Spandidos Publications Logo
  • About
    • About Spandidos
    • Aims and Scopes
    • Abstracting and Indexing
    • Editorial Policies
    • Reprints and Permissions
    • Job Opportunities
    • Terms and Conditions
    • Contact
  • Journals
    • All Journals
    • Oncology Letters
      • Oncology Letters
      • Information for Authors
      • Editorial Policies
      • Editorial Board
      • Aims and Scope
      • Abstracting and Indexing
      • Bibliographic Information
      • Archive
    • International Journal of Oncology
      • International Journal of Oncology
      • Information for Authors
      • Editorial Policies
      • Editorial Board
      • Aims and Scope
      • Abstracting and Indexing
      • Bibliographic Information
      • Archive
    • Molecular and Clinical Oncology
      • Molecular and Clinical Oncology
      • Information for Authors
      • Editorial Policies
      • Editorial Board
      • Aims and Scope
      • Abstracting and Indexing
      • Bibliographic Information
      • Archive
    • Experimental and Therapeutic Medicine
      • Experimental and Therapeutic Medicine
      • Information for Authors
      • Editorial Policies
      • Editorial Board
      • Aims and Scope
      • Abstracting and Indexing
      • Bibliographic Information
      • Archive
    • International Journal of Molecular Medicine
      • International Journal of Molecular Medicine
      • Information for Authors
      • Editorial Policies
      • Editorial Board
      • Aims and Scope
      • Abstracting and Indexing
      • Bibliographic Information
      • Archive
    • Biomedical Reports
      • Biomedical Reports
      • Information for Authors
      • Editorial Policies
      • Editorial Board
      • Aims and Scope
      • Abstracting and Indexing
      • Bibliographic Information
      • Archive
    • Oncology Reports
      • Oncology Reports
      • Information for Authors
      • Editorial Policies
      • Editorial Board
      • Aims and Scope
      • Abstracting and Indexing
      • Bibliographic Information
      • Archive
    • Molecular Medicine Reports
      • Molecular Medicine Reports
      • Information for Authors
      • Editorial Policies
      • Editorial Board
      • Aims and Scope
      • Abstracting and Indexing
      • Bibliographic Information
      • Archive
    • World Academy of Sciences Journal
      • World Academy of Sciences Journal
      • Information for Authors
      • Editorial Policies
      • Editorial Board
      • Aims and Scope
      • Abstracting and Indexing
      • Bibliographic Information
      • Archive
    • International Journal of Functional Nutrition
      • International Journal of Functional Nutrition
      • Information for Authors
      • Editorial Policies
      • Editorial Board
      • Aims and Scope
      • Abstracting and Indexing
      • Bibliographic Information
      • Archive
    • International Journal of Epigenetics
      • International Journal of Epigenetics
      • Information for Authors
      • Editorial Policies
      • Editorial Board
      • Aims and Scope
      • Abstracting and Indexing
      • Bibliographic Information
      • Archive
    • Medicine International
      • Medicine International
      • Information for Authors
      • Editorial Policies
      • Editorial Board
      • Aims and Scope
      • Abstracting and Indexing
      • Bibliographic Information
      • Archive
  • Articles
  • Information
    • Information for Authors
    • Information for Reviewers
    • Information for Librarians
    • Information for Advertisers
    • Conferences
  • Language Editing
Spandidos Publications Logo
  • About
    • About Spandidos
    • Aims and Scopes
    • Abstracting and Indexing
    • Editorial Policies
    • Reprints and Permissions
    • Job Opportunities
    • Terms and Conditions
    • Contact
  • Journals
    • All Journals
    • Biomedical Reports
      • Information for Authors
      • Editorial Policies
      • Editorial Board
      • Aims and Scope
      • Abstracting and Indexing
      • Bibliographic Information
      • Archive
    • Experimental and Therapeutic Medicine
      • Information for Authors
      • Editorial Policies
      • Editorial Board
      • Aims and Scope
      • Abstracting and Indexing
      • Bibliographic Information
      • Archive
    • International Journal of Epigenetics
      • Information for Authors
      • Editorial Policies
      • Editorial Board
      • Aims and Scope
      • Abstracting and Indexing
      • Bibliographic Information
      • Archive
    • International Journal of Functional Nutrition
      • Information for Authors
      • Editorial Policies
      • Editorial Board
      • Aims and Scope
      • Abstracting and Indexing
      • Bibliographic Information
      • Archive
    • International Journal of Molecular Medicine
      • Information for Authors
      • Editorial Policies
      • Editorial Board
      • Aims and Scope
      • Abstracting and Indexing
      • Bibliographic Information
      • Archive
    • International Journal of Oncology
      • Information for Authors
      • Editorial Policies
      • Editorial Board
      • Aims and Scope
      • Abstracting and Indexing
      • Bibliographic Information
      • Archive
    • Medicine International
      • Information for Authors
      • Editorial Policies
      • Editorial Board
      • Aims and Scope
      • Abstracting and Indexing
      • Bibliographic Information
      • Archive
    • Molecular and Clinical Oncology
      • Information for Authors
      • Editorial Policies
      • Editorial Board
      • Aims and Scope
      • Abstracting and Indexing
      • Bibliographic Information
      • Archive
    • Molecular Medicine Reports
      • Information for Authors
      • Editorial Policies
      • Editorial Board
      • Aims and Scope
      • Abstracting and Indexing
      • Bibliographic Information
      • Archive
    • Oncology Letters
      • Information for Authors
      • Editorial Policies
      • Editorial Board
      • Aims and Scope
      • Abstracting and Indexing
      • Bibliographic Information
      • Archive
    • Oncology Reports
      • Information for Authors
      • Editorial Policies
      • Editorial Board
      • Aims and Scope
      • Abstracting and Indexing
      • Bibliographic Information
      • Archive
    • World Academy of Sciences Journal
      • Information for Authors
      • Editorial Policies
      • Editorial Board
      • Aims and Scope
      • Abstracting and Indexing
      • Bibliographic Information
      • Archive
  • Articles
  • Information
    • For Authors
    • For Reviewers
    • For Librarians
    • For Advertisers
    • Conferences
  • Language Editing
Login Register Submit
  • This site uses cookies
  • You can change your cookie settings at any time by following the instructions in our Cookie Policy. To find out more, you may read our Privacy Policy.

    I agree
Search articles by DOI, keyword, author or affiliation
Search
Advanced Search
presentation
Biomedical Reports
Join Editorial Board Propose a Special Issue
Print ISSN: 2049-9434 Online ISSN: 2049-9442
Journal Cover
March-2025 Volume 22 Issue 3

Full Size Image

Sign up for eToc alerts
Recommend to Library

Journals

International Journal of Molecular Medicine

International Journal of Molecular Medicine

International Journal of Molecular Medicine is an international journal devoted to molecular mechanisms of human disease.

International Journal of Oncology

International Journal of Oncology

International Journal of Oncology is an international journal devoted to oncology research and cancer treatment.

Molecular Medicine Reports

Molecular Medicine Reports

Covers molecular medicine topics such as pharmacology, pathology, genetics, neuroscience, infectious diseases, molecular cardiology, and molecular surgery.

Oncology Reports

Oncology Reports

Oncology Reports is an international journal devoted to fundamental and applied research in Oncology.

Experimental and Therapeutic Medicine

Experimental and Therapeutic Medicine

Experimental and Therapeutic Medicine is an international journal devoted to laboratory and clinical medicine.

Oncology Letters

Oncology Letters

Oncology Letters is an international journal devoted to Experimental and Clinical Oncology.

Biomedical Reports

Biomedical Reports

Explores a wide range of biological and medical fields, including pharmacology, genetics, microbiology, neuroscience, and molecular cardiology.

Molecular and Clinical Oncology

Molecular and Clinical Oncology

International journal addressing all aspects of oncology research, from tumorigenesis and oncogenes to chemotherapy and metastasis.

