Spandidos Publications Logo
  • About
    • About Spandidos
    • Aims and Scopes
    • Abstracting and Indexing
    • Editorial Policies
    • Reprints and Permissions
    • Job Opportunities
    • Terms and Conditions
    • Contact
  • Journals
    • All Journals
    • Oncology Letters
      • Oncology Letters
      • Information for Authors
      • Editorial Policies
      • Editorial Board
      • Aims and Scope
      • Abstracting and Indexing
      • Bibliographic Information
      • Archive
    • International Journal of Oncology
      • International Journal of Oncology
      • Information for Authors
      • Editorial Policies
      • Editorial Board
      • Aims and Scope
      • Abstracting and Indexing
      • Bibliographic Information
      • Archive
    • Molecular and Clinical Oncology
      • Molecular and Clinical Oncology
      • Information for Authors
      • Editorial Policies
      • Editorial Board
      • Aims and Scope
      • Abstracting and Indexing
      • Bibliographic Information
      • Archive
    • Experimental and Therapeutic Medicine
      • Experimental and Therapeutic Medicine
      • Information for Authors
      • Editorial Policies
      • Editorial Board
      • Aims and Scope
      • Abstracting and Indexing
      • Bibliographic Information
      • Archive
    • International Journal of Molecular Medicine
      • International Journal of Molecular Medicine
      • Information for Authors
      • Editorial Policies
      • Editorial Board
      • Aims and Scope
      • Abstracting and Indexing
      • Bibliographic Information
      • Archive
    • Biomedical Reports
      • Biomedical Reports
      • Information for Authors
      • Editorial Policies
      • Editorial Board
      • Aims and Scope
      • Abstracting and Indexing
      • Bibliographic Information
      • Archive
    • Oncology Reports
      • Oncology Reports
      • Information for Authors
      • Editorial Policies
      • Editorial Board
      • Aims and Scope
      • Abstracting and Indexing
      • Bibliographic Information
      • Archive
    • Molecular Medicine Reports
      • Molecular Medicine Reports
      • Information for Authors
      • Editorial Policies
      • Editorial Board
      • Aims and Scope
      • Abstracting and Indexing
      • Bibliographic Information
      • Archive
    • World Academy of Sciences Journal
      • World Academy of Sciences Journal
      • Information for Authors
      • Editorial Policies
      • Editorial Board
      • Aims and Scope
      • Abstracting and Indexing
      • Bibliographic Information
      • Archive
    • International Journal of Functional Nutrition
      • International Journal of Functional Nutrition
      • Information for Authors
      • Editorial Policies
      • Editorial Board
      • Aims and Scope
      • Abstracting and Indexing
      • Bibliographic Information
      • Archive
    • International Journal of Epigenetics
      • International Journal of Epigenetics
      • Information for Authors
      • Editorial Policies
      • Editorial Board
      • Aims and Scope
      • Abstracting and Indexing
      • Bibliographic Information
      • Archive
    • Medicine International
      • Medicine International
      • Information for Authors
      • Editorial Policies
      • Editorial Board
      • Aims and Scope
      • Abstracting and Indexing
      • Bibliographic Information
      • Archive
  • Articles
  • Information
    • Information for Authors
    • Information for Reviewers
    • Information for Librarians
    • Information for Advertisers
    • Conferences
  • Language Editing
Spandidos Publications Logo
  • About
    • About Spandidos
    • Aims and Scopes
    • Abstracting and Indexing
    • Editorial Policies
    • Reprints and Permissions
    • Job Opportunities
    • Terms and Conditions
    • Contact
  • Journals
    • All Journals
    • Biomedical Reports
      • Information for Authors
      • Editorial Policies
      • Editorial Board
      • Aims and Scope
      • Abstracting and Indexing
      • Bibliographic Information
      • Archive
    • Experimental and Therapeutic Medicine
      • Information for Authors
      • Editorial Policies
      • Editorial Board
      • Aims and Scope
      • Abstracting and Indexing
      • Bibliographic Information
      • Archive
    • International Journal of Epigenetics
      • Information for Authors
      • Editorial Policies
      • Editorial Board
      • Aims and Scope
      • Abstracting and Indexing
      • Bibliographic Information
      • Archive
    • International Journal of Functional Nutrition
      • Information for Authors
      • Editorial Policies
      • Editorial Board
      • Aims and Scope
      • Abstracting and Indexing
      • Bibliographic Information
      • Archive
    • International Journal of Molecular Medicine
      • Information for Authors
      • Editorial Policies
      • Editorial Board
      • Aims and Scope
      • Abstracting and Indexing
      • Bibliographic Information
      • Archive
    • International Journal of Oncology
      • Information for Authors
      • Editorial Policies
      • Editorial Board
      • Aims and Scope
      • Abstracting and Indexing
      • Bibliographic Information
      • Archive
    • Medicine International
      • Information for Authors
      • Editorial Policies
      • Editorial Board
      • Aims and Scope
      • Abstracting and Indexing
      • Bibliographic Information
      • Archive
    • Molecular and Clinical Oncology
      • Information for Authors
      • Editorial Policies
      • Editorial Board
      • Aims and Scope
      • Abstracting and Indexing
      • Bibliographic Information
      • Archive
    • Molecular Medicine Reports
      • Information for Authors
      • Editorial Policies
      • Editorial Board
      • Aims and Scope
      • Abstracting and Indexing
      • Bibliographic Information
      • Archive
    • Oncology Letters
      • Information for Authors
      • Editorial Policies
      • Editorial Board
      • Aims and Scope
      • Abstracting and Indexing
      • Bibliographic Information
      • Archive
    • Oncology Reports
      • Information for Authors
      • Editorial Policies
      • Editorial Board
      • Aims and Scope
      • Abstracting and Indexing
      • Bibliographic Information
      • Archive
    • World Academy of Sciences Journal
      • Information for Authors
      • Editorial Policies
      • Editorial Board
      • Aims and Scope
      • Abstracting and Indexing
      • Bibliographic Information
      • Archive
  • Articles
  • Information
    • For Authors
    • For Reviewers
    • For Librarians
    • For Advertisers
    • Conferences
  • Language Editing
Login Register Submit
  • This site uses cookies
  • You can change your cookie settings at any time by following the instructions in our Cookie Policy. To find out more, you may read our Privacy Policy.

    I agree
Search articles by DOI, keyword, author or affiliation
Search
Advanced Search
presentation
Biomedical Reports
Join Editorial Board Propose a Special Issue
Print ISSN: 2049-9434 Online ISSN: 2049-9442
Journal Cover
February-2025 Volume 22 Issue 2

Full Size Image

Sign up for eToc alerts
Recommend to Library

Journals

International Journal of Molecular Medicine

International Journal of Molecular Medicine

International Journal of Molecular Medicine is an international journal devoted to molecular mechanisms of human disease.

International Journal of Oncology

International Journal of Oncology

International Journal of Oncology is an international journal devoted to oncology research and cancer treatment.

