Spandidos Publications Logo
  • About
    • About Spandidos
    • Aims and Scopes
    • Abstracting and Indexing
    • Editorial Policies
    • Reprints and Permissions
    • Job Opportunities
    • Terms and Conditions
    • Contact
  • Journals
    • All Journals
    • Oncology Letters
      • Oncology Letters
      • Information for Authors
      • Editorial Policies
      • Editorial Board
      • Aims and Scope
      • Abstracting and Indexing
      • Bibliographic Information
      • Archive
    • International Journal of Oncology
      • International Journal of Oncology
      • Information for Authors
      • Editorial Policies
      • Editorial Board
      • Aims and Scope
      • Abstracting and Indexing
      • Bibliographic Information
      • Archive
    • Molecular and Clinical Oncology
      • Molecular and Clinical Oncology
      • Information for Authors
      • Editorial Policies
      • Editorial Board
      • Aims and Scope
      • Abstracting and Indexing
      • Bibliographic Information
      • Archive
    • Experimental and Therapeutic Medicine
      • Experimental and Therapeutic Medicine
      • Information for Authors
      • Editorial Policies
      • Editorial Board
      • Aims and Scope
      • Abstracting and Indexing
      • Bibliographic Information
      • Archive
    • International Journal of Molecular Medicine
      • International Journal of Molecular Medicine
      • Information for Authors
      • Editorial Policies
      • Editorial Board
      • Aims and Scope
      • Abstracting and Indexing
      • Bibliographic Information
      • Archive
    • Biomedical Reports
      • Biomedical Reports
      • Information for Authors
      • Editorial Policies
      • Editorial Board
      • Aims and Scope
      • Abstracting and Indexing
      • Bibliographic Information
      • Archive
    • Oncology Reports
      • Oncology Reports
      • Information for Authors
      • Editorial Policies
      • Editorial Board
      • Aims and Scope
      • Abstracting and Indexing
      • Bibliographic Information
      • Archive
    • Molecular Medicine Reports
      • Molecular Medicine Reports
      • Information for Authors
      • Editorial Policies
      • Editorial Board
      • Aims and Scope
      • Abstracting and Indexing
      • Bibliographic Information
      • Archive
    • World Academy of Sciences Journal
      • World Academy of Sciences Journal
      • Information for Authors
      • Editorial Policies
      • Editorial Board
      • Aims and Scope
      • Abstracting and Indexing
      • Bibliographic Information
      • Archive
    • International Journal of Functional Nutrition
      • International Journal of Functional Nutrition
      • Information for Authors
      • Editorial Policies
      • Editorial Board
      • Aims and Scope
      • Abstracting and Indexing
      • Bibliographic Information
      • Archive
    • International Journal of Epigenetics
      • International Journal of Epigenetics
      • Information for Authors
      • Editorial Policies
      • Editorial Board
      • Aims and Scope
      • Abstracting and Indexing
      • Bibliographic Information
      • Archive
    • Medicine International
      • Medicine International
      • Information for Authors
      • Editorial Policies
      • Editorial Board
      • Aims and Scope
      • Abstracting and Indexing
      • Bibliographic Information
      • Archive
  • Articles
  • Information
    • Information for Authors
    • Information for Reviewers
    • Information for Librarians
    • Information for Advertisers
    • Conferences
  • Language Editing
Spandidos Publications Logo
  • About
    • About Spandidos
    • Aims and Scopes
    • Abstracting and Indexing
    • Editorial Policies
    • Reprints and Permissions
    • Job Opportunities
    • Terms and Conditions
    • Contact
  • Journals
    • All Journals
    • Biomedical Reports
      • Information for Authors
      • Editorial Policies
      • Editorial Board
      • Aims and Scope
      • Abstracting and Indexing
      • Bibliographic Information
      • Archive
    • Experimental and Therapeutic Medicine
      • Information for Authors
      • Editorial Policies
      • Editorial Board
      • Aims and Scope
      • Abstracting and Indexing
      • Bibliographic Information
      • Archive
    • International Journal of Epigenetics
      • Information for Authors
      • Editorial Policies
      • Editorial Board
      • Aims and Scope
      • Abstracting and Indexing
      • Bibliographic Information
      • Archive
    • International Journal of Functional Nutrition
      • Information for Authors
      • Editorial Policies
      • Editorial Board
      • Aims and Scope
      • Abstracting and Indexing
      • Bibliographic Information
      • Archive
    • International Journal of Molecular Medicine
      • Information for Authors
      • Editorial Policies
      • Editorial Board
      • Aims and Scope
      • Abstracting and Indexing
      • Bibliographic Information
      • Archive
    • International Journal of Oncology
      • Information for Authors
      • Editorial Policies
      • Editorial Board
      • Aims and Scope
      • Abstracting and Indexing
      • Bibliographic Information
      • Archive
    • Medicine International
      • Information for Authors
      • Editorial Policies
      • Editorial Board
      • Aims and Scope
      • Abstracting and Indexing
      • Bibliographic Information
      • Archive
    • Molecular and Clinical Oncology
      • Information for Authors
      • Editorial Policies
      • Editorial Board
      • Aims and Scope
      • Abstracting and Indexing
      • Bibliographic Information
      • Archive
    • Molecular Medicine Reports
      • Information for Authors
      • Editorial Policies
      • Editorial Board
      • Aims and Scope
      • Abstracting and Indexing
      • Bibliographic Information
      • Archive
    • Oncology Letters
      • Information for Authors
      • Editorial Policies
      • Editorial Board
      • Aims and Scope
      • Abstracting and Indexing
      • Bibliographic Information
      • Archive
    • Oncology Reports
      • Information for Authors
      • Editorial Policies
      • Editorial Board
      • Aims and Scope
      • Abstracting and Indexing
      • Bibliographic Information
      • Archive
    • World Academy of Sciences Journal
      • Information for Authors
      • Editorial Policies
      • Editorial Board
      • Aims and Scope
      • Abstracting and Indexing
      • Bibliographic Information
      • Archive
  • Articles
  • Information
    • For Authors
    • For Reviewers
    • For Librarians
    • For Advertisers
    • Conferences
  • Language Editing
Login Register Submit
  • This site uses cookies
  • You can change your cookie settings at any time by following the instructions in our Cookie Policy. To find out more, you may read our Privacy Policy.

