Spandidos Publications Logo
  • About
    • About Spandidos
    • Aims and Scopes
    • Abstracting and Indexing
    • Editorial Policies
    • Reprints and Permissions
    • Job Opportunities
    • Terms and Conditions
    • Contact
  • Journals
    • All Journals
    • Oncology Letters
      • Oncology Letters
      • Information for Authors
      • Editorial Policies
      • Editorial Board
      • Aims and Scope
      • Abstracting and Indexing
      • Bibliographic Information
      • Archive
    • International Journal of Oncology
      • International Journal of Oncology
      • Information for Authors
      • Editorial Policies
      • Editorial Board
      • Aims and Scope
      • Abstracting and Indexing
      • Bibliographic Information
      • Archive
    • Molecular and Clinical Oncology
      • Molecular and Clinical Oncology
      • Information for Authors
      • Editorial Policies
      • Editorial Board
      • Aims and Scope
      • Abstracting and Indexing
      • Bibliographic Information
      • Archive
    • Experimental and Therapeutic Medicine
      • Experimental and Therapeutic Medicine
      • Information for Authors
      • Editorial Policies
      • Editorial Board
      • Aims and Scope
      • Abstracting and Indexing
      • Bibliographic Information
      • Archive
    • International Journal of Molecular Medicine
      • International Journal of Molecular Medicine
      • Information for Authors
      • Editorial Policies
      • Editorial Board
      • Aims and Scope
      • Abstracting and Indexing
      • Bibliographic Information
      • Archive
    • Biomedical Reports
      • Biomedical Reports
      • Information for Authors
      • Editorial Policies
      • Editorial Board
      • Aims and Scope
      • Abstracting and Indexing
      • Bibliographic Information
      • Archive
    • Oncology Reports
      • Oncology Reports
      • Information for Authors
      • Editorial Policies
      • Editorial Board
      • Aims and Scope
      • Abstracting and Indexing
      • Bibliographic Information
      • Archive
    • Molecular Medicine Reports
      • Molecular Medicine Reports
      • Information for Authors
      • Editorial Policies
      • Editorial Board
      • Aims and Scope
      • Abstracting and Indexing
      • Bibliographic Information
      • Archive
    • World Academy of Sciences Journal
      • World Academy of Sciences Journal
      • Information for Authors
      • Editorial Policies
      • Editorial Board
      • Aims and Scope
      • Abstracting and Indexing
      • Bibliographic Information
      • Archive
    • International Journal of Functional Nutrition
      • International Journal of Functional Nutrition
      • Information for Authors
      • Editorial Policies
      • Editorial Board
      • Aims and Scope
      • Abstracting and Indexing
      • Bibliographic Information
      • Archive
    • International Journal of Epigenetics
      • International Journal of Epigenetics
      • Information for Authors
      • Editorial Policies
      • Editorial Board
      • Aims and Scope
      • Abstracting and Indexing
      • Bibliographic Information
      • Archive
    • Medicine International
      • Medicine International
      • Information for Authors
      • Editorial Policies
      • Editorial Board
      • Aims and Scope
      • Abstracting and Indexing
      • Bibliographic Information
      • Archive
  • Articles
  • Information
    • Information for Authors
    • Information for Reviewers
    • Information for Librarians
    • Information for Advertisers
    • Conferences
  • Language Editing
Spandidos Publications Logo
  • About
    • About Spandidos
    • Aims and Scopes
    • Abstracting and Indexing
    • Editorial Policies
    • Reprints and Permissions
    • Job Opportunities
    • Terms and Conditions
    • Contact
  • Journals
    • All Journals
    • Biomedical Reports
      • Information for Authors
      • Editorial Policies
      • Editorial Board
      • Aims and Scope
      • Abstracting and Indexing
      • Bibliographic Information
      • Archive
    • Experimental and Therapeutic Medicine
      • Information for Authors
      • Editorial Policies
      • Editorial Board
      • Aims and Scope
      • Abstracting and Indexing
      • Bibliographic Information
      • Archive
    • International Journal of Epigenetics
      • Information for Authors
      • Editorial Policies
      • Editorial Board
      • Aims and Scope
      • Abstracting and Indexing
      • Bibliographic Information
      • Archive
    • International Journal of Functional Nutrition
      • Information for Authors
      • Editorial Policies
      • Editorial Board
      • Aims and Scope
      • Abstracting and Indexing
      • Bibliographic Information
      • Archive
    • International Journal of Molecular Medicine
      • Information for Authors
      • Editorial Policies
      • Editorial Board
      • Aims and Scope
      • Abstracting and Indexing
      • Bibliographic Information
      • Archive
    • International Journal of Oncology
      • Information for Authors
      • Editorial Policies
      • Editorial Board
      • Aims and Scope
      • Abstracting and Indexing
      • Bibliographic Information
      • Archive
    • Medicine International
      • Information for Authors
      • Editorial Policies
      • Editorial Board
      • Aims and Scope
      • Abstracting and Indexing
      • Bibliographic Information
      • Archive
    • Molecular and Clinical Oncology
      • Information for Authors
      • Editorial Policies
      • Editorial Board
      • Aims and Scope
      • Abstracting and Indexing
      • Bibliographic Information
      • Archive
    • Molecular Medicine Reports
      • Information for Authors
      • Editorial Policies
      • Editorial Board
      • Aims and Scope
      • Abstracting and Indexing
      • Bibliographic Information
      • Archive
    • Oncology Letters
      • Information for Authors
      • Editorial Policies
      • Editorial Board
      • Aims and Scope
      • Abstracting and Indexing
      • Bibliographic Information
      • Archive
    • Oncology Reports
      • Information for Authors
      • Editorial Policies
      • Editorial Board
      • Aims and Scope
      • Abstracting and Indexing
      • Bibliographic Information
      • Archive
    • World Academy of Sciences Journal
      • Information for Authors
      • Editorial Policies
      • Editorial Board
      • Aims and Scope
      • Abstracting and Indexing
      • Bibliographic Information
      • Archive
  • Articles
  • Information
    • For Authors
    • For Reviewers
    • For Librarians
    • For Advertisers
    • Conferences
  • Language Editing
Login Register Submit
  • This site uses cookies
  • You can change your cookie settings at any time by following the instructions in our Cookie Policy. To find out more, you may read our Privacy Policy.

