Spandidos Publications Logo
  • About
    • About Spandidos
    • Aims and Scopes
    • Abstracting and Indexing
    • Editorial Policies
    • Reprints and Permissions
    • Job Opportunities
    • Terms and Conditions
    • Contact
  • Journals
    • All Journals
    • Oncology Letters
      • Oncology Letters
      • Information for Authors
      • Editorial Policies
      • Editorial Board
      • Aims and Scope
      • Abstracting and Indexing
      • Bibliographic Information
      • Archive
    • International Journal of Oncology
      • International Journal of Oncology
      • Information for Authors
      • Editorial Policies
      • Editorial Board
      • Aims and Scope
      • Abstracting and Indexing
      • Bibliographic Information
      • Archive
    • Molecular and Clinical Oncology
      • Molecular and Clinical Oncology
      • Information for Authors
      • Editorial Policies
      • Editorial Board
      • Aims and Scope
      • Abstracting and Indexing
      • Bibliographic Information
      • Archive
    • Experimental and Therapeutic Medicine
      • Experimental and Therapeutic Medicine
      • Information for Authors
      • Editorial Policies
      • Editorial Board
      • Aims and Scope
      • Abstracting and Indexing
      • Bibliographic Information
      • Archive
    • International Journal of Molecular Medicine
      • International Journal of Molecular Medicine
      • Information for Authors
      • Editorial Policies
      • Editorial Board
      • Aims and Scope
      • Abstracting and Indexing
      • Bibliographic Information
      • Archive
    • Biomedical Reports
      • Biomedical Reports
      • Information for Authors
      • Editorial Policies
      • Editorial Board
      • Aims and Scope
      • Abstracting and Indexing
      • Bibliographic Information
      • Archive
    • Oncology Reports
      • Oncology Reports
      • Information for Authors
      • Editorial Policies
      • Editorial Board
      • Aims and Scope
      • Abstracting and Indexing
      • Bibliographic Information
      • Archive
    • Molecular Medicine Reports
      • Molecular Medicine Reports
      • Information for Authors
      • Editorial Policies
      • Editorial Board
      • Aims and Scope
      • Abstracting and Indexing
      • Bibliographic Information
      • Archive
    • World Academy of Sciences Journal
      • World Academy of Sciences Journal
      • Information for Authors
      • Editorial Policies
      • Editorial Board
      • Aims and Scope
      • Abstracting and Indexing
      • Bibliographic Information
      • Archive
    • International Journal of Functional Nutrition
      • International Journal of Functional Nutrition
      • Information for Authors
      • Editorial Policies
      • Editorial Board
      • Aims and Scope
      • Abstracting and Indexing
      • Bibliographic Information
      • Archive
    • International Journal of Epigenetics
      • International Journal of Epigenetics
      • Information for Authors
      • Editorial Policies
      • Editorial Board
      • Aims and Scope
      • Abstracting and Indexing
      • Bibliographic Information
      • Archive
    • Medicine International
      • Medicine International
      • Information for Authors
      • Editorial Policies
      • Editorial Board
      • Aims and Scope
      • Abstracting and Indexing
      • Bibliographic Information
      • Archive
  • Articles
  • Information
    • Information for Authors
    • Information for Reviewers
    • Information for Librarians
    • Information for Advertisers
    • Conferences
  • Language Editing
Spandidos Publications Logo
  • About
    • About Spandidos
    • Aims and Scopes
    • Abstracting and Indexing
    • Editorial Policies
    • Reprints and Permissions
    • Job Opportunities
    • Terms and Conditions
    • Contact
  • Journals
    • All Journals
    • Biomedical Reports
      • Information for Authors
      • Editorial Policies
      • Editorial Board
      • Aims and Scope
      • Abstracting and Indexing
      • Bibliographic Information
      • Archive
    • Experimental and Therapeutic Medicine
      • Information for Authors
      • Editorial Policies
      • Editorial Board
      • Aims and Scope
      • Abstracting and Indexing
      • Bibliographic Information
      • Archive
    • International Journal of Epigenetics
      • Information for Authors
      • Editorial Policies
      • Editorial Board
      • Aims and Scope
      • Abstracting and Indexing
      • Bibliographic Information
      • Archive
    • International Journal of Functional Nutrition
      • Information for Authors
      • Editorial Policies
      • Editorial Board
      • Aims and Scope
      • Abstracting and Indexing
      • Bibliographic Information
      • Archive
    • International Journal of Molecular Medicine
      • Information for Authors
      • Editorial Policies
      • Editorial Board
      • Aims and Scope
      • Abstracting and Indexing
      • Bibliographic Information
      • Archive
    • International Journal of Oncology
      • Information for Authors
      • Editorial Policies
      • Editorial Board
      • Aims and Scope
      • Abstracting and Indexing
      • Bibliographic Information
      • Archive
    • Medicine International
      • Information for Authors
      • Editorial Policies
      • Editorial Board
      • Aims and Scope
      • Abstracting and Indexing
      • Bibliographic Information
      • Archive
    • Molecular and Clinical Oncology
      • Information for Authors
      • Editorial Policies
      • Editorial Board
      • Aims and Scope
      • Abstracting and Indexing
      • Bibliographic Information
      • Archive
    • Molecular Medicine Reports
      • Information for Authors
      • Editorial Policies
      • Editorial Board
      • Aims and Scope
      • Abstracting and Indexing
      • Bibliographic Information
      • Archive
    • Oncology Letters
      • Information for Authors
      • Editorial Policies
      • Editorial Board
      • Aims and Scope
      • Abstracting and Indexing
      • Bibliographic Information
      • Archive
    • Oncology Reports
      • Information for Authors
      • Editorial Policies
      • Editorial Board
      • Aims and Scope
      • Abstracting and Indexing
      • Bibliographic Information
      • Archive
    • World Academy of Sciences Journal
      • Information for Authors
      • Editorial Policies
      • Editorial Board
      • Aims and Scope
      • Abstracting and Indexing
      • Bibliographic Information
      • Archive
  • Articles
  • Information
    • For Authors
    • For Reviewers
    • For Librarians
    • For Advertisers
    • Conferences
  • Language Editing
Login Register Submit
  • This site uses cookies
  • You can change your cookie settings at any time by following the instructions in our Cookie Policy. To find out more, you may read our Privacy Policy.