    I agree
Search articles by DOI, keyword, author or affiliation
Search
Advanced Search
presentation
Experimental and Therapeutic Medicine
Join Editorial Board Propose a Special Issue
Print ISSN: 1792-0981 Online ISSN: 1792-1015
Journal Cover
March 2012 Volume 3 Issue 3

Full Size Image

Sign up for eToc alerts
Recommend to Library

Journals

International Journal of Molecular Medicine

International Journal of Molecular Medicine

International Journal of Molecular Medicine is an international journal devoted to molecular mechanisms of human disease.

International Journal of Oncology

International Journal of Oncology

International Journal of Oncology is an international journal devoted to oncology research and cancer treatment.

Molecular Medicine Reports

Molecular Medicine Reports

Covers molecular medicine topics such as pharmacology, pathology, genetics, neuroscience, infectious diseases, molecular cardiology, and molecular surgery.

Oncology Reports

Oncology Reports

Oncology Reports is an international journal devoted to fundamental and applied research in Oncology.

Experimental and Therapeutic Medicine

Experimental and Therapeutic Medicine

Experimental and Therapeutic Medicine is an international journal devoted to laboratory and clinical medicine.

Oncology Letters

Oncology Letters

Oncology Letters is an international journal devoted to Experimental and Clinical Oncology.

Biomedical Reports

Biomedical Reports

Explores a wide range of biological and medical fields, including pharmacology, genetics, microbiology, neuroscience, and molecular cardiology.

Molecular and Clinical Oncology

Molecular and Clinical Oncology

International journal addressing all aspects of oncology research, from tumorigenesis and oncogenes to chemotherapy and metastasis.

World Academy of Sciences Journal

World Academy of Sciences Journal

Multidisciplinary open-access journal spanning biochemistry, genetics, neuroscience, environmental health, and synthetic biology.

International Journal of Functional Nutrition

International Journal of Functional Nutrition

Open-access journal combining biochemistry, pharmacology, immunology, and genetics to advance health through functional nutrition.

International Journal of Epigenetics

International Journal of Epigenetics

Publishes open-access research on using epigenetics to advance understanding and treatment of human disease.

Medicine International

Medicine International

An International Open Access Journal Devoted to General Medicine.

Journal Cover
March 2012 Volume 3 Issue 3

Full Size Image

Sign up for eToc alerts
Recommend to Library

  • Article
  • Citations
    • Cite This Article
    • Download Citation
    • Create Citation Alert
    • Remove Citation Alert
    • Cited By
  • Similar Articles
    • Related Articles (in Spandidos Publications)
    • Similar Articles (Google Scholar)
    • Similar Articles (PubMed)
  • Download PDF
  • Download XML
  • View XML
Article

Effect of a chicken comb extract-containing supplement on subclinical joint pain in collegiate soccer players

  • Authors:
    • Masafumi Yoshimura
    • Yoshihiro Aoba
    • Kiyohito Naito
    • Taiji  Watari
    • Saya Murakami
    • Kaori Yoshimura
    • Takeshi Nakagawa
    • Tetsuro  Yamamoto
    • Hideyo Yamaguchi
    • Isao Nagaoka
  • View Affiliations / Copyright

    Affiliations: Juntendo University Graduate School of Health and Sports Science, Inzai, Chiba, Japan, Department of Medicine for Motor Organ, Juntendo University Graduate School of Medicine, Tokyo, Japan, Department of Medicine for Motor Organ, Juntendo University Graduate School of Medicine, Tokyo, Japan, Everlife Co., Ltd., Fukuoka, Japan, Total Technological Consultant Co., Ltd., Tokyo, Japan, Department of Host Defense and Biochemical Research, Juntendo University Graduate School of Medicine, Tokyo, Japan
  • Pages: 457-462
    |
    Published online on: December 23, 2011
       https://doi.org/10.3892/etm.2011.431
  • Expand metrics +
Metrics: Total Views: 0 (Spandidos Publications: | PMC Statistics: )
Metrics: Total PDF Downloads: 0 (Spandidos Publications: | PMC Statistics: )
Cited By (CrossRef): 0 citations Loading Articles...