    I agree
Search articles by DOI, keyword, author or affiliation
Search
Advanced Search
presentation
Biomedical Reports
Join Editorial Board Propose a Special Issue
Print ISSN: 2049-9434 Online ISSN: 2049-9442
Journal Cover
September-2024 Volume 21 Issue 3

Full Size Image

Sign up for eToc alerts
Recommend to Library

Journals

International Journal of Molecular Medicine

International Journal of Molecular Medicine

International Journal of Molecular Medicine is an international journal devoted to molecular mechanisms of human disease.

International Journal of Oncology

International Journal of Oncology

International Journal of Oncology is an international journal devoted to oncology research and cancer treatment.

Molecular Medicine Reports

Molecular Medicine Reports

Covers molecular medicine topics such as pharmacology, pathology, genetics, neuroscience, infectious diseases, molecular cardiology, and molecular surgery.

Oncology Reports

Oncology Reports

Oncology Reports is an international journal devoted to fundamental and applied research in Oncology.

Experimental and Therapeutic Medicine

Experimental and Therapeutic Medicine

Experimental and Therapeutic Medicine is an international journal devoted to laboratory and clinical medicine.

Oncology Letters

Oncology Letters

Oncology Letters is an international journal devoted to Experimental and Clinical Oncology.

Biomedical Reports

Biomedical Reports

Explores a wide range of biological and medical fields, including pharmacology, genetics, microbiology, neuroscience, and molecular cardiology.

Molecular and Clinical Oncology

Molecular and Clinical Oncology

International journal addressing all aspects of oncology research, from tumorigenesis and oncogenes to chemotherapy and metastasis.

World Academy of Sciences Journal

World Academy of Sciences Journal

Multidisciplinary open-access journal spanning biochemistry, genetics, neuroscience, environmental health, and synthetic biology.

International Journal of Functional Nutrition

International Journal of Functional Nutrition

Open-access journal combining biochemistry, pharmacology, immunology, and genetics to advance health through functional nutrition.

International Journal of Epigenetics

International Journal of Epigenetics

Publishes open-access research on using epigenetics to advance understanding and treatment of human disease.

Medicine International

Medicine International

An International Open Access Journal Devoted to General Medicine.

