Spandidos Publications Logo
  • About
    • About Spandidos
    • Aims and Scopes
    • Abstracting and Indexing
    • Editorial Policies
    • Reprints and Permissions
    • Job Opportunities
    • Terms and Conditions
    • Contact
  • Journals
    • All Journals
    • Oncology Letters
      • Oncology Letters
      • Information for Authors
      • Editorial Policies
      • Editorial Board
      • Aims and Scope
      • Abstracting and Indexing
      • Bibliographic Information
      • Archive
    • International Journal of Oncology
      • International Journal of Oncology
      • Information for Authors
      • Editorial Policies
      • Editorial Board
      • Aims and Scope
      • Abstracting and Indexing
      • Bibliographic Information
      • Archive
    • Molecular and Clinical Oncology
      • Molecular and Clinical Oncology
      • Information for Authors
      • Editorial Policies
      • Editorial Board
      • Aims and Scope
      • Abstracting and Indexing
      • Bibliographic Information
      • Archive
    • Experimental and Therapeutic Medicine
      • Experimental and Therapeutic Medicine
      • Information for Authors
      • Editorial Policies
      • Editorial Board
      • Aims and Scope
      • Abstracting and Indexing
      • Bibliographic Information
      • Archive
    • International Journal of Molecular Medicine
      • International Journal of Molecular Medicine
      • Information for Authors
      • Editorial Policies
      • Editorial Board
      • Aims and Scope
      • Abstracting and Indexing
      • Bibliographic Information
      • Archive
    • Biomedical Reports
      • Biomedical Reports
      • Information for Authors
      • Editorial Policies
      • Editorial Board
      • Aims and Scope
      • Abstracting and Indexing
      • Bibliographic Information
      • Archive
    • Oncology Reports
      • Oncology Reports
      • Information for Authors
      • Editorial Policies
      • Editorial Board
      • Aims and Scope
      • Abstracting and Indexing
      • Bibliographic Information
      • Archive
    • Molecular Medicine Reports
      • Molecular Medicine Reports
      • Information for Authors
      • Editorial Policies
      • Editorial Board
      • Aims and Scope
      • Abstracting and Indexing
      • Bibliographic Information
      • Archive
    • World Academy of Sciences Journal
      • World Academy of Sciences Journal
      • Information for Authors
      • Editorial Policies
      • Editorial Board
      • Aims and Scope
      • Abstracting and Indexing
      • Bibliographic Information
      • Archive
    • International Journal of Functional Nutrition
      • International Journal of Functional Nutrition
      • Information for Authors
      • Editorial Policies
      • Editorial Board
      • Aims and Scope
      • Abstracting and Indexing
      • Bibliographic Information
      • Archive
    • International Journal of Epigenetics
      • International Journal of Epigenetics
      • Information for Authors
      • Editorial Policies
      • Editorial Board
      • Aims and Scope
      • Abstracting and Indexing
      • Bibliographic Information
      • Archive
    • Medicine International
      • Medicine International
      • Information for Authors
      • Editorial Policies
      • Editorial Board
      • Aims and Scope
      • Abstracting and Indexing
      • Bibliographic Information
      • Archive
  • Articles
  • Information
    • Information for Authors
    • Information for Reviewers
    • Information for Librarians
    • Information for Advertisers
    • Conferences
  • Language Editing
Spandidos Publications Logo
  • About
    • About Spandidos
    • Aims and Scopes
    • Abstracting and Indexing
    • Editorial Policies
    • Reprints and Permissions
    • Job Opportunities
    • Terms and Conditions
    • Contact
  • Journals
    • All Journals
    • Biomedical Reports
      • Information for Authors
      • Editorial Policies
      • Editorial Board
      • Aims and Scope
      • Abstracting and Indexing
      • Bibliographic Information
      • Archive
    • Experimental and Therapeutic Medicine
      • Information for Authors
      • Editorial Policies
      • Editorial Board
      • Aims and Scope
      • Abstracting and Indexing
      • Bibliographic Information
      • Archive
    • International Journal of Epigenetics
      • Information for Authors
      • Editorial Policies
      • Editorial Board
      • Aims and Scope
      • Abstracting and Indexing
      • Bibliographic Information
      • Archive
    • International Journal of Functional Nutrition
      • Information for Authors
      • Editorial Policies
      • Editorial Board
      • Aims and Scope
      • Abstracting and Indexing
      • Bibliographic Information
      • Archive
    • International Journal of Molecular Medicine
      • Information for Authors
      • Editorial Policies
      • Editorial Board
      • Aims and Scope
      • Abstracting and Indexing
      • Bibliographic Information
      • Archive
    • International Journal of Oncology
      • Information for Authors
      • Editorial Policies
      • Editorial Board
      • Aims and Scope
      • Abstracting and Indexing
      • Bibliographic Information
      • Archive
    • Medicine International
      • Information for Authors
      • Editorial Policies
      • Editorial Board
      • Aims and Scope
      • Abstracting and Indexing
      • Bibliographic Information
      • Archive
    • Molecular and Clinical Oncology
      • Information for Authors
      • Editorial Policies
      • Editorial Board
      • Aims and Scope
      • Abstracting and Indexing
      • Bibliographic Information
      • Archive
    • Molecular Medicine Reports
      • Information for Authors
      • Editorial Policies
      • Editorial Board
      • Aims and Scope
      • Abstracting and Indexing
      • Bibliographic Information
      • Archive
    • Oncology Letters
      • Information for Authors
      • Editorial Policies
      • Editorial Board
      • Aims and Scope
      • Abstracting and Indexing
      • Bibliographic Information
      • Archive
    • Oncology Reports
      • Information for Authors
      • Editorial Policies
      • Editorial Board
      • Aims and Scope
      • Abstracting and Indexing
      • Bibliographic Information
      • Archive
    • World Academy of Sciences Journal
      • Information for Authors
      • Editorial Policies
      • Editorial Board
      • Aims and Scope
      • Abstracting and Indexing
      • Bibliographic Information
      • Archive
  • Articles
  • Information
    • For Authors
    • For Reviewers
    • For Librarians
    • For Advertisers
    • Conferences
  • Language Editing
Login Register Submit
  • This site uses cookies
  • You can change your cookie settings at any time by following the instructions in our Cookie Policy. To find out more, you may read our Privacy Policy.