World Academy of Sciences Journal

World Academy of Sciences Journal

Multidisciplinary open-access journal spanning biochemistry, genetics, neuroscience, environmental health, and synthetic biology.

International Journal of Functional Nutrition

International Journal of Functional Nutrition

Open-access journal combining biochemistry, pharmacology, immunology, and genetics to advance health through functional nutrition.

International Journal of Epigenetics

International Journal of Epigenetics

Publishes open-access research on using epigenetics to advance understanding and treatment of human disease.

Medicine International

Medicine International

An International Open Access Journal Devoted to General Medicine.

Journal Cover
March-2025 Volume 22 Issue 3

Full Size Image

Sign up for eToc alerts
Recommend to Library

  • Article
  • Citations
    • Cite This Article
    • Download Citation
    • Create Citation Alert
    • Remove Citation Alert
    • Cited By
  • Similar Articles
    • Related Articles (in Spandidos Publications)
    • Similar Articles (Google Scholar)
    • Similar Articles (PubMed)
  • Download PDF
  • Download XML
  • View XML
Article Open Access

Chronic moderate‑intensity exercise can induce physiological hypertrophy in aged cardiomyocytes through autophagy, with minimal Yap/Taz involvement

  • Authors:
    • Yenni Limyati
    • Teresa Lucretia
    • Julia Windi Gunadi
    • Vitriana Vitriana
    • Diana Krisanti Jasaputra
    • Kevin De Mello Wahyudi
    • Ronny Lesmana
  • View Affiliations / Copyright

    Affiliations: Pasca Sarjana Faculty of Medicine Universitas Padjadjaran, Bandung, West Java 40164, Indonesia, Department of Histology, Faculty of Medicine, Maranatha Christian University, Bandung, West Java 40164, Indonesia, Department of Physiology, Faculty of Medicine, Maranatha Christian University, Bandung, West Java 40164, Indonesia, Department of Physical Medicine and Rehabilitation, Faculty of Medicine Universitas Padjadjaran/Dr. Hasan Sadikin General Hospital Bandung, West Java 40164, Indonesia, Department of Pharmacology, Faculty of Medicine, Maranatha Christian University, Bandung, West Java 40164, Indonesia, Undergraduate Program in Medicine, Faculty of Medicine, Maranatha Christian University, Bandung, West Java 40164, Indonesia, Physiology Molecular, Biological Activity Division, Central Laboratory, Sumedang, West Java 45363, Indonesia
    Copyright: © Limyati et al. This is an open access article distributed under the terms of Creative Commons Attribution License.
  • Article Number: 44
    |
    Published online on: January 9, 2025
       https://doi.org/10.3892/br.2025.1922
  • Expand metrics +
Metrics: Total Views: 0 (Spandidos Publications: | PMC Statistics: )
Metrics: Total PDF Downloads: 0 (Spandidos Publications: | PMC Statistics: )
Cited By (CrossRef): 0 citations Loading Articles...

This article is mentioned in:



Abstract

Aging is known to cause increased comorbidities associated with cardiovascular decline. Physical exercises were known to be an effective intervention for the age‑associated decline in cardiac function. Exercise caused physiological hypertrophy influenced by Yap/Taz, autophagy and myosin heavy chain (MHC) dynamics. However, whether exercise‑induced changes are associated with aging has yet to be determined. The present study explored the effects of moderate‑intensity exercises on autophagy, MHC dynamics, and Yap/Taz activity to understand their complex interactions at the molecular effects on the cardiac function of aging cardiac tissue. The present study used male Wistar (Rattus norvegicus) rats (80 weeks‑old) randomly divided into two groups (n=12): control and intervention. The intervention group was given an intervention using an animal treadmill. After 8 weeks, the animal was sacrificed, and data were collected. Statistical analysis was conducted using an independent t‑test or Mann‑Whitney U test when appropriate. Exercise in aged rats can induce physiological hypertrophy, as shown by gross measurement and histological features. Yap/Taz did not mediate the effects of exercise on hypertrophy. Autophagy function was shown to increase, which may cause the low expression of Yap/Taz. In conclusion, exercise is a viable intervention in increasing heart mass and potentially delaying the decline in function associated with aging.

Introduction

The WHO predicts that by 2050, the elderly population in the world will increase in 2020 to 2.1 billion from 1.4 billion individuals, due to increasing healthcare coverage and life expectancy, and up to 2/3 of this population will live in low- and middle-income countries (1). The increase in the elderly changes population structure and disease distribution, with degenerative and metabolic diseases and cancers gaining prominence (2). The physiology of aging must be considered since numerous bodily functions are significantly impaired and present significant morbidity. For example, cardiovascular function is known to decline with increasing age, with fibrosis, reduced contractility and reduced blood flow, to name a few effects (3,4). Several studies have focused on promoting ‘healthy aging’ to promote healthy function despite old age (5-7). Lifestyle interventions such as physical exercises are well known to counteract the age-associated decline and promote cardiac function with increasing age (5,8). However, up to 1/3 of adults aged ≥45 o lack physical activity. These sedentary lifestyles cause at least 3.2 million deaths per year (9,10). Studies from the early 2000s have already proven strong evidence associating a sedentary lifestyle with cardiovascular mortality. Currently, a sedentary lifestyle is associated with a 30% increased risk for all-cause mortality. Therefore, physical exercise is essential in promoting survival and function in the aging heart.

Physical exercise has various physiological and psychological benefits. The physiological benefits include the improvement of the function of the cardiovascular system and increasing the heart's resistance to injury (11,12). This improvement is also contingent on the intensity, type and duration of the physical exercise, thereby highlighting the diversity of molecular effects of exercise on the heart. One of the most used recommendations is by the American Heart Association, which states that for older adults, a minimum of 150 min of moderate-intensity physical exercise per week is needed, coupled with medium-intensity strength training at least two times per week (13,14). Previous studies have shown that physical exercises induce physical adaptations of the heart through the remodeling and growth of cardiomyocytes (15). Although taken to the extreme, this remodeling may increase the risk of sudden cardiac death. These so-called physiological cardiac hypertrophies were shown to promote longevity and confer protective benefits to the heart. However, the mechanisms by which moderate-intensity physical exercise affects the aging heart remain unknown.

Autophagy is a cellular homeostasis mechanism responsible for recycling organelles and proteins, especially during aging (16). Studies have found declining levels of autophagy associated with old age, corresponding with increased levels of damaged organelles and mitochondria. These accumulations may contribute to the decline in cardiac function (17,18). Previous studies have also shown that this pathway interacts with the components of the Hippo pathway with Yes-associated protein 1 (Yap1) and Taz proving to be a substrate to autophagy (19,20) and also influences autophagy activation (21). Yap1 is one of the components of the Hippo pathway involved in cell regeneration and hypertrophy. Yap1 is a mechanoreceptor whose activation relies on stretch and mechanical tension (22). Several studies on skeletal muscles prove the ability of Yap1 to induce hypertrophy (23,24). Yet, research on cardiomyocytes revealed that Yap1 induced proliferation instead of cellular hypertrophy reflecting the complex regulation of this protein between tissues (25). Studies on Yap have shown that it influences cardiomyocyte proliferation and regeneration, protecting against ischemic injury (26). Increased Yap1 activity, either through inhibition of the Hippo pathway, a known negative regulator of Yap1 or through gene overexpression, was identified to induce cardiac overgrowth with increased proliferation and protect against doxorubicin-induced cytotoxicity (27,28). Yap1 was also shown to mediate the effects of pathological hypertrophy caused by mechanical stress overload (29). Therefore, although increasing Yap1 may be able to increase cardiomyocyte growth and proliferation, it is unknown whether this protein played a role in the physiological hypertrophy induced by moderate-intensity exercises.

