Spandidos Publications Logo
  • About
    • About Spandidos
    • Aims and Scopes
    • Abstracting and Indexing
    • Editorial Policies
    • Reprints and Permissions
    • Job Opportunities
    • Terms and Conditions
    • Contact
  • Journals
    • All Journals
    • Oncology Letters
      • Oncology Letters
      • Information for Authors
      • Editorial Policies
      • Editorial Board
      • Aims and Scope
      • Abstracting and Indexing
      • Bibliographic Information
      • Archive
    • International Journal of Oncology
      • International Journal of Oncology
      • Information for Authors
      • Editorial Policies
      • Editorial Board
      • Aims and Scope
      • Abstracting and Indexing
      • Bibliographic Information
      • Archive
    • Molecular and Clinical Oncology
      • Molecular and Clinical Oncology
      • Information for Authors
      • Editorial Policies
      • Editorial Board
      • Aims and Scope
      • Abstracting and Indexing
      • Bibliographic Information
      • Archive
    • Experimental and Therapeutic Medicine
      • Experimental and Therapeutic Medicine
      • Information for Authors
      • Editorial Policies
      • Editorial Board
      • Aims and Scope
      • Abstracting and Indexing
      • Bibliographic Information
      • Archive
    • International Journal of Molecular Medicine
      • International Journal of Molecular Medicine
      • Information for Authors
      • Editorial Policies
      • Editorial Board
      • Aims and Scope
      • Abstracting and Indexing
      • Bibliographic Information
      • Archive
    • Biomedical Reports
      • Biomedical Reports
      • Information for Authors
      • Editorial Policies
      • Editorial Board
      • Aims and Scope
      • Abstracting and Indexing
      • Bibliographic Information
      • Archive
    • Oncology Reports
      • Oncology Reports
      • Information for Authors
      • Editorial Policies
      • Editorial Board
      • Aims and Scope
      • Abstracting and Indexing
      • Bibliographic Information
      • Archive
    • Molecular Medicine Reports
      • Molecular Medicine Reports
      • Information for Authors
      • Editorial Policies
      • Editorial Board
      • Aims and Scope
      • Abstracting and Indexing
      • Bibliographic Information
      • Archive
    • World Academy of Sciences Journal
      • World Academy of Sciences Journal
      • Information for Authors
      • Editorial Policies
      • Editorial Board
      • Aims and Scope
      • Abstracting and Indexing
      • Bibliographic Information
      • Archive
    • International Journal of Functional Nutrition
      • International Journal of Functional Nutrition
      • Information for Authors
      • Editorial Policies
      • Editorial Board
      • Aims and Scope
      • Abstracting and Indexing
      • Bibliographic Information
      • Archive
    • International Journal of Epigenetics
      • International Journal of Epigenetics
      • Information for Authors
      • Editorial Policies
      • Editorial Board
      • Aims and Scope
      • Abstracting and Indexing
      • Bibliographic Information
      • Archive
    • Medicine International
      • Medicine International
      • Information for Authors
      • Editorial Policies
      • Editorial Board
      • Aims and Scope
      • Abstracting and Indexing
      • Bibliographic Information
      • Archive
  • Articles
  • Information
    • Information for Authors
    • Information for Reviewers
    • Information for Librarians
    • Information for Advertisers
    • Conferences
  • Language Editing
Spandidos Publications Logo
  • About
    • About Spandidos
    • Aims and Scopes
    • Abstracting and Indexing
    • Editorial Policies
    • Reprints and Permissions
    • Job Opportunities
    • Terms and Conditions
    • Contact
  • Journals
    • All Journals
    • Biomedical Reports
      • Information for Authors
      • Editorial Policies
      • Editorial Board
      • Aims and Scope
      • Abstracting and Indexing
      • Bibliographic Information
      • Archive
    • Experimental and Therapeutic Medicine
      • Information for Authors
      • Editorial Policies
      • Editorial Board
      • Aims and Scope
      • Abstracting and Indexing
      • Bibliographic Information
      • Archive
    • International Journal of Epigenetics
      • Information for Authors
      • Editorial Policies
      • Editorial Board
      • Aims and Scope
      • Abstracting and Indexing
      • Bibliographic Information
      • Archive
    • International Journal of Functional Nutrition
      • Information for Authors
      • Editorial Policies
      • Editorial Board
      • Aims and Scope
      • Abstracting and Indexing
      • Bibliographic Information
      • Archive
    • International Journal of Molecular Medicine
      • Information for Authors
      • Editorial Policies
      • Editorial Board
      • Aims and Scope
      • Abstracting and Indexing
      • Bibliographic Information
      • Archive
    • International Journal of Oncology
      • Information for Authors
      • Editorial Policies
      • Editorial Board
      • Aims and Scope
      • Abstracting and Indexing
      • Bibliographic Information
      • Archive
    • Medicine International
      • Information for Authors
      • Editorial Policies
      • Editorial Board
      • Aims and Scope
      • Abstracting and Indexing
      • Bibliographic Information
      • Archive
    • Molecular and Clinical Oncology
      • Information for Authors
      • Editorial Policies
      • Editorial Board
      • Aims and Scope
      • Abstracting and Indexing
      • Bibliographic Information
      • Archive
    • Molecular Medicine Reports
      • Information for Authors
      • Editorial Policies
      • Editorial Board
      • Aims and Scope
      • Abstracting and Indexing
      • Bibliographic Information
      • Archive
    • Oncology Letters
      • Information for Authors
      • Editorial Policies
      • Editorial Board
      • Aims and Scope
      • Abstracting and Indexing
      • Bibliographic Information
      • Archive
    • Oncology Reports
      • Information for Authors
      • Editorial Policies
      • Editorial Board
      • Aims and Scope
      • Abstracting and Indexing
      • Bibliographic Information
      • Archive
    • World Academy of Sciences Journal
      • Information for Authors
      • Editorial Policies
      • Editorial Board
      • Aims and Scope
      • Abstracting and Indexing
      • Bibliographic Information
      • Archive
  • Articles
  • Information
    • For Authors
    • For Reviewers
    • For Librarians
    • For Advertisers
    • Conferences
  • Language Editing
Login Register Submit
  • This site uses cookies
  • You can change your cookie settings at any time by following the instructions in our Cookie Policy. To find out more, you may read our Privacy Policy.

