International Journal of Molecular Medicine is an international journal devoted to molecular mechanisms of human disease.
International Journal of Oncology is an international journal devoted to oncology research and cancer treatment.
Covers molecular medicine topics such as pharmacology, pathology, genetics, neuroscience, infectious diseases, molecular cardiology, and molecular surgery.
Oncology Reports is an international journal devoted to fundamental and applied research in Oncology.
Experimental and Therapeutic Medicine is an international journal devoted to laboratory and clinical medicine.
Oncology Letters is an international journal devoted to Experimental and Clinical Oncology.
Explores a wide range of biological and medical fields, including pharmacology, genetics, microbiology, neuroscience, and molecular cardiology.
International journal addressing all aspects of oncology research, from tumorigenesis and oncogenes to chemotherapy and metastasis.
Multidisciplinary open-access journal spanning biochemistry, genetics, neuroscience, environmental health, and synthetic biology.
Open-access journal combining biochemistry, pharmacology, immunology, and genetics to advance health through functional nutrition.
Publishes open-access research on using epigenetics to advance understanding and treatment of human disease.
An International Open Access Journal Devoted to General Medicine.
Fluoride (F) is an element that is naturally present in the environment, and World Health Organization (2017) guidelines state that the allowable concentration of F in drinking water is 1.5 ppm. However, in some areas, such as India, where groundwater containing high concentrations of F is supplied as drinking water, concentrations can exceed 48 ppm (1), and this is associated with widespread skeletal fluorosis and mottling of the teeth, which are serious public health problems. In addition, 25 countries fluoridate their tap water to prevent tooth decay (GOV.UK, 2022). In recent years, there has been concern that F exposure during pregnancy in countries where people consume fluoridated tap water or groundwater with high F concentrations may reduce the intelligence quotients (IQs) of children, and increase their risks of memory and learning disorders, attention deficit hyperactivity disorder and autism spectrum disorder (ASD) (2-4).
In general, it is considered that both environmental and genetic factors are involved in the etiology of developmental abnormalities (5), and if F exposure causes brain dysfunction, it is possible that it is a significant environmental factor. In some European Union member states, the fluoridation of tap water was banned between the 1970s and 1990s, and it has been reported that the incidence of ASDs is low in these countries (2,6). Worldwide, ~240 million children have developmental disorders (7). In particular, the prevalence of ASD is ~1/100, and this has rapidly increased over the past 20 years, such that these disorders have become a serious problem (WHO, 2023).
In an epidemiologic study of pregnant women living in areas of Canada with fluoridated or non-fluoridated drinking water, the IQ scores of boys were found to decrease as their urinary F concentrations increased (3). In a study of Indian adolescents who were consuming well water with F concentrations of 5-10 ppm, their IQ scores, attention, concentration, verbal memory and spatial memory were found to decrease with increasing F concentration (8). Most of the F absorbed into the body accumulates in the bones and teeth (1,9), but there is concern that trace amounts may cross the blood-brain barrier and accumulate in brain tissue, where it is neurotoxic (10). Furthermore, it has been suggested that when women are exposed to F during pregnancy, the concentrations of F in the placenta, plasma/serum and umbilical cord blood increase in direct proportion to its consumption (11,12). The placenta not only transports nutrients and gases, but also contains neurotransmitters such as serotonin, dopamine and norepinephrine/epinephrine, and there is concern that exposure to various risk factors may affect fetal brain development and be involved in the development of ASD (13). If F crosses the blood-brain barrier, it accumulates in brain tissue, and although it is not involved in the synthesis of the neurotransmitter, it can impair their synthesis. As a result, brain development may be impaired, and subsequent behavior may be affected (14). Water fluoridation has been discussed worldwide, and although no definitive conclusions have been reached, F has been suggested to be a neurotoxin (15,16). Previous studies of experimental animals have shown nerve damage, neurodegeneration, a lack of muscle coordination, chronic fatigue, attention deficits and memory impairments caused by the accumulation of F in brain regions associated with long-term exposure to high concentrations (50-100 ppm) of F (17-21).
In the present study, the effects of F on brain function were evaluated, including the characteristics of ASD, by chronically exposing mice to relatively low concentrations of F during pregnancy and subsequently, and the relationships between the results of behavioral testing and the levels of brain neurotransmitters were evaluated.
Male and female 21-day-old ICR mice (F0) were purchased from Sankyo Laboratory Services, Inc. They were housed in an air-conditioned room under a 12/12-h light/dark cycle (lights off at 20:00; rearing temperature at 24˚C), with males and females under standard rearing conditions, three per cage. Information on the F0 mice is shown in Table I. The purchased mice were randomly allocated to a control group consuming tap water and sodium fluoride (Nacalai Tesque, Inc.) exposure groups consuming 15 mg F ions/l (15 ppm) or 30 mg F ions/l (30 ppm). The sodium fluoride was dissolved in ultrapure water (Organo Corp.). Female and male F0 mice were exposed to the sodium fluoride-containing drinking water from 3 weeks of age. F0 mice were mated at 8 weeks-old and continued to consume tap water or water containing sodium fluoride during pregnancy and until weaning on postnatal day 21. After weaning, the pups (F1 mice) were exposed to the same concentrations of F as F0 through their drinking water. In the present study, behavioral testing and brain analysis were performed exclusively on male F1 offspring. Only male F1 mice were included in the analysis because the prevalence of ASD in males is higher than in females (22). Behavioral tests began at 8 weeks of age to assess neurodevelopmental effects and concluded by 10 weeks. After testing, the F1 mice were euthanized, and their brains were collected. Neurotransmitter concentrations in the cerebellum, midbrain and hippocampus were measured using liquid chromatography-tandem mass spectrometry (LC/MS/MS). Exposure to sodium fluoride continued for the F1 mice until euthanasia. This choice is in line with the research content, which focuses on the neurodevelopmental consequences associated with ASD. The experimental protocol was approved by the Juntendo University Center for Biomedical Resources (approval no. 1231; Tokyo, Japan). The experimental procedure, including sodium fluoride exposure, behavioral testing, and euthanasia/brain collection, for the F0 and F1 mice is shown in Fig. 1.