Molecular Medicine Reports

Molecular Medicine Reports

Covers molecular medicine topics such as pharmacology, pathology, genetics, neuroscience, infectious diseases, molecular cardiology, and molecular surgery.

Oncology Reports

Oncology Reports

Oncology Reports is an international journal devoted to fundamental and applied research in Oncology.

Experimental and Therapeutic Medicine

Experimental and Therapeutic Medicine

Experimental and Therapeutic Medicine is an international journal devoted to laboratory and clinical medicine.

Oncology Letters

Oncology Letters

Oncology Letters is an international journal devoted to Experimental and Clinical Oncology.

Biomedical Reports

Biomedical Reports

Explores a wide range of biological and medical fields, including pharmacology, genetics, microbiology, neuroscience, and molecular cardiology.

Molecular and Clinical Oncology

Molecular and Clinical Oncology

International journal addressing all aspects of oncology research, from tumorigenesis and oncogenes to chemotherapy and metastasis.

World Academy of Sciences Journal

World Academy of Sciences Journal

Multidisciplinary open-access journal spanning biochemistry, genetics, neuroscience, environmental health, and synthetic biology.

International Journal of Functional Nutrition

International Journal of Functional Nutrition

Open-access journal combining biochemistry, pharmacology, immunology, and genetics to advance health through functional nutrition.

International Journal of Epigenetics

International Journal of Epigenetics

Publishes open-access research on using epigenetics to advance understanding and treatment of human disease.

Medicine International

Medicine International

An International Open Access Journal Devoted to General Medicine.

Journal Cover
February-2025 Volume 22 Issue 2

Full Size Image

Sign up for eToc alerts
Recommend to Library

  • Article
  • Citations
    • Cite This Article
    • Download Citation
    • Create Citation Alert
    • Remove Citation Alert
    • Cited By
  • Similar Articles
    • Related Articles (in Spandidos Publications)
    • Similar Articles (Google Scholar)
    • Similar Articles (PubMed)
  • Download PDF
  • Download XML
  • View XML
Article Open Access

Bioactive potency of extracts from Stylissa carteri and Amphimedon chloros with silver nanoparticles against cancer cell lines and pathogenic bacteria

  • Authors:
    • Moath Alqaraleh
    • Khaled M. Khleifat
    • Ali Al‑Samydai
    • Belal O. Al‑Najjar
    • Fadi G. Saqallah
    • Yaseen T. Al Qaisi
    • Ahmad Z. Alsarayreh
    • Dana A. Alqudah
    • Abdulfattah S. Fararjeh
  • View Affiliations / Copyright

    Affiliations: Department of Medical Laboratory Sciences, Faculty of Allied Medical Sciences, Al‑Balqa Applied University, Al‑Salt 19117, Jordan, Department of Medical Laboratory Sciences, Faculty of Science, Mutah University, Al‑Karak 61710, Jordan, Department of Pharmaceutical and Pharmaceutical Technology, Faculty of Pharmacy, Pharmacological and Diagnostic Research Center, Al‑Ahliyya Amman University, Amman 11814, Jordan, Department of Pharmacy, Faculty of Pharmacy, Al‑Zaytoonah University of Jordan, Amman 11733, Jordan, Department of Biological Sciences, Faculty of Science, Mutah University, Al‑Karak 61710, Jordan, Department of Pharmaceutics and Technology, Cell Therapy Center, The University of Jordan, Amman 11942, Jordan
    Copyright: © Alqaraleh et al. This is an open access article distributed under the terms of Creative Commons Attribution License.
  • Article Number: 34
    |
    Published online on: December 19, 2024
       https://doi.org/10.3892/br.2024.1912
  • Expand metrics +
Metrics: Total Views: 0 (Spandidos Publications: | PMC Statistics: )
Metrics: Total PDF Downloads: 0 (Spandidos Publications: | PMC Statistics: )
Cited By (CrossRef): 0 citations Loading Articles...

This article is mentioned in:



Abstract

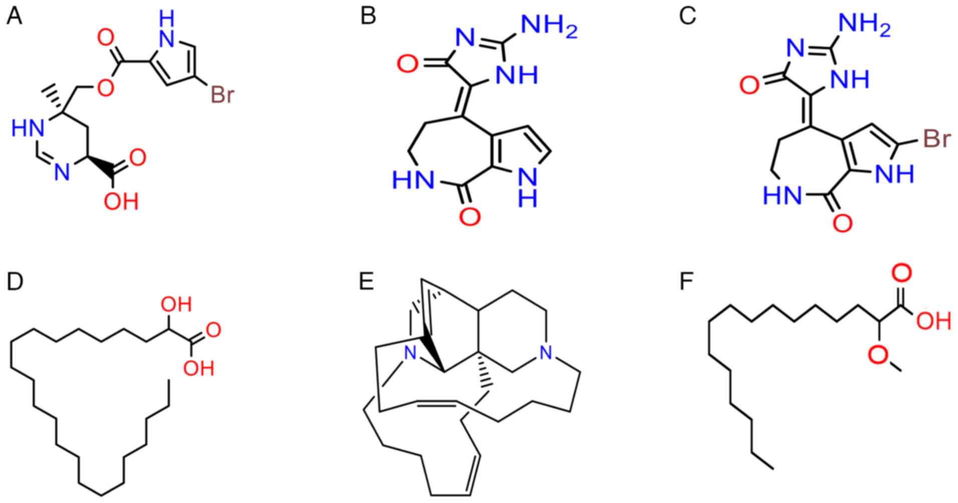
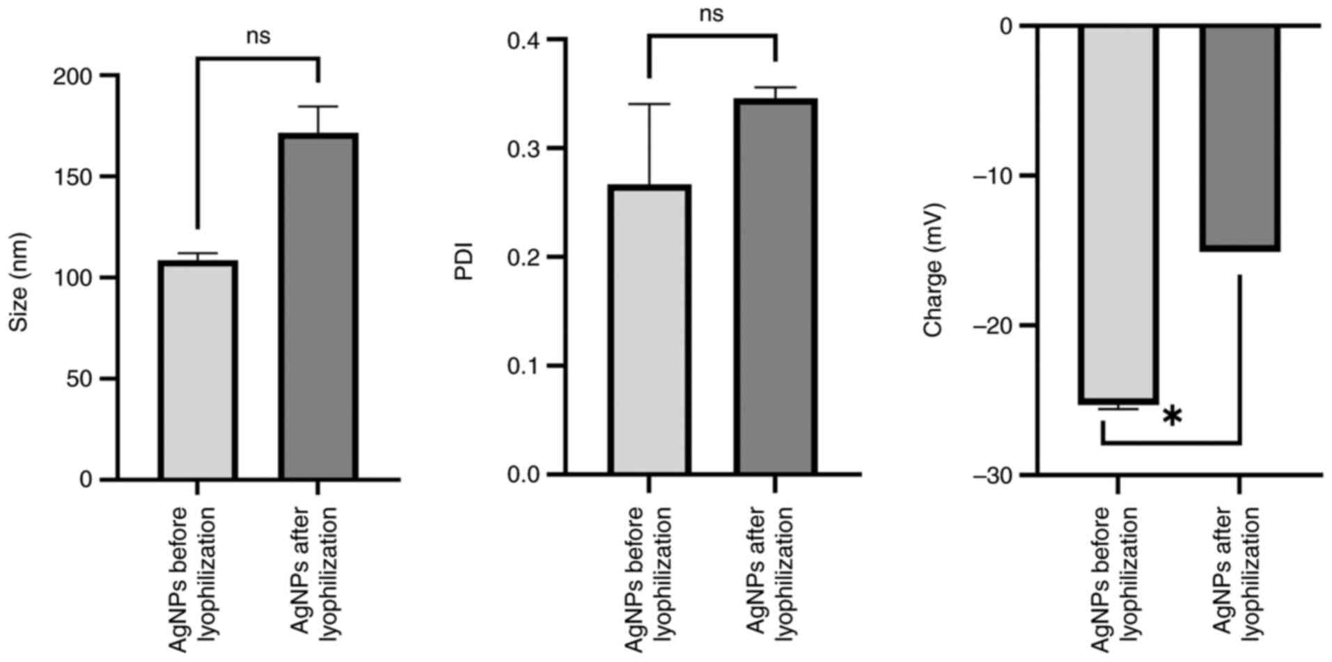
Silver nanoparticles (AgNPs) are spherical particles with a number of specific and unique physical (such as surface plasmon resonance, high electrical conductivity and thermal stability) as well as chemical (including antimicrobial activity, catalytic efficiency and the ability to form conjugates with biomolecules) properties. These properties allow AgNPs to exhibit desired interactions with the biological system and make them prospective candidates for use in antibacterial and anticancer activities. AgNPs have a quenching capacity, which produces reactive oxygen species and disrupts cellular processes (such as reducing the function of the mitochondria, damaging the cell membrane, inhibiting DNA replication and altering protein synthesis). In addition, sponge extracts contain biologically active substances with therapeutic effects. Therefore, the concurrent use of these agents may present a potential for the development of novel antitumor and antimicrobial drugs. The present study investigated the cytotoxic effects of AgNPs combined with the extracts from sponge species, Stylissa carteri or Amphimedon chloros, against various cancer cell lines and pathogenic bacterial strains. The present study was novel as it provided a further understanding of the cytotoxicity and underlying mechanisms of AgNPs. Alterations in the properties, such as size, charge and polydispersity index, of the AgNPs were demonstrated after lyophilization. Scanning electron microscopy revealed submicron‑sized particles. The cytotoxic potential of AgNPs across various cancer cell lines such as lung, colorectal, breast and pancreatic cancer cell lines, was demonstrated, especially when the AgNPs were combined with sponge extracts, which suggested a synergistic effect. Analysis using liquid chromatography‑mass spectrometry revealed key chemical components in the extracts, and molecular docking simulations indicated potential inhibition interactions between a number of the extract components and the epidermal growth factor receptor and tyrosine kinase receptor A. Synergistic antibacterial effects against several bacterial species such as Staphylococcus xylosus, Klebsiella oxytoca, Enterobacter aerogenes, Micrococcus spp. and Escherichia coli, were observed when AgNPs were combined with sponge ethyl acetate extracts. The results of the present study suggested a potential therapeutic application of marine‑derived compounds and nanotechnology in combating cancer and bacterial infections. Future research should further elucidate the mechanistic pathways and investigate the in vivo therapeutic efficacy.
View Figures

Figure 1

Figure 2

Figure 3

Figure 4

Figure 5

Figure 6

Figure 7

Figure 8

Figure 9

Figure 10

Figure 11

Figure 12

View References

1 

Gerstberger S, Jiang Q and Ganesh KJC: Metastasis. Cell. 186:1564–1579. 2023.PubMed/NCBI View Article : Google Scholar

2 

Siegel RL, Miller KD, Wagle NS and Jemal A: Cancer statistics, CA Cancer J. Clin. 73:17–48. 2023.PubMed/NCBI View Article : Google Scholar

3 

Bazeed AY, Day CM and Garg SJC: Pancreatic cancer: Challenges and opportunities in locoregional therapies. Cancers (Basel). 14(4257)2022.PubMed/NCBI View Article : Google Scholar

4 

Vasan N, Baselga J and Hyman DM: A view on drug resistance in cancer. Nature. 575:299–309. 2019.PubMed/NCBI View Article : Google Scholar

5 

Hossain CM, Gera M and Ali KA: Current status and challenges of herbal drug development and regulatory aspect: A global perspective. Asian J Pharmaceutical Clin Res. 15:31–41. 2022.

6 

Abdussalam-Mohammed W: Review of therapeutic applications of nanotechnology in medicine field and its side effects. J Chem Rev. 1:243–251. 2019.

7 

Nirmala MJ, Kizhuveetil U, Johnson A, Balaji G, Nagarajan R and Muthuvijayan V: Cancer nanomedicine: A review of nano-therapeutics and challenges ahead. RSC Adv. 13:8606–8629. 2023.PubMed/NCBI View Article : Google Scholar

8 

Bhattacharjee S: Craft of co-encapsulation in nanomedicine: A struggle to achieve synergy through reciprocity. ACS Pharmacol Transl Sci. 5:278–298. 2022.PubMed/NCBI View Article : Google Scholar

9 

Fan H, Sun Q, Dukenbayev K, Benassi E, Manarbek L, Nurkesh AA, Khamijan M, Mu C, Li C, Razbekova M, et al: Carbon nanoparticles induce DNA repair and PARP inhibitor resistance associated with nanozyme activity in cancer cells. Res Square. 13(39)2022.

10 

Elmehrath S, Nguyen HL, Karam SM, Amin A and Greish YE: BioMOF-based anti-cancer drug delivery systems. Nanomaterials. 13(953)2023.PubMed/NCBI View Article : Google Scholar

11 

El-kharrag R, Abdel Halim SS, Amin A, Greish YE and Biomaterials P: Synthesis and characterization of chitosan-coated magnetite nanoparticles using a modified wet method for drug delivery applications. Int J Polymeric Materials Polymeric Biomaterials. 68:73–82. 2019.

12 

Ibrahim S, Baig B, Hisaindee S, Darwish H, Abdel-Ghany A, El-Maghraby H, Amin A and Greish Y: Development and evaluation of crocetin-functionalized pegylated magnetite nanoparticles for hepatocellular carcinoma. Molecules. 28(2882)2023.PubMed/NCBI View Article : Google Scholar

13 

Shaimoldina A, Sergazina A, Myrzagali S, Nazarbek G, Omarova Z, Mirza O, Fan H, Amin A, Zhou W and Xie Y: Carbon nanoparticles neutralize carbon dioxide (CO2) in cytotoxicity: Potent carbon emission induced resistance to anticancer nanomedicine and antibiotics. Ecotoxicol Environ Saf. 273(116024)2024.PubMed/NCBI View Article : Google Scholar

14 

El-Kharrag R, Amin A and Greish YEJCI: Low temperature synthesis of monolithic mesoporous magnetite nanoparticles. Ceramics Int. 38:627–634. 2012.