    I agree
Search articles by DOI, keyword, author or affiliation
Search
Advanced Search
presentation
Biomedical Reports
Join Editorial Board Propose a Special Issue
Print ISSN: 2049-9434 Online ISSN: 2049-9442
Journal Cover
October-2024 Volume 21 Issue 4

Full Size Image

Sign up for eToc alerts
Recommend to Library

Journals

International Journal of Molecular Medicine

International Journal of Molecular Medicine

International Journal of Molecular Medicine is an international journal devoted to molecular mechanisms of human disease.

International Journal of Oncology

International Journal of Oncology

International Journal of Oncology is an international journal devoted to oncology research and cancer treatment.

Molecular Medicine Reports

Molecular Medicine Reports

Covers molecular medicine topics such as pharmacology, pathology, genetics, neuroscience, infectious diseases, molecular cardiology, and molecular surgery.

Oncology Reports

Oncology Reports

Oncology Reports is an international journal devoted to fundamental and applied research in Oncology.

Experimental and Therapeutic Medicine

Experimental and Therapeutic Medicine

Experimental and Therapeutic Medicine is an international journal devoted to laboratory and clinical medicine.

Oncology Letters

Oncology Letters

Oncology Letters is an international journal devoted to Experimental and Clinical Oncology.

Biomedical Reports

Biomedical Reports

Explores a wide range of biological and medical fields, including pharmacology, genetics, microbiology, neuroscience, and molecular cardiology.

Molecular and Clinical Oncology

Molecular and Clinical Oncology

International journal addressing all aspects of oncology research, from tumorigenesis and oncogenes to chemotherapy and metastasis.

World Academy of Sciences Journal

World Academy of Sciences Journal

Multidisciplinary open-access journal spanning biochemistry, genetics, neuroscience, environmental health, and synthetic biology.

