Spandidos Publications Logo
  • About
    • About Spandidos
    • Aims and Scopes
    • Abstracting and Indexing
    • Editorial Policies
    • Reprints and Permissions
    • Job Opportunities
    • Terms and Conditions
    • Contact
  • Journals
    • All Journals
    • Oncology Letters
      • Oncology Letters
      • Information for Authors
      • Editorial Policies
      • Editorial Board
      • Aims and Scope
      • Abstracting and Indexing
      • Bibliographic Information
      • Archive
    • International Journal of Oncology
      • International Journal of Oncology
      • Information for Authors
      • Editorial Policies
      • Editorial Board
      • Aims and Scope
      • Abstracting and Indexing
      • Bibliographic Information
      • Archive
    • Molecular and Clinical Oncology
      • Molecular and Clinical Oncology
      • Information for Authors
      • Editorial Policies
      • Editorial Board
      • Aims and Scope
      • Abstracting and Indexing
      • Bibliographic Information
      • Archive
    • Experimental and Therapeutic Medicine
      • Experimental and Therapeutic Medicine
      • Information for Authors
      • Editorial Policies
      • Editorial Board
      • Aims and Scope
      • Abstracting and Indexing
      • Bibliographic Information
      • Archive
    • International Journal of Molecular Medicine
      • International Journal of Molecular Medicine
      • Information for Authors
      • Editorial Policies
      • Editorial Board
      • Aims and Scope
      • Abstracting and Indexing
      • Bibliographic Information
      • Archive
    • Biomedical Reports
      • Biomedical Reports
      • Information for Authors
      • Editorial Policies
      • Editorial Board
      • Aims and Scope
      • Abstracting and Indexing
      • Bibliographic Information
      • Archive
    • Oncology Reports
      • Oncology Reports
      • Information for Authors
      • Editorial Policies
      • Editorial Board
      • Aims and Scope
      • Abstracting and Indexing
      • Bibliographic Information
      • Archive
    • Molecular Medicine Reports
      • Molecular Medicine Reports
      • Information for Authors
      • Editorial Policies
      • Editorial Board
      • Aims and Scope
      • Abstracting and Indexing
      • Bibliographic Information
      • Archive
    • World Academy of Sciences Journal
      • World Academy of Sciences Journal
      • Information for Authors
      • Editorial Policies
      • Editorial Board
      • Aims and Scope
      • Abstracting and Indexing
      • Bibliographic Information
      • Archive
    • International Journal of Functional Nutrition
      • International Journal of Functional Nutrition
      • Information for Authors
      • Editorial Policies
      • Editorial Board
      • Aims and Scope
      • Abstracting and Indexing
      • Bibliographic Information
      • Archive
    • International Journal of Epigenetics
      • International Journal of Epigenetics
      • Information for Authors
      • Editorial Policies
      • Editorial Board
      • Aims and Scope
      • Abstracting and Indexing
      • Bibliographic Information
      • Archive
    • Medicine International
      • Medicine International
      • Information for Authors
      • Editorial Policies
      • Editorial Board
      • Aims and Scope
      • Abstracting and Indexing
      • Bibliographic Information
      • Archive
  • Articles
  • Information
    • Information for Authors
    • Information for Reviewers
    • Information for Librarians
    • Information for Advertisers
    • Conferences
  • Language Editing
Spandidos Publications Logo
  • About
    • About Spandidos
    • Aims and Scopes
    • Abstracting and Indexing
    • Editorial Policies
    • Reprints and Permissions
    • Job Opportunities
    • Terms and Conditions
    • Contact
  • Journals
    • All Journals
    • Biomedical Reports
      • Information for Authors
      • Editorial Policies
      • Editorial Board
      • Aims and Scope
      • Abstracting and Indexing
      • Bibliographic Information
      • Archive
    • Experimental and Therapeutic Medicine
      • Information for Authors
      • Editorial Policies
      • Editorial Board
      • Aims and Scope
      • Abstracting and Indexing
      • Bibliographic Information
      • Archive
    • International Journal of Epigenetics
      • Information for Authors
      • Editorial Policies
      • Editorial Board
      • Aims and Scope
      • Abstracting and Indexing
      • Bibliographic Information
      • Archive
    • International Journal of Functional Nutrition
      • Information for Authors
      • Editorial Policies
      • Editorial Board
      • Aims and Scope
      • Abstracting and Indexing
      • Bibliographic Information
      • Archive
    • International Journal of Molecular Medicine
      • Information for Authors
      • Editorial Policies
      • Editorial Board
      • Aims and Scope
      • Abstracting and Indexing
      • Bibliographic Information
      • Archive
    • International Journal of Oncology
      • Information for Authors
      • Editorial Policies
      • Editorial Board
      • Aims and Scope
      • Abstracting and Indexing
      • Bibliographic Information
      • Archive
    • Medicine International
      • Information for Authors
      • Editorial Policies
      • Editorial Board
      • Aims and Scope
      • Abstracting and Indexing
      • Bibliographic Information
      • Archive
    • Molecular and Clinical Oncology
      • Information for Authors
      • Editorial Policies
      • Editorial Board
      • Aims and Scope
      • Abstracting and Indexing
      • Bibliographic Information
      • Archive
    • Molecular Medicine Reports
      • Information for Authors
      • Editorial Policies
      • Editorial Board
      • Aims and Scope
      • Abstracting and Indexing
      • Bibliographic Information
      • Archive
    • Oncology Letters
      • Information for Authors
      • Editorial Policies
      • Editorial Board
      • Aims and Scope
      • Abstracting and Indexing
      • Bibliographic Information
      • Archive
    • Oncology Reports
      • Information for Authors
      • Editorial Policies
      • Editorial Board
      • Aims and Scope
      • Abstracting and Indexing
      • Bibliographic Information
      • Archive
    • World Academy of Sciences Journal
      • Information for Authors
      • Editorial Policies
      • Editorial Board
      • Aims and Scope
      • Abstracting and Indexing
      • Bibliographic Information
      • Archive
  • Articles
  • Information
    • For Authors
    • For Reviewers
    • For Librarians
    • For Advertisers
    • Conferences
  • Language Editing
Login Register Submit
  • This site uses cookies
  • You can change your cookie settings at any time by following the instructions in our Cookie Policy. To find out more, you may read our Privacy Policy.

