Spandidos Publications Logo
  • About
    • About Spandidos
    • Aims and Scopes
    • Abstracting and Indexing
    • Editorial Policies
    • Reprints and Permissions
    • Job Opportunities
    • Terms and Conditions
    • Contact
  • Journals
    • All Journals
    • Oncology Letters
      • Oncology Letters
      • Information for Authors
      • Editorial Policies
      • Editorial Board
      • Aims and Scope
      • Abstracting and Indexing
      • Bibliographic Information
      • Archive
    • International Journal of Oncology
      • International Journal of Oncology
      • Information for Authors
      • Editorial Policies
      • Editorial Board
      • Aims and Scope
      • Abstracting and Indexing
      • Bibliographic Information
      • Archive
    • Molecular and Clinical Oncology
      • Molecular and Clinical Oncology
      • Information for Authors
      • Editorial Policies
      • Editorial Board
      • Aims and Scope
      • Abstracting and Indexing
      • Bibliographic Information
      • Archive
    • Experimental and Therapeutic Medicine
      • Experimental and Therapeutic Medicine
      • Information for Authors
      • Editorial Policies
      • Editorial Board
      • Aims and Scope
      • Abstracting and Indexing
      • Bibliographic Information
      • Archive
    • International Journal of Molecular Medicine
      • International Journal of Molecular Medicine
      • Information for Authors
      • Editorial Policies
      • Editorial Board
      • Aims and Scope
      • Abstracting and Indexing
      • Bibliographic Information
      • Archive
    • Biomedical Reports
      • Biomedical Reports
      • Information for Authors
      • Editorial Policies
      • Editorial Board
      • Aims and Scope
      • Abstracting and Indexing
      • Bibliographic Information
      • Archive
    • Oncology Reports
      • Oncology Reports
      • Information for Authors
      • Editorial Policies
      • Editorial Board
      • Aims and Scope
      • Abstracting and Indexing
      • Bibliographic Information
      • Archive
    • Molecular Medicine Reports
      • Molecular Medicine Reports
      • Information for Authors
      • Editorial Policies
      • Editorial Board
      • Aims and Scope
      • Abstracting and Indexing
      • Bibliographic Information
      • Archive
    • World Academy of Sciences Journal
      • World Academy of Sciences Journal
      • Information for Authors
      • Editorial Policies
      • Editorial Board
      • Aims and Scope
      • Abstracting and Indexing
      • Bibliographic Information
      • Archive
    • International Journal of Functional Nutrition
      • International Journal of Functional Nutrition
      • Information for Authors
      • Editorial Policies
      • Editorial Board
      • Aims and Scope
      • Abstracting and Indexing
      • Bibliographic Information
      • Archive
    • International Journal of Epigenetics
      • International Journal of Epigenetics
      • Information for Authors
      • Editorial Policies
      • Editorial Board
      • Aims and Scope
      • Abstracting and Indexing
      • Bibliographic Information
      • Archive
    • Medicine International
      • Medicine International
      • Information for Authors
      • Editorial Policies
      • Editorial Board
      • Aims and Scope
      • Abstracting and Indexing
      • Bibliographic Information
      • Archive
  • Articles
  • Information
    • Information for Authors
    • Information for Reviewers
    • Information for Librarians
    • Information for Advertisers
    • Conferences
  • Language Editing
Spandidos Publications Logo
  • About
    • About Spandidos
    • Aims and Scopes
    • Abstracting and Indexing
    • Editorial Policies
    • Reprints and Permissions
    • Job Opportunities
    • Terms and Conditions
    • Contact
  • Journals
    • All Journals
    • Biomedical Reports
      • Information for Authors
      • Editorial Policies
      • Editorial Board
      • Aims and Scope
      • Abstracting and Indexing
      • Bibliographic Information
      • Archive
    • Experimental and Therapeutic Medicine
      • Information for Authors
      • Editorial Policies
      • Editorial Board
      • Aims and Scope
      • Abstracting and Indexing
      • Bibliographic Information
      • Archive
    • International Journal of Epigenetics
      • Information for Authors
      • Editorial Policies
      • Editorial Board
      • Aims and Scope
      • Abstracting and Indexing
      • Bibliographic Information
      • Archive
    • International Journal of Functional Nutrition
      • Information for Authors
      • Editorial Policies
      • Editorial Board
      • Aims and Scope
      • Abstracting and Indexing
      • Bibliographic Information
      • Archive
    • International Journal of Molecular Medicine
      • Information for Authors
      • Editorial Policies
      • Editorial Board
      • Aims and Scope
      • Abstracting and Indexing
      • Bibliographic Information
      • Archive
    • International Journal of Oncology
      • Information for Authors
      • Editorial Policies
      • Editorial Board
      • Aims and Scope
      • Abstracting and Indexing
      • Bibliographic Information
      • Archive
    • Medicine International
      • Information for Authors
      • Editorial Policies
      • Editorial Board
      • Aims and Scope
      • Abstracting and Indexing
      • Bibliographic Information
      • Archive
    • Molecular and Clinical Oncology
      • Information for Authors
      • Editorial Policies
      • Editorial Board
      • Aims and Scope
      • Abstracting and Indexing
      • Bibliographic Information
      • Archive
    • Molecular Medicine Reports
      • Information for Authors
      • Editorial Policies
      • Editorial Board
      • Aims and Scope
      • Abstracting and Indexing
      • Bibliographic Information
      • Archive
    • Oncology Letters
      • Information for Authors
      • Editorial Policies
      • Editorial Board
      • Aims and Scope
      • Abstracting and Indexing
      • Bibliographic Information
      • Archive
    • Oncology Reports
      • Information for Authors
      • Editorial Policies
      • Editorial Board
      • Aims and Scope
      • Abstracting and Indexing
      • Bibliographic Information
      • Archive
    • World Academy of Sciences Journal
      • Information for Authors
      • Editorial Policies
      • Editorial Board
      • Aims and Scope
      • Abstracting and Indexing
      • Bibliographic Information
      • Archive
  • Articles
  • Information
    • For Authors
    • For Reviewers
    • For Librarians
    • For Advertisers
    • Conferences
  • Language Editing
Login Register Submit
  • This site uses cookies
  • You can change your cookie settings at any time by following the instructions in our Cookie Policy. To find out more, you may read our Privacy Policy.

