Spandidos Publications Logo
  • About
    • About Spandidos
    • Aims and Scopes
    • Abstracting and Indexing
    • Editorial Policies
    • Reprints and Permissions
    • Job Opportunities
    • Terms and Conditions
    • Contact
  • Journals
    • All Journals
    • Oncology Letters
      • Oncology Letters
      • Information for Authors
      • Editorial Policies
      • Editorial Board
      • Aims and Scope
      • Abstracting and Indexing
      • Bibliographic Information
      • Archive
    • International Journal of Oncology
      • International Journal of Oncology
      • Information for Authors
      • Editorial Policies
      • Editorial Board
      • Aims and Scope
      • Abstracting and Indexing
      • Bibliographic Information
      • Archive
    • Molecular and Clinical Oncology
      • Molecular and Clinical Oncology
      • Information for Authors
      • Editorial Policies
      • Editorial Board
      • Aims and Scope
      • Abstracting and Indexing
      • Bibliographic Information
      • Archive
    • Experimental and Therapeutic Medicine
      • Experimental and Therapeutic Medicine
      • Information for Authors
      • Editorial Policies
      • Editorial Board
      • Aims and Scope
      • Abstracting and Indexing
      • Bibliographic Information
      • Archive
    • International Journal of Molecular Medicine
      • International Journal of Molecular Medicine
      • Information for Authors
      • Editorial Policies
      • Editorial Board
      • Aims and Scope
      • Abstracting and Indexing
      • Bibliographic Information
      • Archive
    • Biomedical Reports
      • Biomedical Reports
      • Information for Authors
      • Editorial Policies
      • Editorial Board
      • Aims and Scope
      • Abstracting and Indexing
      • Bibliographic Information
      • Archive
    • Oncology Reports
      • Oncology Reports
      • Information for Authors
      • Editorial Policies
      • Editorial Board
      • Aims and Scope
      • Abstracting and Indexing
      • Bibliographic Information
      • Archive
    • Molecular Medicine Reports
      • Molecular Medicine Reports
      • Information for Authors
      • Editorial Policies
      • Editorial Board
      • Aims and Scope
      • Abstracting and Indexing
      • Bibliographic Information
      • Archive
    • World Academy of Sciences Journal
      • World Academy of Sciences Journal
      • Information for Authors
      • Editorial Policies
      • Editorial Board
      • Aims and Scope
      • Abstracting and Indexing
      • Bibliographic Information
      • Archive
    • International Journal of Functional Nutrition
      • International Journal of Functional Nutrition
      • Information for Authors
      • Editorial Policies
      • Editorial Board
      • Aims and Scope
      • Abstracting and Indexing
      • Bibliographic Information
      • Archive
    • International Journal of Epigenetics
      • International Journal of Epigenetics
      • Information for Authors
      • Editorial Policies
      • Editorial Board
      • Aims and Scope
      • Abstracting and Indexing
      • Bibliographic Information
      • Archive
    • Medicine International
      • Medicine International
      • Information for Authors
      • Editorial Policies
      • Editorial Board
      • Aims and Scope
      • Abstracting and Indexing
      • Bibliographic Information
      • Archive
  • Articles
  • Information
    • Information for Authors
    • Information for Reviewers
    • Information for Librarians
    • Information for Advertisers
    • Conferences
  • Language Editing
Spandidos Publications Logo
  • About
    • About Spandidos
    • Aims and Scopes
    • Abstracting and Indexing
    • Editorial Policies
    • Reprints and Permissions
    • Job Opportunities
    • Terms and Conditions
    • Contact
  • Journals
    • All Journals
    • Biomedical Reports
      • Information for Authors
      • Editorial Policies
      • Editorial Board
      • Aims and Scope
      • Abstracting and Indexing
      • Bibliographic Information
      • Archive
    • Experimental and Therapeutic Medicine
      • Information for Authors
      • Editorial Policies
      • Editorial Board
      • Aims and Scope
      • Abstracting and Indexing
      • Bibliographic Information
      • Archive
    • International Journal of Epigenetics
      • Information for Authors
      • Editorial Policies
      • Editorial Board
      • Aims and Scope
      • Abstracting and Indexing
      • Bibliographic Information
      • Archive
    • International Journal of Functional Nutrition
      • Information for Authors
      • Editorial Policies
      • Editorial Board
      • Aims and Scope
      • Abstracting and Indexing
      • Bibliographic Information
      • Archive
    • International Journal of Molecular Medicine
      • Information for Authors
      • Editorial Policies
      • Editorial Board
      • Aims and Scope
      • Abstracting and Indexing
      • Bibliographic Information
      • Archive
    • International Journal of Oncology
      • Information for Authors
      • Editorial Policies
      • Editorial Board
      • Aims and Scope
      • Abstracting and Indexing
      • Bibliographic Information
      • Archive
    • Medicine International
      • Information for Authors
      • Editorial Policies
      • Editorial Board
      • Aims and Scope
      • Abstracting and Indexing
      • Bibliographic Information
      • Archive
    • Molecular and Clinical Oncology
      • Information for Authors
      • Editorial Policies
      • Editorial Board
      • Aims and Scope
      • Abstracting and Indexing
      • Bibliographic Information
      • Archive
    • Molecular Medicine Reports
      • Information for Authors
      • Editorial Policies
      • Editorial Board
      • Aims and Scope
      • Abstracting and Indexing
      • Bibliographic Information
      • Archive
    • Oncology Letters
      • Information for Authors
      • Editorial Policies
      • Editorial Board
      • Aims and Scope
      • Abstracting and Indexing
      • Bibliographic Information
      • Archive
    • Oncology Reports
      • Information for Authors
      • Editorial Policies
      • Editorial Board
      • Aims and Scope
      • Abstracting and Indexing
      • Bibliographic Information
      • Archive
    • World Academy of Sciences Journal
      • Information for Authors
      • Editorial Policies
      • Editorial Board
      • Aims and Scope
      • Abstracting and Indexing
      • Bibliographic Information
      • Archive
  • Articles
  • Information
    • For Authors
    • For Reviewers
    • For Librarians
    • For Advertisers
    • Conferences
  • Language Editing
Login Register Submit
  • This site uses cookies
  • You can change your cookie settings at any time by following the instructions in our Cookie Policy. To find out more, you may read our Privacy Policy.

    I agree
Search articles by DOI, keyword, author or affiliation
Search
Advanced Search
presentation
Biomedical Reports
Join Editorial Board Propose a Special Issue
Print ISSN: 2049-9434 Online ISSN: 2049-9442
Journal Cover
May-2026 Volume 24 Issue 5

Full Size Image

Sign up for eToc alerts
Recommend to Library

Journals

International Journal of Molecular Medicine

International Journal of Molecular Medicine

International Journal of Molecular Medicine is an international journal devoted to molecular mechanisms of human disease.

International Journal of Oncology

International Journal of Oncology

International Journal of Oncology is an international journal devoted to oncology research and cancer treatment.

Molecular Medicine Reports

Molecular Medicine Reports

Covers molecular medicine topics such as pharmacology, pathology, genetics, neuroscience, infectious diseases, molecular cardiology, and molecular surgery.

Oncology Reports

Oncology Reports

Oncology Reports is an international journal devoted to fundamental and applied research in Oncology.

Experimental and Therapeutic Medicine

Experimental and Therapeutic Medicine

Experimental and Therapeutic Medicine is an international journal devoted to laboratory and clinical medicine.

Oncology Letters

Oncology Letters

Oncology Letters is an international journal devoted to Experimental and Clinical Oncology.

Biomedical Reports

Biomedical Reports

Explores a wide range of biological and medical fields, including pharmacology, genetics, microbiology, neuroscience, and molecular cardiology.

Molecular and Clinical Oncology

Molecular and Clinical Oncology

International journal addressing all aspects of oncology research, from tumorigenesis and oncogenes to chemotherapy and metastasis.

World Academy of Sciences Journal

World Academy of Sciences Journal

Multidisciplinary open-access journal spanning biochemistry, genetics, neuroscience, environmental health, and synthetic biology.

International Journal of Functional Nutrition

International Journal of Functional Nutrition

Open-access journal combining biochemistry, pharmacology, immunology, and genetics to advance health through functional nutrition.

International Journal of Epigenetics

International Journal of Epigenetics

Publishes open-access research on using epigenetics to advance understanding and treatment of human disease.

Medicine International

Medicine International

An International Open Access Journal Devoted to General Medicine.