Table IInformation of F0 mice (weight, food, water, and number of births). Data represents the mean ± SEM (n=3) for body weight, food, and water intake, and the number of births represents the sum of each group. |
Behavioral characteristics of developmental disorders were evaluated in 8-week-old male mice (n=10 for each of the control, 15 ppm F, and 30 ppm F groups) using the four behavioral tests described below. These behaviors were automatically recorded using a CCD camera and DVTrack Video Tracking System (Compact VAS/DV; Muromachi Kikai Co., Ltd.). In addition, behaviors in the Barnes maze (BM) were assessed visually after recording. To avoid interference between tests, each set of apparatus was washed with 70% ethyl alcohol after each test.
Voluntary behavior was evaluated using a Y-maze (Muromachi Kikai Co). The Y-maze apparatus was made of gray polyvinyl chloride and consisted of three arms, with 120˚ angles between adjacent arms. Each arm was 4x41.5x10 cm [width (W) x length (L) x height (H)] in size. The spontaneous alternation rate and spontaneous locomotor activity (locomotor activity) were measured over 8 min.
Anxiety-like behavior was evaluated using an EPM (Panlab, S.L., Harvard Apparatus). The apparatus was made of methacrylic resin and aluminum, with black floors and gray walls. The EPM was placed 45 cm above the floor and consisted of open and closed arms, each of size 6x29.5 cm [W x depth], with an H of 15 cm for the open arm. The number of entries into the open arm and the time spent in the open arm were measured over 8 min.
Hippocampus-dependent spatial learning and memory were evaluated using a BM (Panlab, S.L.). The BM consisted of boxes, a white circular platform (92 cm in diameter) placed 90 cm above the ground, with 20 equally-spaced holes of 5 cm in diameter through which fake target boxes and a single black escape box could be accessed. The latter served as the goal throughout the training period and memory test. The training consisted of five trials of 1 min per day for 5 consecutive days, during which the time taken to reach the escape box (latency) and the number of errors made were measured. On the sixth day, a 1-min test was performed to evaluate memory retention.
Exploratory and anxiety-like behaviors were evaluated using an OFT (Muromachi Kikai Co.). It was made of gray polyvinyl chloride, was 50x50 cm in size, and had walls 40 cm high. The distance traveled (cm), the traveling time (sec), the time spent in the central zone (s), the mean speed (cm/sec), and the grooming frequency were measured over 15 min. Several visible objects were placed in plain sight of the mouse to cue spatial learning.
At the end of the behavioral study (at 10 weeks of age), male F1 mice were euthanized by cervical dislocation, and their brains were collected. The brains were then divided into the cerebellum, midbrain, and hippocampus and stored at -80˚C. The cerebellum, midbrain, and hippocampus masses were measured, then these components were homogenized in a 10-mM hydrochloric acid solution and diluted to a final concentration of 0.25 g/ml and centrifuged at 10,000 x g for 5 min, then the supernatants were collected. After pretreatment, the cerebellum, midbrain and hippocampus were analyzed for their glycine (Gly; pmol/g), gamma-aminobutyric acid (GABA; pmol/g), glutamic acid (Glu; pmol/g), tryptophan (Trp; nmol/g), tyrosine (Tyr; nmol/g), homovanillic acid (HVA; pmol/g), 5-hydroxytryptamine (5-HT; pmol/g), 3,4-dihydroxyphenylacetic acid (DOPAC; pmol/g), dopamine (DA; pmol/g) and noradrenaline (NA; pmol/g) contents using liquid chromatography-mass spectrometry (LC-MS/MS). LC-MS/MS analyses were conducted using an LCMS-8045 mass spectrometer equipped with a Nexera UHPLC and a SIL-30AC autosampler (Shimadzu Corporation). Chromatographic separation was achieved using a SunShell C18 column (2.1x150 mm, 2.6-µm particles; ChromaNik Technologies, Inc.) fitted with a SecurityGuard Ultra C18 (2.1x2 mm, 2-µm particles; Phenomenex; https://www.phenomenex.com/) guard column. The mobile phase consisted of 10 mM ammonium formate buffer (pH 3.6) and acetonitrile. The total assay time was 25 min and the following multistep gradient was used: 0-5 min, 15-80% B (linear gradient); 5-10 min, 80-95% B (linear gradient); 10-20 min, 95% B (isocratic); 20-20.1 min, 95-15% B (linear gradient); 20.1-25 min, 15% B (isocratic). The mobile phase flow rate was 0.2 ml/min, the column temperature was 40˚C, and the injection volume was 5 µl. Electrospray ionization was employed in both positive and negative ion modes, and selective reaction monitoring was used for analyte quantification. The interface voltage was set at 4.0 kV. Drying and nebulizing gases were supplied at flow rates of 10.0 and 3.0 l/min, respectively. The temperature was set to 250˚C, and the heat block temperature was set at 400˚C (23) (Fig. 2).