    I agree
Search articles by DOI, keyword, author or affiliation
Search
Advanced Search
presentation
Biomedical Reports
Join Editorial Board Propose a Special Issue
Print ISSN: 2049-9434 Online ISSN: 2049-9442
Journal Cover
October-2024 Volume 21 Issue 4

Full Size Image

Sign up for eToc alerts
Recommend to Library

Journals

International Journal of Molecular Medicine

International Journal of Molecular Medicine

International Journal of Molecular Medicine is an international journal devoted to molecular mechanisms of human disease.

International Journal of Oncology

International Journal of Oncology

International Journal of Oncology is an international journal devoted to oncology research and cancer treatment.

Molecular Medicine Reports

Molecular Medicine Reports

Covers molecular medicine topics such as pharmacology, pathology, genetics, neuroscience, infectious diseases, molecular cardiology, and molecular surgery.

Oncology Reports

Oncology Reports

Oncology Reports is an international journal devoted to fundamental and applied research in Oncology.

Experimental and Therapeutic Medicine

Experimental and Therapeutic Medicine

Experimental and Therapeutic Medicine is an international journal devoted to laboratory and clinical medicine.

Oncology Letters

Oncology Letters

Oncology Letters is an international journal devoted to Experimental and Clinical Oncology.

Biomedical Reports

Biomedical Reports

Explores a wide range of biological and medical fields, including pharmacology, genetics, microbiology, neuroscience, and molecular cardiology.

Molecular and Clinical Oncology

Molecular and Clinical Oncology

International journal addressing all aspects of oncology research, from tumorigenesis and oncogenes to chemotherapy and metastasis.

World Academy of Sciences Journal

World Academy of Sciences Journal

Multidisciplinary open-access journal spanning biochemistry, genetics, neuroscience, environmental health, and synthetic biology.

International Journal of Functional Nutrition

International Journal of Functional Nutrition

Open-access journal combining biochemistry, pharmacology, immunology, and genetics to advance health through functional nutrition.