    I agree
Search articles by DOI, keyword, author or affiliation
Search
Advanced Search
presentation
Biomedical Reports
Join Editorial Board Propose a Special Issue
Print ISSN: 2049-9434 Online ISSN: 2049-9442
Journal Cover
December-2024 Volume 21 Issue 6

Full Size Image

Sign up for eToc alerts
Recommend to Library

Journals

International Journal of Molecular Medicine

International Journal of Molecular Medicine

International Journal of Molecular Medicine is an international journal devoted to molecular mechanisms of human disease.

International Journal of Oncology

International Journal of Oncology

International Journal of Oncology is an international journal devoted to oncology research and cancer treatment.

Molecular Medicine Reports

Molecular Medicine Reports

Covers molecular medicine topics such as pharmacology, pathology, genetics, neuroscience, infectious diseases, molecular cardiology, and molecular surgery.

Oncology Reports

Oncology Reports

Oncology Reports is an international journal devoted to fundamental and applied research in Oncology.

Experimental and Therapeutic Medicine

Experimental and Therapeutic Medicine

Experimental and Therapeutic Medicine is an international journal devoted to laboratory and clinical medicine.

Oncology Letters

Oncology Letters

Oncology Letters is an international journal devoted to Experimental and Clinical Oncology.

Biomedical Reports

Biomedical Reports

Explores a wide range of biological and medical fields, including pharmacology, genetics, microbiology, neuroscience, and molecular cardiology.

Molecular and Clinical Oncology

Molecular and Clinical Oncology

International journal addressing all aspects of oncology research, from tumorigenesis and oncogenes to chemotherapy and metastasis.

World Academy of Sciences Journal

World Academy of Sciences Journal

Multidisciplinary open-access journal spanning biochemistry, genetics, neuroscience, environmental health, and synthetic biology.

International Journal of Functional Nutrition

International Journal of Functional Nutrition

Open-access journal combining biochemistry, pharmacology, immunology, and genetics to advance health through functional nutrition.

International Journal of Epigenetics

International Journal of Epigenetics

Publishes open-access research on using epigenetics to advance understanding and treatment of human disease.

Medicine International

Medicine International

An International Open Access Journal Devoted to General Medicine.

Journal Cover
December-2024 Volume 21 Issue 6

Full Size Image

Sign up for eToc alerts
Recommend to Library

  • Article
  • Citations
    • Cite This Article
    • Download Citation
    • Create Citation Alert
    • Remove Citation Alert
    • Cited By
  • Similar Articles
    • Related Articles (in Spandidos Publications)
    • Similar Articles (Google Scholar)
    • Similar Articles (PubMed)
  • Download PDF
  • Download XML
  • View XML
Article Open Access

Effects of uric acid on oxidative stress in vascular smooth muscle cells

  • Authors:
    • Segun Dogru
    • Ekrem Yasar
    • Akin Yesilkaya
  • View Affiliations / Copyright

    Affiliations: Department of Medical Biochemistry, Akdeniz University Medical School, 07058 Antalya, Turkey, Department of Biophysics, Akdeniz University Medical School, 07058 Antalya, Turkey
    Copyright: © Dogru et al. This is an open access article distributed under the terms of Creative Commons Attribution License.
  • Article Number: 171
    |
    Published online on: September 18, 2024
       https://doi.org/10.3892/br.2024.1859
  • Expand metrics +
Metrics: Total Views: 0 (Spandidos Publications: | PMC Statistics: )
Metrics: Total PDF Downloads: 0 (Spandidos Publications: | PMC Statistics: )
Cited By (CrossRef): 0 citations Loading Articles...