    I agree
Search articles by DOI, keyword, author or affiliation
Search
Advanced Search
presentation
Biomedical Reports
Join Editorial Board Propose a Special Issue
Print ISSN: 2049-9434 Online ISSN: 2049-9442
Journal Cover
December-2023 Volume 19 Issue 6

Full Size Image

Sign up for eToc alerts
Recommend to Library

Journals

International Journal of Molecular Medicine

International Journal of Molecular Medicine

International Journal of Molecular Medicine is an international journal devoted to molecular mechanisms of human disease.

International Journal of Oncology

International Journal of Oncology

International Journal of Oncology is an international journal devoted to oncology research and cancer treatment.

Molecular Medicine Reports

Molecular Medicine Reports

Covers molecular medicine topics such as pharmacology, pathology, genetics, neuroscience, infectious diseases, molecular cardiology, and molecular surgery.

Oncology Reports

Oncology Reports

Oncology Reports is an international journal devoted to fundamental and applied research in Oncology.

Experimental and Therapeutic Medicine

Experimental and Therapeutic Medicine

Experimental and Therapeutic Medicine is an international journal devoted to laboratory and clinical medicine.

Oncology Letters

Oncology Letters

Oncology Letters is an international journal devoted to Experimental and Clinical Oncology.

Biomedical Reports

Biomedical Reports

Explores a wide range of biological and medical fields, including pharmacology, genetics, microbiology, neuroscience, and molecular cardiology.

Molecular and Clinical Oncology

Molecular and Clinical Oncology

International journal addressing all aspects of oncology research, from tumorigenesis and oncogenes to chemotherapy and metastasis.

World Academy of Sciences Journal

World Academy of Sciences Journal

Multidisciplinary open-access journal spanning biochemistry, genetics, neuroscience, environmental health, and synthetic biology.