This article is mentioned in:



Abstract

Much of our focus of attention has been on sub-clinical or subtle joint pain experienced by healthy soccer players. The present study aimed to determine at which joint such subclinical pains are the most prominent, and to examine the pain-relieving effect of a chicken comb extract (CCE)-containing supplement product (test product) on these athletes. A total of 46 collegiate soccer players, consisting of 24 leading and 22 substitute players, belonging to a university soccer team were enrolled for measuring the pains at 4 different joints (ankle, knee, hip and shoulder) using 3 pain subscales of a 100-mm visual analog scale (VAS) (‘pain at rest’, ‘pain on pressing’ and ‘pain on moving’), and participated in a prospective, double-blind, controlled study. A total of 23 subjects each received the test product (4,800 mg/day) (test group) and placebo (placebo group) for 12 weeks. VAS pain scores of individual joints were evaluated at baseline and following 4, 8 and 12 weeks of the intervention. VAS scores for the ‘pain on moving’ subscale in 46 enrolled subjects were highest at the ankle joint, and thus the values (abbreviated as ‘pain scores’) were used as a parameter for efficacy assessment of the test product. Compared to the baseline, the pain scores were significantly decreased for the dominant foot (but not for the non-dominant foot) in the total subpopulation (at week 4; p<0.01) and the leading player subpopulation (at week 4; p<0.01 and at week 12; p<0.05) in the test group (n=19 and 11, respectively). In comparison between the test product and placebo groups, the pain scores were significantly changed for the dominant foot (p<0.05) at week 4 in the total subpopulation and at week 12 in the leading player subpopulation in the test group. Thus, subclinical joint pain is most prominently observed at the ankle joint of the dominant foot in healthy young soccer players and may be improved by the daily intake of the CCE-containing supplement.

Introduction

Soccer is one of the sports most likely to cause not only clinically recognized joint injuries but also unrecognized minute ones due to the overuse, repetitive impact and torsional loading of joints. Furthermore, these conditions may be aggravated by several factors, including excessive mechanical loads and repeated microtrauma. These factors are known to enhance articular cartilage damage in soccer players. In this context, there are supporting data demonstrating that the risk of cartilage damage is increased in soccer (and certain other sports), where the repetitive intense impact and torsional loading are subjected to the joints (1), and may be implicated in the chronic development of osteoarthritis (OA) (2–4). Indeed, several clinical studies have demonstrated that the risk of OA is higher in soccer players, as well as in certain other groups of athletes, than in control non-athlete groups (5–11).

In the course of health management of collegiate soccer players, we noticed that most players, particularly leading players, suffer from subtle lower extremity joint pains that are self-recognized only when they engage in the training and/or soccer games, although they are not diagnosed as having joint injuries. Thus, we speculated that these conditions may result from clinically unrecognized minute joint injuries and that such injuries may also increase the risk of subsequent development of OA or other degenerative joint diseases (1). The aim of the present study was to examine at which joints the minute injury-mediated subclinical joint pains occur and are observed in soccer players. For this purpose, pains were measured at several different joints, mainly lower extremity joints, using 3 pain subscales of a 100-mm visual analog scale (VAS) in a team of collegiate soccer players.

In addition, we focused on the potential of nutraceuticals for the prevention and treatment of such subclinical joint pains. Glucosamine and chondroitin are two popular dietary supplements being promoted for the maintenance of joint health among athletes (12–15). In addition, our previous study demonstrated that the intake of a dietary supplement containing chicken comb extract (CCE) rich in hyaluronan (HA) (CCE supplement) was effective in improving pain and dysfunction of afflicted joints in patients with knee OA (16). Based on these data, we conducted a prospective, double-blind, controlled study, in which the effect of the CCE supplement on joint pain was evaluated in a team of collegiate soccer players without any previously diagnosed joint injury.

Materials and methods

Subjects

The present study was approved by the Human Experimentation Ethics Committee of Juntendo University (Japan) and was conducted in accordance with the principles of the amended Declaration of Helsinki and ‘Ethical Guidelines for Epidemiological Research’ (established by the Japanese Government in 2004). Written informed consent was obtained from all subjects prior to their enrollment in the study. The enrolled subjects belonged to a soccer team of Juntendo University School of Health and Sports Science, and included both leading and substitute players.

Exclusion criteria were: clinically recognized joint injuries; common use of health food or cosmetics containing constituents with analgesic and/or chondroprotective potential (e.g., glucosamine, chondroitin and HA); known allergy to certain constituent(s) or material(s) of the test supplement; previous or current (within the previous 3 months) treatment or planned treatment to be administered during the study period with intra-articular injections of HA or corticosteroids; routine intake of anti-resorptive drugs, including bisphosphonates or estrogen; participation in another clinical study and the presence of any medical condition or history judged by the medical investigator to preclude the subject's inclusion in the study.

Among the eligible subjects, appreciable differences in the amount of soccer-related activities were observed between leading and substitute players. According to the estimation by the team leader and coaches, the average amount of physical activities in the training and soccer games for the leading players during the study period was 1.4- to 1.7-times greater than that for the substitute players. The amount of soccer-related activities also varied based on the players' position within the team or on the pitch, being the highest in midfielders and the lowest in goalkeepers. Taking these points into consideration, enrolled subjects were divided into 2 groups so that they were distributed evenly in terms of their playing positions, as well as leading and substitute players.