International Journal of Epigenetics

International Journal of Epigenetics

Publishes open-access research on using epigenetics to advance understanding and treatment of human disease.

Medicine International

Medicine International

An International Open Access Journal Devoted to General Medicine.

Journal Cover
October-2024 Volume 21 Issue 4

Full Size Image

Sign up for eToc alerts
Recommend to Library

  • Article
  • Citations
    • Cite This Article
    • Download Citation
    • Create Citation Alert
    • Remove Citation Alert
    • Cited By
  • Similar Articles
    • Related Articles (in Spandidos Publications)
    • Similar Articles (Google Scholar)
    • Similar Articles (PubMed)
  • Download PDF
  • Download XML
  • View XML
Article Open Access

Horizontal ridge augmentation through ridge expansion via osseodensification, guided bone regeneration and ridge‑split: Systematic review and meta‑analysis of clinical trials

  • Authors:
    • Andrei Vorovenci
    • Sergiu Drafta
    • Alexandru Petre
  • View Affiliations / Copyright

    Affiliations: Faculty of Dental Medicine, Carol Davila University of Medicine and Pharmacy, 050051 Bucharest, Romania, Prosthodontics Department, Carol Davila University of Medicine and Pharmacy, 20102 Bucharest, Romania, Prosthodontics Department, Faculty of Dental Medicine, Carol Davila University of Medicine and Pharmacy, 050051 Bucharest, Romania
    Copyright: © Vorovenci et al. This is an open access article distributed under the terms of Creative Commons Attribution License.
  • Article Number: 139
    |
    Published online on: July 31, 2024
       https://doi.org/10.3892/br.2024.1827
  • Expand metrics +
Metrics: Total Views: 0 (Spandidos Publications: | PMC Statistics: )
Metrics: Total PDF Downloads: 0 (Spandidos Publications: | PMC Statistics: )
Cited By (CrossRef): 0 citations Loading Articles...

This article is mentioned in:



Abstract

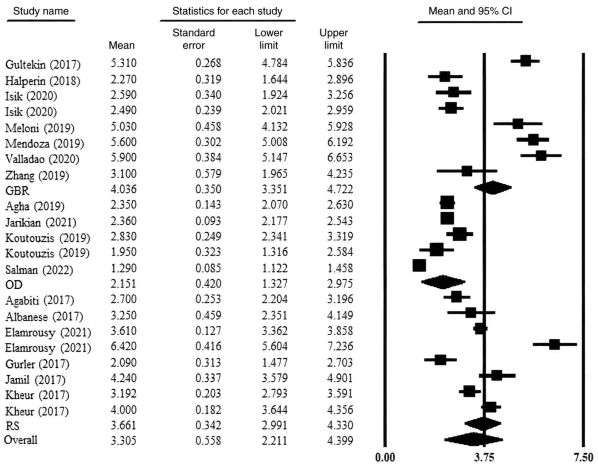
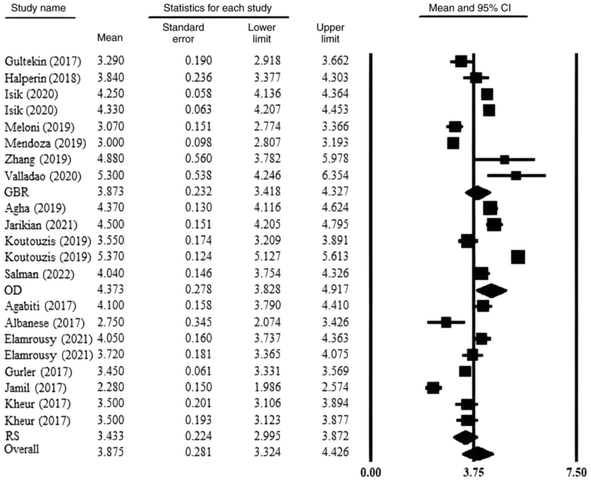
The aim of the present systematic review was to compare three ridge augmentation procedures in order to assist clinicians in finding the ideal surgical method relative to the horizontal bone gain needed and the width of the alveolar ridge available. An electronic and hand literature search was performed in the online databases PubMed‑Medline, Cochrane Central Register of Controlled Trials, EMBASE, Cochrane Oral Health Group Trials Register and Web of Science, and various specialized journals, between January 2017 and December 2022. The included studies were evaluated using the Methodological Index for Non‑randomized Studies score and Cochrane's RoB tool. The primary variable studied in the meta‑analysis was the final bone gain. The implant survival rate and initial ridge width were the secondary variables. Then four studies on ridge expansion via osseodensification (OD), seven on guided bone regeneration (GBR) and seven on the ridge‑split technique (RS) were included in the review; 17 out of 18 were selected for meta‑analysis. The mean horizontal bone gain for OD was 2.151 mm [1.327‑2.975 mm; 95% confidence interval (CI)], for GBR was 4.036 mm (3.351‑4.772 mm 95%CI) and for RS was 3.661 mm (2.991‑4.399 mm 95%CI). The results were statistically significant (P=0.002). GBR reported the most bone gain horizontally, followed closely by RS and then OD. OD is a recent technique that should be taken into account when discussing the protocols of horizontally atrophied ridge rehabilitation.
View Figures