Physiological hypertrophy of the heart is also related to other functions besides the Yap1 protein. The distribution of the myosin-heavy chain is also affected in the aging heart. Several reviews have explored the consequences of aging in myosin heavy chain (MHC) distributions, which affect contractile and metabolic functions (30,31). Autophagy is a well-known physiological process involved in aging, and its influence may regulate cardiac mass. Several studies have shown that autophagy influences Yap1 activity, showing their complex interactions (19,21). Furthermore, autophagy has been demonstrated to regulate myosin-heavy chain dynamics (32). Singh et al (33) found that the administration of Rapamycin, or caloric restriction, which induces autophagy function, lessens the effects of hypertrophic cardiomyopathy caused by alterations in genes encoding or affecting the MHCs (32-34). Autophagy is essential in maintaining mitochondrial homeostasis in the heart and further proving its important role in maintaining cardiac function. Therefore, in the present study, the molecular effects of moderate-intensity exercises focusing on the autophagy process, MHC dynamics and Yap1 activity were explored.

Materials and methods

Animal models

A total of 24 male Wistar rats (Rattus norvegicus) obtained from PT. Biofarma (Bandung, Indonesia). Animals were housed from 8th weeks of age and had free access to food and water. The animals were housed in cages measuring 30x40x60 cm³, lined with husk bedding, and maintained at a room temperature of 25-27˚C with a 20-40% humidity level. A 12/12-h light/dark cycle was implemented, and the bedding was replaced every other day. The animals were included in the study if they weighed at least 200 g, could acclimatize, and were healthy during the experiment. The animals were raised until the 80th week and were allocated to control and exercise groups. The rats were raised until the 80th week since it correlates with human in 45 years of age (35). The present study was approved (approval no. 598/UN6.KEP/EC/202598/UN6.KEP/EC/2022) by the Research Ethics Committee of Universitas Padjadjaran (Bandung, Indonesia). Exercise intervention. In the 80th week, the rats were randomly allocated into two groups (n=12): intervention and no treatment. Ronny et al (36) and Gunadi et al (37) determined exercise intensity according to the lactate accumulation levels, and from the aforementioned studies, the moderate intensity treatment protocol was derived. The exercise intervention was given using an animal treadmill at a speed of 20 meters per min for 30 min per day, repeated five days per week, and lasted 8 weeks. For the no-treatment (control) group, the rats were kept on the immobile treadmill. The rats were euthanized using 5% isoflurane for 1 min, followed by cervical dislocation. After death confirmation, the heart was isolated and harvested. The organ was weighed, and 500 mg of it was frozen using liquid nitrogen and stored at -80˚C for RNA extraction.

The rat's body weight, organ weight and tibia length were measured. Several of these measurements were also normalized with body weight or tibia length (38). For histopathological examination, 500 mg of the heart muscle originating from the left ventricle was fixed using 10% neutral-buffered formalin at room temperature for 72 h. Histopathological sections with a thickness of 4 µm were made and stained with hematoxylin for 5 min, followed by Eosin for 2 min, both conducted at room temperature before being evaluated by a pathologist. H&E staining was chosen since it provides a balanced visualization of tissue structure, cellular morphology, and fibrosis assessment. This provided a thorough evaluation of all the parameters needed. The review was performed on five fields per sample with an Olympus CX21 light microscope at x100 magnification. The assessment criteria were cardiomyocyte hypertrophy, myofiber disarray and focal fibrosis (Table I).

Table I

Histological assessment criteria used in this research.

Table I

Histological assessment criteria used in this research.

Cardiomyocyte hypertrophyMyofiber disarrayFocal fibrosis
0: No hypertrophy0: No myofiber disarray0: No focal fibrosis
1: Cardiomyocyte diameter is 3-4 RBCs large.1: Disarray in 1-25% of heart muscle1: 1-5 focal fibrosis
2: Cardiomyocyte diameter is 4-5 RBCs large.2: Disarray in 26-50% of heart muscle2: 6-10 focal fibrosis
3: Cardiomyocyte diameter is >5 RBCs large.3: Disarray in >50% of heart muscle3: >10 focal fibrosis

RNA extraction was performed using TRIsure (cat. no. BIO-38032; Bioline), and RNA purity ratios were examined using spectrophotometry at 260/280 nm. A semiquantitative PCR was carried out using the Bioline one-step RT-PCR kit (cat. no. BIO-72005; Bioline), with GAPDH as a housekeeping gene. The primer sequences are included in Table I. A 10% agarose gel electrophoresis was carried out and stained using SYBRSafe (cat. no. S33102; Invitrogen; Thermo Fisher Scientific, Inc.). The gel was visualized using the BluePad Detection System (BP001CU; Bio-Helix Co., Ltd.) and quantified using ImageJ software version 1.46r (National Institutes of Health). The primer pairs used for PCR in the present study are shown in Table II.

Table II

Primer pairs used in the present study.

Table II

Primer pairs used in the present study.

Gene namePrimer sequence (5'-3')Base pairsAnnealing (˚C)
Myh6F: GAGCAGGAGCTGATCGAGAC15160
 R: CCTCTGCGTTCCTACACTCC  
Myh7F: GCGGACATTGCCGAGTCCCAG13359.5
 R: GCTCCAGGTCTCAGGGCTTCACA  
YapF: GATCCCTGATGATGTACCACTGCC10157
 R: GCCATGTTGTTGTCTGATCGTTGTG  
TazF: CATGGCGGAAAAAGATCCTCC24257
 R: GTCGGTCACGTCATAGGACTG  
PIK3caF: ACCTCAGGCTTGAAGAGTGTCG13759
 R: CCGTAAGTCGTCGCCATTTTTA  
mTORF: CTGATGTCATTTATTGGCACAAA17057
 R: CAGGGACTCAGAACACAAATGC  
Lc3F: GGTCCAGTTGTGCCTTTATTGA15359.5
 R: GTGTGTGGGTTGTGTACGTCG  
p62F: CTAGGCATCGAGGTTGACATT11656
 R: CTTGGCTGAGTACCACTCTTATC  
GAPDHF: GTTACCAGGGCTGCCTTCTC17761
 R: GATGGTGATGGGTTTCCCGT  

[i] F, forward; R, reverse.

Statistical analysis

The data was presented as the mean ± standard deviation (SD) or median (min-max). The normality test was conducted using the Shapiro-Wilk test; Levene's test was used to determine the homogeneity of variance. Statistical analysis was performed using the independent t-test for normally distributed data or the Mann-Whitney U test for non-parametric data. SPSS V.20 software (IBM Corp.) was used for analysis.

Results

Chronic moderate-intensity physical exercise causes cardiac muscle hypertrophy in old rats

The heart weight between the control and exercise groups was compared to ascertain the relationship between physical exercise and cardiac muscle. The heart weight between the control and exercise groups was significantly different, with a higher weight in the exercise group, as shown in Table III. The difference was still significant even after normalization with the body weight or tibia length of rats. Therefore, chronic moderate-intensity physical exercise was shown to be able to significantly increase heart weight, reflecting the hypertrophy process caused by exercise.

Table III

Gross characteristics of control vs. intervention groups.

Table III

Gross characteristics of control vs. intervention groups.

 Control [mean ± SD/median (min-max)]Intervention [mean ± SD/median (min-max)]P-value
Heart weight (g)1.15 (0.92-1.68)1.65 (1.22-1.92)0.01
Body weight (g)362.5 (347-407)315.5 (233-372)0.001
Tibia length (cm)4.5 (4-5.3)4.55 (4-4.9)0.843
Heart to body weight ratio0.003±0.0010.01±0.001<0.001
Heart to tibia length ratio0.28±0.070.36±0.050.003
Hypertrophy caused by exercise is not associated with myofiber disarray and focal fibrosis

The histological appearances of cardiomyocytes were quantified by scoring system (37), which compared three main changes i.e., cardiomyocyte hypertrophy, myofiber disarray and focal fibrosis (Fig. 1). However, the authors differed from the earlier planned criteria and the assessment requirements were combined to only yes/no for all histological criteria. The main difference among the three quantified changes is in cardiomyocyte hypertrophy, with the exercise group showing significantly higher hypertrophy than the control group. No significant differences were found for myofiber disarray and focal fibrosis (Table IV).