Journal Cover
September-2024 Volume 21 Issue 3

Full Size Image

Sign up for eToc alerts
Recommend to Library

  • Article
  • Citations
    • Cite This Article
    • Download Citation
    • Create Citation Alert
    • Remove Citation Alert
    • Cited By
  • Similar Articles
    • Related Articles (in Spandidos Publications)
    • Similar Articles (Google Scholar)
    • Similar Articles (PubMed)
  • Download PDF
  • Download XML
  • View XML

  • Supplementary Files
    • Supplementary_Data1.pdf
    • Supplementary_Data2.pdf
Article Open Access

Association between vitamin D metabolism gene polymorphisms and schizophrenia

  • Authors:
    • Mohammad Shboul
    • Reem Darweesh
    • Abdulmalek Abu Zahraa
    • Amal Bani Domi
    • Aws G. Khasawneh
  • View Affiliations / Copyright

    Affiliations: Department of Medical Laboratory Sciences, Faculty of Medical Sciences, Jordan University of Science and Technology, Irbid 22110, Jordan, Department of Neurosciences, Faculty of Medicine, Jordan University of Science and Technology, Irbid 22110, Jordan
    Copyright: © Shboul et al. This is an open access article distributed under the terms of Creative Commons Attribution License.
  • Article Number: 134
    |
    Published online on: July 23, 2024
       https://doi.org/10.3892/br.2024.1822
  • Expand metrics +
Metrics: Total Views: 0 (Spandidos Publications: | PMC Statistics: )
Metrics: Total PDF Downloads: 0 (Spandidos Publications: | PMC Statistics: )
Cited By (CrossRef): 0 citations Loading Articles...

This article is mentioned in:



Abstract

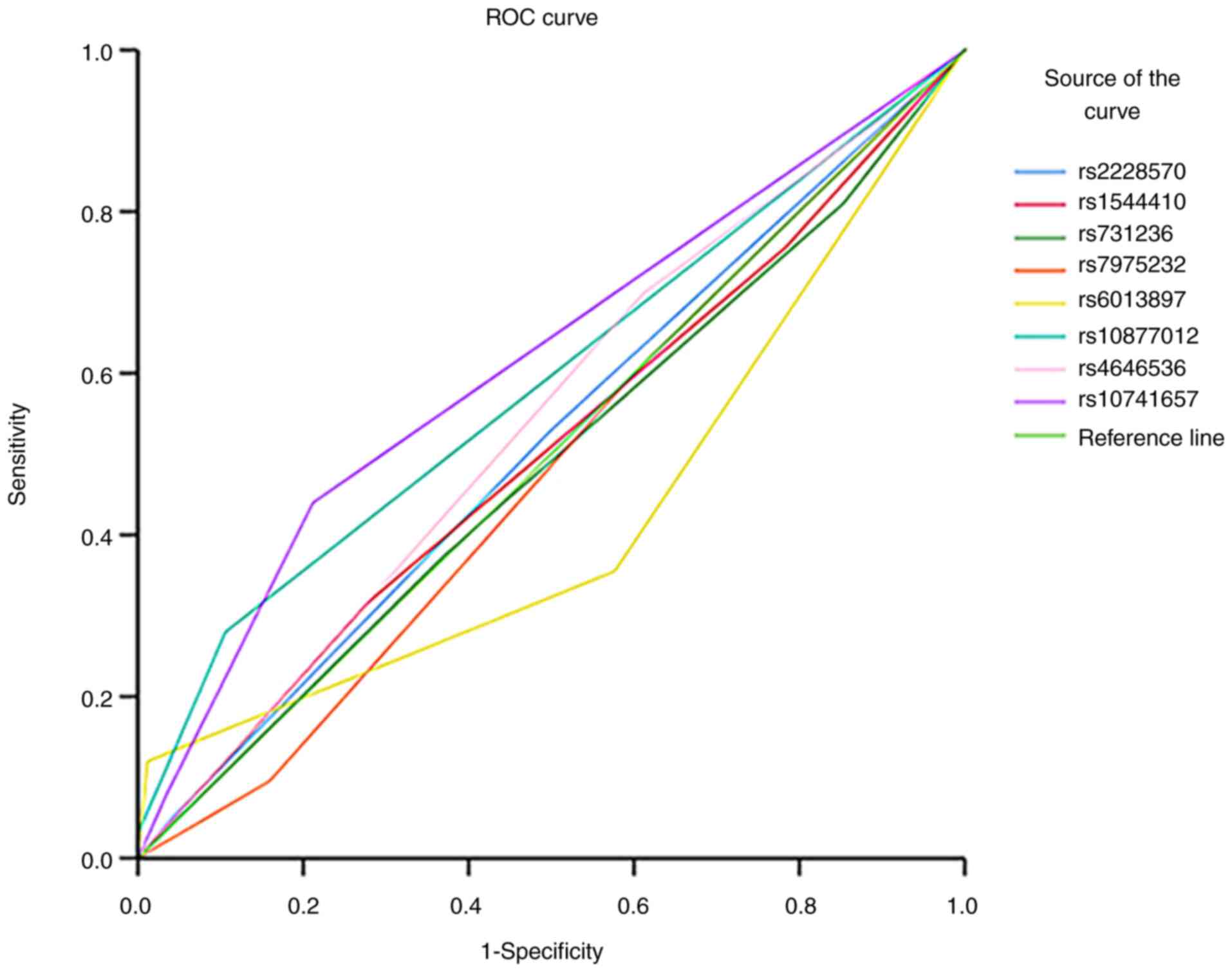
Schizophrenia (SZ) is a multifactorial and neurodegenerative disorder that results from the interaction between genetic and environmental factors. Notably, hundreds of single nucleotide polymorphisms (SNPs) are associated with the susceptibility to SZ. Vitamin D (VD) plays an essential role in regulating several genes important for maintaining brain function and health. To the best of the authors' knowledge, no studies have yet been conducted on the association between the VD pathway and patients with SZ. Therefore, the present