15 

Benassi E, Fan H, Sun Q, Dukenbayev K, Wang Q, Shaimoldina A, Tassanbiyeva A, Nurtay L, Nurkesh A, Kutzhanova A and Mu C: Generation of particle assemblies mimicking enzymatic activity by processing of herbal food: The case of rhizoma polygonati and other natural ingredients in traditional Chinese medicine. Nanoscale Adv. 3:2222–2235. 2021.PubMed/NCBI View Article : Google Scholar

16 

Nazarbek G, Kutzhanova A, Nurtay L, Mu C, Kazybay B, Li X, Ma C, Amin A and Xie Y: Nano-evolution and protein-based enzymatic evolution predicts novel types of natural product nanozymes of traditional Chinese medicine: Cases of herbzymes of Taishan-Huangjing (Rhizoma polygonati) and Goji (Lycium chinense). Nanoscale Adv. 3:6728–6738. 2021.PubMed/NCBI View Article : Google Scholar

17 

Xie Y, Shaimoldina A, Fan H, Myrzagali S, Nazarbek G, Myrzagalieva A, Orassay A, Amin A and Benassi E: Characterisation of a phosphatase-like nanozyme developed by baking cysteine and its application in reviving mung bean sprouts damaged by ash. Environ Sci.: Nano. 11:266–277. 2024.

18 

Paiva L, Fidalgo T, Da Costa L, Maia LC, Balan L, Anselme K, Ploux L and Thiré RMSM: Antibacterial properties and compressive strength of new one-step preparation silver nanoparticles in glass ionomer cements (NanoAg-GIC). J Dent. 69:102–109. 2018.PubMed/NCBI View Article : Google Scholar

19 

Huy TQ, Thanh NTH, Thuy NT, Chung PV, Hung PN, Le AT and Hong Hanh NT: Cytotoxicity and antiviral activity of electrochemical-synthesized silver nanoparticles against poliovirus. J Virol Methods. 241:52–57. 2017.PubMed/NCBI View Article : Google Scholar

20 

Pawar A, Korde SK, Rakshe DS, William P, Jawale M and Deshpande N: Analysis of Silver Nanoparticles as Carriers of Drug Delivery System. J Nano-Electron Phys. 15(04015)2023.

21 

Naseer F, Ahmed M, Majid A, Kamal W and Phull AR: Green nanoparticles as multifunctional nanomedicines: Insights into anti-inflammatory effects, growth signaling and apoptosis mechanism in cancer. Semin Cancer Biol. 86:310–324. 2022.PubMed/NCBI View Article : Google Scholar

22 

Sharma P, Hasan MR, Khanuja M, Rawal R, Shivani Pilloton R and Narang J: Aptamer-based silver nanoparticle decorated paper platform for electrochemical detection ovarian cancer biomarker PDGF. Materials Chemistry Physics. 306(128114)2023.

23 

Zhang Y, Han X, Liu Y, Wang S, Han X and Cheng C: Research progress on nano-sensitizers for enhancing the effects of radiotherapy. Materials Adv. 3:3709–3725. 2022.

24 

Kitic D, Miladinovic B, Randjelovic M, Szopa A, Seidel V, Prasher P, Sharma M, Fatima R, Arslan Ateşşahin D, Calina D and Sharifi-Rad J: Anticancer and chemopreventive potential of Morinda citrifolia L. bioactive compounds: A comprehensive update. Phytother Res. 38:1932–1950. 2024.PubMed/NCBI View Article : Google Scholar

25 

Minhas LA, Kaleem M, Farooqi HMU, Kausar F, Waqar R, Bhatti T, Aziz S, Jung DW and Mumtaz AS: Algae-derived bioactive compounds as potential nutraceuticals for cancer therapy: A comprehensive review. Algal Res. 78(103396)2024.

26 

Al-Hrout A, Baig B, Hilal-Alnaqbi A and Amin A: Cancer and biotechnology: A matchup that should never slowdown. In: Biotechnology and Production of Anti-Cancer Compounds, Springer International, (pp.73-97), 2017.

27 

Sahoo A, Mandal AK, Kumar M, Dwivedi K and Singh D: Prospective challenges for patenting and clinical trials of anticancer compounds from natural products: Coherent review. Recent Pat Anticancer Drug Discov. 18:470–494. 2023.PubMed/NCBI View Article : Google Scholar

28 

Amin A and Buratovich M: The anti-cancer charm of flavonoids: A cup-of-tea will do! Recent Pat Anticancer Drug Discov. 2:109–117. 2007.PubMed/NCBI View Article : Google Scholar

29 

Xie Y, Mu C, Kazybay B, Sun Q, Kutzhanova A, Nazarbek G, Xu N, Nurtay L, Wang Q, Amin A and Li X: Network pharmacology and experimental investigation of Rhizoma polygonati extract targeted kinase with herbzyme activity for potent drug delivery. Drug Deliv. 28:2187–2197. 2021.PubMed/NCBI View Article : Google Scholar

30 

Badran MM, Alouny NN, Aldosari BN, Alhusaini AM and Abou El Ela AES: Transdermal glipizide delivery system based on chitosan-coated deformable liposomes: development, ex vivo, and in vivo studies. Pharmaceutics. 14(826)2022.PubMed/NCBI View Article : Google Scholar

31 

Murali C, Mudgil P, Gan CY, Tarazi H, El-Awady R, Abdalla Y, Amin A and Maqsood S: Camel whey protein hydrolysates induced G2/M cellcycle arrest in human colorectal carcinoma. Sci Rep. 11(7062)2021.PubMed/NCBI View Article : Google Scholar

32 

Mathew BT, Torky Y, Amin A, Mourad AI, Ayyash MM, El-Keblawy A, Hilal-Alnaqbi A, AbuQamar SF and El-Tarabily KA: Halotolerant marine rhizosphere-competent actinobacteria promote Salicornia bigelovii growth and seed production using seawater irrigation. Front Microbiol. 11(552)2020.PubMed/NCBI View Article : Google Scholar

33 

Ortigosa-Palomo A, Quiñonero F, Ortiz R, Sarabia F, Prados J and Melguizo C: Natural products derived from marine sponges with antitumor potential against lung cancer: A systematic review. Mar Drugs. 22(101)2024.PubMed/NCBI View Article : Google Scholar

34 

Shady NH, Fouad MA, Salah Kamel M, Schirmeister T and Abdelmohsen UR: Natural product repertoire of the genus Amphimedon. Mar Drugs. 17(19)2018.PubMed/NCBI View Article : Google Scholar

35 

Hardani IN, Damara FA, Nugrahani AD and Bashari MH: Ethanol extract of Stylissa carteri induces cell death in parental and paclitaxel-resistant cervical cancer cells. IJIHS. 6:91–96. 2018.