    I agree
Search articles by DOI, keyword, author or affiliation
Search
Advanced Search
presentation
Experimental and Therapeutic Medicine
Join Editorial Board Propose a Special Issue
Print ISSN: 1792-0981 Online ISSN: 1792-1015
Journal Cover
April 2013 Volume 5 Issue 4

Full Size Image

Sign up for eToc alerts
Recommend to Library

Journals

International Journal of Molecular Medicine

International Journal of Molecular Medicine

International Journal of Molecular Medicine is an international journal devoted to molecular mechanisms of human disease.

International Journal of Oncology

International Journal of Oncology

International Journal of Oncology is an international journal devoted to oncology research and cancer treatment.

Molecular Medicine Reports

Molecular Medicine Reports

Covers molecular medicine topics such as pharmacology, pathology, genetics, neuroscience, infectious diseases, molecular cardiology, and molecular surgery.

Oncology Reports

Oncology Reports

Oncology Reports is an international journal devoted to fundamental and applied research in Oncology.

Experimental and Therapeutic Medicine

Experimental and Therapeutic Medicine

Experimental and Therapeutic Medicine is an international journal devoted to laboratory and clinical medicine.

Oncology Letters

Oncology Letters

Oncology Letters is an international journal devoted to Experimental and Clinical Oncology.

Biomedical Reports

Biomedical Reports

Explores a wide range of biological and medical fields, including pharmacology, genetics, microbiology, neuroscience, and molecular cardiology.

Molecular and Clinical Oncology

Molecular and Clinical Oncology

International journal addressing all aspects of oncology research, from tumorigenesis and oncogenes to chemotherapy and metastasis.

World Academy of Sciences Journal

World Academy of Sciences Journal

Multidisciplinary open-access journal spanning biochemistry, genetics, neuroscience, environmental health, and synthetic biology.

International Journal of Functional Nutrition

International Journal of Functional Nutrition

Open-access journal combining biochemistry, pharmacology, immunology, and genetics to advance health through functional nutrition.

International Journal of Epigenetics

International Journal of Epigenetics

Publishes open-access research on using epigenetics to advance understanding and treatment of human disease.

Medicine International

Medicine International

An International Open Access Journal Devoted to General Medicine.

Journal Cover
April 2013 Volume 5 Issue 4

Full Size Image

Sign up for eToc alerts
Recommend to Library

  • Article
  • Citations
    • Cite This Article
    • Download Citation
    • Create Citation Alert
    • Remove Citation Alert
    • Cited By
  • Similar Articles
    • Related Articles (in Spandidos Publications)
    • Similar Articles (Google Scholar)
    • Similar Articles (PubMed)
  • Download PDF
  • Download XML
  • View XML
Article

A long non-coding RNA, PTCSC3, as a tumor suppressor and a target of miRNAs in thyroid cancer cells

  • Authors:
    • Min Fan
    • Xinying Li
    • Wei Jiang
    • Yun Huang
    • Jingdong Li
    • Zhiming Wang
  • View Affiliations / Copyright

    Affiliations: Department of General Surgery, Xiangya Hospital, Central South University, Changsha 410008, P.R. China
  • Pages: 1143-1146
    |
    Published online on: January 30, 2013
       https://doi.org/10.3892/etm.2013.933
  • Expand metrics +
Metrics: Total Views: 0 (Spandidos Publications: | PMC Statistics: )
Metrics: Total PDF Downloads: 0 (Spandidos Publications: | PMC Statistics: )
Cited By (CrossRef): 0 citations Loading Articles...