Figure 1

Representative histological features used in assessing microstructure changes in each group. (A) Normal cardiomyocyte diameter with no myofiber disarray. (B) Cardiomyocyte hypertrophy with disarrayed heart muscle. (C) Cardiomyocyte hypertrophy, disarrayed heart muscle and focal fibrosis. Images captured with Olympus CX21 and Optilab advance plus in x400 magnification. MD, muscle disarray; FF, focal fibrosis; yellow line, cardiomyocyte diameter; red arrow, erythrocytes.

Table IV

Comparison of histological characteristics.

Table IV

Comparison of histological characteristics.

 Control (n=12)Intervention (n =12)P-value
Any Cardiomyocyte Hypertrophya1 (8%)7 (58%)0.014
Any Myofiber Disarraya1 (8%)1 (8%)1
Any Focal Fibrosisa0 (0%)1 (8%)1

[i] aFisher's exact test.

Chronic moderate-intensity physical exercise causes a significant increase in Myh6 but not Myh7

Two MHC gene isoforms, Myh6 and Myh7, corresponding to α-MHC and β-MHC isoforms, were quantified using conventional PCR (Fig. 2). There was a significant increase in the relative expression of Myh6, with 1.2-fold higher expression in the intervention group (Table V). No significant increase was found in the relative expression of Myh7 corresponding to increased α-MHC expression with no significant changes in β-MHC expression. The ratio between the expression of these two genes also showed significant results with a difference of 1.27-fold increase in the intervention group (P<0.001). The results revealed that moderate-intensity physical activity caused an increase in cardiac muscle mass with MHC isoform distribution consistent with physiological hypertrophy.

Figure 2

Relative Gene Expression of Myh6, Myh7 and Myh6/Myh7 ratio in control and intervention groups. (A) The bar graph denotes the relative gene expression levels of Myh6 and Myh7, and (B) the Myh6/Myh7 ratio measured using conventional PCR. Grey bars are the control group and the white bars are the intervention group. Data are presented as the mean ± SD. Myh6 expression was significantly increased in the intervention group compared with the control (P<0.01), while Myh7 expression showed no significant difference between the two groups. However, the Myh6/Myh7 ratio was significantly higher in the intervention group (P<0.01). Statistical significance was determined using a t-test for Myh6 and Myh7 and Mann-Whitney U test for the Myh6/Myh7 ratio. **P<0.01 and ***P<0.001. ns, no significance (P>0.05).

Table V

The expression of Myh6 and Myh7 in control vs. intervention groups.

Table V

The expression of Myh6 and Myh7 in control vs. intervention groups.

 Control (median (min-max)/mean ± sd)Intervention (median (min-max)/mean ± sd)P-value
Myh61±0.0971.204±0.1480.001
Myh71±0.1301±0.110.992
Myh6/Myh7a0.97 (0.85-1.26)1.27 (1.15-2.623)<0.001

[i] aThe Mann-Whitney U Test was used for the Myh6/Myh7 ratio, and independent t-tests were used for the rest of the genes.

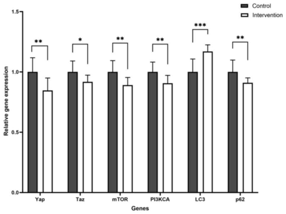
Yap and Taz are downregulated due to chronic moderate-intensity physical exercise

The expression of Yap and Taz, effectors of the Hippo pathway, was measured. Semiquantitative measurement demonstrated a significant underexpression of both genes after chronic moderate-intensity physical exercise. Yap and Taz were significantly less expressed in the intervention compared with the control group, with 0.8 and 0.9-fold lower expression levels, respectively (Table VI).

Table VI

Comparison of Yap/Taz and autophagy-related genes.

Table VI

Comparison of Yap/Taz and autophagy-related genes.

 Control (median (min-max)/mean ± SD)Intervention (median (min-max)/mean ± SD)P-value
Yapa0.98 (0.89-1.34)0.85 (0.67-0.96)0.001
Taz1±0.090.92±0.050.014
mTOR1±0.090.89±0.060.003
PI3KCA1±0.080.91±0.060.005
Lc31±0.111.17±0.05<0.001
P62a0.99 (0.84-1.20)0.92 (0.83-0.96)0.005

[i] aThe Mann-Whitney U Test was used for the p62 and Yap genes, and Independent t-tests were used for the rest of the genes.

Lc3 and p62 gene expression reveals that exercise potentially increased autophagy activity

In the present study, autophagy pathways were evaluated by measuring Lc3 expression, which is involved in autophagosome formation, and p62, which is constantly degraded by autophagy.

The intervention group exhibited a significantly higher expression of Lc3, coupled with a significantly lower expression of p62 (Fig. 3). This expression pattern suggests potential alterations in autophagy activity in the intervention group compared with the control group. Additionally, genes upstream of the autophagy pathway were examined, specifically the mTOR and PI3KCA genes. Both genes were also significantly underexpressed after chronic moderate-intensity physical exercise. This finding suggested that exercise may cause higher autophagy activity by influencing its upstream regulators, specifically downregulating mTOR and PI3K. However, further analysis using protein-level assays is needed to determine whether these changes reflect an overall increase in autophagy.

Figure 3

Expression level of genes related with autophagy in the control vs. intervention groups. The bar graph demonstrated the relative expression level of autophagy-related genes (LC3, p62, mTOR and PI3K) and the Hippo pathway genes (Yap and Taz). Grey bars are the control group and the white bars are the intervention group. The data are presented as the mean ± SD. Note the expression pattern of LC3 and p62 implicated increased autophagy in the intervention group. The expression of mTOR and PI3K, both involved in regulating autophagy, is also shown, with statistically significant downregulation in the intervention group compared with the control group. Statistical significance was determined using the Mann-Whitney U Test for the p62 and Yap genes, and independent t-tests were used for the LC3, p62, mTOR and PI3K genes. *P<0.05, **P<0.01 and ***P<0.001.

Discussion

Research exploring the effects of exercise on the heart were conducted. It was found that even in aged rats, exercise can still cause an increase in heart weight. A previous study in skeletal muscle showed that aging caused a blunted hypertrophic response to resistance training (39). However, in the heart, several evidence point out that ventricular hypertrophy is one of the physiological changes (40). Ventricular hypertrophy in aging is associated with cardiac fibrosis and lower heart function, signs of pathological hypertrophy (41). These changes cause hypertrophy as a mechanism for compensation to maintain body perfusion. This research shows that exercise can still induce a hypertrophic response in cardiac muscle even during aging, as demonstrated by the increased cardiac weight. Even after normalization, a significant difference in the body weight and tibia length was still found to ensure that the increased weight was not due to body size differences. However, further exploration of microscopic appearances and gene expression levels is needed to ascertain whether it is physiological or pathological.

Several studies have found that α-MHC content is decreased during aging, similar to cardiac changes caused by overload or heart failure (42,43). In the present study, it was validated that even during aging, chronic-moderate-intensity physical exercises can still induce physiological hypertrophy of the heart. The findings of the present study demonstrated that physical exercise caused a preferential increase of alpha myosin over beta myosin, as shown by the higher expression of alpha myosin and the ratio between both myosin isoforms. The increase in alpha myosin is consistent with physiological hypertrophy, which was found with a higher alpha myosin content (41). The α-MHC isoform has the highest myosin ATPase activity and contractile speed, with several research showing that a higher combination of this protein is associated with increased contractile velocity (42). Targeting α-MHC has been the focus of several research studies, and it has been found that overexpression of α-MHC allowed a modest improvement in ventricular function after myocardial infarction (44), and interventions aiming at this protein also alleviated heart failure (45). Therefore, the present findings extended previous findings of increased α-MHC in cardiac muscle after exercise and that the increase of α-MHC still occurs in the context of aging.