Journal Cover
May-2026 Volume 24 Issue 5

Full Size Image

Sign up for eToc alerts
Recommend to Library

  • Article
  • Citations
    • Cite This Article
    • Download Citation
    • Create Citation Alert
    • Remove Citation Alert
    • Cited By
  • Similar Articles
    • Related Articles (in Spandidos Publications)
    • Similar Articles (Google Scholar)
    • Similar Articles (PubMed)
  • Download PDF
  • Download XML
  • View XML

  • Supplementary Files
    • Supplementary_Data.pdf
Article Open Access

Efficacy and safety of antifungal prophylaxis in surgical intensive care unit patients: A systematic review and meta‑analysis of randomized controlled trials

  • Authors:
    • Ika N. Kadariswantiningsih
    • Maulana A. Empitu
    • Edwin Danardono
    • Ivan Rahmatullah
    • Alicia Margaretta Widya
    • Eko Budi Koendhori
    • Derren D.c.h. Rampengan
    • Ekram Arima
    • Pepy Dwi Endraswari
  • View Affiliations / Copyright

    Affiliations: Department of Medical Microbiology, Faculty of Medicine, Universitas Airlangga, Surabaya, East Java 60131, Indonesia, Department of Pharmacology, Faculty of Medicine, Universitas Airlangga, Surabaya, East Java 60131, Indonesia, Department of Surgery, Faculty of Medicine, Universitas Airlangga, Surabaya, East Java 60131, Indonesia, Department of Medicine, Faculty of Health, Medicine and Natural Sciences, Universitas Airlangga, Banyuwangi, East Java 68425, Indonesia, Department of Clinical Microbiology, Dr. Soetomo Regional Hospital, Faculty of Medicine, Universitas Airlangga, Surabaya, East Java 60131, Indonesia, Department of Medicine, Faculty of Medicine, Universitas Sam Ratulangi, Manado, North Sulawesi 95115, Indonesia, Department of Integrative Neuroscience, Graduate School of Biomedical Sciences, Nagasaki University, Nagasaki 852‑8520, Japan
    Copyright: © Kadariswantiningsih et al. This is an open access article distributed under the terms of Creative Commons Attribution License.
  • Article Number: 62
    |
    Published online on: March 23, 2026
       https://doi.org/10.3892/br.2026.2135
  • Expand metrics +
Metrics: Total Views: 0 (Spandidos Publications: | PMC Statistics: )
Metrics: Total PDF Downloads: 0 (Spandidos Publications: | PMC Statistics: )
Cited By (CrossRef): 0 citations Loading Articles...

This article is mentioned in:


Abstract

 Invasive fungal infections (IFIs) are serious complications among surgical intensive care unit (ICU) patients, leading to substantial morbidity and mortality. Antifungal prophylaxis and pre‑emptive strategies are employed to reduce the risk of such infections, although their effectiveness and safety remain subjects of debate. The present systematic review and meta‑analysis included randomized controlled trials evaluating antifungal prophylaxis or pre‑emptive therapy in surgical ICU patients. Searches in the PubMed, Scopus, Google Scholar and Science Direct databases up to February 2025 identified 11 eligible studies. Pooled analyses demonstrated that antifungal prophylaxis significantly reduced the risk of IFIs [risk ratio (RR)=0.63; 95% CI, 0.50‑0.78; P<0.0001]. While azoles were effective, polyenes and echinocandins did not show a significant effect. No significant effect on overall mortality was observed (RR=0.99; 95% CI, 0.75‑1.31; P=0.9186), and there was no increased risk of severe adverse events (RR=0.98; 95% CI, 0.70‑1.36) or liver dysfunction (RR=0.91; 95% CI, 0.31‑2.65). The analysis did not reveal strong evidence of publication bias as evaluated by funnel plots. Overall, the results indicated that antifungal prophylaxis appeared to be effective in reducing the risk of IFIs in surgical ICU patients without elevating the risk of serious side effects. The implementation of this therapy should be targeted toward high‑risk populations, considering the antifungal type, local resource availability and antimicrobial management parameters. The evidence of prophylaxis therapy in low‑risk population is limited, since the majority of included studies in the present meta‑analysis analyzed high‑risk populations.

Introduction

Invasive fungal infections (IFIs) are serious complications among patients admitted to surgical intensive care units (ICUs), driven by profound alterations in host microbiota and secondary immunosuppression. Surgical ICU patients face a unique constellation of predisposing factors, including broad-spectrum antibiotic use leading to dysbiosis, major surgical procedures that disrupt natural barriers, indwelling intravascular catheters that facilitate bloodstream invasion, mechanical ventilation that impairs mucociliary clearance, and immunocompromising conditions due to comorbidities or immunosuppressive therapy (1). Among the causative pathogens, Candida species predominate, often resulting in substantial morbidity, prolonged hospitalization, higher healthcare costs and mortality rates that remain unacceptably high despite advances in critical care (2).

IFI caused high rates of mortality in the surgical ICU. The Extended Prevalence of Infection in Intensive Care/EPIC II study, which collected data from 75 countries, reported that fungal infections accounted for 19.4% of all ICU infections, with Candida albicans as the most frequent species with prevalence of 6.9 per 1,000 patients (3,4). A previous study reported a candidiasis prevalence of 3.5% among ICU patients with a mortality rate of 81.8% (5). Similarly, a study in a developing country (Indonesia) showed that Candida species accounted for 92.2% of ICU fungal infections, with a 50% mortality rate (6). While incidence rates differ substantially between developed and developing countries, mortality remains high, ranging from 50 to 81.8% (3-6). These findings may reflect the gap in diagnostic capabilities to detect IFI between countries, but despite that, the treatment of IFI is still a substantial issue given the high mortality rates. These figures underscore the substantial burden of IFIs in surgical ICUs and the pressing need for effective preventive strategies.

Antifungal prophylaxis has been proposed as an intervention to reduce IFI incidence in high-risk surgical ICU populations by suppressing fungal colonization, preventing invasive disease, improving clinical outcomes, and reducing the economic burden of prolonged and complex care (7). Treatment of fungal IFI often requires weeks of antifungal administration in the ICU and increases the risk of drug interactions since some commonly used agents, such as azoles, could interfere with the metabolism of other drugs (7). However, its use remains controversial due to concerns about antifungal resistance, biofilm formation, drug-related toxicity and cost implications (8-11). Randomized controlled trials (RCTs) evaluating antifungal prophylaxis in surgical ICU patients have yielded conflicting results, with certain trials demonstrating notable reductions in IFI incidence and others showing no meaningful benefit (8,9).

To date, to the best of our knowledge, no meta-analysis has specifically examined the effectiveness of antifungal prophylaxis in preventing IFIs in postoperative surgical ICU patients, regardless of the underlying diagnosis. Existing meta-analyses have largely focused on very specific population such as patients with critical illness, hematologic malignancies or hematopoietic stem cell transplantation, limiting their applicability to surgical ICU settings (2,12). A previous notable meta-analysis on fluconazole prophylaxis in critically ill surgical patients reported reduced IFI incidence but no survival advantage (12).

Given the heterogeneity and inconclusive nature of the available evidence, there is a critical need for a comprehensive systematic review and meta-analysis focused on surgical ICU patients. Such an analysis could provide a robust evidence base for clinical decision-making and policy development regarding antifungal prophylaxis in this high-risk population. The present study aimed to address this gap by analyzing data from RCTs to evaluate the efficacy and safety of antifungal prophylaxis in reducing IFI incidence and improving clinical outcomes in postoperative surgical ICU patients, thereby guiding evidence-based practice to enhance patient safety and optimize healthcare resource utilization.

Materials and methods

Study design

The current systematic review and meta-analysis was conducted in accordance with the Preferred Reporting Items for Systematic Reviews and Meta-Analyses (PRISMA) 2020 guidelines (13). The study protocol was prospectively registered in the International Prospective Register of Systematic Reviews with registration no. CRD420251013674 (https://www.crd.york.ac.uk/PROSPERO/view/CRD420251013674).

Literature search strategy

A comprehensive literature search was performed based on the Population, Intervention, Comparator, Outcome and Study design criteria (13). The search was conducted using PubMed (pubmed.ncbi.nlm.nih.gov), Scopus (scopus.com), Google Scholar (scholar.google.com) and ScienceDirect (www.sciencedirect.com) from database inception to February 2025. The search strategy combined Medical Subject Headings and free-text terms related to the population, intervention, comparator and outcomes, with appropriate adjustments for each database (Table SI). For the population, search terms included ‘intensive care units, surgical’, ‘surgical intensive care unit’, ‘SICU’, ‘critically ill patients’, ‘postoperative patients’, ‘septic shock’, ‘multiple organ dysfunction syndrome’, ‘mechanical ventilation’ and ‘total parenteral nutrition’. For the intervention, terms such as ‘antifungal agents’, ‘antifungal prophylaxis’, ‘prophylactic antifungal therapy’, ‘pre-emptive antifungal therapy’ and ‘fungal infection prevention’ were applied. For comparator, terms such as ‘empirical antifungal therapy’ and ‘placebo’ were applied. For outcomes, terms such as ‘mortality’, ‘incidence’, ‘adverse events’ and ‘length of stay’ were used. The search was not restricted by language or the earliest publication date. The reference lists of all included studies and relevant reviews were screened to identify additional eligible articles.