36 

Al-Soub A, Khleifat K, Al-Tarawneh A, Al-Limoun M, Alfarrayeh I, Sarayreh AA, Qaisi YA, Qaralleh H, Alqaraleh M and Albashaireh A: Silver nanoparticles biosynthesis using an airborne fungal isolate, Aspergillus flavus: Optimization, characterization and antibacterial activity. Iran J Microbiol. 14:518–528. 2022.PubMed/NCBI View Article : Google Scholar

37 

Jaidev L and Narasimha G: Fungal mediated biosynthesis of silver nanoparticles, characterization and antimicrobial activity. Colloids Surf B Biointerfaces. 81:430–433. 2010.PubMed/NCBI View Article : Google Scholar

38 

Hooper JN and Van Soest RW: Systema Porifera. A guide to the classification of sponges. In: Systema Porifera: A guide to the classification of sponges. Springer, pp1-7, 2002.

39 

Helmy T and Van Soest R: Amphimedon species (Porifera: Niphatidae) from the Gulf of Aqaba, Northern Red Sea: Filling the gaps in the distribution of a common pantropical genus. Zootaxa. 859(1)2005.

40 

O'Rourke A, Kremb S, Duggan BM, Sioud S, Kharbatia N, Raji M, Emwas AH, Gerwick WH and Voolstra CR: Identification of a 3-alkylpyridinium compound from the red sea sponge Amphimedon chloros with in vitro inhibitory activity against the West Nile Virus NS3 protease. Molecules. 23(1472)2018.PubMed/NCBI View Article : Google Scholar

41 

Bashari MH, Huda F, Tartila TS, Shabrina S, Putri T, Qomarilla N, Atmaja H, Subhan B, Sudji IR and Meiyanto E: Bioactive compounds in the ethanol extract of marine sponge Stylissa carteri demonstrates potential anti-cancer activity in breast cancer cells. Asian Pac J Cancer Prev. 20:1199–1206. 2019.PubMed/NCBI View Article : Google Scholar

42 

Kandler NM, Wooster MK, Leray M, Knowlton N, de Voogd NJ, Paulay G and Berumen ML: Hyperdiverse macrofauna communities associated with a common sponge, Stylissa carteri, shift across ecological gradients in the Central Red Sea. Diversity. 11(18)2019.

43 

Ebada SS, Edrada RA, Lin W and Proksch P: Methods for isolation, purification and structural elucidation of bioactive secondary metabolites from marine invertebrates. Nat Protoc. 3:1820–1831. 2008.PubMed/NCBI View Article : Google Scholar

44 

Bayona LM, Videnova M and Choi YH: Increasing metabolic diversity in marine sponges extracts by controlling extraction parameters. Mar Drugs. 16(393)2018.PubMed/NCBI View Article : Google Scholar

45 

Al-Tawarah NM, Qaralleh H, Khlaifat AM, Nebih Nofal M, Khleifat KM, Al-Limoun MO, Alqaraleh M and Ahmed Al Shhab M: Anticancer and antibacterial properties of verthemia iphionides essential oil/silver nanoparticles. Biomed Pharmacol J. 13:1175–1185. 2020.

46 

Alqaraleh M, Khleifat KM, Abu Hajleh MN, Farah HS and Ahmed KAA: Fungal-mediated silver nanoparticle and biochar synergy against colorectal cancer cells and pathogenic bacteria. Antibiotics (Basel). 12(597)2023.PubMed/NCBI View Article : Google Scholar

47 

Nikalje APG and Gadikar R: A simple liquid chromatographic method for simultaneous determination of aceclofenac, methyl salicylate, and benzyl alcohol in pharmaceuticals. J Pharmacy Res. 12(283)2018.

48 

Murray BW, Rogers E, Zhai D, Deng W, Chen X, Sprengeler PA, Zhang X, Graber A, Reich SH, Stopatschinskaja S, et al: Molecular characteristics of repotrectinib that enable potent inhibition of TRK fusion proteins and resistant mutations. Mol Cancer Ther. 20:2446–2456. 2021.PubMed/NCBI View Article : Google Scholar

49 

Gajiwala KS, Feng J, Ferre R, Ryan K, Brodsky O, Weinrich S, Kath JC and Stewart A: Insights into the aberrant activity of mutant EGFR kinase domain and drug recognition. Structure. 21:209–219. 2013.PubMed/NCBI View Article : Google Scholar

50 

Morris GM, Huey R, Lindstrom W, Sanner MF, Belew RK, Goodsell DS and Olson AJ: AutoDock4 and AutoDockTools4: Automated docking with selective receptor flexibility. J Comput Chem. 30:2785–2791. 2009.PubMed/NCBI View Article : Google Scholar

51 

Bouabdallah S, Brinza I, Boiangiu RS, Ibrahim MH, Honceriu I, Al-Maktoum A, Cioanca O, Hancianu M, Amin A, Ben-Attia M and Hritcu L: The effect of a Tribulus-based formulation in alleviating cholinergic system impairment and scopolamine-induced memory loss in zebrafish (Danio rerio): Insights from molecular docking and in vitro/in vivo approaches. Pharmaceuticals (Basel). 17(200)2024.PubMed/NCBI View Article : Google Scholar

52 

Saqallah FG, Hamed WM, Talib WH, Dianita R and Wahab HA: Antimicrobial activity and molecular docking screening of bioactive components of Antirrhinum majus (snapdragon) aerial parts. Heliyon. 8(e10391)2022.PubMed/NCBI View Article : Google Scholar

53 

Shtaiwi M, Alemleh M, Abu-Safieh KA, Salameha BA, Shtaiwi A, Alwahsh M, Hamadneh L and Khanfar MA: Design, synthesis, crystal structure, biological activity and molecular modeling of novel schiff bases derived from chalcones and 5-Hydrazino-1,3-Dimethyl-4-Nitropyrazole as anticancer agents. Polycyclic Aromatic Compounds. 44:4178–4196. 2023.

54 

Biovia: Discovery Studio Modeling Environment. Dassault-Systèmes, San Diego, CA, 2016.

55 

Al Qaisi YT, Khleifat KM, Oran SA, Al Tarawneh AA, Qaralleh H, Al-Qaisi TS and Farah HS: Ruta graveolens, Peganum harmala, and Citrullus colocynthis methanolic extracts have in vitro protoscolocidal effects and act against bacteria isolated from echinococcal hydatid cyst fluid. Arch Microbiol. 204(228)2022.PubMed/NCBI View Article : Google Scholar

56 

Clinical and Laboratory Standards Institute (CLSI): Performance standards for antimicrobial susceptibility testing. CLSI, Wayne, PA, 2011.

57 

Qaralleh H, Khleifat K, Al-Limoun M, Al-Tarawneh A, Khleifat W, Almajali L, Buqain R, Shadid KA and Aslowayeh N: Antibacterial activity of airborne fungal mediated nanoparticles in combination with Foeniculum vulgare essential oil. J Herbmed Pharmacol. 11:419–427. 2022.

58 

Amirjani A, Firouzi F and Haghshenas DF: Predicting the size of silver nanoparticles from their optical properties. J Plasmonics. 15:1077–1082. 2020.

