Spandidos Publications Logo
  • About
    • About Spandidos
    • Aims and Scopes
    • Abstracting and Indexing
    • Editorial Policies
    • Reprints and Permissions
    • Job Opportunities
    • Terms and Conditions
    • Contact
  • Journals
    • All Journals
    • Oncology Letters
      • Oncology Letters
      • Information for Authors
      • Editorial Policies
      • Editorial Board
      • Aims and Scope
      • Abstracting and Indexing
      • Bibliographic Information
      • Archive
    • International Journal of Oncology
      • International Journal of Oncology
      • Information for Authors
      • Editorial Policies
      • Editorial Board
      • Aims and Scope
      • Abstracting and Indexing
      • Bibliographic Information
      • Archive
    • Molecular and Clinical Oncology
      • Molecular and Clinical Oncology
      • Information for Authors
      • Editorial Policies
      • Editorial Board
      • Aims and Scope
      • Abstracting and Indexing
      • Bibliographic Information
      • Archive
    • Experimental and Therapeutic Medicine
      • Experimental and Therapeutic Medicine
      • Information for Authors
      • Editorial Policies
      • Editorial Board
      • Aims and Scope
      • Abstracting and Indexing
      • Bibliographic Information
      • Archive
    • International Journal of Molecular Medicine
      • International Journal of Molecular Medicine
      • Information for Authors
      • Editorial Policies
      • Editorial Board
      • Aims and Scope
      • Abstracting and Indexing
      • Bibliographic Information
      • Archive
    • Biomedical Reports
      • Biomedical Reports
      • Information for Authors
      • Editorial Policies
      • Editorial Board
      • Aims and Scope
      • Abstracting and Indexing
      • Bibliographic Information
      • Archive
    • Oncology Reports
      • Oncology Reports
      • Information for Authors
      • Editorial Policies
      • Editorial Board
      • Aims and Scope
      • Abstracting and Indexing
      • Bibliographic Information
      • Archive
    • Molecular Medicine Reports
      • Molecular Medicine Reports
      • Information for Authors
      • Editorial Policies
      • Editorial Board
      • Aims and Scope
      • Abstracting and Indexing
      • Bibliographic Information
      • Archive
    • World Academy of Sciences Journal
      • World Academy of Sciences Journal
      • Information for Authors
      • Editorial Policies
      • Editorial Board
      • Aims and Scope
      • Abstracting and Indexing
      • Bibliographic Information
      • Archive
    • International Journal of Functional Nutrition
      • International Journal of Functional Nutrition
      • Information for Authors
      • Editorial Policies
      • Editorial Board
      • Aims and Scope
      • Abstracting and Indexing
      • Bibliographic Information
      • Archive
    • International Journal of Epigenetics
      • International Journal of Epigenetics
      • Information for Authors
      • Editorial Policies
      • Editorial Board
      • Aims and Scope
      • Abstracting and Indexing
      • Bibliographic Information
      • Archive
    • Medicine International
      • Medicine International
      • Information for Authors
      • Editorial Policies
      • Editorial Board
      • Aims and Scope
      • Abstracting and Indexing
      • Bibliographic Information
      • Archive
  • Articles
  • Information
    • Information for Authors
    • Information for Reviewers
    • Information for Librarians
    • Information for Advertisers
    • Conferences
  • Language Editing
Spandidos Publications Logo
  • About
    • About Spandidos
    • Aims and Scopes
    • Abstracting and Indexing
    • Editorial Policies
    • Reprints and Permissions
    • Job Opportunities
    • Terms and Conditions
    • Contact
  • Journals
    • All Journals
    • Biomedical Reports
      • Information for Authors
      • Editorial Policies
      • Editorial Board
      • Aims and Scope
      • Abstracting and Indexing
      • Bibliographic Information
      • Archive
    • Experimental and Therapeutic Medicine
      • Information for Authors
      • Editorial Policies
      • Editorial Board
      • Aims and Scope
      • Abstracting and Indexing
      • Bibliographic Information
      • Archive
    • International Journal of Epigenetics
      • Information for Authors
      • Editorial Policies
      • Editorial Board
      • Aims and Scope
      • Abstracting and Indexing
      • Bibliographic Information
      • Archive
    • International Journal of Functional Nutrition
      • Information for Authors
      • Editorial Policies
      • Editorial Board
      • Aims and Scope
      • Abstracting and Indexing
      • Bibliographic Information
      • Archive
    • International Journal of Molecular Medicine
      • Information for Authors
      • Editorial Policies
      • Editorial Board
      • Aims and Scope
      • Abstracting and Indexing
      • Bibliographic Information
      • Archive
    • International Journal of Oncology
      • Information for Authors
      • Editorial Policies
      • Editorial Board
      • Aims and Scope
      • Abstracting and Indexing
      • Bibliographic Information
      • Archive
    • Medicine International
      • Information for Authors
      • Editorial Policies
      • Editorial Board
      • Aims and Scope
      • Abstracting and Indexing
      • Bibliographic Information
      • Archive
    • Molecular and Clinical Oncology
      • Information for Authors
      • Editorial Policies
      • Editorial Board
      • Aims and Scope
      • Abstracting and Indexing
      • Bibliographic Information
      • Archive
    • Molecular Medicine Reports
      • Information for Authors
      • Editorial Policies
      • Editorial Board
      • Aims and Scope
      • Abstracting and Indexing
      • Bibliographic Information
      • Archive
    • Oncology Letters
      • Information for Authors
      • Editorial Policies
      • Editorial Board
      • Aims and Scope
      • Abstracting and Indexing
      • Bibliographic Information
      • Archive
    • Oncology Reports
      • Information for Authors
      • Editorial Policies
      • Editorial Board
      • Aims and Scope
      • Abstracting and Indexing
      • Bibliographic Information
      • Archive
    • World Academy of Sciences Journal
      • Information for Authors
      • Editorial Policies
      • Editorial Board
      • Aims and Scope
      • Abstracting and Indexing
      • Bibliographic Information
      • Archive
  • Articles
  • Information
    • For Authors
    • For Reviewers
    • For Librarians
    • For Advertisers
    • Conferences
  • Language Editing
Login Register Submit
  • This site uses cookies
  • You can change your cookie settings at any time by following the instructions in our Cookie Policy. To find out more, you may read our Privacy Policy.