Eligibility criteria

Studies were eligible if they enrolled patients aged ≥12 years admitted to a surgical ICU, evaluated antifungal prophylaxis or pre-emptive therapy with agents such as azoles, echinocandins or polyenes, and compared these interventions with a placebo, no prophylaxis or an alternative antifungal agent. The primary outcome of interest was the incidence of IFIs, including candidemia and invasive candidiasis. Secondary outcomes included all-cause mortality, length of ICU stay and adverse events. Only RCTs were included. Studies were excluded if they involved exclusively medical ICU patients, neonatal ICU patients or solely immunosuppressed populations, unless these formed parts of a mixed surgical ICU cohort. Observational studies, case reports, case series, narrative reviews, editorials and in vitro or animal studies were not considered. Studies that did not report the incidence of IFIs or relevant clinical outcomes were also excluded.

Study selection

Two authors independently screened the titles and abstracts of all retrieved references to identify potentially relevant studies. The full-text articles of these studies were then assessed for eligibility according to the inclusion and exclusion criteria (Table I). Any disagreements between the authors were resolved through discussion or consultation with a third author. The study selection process was documented in a PRISMA flow diagram, which detailed the number of records identified, screened and included, as well as the reasons for exclusion at each stage.

Table I

Inclusion and exclusion criteria.

Table I

Inclusion and exclusion criteria.

ComponentInclusion criteriaExclusion criteria
PopulationStudies with patients ≥12 years old in surgical ICUs.Studies with non-surgical ICU patients (such as medical ICU and neonatal ICU). Studies with only immunosuppressed patients, unless part of a mixed surgical ICU population.
InterventionStudies evaluating antifungal prophylaxis or pre-emptive therapy (fluconazole, echinocandins and amphotericin B, among others).Studies evaluating treatment/therapy of fungal infections, not prophylaxis. Studies focusing solely on antifungal de-escalation strategies.
ComparatorPlacebo or no antifungal prophylaxis. Comparisons between different antifungal agents.NA
OutcomesPrimary: Incidence of fungal infection (such as candidemia and invasive candidiasis). Secondary: Mortality, length of stay at the ICU and adverse events.Studies not reporting fungal infection incidence or other clinically relevant outcomes
Study designRCTs.Observational studies, case reports, case series, commentaries, editorials, narrative reviews, expert opinions, animal studies or in vitro studies.
Publication languageAny language (English and non-English).NA

[i] ICU, intensive care unit; RCT, randomized controlled trial; NA, not applicable.

Data extraction and management

Data from eligible studies were extracted independently by two authors using a standardized data extraction form to ensure consistency. The extracted data included the following information: i) Study characteristics, such as author, year, country and setting; ii) patient demographics and clinical characteristics; ii) details of the antifungal intervention, including class, agent, dosage, route and duration; iv) comparator details; and v) outcomes, including the incidence of IFIs, mortality, length of stay at the ICU and adverse events such as liver function abnormalities, when the data were available. Discrepancies in the extracted data were resolved through consensus.

Risk of bias assessment

The risk of bias for the included RCTs was assessed using the Cochrane Risk of Bias 2.0 tool, which evaluates five domains: Bias arising from the randomization process, bias due to deviations from intended interventions, bias due to missing outcome data, bias in measurement of the outcome and bias in selection of the reported result (14). Each domain was rated as ‘low risk’, ‘some concerns’ or ‘high risk’ of bias. Visual summaries of the assessments were generated using the Risk-of-Bias VISualization tool (version 0.3.0.900) (15).

Data synthesis and statistical analysis

Meta-analysis was performed using RStudio and the ‘meta’ package version 8.2-1 (Posit Software, PBC). For dichotomous outcomes, pooled risk ratios (RRs) with 95% CIs were calculated. Heterogeneity among studies was assessed using the χ2 test and quantified with the I2 statistic. A random-effects model was used for all meta-analyses. Subgroup analyses were performed according to antifungal class (azole, echinocandin and polyene) and prophylaxis type (prophylactic vs. pre-emptive). Publication bias was assessed visually with funnel plots and statistically analyzed using Egger's test. A leave-one-out sensitivity analyses were conducted to evaluate the robustness of the results by excluding studies at high risk of bias. A leave-one-out sensitivity analysis was performed to evaluate the influence of each individual study on the overall pooled effect. The analysis sequentially excluded each RCT and recalculated the pooled RR to determine whether the findings were dependent on any single study. P<0.05 was considered to indicate a statistically significant difference.

Results

Systematic search and study selection

The literature search identified a total of 1,578 records through database searches, with an additional 11 records identified through manual reference checks. After removing duplicates, 1,355 records remained for title and abstract screening. Of these, 1,066 records were excluded due to not meeting the eligibility criteria, leaving 289 articles for full-text assessment. Following a detailed review, 278 articles were excluded for reasons including non-RCT design, inappropriate patient population, irrelevant intervention or absence of predefined outcomes. Ultimately, 11 RCTs met the inclusion criteria and were included in the meta-analysis (9,16-25). The study selection process is presented as a PRISMA flow diagram in Fig. 1.

Preferred Reporting Items for
Systematic Reviews and Meta-Analyses flow diagram showing the
systematic search and study selection process. RCT, randomized
controlled trial.

Figure 1

Preferred Reporting Items for Systematic Reviews and Meta-Analyses flow diagram showing the systematic search and study selection process. RCT, randomized controlled trial.

Quality assessment

All 11 included trials underwent risk of bias assessment using the Cochrane Risk of Bias 2.0 tool. Most trials exhibited low risk of bias across all domains, indicating good methodological rigor. Several studies showed ‘some concerns’ in several domains of evaluation. In total, 6 studies were evaluated as exhibiting ‘some concerns’ in the randomization process due to limitations in allocation concealment or absence of blinded outcome assessment (domain 1) (16,17,20,21,24,25), 2 studies were evaluated as presenting ‘some concerns’ due to deviations from the intended interventions (domain 2) (19,24), 6 studies exhibited ‘some concerns’ regarding missing outcomes (domain 3), 1 study presented a possibility of bias in outcome measurement due to limited information of the method used to detect the fungal infection (domain 4) (19), and 3 studies showed ‘some concerns’ in the selection of the reported result due to limited availability of outcomes in the registered clinical trial protocol (domain 5) (9,19,20). No trial was rated as having a high risk of bias. The graphical traffic-light and summary plots in Fig. 2 provide an overview of domain-specific assessments.

Risk of bias assessment of the
included trials using the Cochrane Risk of Bias 2.0 tool. (A)
Traffic-light plot summarizing domain-specific judgements for each
trial. (B) Summary plot displaying the proportion of trials with
low risk, some concerns or high risk of bias across domains. D,
domain.

Figure 2

Risk of bias assessment of the included trials using the Cochrane Risk of Bias 2.0 tool. (A) Traffic-light plot summarizing domain-specific judgements for each trial. (B) Summary plot displaying the proportion of trials with low risk, some concerns or high risk of bias across domains. D, domain.

Characteristics of the included studies

The characteristics of the included studies are presented in Table II. The included RCTs had cumulative sample sizes ranging between 43 and 292 patients. Geographically, the studies spanned Europe and North America with patient populations drawn from surgical ICUs following major abdominal surgery, trauma surgery, gastrointestinal perforations or complicated postoperative courses. The antifungal agents evaluated included azoles (fluconazole), echinocandins (caspofungin and micafungin) and polyenes (amphotericin B). The duration of prophylaxis varied from 5 days to 4 weeks. All trials reported IFI incidence as a primary outcome. Secondary outcomes included mortality, adverse events and liver function abnormalities.

Table II

Characteristics of included studies.

Table II

Characteristics of included studies.