International Journal of Functional Nutrition

International Journal of Functional Nutrition

Open-access journal combining biochemistry, pharmacology, immunology, and genetics to advance health through functional nutrition.

International Journal of Epigenetics

International Journal of Epigenetics

Publishes open-access research on using epigenetics to advance understanding and treatment of human disease.

Medicine International

Medicine International

An International Open Access Journal Devoted to General Medicine.

Journal Cover
December-2023 Volume 19 Issue 6

Full Size Image

Sign up for eToc alerts
Recommend to Library

  • Article
  • Citations
    • Cite This Article
    • Download Citation
    • Create Citation Alert
    • Remove Citation Alert
    • Cited By
  • Similar Articles
    • Related Articles (in Spandidos Publications)
    • Similar Articles (Google Scholar)
    • Similar Articles (PubMed)
  • Download PDF
  • Download XML
  • View XML

  • Supplementary Files
    • Supplementary_Data.pdf
Article Open Access

Dexmedetomidine attenuates the neuroinflammation and cognitive dysfunction in aged mice by targeting the SNHG14/miR‑340/NF‑κB axis

  • Authors:
    • Guangbao He
    • Hongwei Ni
    • Kai Wang
    • Hongmei Gao
    • Yu Li
    • Jiaqiu Gu
    • Xin Ni
    • Zhiming Wang
    • Yang Bao
  • View Affiliations / Copyright

    Affiliations: Department of Anesthesiology, Jiading District Central Hospital Affiliated Shanghai University of Medicine & Health Sciences, Shanghai 201800, P.R. China
    Copyright: © He et al. This is an open access article distributed under the terms of Creative Commons Attribution License.
  • Article Number: 100
    |
    Published online on: October 24, 2023
       https://doi.org/10.3892/br.2023.1682
  • Expand metrics +
Metrics: Total Views: 0 (Spandidos Publications: | PMC Statistics: )
Metrics: Total PDF Downloads: 0 (Spandidos Publications: | PMC Statistics: )
Cited By (CrossRef): 0 citations Loading Articles...

This article is mentioned in:



Abstract

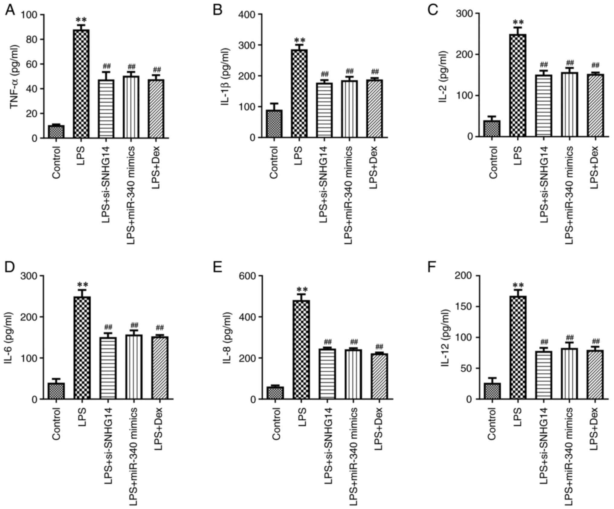
Neuroinflammation plays a key role in the pathogenesis of postoperative cognitive dysfunction (POCD). Results of our previous study demonstrated that dexmedetomidine (Dex) attenuates neuroinflammation in BV2 cells treated with lipopolysaccharide (LPS) by targeting the microRNA (miR)‑340/NF‑κB axis. However, the molecular mechanisms by which Dex improves POCD remain unclear. In the present study, the association between long non‑coding (lnc)RNA small nucleolar RNA host gene 14 (SNHG14) and miR‑340 in BV2 microglial cells was determined using a dual‑luciferase reporter assay. In addition, SNHG14, miR‑340 and NF‑κB expression levels were measured in LPS‑treated BV‑2 cells and hippocampal tissues of mice with POCD, and an enzyme‑linked immunosorbent assay was used to determine the levels of proinflammatory mediators. Results of the present study demonstrated that SNHG14 exhibited potential as a target of miR‑340. In addition, SNHG14 knockdown increased the levels of miR‑340 and reduced the levels of NF‑κB in LPS‑treated BV2 cells. In addition, Dex treatment significantly reduced the levels of SNHG14 and NF‑κB, and elevated the levels of miR‑340 in the hippocampus of aged mice with POCD. Moreover, Dex treatment notably decreased the expression levels of TNF‑α, IL‑1β, IL‑2, IL‑6, IL‑8 and IL‑12 in the hippocampus of aged mice with POCD by upregulating miR‑340. The spatial memory impairments in aged mice with POCD were also notably increased following Dex treatment via upregulation of miR‑340. Collectively, results of the present study demonstrated that Dex may protect microglia from LPS‑induced neuroinflammation in vitro and attenuate hippocampal neuroinflammation in aged mice with POCD in vivo via the SNHG14/miR‑340/NF‑κB axis. The present study may provide further insights into the mechanisms underlying Dex in the treatment of POCD.
View Figures