    I agree
Search articles by DOI, keyword, author or affiliation
Search
Advanced Search
presentation
Experimental and Therapeutic Medicine
Join Editorial Board Propose a Special Issue
Print ISSN: 1792-0981 Online ISSN: 1792-1015
Journal Cover
September-October 2011 Volume 2 Issue 5

Full Size Image

Sign up for eToc alerts
Recommend to Library

Journals

International Journal of Molecular Medicine

International Journal of Molecular Medicine

International Journal of Molecular Medicine is an international journal devoted to molecular mechanisms of human disease.

International Journal of Oncology

International Journal of Oncology

International Journal of Oncology is an international journal devoted to oncology research and cancer treatment.

Molecular Medicine Reports

Molecular Medicine Reports

Covers molecular medicine topics such as pharmacology, pathology, genetics, neuroscience, infectious diseases, molecular cardiology, and molecular surgery.

Oncology Reports

Oncology Reports

Oncology Reports is an international journal devoted to fundamental and applied research in Oncology.

Experimental and Therapeutic Medicine

Experimental and Therapeutic Medicine

Experimental and Therapeutic Medicine is an international journal devoted to laboratory and clinical medicine.

Oncology Letters

Oncology Letters

Oncology Letters is an international journal devoted to Experimental and Clinical Oncology.

Biomedical Reports

Biomedical Reports

Explores a wide range of biological and medical fields, including pharmacology, genetics, microbiology, neuroscience, and molecular cardiology.

Molecular and Clinical Oncology

Molecular and Clinical Oncology

International journal addressing all aspects of oncology research, from tumorigenesis and oncogenes to chemotherapy and metastasis.

World Academy of Sciences Journal

World Academy of Sciences Journal

Multidisciplinary open-access journal spanning biochemistry, genetics, neuroscience, environmental health, and synthetic biology.

International Journal of Functional Nutrition

International Journal of Functional Nutrition

Open-access journal combining biochemistry, pharmacology, immunology, and genetics to advance health through functional nutrition.