study aimed to assess the potential association between eight SNPs in genes related to the VD pathway, including CYP2R1, CYP27B1, CYP24A1 and VDR among patients with SZ. A case‑control study was conducted, involving a total of 400 blood samples drawn from 200 patients and 200 healthy controls. Genomic DNA was extracted and variants were genotyped using the tetra‑amplification refractory mutation system‑polymerase chain reaction method. The present study revealed statistically significant differences between patients with SZ and controls regarding the genotypes and allele distributions of three SNPs [CYP2R1 (rs10741657), CYP27B1 (rs10877012) and CYP24A1 (rs6013897) (P<0.0001)]. The AA genotype of rs10741657 was identified to be associated with SZ (P<0.0001) and the frequency of the A allele was higher in patients with SZ (P<0.0001) compared with the control group. Similarly, the TT genotype of rs10877012 was revealed to be associated with SZ (P<0.0001) and the T allele was more frequent in patients with SZ (P<0.0001) than in the control group. Moreover, the AA genotype of rs6013897 was revealed to be associated with SZ (P<0.0001), although no significant difference was detected between the two groups regarding the A allele (P=0.055). VDR (rs2228570, rs1544410, rs731236 and rs7975232) and CYP27B1 (rs4646536) gene polymorphisms did not exhibit a significant association with SZ. While the studied SNPs revealed promising discriminatory capacity between patients with SZ and controls, the rs10741657 SNP exhibited the most optimal area under the curve value at 0.615. A logistic model was applied considering only the significant SNPs and VD levels, which revealed that rs6013897 (T/A) and VD may have protective effects (0.267, P<0.001; 0.888, P<0.001, respectively). Moreover, a low serum VD level was highly prevalent in patients with SZ compared with the controls. Based on this finding, an association between serum 25(OH)D and SZ could be demonstrated. The present study revealed that CYP2R1 (rs10741657), CYP27B1 (rs10877012) and CYP24A1 (rs6013897) gene SNPs may be associated with SZ susceptibility.
View Figures