Figure 1

Figure 2

Figure 3

Figure 4

Figure 5

Figure 6

Figure 7

Figure 8

Figure 9

Figure 10

Figure 11

Figure 12

View References

1 

Nentwig GH: Technic of bone splitting for alveolar recession in anterior maxillary region. Quintessenz. 37:1825–1834. 1986.PubMed/NCBI(In German).

2 

Inchingolo AD, Inchingolo AM, Bordea IR, Xhajanka E, Romeo DM, Romeo M, Zappone CMF, Malcangi G, Scarano A, Lorusso F, et al: The effectiveness of osseodensification drilling protocol for implant site osteotomy: A systematic review of the literature and meta-analysis. Materials (Basel). 14(1147)2021.PubMed/NCBI View Article : Google Scholar

3 

Waechter J, Leite FR, Nascimento GG, Carmo Filho LC and Faot F: The split crest technique and dental implants: A systematic review and meta-analysis. Int J Oral Maxillofac Surg. 46:116–128. 2017.PubMed/NCBI View Article : Google Scholar

4 

Starch-Jensen T and Becktor JP: Maxillary alveolar ridge expansion with split-crest technique compared with lateral ridge augmentation with autogenous bone block graft: A systematic review. J Oral Maxillofac Res. 10(e2)2019.PubMed/NCBI View Article : Google Scholar

5 

Schopper C, Goriwoda W, Moser D, Spassova E, Watzinger F and Ewers R: Long-term results after guided bone regeneration with resorbable and microporous titanium membranes. Oral Maxillofac Surg Clin N Am. 13:449–458. 2001.

6 

Tolstunov L: Classification of the alveolar ridge width: Implant-driven treatment considerations for the horizontally deficient alveolar ridges. J Oral Implantol. 40:365–370. 2014.PubMed/NCBI View Article : Google Scholar

7 

Elnayef B, Porta C, Suárez-López Del Amo F, Mordini L, Gargallo-Albiol J and Hernández-Alfaro F: The fate of lateral ridge augmentation: A systematic review and meta-analysis. Int J Oral Maxillofac Implants. 33:622–635. 2018.PubMed/NCBI View Article : Google Scholar

8 

Huwais S and Meyer EG: A novel osseous densification approach in implant osteotomy preparation to increase biomechanical primary stability, bone mineral density, and bone-to-implant contact. Int J Oral Maxillofac Implants. 32:27–36. 2017.PubMed/NCBI View Article : Google Scholar

9 

Pai UY, Rodrigues SJ, Talreja KS and Mundathaje M: Osseodensification-a novel approach in implant dentistry. J Indian Prosthodont Soc. 18:196–200. 2018.PubMed/NCBI View Article : Google Scholar

10 

Frizzera F, Spin-Neto R, Padilha V, Nicchio N, Ghiraldini B, Bezerra F and Marcantonio E Jr: Effect of osseodensification on the increase in ridge thickness and the prevention of buccal peri-implant defects: An in vitro randomized split mouth pilot study. BMC Oral Health. 22(233)2022.PubMed/NCBI View Article : Google Scholar