International Journal of Epigenetics

International Journal of Epigenetics

Publishes open-access research on using epigenetics to advance understanding and treatment of human disease.

Medicine International

Medicine International

An International Open Access Journal Devoted to General Medicine.

Journal Cover
September-October 2011 Volume 2 Issue 5

Full Size Image

Sign up for eToc alerts
Recommend to Library

  • Article
  • Citations
    • Cite This Article
    • Download Citation
    • Create Citation Alert
    • Remove Citation Alert
    • Cited By
  • Similar Articles
    • Related Articles (in Spandidos Publications)
    • Similar Articles (Google Scholar)
    • Similar Articles (PubMed)
  • Download PDF
  • Download XML
  • View XML
Article Open Access

Costs and outcomes associated with hospitalized cancer patients with neutropenic complications: A retrospective study

  • Authors:
    • M. Blane Schilling
    • Connie Parks
    • Robert G. Deeter
  • View Affiliations / Copyright

    Affiliations: Aspen Healthcare Metrics, Centennial, CO 80111, USA, Amgen Inc., Thousand Oaks, CA 91320, USA
  • Pages: 859-866
    |
    Published online on: June 30, 2011
       https://doi.org/10.3892/etm.2011.312
  • Expand metrics +
Metrics: Total Views: 0 (Spandidos Publications: | PMC Statistics: )
Metrics: Total PDF Downloads: 0 (Spandidos Publications: | PMC Statistics: )
Cited By (CrossRef): 0 citations Loading Articles...

This article is mentioned in:



Abstract

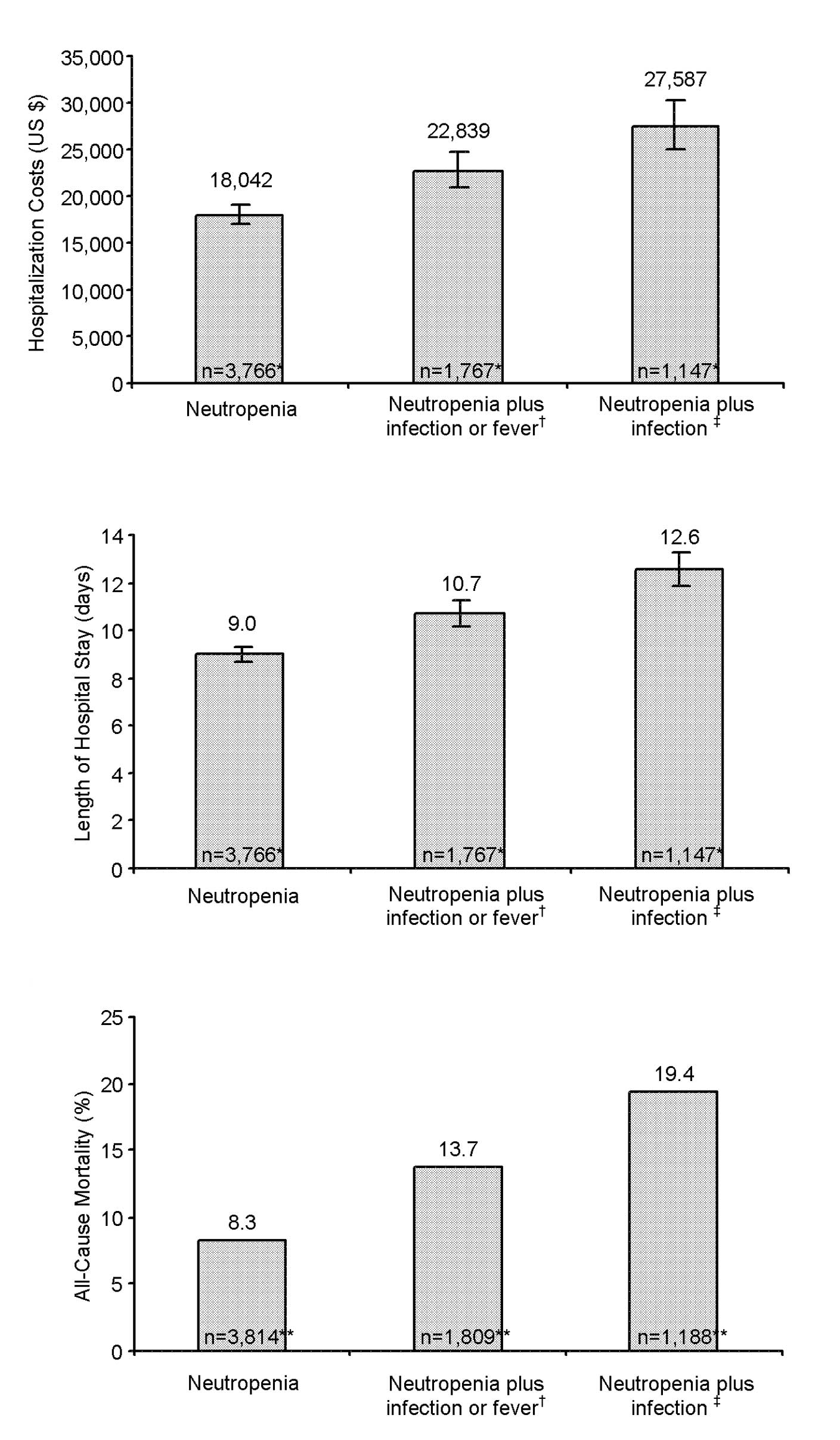
The average total hospitalization costs for adult cancer patients with neutropenic complications were quantified and the average length of hospital stay (LOS), all-cause mortality during hospitalization and reimbursement rates were determined. This observational retrospective cohort study identified adult patients with cancer who were hospitalized from January 2005 through June 2008 using a large private US health care database (>342 inpatient facilities). ICD-9-CM diagnosis codes identified patients by cancer type and who had neutropenic complications. The utilization and accounting systems of the hospitals were used to calculate mean (±95% confidence interval) hospitalization costs and LOS and percent all-cause mortality and reimbursement. Costs were adjusted to 2009 US dollars. There were 3,814 patients who had cancer and neutropenia, 1,809 (47.4%) also had an infection or fever and 1,188 (31.1%) had infection. Mean hospitalization costs were $18,042 (95% CI 16,997-19,087) for patients with neutropenia, $22,839 (95% CI 21,006-24,672) for patients with neutropenia plus infection or fever and $27,587 (95% CI 24,927-30,247) for patients with neutropenia plus infection. Mean LOS were 9 days (95% CI 8.7-9.3), 10.7 days (95% CI 10.2-11.2) and 12.6 days (95% CI 11.9-13.3), respectively. Mortality followed a similar trend; 8.3, 13.7 and 19.4%, respectively. By cancer type, hematologic malignancies had the highest average hospitalization costs and longest mean LOS of $52,579 (95% CI 42,183-62,975) and 20.3 days (95% CI 17.4-23.2), and a high mortality rate of 20.0%, while primary breast cancer patients had the lowest cost of $8,413 (95% CI 6,103-10,723), shortest LOS of 5.5 days (95% CI 4.2-6.8) and lowest mortality (0%). Mean reimbursement rates were 100.0, 101.5 and 95.4% for patients with neutropenia, neutropenia plus infection or fever and neutropenia plus infection, respectively. Hospitalized cancer patients with neutropenic complications had a higher all-cause mortality rate and higher inpatient hospitalization costs than those previously published. Results from this study suggest that costs for inpatient hospitalized cancer patients with neutropenic complications are principally reimbursed by payers.
View Figures

Figure 1

Figure 2

Figure 3

View References

1. 

Kuderer NM, Dale DC, Crawford J, et al: Mortality, morbidity, and cost associated with febrile neutropenia in adult cancer patients. Cancer. 106:2258–2266. 2006. View Article : Google Scholar : PubMed/NCBI

2. 

Link BK, Budd GT, Scott S, et al: Delivering adjuvant chemotherapy to women with early-stage breast carcinoma: current patterns of care. Cancer. 92:1354–1367. 2001. View Article : Google Scholar : PubMed/NCBI

3. 