Intervention and subject group assignment

The test product was a commercially available 300-mg capsule-form product (Kojun®), containing 157.5 mg of CCE, of which approximately 4.5 mg was HA, together with 20 mg of calcium lactate, 10 mg of propolis extract, 4.9 mg of chitosan oligosaccharide, 5.0 mg each of vitamins B1 and B6, 2.5 mg of vitamin E, 2.0 mg of ferric pyrophosphate, 0.1 mg of vitamin B12 and 192.5 mg of the vehicle (comprising of crystalline cellulose, dextrin and fatty acid sugar esters). Subjects were assigned to receive 16 capsules per day of the test product (test group) or 16 capsules per day of the ‘dummy’ placebo, containing only the vehicle (placebo group). All subjects were instructed to take allocated capsules in a dose of 8 capsules twice daily following breakfast and dinner with the aid of a sufficient amount of drinking water for a consecutive 12 weeks. The study was performed during the 2009 summer-fall soccer competition season. Adherence to the intervention was assessed on the basis of consumption recorded in the self-administered study diary, and a value <85% was considered to constitute a protocol violation.

Procedures

All subjects underwent clinical and laboratory examinations at baseline and at weeks 4, 8 and 12 following the commencement of intervention to follow the changes in pain levels during the 12-week intervention period. Due to the characteristics of soccer, the lower extremity joints are expected to be at a greater risk of suffering repetitive impact and torsional loading than the upper extremity joints. On the basis of this, we selected the 3 lower extremity joints (i.e., ankle, knee and hip joints) as the main target joints, together with a shoulder joint as a representative of upper extremity joints, for evaluating the pain-relieving effect of the test product.

Pain levels of the individual test joints were measured using the self-diagnosed 3 pain subscales of the 100-mm VAS: ‘pain at rest’, ‘pain on pressing’ and ‘pain on moving’. Each VAS pain subscale was scored from 1 to 100, where 0 indicated no pain and 100 indicated the most intense pain ever experienced.

Tolerability and safety was assessed throughout the study on the basis of the incidence and severity of intervention-related adverse events (side-effects) as well as abnormal changes in blood pressure, pulse rate and laboratory tests, including hematology, biochemical profile and urinalysis.

Statistical analysis

Values of all variables were expressed as the means ± standard deviation (SD). Individual VAS scores for 3 pain subscales at 4 different joints measured prior to the start of intervention were compared by the Student's t-test. Baseline characteristics of the total subject population and the leading players were compared between the test and placebo groups by the Student's t-test for continuous variables and by the Mann-Whitney U test for category variables. Pain scores during the intervention were compared to the baseline values by the Student's t-test. Comparisons of the changes from the baseline in pain scores were also performed by the Student's t-test. A p-value <0.05 was considered to indicate a statistically significant difference.

Results

Comparison of VAS scores for 3 pain subscales among 4 test joints

The severities of pain at 4 different joints (e.g., ankle, knee, hip and shoulder joints), as measured by the use of 3 pain subscales of a 100-mm VAS, were compared using 46 enrolled collegiate soccer players, consisting of 24 leading and 22 substitute players, prior to the commencement of intervention. As shown in Fig. 1, the total population analysis with all the subjects indicated that the ‘pain on moving’ subscale scores were higher than the ‘pain at rest’ and ‘pain on pressing’ subscale scores at all of the 4 test joints, and that the values at the ankle joint were the highest and those at the shoulder joint were the lowest among the 4 joints in the 3 pain subscale scores (Fig. 1A–C). Almost the same results were obtained in the subpopulation analysis with the lead players (Fig. 1D–F). However, no such clear results were obtained with the substitute players, probably due to the fact that the VAS scores for every pain subscale were too low in the substitute player group to evaluate reliably. The ankle joint VAS scores for ‘pain at rest’ and ‘pain on moving’ subscales were 14.0±26.8 and 30.3±45.1 (p=0.037) in the total subject population, 17.7±25.8 and 38.2±45.8 (p=0.062) in the leading player subpopulation, and 9.9±27.9 and 21.8±43.7 (p=0.290) in the substitute player subpopulation, respectively.

Figure 1.

Comparison of VAS scores for the 3 pain subscales in the 4 different joints of the total subpopulation and the leading player subpopulation. VAS scores for the 3 pain subscales. (A and D) ‘pain at rest’, (B and E) ‘pain on pressing’ and (C and F) ‘pain on moving’ in the 4 different joints (ankle, knee, hip and shoulder joints) of the total subpopulation (n=46; A, B and C) and the leading player subpopulation (n=24; D, E and F). VAS, visual analog scale.

Based on all these data, the VAS scores for ‘pain on moving’ at the ankle joint (hereafter presented as ‘pain scores’) were utilized as the parameter for the evaluation of the efficacy of the test product, and the total subject population and leading player subpopulation were subjected to efficacy analyses.

Characterization of study groups

Of the 46 enrolled subjects, 23 were assigned to the test product group and placebo group. A total of 4 of the subjects in the 2 groups withdrew from or discontinued the study during the intervention period for a number of reasons, including hospitalization due to bone or joint injuries, trauma and other medical problems, and withdrawal from the soccer team. Thus, 38 subjects (19 each in both the test and placebo groups) fulfilled the eligibility criteria, completed the study and were analyzed for the efficacy assessment. The eligible subjects in the test and placebo groups comprised 11 and 10 leading players and 8 and 9 substitute players, respectively.

As shown in Table I, the demographic and physiological characteristics (age, height, weight, body mass index, blood pressure and pulse rate) did not differ between the test and placebo groups. The number of leading and substitute players and the distribution of the position of players was well balanced between the 2 groups.

Table I.

Baseline data of eligible subjects in the test and placebo groups who completed the study.

Table I.

Baseline data of eligible subjects in the test and placebo groups who completed the study.

