Spandidos Publications Logo
  • About
    • About Spandidos
    • Aims and Scopes
    • Abstracting and Indexing
    • Editorial Policies
    • Reprints and Permissions
    • Job Opportunities
    • Terms and Conditions
    • Contact
  • Journals
    • All Journals
    • Oncology Letters
      • Oncology Letters
      • Information for Authors
      • Editorial Policies
      • Editorial Board
      • Aims and Scope
      • Abstracting and Indexing
      • Bibliographic Information
      • Archive
    • International Journal of Oncology
      • International Journal of Oncology
      • Information for Authors
      • Editorial Policies
      • Editorial Board
      • Aims and Scope
      • Abstracting and Indexing
      • Bibliographic Information
      • Archive
    • Molecular and Clinical Oncology
      • Molecular and Clinical Oncology
      • Information for Authors
      • Editorial Policies
      • Editorial Board
      • Aims and Scope
      • Abstracting and Indexing
      • Bibliographic Information
      • Archive
    • Experimental and Therapeutic Medicine
      • Experimental and Therapeutic Medicine
      • Information for Authors
      • Editorial Policies
      • Editorial Board
      • Aims and Scope
      • Abstracting and Indexing
      • Bibliographic Information
      • Archive
    • International Journal of Molecular Medicine
      • International Journal of Molecular Medicine
      • Information for Authors
      • Editorial Policies
      • Editorial Board
      • Aims and Scope
      • Abstracting and Indexing
      • Bibliographic Information
      • Archive
    • Biomedical Reports
      • Biomedical Reports
      • Information for Authors
      • Editorial Policies
      • Editorial Board
      • Aims and Scope
      • Abstracting and Indexing
      • Bibliographic Information
      • Archive
    • Oncology Reports
      • Oncology Reports
      • Information for Authors
      • Editorial Policies
      • Editorial Board
      • Aims and Scope
      • Abstracting and Indexing
      • Bibliographic Information
      • Archive
    • Molecular Medicine Reports
      • Molecular Medicine Reports
      • Information for Authors
      • Editorial Policies
      • Editorial Board
      • Aims and Scope
      • Abstracting and Indexing
      • Bibliographic Information
      • Archive
    • World Academy of Sciences Journal
      • World Academy of Sciences Journal
      • Information for Authors
      • Editorial Policies
      • Editorial Board
      • Aims and Scope
      • Abstracting and Indexing
      • Bibliographic Information
      • Archive
    • International Journal of Functional Nutrition
      • International Journal of Functional Nutrition
      • Information for Authors
      • Editorial Policies
      • Editorial Board
      • Aims and Scope
      • Abstracting and Indexing
      • Bibliographic Information
      • Archive
    • International Journal of Epigenetics
      • International Journal of Epigenetics
      • Information for Authors
      • Editorial Policies
      • Editorial Board
      • Aims and Scope
      • Abstracting and Indexing
      • Bibliographic Information
      • Archive
    • Medicine International
      • Medicine International
      • Information for Authors
      • Editorial Policies
      • Editorial Board
      • Aims and Scope
      • Abstracting and Indexing
      • Bibliographic Information
      • Archive
  • Articles
  • Information
    • Information for Authors
    • Information for Reviewers
    • Information for Librarians
    • Information for Advertisers
    • Conferences
  • Language Editing
Spandidos Publications Logo
  • About
    • About Spandidos
    • Aims and Scopes
    • Abstracting and Indexing
    • Editorial Policies
    • Reprints and Permissions
    • Job Opportunities
    • Terms and Conditions
    • Contact
  • Journals
    • All Journals
    • Biomedical Reports
      • Information for Authors
      • Editorial Policies
      • Editorial Board
      • Aims and Scope
      • Abstracting and Indexing
      • Bibliographic Information
      • Archive
    • Experimental and Therapeutic Medicine
      • Information for Authors
      • Editorial Policies
      • Editorial Board
      • Aims and Scope
      • Abstracting and Indexing
      • Bibliographic Information
      • Archive
    • International Journal of Epigenetics
      • Information for Authors
      • Editorial Policies
      • Editorial Board
      • Aims and Scope
      • Abstracting and Indexing
      • Bibliographic Information
      • Archive
    • International Journal of Functional Nutrition
      • Information for Authors
      • Editorial Policies
      • Editorial Board
      • Aims and Scope
      • Abstracting and Indexing
      • Bibliographic Information
      • Archive
    • International Journal of Molecular Medicine
      • Information for Authors
      • Editorial Policies
      • Editorial Board
      • Aims and Scope
      • Abstracting and Indexing
      • Bibliographic Information
      • Archive
    • International Journal of Oncology
      • Information for Authors
      • Editorial Policies
      • Editorial Board
      • Aims and Scope
      • Abstracting and Indexing
      • Bibliographic Information
      • Archive
    • Medicine International
      • Information for Authors
      • Editorial Policies
      • Editorial Board
      • Aims and Scope
      • Abstracting and Indexing
      • Bibliographic Information
      • Archive
    • Molecular and Clinical Oncology
      • Information for Authors
      • Editorial Policies
      • Editorial Board
      • Aims and Scope
      • Abstracting and Indexing
      • Bibliographic Information
      • Archive
    • Molecular Medicine Reports
      • Information for Authors
      • Editorial Policies
      • Editorial Board
      • Aims and Scope
      • Abstracting and Indexing
      • Bibliographic Information
      • Archive
    • Oncology Letters
      • Information for Authors
      • Editorial Policies
      • Editorial Board
      • Aims and Scope
      • Abstracting and Indexing
      • Bibliographic Information
      • Archive
    • Oncology Reports
      • Information for Authors
      • Editorial Policies
      • Editorial Board
      • Aims and Scope
      • Abstracting and Indexing
      • Bibliographic Information
      • Archive
    • World Academy of Sciences Journal
      • Information for Authors
      • Editorial Policies
      • Editorial Board
      • Aims and Scope
      • Abstracting and Indexing
      • Bibliographic Information
      • Archive
  • Articles
  • Information
    • For Authors
    • For Reviewers
    • For Librarians
    • For Advertisers
    • Conferences
  • Language Editing
Login Register Submit
  • This site uses cookies
  • You can change your cookie settings at any time by following the instructions in our Cookie Policy. To find out more, you may read our Privacy Policy.

    I agree
Search articles by DOI, keyword, author or affiliation
Search
Advanced Search
presentation
Biomedical Reports
Join Editorial Board Propose a Special Issue
Print ISSN: 2049-9434 Online ISSN: 2049-9442
Journal Cover
May-2025 Volume 22 Issue 5

Full Size Image

Sign up for eToc alerts
Recommend to Library

Journals

International Journal of Molecular Medicine

International Journal of Molecular Medicine

International Journal of Molecular Medicine is an international journal devoted to molecular mechanisms of human disease.

International Journal of Oncology

International Journal of Oncology

International Journal of Oncology is an international journal devoted to oncology research and cancer treatment.

Molecular Medicine Reports

Molecular Medicine Reports

Covers molecular medicine topics such as pharmacology, pathology, genetics, neuroscience, infectious diseases, molecular cardiology, and molecular surgery.

Oncology Reports

Oncology Reports

Oncology Reports is an international journal devoted to fundamental and applied research in Oncology.

Experimental and Therapeutic Medicine

Experimental and Therapeutic Medicine

Experimental and Therapeutic Medicine is an international journal devoted to laboratory and clinical medicine.

Oncology Letters

Oncology Letters

Oncology Letters is an international journal devoted to Experimental and Clinical Oncology.

Biomedical Reports

Biomedical Reports

Explores a wide range of biological and medical fields, including pharmacology, genetics, microbiology, neuroscience, and molecular cardiology.

Molecular and Clinical Oncology

Molecular and Clinical Oncology

International journal addressing all aspects of oncology research, from tumorigenesis and oncogenes to chemotherapy and metastasis.

World Academy of Sciences Journal

World Academy of Sciences Journal

Multidisciplinary open-access journal spanning biochemistry, genetics, neuroscience, environmental health, and synthetic biology.

International Journal of Functional Nutrition

International Journal of Functional Nutrition

Open-access journal combining biochemistry, pharmacology, immunology, and genetics to advance health through functional nutrition.