59 

Abbas R, Luo J, Qi X, Naz A, Khan IA, Liu H, Yu S and Wei J: Silver nanoparticles: Synthesis, structure, properties and applications. Nanomaterials (Basel). 14(1425)2024.PubMed/NCBI View Article : Google Scholar

60 

Al-Samydai A, Abu Hajleh MN, Al-Sahlawi F, Nsairat H, Khatib AA, Alqaraleh M and Ibrahim AK: Advancements of metallic nanoparticles: A promising frontier in cancer treatment. Sci Prog. 107(368504241274967)2024.PubMed/NCBI View Article : Google Scholar

61 

Leary M, Heerboth S, Lapinska K and Sarkar S: Sensitization of drug resistant cancer cells: A matter of combination therapy. Cancers. 10(483)2018.PubMed/NCBI View Article : Google Scholar

62 

Chenthamara D, Subramaniam S, Ramakrishnan SG, Krishnaswamy S, Essa MM, Lin FH and Qoronfleh MW: Therapeutic efficacy of nanoparticles and routes of administration. Biomater Res. 23(20)2019.PubMed/NCBI View Article : Google Scholar

63 

Brunetto de Farias C, Rosemberg DB, Heinen TE, Koehler-Santos P, Abujamra AL, Kapczinski F, Brunetto AL, Ashton-Prolla P, Meurer L, Reis Bogo M, et al: BDNF/TrkB content and interaction with gastrin-releasing peptide receptor blockade in colorectal cancer. Oncology. 79:430–439. 2011.PubMed/NCBI View Article : Google Scholar

64 

Seo JH, Jung KH, Son MK, Yan HH, Ryu YL, Kim J, Lee JK, Hong S and Hong SS: Anti-cancer effect of HS-345, a new tropomyosin-related kinase A inhibitor, on human pancreatic cancer. Cancer Lett. 338:271–281. 2013.PubMed/NCBI View Article : Google Scholar

65 

Chen B, Liang Y, He Z, An Y, Zhao W and Wu J: Autocrine activity of BDNF induced by the STAT3 signaling pathway causes prolonged TrkB activation and promotes human non-small-cell lung cancer proliferation. Sci Rep. 6(30404)2016.PubMed/NCBI View Article : Google Scholar

66 

Kyker-Snowman K, Hughes RM, Yankaskas CL, Cravero K, Karthikeyan S, Button B, Waters I, Rosen DM, Dennison L, Hunter N, et al: TrkA overexpression in non-tumorigenic human breast cell lines confers oncogenic and metastatic properties. Breast Cancer Res. 179:631–642. 2020.PubMed/NCBI View Article : Google Scholar

67 

Griffin N, Marsland M, Roselli S, Oldmeadow C, Attia J, Walker MM, Hondermarck H and Faulkner S: The receptor tyrosine kinase TrkA is increased and targetable in HER2-positive breast cancer. Biomolecules. 10(1329)2020.PubMed/NCBI View Article : Google Scholar

68 

Nwaefulu ON, Sagineedu S, Islam MK and Stanslas J: Pancreatic cancer treatment with targeted therapies: Are we there yet? Eur Rev Med Pharmacol Sci. 26:367–381. 2022.PubMed/NCBI View Article : Google Scholar

69 

Bray F, Laversanne M, Sung H, Ferlay J, Siegel RL, Soerjomataram I and Jemal A: Global cancer statistics 2022: GLOBOCAN estimates of incidence and mortality worldwide for 36 cancers in 185 countries. CA Cancer J Clin. 74:229–263. 2024.PubMed/NCBI View Article : Google Scholar

70 

de Chiffre JMD, Ormstrup TE, Kusk MW and Hess S: Patients from general practice with non-specific cancer symptoms: A retrospective study of symptoms and imaging. BJGP Open. 8(BJGPO.2023.0058)2024.PubMed/NCBI View Article : Google Scholar

71 

Park JW and Han JW: Targeting epigenetics for cancer therapy. Arch Pharm Res. 42:159–170. 2019.PubMed/NCBI View Article : Google Scholar

72 

Grześ M, Jaiswar A, Grochowski M, Wojtyś W, Kaźmierczak W, Olesiński T, Lenarcik M, Nowak-Niezgoda M, Kołos M, Canarutto G, et al: A common druggable signature of oncogenic c-Myc, mutant KRAS and mutant p53 reveals functional redundancy and competition among oncogenes in cancer. Cell Death. 15(638)2024.PubMed/NCBI View Article : Google Scholar

73 

Perurena N, Situ L and Cichowski K: Combinatorial strategies to target RAS-driven cancers. Nat Rev Cancer. 24:316–337. 2024.PubMed/NCBI View Article : Google Scholar

74 

Liu B, Zhou H, Tan L, Siu KTH and Guan XY: Exploring treatment options in cancer: Tumor treatment strategies. Signal Transduction Targeted Ther. 9(175)2024.PubMed/NCBI View Article : Google Scholar

75 

Mattiuzzi C and Lippi G: Current cancer epidemiology. J Epidemiol Glob Health. 9:217–222. 2019.PubMed/NCBI View Article : Google Scholar

76 

De Angelis R, Demuru E, Baili P, Troussard X, Katalinic A, Chirlaque Lopez MD, Innos K, Santaquilani M, Blum M, Ventura L, et al: Complete cancer prevalence in Europe in 2020 by disease duration and country (EUROCARE-6): A population-based study. Lancet Oncol. 25:293–307. 2024.PubMed/NCBI View Article : Google Scholar

77 

Naqvi SZH, Kiran U, Ali MI, Jamal A, Hameed A, Ahmed S and Ali N: Combined efficacy of biologically synthesized silver nanoparticles and different antibiotics against multidrug-resistant bacteria. Int J Nanomedicine. 8:3187–3195. 2013.PubMed/NCBI View Article : Google Scholar

78 

Govindaraju K, Tamilselvan S, Kiruthiga V and Singaravelu G: Biogenic silver nanoparticles by Solanum torvum and their promising antimicrobial activity. J Biopesticides. 3:394–399. 2010.

79 

Bhainsa KC and D'souza SF: Extracellular biosynthesis of silver nanoparticles using the fungus Aspergillus fumigatus. Colloids Surf B Biointerfaces. 47:160–164. 2006.PubMed/NCBI View Article : Google Scholar

80 

Ahmad A, Mukherjee P, Senapati S, Mandal D, Khan MI, Kumar R and Sastry M: Extracellular biosynthesis of silver nanoparticles using the fungus Fusarium oxysporum. Colloids Surfaces B: Biointerfaces. 28:313–318. 2003.