The increase in alpha myosin contrasts with hypertrophy caused by cardiac overload. It has been previously reported that chronic pressure overload preferentially increases beta myosin (43). Beta myosin has a lower ATPase activity but is more economically efficient in the contractile force it generates. Therefore, the increased force needed for heart function will cause a preferential increase of this isoform. The role of beta myosin is probably better explained by mutations of this gene, which is one of the known causes of hypertrophic cardiomyopathy (46,47). Mutations cause up to a 30% reduction in contractile speed and force generation (46,48), which causes compensatory hypertrophy to generate enough force for heart function. In the present study, it was found that chronic moderate-intensity exercise in old rats did not increase the β-MHC gene expression, supporting the role of exercise in restoring cardiac function even during old age (Fig. 4).

Figure 4

Diagram demonstrating the relationship between hypertrophy and genes measured in the present study. Shown is a diagram depicting the relationship between old age and physical exercise. Old age is known to cause decreased cardiomyocytes and may be reversed with exercise. Exercise was found to induce physiological hypertrophy through activation of the AMPK pathway and inhibition of PI3K/AKT. This inhibition, in turn, inhibits mTOR function, which increases the activity of the autophagy pathway. This increased activity inhibited Yap/Taz function because these proteins are the substrate of autophagy.

Microscopy further supports the role of exercise in causing physiological hypertrophy. In pathological hypertrophy, a significant amount of fibrosis usually occurs in the cardiac tissue (41). These were considered to be due to several factors: Chronic injury, mismatch between vascular and cardiomyocyte growth, imbalances between pro- and antifibrotic proteins, intense exercises and aging (49-53). Although exercises were known to reduce cardiac fibrosis (49,54,55), it is unknown whether the same effects can be observed on the aging heart, especially considering the lower functional capacity of aged hearts. The current research found that exercise did not cause an increase in cardiac tissue fibrosis compared with control. Additionally, since there is no evidence of fibrosis, a sign of pathological hypertrophy (41), it can be further supported that the hypertrophy caused by exercise, even during old age, is consistent with features of physiological hypertrophy.

Yap/Taz is the effector of the Hippo pathway, which was previously known to cause skeletal muscle hypertrophy. Yap/Taz was activated by several mechanoreceptors and stretch, causing hypertrophy in skeletal muscles (22). Therefore, during exercise, which causes physical stress on the heart muscle, it was initially postulated that Yap/Taz expression would increase. The authors' assumption was supported by previous studies showing the essential function of Yap in cardiomyocyte function after cardiac injury and embryonic development (56,57). However, the present study identified that their expression is reduced in the exercise group compared with the control. Therefore, it is considered that although the cardiac muscle experienced hypertrophy, it is not due to increased expression of Yap and Taz. Since cardiac muscle hypertrophy involves the enlargement of cardiomyocytes instead of proliferation (41), perhaps the role of Yap and Taz is not that pronounced in cardiac muscle. The current findings are consistent with previous studies that showed Yap is necessary for cardiomyocyte proliferation (25,56,58). Since physical exercise causes hypertrophy through enlargement, the effect of exercise on Yap/Taz is negligible.

Autophagy is a pathway that has been previously researched as a beneficial process in the heart induced by exercise (59-62). However, this function gradually decreases during aging (63), and it was explored whether exercise can still induce autophagy in the aged heart. Therefore, expression of genes involved in autophagy functions such as Lc3 and p62, was determined. The intervention group exhibited an expression pattern consistent with increased autophagy function with high Lc3, markers of autophagosome formation, and low p62, a specific autophagy substrate. However, due to resource constraints, further protein-level analysis which is necessary to confirm the present findings, could not be conducted. The suggested increase in autophagy is supported by previous studies reporting that exercise is one of the main factors inducing autophagy (61,62). Autophagy confers several benefits, such as allowing clearance of damaged mitochondria, which prevents cardiomyocyte injury and apoptosis (61). Interestingly, lower autophagy has been associated with cardiomyocyte hypertrophy. However, this hypertrophy is associated with pathological changes such as lower contractility (64) and increased fibrosis (65). A study by Yan et al (66) demonstrated the essential role of autophagy in mediating the beneficial effects of exercise. Without autophagy, exercise caused an increase in fibrosis, impaired mitochondrial biogenesis and fetal gene reprogramming. Therefore, a balanced autophagy level is needed to ensure physiological hypertrophy of the cardiomyocytes. Additionally, the increased autophagy found may explain the lower expression of Yap/Taz in our research. Several studies have found Yap as a substrate for autophagy (21). However, further research is needed to ascertain this conclusion.

The gene expression pattern suggesting increased autophagy activity also occurs with decreased expression of upstream regulators of autophagy, specifically PI3K and mTOR. These findings are counterintuitive since both proteins were usually upregulated during resistance exercises in skeletal muscles, considering their function in activating protein synthesis (67). mTOR is notorious for enhancing protein synthesis and was found to be essential for muscle hypertrophy (68). However, previous research used acute resistance exercise (67,69,70); in the present study, the authors opted for chronic exercise on aged animal models. The current results are supported by studies in rats, which found chronic exercise caused the downregulation of mTOR and PI3K phosphorylation in the brain (71) and the downregulation of mTORC1 activity in the skeletal muscle (70). These findings perhaps reflected the lower anabolic signaling in chronic exercise. Therefore, the main benefit of chronic exercise lies in the ability of autophagy to maintain mitochondrial health and prevent myocardial injury in the heart. This effect is still observed even in aging animal models. Future studies should focus on the expression of protein levels and explore the impact on female rats to account for hormonal differences.

However, several limitations are apparent in the present study. The results are based on rats with significantly different distributions of MHC isoforms, and other mechanisms might exist in humans. It is acknowledged that only the left ventricle was examined in the current study since it plays a critical role in systemic circulation, and its hypertrophic changes are more likely to be reflective of overall heart function in response to exercise. Additionally, specific markers of fibrosis were not investigated using Masson's Trichrome or Picrosirius red staining, which would allow for clearer visualization of collagen fibers and a more accurate assessment of fibrotic changes. Gene expression data were only measured, and thus post-translational modifications may alter the results of the present study. Nevertheless, it can be concluded that even in old age, exercise remains a potent and viable intervention in increasing heart mass and potentially delays the decline in function associated with aging.

In conclusion, the current research has shown that chronic moderate-intensity exercise can induce hypertrophic response in the heart of old rats. This hypertrophic response is consistent with features of physiological hypertrophy with minimal fibrosis and increased α-MHC isoforms and ratio in the intervention group. Additionally, this hypertrophy is not dependent on Yap/Taz expression. Hypertrophy is associated with low anabolic signaling through the PI3KCA and mTOR expression but with gene expression patterns implicating high autophagy function, suggesting that autophagy function may be more critical during regular exercise compared with anabolic signaling.

Acknowledgements

The authors acknowledge Dr Ardo Sanjaya from Maranatha Christian University for writing and technical assistance in proofreading the manuscript.

Funding

Funding: The present study was supported by the Fundamental Research Grant 2024 (grant no. 3986/UN6.3.1/PT.00/2024) from Universitas Padjadjaran and the Internal Research Grant (grant no. 005/PEG-PRJ/SL-YPTKM/UKM/X/2020) from Maranatha Christian University.

Availability of data and materials

The data generated in the present study may be requested from the corresponding author.

Authors' contributions

YL, VV, DKJ, and RL conceptualized the present study. YL, VV, JWG and RL designed the methodology. YL, TL, JWG, KDMW and DKJ performed experiments and statistical analysis. YL, TL, and JWG created the original draft of the manuscript. YL, VV, DKJ, and RL produced the final version of the manuscript. All authors read and approved the final version of the manuscript. YL, JWG and RL confirm the authenticity of all the raw data.