Figure 1

Figure 2

View References

1 

Whiteford HA, Ferrari AJ, Degenhardt L, Feigin V and Vos T: The global burden of mental, neurological and substance use disorders: An analysis from the global burden of disease study 2010. PLoS One. 10(e0116820)2015.PubMed/NCBI View Article : Google Scholar

2 

Velligan DI and Rao S: The epidemiology and global burden of schizophrenia. J Clin Psychiatry. 84(MS21078COM5)2023.PubMed/NCBI View Article : Google Scholar

3 

Rayan A and Obiedate K: The correlates of quality of life among jordanian patients with schizophrenia. J Am Psychiatr Nurses Assoc. 23:404–413. 2017.PubMed/NCBI View Article : Google Scholar

4 

Saab R, Moussaoui D, Tabet CC, El Hamaoui Y, Salamoun MM, Mneimneh ZN and Karam EG: Epidemiology of schizophrenia and related disorders in the Arab world. Arab J Psychiatry. 22:1–9. 2011.

5 

Williams U, Jones DJ and Reddon JR (eds): Police response to mental health in Canada. Canadian Scholars' Press, pp357, 2019.

6 

Cardno AG, Marshall EJ, Coid B, Macdonald AM, Ribchester TR, Davies NJ, Venturi P, Jones LA, Lewis SW, Sham PC, et al: Heritability estimates for psychotic disorders: The Maudsley Twin Psychosis Series. Arch Gen Psychiatry. 56:162–168. 1999.PubMed/NCBI View Article : Google Scholar

7 

Wu Y, Cao H, Baranova A, Huang H, Li S, Cai L, Rao S, Dai M, Xie M, Dou Y, et al: Multi-trait analysis for genome-wide association study of five psychiatric disorders. Transl Psychiatry. 10(209)2020.PubMed/NCBI View Article : Google Scholar

8 

Momozawa Y and Mizukami K: Unique roles of rare variants in the genetics of complex diseases in humans. J Hum Genet. 66:11–23. 2021.PubMed/NCBI View Article : Google Scholar

9 

Visscher PM, Wray NR, Zhang Q, Sklar P, McCarthy MI, Brown MA and Yang J: 10 Years of GWAS discovery: Biology, function, and translation. Am J Hum Genet. 101:5–22. 2017.PubMed/NCBI View Article : Google Scholar

10 

Mullins N, Forstner AJ, O'Connell KS, Coombes B, Coleman JRI, Qiao Z, Als TD, Bigdeli TB, Børte S, Bryois J, et al: Genome-wide association study of more than 40,000 bipolar disorder cases provides new insights into the underlying biology. Nat Genet. 53:817–829. 2021.PubMed/NCBI View Article : Google Scholar

11 

Cano-Gamez E and Trynka G: From GWAS to function: Using functional genomics to identify the mechanisms underlying complex diseases. Front Genet. 11(424)2020.PubMed/NCBI View Article : Google Scholar

12 

Lv Y, Wen L, Hu WJ, Deng C, Ren HW, Bao YN, Su BW, Gao P, Man ZY, Luo YY, et al: Schizophrenia in the genetic era: A review from development history, clinical features and genomic research approaches to insights of susceptibility genes. Metab Brain Dis. 39:147–171. 2024.PubMed/NCBI View Article : Google Scholar

13 

Heinzer L and Curtis D: What have genetic studies of rare sequence variants taught us about the aetiology of schizophrenia? J Transl Genet Genom. 8:1–12. 2024.

14 

Owen MJ, Legge SE, Rees E, Walters JTR and O'Donovan MC: Genomic findings in schizophrenia and their implications. Mol Psychiatry. 28:3638–3647. 2023.PubMed/NCBI View Article : Google Scholar

15 

Legge SE, Santoro ML, Periyasamy S, Okewole A, Arsalan A and Kowalec K: Genetic architecture of schizophrenia: A review of major advancements. Psychol Med. 51:2168–2177. 2021.PubMed/NCBI View Article : Google Scholar

16 

Rodgers MD, Mead MJ, McWhorter CA, Ebeling MD, Shary JR, Newton DA, Baatz JE, Gregoski MJ, Hollis BW and Wagner CL: Vitamin D and child neurodevelopment-a post hoc analysis. Nutrients. 15(4250)2023.PubMed/NCBI View Article : Google Scholar

17 

Bivona G, Gambino CM, Iacolino G and Ciaccio M: Vitamin D and the nervous system. Neurol Res. 41:827–835. 2019.PubMed/NCBI View Article : Google Scholar

18 

Eyles DW: Vitamin D: Brain and behavior. JBMR Plus. 5(e10419)2020.PubMed/NCBI View Article : Google Scholar

19 

Ye X, Zhou Q, Ren P, Xiang W and Xiao L: The synaptic and circuit functions of vitamin D in neurodevelopment disorders. Neuropsychiatr Dis Treat. 19:1515–1530. 2023.PubMed/NCBI View Article : Google Scholar

20 

Di Somma C, Scarano E, Barrea L, Zhukouskaya VV, Savastano S, Mele C, Scacchi M, Aimaretti G, Colao A and Marzullo P: Vitamin D and neurological diseases: An endocrine view. Int J Mol Sci. 18(2482)2017.PubMed/NCBI View Article : Google Scholar

21 

Cui X, Gooch H, Petty A, McGrath JJ and Eyles D: Vitamin D and the brain: Genomic and non-genomic actions. Mol Cell Endocrinol. 453:131–143. 2017.PubMed/NCBI View Article : Google Scholar

22 

Lally J and Gaughran F: Vitamin D in schizophrenia and depression: A clinical review. BJPsych Adv. 25:240–248. 2019.