Figure 1

Figure 2

Figure 3

Figure 4

Figure 5

Figure 6

View References

1 

Wei C, Luo T, Zou S, Zhou X, Shen W, Ji X, Li Q and Wu A: Differentially expressed lncRNAs and miRNAs with associated ceRNA networks in aged mice with postoperative cognitive dysfunction. Oncotarget. 8:55901–55914. 2017.PubMed/NCBI View Article : Google Scholar

2 

Liebert AD, Chow RT, Bicknell BT and Varigos E: Neuroprotective effects against POCD by photobiomodulation: Evidence from assembly/disassembly of the cytoskeleton. J Exp Neurosci. 10:1–19. 2016.PubMed/NCBI View Article : Google Scholar

3 

Liu J, Huang K, Zhu B, Zhou B, Ahmad Harb AK, Liu L and Wu X: Neuropsychological tests in post-operative cognitive dysfunction: Methods and applications. Front Psychol. 12(684307)2021.PubMed/NCBI View Article : Google Scholar

4 

Jeong H, Chung JY, Ko IG, Kim SH, Jin JJ, Hwang L, Moon EJ, Lee BJ and Yi JW: Effect of polydeoxyribonucleotide on lipopolysaccharide and sevoflurane-induced postoperative cognitive dysfunction in human neuronal SH-SY5Y Cells. Int Neurourol J. 23 (Suppl 2):S93–S101. 2019.PubMed/NCBI View Article : Google Scholar

5 

Safavynia SA and Goldstein PA: The role of neuroinflammation in postoperative cognitive dysfunction: Moving from hypothesis to treatment. Front Psychiatry. 9(752)2019.PubMed/NCBI View Article : Google Scholar

6 

Chen L, Dong R, Lu Y, Zhou Y, Li K, Zhang Z and Peng M: MicroRNA-146a protects against cognitive decline induced by surgical trauma by suppressing hippocampal neuroinflammation in mice. Brain Behav Immun. 78:188–201. 2019.PubMed/NCBI View Article : Google Scholar

7 

Ye JS, Chen L, Lu YY, Lei SQ, Peng M and Xia ZY: SIRT3 activator honokiol ameliorates surgery/anesthesia-induced cognitive decline in mice through anti-oxidative stress and anti-inflammatory in hippocampus. CNS Neurosci Ther. 25:355–366. 2019.PubMed/NCBI View Article : Google Scholar

8 

Guler G, Akin A, Tosun Z, Eskitascoglu E, Mizrak A and Boyaci A: Single-dose dexmedetomidine attenuates airway and circulatory reflexes during extubation. Acta Anaesthesiol Scand. 49:1088–1091. 2005.PubMed/NCBI View Article : Google Scholar

9 

Lee SH, Na S, Kim N, Ban MG, Shin SE and Oh YJ: The effects of dexmedetomidine on myocardial function assessed by tissue doppler echocardiography during general anesthesia in patients with diastolic dysfunction: A CONSORT-Prospective, Randomized, Controlled Trial. Medicine (Baltimore). 95(e2805)2016.PubMed/NCBI View Article : Google Scholar