Ethics approval and consent to participate

The present study was approved (approval no. 598/UN6.KEP/EC/2022) by the Research Ethics Committee of Universitas Padjadjaran (Bandung, Indonesia).

Patient consent for publication

Not applicable.

Competing interests

The authors declare that they have no competing interests.

References

1 

Steverson M: Ageing and health. World Health Organization, Geneva, 2022. https://www.who.int/news-room/fact-sheets/detail/ageing-and-health#:~:text=At%20this%20time%20the%20share,2050%20to%20reach%20426%20million. Accessed April 18, 2024.

2 

Marengoni A, Angleman S, Melis R, Mangialasche F, Karp A, Garmen A, Meinow B and Fratiglioni L: Aging with multimorbidity: A systematic review of the literature. Ageing Res Rev. 10:430–439. 2011.PubMed/NCBI View Article : Google Scholar

3 

North BJ and Sinclair DA: The Intersection between aging and cardiovascular disease. Circ Res. 110:1097–1108. 2012.PubMed/NCBI View Article : Google Scholar

4 

Paneni F, Diaz Cañestro C, Libby P, Lüscher TF and Camici GG: The aging cardiovascular system: Understanding it at the cellular and clinical levels. J Am Coll Cardiol. 69:1952–1967. 2017.PubMed/NCBI View Article : Google Scholar

5 

Eckstrom E, Neukam S, Kalin L and Wright J: Physical activity and healthy aging. Clin Geriatr Med. 36:671–683. 2020.PubMed/NCBI View Article : Google Scholar

6 

Tracy E, Rowe G and LeBlanc AJ: Cardiac tissue remodeling in healthy aging: The road to pathology. Am J Physiol Cell Physiol. 319:C166–C182. 2020.PubMed/NCBI View Article : Google Scholar

7 

Nakou ES, Parthenakis FI, Kallergis EM, Marketou ME, Nakos KS and Vardas PE: Healthy aging and myocardium: A complicated process with various effects in cardiac structure and physiology. Int J Cardiol. 209:167–175. 2016.PubMed/NCBI View Article : Google Scholar

8 

Park JH, Moon JH, Kim HJ, Kong MH and Oh YH: Sedentary lifestyle: Overview of updated evidence of potential health risks. Korean J Fam Med. 41:365–373. 2020.PubMed/NCBI View Article : Google Scholar

9 

Taylor L: Third of adults are not getting enough physical activity, says WHO. BMJ. 385(q1428)2024.PubMed/NCBI View Article : Google Scholar

10 

Xu L, Li T, He W, Cao D, Wu C and Qin L: Prevalence of sufficient physical activity among general adult population and sub-populations with chronic conditions or disability in the USA. Eur J Public Health. 33:891–896. 2023.PubMed/NCBI View Article : Google Scholar

11 

Wei X, Liu X and Rosenzweig A: What do we know about the cardiac benefits of exercise? Trends Cardiovasc Med. 25:529–536. 2015.PubMed/NCBI View Article : Google Scholar

12 

Platt C, Houstis N and Rosenzweig A: Using exercise to measure and modify cardiac function. Cell Metab. 21:227–236. 2015.PubMed/NCBI View Article : Google Scholar

13 

Nelson ME, Rejeski WJ, Blair SN, Duncan PW, Judge JO, King AC, Macera CA and Castaneda-Sceppa C: Physical activity and public health in older adults: Recommendation from the American college of sports medicine and the American heart association. Med Sci Sports Exerc. 39:1435–1445. 2007.PubMed/NCBI View Article : Google Scholar

14 

Lane-Cordova AD, Jerome GJ, Paluch AE, Bustamante EE, LaMonte MJ, Pate RR, Weaver RG, Webber-Ritchey KJ and Gibbs BB: Committee on Physical Activity of the American Heart Association Council on Lifestyle and Cardiometabolic Health. Supporting physical activity in patients and populations during life events and transitions: A scientific statement from the American heart association. Circulation. 145(e128)2022.PubMed/NCBI View Article : Google Scholar

15 

Fulghum K and Hill BG: Metabolic mechanisms of exercise-induced cardiac remodeling. Front Cardiovasc Med. 5(127)2018.PubMed/NCBI View Article : Google Scholar

16 

Aman Y, Schmauck-Medina T, Hansen M, Morimoto RI, Simon AK, Bjedov I, Palikaras K, Simonsen A, Johansen T, Tavernarakis N, et al: Autophagy in healthy aging and disease. Nat Aging. 1:634–650. 2021.PubMed/NCBI View Article : Google Scholar

17 

Shirakabe A, Ikeda Y, Sciarretta S, Zablocki DK and Sadoshima J: Aging and autophagy in the heart. Circ Res. 118:1563–1576. 2016.PubMed/NCBI View Article : Google Scholar

18 

Kaushik S, Tasset I, Arias E, Pampliega O, Wong E, Martinez-Vicente M and Cuervo AM: Autophagy and the hallmarks of aging. Ageing Res Rev. 72(101468)2021.PubMed/NCBI View Article : Google Scholar

19 

Sanjaya A, Lesmana R, Goenawan H, Setiawan I, Sylviana N, Pratiwi YS and Dewi FN: The functional relationship of Yap/Taz with autophagy functions in sarcopenia associated with aging. Nutr Healthy Aging. 8:31–39. 2023.

20 

Christoper A, Herman H, Abdulah R, Zulhendri F, Sanjaya A and Lesmana R: Physiological roles of Hippo signaling pathway and autophagy in dementia. Curr Aging Sci. 16:112–124. 2023.PubMed/NCBI View Article : Google Scholar

21 

Wang D, He J, Huang B, Liu S, Zhu H and Xu T: Emerging role of the Hippo pathway in autophagy. Cell Death Dis. 11(880)2020.PubMed/NCBI View Article : Google Scholar

22 

Fischer M, Rikeit P, Knaus P and Coirault C: YAP-mediated mechanotransduction in skeletal muscle. Front Physiol. 7(41)2016.PubMed/NCBI View Article : Google Scholar

23 

Watt KI, Turner BJ, Hagg A, Zhang X, Davey JR, Qian H, Beyer C, Winbanks CE, Harvey KF and Gregorevic P: The Hippo pathway effector YAP is a critical regulator of skeletal muscle fibre size. Nat Commun. 6(6048)2015.PubMed/NCBI View Article : Google Scholar

24 

Judson RN, Gray SR, Walker C, Carroll AM, Itzstein C, Lionikas A, Zammit PS, De Bari C and Wackerhage H: Constitutive expression of Yes-associated protein (Yap) in adult skeletal muscle fibres induces muscle atrophy and myopathy. PLoS One. 8(e59622)2013.PubMed/NCBI View Article : Google Scholar

25 

von Gise A, Lin Z, Schlegelmilch K, Honor LB, Pan GM, Buck JN, Ma Q, Ishiwata T, Zhou B, Camargo FD and Pu WT: YAP1, the nuclear target of Hippo signaling, stimulates heart growth through cardiomyocyte proliferation but not hypertrophy. Proc Natl Acad Sci USA. 109:2394–2399. 2012.PubMed/NCBI View Article : Google Scholar

26 

Del Re DP, Yang Y, Nakano N, Cho J, Zhai P, Yamamoto T, Zhang N, Yabuta N, Nojima H, Pan D and Sadoshima J: Yes-associated protein isoform 1 (Yap1) promotes cardiomyocyte survival and growth to protect against myocardial ischemic injury. J Biol Chem. 288:3977–3988. 2013.PubMed/NCBI View Article : Google Scholar

27 

Heallen T, Zhang M, Wang J, Bonilla-Claudio M, Klysik E, Johnson RL and Martin JF: Hippo pathway inhibits Wnt signaling to restrain cardiomyocyte proliferation and heart size. Science. 332:458–561. 2011.PubMed/NCBI View Article : Google Scholar