The Shapiro-Wilk test was used to assess the normality of each dataset. For normally distributed continuous data, one-way analysis of variance (ANOVA) was used to compare the mean values of groups, and if a significant difference was detected, the Tukey-Kramer post hoc test was used to identify specific differences. For variables that were not normally distributed, the Kruskal-Wallis test was used to compare the three groups, and following the identification of a significant result, pairwise comparisons were conducted using the Dunn-Bonferroni post hoc test. The significance level (α) was set at 0.05, and P-values for the post hoc tests were adjusted using the Bonferroni correction to account for multiple comparisons. Spearman's rank correlation coefficients were calculated to assess the relationships between behavioral test results and the levels of neurotransmitters. No prior sample size calculation was performed, but a post hoc power analysis was conducted to evaluate the ability of the analysis to detect differences in the mean values obtained for each behavioral test of groups of 10 mice. This analysis indicated a statistical power of 1-β=0.22, assuming an effect size of f=0.30 and a significance level of α=0.05. All statistical analyses were conducted using SPSS version 29 (IBM Corp.).
Data confirmed normal distribution (P<0.05). At weaning (3 weeks old), the body masses were 21.7±0.8 g for the control group (n=10), 20.9±0.6 for the 15-ppm group (n=10), and 15.5±0.8 for the 30-ppm group (n=10). That of the 30-ppm group was significantly lower than those of the control and 15-ppm groups (P<0.001). Before euthanasia (10 weeks old), the body masses of the mice were as follows: control group, 40.8±0.8 g; 15-ppm group, 42.8±0.4 g; and 30-ppm group, 41.2±2.8 g; with no significant differences.
Data confirmed normal distribution (P<0.05). The Y-maze, EPM and OFT results are shown in Fig. 3A-I. There were no significant differences between the F-exposure and control groups in the Y-maze (Fig. 3A and B) or in the EPM (Fig. 3C and D). In the OFT, there were significantly higher grooming frequencies in the 15 and 30-ppm groups than in the control group (Fig. 3I). However, there were no significant differences in the other parameters associated with the OFT (Fig. 3E-H). The results of the BM analysis are shown in Fig. 4A-D. During the 5-day training period, the 15 and 30-ppm groups showed significantly longer latencies and more errors than the control group (Fig. 4A and B). In the test, the 15 and 30-ppm groups also exhibited significantly longer latencies and more errors (Fig. 4C and D).
Levels of neurotransmitters have been measured as indicators of developmental disorders; therefore, neurotransmitters were also measured (Table II). The levels of Gly, Glu, Trp and Tyr in the cerebellum; Gly, HVA, NA and DA in the midbrain; and Gly and HVA in the hippocampus showed a normal distribution (P<0.05). Therefore, ANOVA was performed, followed by the Tukey-Kramer test as a post hoc analysis. On the other hand, the Kruskal-Wallis test was used for GABA, HVA, 5-HT and NA in the cerebellum; GABA, Glu, Trp, Tyr, Dopac, 5-HT and NA in the midbrain' GABA, Glu, Trp, Tyr, Dopac, 5-HT and NA in the hippocampus; and DA, as normality was not observed (P>0.05). For post hoc analysis, the Dunn-Bonferroni test was performed to determine significant differences between groups whereas the Kruskal-Wallis test yielded statistically significant results. The cerebellar Glu was significantly lower in the 15 and 30 ppm groups compared with the control group (P<0.01).