11 

Zhou L, Su Y and Wang J, Wang X, Liu Q and Wang J: Effect of exposure rates with customized versus conventional titanium mesh on guided bone regeneration: Systematic review and meta-analysis. J Oral Implantol. 48:339–346. 2022.PubMed/NCBI View Article : Google Scholar

12 

Carini F, Longoni S, Amosso E, Paleari J, Carini S and Porcaro G: Bone augmentation with TiMesh. autologous bone versus autologous bone and bone substitutes. A systematic review. Ann Stomatol (Roma). 5 (Suppl 2 to No 2):S27–S36. 2014.PubMed/NCBI

13 

Tolstunov L, Hamrick JFE, Broumand V, Shilo D and Rachmiel A: Bone augmentation techniques for horizontal and vertical alveolar ridge deficiency in oral implantology. Oral Maxillofac Surg Clin North Am. 31:163–191. 2019.PubMed/NCBI View Article : Google Scholar

14 

Arnal HM, Angioni CD, Gaultier F, Urbinelli R and Urban IA: Horizontal guided bone regeneration on knife-edge ridges: A retrospective case-control pilot study comparing two surgical techniques. Clin Implant Dent Relat Res. 24:211–221. 2022.PubMed/NCBI View Article : Google Scholar

15 

Atef M, Tarek A, Shaheen M, Alarawi RM and Askar N: Horizontal ridge augmentation using native collagen membrane vs titanium mesh in atrophic maxillary ridges: Randomized clinical trial. Clin Implant Dent Relat Res. 22:156–166. 2020.PubMed/NCBI View Article : Google Scholar

16 

Slim K, Nini E, Forestier D, Kwiatkowski F, Panis Y and Chipponi J: Methodological index for non-randomized studies (minors): Development and validation of a new instrument. ANZ J Surg. 73:712–716. 2003.PubMed/NCBI View Article : Google Scholar

17 

Higgins JPT, Altman DG, Gøtzsche PC, Jüni P, Moher D, Oxman AD, Savovic J, Schulz KF, Weeks L, Sterne JA, et al: The cochrane collaboration's tool for assessing risk of bias in randomised trials. BMJ. 343(d5928)2011.PubMed/NCBI View Article : Google Scholar

18 

Elnayef B, Monje A, Lin GH, Gargallo-Albiol J, Chan HL, Wang HL and Hernández-Alfaro F: Alveolar ridge split on horizontal bone augmentation: A systematic review. Int J Oral Maxillofac Implants. 30:596–606. 2015.PubMed/NCBI View Article : Google Scholar

19 

Wessing B, Lettner S and Zechner W: Guided bone regeneration with collagen membranes and particulate graft materials: A systematic review and meta-analysis. Int J Oral Maxillofac Implants. 33:87–100. 2018.PubMed/NCBI View Article : Google Scholar

20 

Koutouzis T, Huwais S, Hasan F, Trahan W, Waldrop T and Neiva R: Alveolar ridge expansion by osseodensification-mediated plastic deformation and compaction autografting: A multicenter retrospective study. Implant Dent. 28:349–355. 2019.PubMed/NCBI View Article : Google Scholar

21 

Agha MM and El-Mohandes WA: Evolution of implant placement in narrow alveolar ridge using versah drills. Al-Azhar J Dent Sci. 22:247–251. 2019.

22 

Jarikian S, Jaafo MH and Al-Nerabieah Z: Clinical evaluation of two techniques for narrow alveolar ridge expansion: Clinical study. Int J Dent Oral Sci. 8:1047–1052. 2021.

23 

Salman RD and Bede SY: The use of osseodensification for ridge expansion and dental implant placement in narrow alveolar ridges: A prospective observational clinical study. J Craniofac Surg. 33:2114–2117. 2022.PubMed/NCBI View Article : Google Scholar

24 

Agabiti I and Botticelli D: Two-stage ridge split at narrow alveolar mandibular bone ridges. J Oral Maxillofac Surg. 75:2115.e1–2115.e12. 2017.PubMed/NCBI View Article : Google Scholar