VariablesaTest group (n=19)Placebo group (n=19)p-value
Age (years)19.5±1.219.7±1.30.521
Height (cm)172.7±5.7172.2±6.20.802
Weight (kg)66.05±5.6566.45±6.520.843
Body mass index (kg/m2)22.14±1.3222.38±1.240.579
Systolic blood pressure (mmHg)110.9±9.0116.4±8.90.068
Diastolic blood pressure (mmHg)61.5±8.462.7±6.30.618
Pulse rate (beats/min)53.9±7.053.5±6.90.871
Leading players/substitute players (Number of subjects)11/810/90.795
Distribution of the position of the players (Number of subjects) MF/DF/FW/GKb10/6/1/29/6/4/00.246
Pain scores of the ankle joints
  Dominant foot22.29±23.7217.01±27.580.531
  Non-dominant foot17.96±24.1715.32±26.560.750

a All values are expressed as the means ± standard deviation (SD), except for ‘Leading players/substitute players’and ‘Distribution of player position’.

b MF, midfielder; DF, defender; FW, forward; GK, goalkeeper.

Regarding the pain scores, we analyzed the dominant foot and the non-dominant foot separately, since the extent of joint loads and the risk of joint injury were considered somewhat different between the dominant and non-dominant feet. The average pain scores for the dominant foot were slightly higher than those for the non-dominant foot (Table I).

Efficacy of the test supplement

Table II shows the changes in the pain scores analyzed with the total subject population and the leading player subpopulation in the test and placebo groups. Pain scores of the dominant and non-dominant feet are presented separately. Significant reductions in the pain scores were observed only for the dominant foot (but not for the non-dominant foot) in the test group (but not in the placebo group); at week 4 (p<0.05) in the total population and at weeks 4 (p<0.05) and 12 (p<0.01) in the leading player subpopulation.

Table II.

Changes in the pain scores for the dominant and non-dominant feet during the 12-week intervention period in the test and placebo groups.

Table II.

Changes in the pain scores for the dominant and non-dominant feet during the 12-week intervention period in the test and placebo groups.

SubjectsGroupFoot, dominant or non-dominantPain scores (mm)a
BaselineWeek 4Week 8Week 12
Total population (n=38)Test (n=19)Dominant22.29±23.728.92±15.39b14.09±18.5712.05±17.11
Non-dominant17.96±24.1718.55±25.1117.55±19.8615.55±17.70
Placebo (n=19)Dominant17.01±27.5815.93±22.1416.11±26.4013.32±17.50
Non-dominant15.32±26.5623.61±30.8412.57±23.0113.69±17.48
First-line players (n=21)Test (n=11)Dominant29.91±23.6813.72±18.90b18.51±21.927.86±12.26c
Non-dominant19.70±22.6919.20±26.2721.01±20.9512.88±11.89
Placebo (n=10)Dominant19.93±27.6320.26±22.7624.29±32.4818.79±21.04
Non-dominant16.85±26.0528.35±36.9914.36±27.4114.50±18.73

a Values are expressed as the means ± standard deviation (SD);

b p<0.05;

c p<0.01 against the baseline (paired Student's t-test).

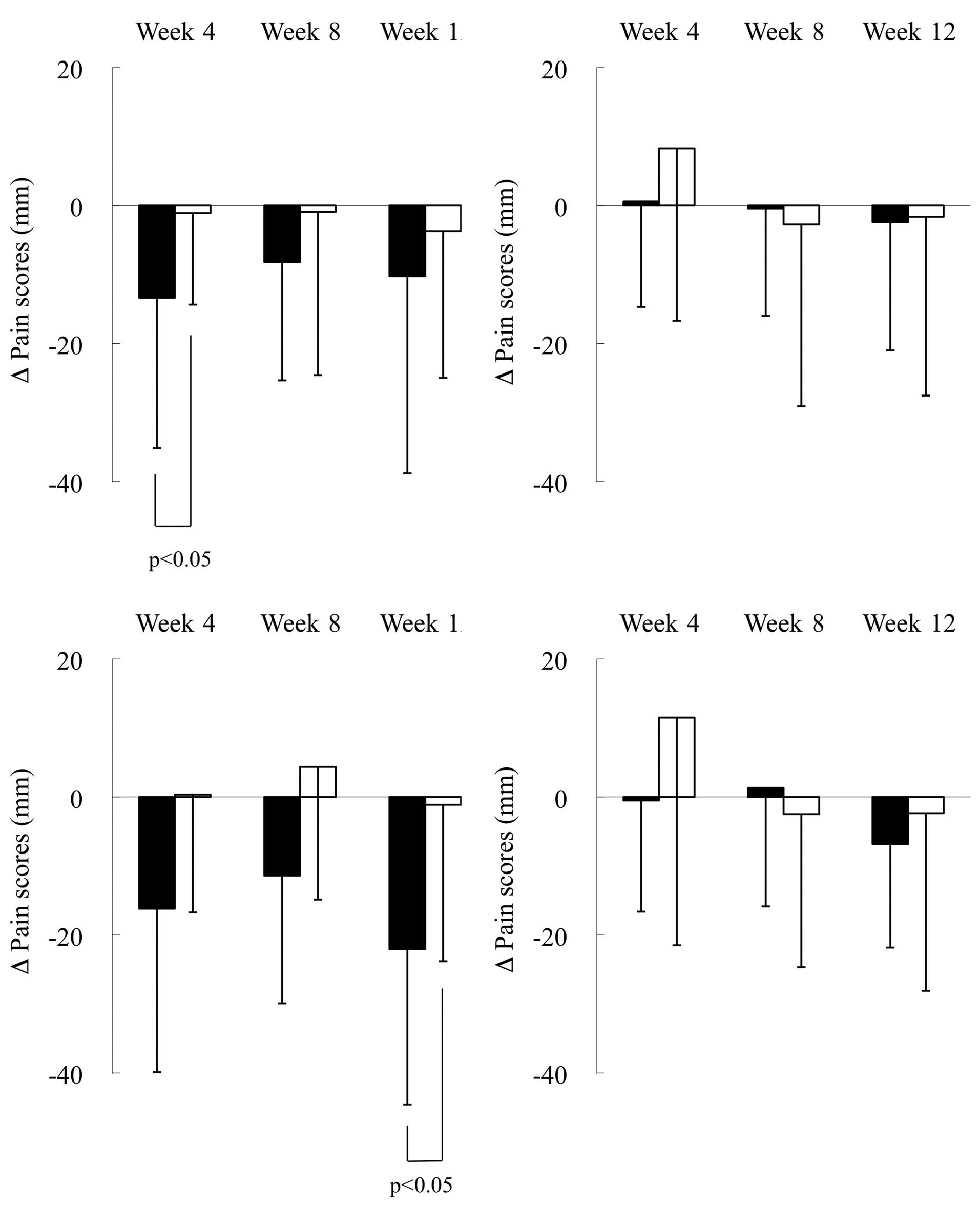
Fig. 2 shows the changes from baseline in the pain scores for the dominant and non-dominant feet of the total population and leading players in the 2 groups. Of note, the pain scores were significantly reduced in the dominant foot of the test group compared to the placebo group at week 4 (p<0.05) in the total population (Fig. 2A) and at week 12 (p<0.05) in the leading player subpopulation (Fig. 2C). By contrast, the pain scores were not significantly different between the test and placebo group for the non-dominant foot in the total population (Fig. 2B) and the leading player subpopulation (Fig. 2D).