International Journal of Functional Nutrition

International Journal of Functional Nutrition

Open-access journal combining biochemistry, pharmacology, immunology, and genetics to advance health through functional nutrition.

International Journal of Epigenetics

International Journal of Epigenetics

Publishes open-access research on using epigenetics to advance understanding and treatment of human disease.

Medicine International

Medicine International

An International Open Access Journal Devoted to General Medicine.

Journal Cover
October-2024 Volume 21 Issue 4

Full Size Image

Sign up for eToc alerts
Recommend to Library

  • Article
  • Citations
    • Cite This Article
    • Download Citation
    • Create Citation Alert
    • Remove Citation Alert
    • Cited By
  • Similar Articles
    • Related Articles (in Spandidos Publications)
    • Similar Articles (Google Scholar)
    • Similar Articles (PubMed)
  • Download PDF
  • Download XML
  • View XML

  • Supplementary Files
    • Supplementary_Data1.pdf
    • Supplementary_Data2.pdf
Article Open Access

Serum immunoglobulin A levels: Diagnostic utility in alcoholic liver disease and association with liver fibrosis in steatotic liver disease

  • Authors:
    • Tatsuki Ichikawa
    • Mio Yamashima
    • Shinobu Yamamichi
    • Makiko Koike
    • Yusuke Nakano
    • Hiroyuki Yajima
    • Osamu Miyazaki
    • Tomonari Ikeda
    • Takuma Okamura
    • Kazuyoshi Nagata
    • Kenichi Sawa
    • Kazutaka Niiya
    • Kazuhiko Nakao
  • View Affiliations / Copyright

    Affiliations: Department of Gastroenterology, Nagasaki Harbor Medical Center, Nagasaki 850‑8555, Japan, Innovation and Translational Research Center, Nagasaki Harbor Medical Center, Nagasaki 850‑8555, Japan, Department of Gastroenterology and Hepatology, Graduate School of Biomedical Sciences, Nagasaki University, Nagasaki 852‑8501, Japan
    Copyright: © Ichikawa et al. This is an open access article distributed under the terms of Creative Commons Attribution License.
  • Article Number: 142
    |
    Published online on: August 1, 2024
       https://doi.org/10.3892/br.2024.1830
  • Expand metrics +
Metrics: Total Views: 0 (Spandidos Publications: | PMC Statistics: )
Metrics: Total PDF Downloads: 0 (Spandidos Publications: | PMC Statistics: )
Cited By (CrossRef): 0 citations Loading Articles...

This article is mentioned in:



Abstract

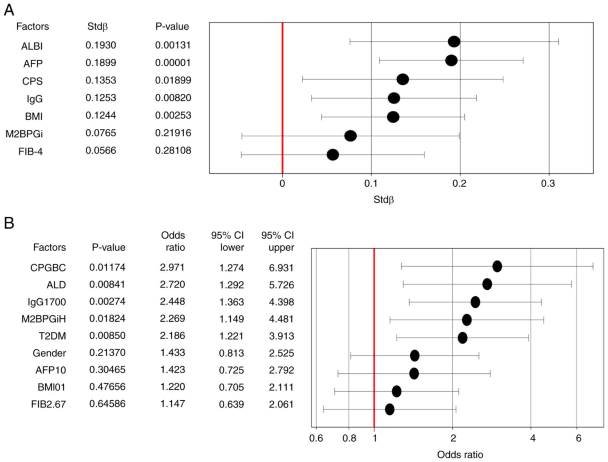
The relationship between immunoglobulin A (IgA) levels and chronic liver disease remains poorly understood. The present study evaluated the clinical significance of IgA in 478 new patients who visited the Outpatient Clinic of Nagasaki Harbor Medical Center (Nagasaki, Japan). Serum IgA levels in comparison to liver stiffness (LS), as measured using a FibroScan® device, were evaluated in 358 patients. Furthermore, in 270 patients, the associations between serum IgA levels and body composition were analyzed using computed tomography. The IgA levels of patients in the groups with Child‑Pugh classification B and C (CPGBC), alcoholic liver disease (ALD), steatotic liver disease (SLD) or diabetes were higher than the IgA levels of patients in the groups with CPGA, non‑ALD, non‑SLD or no diabetes, respectively. Logistic regression analysis showed that CPGBC, ALD, high IgG (>1,700 mg/dl), high macrophage galactose‑specific lectin‑2 binding protein glycosylation isomer (M2BPGi) (>1 cut‑off index) and diabetes were contributing factors for high serum IgA level (>410 mg/dl). The ratio of IgA level divided by IgG level was highest in patients with ALD, followed by those with metabolic dysfunction‑associated SLD (MASLD) and non‑SLD. In SLD, IgA level was associated more with LS than M2BPGi and fibrosis‑4 (FIB‑4) in multiple regression analysis. In the receiver operating characteristic analysis, IgA level, M2BPG, and FIB‑4 had similar area under the curve values for discriminating high LS (>8 kPa) from low LS (≤8 kPa) in SLD. IgA levels were also associated with visceral fat, and this association was only found in women. In conclusion, elevated IgA is an indicator of liver fibrosis that also reflects the presence of diabetes and an increased visceral fat level. Therefore, IgA is considered a useful marker of liver disease severity in the current era of increased SLD.
View Figures