10 

Suo L and Wang M: Dexmedetomidine facilitates the expression of nNOS in the hippocampus to alleviate surgery-induced neuroinflammation and cognitive dysfunction in aged rats. Exp Ther Med. 22(1038)2021.PubMed/NCBI View Article : Google Scholar

11 

Glumac S, Kardum G, Sodic L, Supe-Domic D and Karanovic N: Effects of dexamethasone on early cognitive decline after cardiac surgery: A randomised controlled trial. Eur J Anaesthesiol. 34:776–784. 2017.PubMed/NCBI View Article : Google Scholar

12 

Bao Y, Zhu Y, He G, Ni H, Liu C, Ma L, Zhang L and Shi D: Dexmedetomidine attenuates neuroinflammation In LPS-Stimulated BV2 microglia cells through upregulation Of miR-340. Drug Des Devel Ther. 13:3465–3475. 2019.PubMed/NCBI View Article : Google Scholar

13 

Marchese FP, Raimondi I and Huarte M: The multidimensional mechanisms of long noncoding RNA function. Genome Biol. 18(206)2017.PubMed/NCBI View Article : Google Scholar

14 

Chen Y, Zhang Y, Ye G, Sheng C, Kong L and Yuan L: Knockdown of lncRNA PCAI protects against cognitive decline induced by hippocampal neuroinflammation via regulating SUZ12. Life Sci. 253(117626)2020.PubMed/NCBI View Article : Google Scholar

15 

Yu Y, Zhang W, Zhu D, Wang H, Shao H and Zhang Y: LncRNA Rian ameliorates sevoflurane anesthesia-induced cognitive dysfunction through regulation of miR-143-3p/LIMK1 axis. Hum Cell. 34:808–818. 2021.PubMed/NCBI View Article : Google Scholar

16 

Wei C, Sun Y, Wang J, Lin D, Cui V, Shi H and Wu A: LncRNA NONMMUT055714 acts as the sponge of microRNA-7684-5p to protect against postoperative cognitive dysfunction. Aging (Albany NY). 3:12552–12564. 2021.PubMed/NCBI View Article : Google Scholar

17 

Deng F, Cai L, Zhou B, Zhou Z and Xu G: Whole transcriptome sequencing reveals dexmedetomidine-improves postoperative cognitive dysfunction in rats via modulating lncRNA. 3 Biotech. 10(202)2020.PubMed/NCBI View Article : Google Scholar

18 

Zhong Y, Yu C and Qin W: LncRNA SNHG14 promotes inflammatory response induced by cerebral ischemia/reperfusion injury through regulating miR-136-5p/ROCK1. Cancer Gene Ther. 26:234–247. 2019.PubMed/NCBI View Article : Google Scholar

19 

Zhang G, Li T, Chang X and Xing J: Long Noncoding RNA SNHG14 Promotes ischemic brain injury via regulating miR-199b/AQP4 Axis. Neurochem Res. 46:1280–1290. 2021.PubMed/NCBI View Article : Google Scholar

20 

Zhang Z, Wang Y, Zhang W, Li J, Liu W and Lu W: Long non-coding RNA SNHG14 exerts oncogenic functions in non-small cell lung cancer through acting as an miR-340 sponge. Biosci Rep. 39(BSR20180941)2019.PubMed/NCBI View Article : Google Scholar

21 

Livak KJ and Schmittgen TD: Analysis of relative gene expression data using real-time quantitative PCR and the 2(-Delta Delta C(T)) Method. Methods. 25:402–408. 2001.PubMed/NCBI View Article : Google Scholar

22 

Li N, Zhang X, Dong H, Hu Y and Qian Y: Bidirectional relationship of mast cells-neurovascular unit communication in neuroinflammation and its involvement in POCD. Behav Brain Res. 322(Pt A):60–69. 2017.PubMed/NCBI View Article : Google Scholar