Figure 2.

Changes from the baseline in the pain scores for the dominant and non-dominant feet in the test and placebo groups during the 12-week intervention. (A and B) Changes in the pain scores from the baseline in the dominant and non-dominant feet, respectively, of the total subpopulation in the test group (closed bar) (n=19) and placebo group (open bar) (n=19); (C and D) changes in the pain scores from the baseline in the dominant and non-dominant feet, respectively, of the leading player subpopulation in the test group (closed bar) (n=11) and placebo group (open bar) (n=10).

Safety of the test supplement

A total of 11 subjects of the test group (n=23) and 12 subjects of the placebo group (n=23) reported at least 1 adverse event, but not for injuries and trauma during the intervention period. The total number of reported adverse events was 26 in the test group and 21 in the placebo group, and there was no significant difference in the frequency between the 2 groups. Individual adverse events and their frequencies in the test group compared to the placebo group were: upper respiratory infections (20 vs. 17); rhinitis (0 vs. 2); diarrhea (2 vs. 0); dehydration (1 vs. 0); retinal detachment (0 vs. 1); urticaria (0 vs. 1); herpes (1 vs. 0); anemia (1 vs. 0) and pneumonia (1 vs. 0). All adverse events were judged by the medical investigator to be unrelated to the intervention. In the 2 groups, measurements of physiological parameters (weight, body mass index, blood pressure and pulse rate) and routine laboratory tests (hematology, blood chemistry and urinalysis) did not reveal any significant abnormality throughout the intervention.

Discussion

Soccer injuries have been reported to occur for the most part in the lower extremity in youth players (17,18), as is the case for professional (19) and senior players (20,21). The possible explanations for this are as follows: i) in soccer players, the lower extremity joints are subjected to severe mechanical stresses and are easily injured due to excessive and repetitive use of the joints; and ii) soccer players expose their lower extremity joints to repetitive intense impacts and torsional and/or axial loads. Such joint injuries may cause pain and other symptoms located in the afflicted joints.

With regard to the comparison of subtle joint pain presumably associated with minute injuries among 4 various joints (ankle, knee, hip and shoulder joints), the highest VAS scores were observed in the ankle joint, followed by the knee, hip or shoulder joint for all of the 3 pain subscales. This could be explained by the finding that relatively more sprains are localized in the ankle joint of soccer players (22). Furthermore, a substantial number of preceding studies have demonstrated that among all joint injuries occurring in soccer players the ankle sprain is the most common (17–19,23–29). The results from the present study showed that the VAS scores for the ‘pain on moving’ subscale were substantially higher than the scores for the ‘pain at rest’ subscale and ‘pain on pressing’ at the ankle joint, as well as other lower extremity joints in youth soccer players. This suggests that VAS scores for the ‘pain on moving’ subscale may be utilized as the most sensitive parameter for detecting subtle joint pain and evaluating the effect of joint-protecting treatments.