International Journal of Epigenetics

International Journal of Epigenetics

Publishes open-access research on using epigenetics to advance understanding and treatment of human disease.

Medicine International

Medicine International

An International Open Access Journal Devoted to General Medicine.

Journal Cover
May-2025 Volume 22 Issue 5

Full Size Image

Sign up for eToc alerts
Recommend to Library

  • Article
  • Citations
    • Cite This Article
    • Download Citation
    • Create Citation Alert
    • Remove Citation Alert
    • Cited By
  • Similar Articles
    • Related Articles (in Spandidos Publications)
    • Similar Articles (Google Scholar)
    • Similar Articles (PubMed)
  • Download PDF
  • Download XML
  • View XML
Article Open Access

Serum soluble Tim‑3 is elevated in patients with cervical cancer and is higher in advanced clinical stages

  • Authors:
    • Ileana Conde‑Rodríguez
    • Silvia Pérez‑Picazo
    • Víctor Javier Vázquez‑Zamora
    • Julio Reyes‑Leyva
    • Verónica Vallejo‑Ruiz
  • View Affiliations / Copyright

    Affiliations: Eastern Biomedical Research Center, Mexican Institute of Social Security, Atlixco, Puebla 72760, Mexico, High Specialty Medical Unit, Mexican Institute of Social Security, Puebla, Puebla 72000, Mexico, Faculty of Chemical Sciences, Autonomous University of Puebla, Puebla, Puebla 72592, Mexico
    Copyright: © Conde‑Rodríguez et al. This is an open access article distributed under the terms of Creative Commons Attribution License.
  • Article Number: 90
    |
    Published online on: March 20, 2025
       https://doi.org/10.3892/br.2025.1968
  • Expand metrics +
Metrics: Total Views: 0 (Spandidos Publications: | PMC Statistics: )
Metrics: Total PDF Downloads: 0 (Spandidos Publications: | PMC Statistics: )
Cited By (CrossRef): 0 citations Loading Articles...

This article is mentioned in:



Abstract

T‑cell immunoglobulin and mucin domain‑­containing protein‑3 (Tim‑3) is an immune checkpoint molecule that is expressed generally on the cell membrane of immune and cancer cells and is implicated as a negative regulator of anti‑tumour immune responses; this occurs through the interaction of Tim‑3 with galectin‑9. Although the function of membrane Tim‑3 is well known, the role of soluble Tim‑3 (sTim‑3) has been poorly explored. The aim of the present study was to compare the serum levels of sTim‑3 in the cervical cancer group of patients vs. the control group, to determine the association between the serum levels of sTim‑3 with the clinicopathological characteristics of patients with cervical cancer and with serum galectin‑9 levels. The concentrations of serum sTim‑3 and galectin‑9 were determined using ELISA. A receiver operating characteristic (ROC) curve was performed to determine the diagnostic value of sTim‑3. The Mann‑Whitney and Kruskall‑Wallis tests were used to compare the serum sTim‑3 concentrations between the control and cervical cancer groups and among the clinical subgroups. The association between the concentrations of sTim‑3 and galectin‑9 was determined using Spearman's rank correlation coefficient. sTim‑3 expression was higher in patients with cervical cancer compared with control patients. The ROC curve revealed that sTim‑3 has diagnostic potential, with a specificity of 95% and a sensitivity of 85.19%. sTim‑3 was higher in patients with International Federation of Gynaecology and Obstetrics (FIGO) stage IV compared with those with FIGO stages I, II and III. A moderate positive correlation (ρ=0.41) was identified between sTim‑3 and galectin‑9. This was the first report of changes in the serum concentrations of sTim‑3 in patients with cervical cancer and their diagnostic value. The association between sTim‑3 with cervical cancer progression, and the positive correlation between the serum concentrations of sTim‑3 and galectin‑9 suggested that both proteins might be involved in the immune dysregulation in cervical cancer, but this requires further exploration.

Introduction

Cervical cancer is the fourth most common cancer in women worldwide, and most cases occur in low- and middle-income countries (1). Prophylactic vaccination significantly reduces the risk of cervical cancer development, and regular screening through Pap test and human papillomavirus detection enable early diagnosis by detecting premalignant lesions or early stages of cervical cancer (2). In México, cervical cancer is the second leading cause of cancer mortality in women, which suggests that, despite the available screening methods, cervical cancer remains a public health problem (3). There are three known histological types of cervical cancer: Squamous cell carcinoma (SCC), adenocarcinoma (AC) and adenosquamous carcinoma (ASC), with SCC and AC being the most prevalent (4). To determine the prognostic outcome and treatment schemes, oncologists consider the clinical stage of cervical cancer, which is determined according to the criteria of the International Federation of Gynaecology and Obstetrics (FIGO) (5). For patients with early stages of cervical cancer, the treatment is surgery, while for patients with locally advanced cervical cancer, the treatment is concomitant chemoradiotherapy (2). For patients with recurrent cervical cancer, different therapeutic strategies have been developed, including immune checkpoint inhibitors and DNA damage repair inhibitors (6). The anti-programmed death 1 (PD-1) monoclonal antibody pembrolizumab was the first immunotherapy strategy approved by the US Food and Drug Administration for recurrent or metastatic cervical cancer (6).

The immune system plays crucial roles in both cancer control and development. It has been demonstrated that immune checkpoint proteins that are involved in the negative regulation of the immune response are linked to evasion mechanisms in cancer (7). Exhausted T cells that are unable to eliminate cancer cells overexpress certain immune checkpoints, such as PD-1, cytotoxic T-lymphocyte-associated antigen-4 (CTLA-4), lymphocyte activation gene-3 (LAG-3) and T-cell immunoglobulin and mucin domain-containing protein-3 (Tim-3) (7).

Tim-3 is normally expressed on the membrane of several immune cells, including T cells. The binding of Tim-3 to its ligand, galectin-9, results in the suppression of T-cell responses and may lead to CD8+ T-cell exhaustion, which impairs the cytotoxic activity responsible for cancer cell eradication (8,9). Previous studies have shown that membrane Tim-3 expression is significantly greater in the peripheral CD4+ and CD8+ T cells of patients with cervical cancer compared with the controls, with the highest Tim-3 expression found in patients with stage III-IV cervical cancer than in those with stage I-II (10). Compared with premalignant lesions and cervicitis, membrane Tim-3 is also overexpressed in cervical cancer. In addition, the higher expression of membrane Tim-3 was associated with a shorter overall survival in patients with cervical cancer (11). Therefore, the immune checkpoint Tim-3/galectin-9 has been proposed by certain authors as a potential immunotherapy target for patients with cervical cancer (10-12).

Soluble immune checkpoints (sICs) have been identified in the serum, and these soluble forms of some membrane proteins can be produced by alternative splicing, cleavage with proteases or secretion by shedding the cell membrane. Increased levels of sICs have been reported in different cancer types (13). In most cases, the increased expression of sICs has been found to be associated with disease severity and poor overall survival (14).

Therefore, sICs could be potential biomarkers associated with prognosis and treatment response (13). The soluble form of Tim-3 (sTim-3) may be produced in different ways, such as alternative splicing, cleavage from the cell surface by diverse enzymes, including disintegrins and matrix metalloproteases, and passive release from apoptotic cells (15-17). Increased levels of sTim-3 have been reported in different cancer types, such as thyroid carcinoma (7), hepatocarcinoma (18), oral SCC (19) and non-small cell lung cancer (NSCLC) (20). Higher levels of sTim-3 were detected in patients with thyroid carcinoma with lymph node metastasis (7). In contrast to most types of cancer, patients with breast cancer presented lower levels of sTim-3 compared with healthy individuals (21). This indicated that sTim-3 levels are regulated in a tissue-dependent manner.

To the best of our knowledge, the role of sTim-3 in cervical cancer has not been assessed; the only information reported for sTim-3 and cervical cancer corresponds to a study conducted in patients with locally advanced cervical cancer. In this study, the effect of concurrent chemoradiotherapy in the levels of different sICs including sTim-3 were evaluated, and an increase in sTim-3 levels was reported following treatment, emphasizing the importance of designing improved treatment strategies when considering their immunomodulatory effects. Nevertheless, the clinical implications of this increase were not analysed (22).