25 

Albanese M, Ricciardi G, Luciano U, Donadello D, Lucchese A, Gelpi F, Zangani A, De Santis D, Rizzini A, Rossetto A and Bertossi D: Alveolar splitting with Piezosurgery®, bone bank grafts and NobelActive implants as an alternative to major bone grafting for maxillary reconstruction. Minerva Stomatol. 68:3–10. 2019.PubMed/NCBI View Article : Google Scholar

26 

Gurler G, Delilbasi C, Garip H and Tufekcioglu S: Comparison of alveolar ridge splitting and autogenous onlay bone grafting to enable implant placement in patients with atrophic jaw bones. Saudi Med J. 38:1207–1212. 2017.PubMed/NCBI View Article : Google Scholar

27 

Jamil FA and Al-Adili SS: Lateral ridge splitting (expansion) with immediate placement of endosseous dental implant using piezoelectric device: A new treatment protocol. J Craniofac Surg. 28:434–439. 2017.PubMed/NCBI View Article : Google Scholar

28 

Kheur MG, Kheur S, Lakha T, Jambhekar S, Le B and Jain V: Does graft particle type and size affect ridge dimensional changes after alveolar ridge split procedure? J Oral Maxillofac Surg. 76:761–769. 2018.PubMed/NCBI View Article : Google Scholar

29 

Mahmoud ZT, Wainwright M and Troedhan A: Flapless piezotome crest split achieves comparable outcomes to autologous onlay grafts with significant less patient morbidity and complications-a randomized clinical study. J Oral Maxillofac Surg. 78:1953–1964. 2020.PubMed/NCBI View Article : Google Scholar

30 

Elamrousy W, Osama M and Issa DR: Autogenous bone and bioactive glass around implants placed simultaneously with ridge splitting for the treatment of horizontal bony defects: A randomised clinical trial. Int J Dent. 2021(2457328)2021.PubMed/NCBI View Article : Google Scholar

31 

Gultekin BA, Cansiz E and Borahan MO: Clinical and 3-dimensional radiographic evaluation of autogenous iliac block bone grafting and guided bone regeneration in patients with atrophic maxilla. J Oral Maxillofac Surg. 75:709–722. 2017.PubMed/NCBI View Article : Google Scholar

32 

Halperin-Sternfeld M, Zigdon-Giladi H, Shapira L and Wilensky A: Lateral guided bone regeneration using a novel synthetic bioresorbable membrane: A two center prospective randomized controlled trial running title: A novel membrane for ridge augmentation. J Mol Clin Med. 1:169–176. 2018.

33 

Meloni SM, Jovanovic SA, Urban I, Baldoni E, Pisano M and Tallarico M: Horizontal ridge augmentation using GBR with a native collagen membrane and 1:1 ratio of particulate xenograft and autologous bone: A 3-year after final loading prospective clinical study. Clin Implant Dent Relat Res. 21:669–677. 2019.PubMed/NCBI View Article : Google Scholar

34 

Mendoza-Azpur G, de la Fuente A, Chavez E, Valdivia E and Khouly I: Horizontal ridge augmentation with guided bone regeneration using particulate xenogenic bone substitutes with or without autogenous block grafts: A randomized controlled trial. Clin Implant Dent Relat Res. 21:521–530. 2019.PubMed/NCBI View Article : Google Scholar

35 

Zhang T, Zhang T and Cai X: The application of a newly designed L-shaped titanium mesh for GBR with simultaneous implant placement in the esthetic zone: A retrospective case series study. Clin Implant Dent Relat Res. 21:862–872. 2019.PubMed/NCBI View Article : Google Scholar

36 

Amaral Valladão CA Jr, Freitas Monteiro M and Joly JC: Guided bone regeneration in staged vertical and horizontal bone augmentation using platelet-rich fibrin associated with bone grafts: A retrospective clinical study. Int J Implant Dent. 6(72)2020.PubMed/NCBI View Article : Google Scholar

37 

Işık G, Özden Yüce M, Koçak-Topbaş N and Günbay T: Guided bone regeneration simultaneous with implant placement using bovine-derived xenograft with and without liquid platelet-rich fibrin: A randomized controlled clinical trial. Clin Oral Investig. 25:5563–5575. 2021.PubMed/NCBI View Article : Google Scholar