23 

Cui X and Eyles DW: Vitamin D and the central nervous system: Causative and preventative mechanisms in brain disorders. Nutrients. 14(4353)2022.PubMed/NCBI View Article : Google Scholar

24 

Voltan G, Cannito M, Ferrarese M, Ceccato F and Camozzi V: Vitamin D: An overview of gene regulation, ranging from metabolism to genomic effects. Genes (Basel). 14(1691)2023.PubMed/NCBI View Article : Google Scholar

25 

Bahrami A, Sadeghnia HR, Tabatabaeizadeh SA, Bahrami-Taghanaki H, Behboodi N, Esmaeili H, Ferns GA, Mobarhan MG and Avan A: Genetic and epigenetic factors influencing vitamin D status. J Cell Physiol. 233:4033–4043. 2018.PubMed/NCBI View Article : Google Scholar

26 

Sepulveda-Villegas M, Elizondo-Montemayor L and Trevino V: Identification and analysis of 35 genes associated with vitamin D deficiency: A systematic review to identify genetic variants. J Steroid Biochem Mol Biol. 196(105516)2020.PubMed/NCBI View Article : Google Scholar

27 

Hyppönen E, Vimaleswaran KS and Zhou A: Genetic determinants of 25-hydroxyvitamin D concentrations and their relevance to public health. Nutrients. 14(4408)2022.PubMed/NCBI View Article : Google Scholar

28 

Slater NA, Rager ML, Havrda DE and Harralson AF: Genetic variation in CYP2R1 and GC genes associated with vitamin D deficiency status. J Pharm Pract. 30:31–36. 2017.PubMed/NCBI View Article : Google Scholar

29 

Zhu JG, Ochalek JT, Kaufmann M, Jones G and DeLuca HF: CYP2R1 is a major, but not exclusive, contributor to 25-hydroxyvitamin D production in vivo. Proc Natl Acad Sci USA. 110:15650–15655. 2013.PubMed/NCBI View Article : Google Scholar

30 

Bailey R, Cooper JD, Zeitels L, Smyth DJ, Yang JH, Walker NM, Hyppönen E, Dunger DB, Ramos-Lopez E, Badenhoop K, et al: Association of the vitamin D metabolism gene CYP27B1 with type 1 diabetes. Diabetes. 56:2616–2621. 2007.PubMed/NCBI View Article : Google Scholar

31 

Carvalho IS, Gonçalves CI, Almeida JT, Azevedo T, Martins T, Rodrigues FJ and Lemos MC: Association of vitamin D pathway genetic variation and thyroid cancer. Genes (Basel). 10(572)2019.PubMed/NCBI View Article : Google Scholar

32 

Yan J, Feng J, Craddock N, Jones IR, Cook EH Jr, Goldman D, Heston LL, Chen J, Burkhart P, Li W, et al: Vitamin D receptor variants in 192 patients with schizophrenia and other psychiatric diseases. Neurosci Lett. 380:37–41. 2005.PubMed/NCBI View Article : Google Scholar

33 

Handoko HY, Nancarrow DJ, Mowry BJ and McGrath JJ: Polymorphisms in the vitamin D receptor and their associations with risk of schizophrenia and selected anthropometric measures. Am J Hum Biol. 18:415–417. 2006.PubMed/NCBI View Article : Google Scholar

34 

Lins TC, Vieira RG, Grattapaglia D and Pereira RW: Population analysis of vitamin D receptor polymorphisms and the role of genetic ancestry in an admixed population. Genet Mol Biol. 34:377–385. 2011.PubMed/NCBI View Article : Google Scholar

35 

First MB, Rebello TJ, Keeley JW, Bhargava R, Dai Y, Kulygina M, Matsumoto C, Robles R, Stona AC and Reed GM: Do mental health professionals use diagnostic classifications the way we think they do? A global survey. World Psychiatry. 17:187–195. 2018.PubMed/NCBI View Article : Google Scholar

36 

Medrano RFV and De Oliveira CA: Guidelines for the tetra-primer ARMS-PCR technique development. Mol Biotechnol. 56:599–608. 2014.PubMed/NCBI View Article : Google Scholar

37 

Luvsannyam E, Jain MS, Pormento MKL, Siddiqui H, Balagtas ARA, Emuze BO and Poprawski T: Neurobiology of schizophrenia: A comprehensive review. Cureus. 14(e23959)2022.PubMed/NCBI View Article : Google Scholar

38 

Wahbeh MH and Avramopoulos D: Gene-environment interactions in schizophrenia: A literature review. Genes (Basel). 12(1850)2021.PubMed/NCBI View Article : Google Scholar

39 

Schmitt A, Falkai P and Papiol S: Neurodevelopmental disturbances in schizophrenia: Evidence from genetic and environmental factors. J Neural Transm (Vienna). 130:195–205. 2023.PubMed/NCBI View Article : Google Scholar