In a previous study, the presence of galectin-9 was evaluated in the serum of patients with cervical cancer, and it was reported that the serum galectin-9 level was higher in patients with cervical cancer compared with the control group, which increased with advanced clinical stages (23).

The serum levels of Tim-3 need to be explored in patients with cervical cancer to assess whether they are associated with clinicopathological characteristics or clinical outcomes and to evaluate its potential as a diagnostic or prognostic biomarker. Furthermore, the association between the serum levels of sTim-3 and galectin-9 could provide information about their possible role in immune regulation and treatment response.

Materials and methods

Patients and study protocol

A total of 108 patients with cervical cancer and 40 women with a normal cytology report were included in the present study.

Inclusion and exclusion criteria, diagnostic criteria, and description of control subjects

The patients with cervical cancer included in the study were from the High Specialty Medical Unit, Mexican Institute of Social Security (IMSS), in Puebla City, Mexico, and the study was carried out between November 14, 2017 and October 18, 2023, (except for the period from November 14, 2018 to December 17, 2018, in which the project did not have the authorized extension for follow up) in accordance with the Declaration of Helsinki. The ethical regulations were approved by the National Commission for Scientific Research, under the registration number R-2017-785-119. The results presented in the present study correspond to the protocol approved by the Local Committee of Health Research 2106 of the IMSS, under the registration number R-2023-2106-004, in which the use of data and serum samples previously collected, was authorized.

The cervical cancer group included women first diagnosed according to the Bethesda System (24), and the diagnosis was confirmed through the analysis of a biopsy by a pathologist. Women who were previously diagnosed with another cancer type, had acute infections, were pregnant or had autoimmune diseases were excluded from the study. Patients with cervical cancer were staged according to the FIGO criteria (5). The serum samples from patients with cervical cancer were obtained at the beginning of the intervention prior to the commencement of any treatment.

Clinicopathological information was obtained from the clinical records of the patients. The clinical outcomes considered in the present study were complete remission or death during the follow-up period following medical intervention.

Women included in the control group were negative for premalignant lesions or cervical cancer according to their cytology report. Women who were pregnant, had acute infections or had autoimmune diseases were excluded. All the participants were informed about the study and signed informed consent.

Serum sTim-3 concentration

Venous blood (5 ml) was collected from each participant and centrifuged at 2,000 x g for 10 min. The serum was stored at -20˚C until use.

The serum concentration of sTim-3 was determined using a Quantikine Human Tim-3 enzyme-linked immunosorbent assay (ELISA) kit (cat. no. DTIM30; R&D Systems Inc.), according to the manufacturer's instructions. Serum samples were diluted at a 1:5 ratio, and each dilution was performed in duplicate.

The serum galectin-9 concentration was determined using a Quantikine Human Gal-9 ELISA kit (cat. no. DGAL90; R&D Systems, Inc.), according to the manufacturer's instructions. Serum samples were diluted at a 1:2 ratio, and each dilution was performed in duplicate (23).

The microplates were read at absorbances of 450 and 540 nm using a Synergy 4 microplate reader (BioTek Instruments, Inc.). Wavelength corrections were performed by subtracting the reading at 540 nm from the reading at 450 nm. For the analysis, an average of the duplicates of each sample was obtained, and the serum sTim-3 and galectin-9 concentrations were determined by comparison against their respective standard curves, and the values were multiplied by the dilution factor.

Statistical analysis

The Mann-Whitney test was performed to compare the serum sTim-3 concentration between the control and cervical cancer groups, between the control and cervical cancer groups by the age range and between clinical outcomes. The Kruskal-Wallis test followed by Dunn's test was performed to compare sTim-3 concentration by age ranges in cervical cancer groups and in the different clinicopathological characteristics. P≤0.05 was considered to indicate a statistically significant difference. In addition, correlation analysis was performed for sTim-3 and galectin-9 concentrations using Spearman's rank correlation coefficient. A normality test was performed on the raw data to evaluate its distribution, and the corresponding test was applied. Statistical analysis was performed using Prism software version 10 (GraphPad software, Inc.). Receiver operating characteristic (ROC) curve analysis was performed following the method by DeLong et al (25) using MedCalc software version 22.030 (MedCalc Software bvba).

Results

Characteristics of the study subjects

Serum samples from 108 patients with a diagnosis of cervical cancer and 40 women with a normal cytology report were included in the present study. The patients with cervical cancer had a mean age of 52.3±13.4 (26-87) years, and the control group had a mean age of 31.7±10.2 (21-60) years (Mann-Whitney, P<0.0001). The clinicopathological characteristics of the patients with cervical cancer are described in Table I.

Table I

Serum levels of sTim-3 and clinicopathological characteristics of patients with cervical cancer.

Table I

Serum levels of sTim-3 and clinicopathological characteristics of patients with cervical cancer.

A, Clinicopathological characteristics analysed by Kruskal Wallis and Dunn't tests
Clinicopathological characteristicsnMedian concentration (range)P-value (Kruskal-Wallis test)P-value (Dunn's test)
Histological type    
     SCC833.04 (0.84-12.70)0.6179SCC vs. AC >0.9999
     AC113.48 (1.32-10.70) SCC vs. AS >0.9999
     ASC62.71 (0.96-5.82) AS vs. AC >0.9999
Differentiation grade    
     G142.56 (1.35-4.14)0.6445G1 vs. G2 >0.9999
     G2563.10 (0.94-12.55) G1 vs. G3 >0.9999
     G3253.27 (.84-12.24) G2 vs. G3 >0.9999
FIGO stage    
     I82.16 (0.94-6.93)0.0371aI vs. II >0.9999
     II272.96 (0.84-12.14) I vs. III 0.7395
     III403.29 (1.17-10.26) I vs. IV 0.0338a
     IV135.07 (1.23-12.70) II vs. III >0.9999
    II vs. IV 0.1784
    III vs. IV 0.2562
B, Clinicopathological characteristics assessed by Mann-Whitney U test
Clinicopathological characteristicsnMedian concentration (range)P-value (Mann-Whitney U test)N/A
Keratinization    
     NKSCC463.01 (0.94-12.14)0.9495N/A
     KSCC213.26 (0.84-12.70)  
Clinical outcome    
     Total remission of disease152.8 (0.98-4.72)0.1583N/A
     Deceased143.7 (1.17-10.70)  

[i] aStatistically significant. G1, well differentiated; G2 moderately differentiated; G3 poorly/non differentiated. SCC, squamous cell carcinoma; AC, adenocarcinoma; ASC, adenosquamous carcinoma; FIGO, International Federation of Gynaecology and Obstetrics; NKSCC, non-keratinizing squamous cell carcinoma; KSCC, keratinizing squamous cell carcinoma; N/A, not applicable.

Serum sTim-3 concentration is increased in patients with cervical cancer

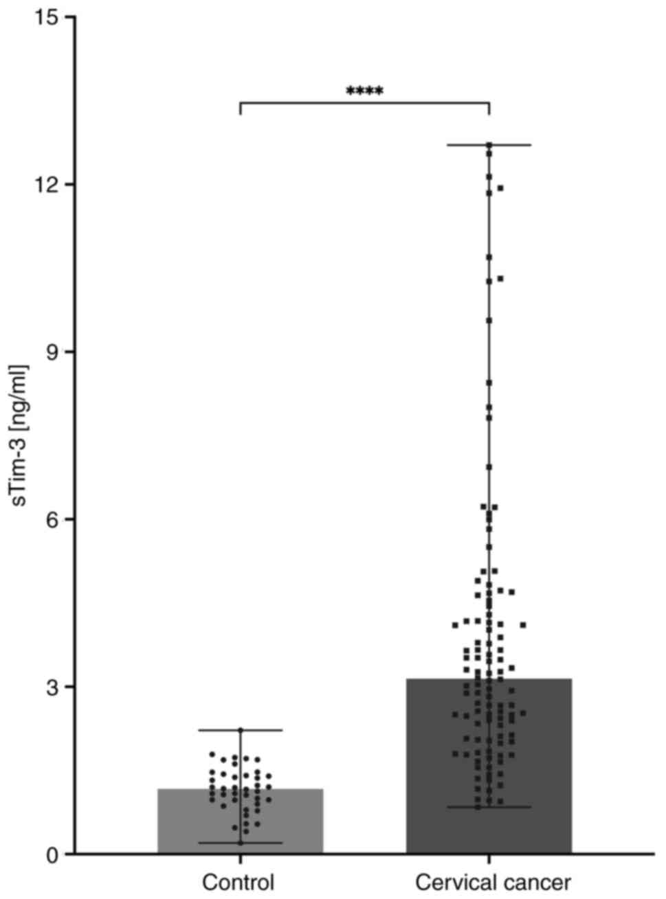
The serum levels of sTim-3 were significantly higher in the patients with cervical cancer compared with the controls, as shown in Fig. 1. The median concentration in the control group was 1.169 ng/ml compared with 3.146 ng/ml in the cervical cancer group.