This article is mentioned in:



Abstract

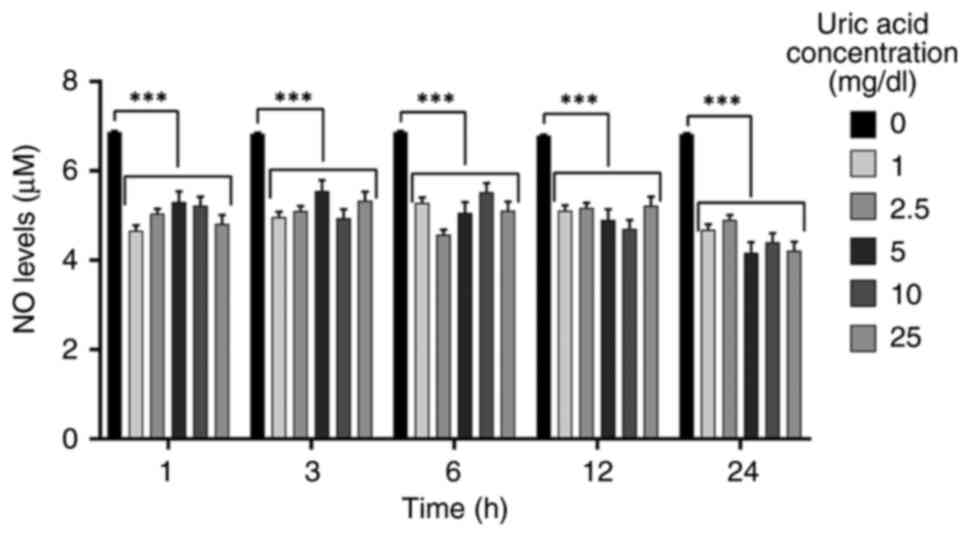
Hyperuricemia during hypertension is associated with aberrant vascular functions and increased oxidative stress, which affects endothelial dysfunction. Nevertheless, the molecular mechanisms underlying the effects of uric acid on vascular smooth muscle cells (VSMCs) through oxidative stress remain unclear. The aim of the present study was to investigate the dose‑ and time‑dependent effects of uric acid on oxidative stress and p53 protein expression in VSMCs. VSMCs were incubated with various concentrations of uric acid (0‑50 mg/dl) for different time periods (1‑24 h). Thiobarbituric acid reactive substances (TBARs), protein carbonylation and nitric oxide (NO) levels were determined using appropriate assay kits. Superoxide anion release was detected using the Görlach method. Western blotting was performed to determine the protein expression levels of p53. The findings demonstrated that the application of uric acid led to an increase in protein carbonylation and superoxide anion levels while causing a decrease in NO levels. Conversely, no significant effect was observed on TBARS levels. Additionally, it was observed that high concentrations of uric acid suppressed p53 expression at 6, 12 and 24 h. The present study provided evidence that the influence of uric acid on oxidative stress was more closely associated with time than dose; however, not all effects observed were strictly time‑dependent.
View Figures

Figure 1

Figure 2

Figure 3

Figure 4

Figure 5

View References

1 

Becker BF: Towards the physiological function of uric acid. Free Radic Biol Med. 14:615–631. 1993.PubMed/NCBI View Article : Google Scholar

2 

Bardin T and Richette P: Definition of hyperuricemia and gouty conditions. Curr Opin Rheumatol. 26:186–191. 2014.PubMed/NCBI View Article : Google Scholar

3 

Dalbeth N, Gosling A, Gaffo A and Abhishek A: Gout. Lancet. 397:1843–1855. 2021.PubMed/NCBI View Article : Google Scholar

4 

Johnson RJ, Kang DH, Feig D, Kivlighn S, Kanellis J, Watanabe S, Tuttle KR, Rodriguez-Iturbe B, Herrera-Acosta J and Mazzali M: Is there a pathogenetic role for uric acid in hypertension and cardiovascular and renal disease? Hypertension. 41:1183–1190. 2003.PubMed/NCBI View Article : Google Scholar

5 

Feig DI, Kang DH and Johnson RJ: Uric acid and cardiovascular risk. N Engl J Med. 359:1811–1821. 2008.PubMed/NCBI View Article : Google Scholar

6 

Lanaspa MA, Sanchez-Lozada LG, Choi YJ, Cicerchi C, Kanbay M, Roncal-Jimenez CA, Ishimoto T, Li N, Marek G, Duranay M, et al: Uric acid induces hepatic steatosis by generation of mitochondrial oxidative stress: Potential role in fructose-dependent and-independent fatty liver. J Biol Chem. 287:40732–40744. 2012.PubMed/NCBI View Article : Google Scholar

7 

Sautin YY, Nakagawa T, Zharikov S and Johnson RJ: Adverse effects of the classic antioxidant uric acid in adipocytes: NADPH oxidase-mediated oxidative/nitrosative stress. Am J Physiol Cell Physiol. 293:C584–C596. 2007.PubMed/NCBI View Article : Google Scholar