40 

Watanabe K, Stringer S, Frei O, Umićević Mirkov M, de Leeuw C, Polderman TJC, van der Sluis S, Andreassen OA, Neale BM and Posthuma D: A global overview of pleiotropy and genetic architecture in complex traits. Nat Genet. 51:1339–1348. 2019.PubMed/NCBI View Article : Google Scholar

41 

Tam V, Patel N, Turcotte M, Bossé Y, Paré G and Meyre D: Benefits and limitations of genome-wide association studies. Nat Rev Genet. 20:467–484. 2019.PubMed/NCBI View Article : Google Scholar

42 

Cui X, McGrath JJ, Burne THJ and Eyles DW: Vitamin D and schizophrenia: 20 Years on. Mol Psychiatry. 26:2708–2720. 2021.PubMed/NCBI View Article : Google Scholar

43 

Roy NM, Al-Harthi L, Sampat N, Al-Mujaini R, Mahadevan S, Al Adawi S, Essa MM, Al Subhi L, Al-Balushi B and Qoronfleh MW: Impact of vitamin D on neurocognitive function in dementia, depression, schizophrenia and ADHD. Front Biosci (Landmark Ed). 26:566–611. 2021.PubMed/NCBI View Article : Google Scholar

44 

Zhu JL, Luo WW, Cheng X, Li Y, Zhang QZ and Peng WX: Vitamin D deficiency and schizophrenia in adults: A systematic review and meta-analysis of observational studies. Psychiatry Res. 288(112959)2020.PubMed/NCBI View Article : Google Scholar

45 

Asadzadeh Manjili F, Kalantar SM, Arsang-Jang S, Ghafouri-Fard S, Taheri M and Sayad A: Upregulation of vitamin D-related genes in schizophrenic patients. Neuropsychiatr Dis Treat. 14:2583–2591. 2018.PubMed/NCBI View Article : Google Scholar

46 

Dastani Z, Li R and Richards B: Genetic regulation of vitamin D levels. Calcif Tissue Int. 92:106–117. 2013.PubMed/NCBI View Article : Google Scholar

47 

Cheng JB, Motola DL, Mangelsdorf DJ and Russell DW: De-orphanization of cytochrome P450 2R1: A microsomal vitamin D 25-hydroxilase. J Biol Chem. 278:38084–38093. 2003.PubMed/NCBI View Article : Google Scholar

48 

Wang Q, Lin Z, Chen H, Ma T and Pan B: Effect of cytochrome p450 family 2 subfamily R member 1 variants on the predisposition of coronary heart disease in the Chinese Han population. Front Cardiovasc Med. 8(652729)2021.PubMed/NCBI View Article : Google Scholar

49 

Ramos-Lopez E, Brück P, Jansen T, Herwig J and Badenhoop K: CYP2R1 (vitamin D 25-hydroxylase) gene is associated with susceptibility to type 1 diabetes and vitamin D levels in Germans. Diabetes Metab Res Rev. 23:631–636. 2007.PubMed/NCBI View Article : Google Scholar

50 

Christakos S, Dhawan P, Verstuyf A, Verlinden L and Carmeliet G: Vitamin D: Metabolism, molecular mechanism of action, and pleiotropic effects. Physiol Rev. 96:365–408. 2016.PubMed/NCBI View Article : Google Scholar

51 

Bikle DD: Vitamin D metabolism, mechanism of action, and clinical applications. Chem Biol. 21:319–329. 2014.PubMed/NCBI View Article : Google Scholar

52 

Lee S, Kasif S, Weng Z and Cantor CR: Quantitative analysis of single nucleotide polymorphisms within copy number variation. PLoS One. 3(e3906)2008.PubMed/NCBI View Article : Google Scholar

53 

Graffelman J, Jain D and Weir B: A genome-wide study of Hardy-Weinberg equilibrium with next generation sequence data. Hum Genet. 136:727–741. 2017.PubMed/NCBI View Article : Google Scholar

54 

Wang J and Shete S: Testing departure from Hardy-Weinberg proportions. Methods Mol Biol. 850:77–102. 2012.PubMed/NCBI View Article : Google Scholar

55 

Valdivielso JM and Fernandez E: Vitamin D receptor polymorphisms and diseases. Clin Chim Acta. 371:1–12. 2006.PubMed/NCBI View Article : Google Scholar

56 

Kuningas M, Mooijaart SP, Jolles J, Slagboom PE, Westendorp RGJ and Heemst D Van: VDR gene variants associate with cognitive function and depressive symptoms in old age. Neurobiol Aging. 30:466–473. 2009.PubMed/NCBI View Article : Google Scholar