Figure 1

sTim-3 median and range concentration in the cervical cancer and control groups. The Mann-Whitney test was performed to compare the control vs. cervical cancer groups (****P<0.0001). sTim-3, soluble T-cell immunoglobulin and mucin domain-containing protein-3.

As significant differences in age between control vs. cervical cancer samples were obtained, it was determined if there were differences in the concentration of sTim-3 with respect to age. For this, age ranges in the control and in the cervical cancer groups were established and it was determined if there were significant differences between the age groups. The mean concentrations of sTim-3 in control and the median concentrations in cervical cancer groups by age ranges are shown in Table II. No statistical differences were obtained between age groups in the control and the cervical cancer groups (Table II). The concentrations of sTim did not change with respect to age neither in the control group nor in the cervical cancer group.

Table II

Serum concentration of sTim-3 with respect to the age range.

Table II

Serum concentration of sTim-3 with respect to the age range.

A, Concentration of sTim-3 with respect to age range in control and cervical cancer groups
GroupAge rangeMedian and range concentration of sTim3P-value (Kruskall-Wallis test)
Control21-30 years0.99 ng/ml (0.41-2.21)a0.525
 31-40 years1.14 ng/ml (0.20-1.73) 
 41-60 years1.54 ng/ml (0.47-1.69) 
Cervical cancer21-30 years4.69 ng/ml (2.88-6.10)a0.6786
 31-40 years3.26 ng/ml (1.17-10.31) 
 41-60 years3.10 ng/ml (0.94-12.14) 
 >60 years3.04 ng/ml (0.84-12.70) 
B, Concentration of sTim-3 in control vs cervical cancer groups by age range
GroupAge rangeMann-Whitney U test P- value 
Control vs. Cervical cancer21-30 years0.0008 
 31-40 years0.0001 
 41-60 years0.0016 

[i] aNot significant; Dunn's post hoc test used.

The levels of sTim-3 by the age range 21-30 years, 31-40 years and 41-60 years between the control and cervical cancer groups were also compared and significant differences were obtained (Table II). The previous analysis supports that the sTim-3 concentration is not modified by age and the concentration changes appeared to be associated with the disease.

ROC analysis and diagnostic efficacy of sTim-3

To determine the diagnostic potential of sTim-3 as a biomarker, ROC analysis was performed for serum sTim-3 in patients with cervical cancer (n=108) vs. the control group (n=40). The area under the curve (AUC) was 0.938 (P<0.0001), the Youden index was 0.8019, the optimal cut-off value was >1.7313 ng/ml, specificity was 95.00% and sensitivity was 85.19% (Fig. 2).

Figure 2

ROC analysis of sTim-3 to determine its diagnostic value for patients with cervical cancer. The ROC curve for serum sTim-3 in patients with cervical cancer compared with the control group was estimated. The graph shows the AUC, 95% CI, Youden index, sensitivity and specificity. ROC, receiver operating characteristic; sTim-3, soluble T-cell immunoglobulin and mucin domain-containing protein-3; AUC, area under the curve; CI, confidence interval.

Association between serum sTim-3 levels, and clinicopathological characteristics and clinical stage

The serum sTim-3 concentration was compared between groups with different histological types of cervical cancer (SCC, ACs and ASCs), differentiation grades, and (for the SCC group) between the keratinization and non-keratinization status. The median concentration of sTim-3 for each group is shown in Table I. Statistical analysis did not reveal differences in these characteristics.

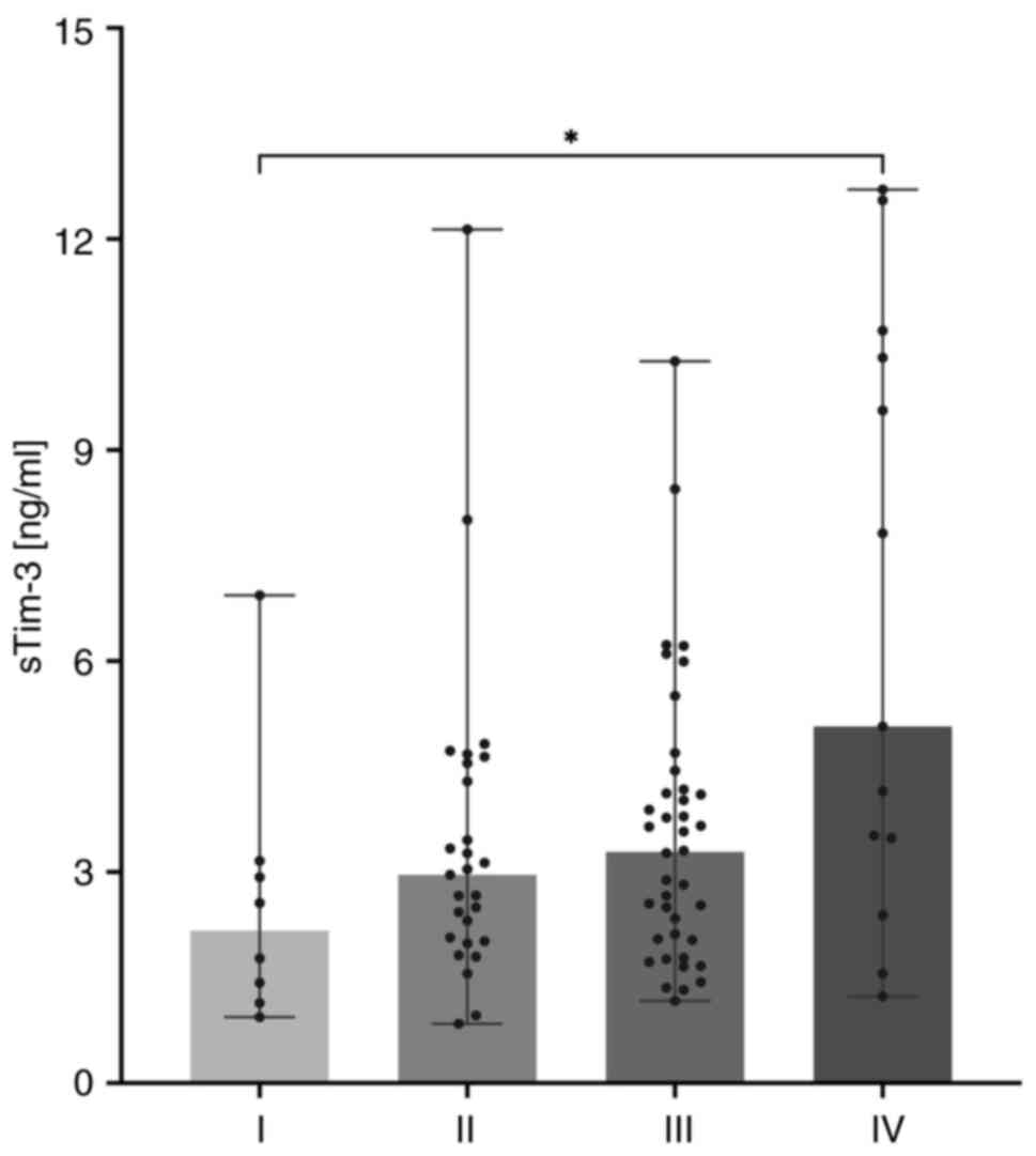
The serum sTim-3 concentration increased progressively with increasing clinical stages; the median concentration and the range of sTim-3 for each group are shown in Table I. The Kruskal-Wallis test results revealed a significant difference among the groups (P=0.0371). Post-hoc Dunn analysis showed that sTim-3 concentration in stage IV was significantly higher compared with that in stage I (P=0.0338; Fig. 3).