28 

Wang P, Wang M, Hu Y, Chen J, Cao Y, Liu C, Wu Z, Shen J, Lu J and Liu P: Isorhapontigenin protects against doxorubicin-induced cardiotoxicity via increasing YAP1 expression. Acta Pharm Sin B. 11:680–693. 2021.PubMed/NCBI View Article : Google Scholar

29 

Yue P, Zhang Y, Liu L, Zhou K, Xia S, Peng M, Yan H, Tang X, Chen Z, Zhang D, et al: Yap1 modulates cardiomyocyte hypertrophy via impaired mitochondrial biogenesis in response to chronic mechanical stress overload. Theranostics. 12:7009–7031. 2022.PubMed/NCBI View Article : Google Scholar

30 

Strait JB and Lakatta EG: Aging-associated cardiovascular changes and their relationship to heart failure. Heart Fail Clin. 8:143–164. 2012.PubMed/NCBI View Article : Google Scholar

31 

Sheydina A, Riordon DR and Boheler KR: Molecular mechanisms of cardiomyocyte aging. Clin Sci (Lond). 121:315–329. 2011.PubMed/NCBI View Article : Google Scholar

32 

Zech ATL, Singh SR, Schlossarek S and Carrier L: Autophagy in cardiomyopathies. Biochim Biophys Acta Mol Cell Res. 1867(118432)2020.PubMed/NCBI View Article : Google Scholar

33 

Singh SR, Zech ATL, Geertz B, Reischmann-Düsener S, Osinska H, Prondzynski M, Krämer E, Meng Q, Redwood C, van der Velden J, et al: Activation of autophagy ameliorates cardiomyopathy in Mybpc3-targeted knockin mice. Circ Heart Fail. 10(e004140)2017.PubMed/NCBI View Article : Google Scholar

34 

Gatica D, Chiong M, Lavandero S and Klionsky DJ: Molecular mechanisms of autophagy in the cardiovascular system. Circ Res. 116:456–467. 2015.PubMed/NCBI View Article : Google Scholar

35 

Sengupta P: The laboratory rat: Relating its age with human's. Int J Prev Med. 4:624–630. 2013.PubMed/NCBI

36 

Lesmana R, Iwasaki T, Iizuka Y, Amano I, Shimokawa N and Koibuchi N: The change in thyroid hormone signaling by altered training intensity in male rat skeletal muscle. Endocr J. 63:727–738. 2016.PubMed/NCBI View Article : Google Scholar

37 

Gunadi JW, Tarawan VM, Setiawan I, Lesmana R, Wahyudianingsih R and Supratman U: Cardiac hypertrophy is stimulated by altered training intensity and correlates with autophagy modulation in male Wistar rats. BMC Sports Sci Med Rehabil. 11(9)2019.PubMed/NCBI View Article : Google Scholar

38 

Yin FC, Spurgeon HA, Rakusan K, Weisfeldt ML and Lakatta EG: Use of tibial length to quantify cardiac hypertrophy: Application in the aging rat. Am J Physiol. 243:H941–H947. 1982.PubMed/NCBI View Article : Google Scholar

39 

Kirby TJ, Lee JD, England JH, Chaillou T, Esser KA and McCarthy JJ: Blunted hypertrophic response in aged skeletal muscle is associated with decreased ribosome biogenesis. J Appl Physiol (1985). 119:321–327. 2015.PubMed/NCBI View Article : Google Scholar

40 

Dai DF, Chen T, Johnson SC, Szeto H and Rabinovitch PS: Cardiac aging: From molecular mechanisms to significance in human health and disease. Antioxid Redox Signal. 16:1492–1526. 2012.PubMed/NCBI View Article : Google Scholar

41 

Shimizu I and Minamino T: Physiological and pathological cardiac hypertrophy. J Mol Cell Cardiol. 97:245–462. 2016.PubMed/NCBI View Article : Google Scholar

42 

Gupta MP: Factors controlling cardiac myosin-isoform shift during hypertrophy and heart failure. J Mol Cell Cardiol. 43:388–403. 2007.PubMed/NCBI View Article : Google Scholar

43 

Miyata S, Minobe W, Bristow MR and Leinwand LA: Myosin heavy chain isoform expression in the failing and nonfailing human heart. Circ Res. 86:386–390. 2000.PubMed/NCBI View Article : Google Scholar

44 

James J, Hor K, Moga MA, Martin LA and Robbins J: Effects of myosin heavy chain manipulation in experimental heart failure. J Mol Cell Cardiol. 48:999–1006. 2010.PubMed/NCBI View Article : Google Scholar

45 

Zhang N, Zhang Y, Xu J, Wang P, Wu B, Lu S, Lu X, You S, Huang X, Li M, et al: α-myosin heavy chain lactylation maintains sarcomeric structure and function and alleviates the development of heart failure. Cell Res. 33:679–698. 2023.PubMed/NCBI View Article : Google Scholar

46 

Van Driest SL, Jaeger MA, Ommen SR, Will ML, Gersh BJ, Tajik AJ and Ackerman MJ: Comprehensive analysis of the beta-myosin heavy chain gene in 389 unrelated patients with hypertrophic cardiomyopathy. J Am Coll Cardiol. 44:602–610. 2004.PubMed/NCBI View Article : Google Scholar

47 

McNally EM: Beta-myosin heavy chain gene mutations in familial hypertrophic cardiomyopathy: The usual suspect? Circ Res. 90:246–247. 2002.PubMed/NCBI

48 

Lankford EB, Epstein ND, Fananapazir L and Sweeney HL: Abnormal contractile properties of muscle fibers expressing beta-myosin heavy chain gene mutations in patients with hypertrophic cardiomyopathy. J Clin Invest. 95:1409–1414. 1995.PubMed/NCBI View Article : Google Scholar

49 

Wang K, Deng Y and Xiao H: Exercise and cardiac fibrosis. Curr Opin Physiol. 31(100630)2023.

50 

Rao Z, Wang S, Bunner WP, Chang Y and Shi R: Exercise induced right ventricular fibrosis is associated with myocardial damage and inflammation. Korean Circ J. 48:1014–1024. 2018.PubMed/NCBI View Article : Google Scholar

51 

Lu L, Guo J, Hua Y, Huang K, Magaye R, Cornell J, Kelly DJ, Reid C, Liew D, Zhou Y, et al: Cardiac fibrosis in the ageing heart: Contributors and mechanisms. Clin Exp Pharmacol Physiol. 44 (Suppl 1):S55–S63. 2017.PubMed/NCBI View Article : Google Scholar

52 

Frangogiannis NG: Cardiac fibrosis. Cardiovasc Res. 117:1450–1488. 2021.PubMed/NCBI View Article : Google Scholar

53 

Lakhan SE and Harle L: Cardiac fibrosis in the elderly, normotensive athlete: Case report and review of the literature. Diagn Pathol. 3(12)2008.PubMed/NCBI View Article : Google Scholar

54 

Hong Y, Yang AL, Wong JKS, Masodsai K, Lee SD and Lin YY: Exercise intervention prevents early aged hypertension-caused cardiac dysfunction through inhibition of cardiac fibrosis. Aging (Albany NY). 14:4390–4401. 2022.PubMed/NCBI View Article : Google Scholar

55 

Cui X, Wang K, Zhang J and Cao ZB: Aerobic exercise ameliorates myocardial fibrosis via affecting vitamin D receptor and transforming growth factor-β1 signaling in vitamin D-deficient mice. Nutrients. 15(741)2023.PubMed/NCBI View Article : Google Scholar

56 

Xin M, Kim Y, Sutherland LB, Murakami M, Qi X, McAnally J, Porrello ER, Mahmoud AI, Tan W, Shelton JM, et al: Hippo pathway effector Yap promotes cardiac regeneration. Proc Natl Acad Sci USA. 110:13839–13844. 2013.PubMed/NCBI View Article : Google Scholar