 Sample size Age, years 
First author/s, yearCountryIntervention categoryDrug classIntervention and doseControlDuration of interventionCITotalSurgery typeCIRecorded risk factors(Refs.)
Eggimann et al, 1999SwitzerlandProphylaxisAzolesFluconazole 400 mg i.v. once a dayPlaceboGiven from the admission to ICU until complete resolution of abdominal disease. If fungal infection occurs, the treatment is switched to amphotericin B.202343GI57.0 (33.0-78.0)63.0 (21.0-82.0)Diabetes, corticosteroid treatment, antibiotic therapy, parenteral nutrition, splenectomy(16)
Garbino et al, 2002SwitzerlandProphylaxisAzolesFluconazole 100 mg i.v., polymyxin B (37.5 mg), neomycin (250 mg) and vancomycin (250 mg) syrup; six times daily for the entire treatment.Polymy xin B (37.5 mg), neomycin (250 mg) and vancomycin (250 mg) syrup; six times daily without fluconazoleGiven from the admission to ICU until a fungal infection developed, withdrawal from mechanical ventilation or suspicion of a serious adverse event.101103204GI, CV, neuronal and orthopedic55.9±18.052.9±19.0Diabetes, COPD CKD, neurological disorder, cancer, chronic liver failure(17)
Giglio et al, 2012ItalyProphylaxisPolyenesNystatin 2x106 U/day administered three times daily via the nasogastri tubePlaceboAt least 48 h Criteria for stopping the prophylaxis are unknown.504999GI, neuronal and trauma58.0±19.054.0±22.0Diabetes, corticosteroid treatment, neutropenia, antibiotic therapy, parenteral nutrition, CKD,central venous catheter(18)
Hanson et al, 2012USAPre-emptiveEchinoc andinsAnidulafungin 100 mg i.v., single dose dailyPlaceboAt least 14 days.174764GI60.0 (22.0-82.0)58.0 (19.0-79.0)Diabetes, CKD, parenteral nutrition, antibiotics treatment(19)
Knitsch et al, 2015GermanyPre-emptiveEchinoc andinsMicafungin 100 mg i.v. dailyPlacebo6 weeks unless the subject experiences EOT event: Confirmed invasive candidiasis, improvement in surgical condition (as indicated by recovery of gastrointestinal function allowing enteral feeding of up to 50% of daily calorie requirement), alternative antifungal treatment or death.124117241GI63.0±15.861.0±14.8Not recorded(9)
Ostrosky-Zeichner et al, 2014USAPre-emptive and prophylaxisEchinoc andinsCaspofungin 70 mg i.v. loading dose, followed by 50 mg i.v. once dailyPlaceboFor the duration of stay in the ICU, maximum of 28 days.102117219GI, CV and trauma56.7±16.658.2±17.6Metabolic disease, CKD, pancreatitis, neurological disorder, infection(20)
Pelz et al, 2001USAProphylaxisAzolesFluconazole loading dose, 800 mg; maintenance, 400 mg p.o. or i.v. once dailyPlaceboAdministered until initiation of empirical antifungals or ICU discharge.130130260Not specified66.0 (20.0-88.0)63.0 (18.0-92.0)Diabetes, antibiotic use, CKD, HIV infection(21)
Quinio et al, 1996FranceProphylaxis, selective digestive decontaminationPolyenesColistin sulfate (polymixin E; 10 mg/ml), gentamicin (8 mg/ml) and ampho-tericin B (50 mg/ml) instilled through the nasogastric tube (10 ml) and nostrils (2 ml in each) four times daily; a gel with antibiotics was applied in the oroph-aryngeal cavity, four times dailyPlaceboStarted within a day in ICU until 24 h after extubation or beginning of enteral feeding.7276148GI, thorax and head trauma33.0±15.035.5±16.0Mechanical ventilation, antibiotic use(22)
Sandven et al, 2002NorwayProphylaxisAzolesFluconazole 400 mg i.v. intraoperativelyPlaceboSingle dose, intraoperatively5653109GI60.0 (15.0-87.0)68.0 (13.0-86.0)Antibiotic use, diabetes, cancer(23)
Savino et al, 1994USAProphylaxisAzoles, polyenesClotrimazole 10 mg three times daily or ketoconazole 200 mg daily or nystatin 2,000,000 units four times dailyPlaceboUnknown.72220292Trauma and non-trauma54.0±19.0Clotrimazole: 54.0±19.0; ketoconazole 57.0±18.0; nystatin: 53.0±20.0Ventilator, antibiotic use(24)
Slotman et al, 1988USAProphylaxisAzolesKetoconazole 200 mg p.o. dailyPlacebo21 days or until discharged from surgical ICU.363571GI, CV, thorax, orthopedic, neuronal, genitourinary, trauma and other58.0 (18.0-91.0)57.0 (19.0-87.0)Critically ill surgical patients (MODS, sepsis, AKI, major burns or malnutrition)(25)

[i] Age is presented as the mean ± SD or median (range). AKI, acute kidney injury; C, control; CV, cardiovascular; EOT, end of treatment; GI, gastrointestinal; I, intervention; i.v., intravenously; p.o., per os; COPD, chronic obstructive pulmonary disease; CKD, chronic kidney disease; MODS, multiple organs dysfunction syndrome; ICU, intensive care unit.

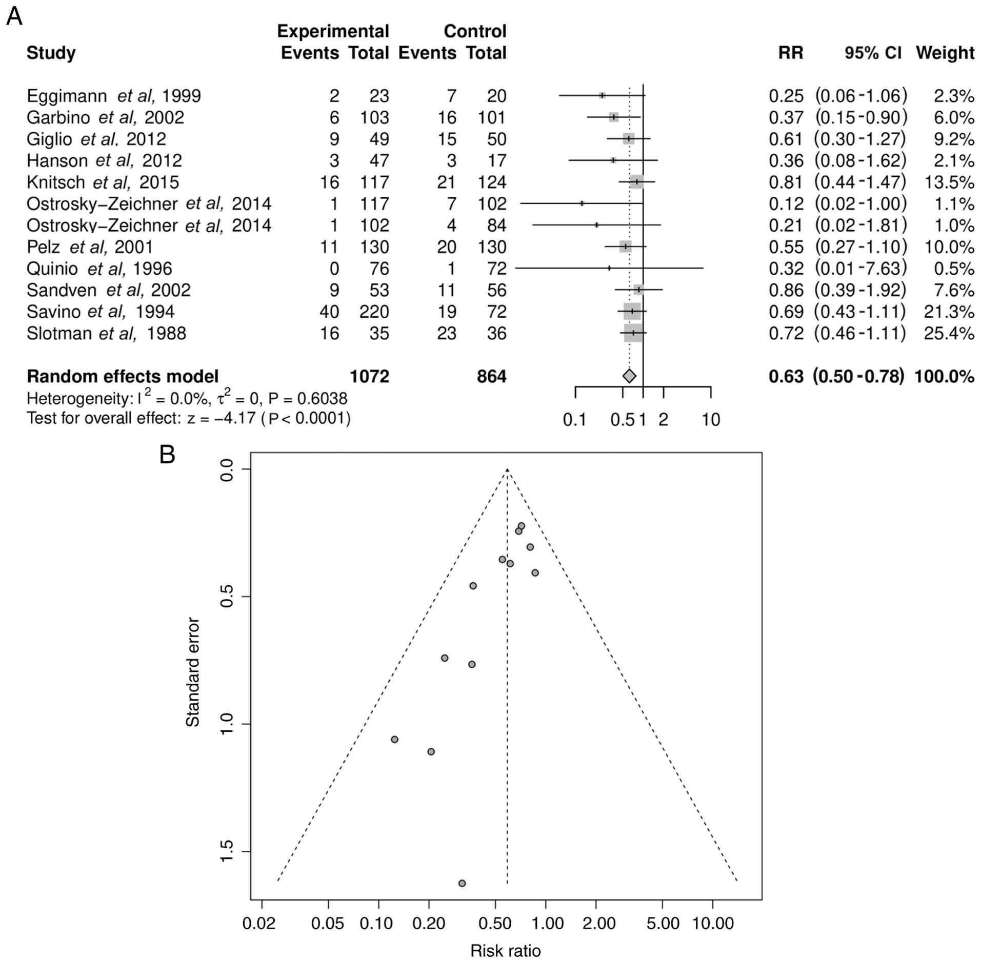
Effect of antifungal prophylaxis or pre-emptive therapy on fungal infection risk

Meta-analysis of all 11 trials demonstrated a statistically significant reduction in the incidence of IFIs in patients receiving antifungal prophylaxis or pre-emptive therapy compared with the controls (RR=0.63; 95% CI, 0.50-0.78; P<0.0001; Fig. 3A). Heterogeneity was low (I2=0.0%; τ2=0; P=0.6038), supporting the robustness of the pooled estimate. The forest plot (Fig. 3A) illustrates the consistent direction of the effect across studies. The funnel plot for this analysis (Fig. 3B) appeared symmetrical, but Egger's test showed statistical evidence of publication bias (P=0.0009).

Effect of antifungal prophylaxis or
pre-emptive therapy vs. control on the incidence of invasive fungal
infections. (A) Forest plot showing the pooled relative risk
estimates across 12 trials. (B) Funnel plot demonstrating
symmetrical distribution, suggesting minimal publication bias. RR,
risk ratio.

Figure 3

Effect of antifungal prophylaxis or pre-emptive therapy vs. control on the incidence of invasive fungal infections. (A) Forest plot showing the pooled relative risk estimates across 12 trials. (B) Funnel plot demonstrating symmetrical distribution, suggesting minimal publication bias. RR, risk ratio.