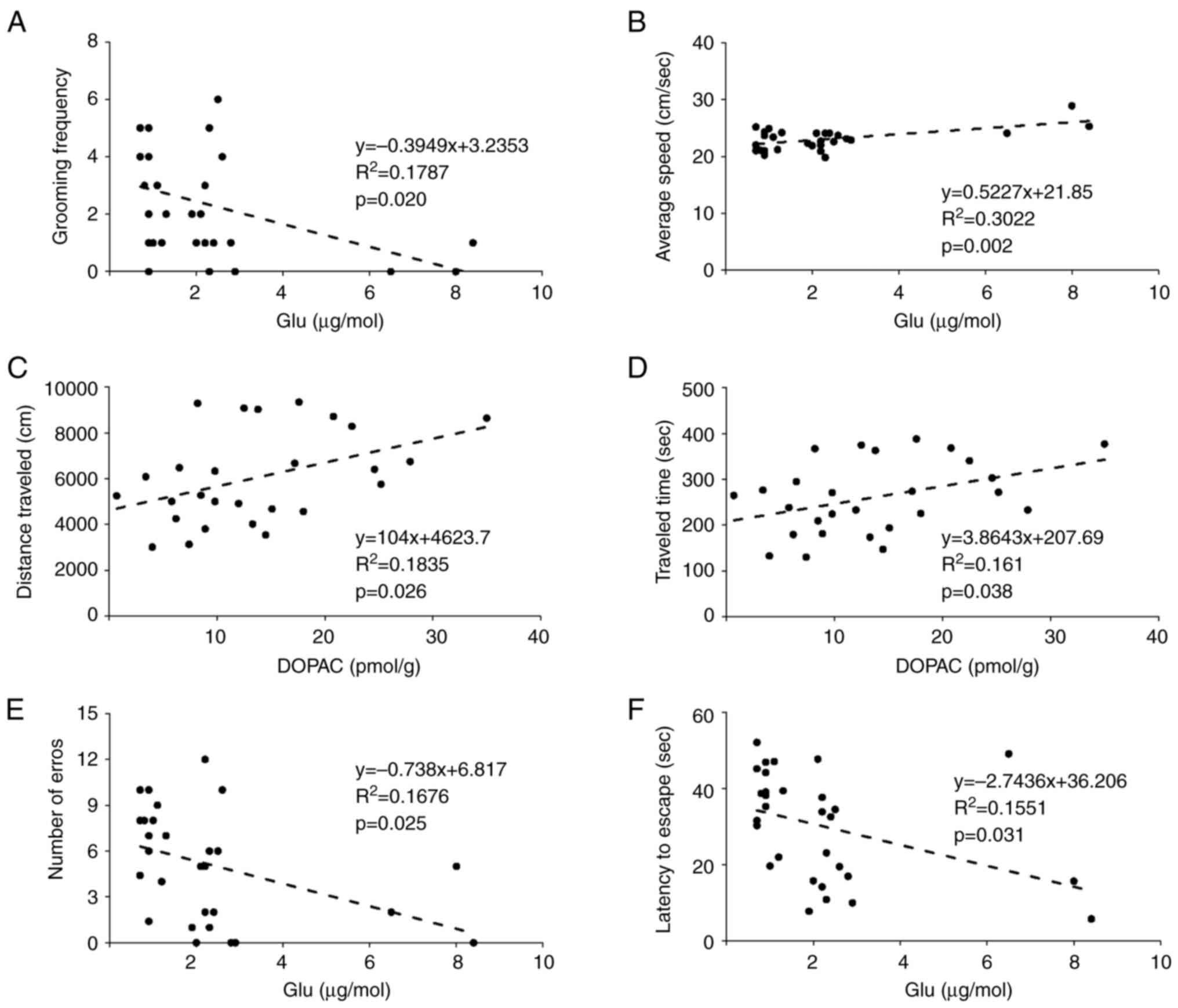
Although the mechanisms of ASD are not fully understood, human studies have reported decrease in the neurotransmitters 5-HT, DA (24), Glu and GABA (25). In addition, it has been reported that the effects of sodium fluoride exposure on the behavior of experimental animals and humans include a decrease in cognitive function (26,27), anxiety-like and depressive behavior (28). If ASD-like behavior is being observed, it was considered that it might be related to neurotransmitters; thus the relationship between the two was calculated. The characteristics of ASD include delayed social interaction, communication and repetitive behaviors. In addition, it has been reported that the levels of the following neurotransmitters in the brain are decreased with ASD: 5-HT (abnormal control of emotions and social behavior), Glu (excitatory neurotransmitter) (24), GABA (inhibitory neurotransmitter) and DA (abnormal reward processing) (25). If F-exposure is a factor in the development of ASD, it was considered that there may be abnormalities in neurotransmitters related to behavior, therefore both behavior and neurotransmitters were analyzed. Therefore, the effects of sodium fluoride exposure on behavior and neurotransmitters were investigated using experimental animals during the fetal period. As a result, it was found that exposure to sodium fluoride affects behavior tests and neurotransmitters in the brain. Neurotransmitters are chemicals that transmit information in the brain, and are therefore involved in a variety of behaviors. The identification of the effects of sodium fluoride exposure on behavior (for example, memory, learning, anxiety-like behavior) and levels of neurotransmitters provoked us to perform correlation analysis to determine the extent to which these parameters were related. The correlations between the levels of cerebellar neurotransmitters and behavioral test outcomes are demonstrated in Fig. 5. There was a negative correlation between grooming frequency in the OFT and the Glu concentration (Fig. 5A). There were also positive correlations between the mean speed and the Glu concentration (Fig. 5B); the distance traveled (Fig. 5C) and the traveling time (Fig. 5D) during the OFT with the DOPAC concentration. For the BM, there were significant negative correlations of the number of errors (Fig. 5E) and the latency (Fig. 5F) with the Glu concentration. The correlations between the levels of neurotransmitters in the midbrain and the behavioral test outcomes are shown in Fig. 6. In the OFT, there were significant positive correlations of mean speed with the NA (Fig. 6A) and DOPAC (Fig. 6B) concentrations. In the BM, there was a negative correlation between the number of errors and the NA concentration (Fig. 6C). The correlations between the levels of hippocampal neurotransmitters and the behavioral test outcomes are shown in Fig. 7. In the Y-maze, there was a positive correlation between the 5-HT concentration and locomotor activity (Fig. 7A). In addition, in the OFT, there was a positive correlation between the NA concentration and average speed (Fig. 7B).