Figure 1

Figure 2

Figure 3

View References

1 

Pabst O, Cerovic V and Hornef M: Secretory IgA in the coordination of establishment and maintenance of the microbiota. Trends Immunol. 37:287–296. 2016.PubMed/NCBI View Article : Google Scholar

2 

Lycke NY and Bemark M: The regulation of gut mucosal IgA B-cell responses: Recent developments. Mucosal Immunol. 10:1361–1374. 2017.PubMed/NCBI View Article : Google Scholar

3 

Takeuchi T, Miyauchi E, Kanaya T, Kato T, Nakanishi Y, Watanabe T, Kitami T, Taida T, Sasaki T, Negishi H, et al: Acetate differentially regulates IgA reactivity to commensal bacteria. Nature. 595:560–564. 2021.PubMed/NCBI View Article : Google Scholar

4 

Inamine T and Schnabl B: Immunoglobulin A and liver diseases. J Gastroenterol. 53:691–700. 2018.PubMed/NCBI View Article : Google Scholar

5 

Doi H, Hayashi E, Arai J, Tojo M, Morikawa K, Eguchi J, Ito T, Kanto T, Kaplan DE and Yoshida H: Enhanced B-cell differentiation driven by advanced cirrhosis resulting in hyperglobulinemia. J Gastroenterol Hepatol. 2018.PubMed/NCBI View Article : Google Scholar : (Online ahead of print).

6 

Kotsiliti E, Leone V, Schuehle S, Govaere O, Li H, Wolf MJ, Horvatic H, Bierwirth S, Hundertmark J, Inverso D, et al: Intestinal B-cells license metabolic T-cell activation in NASH microbiota/antigen-independently and contribute to fibrosis by IgA-FcR signalling. J Hepatol. 79:296–313. 2023.PubMed/NCBI View Article : Google Scholar

7 

Tomita K, Teratani T, Yokoyama H, Suzuki T, Irie R, Ebinuma H, Saito H, Hokari R, Miura S and Hibi T: Serum immunoglobulin A concentration is an independent predictor of liver fibrosis in nonalcoholic steatohepatitis before the cirrhotic stage. Dig Dis Sci. 56:3648–3654. 2011.PubMed/NCBI View Article : Google Scholar

8 

Maleki I, Aminafshari MR, Taghvaei T, Hosseini V, Rafiei A, Torabizadeh Z, Barzin M and Orang E: Serum immunoglobulin A concentration is a reliable biomarker for liver fibrosis in non-alcoholic fatty liver. World J Gastroenterol. 20:12566–12573. 2014.PubMed/NCBI View Article : Google Scholar

9 

Danpanichkul P, Ng CH, Muthiah MD, Duangsonk K, Yong JN, Tan DJH, Lim WH, Wong ZY, Syn N, Tsusumi T, et al: The silent burden of non-alcoholic fatty liver disease in the elderly : A global burden of disease analysis. Aliment Pharmacol Ther. 58:1062–1074. 2023.PubMed/NCBI View Article : Google Scholar