A leave-one-out sensitivity analysis was conducted to assess the robustness of the primary pooled effect (Fig. 4). In this analysis, the study of Ostrosky-Zeichner et al (20) was included twice since it presented two analyses of different interventions, prophylaxis and pre-emptive strategies. The omission of each individual study sequentially did not change the effect estimate. The recalculated RRs ranged from 0.60 to 0.65 and all 95% CIs remained below 1.0 (95% CI range, 0.48-0.81), with statistically significant results, indicating a consistent protective effect. No single trial exerted a disproportionate influence on the direction or magnitude of the overall outcome. Heterogeneity remained negligible across all iterations (I2=0%). These findings demonstrated that the pooled effect was stable and not driven by any single study.

Leave-one-out sensitivity analysis
demonstrating study influence on the pooled treatment effect. Each
line represents the recalculated relative risk after removing one
study from the analysis. The pooled estimates remained narrowly
distributed (RR range, 0.56-0.61) with CIs consistently <1.0,
confirming that no single trial disproportionately influenced the
findings. RR, risk ratio.

Figure 4

Leave-one-out sensitivity analysis demonstrating study influence on the pooled treatment effect. Each line represents the recalculated relative risk after removing one study from the analysis. The pooled estimates remained narrowly distributed (RR range, 0.56-0.61) with CIs consistently <1.0, confirming that no single trial disproportionately influenced the findings. RR, risk ratio.

Subgroup analysis: Prophylaxis vs. pre-emptive therapy

When stratified by strategy, prophylaxis significantly reduced IFI risk but pre-emptive therapy did not. Prophylaxis yielded a pooled RR of 0.62 (95% CI, 0.49-0.79; P=0.0001) with non-significant heterogeneity (I2=0.0%; τ²=0; P=0.6944), while pre-emptive therapy showed a pooled RR of 0.47 (95% CI, 0.17-1.27; P=0.1378) with moderate but non-significant heterogeneity (I2=44.7%; τ2=0.3677; P=0.1637) (Fig. 5A and B). The funnel plots for each subgroup (Fig. 5C and D) generally demonstrated symmetrical distribution, but there was a significant publication bias among publications analyzed in Fig. 5D as assessed by Egger's test (Fig. 5C, P=0.1138; Fig. 5D, P=0.0236).

Subgroup analysis by intervention
strategy. (A) Forest plot for prophylaxis trials. (B) Forest plot
for pre-emptive therapy trials. (C) Funnel plot for prophylaxis.
(D) Funnel plot for pre-emptive therapy. RR, risk ratio.

Figure 5

Subgroup analysis by intervention strategy. (A) Forest plot for prophylaxis trials. (B) Forest plot for pre-emptive therapy trials. (C) Funnel plot for prophylaxis. (D) Funnel plot for pre-emptive therapy. RR, risk ratio.

Subgroup analysis stratified by antifungal class

Azole prophylaxis was associated with a significant reduction in IFI risk (RR=0.62; 95% CI, 0.48-0.80; P=0.0002) and low heterogeneity (I2=0.0%; τ2=0; P=0.6002) (Fig. 6A). By contrast, echinocandin prophylaxis (RR=0.44; 95% CI, 0.18-1.04; P=0.0614) with heterogeneity of I2=35.6% (τ2=0.2923; P=0.1983) (Fig. 6B) and polyene prophylaxis (RR=0.71; 95% CI, 0.46-1.12; P=0.1407) with heterogeneity of I2=0.0% (τ2=0; P=0.7402) (Fig. 6C) were not significantly associated with protection from IFI risk. In this analysis, the study of Ostrosky-Zeichner et al (20) was included twice since it presented analyses of two different interventions, prophylaxis and pre-emptive strategies. This analysis also separated the study of Savino et al (24) since by three different types of intervention, clotrimazole, ketoconazole and nystatin. The funnel plots for azoles (Egger's test P=0.0615), echinocandins (Egger's test P=0.0207) and polyenes (Egger's test P=0.4220) (Fig. 7A-C) were symmetrical, indicating no strong evidence of publication bias except for the studies that investigated echinocandins.

Subgroup analysis by antifungal
class. (A) Forest plot for azoles. The study by Savino et
al, 1994 is analyzed twice since it contains two different
intervention groups, clotrimazole (*) and ketoconazole
(**). (B) Forest plot for echinocandins. (C) Forest plot
for polyenes. The study by Savino et al, 1994 is represented
in this plot with the nystatin group (***). RR, risk
ratio.

Figure 6

Subgroup analysis by antifungal class. (A) Forest plot for azoles. The study by Savino et al, 1994 is analyzed twice since it contains two different intervention groups, clotrimazole (*) and ketoconazole (**). (B) Forest plot for echinocandins. (C) Forest plot for polyenes. The study by Savino et al, 1994 is represented in this plot with the nystatin group (***). RR, risk ratio.

Funnel plots for studies stratified
by antifungal class. (A) Azoles, (B) echinocandins and (C)
polyenes.

Figure 7

Funnel plots for studies stratified by antifungal class. (A) Azoles, (B) echinocandins and (C) polyenes.

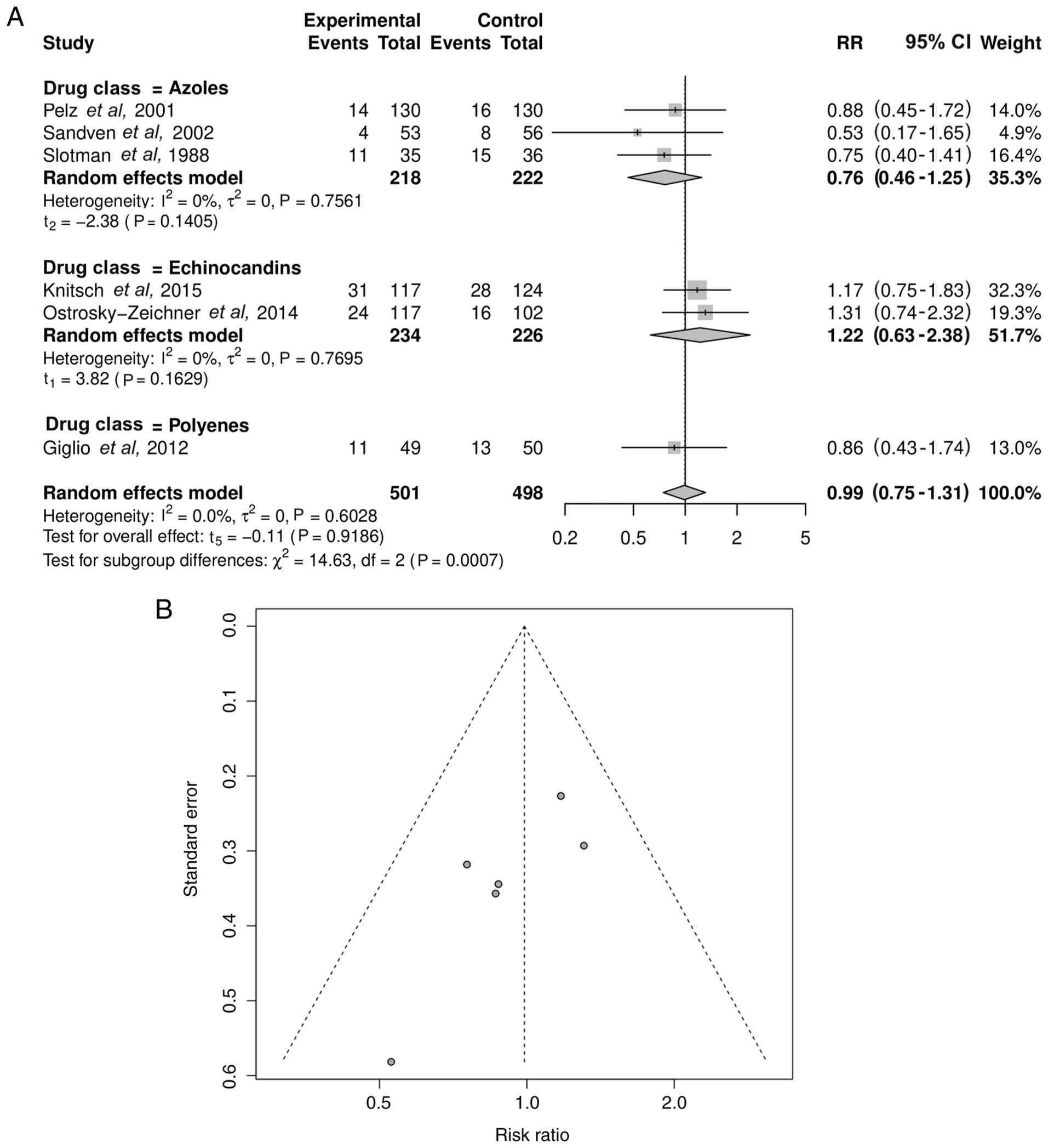
Effect on mortality

In total, 6 trials reported all-cause mortality. Pooled analysis revealed no significant difference in the mortality risk between the antifungal prophylaxis and control groups (RR=0.99; 95% CI, 0.75-1.31; P=0.9186) with low heterogeneity (I2=0.0%; τ2=0; P=0.6028) (Fig. 8A). The funnel plot for mortality (Fig. 8B) was symmetrical (Egger's test P=0.0563).