Figure 3

sTim-3 concentration increases with respect to clinical stage. The graph shows the median and range of sTim-3 concentration in different clinical stage groups. The Kruskal-Wallis test followed by Dunn's test was performed to compare FIGO stage groups, (stage I vs. IV; *P=0.0338). sTim-3, soluble T-cell immunoglobulin and mucin domain-containing protein-3; FIGO, International Federation of Gynaecology and Obstetrics.

ROC curve analysis and diagnostic efficacy of sTim-3 in different clinical stage groups

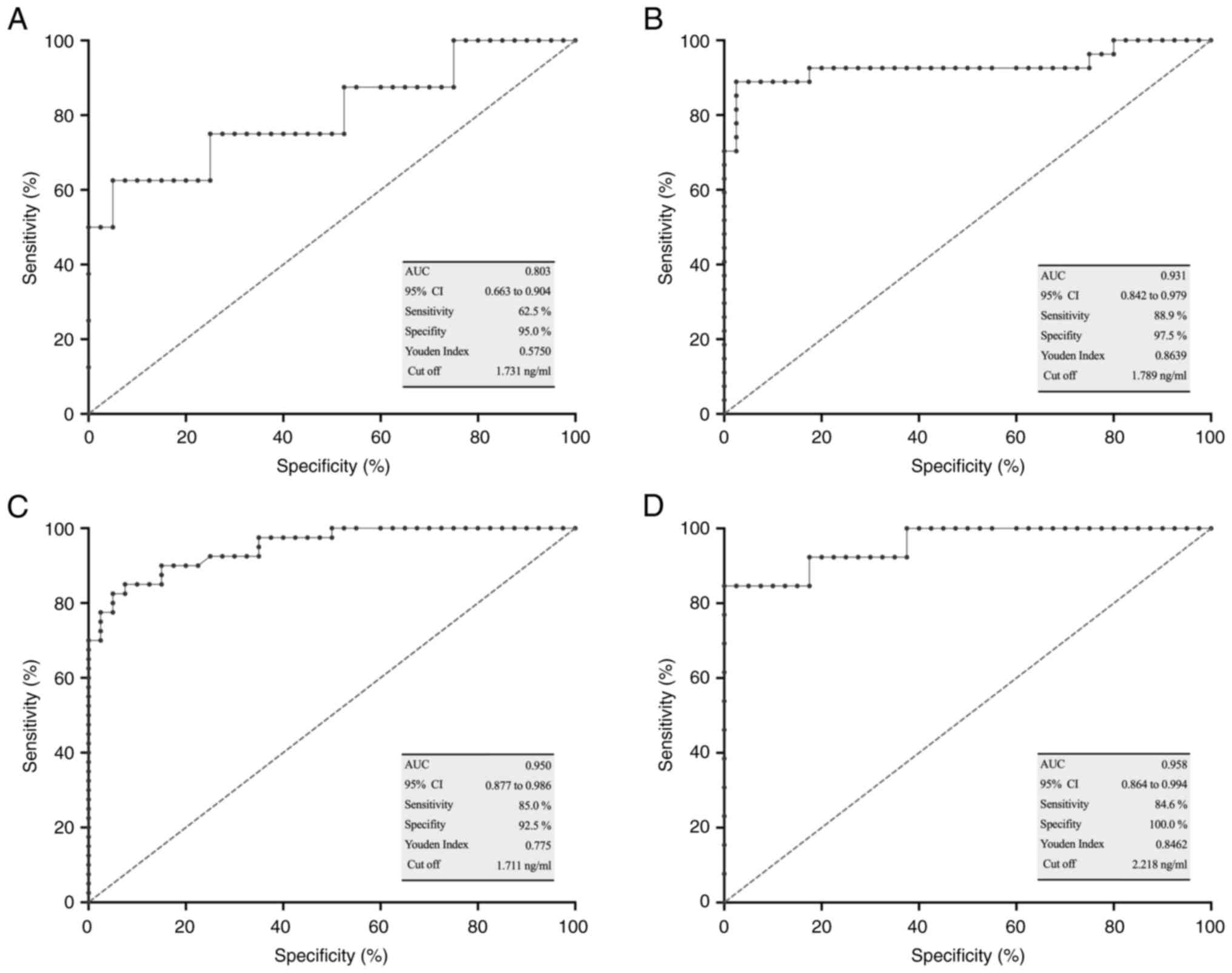
ROC curve analysis was performed for each clinical stage group vs. the control group. The AUC, the sensitivity and specificity are shown in Fig. 4. The optimal sensitivity values were obtained for clinical stages II, III and IV (Fig. 4B-D), while the specificity values were exceptional for all stages, and notably 100% for stage IV (Fig. 4A-D).

Figure 4

ROC analysis of sTim-3 to determine its diagnostic value for patients with cervical cancer in clinical stage groups. (A) ROC curve for sTim-3 in clinical stage I, (B) clinical stage II, (C) clinical stage III and (D) clinical stage IV groups vs. the control group. The graph shows the AUC, 95% CI, Youden index, sensitivity and specificity. ROC, receiver operating characteristic; sTim-3, soluble T-cell immunoglobulin and mucin domain-containing protein-3; AUC, area under the curve; CI, confidence interval.

sTim-3 and clinical outcomes

Since serum sTim-3 concentrations were evaluated before any treatment in patients with cervical cancer, the outcome was defined as total remission of disease or death during the follow-up period. No statistical association was observed between sTim-3 levels and patient outcomes; however, a trend towards increasing sTim-3 concentration was observed in the group of deceased patients, as shown in Table I.

Serum galectin-9 concentration in patients with cervical cancer

The serum concentrations of galectin-9 were previously reported in this cohort of patients with cervical cancer (23); however, as new patients were subsequently included, the serum concentrations of galectin-9 were also determined in this study to perform a correlation analysis of the serum levels of galectin-9 and sTim-3. The median concentration of galectin-9 in patients with cervical cancer was 9.64±3.18-34.97 ng/ml. A notably increased concentration of galectin-9 was detected in patients with FIGO stage IV (13.85 ng/ml) compared with stage I (7.73 ng/ml), stage II (8.13 ng/ml) and stage III (8.58 ng/ml) cervical cancer (Table III).

Table III

Concentration of serum galectin-9 with respect to the FIGO stage.

Table III

Concentration of serum galectin-9 with respect to the FIGO stage.

FIGOMedian concentration of serum galectin-9Range concentration
Stage I7.73 ng/ml3.18-17.23 ng/ml
Stage II8.13 ng/ml3.25-23.45 ng/ml
Stage III8.58 ng/ml3.48-23.85 ng/ml
Stage IV13.85 ng/ml3.30-34.97 ng/ml

[i] FIGO, International Federation of Gynaecology and Obstetrics.

Correlation of the serum levels of sTim-3 and galectin-9

To determine whether there was a correlation between the serum levels of sTim-3 and galectin-9, Spearman's rank correlation coefficient was performed using the data of 102 patients' sera. A moderate positive correlation was identified between sTim-3 and galectin-9 concentrations, with a correlation coefficient of ρ=0.41 and high significance (P<0.0001; Fig. 5).

Figure 5

Spearman's rank correlation coefficient of the serum concentration of sTim-3 compared with that of galectin-9. The analysis results revealed a moderate correlation (ρ=0.41 and P<0.0001). sTim-3, soluble T-cell immunoglobulin and mucin domain-containing protein-3.

Discussion

To the best of our knowledge, this was the first time that the serum levels of sTim-3 were compared between patients with cervical cancer and healthy women. The results revealed significantly increased concentrations of sTim-3 in patients with cervical cancer. ROC curve analysis revealed that sTim-3 effectively differentiates patients with cervical cancer from healthy women. These results highlighted its potential use for the diagnosis of cervical cancer, possibly as a complementary cervical cytology test to improve sensitivity.

These results resembled those of other studies that analysed sTim-3 in several types of cancer, including oral SCC, skin basal cell carcinoma, colorectal cancer, gastric cancer, and osteosarcoma, and those studies reported higher levels of sTim-3 in patients with cancer compared with healthy individuals (26-30). By contrast, patients with breast cancer presented lower levels of sTim-3 compared with healthy individuals (21). This indicated that sTim-3 levels were regulated in a tissue-dependent manner.