8 

Ames BN, Cathcart R, Schwiers E and Hochstein P: Uric acid provides an antioxidant defense in humans against oxidant- and radical-caused aging and cancer: A hypothesis. Proc Natl Acad Sci USA. 78:6858–6862. 1981.PubMed/NCBI View Article : Google Scholar

9 

Peden DB, Hohman R, Brown ME, Mason RT, Berkebile C, Fales HM and Kaliner MA: Uric acid is a major antioxidant in human nasal airway secretions. Proc Natl Acad Sci USA. 87:7638–7642. 1990.PubMed/NCBI View Article : Google Scholar

10 

Sautin YY and Johnson RJ: Uric acid: The oxidant-antioxidant paradox. Nucleosides Nucleotides Nucleic Acids. 27:608–619. 2008.PubMed/NCBI View Article : Google Scholar

11 

Zhao G, Huang L, Song M and Song Y: Baseline serum uric acid level as a predictor of cardiovascular disease related mortality and all-cause mortality: A meta-analysis of prospective studies. Atherosclerosis. 231:61–68. 2013.PubMed/NCBI View Article : Google Scholar

12 

Zhang W, Iso H, Murakami Y, Miura K, Nagai M, Sugiyama D, Ueshima H and Okamura T: EPOCH-JAPAN GROUP. Serum uric acid and mortality form cardiovascular disease: EPOCH-JAPAN study. J Atheroscler Thromb. 23:692–703. 2016.PubMed/NCBI View Article : Google Scholar

13 

Lee SW, Kim HC, Nam C, Lee HY, Ahn SV, Oh YA and Suh I: Age-differential association between serum uric acid and incident hypertension. Hypertens Res. 42:428–437. 2019.PubMed/NCBI View Article : Google Scholar

14 

Sakata S, Hata J, Honda T, Hirakawa Y, Oishi E, Shibata M, Yoshida D, Goto K, Kitazono T and Ninomiya T: Serum uric acid levels and cardiovascular mortality in a general Japanese population: The Hisayama study. Hypertens Res. 43:560–568. 2020.PubMed/NCBI View Article : Google Scholar

15 

Kurra V, Vehmas T, Eräranta A, Jokihaara J, Pirttiniemi P, Ruskoaho H, Tokola H, Niemelä O, Mustonen J and Pörsti I: Effects of oxonic acid-induced hyperuricemia on mesenteric artery tone and cardiac load in experimental renal insufficiency. BMC Nephrol. 16(35)2015.PubMed/NCBI View Article : Google Scholar

16 

Garcia-Arroyo FE, Gonzaga G, Munoz-Jimenez I, Blas-Marron MG, Silverio O, Tapia E, Soto V, Ranganathan N, Ranganathan P, Vyas U, et al: Probiotic supplements prevented oxonic acid-induced hyperuricemia and renal damage. PLoS One. 13(e0202901)2018.PubMed/NCBI View Article : Google Scholar

17 

Mazzali M, Hughes J, Kim YG, Jefferson JA, Kang DH, Gordon KL, Lan HY, Kivlighn S and Johnson RJ: Elevated uric acid increases blood pressure in the rat by a novel crystal-independent mechanism. Hypertension. 38:1101–1106. 2001.PubMed/NCBI View Article : Google Scholar

18 

Yu MA, Sánchez-Lozada LG, Johnson RJ and Kang DH: Oxidative stress with an activation of the renin-angiotensin system in human vascular endothelial cells as a novel mechanism of uric acid-induced endothelial dysfunction. J Hypertens. 28:1234–1242. 2010.PubMed/NCBI

19 

Hsu WL, Li SY, Liu JS, Huang PH, Lin SJ, Hsu CC, Lin YP and Tarng DC: High uric acid ameliorates indoxyl sulfate-induced endothelial dysfunction and is associated with lower mortality among hemodialysis patients. Toxins (Basel). 9(20)2017.PubMed/NCBI View Article : Google Scholar

20 

Cai W, Duan XM, Liu Y, Yu J, Tang YL, Liu ZL, Jiang S, Zhang CP, Liu JY and Xu JX: Uric acid induces endothelial dysfunction by activating the HMGB1/RAGE signaling pathway. Biomed Res Int. 2017(4391920)2017.PubMed/NCBI View Article : Google Scholar

21 

Ko J, Kang HJ, Kim DA, Kim MJ, Ryu ES, Lee S, Ryu JH, Roncal C, Johnson RJ and Kang DH: Uric acid induced the phenotype transition of vascular endothelial cells via induction of oxidative stress and glycocalyx shedding. FASEB J. 33:13334–13345. 2019.PubMed/NCBI View Article : Google Scholar

22 

Sandoo A, van Zanten JJ, Metsios GS, Carroll D and Kitas GD: The endothelium and its role in regulating vascular tone. Open Cardiovasc Med J. 4:302–312. 2010.PubMed/NCBI View Article : Google Scholar