Adida C, Haioun C, Gaulard P, et al: Prognostic significance of surviving expression in diffuse large B-cell lymphomas. Blood. 96:1921–1925. 2000.

4. 

Lyman GH, Dale DC and Crawford J: Incidence and predictors of low dose-intensity in adjuvant breast cancer chemotherapy: a nationwide study of community practices. J Clin Oncol. 21:4524–4531. 2003. View Article : Google Scholar : PubMed/NCBI

5. 

Hryniuk WM: Average relative dose intensity and the impact on design of clinical trials. Semin Oncol. 14:65–74. 1987.PubMed/NCBI

6. 

Klastersky J, Paesmans M, Rubenstein EB, et al: The Multinational Association for Supportive Care in Cancer risk index: a multinational scoring system for identifying low-risk febrile neutropenic cancer patients. J Clin Oncol. 18:3038–3045. 2000.PubMed/NCBI

7. 

Talcott JA, Siegel RD, Finberg R and Goldman L: Risk assessment in cancer patients with fever and neutropenia: a prospective, two-center validation of a prediction rule. J Clin Oncol. 110:316–322. 1992.PubMed/NCBI

8. 

Smith TJ, Khatcheressian J, Lyman GH, et al: 2006 update of recommendations for the use of white blood cell growth factors: an evidence-based clinical practice guideline. J Clin Oncol. 24:3187–3205. 2006. View Article : Google Scholar : PubMed/NCBI

9. 

Bonadonna G, Moliterni A, Zambetti M, et al: 30 years’ follow up of randomized studies of adjuvant CMF in operable breast cancer: cohort study. BMJ. 330:2172005.

10. 

Epelbaum R, Faraggi D, Ben-Arie Y, et al: Survival of diffuse large cell lymphoma. A multivariate analysis including dose intensity variables. Cancer. 66:1124–1129. 1990. View Article : Google Scholar : PubMed/NCBI

11. 

Kwak LW, Halpern J, Olshen RA and Horning SJ: Prognostic significance of actual dose intensity in diffuse large-cell lymphoma: results of a tree-structured survival analysis. J Clin Oncol. 8:963–977. 1990.PubMed/NCBI

12. 

Lepage E, Gisselbrecht C, Haioun C, et al: Prognostic significance of received relative dose intensity in non-Hodgkin’s lymphoma patients: application to LNH-87 protocol. The GELA (Groupe d’Etude des Lymphomes de l’Adulte). Ann Oncol. 4:651–656. 1993.PubMed/NCBI

13. 

Weycker D, Malin J, Edelsberg J, Glass A, Gokhale M and Oster G: Cost of neutropenic complications of chemotherapy. Ann Oncol. 19:454–460. 2008. View Article : Google Scholar : PubMed/NCBI

14. 

Caggiano V, Weiss RV, Rickert TS and Linde-Zwirble WT: Incidence, cost, and mortality of neutropenia hospitalization associated with chemotherapy. Cancer. 103:1916–1924. 2005. View Article : Google Scholar : PubMed/NCBI

15. 

Health Insurance Portability and Accountability Act of 1996, 42 USC. pp. 1320–1322. 1996

16. 

US Dept of Health and Human Services: Public Welfare-Protection of Human Subjects, 45 CFR 46. https://www.hhs.gov/ohrp/humansubjects/guidance/45cfr46.htm. Accessed Aug 12, 2009.

17. 

Weycker D, Malin J, Kim J, et al: Risk of hospitalization for neutropenic complications of chemotherapy in patients with primary solid tumors receiving pegfilgrastim or filgrastim prophylaxis: a retrospective cohort study. Clin Ther. 31:1069–1081. 2009. View Article : Google Scholar

18. 

Gold M, Siegel JE, Russell LB and Weinstein MC: Cost-Effectiveness in Health and Medicine. Oxford University Press; New York: pp. 91–92. 1996

19. 