However, an analysis of sTim-3 levels among several clinical groups revealed that this protein was not associated with the histological type, differentiation grade or keratinizing status; thus, sTim-3 did not appear to be associated with tumour histological characteristics, at least in cervical cancer. Similarly, in a previous study, no association was found between sTim-3 and the histological subtype of the tumour in patients with differentiated thyroid carcinoma (7).

Nonetheless, in the present study, increased levels of sTim-3 were detected in women with advanced clinical stages of cervical cancer. Indeed, significant differences in sTim-3 were identified between patients with FIGO clinical stage IV disease and those with stage I disease. Of note, this increase could be linked to an immune dysregulation and a blocking immune response that is more noticeable as the disease progresses. However, there were no statistical differences between clinical stages I, II and III; including a larger number of patients per group could make the differences observed statistically significant, but this should be explored in future studies. The ROC curve analysis performed for each clinical stage versus the control group revealed that the concentration of sTim-3 was an effective discriminator for clinical stages II, III and IV, supporting that at the early stage of disease the dysregulation of the immune response is less. In a previous study with patients with cervical cancer, Tim-3 expression was evaluated in peripheral T cells and was significantly increased compared with the control group. The expression of Tim-3 on peripheral CD4+ and CD8+ T cells was significantly greater in patients with stages III-IV disease than in those with stages I-II disease (12).

The association of sTim-3 with cancer progression has also been observed in gastric carcinoma, where the highest levels of sTim-3 were found in patients with carcinoma, followed by patients with benign gastric disease, and the lowest levels were found in the healthy control group (29). Of note, the serum levels of sTim-3 have not been evaluated in patients with premalignant lesions of the cervix; this is to be the focus of our future studies.

In patients with osteosarcoma, sTim-3 was also found to be associated with the risk of disease progression (30). In patients with colorectal cancer, the levels of sTim-3 are greater in those with postoperative recurrence (28). In clear cell renal cell carcinoma, high levels of sTim-3 were found to be associated with decreased survival (31).

In combination, in the present study, the serum levels of sTim-3 were analysed with respect to the clinical outcome, and higher concentrations were observed in patients who succumbed to disease than in patients with total remission. Given the limited number of samples in the present study, it is important to plan further studies that include a higher number of patients to effectively determine the association of sTim-3 with clinical outcome.

Although the present study did not include patients treated with immunotherapy, it is important to mention that in a study performed on patients with NSCLC and anti-PD-1 immunotherapy, high expression levels of sTim-3 were reported in patients that did not respond to treatment, and an increase in serum levels was linked to tumour progression (32). Considering the anti-PD-1 immunotherapy for patients with metastatic cervical cancer, the study of sTim-3 as a negative factor affecting treatment response highlights the importance of studying this soluble protein in patients with cervical cancer. In addition, it has been proposed to combine anti-Tim-3 therapy with anti-PD-1 therapy, to increase treatment response; therefore, further studying the role of sTim-3 with cervical cancer may provide valuable insights.

The results of the present study indicated that sTim-3 is associated with cancer progression, but the mechanism remains to be elucidated. Tim-3 is a negative regulator of the anti-tumour immune response, and its overexpression is part of a series of biochemical mechanisms that are activated, favouring cancer development. It was hypothesized that sTim-3 is a soluble signal that suppresses anti-tumour immune response. The soluble form of Tim-3 may be produced in different ways, such as alternative splicing, passive release from apoptotic cells, and proteolytic cleavage by two A disintegrin and metalloprotease metalloproteases (15-17). However, sTim-3 can also be secreted by T cells, as has been reported in differentiated thyroid carcinoma, which highlights that CD3+ and CD8+ T-cell subsets isolated from metastatic lymph nodes exhibit increased secretion of sTim-3 compared with those isolated from normal lymph nodes (7).

The major ligand of Tim-3 is galectin-9, which participates in multiple cellular processes through interaction with carbohydrates in glycoproteins (33,34). It has been reported that the binding of galectin-9 to membrane Tim-3 induces T-cell apoptosis (35,36). In our previous study, serum galectin-9 concentrations were evaluated, and higher levels were reported in patients with cervical cancer compared with those in healthy women. The highest serum galectin-9 levels were reported in patients with advanced clinical stage disease (23).

The previous analysis of serum galectin-9 compared with the results obtained for sTim-3 suggested that sTim-3 is a better diagnostic biomarker, as the sensitivity to discriminate between control and patients with cervical cancer was 85.19% for sTim-3 compared with 68.2% for galectin-9(21). With respect to disease progression, both proteins exhibited a similar behavior, with disease progression being linked to an increase in concentration; sTim-3 showed significant differences between clinical stage I vs. clinical stage IV, and serum galectin-9 showed significant differences between clinical stage I vs. IV, and clinical stage II vs. VI (23). The difference in sensitivity of these soluble proteins could be the result of their biological roles; Tim-3 is a receptor that has different ligands (galectin-9, phospathidylserine, carcinoembryonic antigen-related cell adhesion molecule 1, and high mobility group protein B1), these ligands have been studied in cancer and the results have shown that they are related with disease progression. Thus, in addition to galectin-9, other ligands could be participating in cervical cancer progression through their interaction with sTim-3, which could explain the difference in sensitivity observed between sTim-3 and serum galectin-9 (37-39).

Given that new patients were subsequently included in this cohort and considering the relevant interactions of galectin-9 with Tim-3, the serum concentrations of galectin-9 were also determined, and a correlation analysis of the serum levels of both proteins was performed. These results revealed a positive moderate correlation, suggesting a possible role of this immune checkpoint complex in the progression of the disease. Tim-3/galectin-9 signalling was involved in immune regulation, and changes in serum levels could affect the development, prognosis and response to cancer, which highlighted the importance of Tim-3/galectin-9 as potential biomarkers and therapeutic targets (13).

sICs play important roles in immune modulation and are involved in the development and prognosis of cancer; thus, they are considered potential biomarkers for improving cancer diagnosis, as well as therapeutic targets (13). To date there is no biomarker that is routinely used for the diagnosis and follow-up of patients with cancer, but different serum biomarkers have been proposed for prognosis and follow up of patients with cervical cancer. One of the most studied is squamous cell carcinoma antigen (SCC); the serum levels of this antigen have been reported to be increased in patients with cervical cancer, with higher levels in advanced clinical stages. This antigen has been proposed for monitoring the response to treatment (40,41). One of the limitations of the present study is the lack of evaluation of other serum biomarkers studied previously (42), which would have been useful to compare the results obtained for sTim-3. This would have enriched the insights of the present findings.

In conclusion, sTim-3 may be an effective discriminator of patients with cervical cancer and a potential diagnostic biomarker. In addition, the increased expression of sTim-3 in patients with advanced clinical stage highlights its potential as a biomarker of progression. Serum immune checkpoints must be studied to elucidate their functions in cancer progression, treatment response and survival.

Acknowledgements

Not applicable.

Funding

Funding: The present study was supported by a grant from the Mexican Institute of Social Security (grant no. R-2023-2106-004). The funder had no role in the design, data collection, data analysis, or reporting of this study.

Availability of data and materials

All data generated or analysed in this study are included in this published article.

Authors' contributions

VVR and JRL designed the study. VJVZ, ICR and SPP performed the investigation and data collection. VVR and JRL drafted the manuscript and provided approval of the final version of the manuscript. ICR, JRL and VVR performed the data analysis, and created the figures and tables. ICR and SPP confirm the authenticity of all raw data. All authors have read and agreed to the published version of the manuscript.

Ethics approval and consent to participate

The study was approved by the Human Ethics and Local Committee of Health Research number 2106 from the Mexican Institute of Social Security with the registration number R-2023-2106-004. Written informed consent was obtained from all the participants in this study.

Patient consent for publication

Not applicable.

Competing interests

The authors declare that they have no competing interests.

References

1 

Sung H, Ferlay J, Siegel RL, Laversanne M, Soerjomataram I, Jemal A and Bray F: Global cancer statistics 2020: GLOBOCAN estimates of incidence and mortality worldwide for 36 cancers in 185 countries. CA Cancer J Clin. 71:209–249. 2021.PubMed/NCBI View Article : Google Scholar

2 

D'Augè TG, Di Donato V and Giannini A: Strategic approaches in management of early-stage cervical cancer: A comprehensive editorial. Clin Exp Obstet Gynecol. 51:235–237. 2024.