Effect of antifungal prophylaxis on
all-cause mortality. (A) Forest plot and (B) funnel plot indicating
symmetry and lack of publication bias. df, degrees of freedom; RR,
risk ratio.

Figure 8

Effect of antifungal prophylaxis on all-cause mortality. (A) Forest plot and (B) funnel plot indicating symmetry and lack of publication bias. df, degrees of freedom; RR, risk ratio.

Severe adverse events and liver function abnormalities

In total, 3 trials reported severe adverse events. Pooled analysis revealed no significant association between antifungal prophylaxis and the risk of severe adverse events (RR=0.98; 95% CI, 0.70-1.36; P=0.8839) with heterogeneity of I2=0.0% (τ2=0; P=0.9254) (Fig. 9A). In total, 3 trials reported liver function outcomes. The pooled RR for liver dysfunction was 0.91 (95% CI, 0.31-2.65; P=0.8619) with heterogeneity of I2=55.1% (τ2=0.4761; P=0.1076) (Fig. 9B). The corresponding funnel plots (Fig. 9C and D) showed a balanced distribution (Egger's test P=0.8266 and 0.8852, respectively), suggesting no major publication bias.

Effect of antifungal prophylaxis on
severe adverse events. (A) Forest plot for severe adverse events.
(B) Forest plot for liver function abnormalities. (C) Funnel plot
for severe adverse events. (D) Funnel plot for liver function
abnormalities. RR, risk ratio.

Figure 9

Effect of antifungal prophylaxis on severe adverse events. (A) Forest plot for severe adverse events. (B) Forest plot for liver function abnormalities. (C) Funnel plot for severe adverse events. (D) Funnel plot for liver function abnormalities. RR, risk ratio.

Discussion

The present systematic review and meta-analysis demonstrated that antifungal prophylaxis (especially when administered as prophylaxis but not as a pre-emptive strategy) significantly reduced the risk of fungal infections in surgical ICU patients without increasing the risk of severe adverse events or hepatotoxicity. Across 11 RCTs, azoles were effective, while polyenes and echinocandins did not confer a significant benefit. Despite the reduction in IFI risk, no mortality benefit was observed.

The relative risk reduction in fungal infection incidence is clinically meaningful and mirrors outcomes reported in populations with hematologic malignancies and transplantations (1,26,27). Surgical ICU patients face multiple predisposing factors, including gastrointestinal surgery, central venous catheters, parenteral nutrition, prolonged ventilation and broad-spectrum antibiotics administration, which increase the susceptibility to IFIs (12,26,28). The present findings suggest that targeted prophylaxis offers substantial protection in this context.

Although prophylaxis was effective, pre-emptive therapy did not reduce the IFI risk. This difference may be attributed to earlier intervention, as pre-emptive approaches often depend on the presence of biomarkers such as β-D-glucan or galactomannan, which may allow limited fungal proliferation before therapy begins (9,19,20). These results align with the 2025 guideline by the European Confederation of Medical Mycology, International Society of Human and Animal Mycology (ISHAM) and American Society for Microbiology (ASM) for the diagnosis and management of candidiasis (29). The guideline advised in favor of prophylaxis for surgical ICU patients with high-risk factors, such as anastomotic leaks, necrotizing pancreatitis or multifocal Candida colonization, while noting that pre-emptive strategies remain less validated outside controlled settings (29).

While the findings of the present meta-analysis demonstrated a clinically meaningful reduction in IFI risk, it is important to interpret this benefit in the context of the broader ecological implications of antifungal exposure. Beyond individual patient outcomes, widespread or prolonged antifungal use may alter the local microbial flora by selecting for resistant fungal strains, disrupting commensal microbiota and increasing the likelihood of future breakthrough infections with reduced treatment responsiveness (30,31). Prolonged prophylaxis has been associated with shifts in local epidemiology, including increased colonization and infection by non-albicans Candida species with reduced azole susceptibility (27,32). Thus, although prophylaxis may be valuable in selected high-risk surgical ICU patients, its implementation should remain management-driven and supported by local surveillance data to mitigate the long-term risk of resistance and preserve the efficacy of antifungals.

Cost considerations are also relevant, especially in low- and middle-income countries where access to treatments and diagnostic capacity may be limited. When targeted to high-risk surgical ICU patients, prophylaxis may remain cost-effective by preventing IFIs and associated ICU resource utilization, but broader indiscriminate use may not provide the same value. A previous systematic review has also suggested that prophylaxis treatment potentially brings cost benefits to ICU patients with high-risk factors for IFIs (33). Compared with a previous meta-analysis that focused primarily on fluconazole and did not evaluate pre-emptive approaches or echinocandin use, the present study offers a more updated and comprehensive assessment and better reflects current therapeutic options (12).

According to the present study, azoles, particularly fluconazole, showed consistent efficacy in reducing IFI risk, reinforcing their role as frontline prophylactic agents where local resistance rates are low (16,17,21,23). Although the limited number of included studies could not demonstrate the effectiveness of echinocandins in the present meta-analysis, echinocandins may also be beneficial and relevant in the context of rising azole resistance; however, their high cost limits routine prophylactic use (7,33). In our study, polyenes did not exhibit a clear benefit. These findings are consistent with those of previous studies supporting the effectiveness of azoles in preventing candidemia in abdominal surgical patients (26,34). ISHAM and ASM also recommend fluconazole administration in selected high-risk patients but caution should be taken against its widespread use due to concerns of resistance to species such as Candida glabrata and Candida krusei (29). Echinocandins remain primarily recommended for the treatment of IFI (29), although the present analysis suggests that they may have prophylactic potential. Therefore, further and more comprehensive studies are needed to establish whether it is beneficial to start echinocandins earlier in patients that have a high risk of IFI.

The results of the present meta-analysis revealed no mortality benefit of the use of antifungal prophylaxis or pre-emptive therapy. This is unsurprising, given the multifactorial causes of death in critically ill patients, including bacterial sepsis, multi-organ failure and postoperative complications (35,36). Breakthrough infections in control arms, when diagnosed and treated promptly, may also result in minimized survival differences (35,36). Furthermore, most RCTs were underpowered for mortality outcomes. The 2025 guideline by ISHAM and ASM similarly emphasizes that prophylaxis is unlikely to improve overall survival in ICU populations, where mortality reflects a broad interplay of comorbid conditions (29).

The lack of a demonstrable mortality benefit in the present meta-analysis should be interpreted in the context of the underlying complexity of critical illness. Most trials were not statistically powered to detect differences in mortality, used IFI incidence as the primary endpoint and enrolled relatively small cohorts with limited follow-up (16,17,19,22,23). Taken together, these factors make it biologically plausible that antifungal prophylaxis substantially reduces IFI incidence without translating into a measurable mortality advantage at the trial level.

The safety outcomes were favorable, with no increase in serious adverse events or hepatotoxicity. This supports selective prophylaxis in well-defined risk groups, providing that safety monitoring is maintained. Nevertheless, the potential for antifungal resistance remains a critical concern.

Clinically, the present results support prophylaxis for surgical ICU patients at high risk, for example, those with complicated abdominal surgery, necrotizing pancreatitis or septic shock requiring parenteral nutrition and central venous access. Prophylaxis appears more dependable than pre-emptive strategy in resource-limited settings where diagnostics are constrained.

The present study has a number of strengths: Inclusion of only RCTs, rigorous risk of bias assessment, low heterogeneity, and clinically meaningful subgroup analyses based on antifungal class and strategy. To the best of our knowledge, this is the first meta-analysis focused solely on surgical ICU patients, rather than combined ICU populations. This distinction is clinically meaningful, as surgical patients differ in baseline risk, exposure to invasive procedures and epidemiology of fungal colonization, making the findings of the present study more directly applicable to real-world decision-making in perioperative critical care. However, certain limitations should be acknowledged. The number of echinocandin and polyene trials was small, limiting statistical precision. All included studies were conducted in high-income countries, restricting applicability to low- and middle-income settings with differing epidemiology, diagnostic capacity and management infrastructure. Important outcomes, such as the length of stay at the ICU, cost-effectiveness and long-term resistance were not reported in the included studies. Finally, although publication bias was not apparent, undetected negative studies cannot be excluded.