At present, there is particular concern about the possibility of damage to the central nervous system being caused by excitotoxicity resulting from exposure to F (29). However, the mechanisms underlying the relationship between exposure to F and brain dysfunction remain unclear. In the present study, it was aimed to determine whether exposure to sodium fluoride in utero causes subsequent brain dysfunction, such as ASD. To this end, an experiment was conducted in mice to characterize the relationships between exposure to sodium fluoride in utero and subsequently, the behavior of the mice in adulthood, and the neurotransmitters that determine such behavior. Behavioral testing is an important means of evaluating neurobiological function, but these tests are known to be susceptible to individual differences, environmental factors and stress, and therefore can yield variable results (30). For this reason, it can be difficult to accurately assess neurophysiologic changes and the underlying molecular mechanisms using behavioral testing alone. The use of a combination of behavioral testing and neurotransmitter measurements makes it possible to identify the neurobiological mechanisms underlying the observed behavior and correct for the variability in behavioral test outcomes (31,32). This combination provides multilayered information that cannot be obtained from a single behavioral test and improves the reproducibility of findings (33). The main causes of brain dysfunction, including ASD, are considered to involve complex interactions of genetic and environmental factors (34,35). The characteristics of ASD include delayed social interaction, communication and repetitive behaviors (36). In addition, it has been reported that the levels of the following neurotransmitters in the brain are decreased with ASD: 5-HT (abnormal control of emotions and social behavior), Glu (excitatory neurotransmitter), GABA (inhibitory neurotransmitter) and DA (abnormal reward processing) (24). If F exposure is a factor in the development of ASD, then there may be abnormalities in the neurotransmitters that are related to behavior. It was found that low Glu concentrations in the cerebella of the mice were associated with more anxiety-like behavior, less locomotor activity and poorer cognitive function (Fig. 5A, B, E and F). The cerebellum has neural circuits that connect to the amygdala and prefrontal cortex, and it is considered that it affects emotion and anxiety through interactions with these regions (37,38). Glu is an excitatory neurotransmitter and mediates signal transmission to the deep cerebellar nuclei. The low Glu concentration may have reduced the transmission of information from the cerebellum to the prefrontal cortex and amygdala, thereby affecting emotion, cognitive function and locomotor activity (39,40). In addition, Glu contributes to synaptic plasticity, such as long-term potentiation and long-term depression, and it has been reported that a low Glu concentration inhibits these processes, leading to poorer learning and adaptive behavior (41,42). In ASD and schizophrenia, abnormalities in the cerebellum have been reported to cause anxiety and emotional instability (43). The results of the present and previous studies suggest that the cerebellum plays important roles, not only in locomotor activity, but also in the control of anxiety and emotion. In addition, it was found that the lower the DOPAC concentration in the cerebellum is, the more impaired the locomotor activity is (Fig. 5C and D). However, further investigation is needed regarding the lower locomotor activity associated with a low DOPAC concentration, because there have been no studies to date regarding low DOPAC concentrations in the cerebellum.
It was found that low concentrations of NE and DOPAC in the midbrain were associated with poorer motor function (Fig. 6A and B). It has previously been reported that low NE and DA concentrations in the midbrain, as well as low concentrations of their metabolites, such as DOPAC, are associated with poorer locomotor activity (44). Furthermore, low NA concentrations in the midbrain have been shown to be associated with a larger number of errors in the BM (Fig. 6C). Furthermore, low NA concentrations in the midbrain, and particularly in the locus coeruleus (LC), are associated with impaired memory and cognitive function (45). The LC is the main source of norepinephrine in the brain and plays an important role in the regulation of various cognitive processes (46,47). In the present study, the correlations obtained between locomotor activity and levels of neurotransmitter concentrations suggested that poor locomotor activity may be the result of low concentrations of 5-HT and NA (Fig. 7A and B). This suggests that the concentrations of 5-HT and NA, which are involved in emotion and cognitive function, may also contribute to motor control. The effects of 5-HT on emotion and cognitive function have been widely reported, and it is considered that these may also affect locomotor activity (48,49). NA has been reported to promote neurogenesis and synaptic plasticity in the hippocampus (50,51), and there have also been reports that hippocampal neurogenesis is related to motor learning (52). Thus, the present results suggest that low hippocampal concentrations of 5-HT and NA may indirectly affect locomotor activity via cognition and emotion. Correlation analysis of the relationships between the levels of neurotransmitters and behavioral data generated relatively weak correlations (the R² values were mostly <0.3). For correlation coefficients <0.3, the statement ‘a trend was indicated’ is used because it is a weak correlation. Indeed, a single neurotransmitter does not determine behavior, but instead interacts with other neurotransmitters, hormones, environmental factors, learning experiences and genetics to function in this way (53). Individual differences, environmental conditions, technical errors in the measurement of behavioral parameters, and the levels of neurotransmitters may have weakened these correlations (54). In the future, it will be necessary to construct more precise models and evaluate the interactions between neurotransmitters and behavior, considering multiple variables. In addition, the current research results showed that chronic exposure of the fetus to sodium fluoride caused weight loss after weaning. In a study in which pregnant rats were exposed to F, it was reported that F passed through the placental barrier and accumulated in the amniotic fluid and fetal plasma, that the osmotic pressure of the amniotic fluid decreased on day 20 of gestation, and that the rate of delayed fetal development was high in F0 fetuses (55). It has been suggested that F1s after weaning may decrease in weight because of F exposure to fetal development (55). However, the mechanism remains unknown.
Not applicable.
Funding: The present study was supported by MEXT KAKENHI (grant no. JP19K07808).
The data generated in the present study may be requested from the corresponding author.
MH conceptualized the study, developed methodology, conducted investigation, wrote the original draft and acquired funding. YI conducted investigation, and wrote, reviewed and edited the manuscript. AS and TT wrote, reviewed and edited the manuscript, supervised the study, and confirm the authenticity of all the raw data. All authors read and approved the final version of the manuscript.
