individuals. Biomed Rep 19: 95, 2023.
APA
Rakanidis Machado, N., Fagundes, B.O., Fernandes, I.G., Terra De Apoena Reche, D., Sato, M.N., & Victor, J.R. (2023). IgG from patients with mild or severe COVID‑19 reduces the frequency and modulates the function of peripheral mucosal-associated invariant T cells in PBMCs from healthy individuals. Biomedical Reports, 19, 95. https://doi.org/10.3892/br.2023.1677
MLA
Rakanidis Machado, N., Fagundes, B. O., Fernandes, I. G., Terra De Apoena Reche, D., Sato, M. N., Victor, J. R."IgG from patients with mild or severe COVID‑19 reduces the frequency and modulates the function of peripheral mucosal-associated invariant T cells in PBMCs from healthy individuals". Biomedical Reports 19.6 (2023): 95.
Chicago
Rakanidis Machado, N., Fagundes, B. O., Fernandes, I. G., Terra De Apoena Reche, D., Sato, M. N., Victor, J. R."IgG from patients with mild or severe COVID‑19 reduces the frequency and modulates the function of peripheral mucosal-associated invariant T cells in PBMCs from healthy individuals". Biomedical Reports 19, no. 6 (2023): 95. https://doi.org/10.3892/br.2023.1677
Follow us
  • Twitter
  • LinkedIn
  • Facebook
About
  • Spandidos Publications
  • Careers
  • Cookie Policy
  • Privacy Policy
How can we help?
  • Help
  • Live Chat
  • Contact
  • Email to our Support Team