Future research should focus on large, multicenter RCTs that directly compare antifungal classes, employ standardized mortality endpoints, and evaluate cost-effectiveness. Trials in low- and middle-income countries are particularly needed to establish generalizability. Studies on biomarker-guided pre-emptive strategies may clarify their role, especially in resource-constrained environments. Integrating prophylaxis trials into management frameworks and infection prevention programs will enhance their real-world utility.

In conclusion, the present meta-analysis indicated that antifungal prophylaxis reduced the incidence risk of IFIs in high-risk surgical ICU patients without increasing the risk of severe adverse events. Although no survival benefit was demonstrated, the prevention of fungal infections justifies the use of antifungal prophylaxis in carefully selected patients. Implementation should remain targeted, guided by local resistance patterns and embedded within antifungal management programs to balance efficacy with the long-term risk of resistance.

Supplementary Material

Search strategy.

Acknowledgements

The authors would like to thank Ms. Rahmati Putri Yaniafari (Nanyang Technological University, Singapore) for providing access to several literature sources for the present review.

Funding

Funding: No funding was received.

Availability of data and materials

The data generated in the present study may be requested from the corresponding author.

Authors' contributions

INK conceived the present study, and was involved in the methodology (designed the protocol and research plan), systematic search, data curation and formal analysis, writing the original draft and study supervision. MAE was involved in data extraction, methodology (designed the protocol and research plan), formal analysis and reviewing and editing the manuscript. ED was involved in quality assessment, formal analysis and reviewing and editing the manuscript. IR performed data extraction, statistical analysis and visualization of the forest plots. AMW was involved in the literature search, data curation and reviewing and editing the manuscript. EBK performed formal analysis, study supervision, wrote the original manuscript and critically revised the manuscript. DDCHR performed statistical analysis, interpreted the results, and reviewed and edited the manuscript. EA was involved in methodology (designed the protocol and research plan), data authentication, formal analysis, providing resources, writing the original manuscript and revising the manuscript. PDE conceived the present study, and was involved in the methodology, systematic search, reviewing and editing the manuscript, as well as study supervision. INK, MAE and EBK confirm the authenticity of all the raw data. All authors read and approved the final manuscript.

Ethics approval and consent to participate

Not applicable.

Patient consent for publication

Not applicable.

Competing interests

The authors declare that they have no competing interests.

Use of artificial intelligence tools

During the preparation of this work, artificial intelligence tools (Superhuman Platform, Inc.) were used to improve the readability and language of the manuscript.

References

1 

Muskett H, Shahin J, Eyres G, Harvey S, Rowan K and Harrison D: Risk factors for invasive fungal disease in critically ill adult patients: A systematic review. Crit Care. 15(R287)2011.PubMed/NCBI View Article : Google Scholar

2 

Thomas-Rüddel DO, Schlattmann P, Pletz M, Kurzai O and Bloos F: Risk factors for invasive Candida infection in critically ill patients: A systematic review and meta-analysis. Chest. 161:345–355. 2022.PubMed/NCBI View Article : Google Scholar

3 

Kett DH, Azoulay E, Echeverria PM and Vincent JL: Extended Prevalence of Infection in ICU Study (EPIC II) Group of Investigators. Candida bloodstream infections in intensive care units: Analysis of the extended prevalence of infection in intensive care unit study. Crit Care Med. 39:665–670. 2011.PubMed/NCBI View Article : Google Scholar

4 

Vincent JL, Rello J, Marshall J, Silva E, Anzueto A, Martin CD, Moreno R, Lipman J, Gomersall C, Sakr Y, et al: International study of the prevalence and outcomes of infection in intensive care units. JAMA. 302:2323–2329. 2009.PubMed/NCBI View Article : Google Scholar

5 

Maulana HR, Sumardi U and Koesoemadinata RC: Invasive Candidiasis Prevalence Among Patients in Intensive Care Unit, Hasan Sadikin Hospital. J Penyakit Dalam Indones. 6(3)2019.

6 

Singh G, Pitoyo CW, Aditianingsih D and Rumende CM: Profil pasien sakit kritis dengan penyakit jamur invasif dini. Ina J CHEST Crit Emerg Med. 4:6–9. 2016.

7 

Cataldo MA and Petrosillo N: Economic considerations of antifungal prophylaxis in patients undergoing surgical procedures. Ther Clin Risk Manag. 7:13–20. 2011.PubMed/NCBI View Article : Google Scholar

8 

Erb T, Mihai S, Strauß R, Herbst L, Castellanos I, Diesch K, Cipa F, Bihlmaier K, Lang AK, Ganslmayer M, et al: β-(1→3)-D-glucan- and mannan-guided early termination of antifungal therapy in ICU patients: A randomized controlled study. Antimicrob Agents Chemother. 67(e0072523)2023.PubMed/NCBI View Article : Google Scholar

9 

Knitsch W, Vincent JL, Utzolino S, François B, Dinya T, Dimopoulos G, Özgüneş İ, Valía JC, Eggimann P, León C, et al: A randomized, placebo-controlled trial of preemptive antifungal therapy for the prevention of invasive candidiasis following gastrointestinal surgery for intra-abdominal infections. Clin Infect Dis. 61:1671–1678. 2015.PubMed/NCBI View Article : Google Scholar

10 

Kadariswantiningsih IN, Empitu MA, Santosa TI and Alimu Y: Antifungal resistance: Emerging mechanisms and implications (review). Mol Med Rep. 32(247)2025.PubMed/NCBI View Article : Google Scholar

11 

Empitu MA, Kadariswantiningsih IN and Shakri NM: Pharmacological strategies for targeting biofilms in otorhinolaryngologic infections and overcoming antimicrobial resistance (review). Biomed Rep. 22(95)2025.PubMed/NCBI View Article : Google Scholar

12 

Shorr AF, Chung K, Jackson WL, Waterman PE and Kollef MH: Fluconazole prophylaxis in critically ill surgical patients: A meta-analysis. Crit Care Med. 33:1928–1936. 2005.PubMed/NCBI View Article : Google Scholar

13 

Page MJ, McKenzie JE, Bossuyt PM, Boutron I, Hoffmann TC, Mulrow CD, Shamseer L, Tetzlaff JM, Akl EA, Brennan SE, et al: The PRISMA 2020 statement: An updated guideline for reporting systematic reviews. BMJ. 372(n71)2021.PubMed/NCBI View Article : Google Scholar

14 

Jørgensen L, Paludan-Müller AS, Laursen DRT, Savović J, Boutron I, Sterne JAC, Higgins JPT and Hróbjartsson A: Evaluation of the Cochrane tool for assessing risk of bias in randomized clinical trials: Overview of published comments and analysis of user practice in Cochrane and non-Cochrane reviews. Syst Rev. 5(80)2016.PubMed/NCBI View Article : Google Scholar

15 

McGuinness LA and Higgins JPT: Risk-of-bias VISualization (robvis): An R package and Shiny web app for visualizing risk-of-bias assessments. Res Synth Methods. 12:55–61. 2021.PubMed/NCBI View Article : Google Scholar

16 

Eggimann P, Francioli P, Bille J, Schneider R, Wu MM, Chapuis G, Chiolero R, Pannatier A, Schilling J, Geroulanos S, et al: Fluconazole prophylaxis prevents intra-abdominal candidiasis in high-risk surgical patients. Crit Care Med. 27:1066–1072. 1999.PubMed/NCBI View Article : Google Scholar

17 

Garbino J, Lew DP, Romand JA, Hugonnet S, Auckenthaler R and Pittet D: Prevention of severe Candida infections in nonneutropenic, high-risk, critically ill patients: A randomized, double-blind, placebo-controlled trial in patients treated by selective digestive decontamination. Intensive Care Med. 28:1708–1717. 2002.PubMed/NCBI View Article : Google Scholar

18 

Giglio M, Caggiano G, Dalfino L, Brienza N, Alicino I, Sgobio A, Favale A, Coretti C, Montagna MT, Bruno F and Puntillo F: Oral nystatin prophylaxis in surgical/trauma ICU patients: A randomised clinical trial. Critical Care. 16(R57)2012.PubMed/NCBI View Article : Google Scholar

19 

Hanson KE, Pfeiffer CD, Lease ED, Balch AH, Zaas AK, Perfect JR and Alexander BD: β-D-glucan surveillance with preemptive anidulafungin for invasive candidiasis in intensive care unit patients: A randomized pilot study. PLoS One. 7(e42282)2012.PubMed/NCBI View Article : Google Scholar

20 

Ostrosky-Zeichner L, Shoham S, Vazquez J, Reboli A, Betts R, Barron MA, Schuster M, Judson MA, Revankar SG, Caeiro JP, et al: MSG-01: A randomized, double-blind, placebo-controlled trial of caspofungin prophylaxis followed by preemptive therapy for invasive candidiasis in high-risk adults in the critical care setting. Clin Infect Dis. 58:1219–1226. 2014.PubMed/NCBI View Article : Google Scholar