3 

Ferlay J, Ervik M, Lam F, Colombet M, Mery L, Piñeros M, Znaor A, Soerjomataram I and Bray F: Global cancer observatory: Cancer today. Available from: https://gco.iarc.fr/today (open in a new window). Accessed January 2, 2020.

4 

Meng Y, Chu T, Lin S and Wu P, Zhi W, Peng T, Ding W, Luo D and Wu P: Clinicopathological characteristics and prognosis of cervical cancer with different histological types: A population-based cohort study. Gynecol Oncol. 163:545–551. 2021.PubMed/NCBI View Article : Google Scholar

5 

Mohamud A, Høgdall C and Schnack T: Prognostic value of the 2018 FIGO staging system for cervical cancer. Gynecol Oncol. 165:506–513. 2022.PubMed/NCBI View Article : Google Scholar

6 

D'Oria O, Bogani G, Cuccu I, D'Auge TG, Di Donato V, Caserta D and Giannini A: Pharmacotherapy for the treatment of recurrent cervical cancer: An update of the literature. Expert Opin Pharmacother. 25:55–65. 2024.PubMed/NCBI View Article : Google Scholar

7 

Shao Y, Gui X, Wang Y, Sheng L, Sun D, Zeng Q and Wang H: Serum soluble immune checkpoint levels predict cervical lymph node metastasis of differentiated thyroid carcinoma patients. Cancer Med. 12:17648–17659. 2023.PubMed/NCBI View Article : Google Scholar

8 

Cedeno-Laurent F and Dimitroff CJ: Galectins and their ligands: Negative regulators of antitumor immunity. Glycoconj J. 29:619–625. 2012.PubMed/NCBI View Article : Google Scholar

9 

Ohue Y, Kurose K, Nozawa R, Isobe M, Nishio Y, Tanaka T, Doki Y, Hori T, Fukuoka J, Oka M and Nakayama E: Survival of lung adenocarcinoma patients predicted from expression of PD-L1, galectin-9, and XAGE1 (GAGED2a) on tumor cells and tumor-infiltrating T cells. Cancer Immunol Res. 4:1049–1060. 2016.PubMed/NCBI View Article : Google Scholar

10 

Li J, Sun XF, Shen Y, Yang Q and Dai SY: Elevated expression of T-cell immunoglobulin and mucin domain 3 on T cells from peripheral blood in patients with cervical carcinoma. Gynecol Obstet Invest. 86:63–70. 2021.PubMed/NCBI View Article : Google Scholar

11 

Cao Y, Zhou X, Huang X, Li Q, Gao L, Jiang L, Huang M and Zhou J: Tim-3 expression in cervical cancer promotes tumor metastasis. PLoS One. 8(e53834)2013.PubMed/NCBI View Article : Google Scholar

12 

Chen Z, Dong D, Zhu Y, Pang N and Ding J: The role of Tim-3/Galectin-9 pathway in T-cell function and prognosis of patients with human papilloma virus-associated cervical carcinoma. FASEB J. 35(e21401)2021.PubMed/NCBI View Article : Google Scholar

13 

Gu D, Ao X, Yang Y, Chen Z and Xu X: Soluble immune checkpoints in cancer: Production, function and biological significance. J Immunother Cancer. 6(132)2018.PubMed/NCBI View Article : Google Scholar

14 

Khan M, Arooj S and Wang H: Soluble B7-CD28 family inhibitory immune checkpoint proteins and anti-cancer immunotherapy. Front Immunol. 12(651634)2021.PubMed/NCBI View Article : Google Scholar

15 

Geng H, Zhang GM, Li D, Zhang H, Yuan Y, Zhu HG, Xiao H, Han LF and Feng ZH: Soluble form of T cell Ig mucin 3 is an inhibitory molecule in T cell-mediated immune response. J Immunol. 176:1411–1420. 2006.PubMed/NCBI View Article : Google Scholar

16 

Hansen JA, Hanash SM, Tabellini L, Baik C, Lawler RL, Grogan BM, Storer B, Chin A, Johnson M, Wong CH, et al: A novel soluble form of Tim-3 associated with severe graft-versus-host disease. Biol Blood Marrow Transplant. 19:1323–1330. 2013.PubMed/NCBI View Article : Google Scholar

17 

Möller-Hackbarth K, Dewitz C, Schweigert O, Trad A, Garbers C, Rose-John S and Scheller J: A disintegrin and metalloprotease (ADAM) 10 and ADAM17 are major sheddases of T cell immunoglobulin and mucin domain 3 (Tim-3). J Biol Chem. 288:34529–34544. 2013.PubMed/NCBI View Article : Google Scholar

18 

Li F, Li N, Sang J, Fan X, Deng H, Zhang X, Han Q, Lv Y and Liu Z: Highly elevated soluble Tim-3 levels correlate with increased hepatocellular carcinoma risk and poor survival of hepatocellular carcinoma patients in chronic hepatitis B virus infection. Cancer Manag Res. 10:941–951. 2018.PubMed/NCBI View Article : Google Scholar

19 

Lu K, Ma H, Wang T, Huang Y and Ru M: The diagnostic value of soluble TIM-3 in oral squamous cell carcinoma. Future Oncol. 18:1381–1390. 2022.PubMed/NCBI View Article : Google Scholar

20 

Peng Y, Zhang C, Rui Z, Tang W, Xu Y, Tao X, Zhao Q and Tong X: A comprehensive profiling of soluble immune checkpoints from the sera of patients with non-small cell lung cancer. J Clin Lab Anal. 36(e24224)2022.PubMed/NCBI View Article : Google Scholar

21 

Rapoport BL, Steel HC, Benn CA, Nayler S, Smit T, Heyman L, Theron AJ, Hlatshwayo N, Kwofie LLI, Meyer PWA and Anderson R: Dysregulation of systemic soluble immune checkpoints in early breast cancer is attenuated following administration of neoadjuvant chemotherapy and is associated with recovery of CD27, CD28, CD40, CD80, ICOS and GITR and substantially increased levels of PD-L1, LAG-3 and TIM-3. Front Oncol. 13(1097309)2023.PubMed/NCBI View Article : Google Scholar

22 

Liu C, Li X, Li A, Zou W, Huang R, Hu X, Yu J, Zhang X and Yue J: Concurrent chemoradiotherapy Increases the levels of soluble immune checkpoint proteins in patients with locally advanced cervical cancer. J Immunol Res. 2022(9621466)2022.PubMed/NCBI View Article : Google Scholar

23 

Reyes-Vallejo T, Conde-Rodríguez I, Serna-Villalobos J, Ramírez-Díaz I, Pérez-Villalobos G, Delgado-López G, Vazquez-Zamora VJ, Gutiérrez-Quiroz CT, Ávila-Jiménez L, García-Carrancá A, et al: Serum levels of galectin-9 are increased in cervical cancer patients and are higher in advanced clinical stages. Onco Targets Ther. 15:1211–1220. 2022.PubMed/NCBI View Article : Google Scholar

24 

Nayar R and Wilbur DC: The bethesda system for reporting cervical cytology: A historical perspective. Acta Cytol. 61:359–372. 2017.PubMed/NCBI View Article : Google Scholar

25 

DeLong ER, DeLong DM and Clarke-Pearson DL: Comparing the areas under two or more correlated receiver operating characteristic curves: A nonparametric approach. Biometrics. 44:837–845. 1988.PubMed/NCBI

26 

Bailly C, Thuru X, Goossens L and Goossens JF: Soluble TIM-3 as a biomarker of progression and therapeutic response in cancers and other of human diseases. Biochem Pharmacol. 209(115445)2023.PubMed/NCBI View Article : Google Scholar

27 

Malinga NZ, Siwele SC, Steel HC, Kwofie LLI, Meyer PWA, Smit T, Anderson R, Rapoport BL and Kgokolo MCM: Systemic levels of the soluble co-inhibitory immune checkpoints, CTLA-4, LAG-3, PD-1/PD-L1 and TIM-3 are markedly increased in basal cell carcinoma. Transl Oncol. 19(101384)2022.PubMed/NCBI View Article : Google Scholar