23 

Brozovich F, Nicholson C, Degen C, Gao YZ, Aggarwal M and Morgan K: Mechanisms of vascular smooth muscle contraction and the basis for pharmacologic treatment of smooth muscle disorders. Pharmacol Rev. 68:476–532. 2016.PubMed/NCBI View Article : Google Scholar

24 

Touyz RM, Alves-Lopes R, Rios FJ, Camargo LL, Anagnostopoulou A, Arner A and Montezano AC: Vascular smooth muscle contraction in hypertension. Cardiovasc Res. 114:529–539. 2018.PubMed/NCBI View Article : Google Scholar

25 

Pacher P, Beckman JS and Liaudet L: Nitric oxide and peroxynitrite in health and disease. Physiol Rev. 87:315–424. 2007.PubMed/NCBI View Article : Google Scholar

26 

Radi R: Oxygen radicals, nitric oxide, and peroxynitrite: Redox pathways in molecular medicine. Proc Natl Acad Sci USA. 115:5839–5848. 2018.PubMed/NCBI View Article : Google Scholar

27 

Maruhashi T, Hisatome I, Kihara Y and Higashi Y: Hyperuricemia and endothelial function: From molecular background to clinical perspectives. Atherosclerosis. 278:226–231. 2018.PubMed/NCBI View Article : Google Scholar

28 

Yu W and Cheng JD: Uric acid and cardiovascular disease: An update from molecular mechanism to clinical perspective. Front Pharmacol. 11(582680)2020.PubMed/NCBI View Article : Google Scholar

29 

Pacher P, Obrosova IG, Mabley JG and Szabó C: Role of nitrosative stress and peroxynitrite in the pathogenesis of diabetic complications. Emerging new therapeutical strategies. Curr Med Chem. 12:267–275. 2005.PubMed/NCBI View Article : Google Scholar

30 

Wang F, Yuan Q, Chen F, Pang J, Pan C, Xu F and Chen Y: Fundamental mechanisms of the cell death caused by nitrosative stress. Front Cell Dev Biol. 9(742483)2021.PubMed/NCBI View Article : Google Scholar

31 

Choi YJ, Yoon Y, Lee KY, Hien TT, Kang KW, Kim KC, Lee J, Lee MY, Lee SM, Kang DH and Lee BH: Uric acid induces endothelial dysfunction by vascular insulin resistance associated with the impairment of nitric oxide synthesis. FASEB J. 28:3197–3204. 2014.PubMed/NCBI View Article : Google Scholar

32 

Mishima M, Hamada T, Maharani N, Ikeda N, Onohara T, Notsu T, Ninomiya H, Miyazaki S, Mizuta E, Sugihara S, et al: Effects of uric acid on the NO production of HUVECs and its restoration by urate lowering agents. Drug Res (Stuttg). 66:270–274. 2016.PubMed/NCBI View Article : Google Scholar

33 

Lin Y, Xie Y, Hao Z, Bi H, Liu Y, Yang X and Xia Y: Protective effect of uric acid on ox-LDL-induced HUVECs injury via Keap1-Nrf2-ARE pathway. J Immunol Res. 2021(5151168)2021.PubMed/NCBI View Article : Google Scholar

34 

Ouyang R, Zhao X, Zhang R, Yang J, Li S and Deng D: FGF21 attenuates high uric acid-induced endoplasmic reticulum stress, inflammation and vascular endothelial cell dysfunction by activating Sirt1. Mol Med Rep. 25(35)2022.PubMed/NCBI View Article : Google Scholar

35 

Li P, Zhang L, Zhang M, Zhou C and Lin N: Uric acid enhances PKC-dependent eNOS phosphorylation and mediates cellular ER stress: A mechanism for uric acid-induced endothelial dysfunction. Int J Mol Med. 37:989–997. 2016.PubMed/NCBI View Article : Google Scholar

36 

Huang Z, Hong Q, Zhang X, Xiao W, Wang L, Cui S, Feng Z, Lv Y, Cai G, Chen X and Wu D: Aldose reductase mediates endothelial cell dysfunction induced by high uric acid concentrations. Cell Commun Signal. 15(3)2017.PubMed/NCBI View Article : Google Scholar

37 

Lee TS, Lu TM, Chen CH, Guo BC and Hsu CP: Hyperuricemia induces endothelial dysfunction and accelerates atherosclerosis by disturbing the asymmetric dimethylarginine/dimethylarginine dimethylaminotransferase 2 pathway. Redox Biol. 46(102108)2021.PubMed/NCBI View Article : Google Scholar

38 

Corry DB, Eslami P, Yamamoto K, Nyby MD, Makino H and Tuck ML: Uric acid stimulates vascular smooth muscle cell proliferation and oxidative stress via the vascular renin-angiotensin system. J Hypertens. 26:269–275. 2008.PubMed/NCBI View Article : Google Scholar

39 

Doğru S, Yaşar E and Yeşilkaya A: Uric acid can enhance MAPK pathway-mediated proliferation in rat primary vascular smooth muscle cells via controlling of mitochondria and caspase-dependent cell death. J Recept Signal Transduct Res. 42:293–301. 2022.PubMed/NCBI View Article : Google Scholar