21 

Pelz RK, Hendrix CW, Swoboda SM, Diener-West M, Merz WG, Hammond J and Lipsett PA: Double-blind placebo-controlled trial of fluconazole to prevent Candidal infections in critically ill surgical patients. Ann Surg. 233:542–548. 2001.PubMed/NCBI View Article : Google Scholar

22 

Quinio B, Albanèse J, Bues-Charbit M, Viviand X and Martin C: Selective decontamination of the digestive tract in multiple trauma patients. A prospective double-blind, randomized, placebo-controlled study. Chest. 109:765–772. 1996.PubMed/NCBI View Article : Google Scholar

23 

Sandven P, Qvist H, Skovlund E and Giercksky KE: NORGAS Group and the Norwegian Yeast Study Group. Significance of Candida recovered from intraoperative specimens in patients with intra-abdominal perforations. Crit Care Med. 30:541–547. 2002.PubMed/NCBI View Article : Google Scholar

24 

Savino JA, Agarwal N, Wry P, Policastro A, Cerabona T and Austria L: Routine prophylactic antifungal agents (clotrimazole, ketoconazole, and nystatin) in nontransplant/nonburned critically ill surgical and trauma patients. J Trauma. 36:20–26. 1994.PubMed/NCBI View Article : Google Scholar

25 

Slotman GJ, Burchard KW, D'arezzo A and Gann DS: Ketoconazole prevents acute respiratory failure in critically ill surgical patients. J Trauma. 28:648–654. 1988.PubMed/NCBI View Article : Google Scholar

26 

Playford EG, Webster AC, Sorrell TC and Craig JC: Antifungal agents for preventing fungal infections in non-neutropenic critically ill and surgical patients: Systematic review and meta-analysis of randomized clinical trials. J Antimicrob Chemother. 57:628–638. 2006.PubMed/NCBI View Article : Google Scholar

27 

Wang J, Zhou M, Xu JY, Zhou RF, Chen B and Wan Y: Comparison of antifungal prophylaxis drugs in patients with hematological disease or undergoing hematopoietic stem cell transplantation: A systematic review and network meta-analysis. JAMA Netw Open. 3(e2017652)2020.PubMed/NCBI View Article : Google Scholar

28 

Vardakas KZ, Samonis G, Michalopoulos A, Soteriades ES and Falagas ME: Antifungal prophylaxis with azoles in high-risk, surgical intensive care unit patients: A meta-analysis of randomized, placebo-controlled trials. Crit Care Med. 34:1216–1224. 2006.PubMed/NCBI View Article : Google Scholar

29 

Cornely OA, Sprute R, Bassetti M, Chen SCA, Groll AH, Kurzai O, Lass-Flörl C, Ostrosky-Zeichner L, Rautemaa-Richardson R, Revathi G, et al: Global guideline for the diagnosis and management of candidiasis: an initiative of the ECMM in cooperation with ISHAM and ASM. Lancet Infect Dis. 25:e280–e293. 2025.PubMed/NCBI View Article : Google Scholar

30 

Bohner F, Papp C and Gácser A: The effect of antifungal resistance development on the virulence of Candida species. FEMS Yeast Res. 22(foac019)2022.

31 

Gow NAR, Johnson C, Berman J, Coste AT, Cuomo CA, Perlin DS, Bicanic T, Harrison TS, Wiederhold N, Bromley M, et al: The importance of antimicrobial resistance in medical mycology. Nat Commun. 13(5352)2022.PubMed/NCBI View Article : Google Scholar

32 

Chatelon J, Cortegiani A, Hammad E, Cassir N and Leone M: Choosing the right antifungal agent in ICU patients. Adv Ther. 36:3308–3320. 2019.PubMed/NCBI View Article : Google Scholar

33 

Vianna CMDM, Mosegui GBG and Rodrigues MPDS: Cost-effectiveness analysis and budgetary impact of anidulafungin treatment for patients with candidemia and other forms of invasive candidiasis in Brazil. Rev Inst Med Trop Sao Paulo. 65(e9)2023.PubMed/NCBI View Article : Google Scholar

34 

Holzknecht BJ, Thorup J, Arendrup MC, Andersen SE, Steensen M, Hesselfeldt P, Nielsen JM and Knudsen JD: Decreasing candidaemia rate in abdominal surgery patients after introduction of fluconazole prophylaxis*. Clin Microbiol Infect. 17:1372–1380. 2011.PubMed/NCBI View Article : Google Scholar

35 

Girgin T, Sayur V, Güler E, Uç C, Göktepe B, Ersin S, Uyar M and Sezer TÖ: Predictors of mortality in surgical patients admitted to a tertiary intensive care unit. J Clin Med. 14(6369)2025.PubMed/NCBI View Article : Google Scholar

36 

Ou L, Chen J, Hillman K, Flabouris A, Parr M, Assareh H and Bellomo R: The impact of post-operative sepsis on mortality after hospital discharge among elective surgical patients: A population-based cohort study. Criti Care. 21(34)2017.PubMed/NCBI View Article : Google Scholar

Related Articles

  • Abstract
  • View
  • Download
  • Twitter
Copy and paste a formatted citation
Spandidos Publications style
Kadariswantiningsih IN, Empitu MA, Danardono E, Rahmatullah I, Widya AM, Koendhori EB, Rampengan DD, Arima E and Endraswari PD: Efficacy and safety of antifungal prophylaxis in surgical intensive care unit patients: A systematic review and meta‑analysis of randomized controlled trials. Biomed Rep 24: 62, 2026.
APA
Kadariswantiningsih, I.N., Empitu, M.A., Danardono, E., Rahmatullah, I., Widya, A.M., Koendhori, E.B. ... Endraswari, P.D. (2026). Efficacy and safety of antifungal prophylaxis in surgical intensive care unit patients: A systematic review and meta‑analysis of randomized controlled trials. Biomedical Reports, 24, 62. https://doi.org/10.3892/br.2026.2135
MLA
Kadariswantiningsih, I. N., Empitu, M. A., Danardono, E., Rahmatullah, I., Widya, A. M., Koendhori, E. B., Rampengan, D. D., Arima, E., Endraswari, P. D."Efficacy and safety of antifungal prophylaxis in surgical intensive care unit patients: A systematic review and meta‑analysis of randomized controlled trials". Biomedical Reports 24.5 (2026): 62.
Chicago
Kadariswantiningsih, I. N., Empitu, M. A., Danardono, E., Rahmatullah, I., Widya, A. M., Koendhori, E. B., Rampengan, D. D., Arima, E., Endraswari, P. D."Efficacy and safety of antifungal prophylaxis in surgical intensive care unit patients: A systematic review and meta‑analysis of randomized controlled trials". Biomedical Reports 24, no. 5 (2026): 62. https://doi.org/10.3892/br.2026.2135
Copy and paste a formatted citation
x
Spandidos Publications style
Kadariswantiningsih IN, Empitu MA, Danardono E, Rahmatullah I, Widya AM, Koendhori EB, Rampengan DD, Arima E and Endraswari PD: Efficacy and safety of antifungal prophylaxis in surgical intensive care unit patients: A systematic review and meta‑analysis of randomized controlled trials. Biomed Rep 24: 62, 2026.
APA
Kadariswantiningsih, I.N., Empitu, M.A., Danardono, E., Rahmatullah, I., Widya, A.M., Koendhori, E.B. ... Endraswari, P.D. (2026). Efficacy and safety of antifungal prophylaxis in surgical intensive care unit patients: A systematic review and meta‑analysis of randomized controlled trials. Biomedical Reports, 24, 62. https://doi.org/10.3892/br.2026.2135
MLA
Kadariswantiningsih, I. N., Empitu, M. A., Danardono, E., Rahmatullah, I., Widya, A. M., Koendhori, E. B., Rampengan, D. D., Arima, E., Endraswari, P. D."Efficacy and safety of antifungal prophylaxis in surgical intensive care unit patients: A systematic review and meta‑analysis of randomized controlled trials". Biomedical Reports 24.5 (2026): 62.
Chicago
Kadariswantiningsih, I. N., Empitu, M. A., Danardono, E., Rahmatullah, I., Widya, A. M., Koendhori, E. B., Rampengan, D. D., Arima, E., Endraswari, P. D."Efficacy and safety of antifungal prophylaxis in surgical intensive care unit patients: A systematic review and meta‑analysis of randomized controlled trials". Biomedical Reports 24, no. 5 (2026): 62. https://doi.org/10.3892/br.2026.2135
Follow us
  • Twitter
  • LinkedIn
  • Facebook
About
  • Spandidos Publications
  • Careers
  • Cookie Policy
  • Privacy Policy
How can we help?
  • Help
  • Live Chat
  • Contact
  • Email to our Support Team