23 

Lu B, Yuan H, Zhai X, Li X, Qin J, Chen J and Meng B: High-Pressure Pneumoperitoneum aggravates surgery-induced neuroinflammation and cognitive dysfunction in aged mice. Mediators Inflamm. 2020(6983193)2020.PubMed/NCBI View Article : Google Scholar

24 

Duan S, Wang X, Chen G, Quan C, Qu S and Tong J: Inhibiting RIPK1 limits neuroinflammation and alleviates postoperative cognitive impairments in D-Galactose-Induced Aged Mice. Front Behav Neurosci. 12(138)2018.PubMed/NCBI View Article : Google Scholar

25 

Zhang Z, Yuan H, Zhao H, Qi B, Li F and An L: PPARγ activation ameliorates postoperative cognitive decline probably through suppressing hippocampal neuroinflammation in aged mice. Int Immunopharmacol. 43:53–61. 2017.PubMed/NCBI View Article : Google Scholar

26 

Damani MR, Zhao L, Fontainhas AM, Amaral J, Fariss RN and Wong WT: Age-related alterations in the dynamic behavior of microglia. Aging Cell. 10:263–276. 2011.PubMed/NCBI View Article : Google Scholar

27 

Orihuela R, McPherson CA and Harry GJ: Microglial M1/M2 polarization and metabolic states. Br J Pharmacol. 173:649–665. 2016.PubMed/NCBI View Article : Google Scholar

28 

Yuan N, Wang X, Zhang Y, Kong L, Yuan L and Ge Y: Intervention of NF-Κb Signaling pathway and preventing post-operative cognitive dysfunction as well as neuronal apoptosis. Iran J Public Health. 51:124–132. 2022.PubMed/NCBI View Article : Google Scholar

29 

Shabab T, Khanabdali R, Moghadamtousi SZ, Kadir HA and Mohan G: Neuroinflammation pathways: A general review. Int J Neurosci. 127:624–633. 2017.PubMed/NCBI View Article : Google Scholar

30 

Mockenhaupt K, Gonsiewski A and Kordula T: RelB and Neuroinflammation. Cells. 10(1609)2021.PubMed/NCBI View Article : Google Scholar

31 

Zheng JW, Meng B, Li XY, Lu B, Wu GR and Chen JP: NF-κB/P65 signaling pathway: A potential therapeutic target in postoperative cognitive dysfunction after sevoflurane anesthesia. Eur Rev Med Pharmacol Sci. 21:394–407. 2017.PubMed/NCBI

32 

Wei P, Zheng Q, Liu H, Wan T, Zhou J, Li D, Zhou H and Li J, Ji F, Tang W and Li J: Nicotine-Induced neuroprotection against cognitive dysfunction after partial hepatectomy involves activation of BDNF/TrkB signaling pathway and inhibition of NF-κB signaling pathway in aged rats. Nicotine Tob Res. 20:515–522. 2018.PubMed/NCBI View Article : Google Scholar

33 

Ding Y, Shi C, Chen L, Ma P, Li K, Jin J, Zhang Q and Li A: Effects of andrographolide on postoperative cognitive dysfunction and the association with NF-κB/MAPK pathway. Oncol Lett. 14:7367–7373. 2017.PubMed/NCBI View Article : Google Scholar

34 

Zhou XY, Liu J, Xu ZP, Fu Q, Wang PQ, Wang JH and Zhang H: Dexmedetomidine ameliorates postoperative cognitive dysfunction by inhibiting Toll-like receptor 4 signaling in aged mice. Kaohsiung J Med Sci. 36:721–731. 2020.PubMed/NCBI View Article : Google Scholar

35 

Riva P, Ratti A and Venturin M: The Long Non-Coding RNAs in neurodegenerative diseases: Novel mechanisms of pathogenesis. Curr Alzheimer Res. 13:1219–1231. 2016.PubMed/NCBI View Article : Google Scholar

36 

Karagkouni D, Karavangeli A, Paraskevopoulou MD and Hatzigeorgiou AG: Characterizing miRNA-lncRNA Interplay. Methods Mol Biol. 2372:243–262. 2021.PubMed/NCBI View Article : Google Scholar