10 

Devarbhavi H, Asrani SK, Arab JP, Nartey YA, Pose E and Kamath PS: Global burden of liver disease: 2023 update. J Hepatol. 79:516–537. 2023.PubMed/NCBI View Article : Google Scholar

11 

Younossi ZM, Henry L, Isaacs S and Cusi K: Identification of high risk NAFLD patients in endocrinology clinics. Endocr Pract. 29:912–918. 2023.PubMed/NCBI View Article : Google Scholar

12 

Wattacheril JJ, Abdelmalek MF, Lim JK and Sanyal AJ: AGA clinical practice update on the role of noninvasive biomarkers in the evaluation and management of nonalcoholic fatty liver disease: Expert review. Gastroenterology. 165:1080–1088. 2023.PubMed/NCBI View Article : Google Scholar

13 

Eddowes PJ, Sasso M, Allison M, Tsochatzis E, Anstee QM, Sheridan D, Guha IN, Cobbold JF, Deeks JJ, Paradis V, et al: Accuracy of FibroScan controlled attenuation parameter and liver stiffness measurement in assessing steatosis and fibrosis in patients with nonalcoholic fatty liver disease. Gastroenterology. 156:1717–1730. 2019.PubMed/NCBI View Article : Google Scholar

14 

Kiyoaki I, Sumida Y, Nakade Y, Okumura A, Nishimura S, Ibusuki M, Kitano R, Sakamoto K, Kimoto S, Inoue T, et al: Mac-2 binding protein glycosylation isomer, the FIB-4 index, and a combination of the two as predictors of non-alcoholic steatohepatitis. PLoS One. 17(e0277380)2022.PubMed/NCBI View Article : Google Scholar

15 

Guo J, Han X, Huang W, You Y and Jicheng Z: Interaction between IgA and gut microbiota and its role in controlling metabolic syndrome. Obes Rev. 22(e13155)2021.PubMed/NCBI View Article : Google Scholar

16 

Guo X, Meng G, Liu F, Zhang Q, Liu L, Wu H, Du H, Shi H, Xia Y, Liu X, et al: Serum levels of immunoglobulins in an adult population and their relationship with type 2 diabetes. Diabetes Res Clin Pract. 115:76–82. 2016.PubMed/NCBI View Article : Google Scholar

17 

Rafaqat S, Sattar A, Khalid A and Rafaqat S: Role of liver parameters in diabetes mellitus-a narrative review. Endocr Regul. 57:200–220. 2023.PubMed/NCBI View Article : Google Scholar

18 

Kim EH, Kim HK, Lee MJ, Bae SJ, Choe J, Jung CH, Kim CH, Park JY and Lee WJ: Sex differences of visceral fat area and visceral-to-subcutaneous fat ratio for the risk of incident type 2 diabetes mellitus. Diabetes Metab J. 46:486–498. 2022.PubMed/NCBI View Article : Google Scholar

19 

Mitsiopoulos N, Baumgartner RN, Heymsfield SB, Lyons W, Gallagher D and Ross R: Cadaver validation of skeletal muscle measurement by magnetic resonance imaging and computerized tomography. J Appl Physiol (1985). 85:115–122. 1998.PubMed/NCBI View Article : Google Scholar

20 

Rinella ME, Lazarus JV, Ratziu V, Francque SM, Sanyal AJ, Kanwal F, Romero D, Abdelmalek MF, Anstee QM, Arab JP, et al: A multisociety Delphi consensus statement on new fatty liver disease nomenclature. J Hepatol. 79:1542–1556. 2023.PubMed/NCBI View Article : Google Scholar

21 

Fujiwara N, Nakagawa H, Kudo Y, Tateishi R, Taguri M, Watadani T, Nakagomi R, Kondo M, Nakatsuka T, Minami T, et al: Sarcopenia, intramuscular fat deposition, and visceral adiposity independently predict the outcomes of hepatocellular carcinoma. J Hepatol. 63:131–140. 2015.PubMed/NCBI View Article : Google Scholar

22 

Shephard DA: The 1975 declaration of helsinki and consent. Can Med Assoc J. 115:1191–1192. 1976.PubMed/NCBI