57 

Liu N, Zhang T, Ma L, Wei W, Li Z, Jiang X, Sun J, Pei H and Li H: Vitamin D receptor gene polymorphisms and risk of Alzheimer disease and mild cognitive impairment: A systematic review and meta-analysis. Adv Nutr. 12:2255–2264. 2021.PubMed/NCBI View Article : Google Scholar

58 

Zhang Z, Li S, Yu L and Liu J: Polymorphisms in vitamin D receptor genes in association with childhood autism spectrum disorder. Dis Markers. 2018(7862892)2018.PubMed/NCBI View Article : Google Scholar

59 

Eyles DW, Trzaskowski M, Vinkhuyzen AAE, Mattheisen M, Meier S, Gooch H, Anggono V, Cui X, Tan MC, Burne THJ, et al: The association between neonatal vitamin D status and risk of schizophrenia. Sci Rep. 8(17692)2018.PubMed/NCBI View Article : Google Scholar

60 

Eyles DW, Burne THJ and McGrath JJ: Vitamin D, effects on brain development, adult brain function and the links between low levels of vitamin D and neuropsychiatric disease. Front Neuroendocrinol. 34:47–64. 2013.PubMed/NCBI View Article : Google Scholar

61 

Crews M, Lally J, Gardner-Sood P, Howes O, Bonaccorso S, Smith S, Murray RM, Di Forti M and Gaughran F: Vitamin D deficiency in first episode psychosis: A case-control study. Schizophr Res. 150:533–537. 2013.PubMed/NCBI View Article : Google Scholar

62 

Shahini N, Jazayeri SMMZ, Jahanshahi R and Charkazi A: Relationship of serum homocysteine and vitamin D with positive, negative, and extrapyramidal symptoms in schizophrenia: A case-control study in Iran. BMC Psychiatry. 22(681)2022.PubMed/NCBI View Article : Google Scholar

Related Articles

  • Abstract
  • View
  • Download
  • Twitter
Copy and paste a formatted citation
Spandidos Publications style
Shboul M, Darweesh R, Abu Zahraa A, Bani Domi A and Khasawneh AG: Association between vitamin D metabolism gene polymorphisms and schizophrenia. Biomed Rep 21: 134, 2024.
APA
Shboul, M., Darweesh, R., Abu Zahraa, A., Bani Domi, A., & Khasawneh, A.G. (2024). Association between vitamin D metabolism gene polymorphisms and schizophrenia. Biomedical Reports, 21, 134. https://doi.org/10.3892/br.2024.1822
MLA
Shboul, M., Darweesh, R., Abu Zahraa, A., Bani Domi, A., Khasawneh, A. G."Association between vitamin D metabolism gene polymorphisms and schizophrenia". Biomedical Reports 21.3 (2024): 134.
Chicago
Shboul, M., Darweesh, R., Abu Zahraa, A., Bani Domi, A., Khasawneh, A. G."Association between vitamin D metabolism gene polymorphisms and schizophrenia". Biomedical Reports 21, no. 3 (2024): 134. https://doi.org/10.3892/br.2024.1822
Copy and paste a formatted citation
x
Spandidos Publications style
Shboul M, Darweesh R, Abu Zahraa A, Bani Domi A and Khasawneh AG: Association between vitamin D metabolism gene polymorphisms and schizophrenia. Biomed Rep 21: 134, 2024.
APA
Shboul, M., Darweesh, R., Abu Zahraa, A., Bani Domi, A., & Khasawneh, A.G. (2024). Association between vitamin D metabolism gene polymorphisms and schizophrenia. Biomedical Reports, 21, 134. https://doi.org/10.3892/br.2024.1822
MLA
Shboul, M., Darweesh, R., Abu Zahraa, A., Bani Domi, A., Khasawneh, A. G."Association between vitamin D metabolism gene polymorphisms and schizophrenia". Biomedical Reports 21.3 (2024): 134.
Chicago
Shboul, M., Darweesh, R., Abu Zahraa, A., Bani Domi, A., Khasawneh, A. G."Association between vitamin D metabolism gene polymorphisms and schizophrenia". Biomedical Reports 21, no. 3 (2024): 134. https://doi.org/10.3892/br.2024.1822
Follow us
  • Twitter
  • LinkedIn
  • Facebook
About
  • Spandidos Publications
  • Careers
  • Cookie Policy
  • Privacy Policy
How can we help?
  • Help
  • Live Chat
  • Contact
  • Email to our Support Team