81 

Jain N, Bhargava A, Majumdar S, Tarafdar J and Panwar J: Extracellular biosynthesis and characterization of silver nanoparticles using Aspergillus flavus NJP08: A mechanism perspective. Nanoscale. 3:635–641. 2011.PubMed/NCBI View Article : Google Scholar

82 

Zhang X, Yan S, Tyagi R and Surampalli RJC: Synthesis of nanoparticles by microorganisms and their application in enhancing microbiological reaction rates. Chemosphere. 82:489–494. 2011.PubMed/NCBI View Article : Google Scholar

83 

Al-Limoun M, Qaralleh HN, Khleifat KM, Al-Anber M, Al-Tarawneh A, Al-sharafa K, Kailani MH, Zaitoun MA, Matar SA and Al-soub T: Culture media composition and reduction potential optimization of mycelia-free filtrate for the biosynthesis of silver nanoparticles using the fungus Tritirachium oryzae W5H. Curr Nanosci. 16:757–769. 2020.

84 

Khleifat K, Alqaraleh M, Al-Limoun M, Alfarrayeh I, Khatib R, Qaralleh H, Alsarayreh A, Al Qaisi Y and Abu Hajleh M: The ability of Rhizopus stolonifer MR11 to biosynthesize silver nanoparticles in response to various culture media components and optimization of process parameters required at each stage of biosynthesis. J Ecol Eng. 23:89–100. 2022.

85 

Khleifat K, Qaralleh H and Al-Limoun M: Antibacterial activity of silver nanoparticles synthesized by Aspergillus flavus and its synergistic effect with antibiotics. J Pure Appl Microbiol. 16:1722–1735. 2022.

86 

Abu Hajleh MN, Al-Limoun M, Al-Tarawneh A, Hijazin TJ, Alqaraleh M, Khleifat K, Al-Madanat OY, Qaisi YA, AlSarayreh A, Al-Samydai A, et al: Synergistic effects of AgNPs and biochar: A potential combination for combating lung cancer and pathogenic bacteria. Molecules. 28(4757)2023.PubMed/NCBI View Article : Google Scholar

87 

Curman D, Cinel B, Williams DE, Rundle N, Block WD, Goodarzi AA, Hutchins JR, Clarke PR, Zhou BB, Lees-Miller SP, et al: Inhibition of the G2 DNA damage checkpoint and of protein kinases Chk1 and Chk2 by the marine sponge alkaloid debromohymenialdisine. J Biol Chem. 276:17914–17919. 2001.PubMed/NCBI View Article : Google Scholar

88 

Leirós M, Alonso E, Rateb ME, Houssen WE, Ebel R, Jaspars M, Alfonso A and Botana LM: Bromoalkaloids protect primary cortical neurons from induced oxidative stress. ACS Chem Neurosci. 6:331–338. 2015.PubMed/NCBI View Article : Google Scholar

89 

Jakubec P, Farley AJ and Dixon DJ: Towards the total synthesis of keramaphidin B. Beilstein J Org Chem. 12:1096–1100. 2016.PubMed/NCBI View Article : Google Scholar

90 

Lee SM, Kim NH, Lee S, Kim YN, Heo JD, Rho JR and Jeong EJ: (10 Z)-Debromohymenialdisine from marine sponge stylissa sp. regulates intestinal inflammatory responses in Co-culture model of epithelial Caco-2 cells and THP-1 macrophage cells. Molecules. 24(3394)2019.PubMed/NCBI View Article : Google Scholar

91 

Abdullah N, Al Balushi N, Hasan SI, Al Bahlani S, Dobretsov S, Tamimi Y and Burney IA: Hymenialdisine is cytotoxic against cisplatin-sensitive but not against cisplatin-resistant cell lines. Sultan Qaboos Univ Med J. 21:632–634. 2021.PubMed/NCBI View Article : Google Scholar

92 

Ueda G, Matsuo Y, Murase H, Aoyama Y, Kato T, Omi K, Hayashi Y, Imafuji H, Saito K, Tsuboi K, et al: 10Z-Hymenialdisine inhibits angiogenesis by suppressing NF-κB activation in pancreatic cancer cell lines. Oncol Rep. 47(48)2022.PubMed/NCBI View Article : Google Scholar

93 

Esposito R, Federico S, Glaviano F, Somma E, Zupo V and Costantini M: Bioactive compounds from marine sponges and algae: Effects on cancer cell metabolome and chemical structures. Int J Mol Sci. 23(10680)2022.PubMed/NCBI View Article : Google Scholar

94 

El-Naggar HA, Bashar MA, Rady I, El-Wetidy MS, Suleiman WB, Al-Otibi FO, Al-Rashed SA, Abd El-Maoula LM, Salem EL-S, Attia EMH, et al: Two red sea sponge extracts (Negombata magnifica and Callyspongia siphonella) induced anticancer and antimicrobial activity. Applied Sci. 12(1400)2022.

95 

Murugesan A, Mani SK, Koochakkhani S, Subramanian K, Kandhavelu J, Thiyagarajan R, Gurbanov AV, Mahmudov KT and Kandhavelu M: Design, synthesis and anticancer evaluation of novel arylhydrazones of active methylene compounds. Int J Biol Macromol. 254(127909)2024.PubMed/NCBI View Article : Google Scholar

96 

Ramezani-Aliakbari M, Soltanabadi A, Sadeghi-aliabadi H, Varshosaz J, Yadollahi B, Hassanzadeh F and Rostami M: Eudesmic acid-polyoxomolybdate Organo-conjugate as novel anticancer agent. J Mol Structure. 1240(130612)2021.

97 

Cuenya BR and Behafarid F: Nanocatalysis: Size-and shape-dependent chemisorption and catalytic reactivity. Surface Sci Rep. 70:135–187. 2015.

98 

Lakkim V, Reddy MC, Pallavali RR, Reddy KR, Reddy CV, Inamuddin Bilgrami AL and Lomada D: Green synthesis of silver nanoparticles and evaluation of their antibacterial activity against multidrug-resistant bacteria and wound healing efficacy using a murine model. Antibiotics (Basel). 9(902)2020.PubMed/NCBI View Article : Google Scholar

99 

Rahman NIA, Ramzi MM, Rawi NN, Siong JYF, Bakar K, Bhubalan K, Ariffin F, Saidin J, Azemi AK and Ismail N: Characterization of antibiofilm compound from marine sponge Stylissa carteri. Environ Sci Pollut Res Int. 31:37552–37563. 2024.PubMed/NCBI View Article : Google Scholar

100 

Hawas UW, Shaher F, Ghandourah M, Abou El-Kassem LT, Satheesh S and Al-Sofyani AMA: Lipids and free fatty acids of Red Sea Avrainvillea amadelpha, Holothuria atra, and Sarcocornia fruticosa inhibit marine bacterial biofilms. Lett Organic Chemistry. 17:466–471. 2020.