28 

Hong J, Chen X, Chen L, Wang Y, Huang B and Fang H: Clinical value of combined detection of serum sTim-3 and CEA or CA19-9 for postoperative recurrence of colorectal cancer diagnosis. Cancer Manag Res. 15:563–572. 2023.PubMed/NCBI View Article : Google Scholar

29 

Chen L, Hong J, Hu R, Yu X, Chen X, Zheng S, Qin Y, Zhou X, Wang Y, Zheng L, et al: Clinical value of combined detection of serum sTim-3 and pepsinogen for gastric cancer diagnosis. Cancer Manag Res. 13:7759–7769. 2021.PubMed/NCBI View Article : Google Scholar

30 

Li B, Wang Q, Luo Y, Wang S, Pan S, Zhao W, Ye Z and Wu X: Peripheral soluble immune checkpoint-related proteins were associated with survival and treatment efficacy of osteosarcoma patients, a cohort study. Cancers (Basel). 16(1628)2024.PubMed/NCBI View Article : Google Scholar

31 

Wang Q, Zhang J, Tu H, Liang D, Chang DW, Ye Y and Wu X: Soluble immune checkpoint-related proteins as predictors of tumor recurrence, survival, and T cell phenotypes in clear cell renal cell carcinoma patients. J Immunother Cancer. 7(334)2019.PubMed/NCBI View Article : Google Scholar

32 

Chen C, Zhao F, Peng J, Zhao D, Xu L, Li H, Ma S, Peng X, Sheng X, Sun Y, et al: Soluble Tim-3 serves as a tumor prognostic marker and therapeutic target for CD8+ T cell exhaustion and anti-PD-1 resistance. Cell Rep Med. 5(101686)2024.PubMed/NCBI View Article : Google Scholar

33 

Yasinska IM, Sakhnevych SS, Pavlova L, Selnø AT, Abeleira AM, Benlaouer O, Silva IG, Mosimann M, Varani L, Bardelli M, et al: The Tim-3-Galectin-9 pathway and its regulatory mechanisms in human breast cancer. Front Immunol. 10(1594)2019.PubMed/NCBI View Article : Google Scholar

34 

Müllerová M, Hovorková M, Závodná T, Št Astná LC, Krupková A, Hamala V, Nováková K, Topinka J, Bojarová P and Strašák T: Lactose-functionalized carbosilane glycodendrimers are highly potent multivalent ligands for Galectin-9 binding: Increased glycan affinity to galectins correlates with aggregation behavior. Biomacromolecules. 24:4705–4717. 2023.PubMed/NCBI View Article : Google Scholar

35 

Zhu C, Anderson AC, Schubart A, Xiong H, Imitola J, Khoury SJ, Zheng XX, Strom TB and Kuchroo VK: The Tim-3 ligand galectin-9 negatively regulates T helper type 1 immunity. Nat Immunol. 6:1245–1252. 2005.PubMed/NCBI View Article : Google Scholar

36 

Yang R, Sun L, Li CF, Wang YH, Yao J, Li H, Yan M, Chang WC, Hsu JM, Cha JH, et al: Galectin-9 interacts with PD-1 and TIM-3 to regulate T cell death and is a target for cancer immunotherapy. Nat Commun. 12(832)2021.PubMed/NCBI View Article : Google Scholar

37 

Lake CM, Voss K, Bauman BM, Pohida K, Jiang T, Dveksler G and Snow AL: TIM-3 drives temporal differences in restimulation-induced cell death sensitivity in effector CD8+ T cells in conjunction with CEACAM1. Cell Death Dis. 12(400)2021.PubMed/NCBI View Article : Google Scholar

38 

Smith CM, Li A, Krishnamurthy N and Lemmon MA: Phosphatidylserine binding directly regulates TIM-3 function. Biochem J. 478:3331–3349. 2021.PubMed/NCBI View Article : Google Scholar

39 

Wang J, Li H, Kulkarni A, Anderson JL, Upadhyay P, Onyekachi OV, Arantes LMRB, Banerjee H, Kane LP, Zhang X, et al: Differential impact of TIM-3 ligands on NK cell function. J Immunother Cancer. 13(e010618)2025.PubMed/NCBI View Article : Google Scholar

40 

Yim EK and Park JS: Biomarkers in cervical cancer. Biomark Insights. 1:215–225. 2007.PubMed/NCBI

41 

Chen W, Xiu S, Xie X, Guo H, Xu Y, Bai P and Xia X: Prognostic value of tumor measurement parameters and SCC-Ag changes in patients with locally-advanced cervical cancer. Radiat Oncol. 17(6)2022.PubMed/NCBI View Article : Google Scholar

42 

Fu J, Wang W, Wang Y, Liu C and Wang P: The role of squamous cell carcinoma antigen (SCC Ag) in outcome prediction after concurrent chemoradiotherapy and treatment decisions for patients with cervical cancer. Radiat Oncol. 14(146)2019.PubMed/NCBI View Article : Google Scholar

Related Articles

  • Abstract
  • View
  • Download
  • Twitter
Copy and paste a formatted citation
Spandidos Publications style
Conde‑Rodríguez I, Pérez‑Picazo S, Javier Vázquez‑Zamora V, Reyes‑Leyva J and Vallejo‑Ruiz V: Serum soluble Tim‑3 is elevated in patients with cervical cancer and is higher in advanced clinical stages. Biomed Rep 22: 90, 2025.
APA
Conde‑Rodríguez, I., Pérez‑Picazo, S., Javier Vázquez‑Zamora, V., Reyes‑Leyva, J., & Vallejo‑Ruiz, V. (2025). Serum soluble Tim‑3 is elevated in patients with cervical cancer and is higher in advanced clinical stages. Biomedical Reports, 22, 90. https://doi.org/10.3892/br.2025.1968
MLA
Conde‑Rodríguez, I., Pérez‑Picazo, S., Javier Vázquez‑Zamora, V., Reyes‑Leyva, J., Vallejo‑Ruiz, V."Serum soluble Tim‑3 is elevated in patients with cervical cancer and is higher in advanced clinical stages". Biomedical Reports 22.5 (2025): 90.
Chicago
Conde‑Rodríguez, I., Pérez‑Picazo, S., Javier Vázquez‑Zamora, V., Reyes‑Leyva, J., Vallejo‑Ruiz, V."Serum soluble Tim‑3 is elevated in patients with cervical cancer and is higher in advanced clinical stages". Biomedical Reports 22, no. 5 (2025): 90. https://doi.org/10.3892/br.2025.1968
Copy and paste a formatted citation
x
Spandidos Publications style
Conde‑Rodríguez I, Pérez‑Picazo S, Javier Vázquez‑Zamora V, Reyes‑Leyva J and Vallejo‑Ruiz V: Serum soluble Tim‑3 is elevated in patients with cervical cancer and is higher in advanced clinical stages. Biomed Rep 22: 90, 2025.
APA
Conde‑Rodríguez, I., Pérez‑Picazo, S., Javier Vázquez‑Zamora, V., Reyes‑Leyva, J., & Vallejo‑Ruiz, V. (2025). Serum soluble Tim‑3 is elevated in patients with cervical cancer and is higher in advanced clinical stages. Biomedical Reports, 22, 90. https://doi.org/10.3892/br.2025.1968
MLA
Conde‑Rodríguez, I., Pérez‑Picazo, S., Javier Vázquez‑Zamora, V., Reyes‑Leyva, J., Vallejo‑Ruiz, V."Serum soluble Tim‑3 is elevated in patients with cervical cancer and is higher in advanced clinical stages". Biomedical Reports 22.5 (2025): 90.
Chicago
Conde‑Rodríguez, I., Pérez‑Picazo, S., Javier Vázquez‑Zamora, V., Reyes‑Leyva, J., Vallejo‑Ruiz, V."Serum soluble Tim‑3 is elevated in patients with cervical cancer and is higher in advanced clinical stages". Biomedical Reports 22, no. 5 (2025): 90. https://doi.org/10.3892/br.2025.1968
Follow us
  • Twitter
  • LinkedIn
  • Facebook
About
  • Spandidos Publications
  • Careers
  • Cookie Policy
  • Privacy Policy
How can we help?
  • Help
  • Live Chat
  • Contact
  • Email to our Support Team