The animal experiments were approved (approval no. 1241) by the Juntendo University Center for Biomedical Resources (Tokyo, Japan) and were performed by according to appropriate ethical standards.
Not applicable.
The authors declare that they have no competing interests.
|
Srivastava S and Flora SJS: Fluoride in drinking water and skeletal fluorosis: A Review of the global impact. Curr Environ Health Rep. 7:140–146. 2020.PubMed/NCBI View Article : Google Scholar | |
|
Strunecka A and Strunecky O: Chronic fluoride exposure and the risk of autism spectrum disorder. Int J Environ Res Public Health. 16(3431)2019.PubMed/NCBI View Article : Google Scholar | |
|
Green R, Lanphear B, Hornung R, Flora D, Martinez-Mier EA, Neufeld R, Ayotte P, Muckle G and Till C: Association between maternal fluoride exposure during pregnancy and IQ scores in offspring in Canada. JAMA Pediatr. 173:940–948. 2019.PubMed/NCBI View Article : Google Scholar | |
|
Bashash M, Marchand M, Hu H, Till C, Martinez-Mier EA, Sanchez BN, Basu N, Peterson KE, Green R, Schnaas L, et al: Prenatal fluoride exposure and attention deficit hyperactivity disorder (ADHD) symptoms in children at 6-12 years of age in Mexico City. Environ Int. 121(Pt 1):658–666. 2018.PubMed/NCBI View Article : Google Scholar | |
|
Nilsson EE, Sadler-Riggleman I and Skinner MK: Environmentally induced epigenetic transgenerational inheritance of disease. Environ Epigenet. 4(dvy016)2018.PubMed/NCBI View Article : Google Scholar | |
|
Elsabbagh M, Divan G, Koh YJ, Kim YS, Kauchali S, Marcín C, Montiel-Nava C, Patel V, Paula CS, Wang C, et al: Global prevalence of autism and other pervasive developmental disorders. Autism Res. 5:160–179. 2012.PubMed/NCBI View Article : Google Scholar | |
|
Olusanya BO, Smythe T, Ogbo FA, Nair MKC, Scher M and Davis AC: Global prevalence of developmental disabilities in children and adolescents: A systematic umbrella review. Front Public Health. 11(1122009)2023.PubMed/NCBI View Article : Google Scholar | |
|
Khairkar P, Palicarp SM, Kamble A, Alladi S, Thomas S, Bommadi R, Mohanty S, Reddy R, Jothula KY, Anupama K, et al: Outcome of systemic fluoride effects on developmental neurocognitions and psychopathology in adolescent children. Indian J Pediatr. 88(1264)2021.PubMed/NCBI View Article : Google Scholar | |
|
Kuru R, Balan G, Yilmaz S, Taslı PN, Akyuz S, Yarat A and Sahin F: The level of two trace elements in carious, non-carious, primary, and permanent teeth. Eur Oral Res. 54:77–80. 2020.PubMed/NCBI View Article : Google Scholar | |
|
Żwierełło W, Maruszewska A, Skórka-Majewicz M and Gutowska I: Fluoride in the central nervous system and its potential influence on the development and invasiveness of brain tumours-a research hypothesis. Int J Mol Sci. 24(1558)2023.PubMed/NCBI View Article : Google Scholar | |
|
Abduweli Uyghurturk D, Goin DE, Martinez-Mier EA, Woodruff TJ and DenBesten PK: Maternal and fetal exposures to fluoride during mid-gestation among pregnant women in northern California. Environ Health. 19(38)2020.PubMed/NCBI View Article : Google Scholar | |
|
Thippeswamy HM, Nanditha Kumar M, Girish M, Prashanth SN and Shanbhog R: Linear regression approach for predicting fluoride concentrations in maternal serum, urine and cord blood of pregnant women consuming fluoride containing drinking water. Clin Epidemiol Global Health. 10(100685)2021. | |
|
Bartos M, Gumilar F, Gallegos CE, Bras C, Dominguez S, Cancela LM and Minetti A: Effects of perinatal fluoride exposure on short- and long-term memory, brain antioxidant status, and glutamate metabolism of young rat pups. Int J Toxicol. 38:405–414. 2019.PubMed/NCBI View Article : Google Scholar | |
|
National Toxicology Program (NTP): NTP monograph on the state of the science concerning fluoride exposure and neurodevelopment and cognition: a systematic review. NTP, Research Triangle Park, NC, 2024. | |
|
Morabia A: Community water fluoridation: Open discussions strengthen public health. Am J Public Health. 106:209–210. 2016.PubMed/NCBI View Article : Google Scholar | |
|
McGrady MG, Ellwood RP and Pretty IA: Water fluoridation as a public health measure. Dent Update. 37:658–660, 662-664. 2010.PubMed/NCBI View Article : Google Scholar | |
|
Lu F, Zhang Y, Trivedi A, Jiang X, Chandra D, Zheng J, Nakano Y, Abduweli Uyghurturk D, Jalai R, Onur SG, et al: Fluoride related changes in behavioral outcomes may relate to increased serotonin. Physiol Behav. 206:76–83. 2019.PubMed/NCBI View Article : Google Scholar | |
|