38 

Ortega-Oller I, Suárez F, Galindo-Moreno P, Torrecillas-Martínez L, Monje A, Catena A and Wang HL: The influence of implant diameter on its survival: A meta-analysis based on prospective clinical trials. J Periodontol. 85:569–580. 2014.PubMed/NCBI View Article : Google Scholar

39 

Sanz-Sánchez I, Ortiz-Vigón A, Sanz-Martín I, Figuero E and Sanz M: Effectiveness of lateral bone augmentation on the alveolar crest dimension: A systematic review and meta-analysis. J Dent Res. 94 (9 Suppl):128S–142S. 2015.PubMed/NCBI View Article : Google Scholar

40 

Stevens MR, Ghasemi S and Tabrizi R (eds): Innovative perspectives in oral and maxillofacial surgery. Springer, Cham, 2021.

41 

Sohn DS, Lee HJ, Heo JU, Moon JW, Park IS and Romanos GE: Immediate and delayed lateral ridge expansion technique in the atrophic posterior mandibular ridge. J Oral Maxillofac Surg. 68:2283–2290. 2010.PubMed/NCBI View Article : Google Scholar

42 

Jha N, Choi EH, Kaushik NK and Ryu JJ: Types of devices used in ridge split procedure for alveolar bone expansion: A systematic review. PLoS One. 12(e0180342)2017.PubMed/NCBI View Article : Google Scholar

Related Articles

  • Abstract
  • View
  • Download
  • Twitter
Copy and paste a formatted citation
Spandidos Publications style
Vorovenci A, Drafta S and Petre A: Horizontal ridge augmentation through ridge expansion via osseodensification, guided bone regeneration and ridge‑split: Systematic review and meta‑analysis of clinical trials. Biomed Rep 21: 139, 2024.
APA
Vorovenci, A., Drafta, S., & Petre, A. (2024). Horizontal ridge augmentation through ridge expansion via osseodensification, guided bone regeneration and ridge‑split: Systematic review and meta‑analysis of clinical trials. Biomedical Reports, 21, 139. https://doi.org/10.3892/br.2024.1827
MLA
Vorovenci, A., Drafta, S., Petre, A."Horizontal ridge augmentation through ridge expansion via osseodensification, guided bone regeneration and ridge‑split: Systematic review and meta‑analysis of clinical trials". Biomedical Reports 21.4 (2024): 139.
Chicago
Vorovenci, A., Drafta, S., Petre, A."Horizontal ridge augmentation through ridge expansion via osseodensification, guided bone regeneration and ridge‑split: Systematic review and meta‑analysis of clinical trials". Biomedical Reports 21, no. 4 (2024): 139. https://doi.org/10.3892/br.2024.1827
Copy and paste a formatted citation
x
Spandidos Publications style
Vorovenci A, Drafta S and Petre A: Horizontal ridge augmentation through ridge expansion via osseodensification, guided bone regeneration and ridge‑split: Systematic review and meta‑analysis of clinical trials. Biomed Rep 21: 139, 2024.
APA
Vorovenci, A., Drafta, S., & Petre, A. (2024). Horizontal ridge augmentation through ridge expansion via osseodensification, guided bone regeneration and ridge‑split: Systematic review and meta‑analysis of clinical trials. Biomedical Reports, 21, 139. https://doi.org/10.3892/br.2024.1827
MLA
Vorovenci, A., Drafta, S., Petre, A."Horizontal ridge augmentation through ridge expansion via osseodensification, guided bone regeneration and ridge‑split: Systematic review and meta‑analysis of clinical trials". Biomedical Reports 21.4 (2024): 139.
Chicago
Vorovenci, A., Drafta, S., Petre, A."Horizontal ridge augmentation through ridge expansion via osseodensification, guided bone regeneration and ridge‑split: Systematic review and meta‑analysis of clinical trials". Biomedical Reports 21, no. 4 (2024): 139. https://doi.org/10.3892/br.2024.1827
Follow us
  • Twitter
  • LinkedIn
  • Facebook
About
  • Spandidos Publications
  • Careers
  • Cookie Policy
  • Privacy Policy
How can we help?
  • Help
  • Live Chat
  • Contact
  • Email to our Support Team