40 

Li T, Kon N, Jiang L, Tan M, Ludwig T, Zhao Y, Baer R and Gu W: Tumor suppression in the absence of p53-mediated cell-cycle arrest, apoptosis, and senescence. Cell. 149:1269–1283. 2012.PubMed/NCBI View Article : Google Scholar

41 

Itahana Y and Itahana K: Emerging roles of p53 family members in glucose metabolism. Int J Mol Sci. 19(776)2018.PubMed/NCBI View Article : Google Scholar

42 

Mercer J and Bennett M: The role of p53 in atherosclerosis. Cell Cycle. 5:1907–1909. 2006.PubMed/NCBI View Article : Google Scholar

43 

Phadwal K, Tang QY, Luijten I, Zhao JF, Corcoran B, Semple RK, Ganley IG and MacRae VE: p53 regulates mitochondrial dynamics in vascular smooth muscle cell calcification. Int J Mol Sci. 24(1643)2023.PubMed/NCBI View Article : Google Scholar

44 

Popowich DA, Vavra AK, Walsh CP, Bhikhapurwala HA, Rossi NB, Jiang Q, Aalami OO and Kibbe MR: Regulation of reactive oxygen species by p53: Implications for nitric oxide-mediated apoptosis. Am J Physiol Heart Circ Physiol. 298:H2192–H2200. 2010.PubMed/NCBI View Article : Google Scholar

45 

Itahana Y, Han R, Barbier S, Lei Z, Rozen S and Itahana K: The uric acid transporter SLC2A9 is a direct target gene of the tumor suppressor p53 contributing to antioxidant defense. Oncogene. 34:1799–1810. 2015.PubMed/NCBI View Article : Google Scholar

46 

Kang DH, Han L, Ouyang X, Kahn AM, Kanellis J, Li P, Feng L, Nakagawa T, Watanabe S, Hosoyamada M, et al: Uric acid causes vascular smooth muscle cell proliferation by entering cells via a functional urate transporter. Am J Nephrol. 25:425–433. 2005.PubMed/NCBI View Article : Google Scholar

47 

Oğuz N, Kırça M, Çetin A and Yeşilkaya A: Effect of uric acid on inflammatory COX-2 and ROS pathways in vascular smooth muscle cells. J Recept Signal Transduct Res. 37:500–505. 2017.PubMed/NCBI View Article : Google Scholar

48 

Tang L, Xu Y, Wei Y and He X: Uric acid induces the expression of TNF-α via the ROS-MAPK-NF-κB signaling pathway in rat vascular smooth muscle cells. Mol Med Rep. 16:6928–6933. 2017.PubMed/NCBI View Article : Google Scholar

49 

National Research Council: Guide for the Care and Use of Laboratory Animals: 8th edition. The National Academies Press, Washington, DC, 2011. https://doi.org/10.17226/12910.

50 

American Veterinary Medical Association: AVMA Guidelines for the Euthanasia of Animals. AVMA, Schaumburg, IL, 2020. https://www.avma.org/resources-tools/avma-policies/avma-guidelines-euthanasia-animals.

51 

Boston University: Institutional animal care and use committee (IACUC) Guidelines. https://www.bu.edu/research/ethics-compliance/.

52 

University of Maryland: Animal care and use Training. https://research.umd.edu/resources/department-laboratory-animal-resources-dlar/animal-care-and-use-training.

53 

Ahmadi-Noorbakhsh S, Abbasi MF, Ghasemi M, Bayat G, Davoodian N, Sharif-Paghaleh E, Poormoosavi SM, Rafizadeh M, Maleki M, Shirzad-Aski H, et al: Anesthesia and analgesia for common research models of adult mice. Lab Anim Res. 38(40)2022.PubMed/NCBI View Article : Google Scholar

54 

Parasuraman S and Christapher PV: Anesthesia and euthanasia of experimental animals. In: Introduction to basics of pharmacology and toxicology: Volume 3: Experimental Pharmacology: Research methodology and biostatistics. Springer, pp65-75, 2022.

55 

Gunther S, Alexander RW, Atkinson WJ and Gimbrone MA Jr: Functional angiotensin II receptors in cultured vascular smooth muscle cells. J Cell Biol. 92:289–298. 1982.PubMed/NCBI View Article : Google Scholar

56 

Görlach A, Brandes RP, Bassus S, Kronemann N, Kirchmaier CM, Busse R and Schini-Kerth VB: Oxidative stress and expression of p22phox are involved in the up-regulation of tissue factor in vascular smooth muscle cells in response to activated platelets. FASEB J. 14:1518–1528. 2000.PubMed/NCBI

57 

Muraoka S and Miura T: Inhibition by uric acid of free radicals that damage biological molecules. Pharmacol Toxicol. 93:284–289. 2003.PubMed/NCBI View Article : Google Scholar