101 

Hamed AN, Schmitz R, Bergermann A, Totzke F, Kubbutat M, Müller WEG, Youssef DTA, Bishr MM, Kamel MS, Edrada-Ebel R, et al: Bioactive pyrrole alkaloids isolated from the Red Sea: Marine sponge Stylissa carteri. Z Naturforsch C J Biosci. 73:199–210. 2018.PubMed/NCBI View Article : Google Scholar

102 

Althagbi HI, Alarif WM, Al-Footy KO and Abdel-Lateff A: Marine-derived macrocyclic alkaloids (MDMAs): Chemical and biological diversity. Mar Drugs. 18(368)2020.PubMed/NCBI View Article : Google Scholar

103 

Júnior ACV, de Castro Nogueira Diniz Pontes M, Barbosa JP, Höfling JF, Araújo RM, Boniek D, de Resende Stoianoff MA and Andrade VS: Antibiofilm and Anti-candidal activities of the extract of the marine sponge agelas dispar. Mycopathologia. 186:819–832. 2021.PubMed/NCBI View Article : Google Scholar

104 

Al-Shamayleh W, Qaralleh H, Al-Madadheh OA, Al Qaisi Y and AlSarayreh A: Inhibitory effect of the marine sponge amphimidon chloros extracts against multidrug-resistant bacteria. Tropical J Natural Product Res. (8)2024.

105 

Barbosa F, Pinto E, Kijjoa A, Pinto M and Sousa E: Targeting antimicrobial drug resistance with marine natural products. Int J Antimicrob Agents. 56(106005)2020.PubMed/NCBI View Article : Google Scholar

106 

Chen S, Liu D, Zhang Q, Guo P, Ding S, Shen J, Zhu K and Lin W: A marine antibiotic kills multidrug-resistant bacteria without detectable high-level resistance. ACS Infect Dis. 7:884–893. 2021.PubMed/NCBI View Article : Google Scholar

107 

Schneider YK: Bacterial natural product drug discovery for new antibiotics: strategies for tackling the problem of antibiotic resistance by efficient bioprospecting. Antibiotics (Basel). 10(842)2021.PubMed/NCBI View Article : Google Scholar

108 

Jacob MR, Hossain CF, Mohammed KA, Smillie TJ, Clark AM, Walker LA and Nagle DG: Reversal of fluconazole resistance in multidrug efflux-resistant fungi by the dysidea a renaria sponge sterol 9α, 11α-epoxycholest-7-ene-3β, 5α, 6α, 19-tetrol 6-acetate. J Nat Prod. 66:1618–1622. 2003.PubMed/NCBI View Article : Google Scholar

109 

Saravanakumar K, Abinaya M, Mehnath S, Shanmuga Priya V, Jeyaraj M, Al-Rashed S and Muthuraj V: Nano Ag@ bioactive microspheres from marine sponge clathria frondifera: Fabrication, fortification, characterization, anticancer and antibacterial potential evaluation. Environ Res. 206(112282)2022.PubMed/NCBI View Article : Google Scholar

110 

Bayona LM, de Voogd NJ and Choi YH: Metabolomics on the study of marine organisms. Metabolomics. 18(17)2022.PubMed/NCBI View Article : Google Scholar

Related Articles

  • Abstract
  • View
  • Download
  • Twitter
Copy and paste a formatted citation
Spandidos Publications style
Alqaraleh M, Khleifat KM, Al‑Samydai A, Al‑Najjar BO, Saqallah FG, Al Qaisi YT, Alsarayreh AZ, Alqudah DA and Fararjeh AS: Bioactive potency of extracts from <em>Stylissa carteri</em> and <em>Amphimedon chloros</em> with silver nanoparticles against cancer cell lines and pathogenic bacteria. Biomed Rep 22: 34, 2025.
APA
Alqaraleh, M., Khleifat, K.M., Al‑Samydai, A., Al‑Najjar, B.O., Saqallah, F.G., Al Qaisi, Y.T. ... Fararjeh, A.S. (2025). Bioactive potency of extracts from <em>Stylissa carteri</em> and <em>Amphimedon chloros</em> with silver nanoparticles against cancer cell lines and pathogenic bacteria. Biomedical Reports, 22, 34. https://doi.org/10.3892/br.2024.1912
MLA
Alqaraleh, M., Khleifat, K. M., Al‑Samydai, A., Al‑Najjar, B. O., Saqallah, F. G., Al Qaisi, Y. T., Alsarayreh, A. Z., Alqudah, D. A., Fararjeh, A. S."Bioactive potency of extracts from <em>Stylissa carteri</em> and <em>Amphimedon chloros</em> with silver nanoparticles against cancer cell lines and pathogenic bacteria". Biomedical Reports 22.2 (2025): 34.
Chicago
Alqaraleh, M., Khleifat, K. M., Al‑Samydai, A., Al‑Najjar, B. O., Saqallah, F. G., Al Qaisi, Y. T., Alsarayreh, A. Z., Alqudah, D. A., Fararjeh, A. S."Bioactive potency of extracts from <em>Stylissa carteri</em> and <em>Amphimedon chloros</em> with silver nanoparticles against cancer cell lines and pathogenic bacteria". Biomedical Reports 22, no. 2 (2025): 34. https://doi.org/10.3892/br.2024.1912
Copy and paste a formatted citation
x
Spandidos Publications style
Alqaraleh M, Khleifat KM, Al‑Samydai A, Al‑Najjar BO, Saqallah FG, Al Qaisi YT, Alsarayreh AZ, Alqudah DA and Fararjeh AS: Bioactive potency of extracts from <em>Stylissa carteri</em> and <em>Amphimedon chloros</em> with silver nanoparticles against cancer cell lines and pathogenic bacteria. Biomed Rep 22: 34, 2025.
APA
Alqaraleh, M., Khleifat, K.M., Al‑Samydai, A., Al‑Najjar, B.O., Saqallah, F.G., Al Qaisi, Y.T. ... Fararjeh, A.S. (2025). Bioactive potency of extracts from <em>Stylissa carteri</em> and <em>Amphimedon chloros</em> with silver nanoparticles against cancer cell lines and pathogenic bacteria. Biomedical Reports, 22, 34. https://doi.org/10.3892/br.2024.1912
MLA
Alqaraleh, M., Khleifat, K. M., Al‑Samydai, A., Al‑Najjar, B. O., Saqallah, F. G., Al Qaisi, Y. T., Alsarayreh, A. Z., Alqudah, D. A., Fararjeh, A. S."Bioactive potency of extracts from <em>Stylissa carteri</em> and <em>Amphimedon chloros</em> with silver nanoparticles against cancer cell lines and pathogenic bacteria". Biomedical Reports 22.2 (2025): 34.
Chicago
Alqaraleh, M., Khleifat, K. M., Al‑Samydai, A., Al‑Najjar, B. O., Saqallah, F. G., Al Qaisi, Y. T., Alsarayreh, A. Z., Alqudah, D. A., Fararjeh, A. S."Bioactive potency of extracts from <em>Stylissa carteri</em> and <em>Amphimedon chloros</em> with silver nanoparticles against cancer cell lines and pathogenic bacteria". Biomedical Reports 22, no. 2 (2025): 34. https://doi.org/10.3892/br.2024.1912
Follow us
  • Twitter
  • LinkedIn
  • Facebook
About
  • Spandidos Publications
  • Careers
  • Cookie Policy
  • Privacy Policy
How can we help?
  • Help
  • Live Chat
  • Contact
  • Email to our Support Team