Bittencourt LO, Dionizio A, Ferreira MKM, Aragão WAB, de Carvalho Cartágenes S, Puty B, do Socorro Ferraz Maia C, Zohoori FV, Buzalaf MAR and Lima RR: Prolonged exposure to high fluoride levels during adolescence to adulthood elicits molecular, morphological, and functional impairments in the hippocampus. Sci Rep. 13(11083)2023.PubMed/NCBI View Article : Google Scholar | |
|
Ran LY, Xiang J, Zeng XX, Tang JL, Dong YT, Zhang F, Yu WF, Qi XL, Xiao Y, Zou J, et al: Integrated transcriptomic and proteomic analysis indicated that neurotoxicity of rats with chronic fluorosis may be in mechanism involved in the changed cholinergic pathway and oxidative stress. J Trace Elem Med Biol. 64(126688)2021.PubMed/NCBI View Article : Google Scholar | |
|
Reddy YP, Tiwari S, Tomar LK, Desai N and Sharma VK: Fluoride-induced expression of neuroinflammatory markers and neurophysiological regulation in the brain of wistar rat model. Biol Trace Elem Res. 199:2621–2626. 2021.PubMed/NCBI View Article : Google Scholar | |
|
Pereira M, Dombrowski PA, Losso EM, Chioca LR, Da Cunha C and Andreatini R: Memory impairment induced by sodium fluoride is associated with changes in brain monoamine levels. Neurotox Res. 19:55–62. 2011.PubMed/NCBI View Article : Google Scholar | |
|
Zeidan J, Fombonne E, Scorah J, Ibrahim A, Durkin MS, Saxena S, Yusuf A, Shih A and Elsabbagh M: Global prevalence of autism: A systematic review update. Autism Res. 15:778–790. 2022.PubMed/NCBI View Article : Google Scholar | |
|
Iwasaki Y, Matsumoto H, Okumura M, Inoue H, Kaji Y, Ando C and Kamei J: Determination of neurotransmitters in mouse brain using miniaturized and tableted QuEChERS for the sample preparation. J Pharm Biomed Anal. 217(114809)2022.PubMed/NCBI View Article : Google Scholar | |
|
Murayama C, Iwabuchi T, Kato Y, Yokokura M, Harada T, Goto T, Tamayama T, Kameno Y, Wakuda T, Kuwabara H, et al: Extrastriatal dopamine D2/3 receptor binding, functional connectivity, and autism socio-communicational deficits: A PET and fMRI study. Mol Psychiatry. 27:2106–2113. 2022.PubMed/NCBI View Article : Google Scholar | |
|
Saleh MG, Prescot A, Chang L, Cloak C, Cunningham E, Subramaniam P, Renshaw PF, Yurgelun-Todd D, Zöllner HJ, Roberts TPL, et al: Glutamate measurements using edited MRS. Magn Reson Med. 91:1314–1322. 2024.PubMed/NCBI View Article : Google Scholar | |
|
Liu F, Ma J, Zhang H, Liu P, Liu YP, Xing B and Dang YH: Fluoride exposure during development affects both cognition and emotion in mice. Physiol Behav. 124:1–7. 2014.PubMed/NCBI View Article : Google Scholar | |
|
Fiore G, Veneri F, Di Lorenzo R, Generali L, Vinceti M and Filippini T: Fluoride exposure and ADHD: A systematic review of epidemiological studies. Medicina (Kaunas). 59(797)2023.PubMed/NCBI View Article : Google Scholar | |
|
Li X, Zhang J, Niu R, Manthari RK, Yang K and Wang J: Effect of fluoride exposure on anxiety- and depression-like behavior in mouse. Chemosphere. 215:454–460. 2019.PubMed/NCBI View Article : Google Scholar | |
|
Ottappilakkil H, Babu S, Balasubramanian S, Manoharan S and Perumal E: Fluoride induced neurobehavioral impairments in experimental animals: A brief review. Biol Trace Elem Res. 201:1214–1236. 2023.PubMed/NCBI View Article : Google Scholar | |
|
Izídio GS, Lopes DM, Spricigo L Jr and Ramos A: Common variations in the pretest environment influence genotypic comparisons in models of anxiety. Genes Brain Behav. 4:412–419. 2005.PubMed/NCBI View Article : Google Scholar | |
|
Berridge CW and Waterhouse BD: The locus coeruleus-noradrenergic system: Modulation of behavioral state and state-dependent cognitive processes. Brain Res Brain Res Rev. 42:33–84. 2003.PubMed/NCBI View Article : Google Scholar | |
|
Robinson TE and Berridge KC: Review. The incentive sensitization theory of addiction: Some current issues. Philos Trans R Soc Lond B Biol Sci. 363:3137–3146. 2008.PubMed/NCBI View Article : Google Scholar | |
|
McCall C and Singer T: The animal and human neuroendocrinology of social cognition, motivation and behavior. Nat Neurosci. 15:681–688. 2012.PubMed/NCBI View Article : Google Scholar | |
|
Lord C, Elsabbagh M, Baird G and Veenstra-Vanderweele J: Autism spectrum disorder. Lancet. 392:508–520. 2018.PubMed/NCBI View Article : Google Scholar | |
|
Landrigan PJ: What causes autism? Exploring the environmental contribution. Curr Opin Pediatr. 22:219–225. 2010.PubMed/NCBI View Article : Google Scholar | |
|
Hodges H, Fealko C and Soares N: Autism spectrum disorder: Definition, epidemiology, causes, and clinical evaluation. Transl Pediatr. 9 (Suppl 1):S55–S65. 2020.PubMed/NCBI View Article : Google Scholar | |