58 

Rodrigo R, González J and Paoletto F: The role of oxidative stress in the pathophysiology of hypertension. Hyperten Res. 34:431–440. 2011.PubMed/NCBI View Article : Google Scholar

59 

Liu N, Xu H, Sun Q, Yu X, Chen W, Wei H, Jiang J, Xu Y and Lu W: The role of oxidative stress in hyperuricemia and xanthine oxidoreductase (XOR) inhibitors. Oxid Med Cell Longev. 2021(1470380)2021.PubMed/NCBI View Article : Google Scholar

60 

Levine AB, Punihaole D and Levine TB: Characterization of the role of nitric oxide and its clinical applications. Cardiology. 122:55–68. 2012.PubMed/NCBI View Article : Google Scholar

61 

Napoli C, Paolisso G, Casamassimi A, Al-Omran M, Barbieri M, Sommese L, Infante T and Ignarro LJ: Effects of nitric oxide on cell proliferation: Novel insights. J Am Coll Cardiol. 62:89–95. 2013.PubMed/NCBI View Article : Google Scholar

62 

Gherghina ME, Peride I, Tiglis M, Neagu TP, Niculae A and Checherita IA: Uric acid and oxidative stress-relationship with cardiovascular, metabolic, and renal impairment. Int J Mol Sci. 23(3188)2022.PubMed/NCBI View Article : Google Scholar

63 

Li M, Qian M, Kyler K and Xu J: Endothelial-vascular smooth muscle cells interactions in atherosclerosis. Front Cardiovasc Med. 5(151)2018.PubMed/NCBI View Article : Google Scholar

64 

Hirase T and Node K: Endothelial dysfunction as a cellular mechanism for vascular failure. Am J Physiol Heart Circ Physiol. 302:H499–H505. 2012.PubMed/NCBI View Article : Google Scholar

65 

Vanhoutte PM, Zhao Y, Xu A and Leung SW: Thirty years of saying NO: Sources, fate, actions, and misfortunes of the endothelium-derived vasodilator mediator. Circ Res. 119:375–396. 2016.PubMed/NCBI View Article : Google Scholar

66 

Tsutsui H, Kinugawa S and Matsushima S: Oxidative stress and heart failure. Am J Physiol Heart Circ Physiol. 30:H2181–H2190. 2011.PubMed/NCBI View Article : Google Scholar

67 

Sugamura K and Keaney JF Jr: Reactive oxygen species in cardiovascular disease. Free Radic Biol Med. 51:978–992. 2011.PubMed/NCBI View Article : Google Scholar

68 

Drummond GR, Selemidis S, Griendling KK and Sobey CG: Combating oxidative stress in vascular disease: NADPH oxidases as therapeutic targets. Nat Rev Drug Discov. 10:453–471. 2011.PubMed/NCBI View Article : Google Scholar

69 

Murray M, Selby-Pham S, Colton BL, Bennett L, Williamson G and Dordevic AL: Does timing of phytonutrient intake influence the suppression of postprandial oxidative stress? A systematic literature review. Redox Biol. 46(102123)2021.PubMed/NCBI View Article : Google Scholar

70 

Baradaran A, Nasri H and Rafieian-Kopaei M: Oxidative stress and hypertension: Possibility of hypertension therapy with antioxidants. J Res Med Sci. 19:358–367. 2014.PubMed/NCBI

71 

Tahhan AS, Sandesara PB, Hayek SS, Alkhoder A, Chivukula K, Hammadah M, Mohamed-Kelli H, O'Neal WT, Topel M, Ghasemzadeh N, et al: Association between oxidative stress and atrial fibrillation. Heart Rhythm. 14:1849–1855. 2017.PubMed/NCBI View Article : Google Scholar

72 

Ahmad KA, Yuan DY, Nawaz W, Ze H, Zhuo CX, Talal B, Taleb A, Mais E and Qilong D: Antioxidant therapy for management of oxidative stress induced hypertension. Free Radic Res. 51:428–438. 2017.PubMed/NCBI View Article : Google Scholar

73 

Kattoor AJ, Pothineni NVK, Palagiri D and Mehta JL: Oxidative stress in atherosclerosis. Curr Atheroscler Rep. 19(42)2017.PubMed/NCBI View Article : Google Scholar

74 

Dai Y, Cao Y, Zhang Z, Vallurupalli S and Mehta JL: Xanthine oxidase induces foam cell formation through LOX-1 and NLRP3 activation. Cardiovasc Drugs Ther. 31:19–27. 2017.PubMed/NCBI View Article : Google Scholar

75 

Coliva G, Lange M, Colombo S, Chervet JP, Domingues MR and Fedorova M: Sphingomyelins prevent propagation of lipid peroxidation-LC-MS/MS evaluation of inhibition mechanisms. Molecules. 25(1925)2020.PubMed/NCBI View Article : Google Scholar

76 

Chan HH, Chan E, Kwok CTK, Leung GPH, Lee SMY and Seto SW: The role of p53 in the alternation of vascular functions. Front Pharmacol. 13(981152)2022.PubMed/NCBI View Article : Google Scholar