23 

Tarantino G, Citro V, Esposit P, Giaquinto S, de Leone A, Milan G, Tripodi FS, Cirillo M and Lobello R: Blood ammonia levels in liver cirrhosis: A clue for the presence of portosystemic collateral veins. BMC Gastroenterol. 9(21)2009.PubMed/NCBI View Article : Google Scholar

24 

Johnson PJ, Berhane S, Kagebayashi C, Satomura S, Teng M, Reeves HL, O'Beirne J, Fox R, Skowronska A, Palmer D, et al: Assessment of liver function in patients with hepatocellular carcinoma: A new evidence-based approach-the ALBI grade. J Clin Oncol. 33:550–558. 2015.PubMed/NCBI View Article : Google Scholar

25 

Kamath P, Wiesner RH, Malinchoc M, Kremers W, Therneau TM, Kosberg CL, D'Amico G, Dickson ER and Kim WR: A model to predict survival in patients with end-stage liver disease. Hepatology. 33:464–470. 2001.PubMed/NCBI View Article : Google Scholar

26 

Vallet-Pichard A, Mallet V, Nalpas B, Verkarre V, Nalpas A, Dhalluin-Venier V, Fontaine H and Pol S: FIB-4: An inexpensive and accurate marker of fibrosis in HCV infection. Comparison with liver biopsy and FibroTest. Hepatology. 46:32–36. 2007.PubMed/NCBI View Article : Google Scholar

27 

Newsome PN, Sasso M, Deeks JJ, Paredes A, Boursier J, Chan WK, Yilmaz Y, Czernichow S, Zheng MH, Wong VW, et al: FibroScan-AST (FAST) score for the non-invasive identification of patients with non-alcoholic steatohepatitis with significant activity and fibrosis: A prospective derivation and global validation study. Lancet Gastroenterol Hepatol. 5:362–373. 2020.PubMed/NCBI View Article : Google Scholar

28 

Mózes FE, Lee JA, Vali Y, Alzoubi O, Staufer K, Trauner M, Paternostro R, Stauber RE, Holleboom AG, van Dijk AM, et al: Performance of non-invasive tests and histology for the prediction of clinical outcomes in patients with non-alcoholic fatty liver disease: An individual participant data meta-analysis. Lancet Gastroenterol Hepatol. 8:704–713. 2023.PubMed/NCBI View Article : Google Scholar

29 

Torruellas C, French SW and Medici V: Diagnosis of alcoholic liver disease. World J Gastroenterol. 20:11684–11699. 2014.PubMed/NCBI View Article : Google Scholar

30 

Zagato E, Mazzini E and Rescigno M: The variegated aspects of immunoglobulin A. Immunol Lett. 178:45–49. 2016.PubMed/NCBI View Article : Google Scholar

31 

Tarantino G and Citro V: What are the common downstream molecular events between alcoholic and nonalcoholic fatty liver? Lipids Health Dis. 23(41)2024.PubMed/NCBI View Article : Google Scholar

32 

Jung CH, Rhee EJ, Kwon H, Chang Y, Ryu S and Lee WY: Visceral-to-subcutaneous abdominal fat ratio is associated with nonalcoholic fatty liver disease and liver fibrosis. Endocrinol Metab (Seoul). 35:165–176. 2020.PubMed/NCBI View Article : Google Scholar

33 

Hernández-Conde M, Llop E, Carrillo CF, Tormo B, Abad J, Rodriguez L, Perelló C, Gomez ML, Martínez-Porras JL, Puga NF, et al: Estimation of visceral fat is useful for the diagnosis of significant fibrosis in patients with non-alcoholic fatty liver disease. World J Gastroenterol. 26:6514–6705. 2020.PubMed/NCBI View Article : Google Scholar

34 

Ha NB, Cho SJ, Mohamad Y, Kent D, Jun G, Wong R, Swarnakar V, Lin S, Maher JJ and Lai JC: Visceral adipose tissue inflammation and radiographic visceral-to-subcutaneous adipose tissue ratio in patients with cirrhosis. Dig Dis Sci. 67:3436–3444. 2022.PubMed/NCBI View Article : Google Scholar