Center for Medicare and Medicaid Services: Eliminating serious, preventable, and costly medical errors-never events, CMS Fact Sheet, May, 18, 2006. https://www.cms.hhs.gov/apps/media/press/factsheet.asp?Counter=1863&intNumPerPage=10&checkDate=&checkKey=&srchType=1&numDays=3500&srchOpt=0&srchData=&keywordType=All&chkNewsType=6&intPage=&showAll=&pYear=&year=&desc=false&cboOrder=datehttps://www.cms.hhs.gov/apps/media/press/factsheet.asp?Counter=1863&intNumPerPage=10&checkDate=&checkKey=&srchType=1&numDays=3500&srchOpt=0&srchData=&keywordType=All&chkNewsType=6&intPage=&showAll=&pYear=&year=&desc=false&cboOrder=date. Accessed Oct 5, 2009.

20. 

National Comprehensive Cancer Network clinical practice guidelines in oncology: Myeloid growth factors in cancer treatment, version 2.2005[online]. www.nccn.org/professionals/physician_gls/PDF/myeloid_growth.pdf.2005. Accessed Mar 12, 2009.

21. 

Glaspy J, Hackett J, Flyer P, et al: Febrile neutropenia is associated with an increase in the incidence, duration, and severity of chemotherapy toxicities. Blood. 98:432b2001.

22. 

Brown RE, Hutton J and Burrell A: Cost effectiveness of treatment options in advanced breast cancer in the UK. Pharmacoeconomics. 19:1091–1102. 2001. View Article : Google Scholar : PubMed/NCBI

23. 

Fortner BV, Stolshek B, Tauer KW, et al: Final analysis: chemotherapy-induced neutropenia (CIN) is associated with lower quality of life (QoL) in patients (pts) with cancer. Ann Oncol. 13(Suppl 15): 1742002.

24. 

Okon TA, Fortner BV, Schwartzberg L, et al: Quality of life (QOL) in patients with grade IV chemotherapy-induced neutropenia (CIN). Proc Am Soc Clin Oncol. 21:275b2002.

Related Articles

  • Abstract
  • View
  • Download
  • Twitter
Copy and paste a formatted citation
Spandidos Publications style
Schilling M, Parks C and Deeter RG: Costs and outcomes associated with hospitalized cancer patients with neutropenic complications: A retrospective study. Exp Ther Med 2: 859-866, 2011.
APA
Schilling, M., Parks, C., & Deeter, R.G. (2011). Costs and outcomes associated with hospitalized cancer patients with neutropenic complications: A retrospective study. Experimental and Therapeutic Medicine, 2, 859-866. https://doi.org/10.3892/etm.2011.312
MLA
Schilling, M., Parks, C., Deeter, R. G."Costs and outcomes associated with hospitalized cancer patients with neutropenic complications: A retrospective study". Experimental and Therapeutic Medicine 2.5 (2011): 859-866.
Chicago
Schilling, M., Parks, C., Deeter, R. G."Costs and outcomes associated with hospitalized cancer patients with neutropenic complications: A retrospective study". Experimental and Therapeutic Medicine 2, no. 5 (2011): 859-866. https://doi.org/10.3892/etm.2011.312
Copy and paste a formatted citation
x
Spandidos Publications style
Schilling M, Parks C and Deeter RG: Costs and outcomes associated with hospitalized cancer patients with neutropenic complications: A retrospective study. Exp Ther Med 2: 859-866, 2011.
APA
Schilling, M., Parks, C., & Deeter, R.G. (2011). Costs and outcomes associated with hospitalized cancer patients with neutropenic complications: A retrospective study. Experimental and Therapeutic Medicine, 2, 859-866. https://doi.org/10.3892/etm.2011.312
MLA
Schilling, M., Parks, C., Deeter, R. G."Costs and outcomes associated with hospitalized cancer patients with neutropenic complications: A retrospective study". Experimental and Therapeutic Medicine 2.5 (2011): 859-866.
Chicago
Schilling, M., Parks, C., Deeter, R. G."Costs and outcomes associated with hospitalized cancer patients with neutropenic complications: A retrospective study". Experimental and Therapeutic Medicine 2, no. 5 (2011): 859-866. https://doi.org/10.3892/etm.2011.312
Follow us
  • Twitter
  • LinkedIn
  • Facebook
About
  • Spandidos Publications
  • Careers
  • Cookie Policy
  • Privacy Policy
How can we help?
  • Help
  • Live Chat
  • Contact
  • Email to our Support Team