57 

Boogerd CJ, Perini I, Kyriakopoulou E, Han SJ, La P, van der Swaan B, Berkhout JB, Versteeg D, Monshouwer-Kloots J and van Rooij E: Cardiomyocyte proliferation is suppressed by ARID1A-mediated YAP inhibition during cardiac maturation. Nat Commun. 14(4716)2023.PubMed/NCBI View Article : Google Scholar

58 

Flinn MA, Link BA and O'Meara CC: Upstream regulation of the Hippo-Yap pathway in cardiomyocyte regeneration. Semin Cell Dev Biol. 100:11–19. 2020.PubMed/NCBI View Article : Google Scholar

59 

Wang L, Wang J, Cretoiu D, Li G and Xiao J: Exercise-mediated regulation of autophagy in the cardiovascular system. J Sport Health Sci. 9:203–210. 2020.PubMed/NCBI View Article : Google Scholar

60 

Sasaki Y, Ikeda Y, Iwabayashi M, Akasaki Y and Ohishi M: The impact of autophagy on cardiovascular senescence and diseases. Int Heart J. 58:666–673. 2017.PubMed/NCBI View Article : Google Scholar

61 

Wu NN, Tian H, Chen P, Wang D, Ren J and Zhang Y: Physical exercise and selective autophagy: Benefit and risk on cardiovascular health. Cells. 8(1436)2019.PubMed/NCBI View Article : Google Scholar

62 

Dai M and Hillmeister P: Exercise-mediated autophagy in cardiovascular diseases. Acta Physiol (Oxf). 236(e13890)2022.PubMed/NCBI View Article : Google Scholar

63 

Abdellatif M, Sedej S, Carmona-Gutierrez D, Madeo F and Kroemer G: Autophagy in cardiovascular aging. Circ Res. 123:803–824. 2018.PubMed/NCBI View Article : Google Scholar

64 

Ott C, Jung T, Brix S, John C, Betz IR, Foryst-Ludwig A, Deubel S, Kuebler WM, Grune T, Kintscher U and Grune J: Hypertrophy-reduced autophagy causes cardiac dysfunction by directly impacting cardiomyocyte contractility. Cells. 10(805)2021.PubMed/NCBI View Article : Google Scholar

65 

Taneike M, Yamaguchi O, Nakai A, Hikoso S, Takeda T, Mizote I, Oka T, Tamai T, Oyabu J, Murakawa T, et al: Inhibition of autophagy in the heart induces age-related cardiomyopathy. Autophagy. 6:600–606. 2010.PubMed/NCBI View Article : Google Scholar

66 

Yan Z, Kronemberger A, Blomme J, Call JA, Caster HM, Pereira RO, Zhao H, de Melo VU, Laker RC, Zhang M and Lira VA: Exercise leads to unfavourable cardiac remodelling and enhanced metabolic homeostasis in obese mice with cardiac and skeletal muscle autophagy deficiency. Sci Rep. 7(7894)2017.PubMed/NCBI View Article : Google Scholar

67 

Watson K and Baar K: mTOR and the health benefits of exercise. Semin Cell Dev Biol. 36:130–139. 2014.PubMed/NCBI View Article : Google Scholar

68 

Sciarretta S, Volpe M and Sadoshima J: Mammalian target of rapamycin signaling in cardiac physiology and disease. Circ Res. 114:549–564. 2014.PubMed/NCBI View Article : Google Scholar

69 

Song Z, Moore DR, Hodson N, Ward C, Dent JR, O'Leary MF, Shaw AM, Hamilton DL, Sarkar S, Gangloff YG, et al: Resistance exercise initiates mechanistic target of rapamycin (mTOR) translocation and protein complex co-localisation in human skeletal muscle. Sci Rep. 7(5028)2017.PubMed/NCBI View Article : Google Scholar

70 

Langer HT, West D, Senden J, Spuler S, van Loon LJC and Baar K: Myofibrillar protein synthesis rates are increased in chronically exercised skeletal muscle despite decreased anabolic signaling. Sci Rep. 12(7553)2022.PubMed/NCBI View Article : Google Scholar

71 

Gao L, Liu F and Liu R: The The mechanism of aerobic exercise regulating the PI3K/Akt-mTOR signaling pathway intervenes in hippocampal neuronal apoptosis in vascular dementia rats. Int J Environ Res Public Health. 20(1893)2023.PubMed/NCBI View Article : Google Scholar

Related Articles

  • Abstract
  • View
  • Download
  • Twitter
Copy and paste a formatted citation
Spandidos Publications style
Limyati Y, Lucretia T, Gunadi JW, Vitriana V, Jasaputra DK, Wahyudi KD and Lesmana R: Chronic moderate‑intensity exercise can induce physiological hypertrophy in aged cardiomyocytes through autophagy, with minimal Yap/Taz involvement. Biomed Rep 22: 44, 2025.
APA
Limyati, Y., Lucretia, T., Gunadi, J.W., Vitriana, V., Jasaputra, D.K., Wahyudi, K.D., & Lesmana, R. (2025). Chronic moderate‑intensity exercise can induce physiological hypertrophy in aged cardiomyocytes through autophagy, with minimal Yap/Taz involvement. Biomedical Reports, 22, 44. https://doi.org/10.3892/br.2025.1922
MLA
Limyati, Y., Lucretia, T., Gunadi, J. W., Vitriana, V., Jasaputra, D. K., Wahyudi, K. D., Lesmana, R."Chronic moderate‑intensity exercise can induce physiological hypertrophy in aged cardiomyocytes through autophagy, with minimal Yap/Taz involvement". Biomedical Reports 22.3 (2025): 44.
Chicago
Limyati, Y., Lucretia, T., Gunadi, J. W., Vitriana, V., Jasaputra, D. K., Wahyudi, K. D., Lesmana, R."Chronic moderate‑intensity exercise can induce physiological hypertrophy in aged cardiomyocytes through autophagy, with minimal Yap/Taz involvement". Biomedical Reports 22, no. 3 (2025): 44. https://doi.org/10.3892/br.2025.1922
Copy and paste a formatted citation
x
Spandidos Publications style
Limyati Y, Lucretia T, Gunadi JW, Vitriana V, Jasaputra DK, Wahyudi KD and Lesmana R: Chronic moderate‑intensity exercise can induce physiological hypertrophy in aged cardiomyocytes through autophagy, with minimal Yap/Taz involvement. Biomed Rep 22: 44, 2025.
APA
Limyati, Y., Lucretia, T., Gunadi, J.W., Vitriana, V., Jasaputra, D.K., Wahyudi, K.D., & Lesmana, R. (2025). Chronic moderate‑intensity exercise can induce physiological hypertrophy in aged cardiomyocytes through autophagy, with minimal Yap/Taz involvement. Biomedical Reports, 22, 44. https://doi.org/10.3892/br.2025.1922
MLA
Limyati, Y., Lucretia, T., Gunadi, J. W., Vitriana, V., Jasaputra, D. K., Wahyudi, K. D., Lesmana, R."Chronic moderate‑intensity exercise can induce physiological hypertrophy in aged cardiomyocytes through autophagy, with minimal Yap/Taz involvement". Biomedical Reports 22.3 (2025): 44.
Chicago
Limyati, Y., Lucretia, T., Gunadi, J. W., Vitriana, V., Jasaputra, D. K., Wahyudi, K. D., Lesmana, R."Chronic moderate‑intensity exercise can induce physiological hypertrophy in aged cardiomyocytes through autophagy, with minimal Yap/Taz involvement". Biomedical Reports 22, no. 3 (2025): 44. https://doi.org/10.3892/br.2025.1922
Follow us
  • Twitter
  • LinkedIn
  • Facebook
About
  • Spandidos Publications
  • Careers
  • Cookie Policy
  • Privacy Policy
How can we help?
  • Help
  • Live Chat
  • Contact
  • Email to our Support Team