77 

Mercer J, Figg N, Stoneman V, Braganza D and Bennett MR: Endogenous p53 protects vascular smooth muscle cells from apoptosis and reduces atherosclerosis in ApoE knockout mice. Circ Res. 96:667–674. 2005.PubMed/NCBI View Article : Google Scholar

78 

Cao RY, Eves R, Jia L, Funk CD, Jia Z and Mak AS: Effects of p53-knockout in vascular smooth muscle cells on atherosclerosis in mice. PLoS One. 12(e0175061)2017.PubMed/NCBI View Article : Google Scholar

79 

Wang M and Attardi LD: A balancing act: p53 activity from tumor suppression to pathology and therapeutic implications. Annu Rev Pathol. 17:205–226. 2022.PubMed/NCBI View Article : Google Scholar

80 

Kastenhuber ER and Lowe SW: Putting p53 in context. Cell. 170:1062–1078. 2017.PubMed/NCBI View Article : Google Scholar

81 

Buizza L, Cenini G, Lanni C, Ferrari-Toninelli G, Prandelli C, Govoni S, Buoso E, Racchi M, Barcikowska M, Styczynska M, et al: Conformational altered p53 as an early marker of oxidative stress in Alzheimer's disease. PLoS One. 7(e29789)2012.PubMed/NCBI View Article : Google Scholar

82 

Yang L, Chang B, Guo Y, Wu X and Liu L: The role of oxidative stress-mediated apoptosis in the pathogenesis of uric acid nephropathy. Ren Fail. 41:616–622. 2019.PubMed/NCBI View Article : Google Scholar

83 

Liu Y and Gu W: The complexity of p53-mediated metabolic regulation in tumor suppression. Semin Cancer Biol. 85:4–32. 2022.PubMed/NCBI View Article : Google Scholar

84 

Kruiswijk F, Labuschagne CF and Vousden KH: p53 in survival, death and metabolic health: A lifeguard with a licence to kill. Nat Rev Mol Cell Biol. 16:393–405. 2015.PubMed/NCBI View Article : Google Scholar

85 

Kibbe MR, Li J, Nie S, Choi BM, Kovesdi I, Lizonova A, Billiar TR and Tzeng E: Potentiation of nitric oxide-induced apoptosis in p53-/- vascular smooth muscle cells. Am J Physiol Cell Physiol. 282:C625–C634. 2002.PubMed/NCBI View Article : Google Scholar

86 

Kim YM, Choi BM, Kim YS, Kwon YG, Kibbe MR, Billiar TR and Tzeng E: Protective effect of p53 in vascular smooth muscle cells against nitric oxide-induced apoptosis is mediated by up-regulation of heme oxygenase-2. BMB Rep. 41:164–169. 2008.PubMed/NCBI View Article : Google Scholar

Related Articles

  • Abstract
  • View
  • Download
  • Twitter
Copy and paste a formatted citation
Spandidos Publications style
Dogru S, Yasar E and Yesilkaya A: Effects of uric acid on oxidative stress in vascular smooth muscle cells. Biomed Rep 21: 171, 2024.
APA
Dogru, S., Yasar, E., & Yesilkaya, A. (2024). Effects of uric acid on oxidative stress in vascular smooth muscle cells. Biomedical Reports, 21, 171. https://doi.org/10.3892/br.2024.1859
MLA
Dogru, S., Yasar, E., Yesilkaya, A."Effects of uric acid on oxidative stress in vascular smooth muscle cells". Biomedical Reports 21.6 (2024): 171.
Chicago
Dogru, S., Yasar, E., Yesilkaya, A."Effects of uric acid on oxidative stress in vascular smooth muscle cells". Biomedical Reports 21, no. 6 (2024): 171. https://doi.org/10.3892/br.2024.1859
Copy and paste a formatted citation
x
Spandidos Publications style
Dogru S, Yasar E and Yesilkaya A: Effects of uric acid on oxidative stress in vascular smooth muscle cells. Biomed Rep 21: 171, 2024.
APA
Dogru, S., Yasar, E., & Yesilkaya, A. (2024). Effects of uric acid on oxidative stress in vascular smooth muscle cells. Biomedical Reports, 21, 171. https://doi.org/10.3892/br.2024.1859
MLA
Dogru, S., Yasar, E., Yesilkaya, A."Effects of uric acid on oxidative stress in vascular smooth muscle cells". Biomedical Reports 21.6 (2024): 171.
Chicago
Dogru, S., Yasar, E., Yesilkaya, A."Effects of uric acid on oxidative stress in vascular smooth muscle cells". Biomedical Reports 21, no. 6 (2024): 171. https://doi.org/10.3892/br.2024.1859
Follow us
  • Twitter
  • LinkedIn
  • Facebook
About
  • Spandidos Publications
  • Careers
  • Cookie Policy
  • Privacy Policy
How can we help?
  • Help
  • Live Chat
  • Contact
  • Email to our Support Team