In this prospective, placebo-controlled study, in which the ankle joint was used as the target, the test product exhibited a pain-relieving effect on the ankle of the dominant foot in the subjects, particularly leading players. The pain scores were significantly reduced from the baseline in the total subpopulation and the leading player subpopulation of the test groups at week 4 and at weeks 4 and 12, respectively (Table II). Moreover, the pain score reduced significantly for the dominant feet of the leading players in the test group, compared with those in the placebo group at week 12 (Fig. 2C). By contrast, the pain scores were not significantly changed in the non-dominant feet of both the total and leading player subpopulations in the test group, as well as the dominant and non-dominant feet of the total and leading player subpopulations in the placebo group (Table II and Fig. 2). Although there is no explanation for these results, it may be speculated that the ankle joint of the dominant foot in the leading players may be subjected to increased opportunities of suffering injuries compared to the ankle joint of the opposite (non-dominant) foot. Thus, the test product may exhibit a pain-relieving effect on the ankle joint of the dominant foot in the leading player subpopulation.

Glucosamine is sometimes used by soccer players for preventing OA or relieving joint pain. However, there is currently no evidence indicating such efficacy in healthy athletes. Regarding the CCE supplement, we previously demonstrated in a clinical study that the CCE supplement has a pain-relieving effect on middle-aged and older patients with knee OA (16). Thus, it is likely that the pain-relieving effect could be extrapolated to healthy young athletes experiencing subclinical pains at the afflicted joints.

There are as yet no data available for explaining the mechanism by which the CCE supplement can alleviate joint pain in collegiate soccer players, as observed in the present study. HA, a presumable bioactive constituent of the CCE supplement, has been reported to display anti-inflammatory activities through an inhibition of the production of several pro-inflammatory cytokines (e.g., interleukin-1β) or inflammatory mediators (e.g., Prostaglandin E2) (30,31). These observations indicate a that HA may be implicated in the favorable effect of the CCE supplement by suppressing inflammation of the affected joints, thereby relieving joint pain.

References

1. 

M YoshimuraK SakamotoA TsurutaEvaluation of the effect of glucosamine administration on biomarkers for cartilage and bone metabolism in soccer playersInt J Mol Med24487494200919724889

2. 

AS LevyJ LohnesS SculleyM LeCroyW GarrettChondral delamination of the knee in soccer playersAm J Sports Med24634639199610.1177/0363546596024005128883684

3. 

JA BuckwalterNE LaneAthletics and osteoarthritisAm J Sports Med25873881199710.1177/0363546597025006249397280

4. 

AC GelberMC HochbergLA MeadNY WangFM WigleyMJ KlagJoint injury in young adults and risk for subsequent knee and hip osteoarthritisAnn Intern Med133321328200010.7326/0003-4819-133-5-200009050-0000710979876

5. 

T BoyerM DelaireL BeranekPP LasserreM TakeyaMF KahnIncidence of previous engagement in sports among patients with symptomatic arthrosisControlled study Rev Rhum Mal Osteoartic4879379719816461056

6. 

UM KujalaJ KaprioS SarnaOsteoarthritis of weight bearing joints of lower limbs in former élite male athletesBMJ2223123419948111258

7. 

H RoosH LindbergP GärdsellLS LohmanderH WingstrandThe prevalence of gonarthrosis and its relation to meniscectomy in former soccer playersAm J Sports Med22219222199410.1177/0363546594022002118198190

8. 

UM KujalaJ KettunenH PaananenKnee osteoarthritis in former runners, soccer players, weight lifters, and shootersArthritis Rheum38539546199510.1002/art.17803804137718008

9. 

TD SpectorPA HarrisDJ HartRisk of osteoarthritis associated with long-term weight-bearing sports: a radiologic survey of the hips and knees in female ex-athletes and population controlsArthritis Rheum39988995199610.1002/art.1780390616

10. 

F RannouS PoiraudeauM RevelCartilage: from biomechanics to physical therapyAnn Readapt Med Phys44259267200111587668

11. 

M LequesneSport and osteoarthritis of the membersSci Sports19281285200410.1016/j.scispo.2004.09.003

12. 

TL SchwenkCD CostleyWhen food becomes a drug: nonanabolic nutritional supplement use in athletesAm J Sports Med30907916200212435662

13. 

RT GorslineCC KaedingThe use of NSAIDs and nutritional supplements in athletes with osteoarthritis: prevalence, benefits, and consequencesClin Sports Med247182200510.1016/j.csm.2004.08.00315636778

14. 

P HespelRJ MaughanPL GreenhaffDietary supplements for footballJ Sports Sci24749761200610.1080/0264041050048297416766503

15. 

SM OstojicM ArsicS ProdanovicJ VukovicM ZlatanovicGlucosamine administration in athletes: effects on recovery of acute knee injuryRes Sports Med15113124200710.1080/1543862070140524817578751

16. 

I NagaokaK NabeshimaS MurakamiEvaluation of the effects of a supplementary diet containing chicken comb extract on symptoms and cartilage metabolism in patients with knee osteoarthritisExp Ther Med1817827201022993606

17. 

S NilssonA RoaasSoccer injuries in adolescentsAm J Sports Med6358361197810.1177/036354657800600608

18. 

JA SullivanRH GrossWA GranaCA Garcia-MoralEvaluation of injuries in youth soccerAm J Sports Med8325327198010.1177/0363546580008005057416349

19. 

M AlbertDescriptive three-year data study of outdoor and indoor professional soccer injuriesJ Athl Train182182201983

20. 

J EkstrandJ GillguistSoccer injuries and their mechanisms: a prospective studyMed Sci Sport Exerc15267270198310.1249/00005768-198315030-000146621313

21. 

J EkstrandJ GillquistThe avoidability of soccer injuriesInt J Sports Med4124128198310.1055/s-2008-1026025

22. 