|
Eden AS, Schreiber J, Anwander A, Keuper K, Laeger I, Zwanzger P, Zwitserlood P, Kugel H and Dobel C: Emotion regulation and trait anxiety are predicted by the microstructure of fibers between amygdala and prefrontal cortex. J Neurosci. 35:6020–6027. 2015.PubMed/NCBI View Article : Google Scholar | |
|
Gold AL, Shechner T, Farber MJ, Spiro CN, Leibenluft E, Pine DS and Britton JC: Amygdala-cortical connectivity: Associations with anxiety, development, and threat. Depress Anxiety. 33:917–926. 2016.PubMed/NCBI View Article : Google Scholar | |
|
Rudolph S, Badura A, Lutzu S, Pathak SS, Thieme A, Verpeut JL, Wagner MJ, Yang YM and Fioravante D: Cognitive-affective functions of the cerebellum. J Neurosci. 43:7554–7564. 2023.PubMed/NCBI View Article : Google Scholar | |
|
Pal MM: Glutamate: The master neurotransmitter and its implications in chronic stress and mood disorders. Front Hum Neurosci. 15(722323)2021.PubMed/NCBI View Article : Google Scholar | |
|
An L and Sun W: Prenatal melamine exposure impairs spatial cognition and hippocampal synaptic plasticity by presynaptic and postsynaptic inhibition of glutamatergic transmission in adolescent offspring. Toxicol Lett. 269:55–64. 2017.PubMed/NCBI View Article : Google Scholar | |
|
Fendt M, Imobersteg S, Peterlik D, Chaperon F, Mattes C, Wittmann C, Olpe HR, Mosbacher J, Vranesic I, van der Putten H, et al: Differential roles of mGlu(7) and mGlu(8) in amygdala-dependent behavior and physiology. Neuropharmacology. 72:215–223. 2013.PubMed/NCBI View Article : Google Scholar | |
|
Mapelli L, Soda T, D'Angelo E and Prestori F: The cerebellar involvement in autism spectrum disorders: From the social brain to mouse models. Int J Mol Sci. 23(3894)2022.PubMed/NCBI View Article : Google Scholar | |
|
Cramb KML, Beccano-Kelly D, Cragg SJ and Wade-Martins R: Impaired dopamine release in Parkinson's disease. Brain. 146:3117–3132. 2023.PubMed/NCBI View Article : Google Scholar | |
|
Chen Y, Chen T and Hou R: Locus coeruleus in the pathogenesis of Alzheimer's disease: A systematic review. Alzheimers Dement (N Y). 8(e12257)2022.PubMed/NCBI View Article : Google Scholar | |
|
Borodovitsyna O, Flamini M and Chandler D: Noradrenergic modulation of cognition in health and disease. Neural Plast. 2017(6031478)2017.PubMed/NCBI View Article : Google Scholar | |
|
Sara SJ: The locus coeruleus and noradrenergic modulation of cognition. Nat Rev Neurosci. 10:211–223. 2009.PubMed/NCBI View Article : Google Scholar | |
|
Jenkins TA, Nguyen JC, Polglaze KE and Bertrand PP: Influence of tryptophan and serotonin on mood and cognition with a possible role of the gut-brain axis. Nutrients. 8(56)2016.PubMed/NCBI View Article : Google Scholar | |
|
Thorstensen JR, Henderson TT and Kavanagh JJ: Serotonergic and noradrenergic contributions to motor cortical and spinal motoneuronal excitability in humans. Neuropharmacology. 242(109761)2024.PubMed/NCBI View Article : Google Scholar | |
|
Brown PL, Shepard PD, Elmer GI, Stockman S, McFarland R, Mayo CL, Cadet JL, Krasnova IN, Greenwald M, Schoonover C and Vogel MW: Altered spatial learning, cortical plasticity and hippocampal anatomy in a neurodevelopmental model of schizophrenia-related endophenotypes. Eur J Neurosci. 36:2773–2781. 2012.PubMed/NCBI View Article : Google Scholar | |
|
Pae CU, Marks DM, Han C, Patkar AA and Steffens D: Does neurotropin-3 have a therapeutic implication in major depression? Int J Neurosci. 118:1515–1522. 2008.PubMed/NCBI View Article : Google Scholar | |
|
Hong SM, Liu Z, Fan Y, Neumann M, Won SJ, Lac D, Lum X, Weinstein PR and Liu J: Reduced hippocampal neurogenesis and skill reaching performance in adult Emx1 mutant mice. Exp Neurol. 206:24–32. 2007.PubMed/NCBI View Article : Google Scholar | |
|
Richards SEV and Van Hooser SD: Neural architecture: From cells to circuits. J Neurophysiol. 120:854–866. 2018.PubMed/NCBI View Article : Google Scholar | |
|
Institute of Medicine Committee on Assessing Interactions Among Social B and Genetic Factors in H: The National Academies Collection: Reports funded by National Institutes of Health. In: Genes, behavior, and the social environment: Moving beyond the nature/nurture debate. Hernandez LM and Blazer DG (eds). National Academies Press (US), National Academy of Sciences, Washington (DC), 2006. | |
|
Rodriguez PJ, Goodwin Cartwright BM, Gratzl S, Brar R, Baker C, Gluckman TJ and Stucky NL: Semaglutide vs tirzepatide for weight loss in adults with overweight or obesity. JAMA Intern Med. 184:1056–1064. 2024.PubMed/NCBI View Article : Google Scholar |