37 

Tian J, Liu Y, Wang Z, Zhang S, Yang Y, Zhu Y and Yang C: LncRNA Snhg8 attenuates microglial inflammation response and blood-brain barrier damage in ischemic stroke through regulating miR-425-5p mediated SIRT1/NF-κB signaling. J Biochem Mol Toxicol. 35(e22724)2021.PubMed/NCBI View Article : Google Scholar

38 

Cao H, Han X, Jia Y and Zhang B: Inhibition of long non-coding RNA HOXA11-AS against neuroinflammation in Parkinson's disease model via targeting miR-124-3p mediated FSTL1/NF-κB axis. Aging (Albany NY). 13:11455–11469. 2021.PubMed/NCBI View Article : Google Scholar

Related Articles

  • Abstract
  • View
  • Download
  • Twitter
Copy and paste a formatted citation
Spandidos Publications style
He G, Ni H, Wang K, Gao H, Li Y, Gu J, Ni X, Wang Z and Bao Y: Dexmedetomidine attenuates the neuroinflammation and cognitive dysfunction in aged mice by targeting the SNHG14/miR‑340/NF‑κB axis. Biomed Rep 19: 100, 2023.
APA
He, G., Ni, H., Wang, K., Gao, H., Li, Y., Gu, J. ... Bao, Y. (2023). Dexmedetomidine attenuates the neuroinflammation and cognitive dysfunction in aged mice by targeting the SNHG14/miR‑340/NF‑κB axis. Biomedical Reports, 19, 100. https://doi.org/10.3892/br.2023.1682
MLA
He, G., Ni, H., Wang, K., Gao, H., Li, Y., Gu, J., Ni, X., Wang, Z., Bao, Y."Dexmedetomidine attenuates the neuroinflammation and cognitive dysfunction in aged mice by targeting the SNHG14/miR‑340/NF‑κB axis". Biomedical Reports 19.6 (2023): 100.
Chicago
He, G., Ni, H., Wang, K., Gao, H., Li, Y., Gu, J., Ni, X., Wang, Z., Bao, Y."Dexmedetomidine attenuates the neuroinflammation and cognitive dysfunction in aged mice by targeting the SNHG14/miR‑340/NF‑κB axis". Biomedical Reports 19, no. 6 (2023): 100. https://doi.org/10.3892/br.2023.1682
Copy and paste a formatted citation
x
Spandidos Publications style
He G, Ni H, Wang K, Gao H, Li Y, Gu J, Ni X, Wang Z and Bao Y: Dexmedetomidine attenuates the neuroinflammation and cognitive dysfunction in aged mice by targeting the SNHG14/miR‑340/NF‑κB axis. Biomed Rep 19: 100, 2023.
APA
He, G., Ni, H., Wang, K., Gao, H., Li, Y., Gu, J. ... Bao, Y. (2023). Dexmedetomidine attenuates the neuroinflammation and cognitive dysfunction in aged mice by targeting the SNHG14/miR‑340/NF‑κB axis. Biomedical Reports, 19, 100. https://doi.org/10.3892/br.2023.1682
MLA
He, G., Ni, H., Wang, K., Gao, H., Li, Y., Gu, J., Ni, X., Wang, Z., Bao, Y."Dexmedetomidine attenuates the neuroinflammation and cognitive dysfunction in aged mice by targeting the SNHG14/miR‑340/NF‑κB axis". Biomedical Reports 19.6 (2023): 100.
Chicago
He, G., Ni, H., Wang, K., Gao, H., Li, Y., Gu, J., Ni, X., Wang, Z., Bao, Y."Dexmedetomidine attenuates the neuroinflammation and cognitive dysfunction in aged mice by targeting the SNHG14/miR‑340/NF‑κB axis". Biomedical Reports 19, no. 6 (2023): 100. https://doi.org/10.3892/br.2023.1682
Follow us
  • Twitter
  • LinkedIn
  • Facebook
About
  • Spandidos Publications
  • Careers
  • Cookie Policy
  • Privacy Policy
How can we help?
  • Help
  • Live Chat
  • Contact
  • Email to our Support Team