H InklaarE BolSL SchmikliWL MosterdInjuries in male soccer players: team risk analysisInt J Sports Med17229234199610.1055/s-2007-9728378739579

23. 

WC McMasterM WalterInjuries in soccerAm J Sports Med6354357197810.1177/036354657800600607

24. 

B KristensenC AndersenSoccer injuries. II The socioeconomic importance of injuries treated outside hospitalsUgeskr Leager141270327041979531960

25. 

S MaehlumOA DaljordFootball injuries in Oslo: a one-year studyBr J Sports Med1818619019846487944

26. 

S Schmidt-OlsenLK BünemannV LadeJO BrassøeSoccer injuries of youthInt J Sports Med1916116419854075068

27. 

M Sadat-AliM Sankaran-KuttySoccer injuries in Saudi ArabiaAm J Sports Med15500502198710.1177/036354658701500513

28. 

CS KellerFR NoyesCR BuncherThe medical aspects of soccer injuryAm J Sports Med15230237198710.1177/036354658701500307

29. 

K HøyBE LindbladCJ TerkelsenHE HellelandCJ TerkelsenEuropean soccer injuries. A prospective epidemiologic and socioeconomic studyAm J Sports Med2031832219921636863

30. 

T YasuiM AkatsukaK TobettoM HayaishiT AndoThe effect of hyaluronan on interleukin-1α-induced Prostaglandin E2 production in human osteoarthritic synovial cellsAgents Actions371551561992

31. 

K TakahashiRS GoomerF HarwoodT KuboY HirasawaD AmielThe effects of hyaluronan on matrix metalloproteinase-3 (MMP-3), interleukin-1β (IL-1 β), and tissue inhibitor of metal-loproteinase-1 (TIMP-1) gene expression during the development of osteoarthritisOsteoarthritis Cartilage71821901999

Related Articles

  • Abstract
  • View
  • Download
  • Twitter
Copy and paste a formatted citation
Spandidos Publications style
Yoshimura M, Aoba Y, Naito K, Watari T, Murakami S, Yoshimura K, Nakagawa T, Yamamoto T, Yamaguchi H, Nagaoka I, Nagaoka I, et al: Effect of a chicken comb extract-containing supplement on subclinical joint pain in collegiate soccer players. Exp Ther Med 3: 457-462, 2012.
APA
Yoshimura, M., Aoba, Y., Naito, K., Watari, T., Murakami, S., Yoshimura, K. ... Nagaoka, I. (2012). Effect of a chicken comb extract-containing supplement on subclinical joint pain in collegiate soccer players. Experimental and Therapeutic Medicine, 3, 457-462. https://doi.org/10.3892/etm.2011.431
MLA
Yoshimura, M., Aoba, Y., Naito, K., Watari, T., Murakami, S., Yoshimura, K., Nakagawa, T., Yamamoto, T., Yamaguchi, H., Nagaoka, I."Effect of a chicken comb extract-containing supplement on subclinical joint pain in collegiate soccer players". Experimental and Therapeutic Medicine 3.3 (2012): 457-462.
Chicago
Yoshimura, M., Aoba, Y., Naito, K., Watari, T., Murakami, S., Yoshimura, K., Nakagawa, T., Yamamoto, T., Yamaguchi, H., Nagaoka, I."Effect of a chicken comb extract-containing supplement on subclinical joint pain in collegiate soccer players". Experimental and Therapeutic Medicine 3, no. 3 (2012): 457-462. https://doi.org/10.3892/etm.2011.431
Copy and paste a formatted citation
x
Spandidos Publications style
Yoshimura M, Aoba Y, Naito K, Watari T, Murakami S, Yoshimura K, Nakagawa T, Yamamoto T, Yamaguchi H, Nagaoka I, Nagaoka I, et al: Effect of a chicken comb extract-containing supplement on subclinical joint pain in collegiate soccer players. Exp Ther Med 3: 457-462, 2012.
APA
Yoshimura, M., Aoba, Y., Naito, K., Watari, T., Murakami, S., Yoshimura, K. ... Nagaoka, I. (2012). Effect of a chicken comb extract-containing supplement on subclinical joint pain in collegiate soccer players. Experimental and Therapeutic Medicine, 3, 457-462. https://doi.org/10.3892/etm.2011.431
MLA
Yoshimura, M., Aoba, Y., Naito, K., Watari, T., Murakami, S., Yoshimura, K., Nakagawa, T., Yamamoto, T., Yamaguchi, H., Nagaoka, I."Effect of a chicken comb extract-containing supplement on subclinical joint pain in collegiate soccer players". Experimental and Therapeutic Medicine 3.3 (2012): 457-462.
Chicago
Yoshimura, M., Aoba, Y., Naito, K., Watari, T., Murakami, S., Yoshimura, K., Nakagawa, T., Yamamoto, T., Yamaguchi, H., Nagaoka, I."Effect of a chicken comb extract-containing supplement on subclinical joint pain in collegiate soccer players". Experimental and Therapeutic Medicine 3, no. 3 (2012): 457-462. https://doi.org/10.3892/etm.2011.431
Follow us
  • Twitter
  • LinkedIn
  • Facebook
About
  • Spandidos Publications
  • Careers
  • Cookie Policy
  • Privacy Policy
How can we help?
  • Help
  • Live Chat
  • Contact
  • Email to our Support Team