35 

Tarantino G, Sinatti G, Citro V, Santini SJ and Balsano C: Sarcopenia, a condition shared by various diseases: Can we alleviate or delay the progression? Intern Emerg Med. 18:1887–1895. 2023.PubMed/NCBI View Article : Google Scholar

Related Articles

  • Abstract
  • View
  • Download
  • Twitter
Copy and paste a formatted citation
Spandidos Publications style
Ichikawa T, Yamashima M, Yamamichi S, Koike M, Nakano Y, Yajima H, Miyazaki O, Ikeda T, Okamura T, Nagata K, Nagata K, et al: Serum immunoglobulin A levels: Diagnostic utility in alcoholic liver disease and association with liver fibrosis in steatotic liver disease. Biomed Rep 21: 142, 2024.
APA
Ichikawa, T., Yamashima, M., Yamamichi, S., Koike, M., Nakano, Y., Yajima, H. ... Nakao, K. (2024). Serum immunoglobulin A levels: Diagnostic utility in alcoholic liver disease and association with liver fibrosis in steatotic liver disease. Biomedical Reports, 21, 142. https://doi.org/10.3892/br.2024.1830
MLA
Ichikawa, T., Yamashima, M., Yamamichi, S., Koike, M., Nakano, Y., Yajima, H., Miyazaki, O., Ikeda, T., Okamura, T., Nagata, K., Sawa, K., Niiya, K., Nakao, K."Serum immunoglobulin A levels: Diagnostic utility in alcoholic liver disease and association with liver fibrosis in steatotic liver disease". Biomedical Reports 21.4 (2024): 142.
Chicago
Ichikawa, T., Yamashima, M., Yamamichi, S., Koike, M., Nakano, Y., Yajima, H., Miyazaki, O., Ikeda, T., Okamura, T., Nagata, K., Sawa, K., Niiya, K., Nakao, K."Serum immunoglobulin A levels: Diagnostic utility in alcoholic liver disease and association with liver fibrosis in steatotic liver disease". Biomedical Reports 21, no. 4 (2024): 142. https://doi.org/10.3892/br.2024.1830
Copy and paste a formatted citation
x
Spandidos Publications style
Ichikawa T, Yamashima M, Yamamichi S, Koike M, Nakano Y, Yajima H, Miyazaki O, Ikeda T, Okamura T, Nagata K, Nagata K, et al: Serum immunoglobulin A levels: Diagnostic utility in alcoholic liver disease and association with liver fibrosis in steatotic liver disease. Biomed Rep 21: 142, 2024.
APA
Ichikawa, T., Yamashima, M., Yamamichi, S., Koike, M., Nakano, Y., Yajima, H. ... Nakao, K. (2024). Serum immunoglobulin A levels: Diagnostic utility in alcoholic liver disease and association with liver fibrosis in steatotic liver disease. Biomedical Reports, 21, 142. https://doi.org/10.3892/br.2024.1830
MLA
Ichikawa, T., Yamashima, M., Yamamichi, S., Koike, M., Nakano, Y., Yajima, H., Miyazaki, O., Ikeda, T., Okamura, T., Nagata, K., Sawa, K., Niiya, K., Nakao, K."Serum immunoglobulin A levels: Diagnostic utility in alcoholic liver disease and association with liver fibrosis in steatotic liver disease". Biomedical Reports 21.4 (2024): 142.
Chicago
Ichikawa, T., Yamashima, M., Yamamichi, S., Koike, M., Nakano, Y., Yajima, H., Miyazaki, O., Ikeda, T., Okamura, T., Nagata, K., Sawa, K., Niiya, K., Nakao, K."Serum immunoglobulin A levels: Diagnostic utility in alcoholic liver disease and association with liver fibrosis in steatotic liver disease". Biomedical Reports 21, no. 4 (2024): 142. https://doi.org/10.3892/br.2024.1830
Follow us
  • Twitter
  • LinkedIn
  • Facebook
About
  • Spandidos Publications
  • Careers
  • Cookie Policy
  • Privacy Policy
How can we help?
  • Help
  • Live Chat
  • Contact
  • Email to our Support Team