This article is mentioned in:


Abstract

Papillary thyroid carcinoma susceptibility candidate 3 (PTCSC3) is a newly identified non-coding RNA, which is highly thyroid-specific. Dramatic downregulation in thyroid cancers suggests its potential roles in the occurrence and development of thyroid tumors. The present study aimed to investigate the effects of PTCSC3 on the biological features of thyroid cancer cells and to explore its possible function as a competing endogenous RNA to bind with miRNAs. Constructs containing the long non-coding RNA, PTCSC3, were transfected into various thyroid cancer cell lines (BCPAP, FTC133 and 8505C). Cell growth, cell cycle transition and apoptosis were measured by MTT assay and flow cytometry. In silico analysis was performed to identify the binding site of PTCSC3 for target miRNAs. Additionally, detection of putative miRNA by quantitative reverse transcription-polymerase chain reaction (RT-PCR) in thyroid cancer cells transfected with PTCSC3 was determined to confirm the interaction. Following transfection with PTCSC3, all three thyroid cancer cells originating from various pathological types of thyroid cancers demonstrated significant growth inhibition, cell cycle arrest and increased apoptosis. The top 20 miRNAs to have a potential interaction with PTCSC3 were identified, out of which miR-574-5p was selected to further confirm the inverse correlation with PTCSC3 in thyroid cancer cells in vitro. In the present study, PTCSC3 as a tumor suppressor was investigated as a competing endogenous RNA for miR-574-5p.

Introduction

Thyroid cancer is the most common malignant tumor of the endocrine organs and its incidence has been steadily increasing over the past few decades (1–3). Consistent with the majority of malignant neoplasms, thyroid cancers are usually associated with specific genetic abnormalities, as well as environmental factors (4,5). Genome-wide association studies (GWAS) determined the predisposition to papillary thyroid cancer (PTC), out of which two single nucleotide polymorphisms (SNPs; rs965513 and rs944289) located on 9q22.33 and 14q13.3, respectively, were shown to have a significant association with PTC (6–9). A long non-coding RNA gene (lncRNA) named papillary thyroid carcinoma susceptibility candidate 3 (PTCSC3) is located 3.2 kb downstream of rs944289 at 14q.13.3 (10). PTCSC3 expression is strictly thyroid-specific and is dramatically downregulated in thyroid tumor tissues and thyroid cell lines.

LncRNAs are involved in a number of regulatory functions, including modulation of apoptosis and invasion, reprogramming of induced pluripotent stem cells, acting as a marker of cell fate and parental imprinting. Previously, studies identified that lncRNA functions as a competing endogenous RNA (ceRNA) for shared miRNAs (11,12). ceRNAs demonstrate a post-transcriptional regulatory role in miRNA molecule distribution on the targets. In this study, PTCSC3, as a target of miRNAs involved in thyroid cancer, was investigated using in silico and biological analyses.

Materials and methods

Construction of the expression plasmid

The cDNA of PTCSC3 was amplified from normal human thyroid tissues (surgical specimen from benign thyroid lesion). The sequences of the forward and reverse primers were 5′-GTACGGTAC CCTCCTTCAGACTTCTCAGTACTC-3′ and 5′-CGACTC GAGATTGCTACTGTGAGCATAACCTAC-3′, respectively. Subsequently, PTCSC3 was subcloned into a pcDNA3 vector (Invitrogen Life Technologies, Carlsbad, CA, USA) to create the expression plasmid for PTCSC3 and the products were confirmed by polymerase chain reaction (PCR) and sequencing.

Cell lines and transfection

Thyroid tumor cell lines BCPAP, FTC133 and 8505C were cultured in RPMI-1640 medium supplemented with 10% calf serum, 0.1 mM non-essential amino acids, 1 mM sodium-pyruvate and 1% penicillin-streptomycin in a 37°C humidified incubator with 5% CO2. The thyroid cancer cell lines were assessed for PTCSC3 expression and no endogenous expression was observed. BCPAP, FTC133 and 8505 cells, which are of papillary, follicular and anaplastic cancer origin, respectively, were transfected with the PTCSC3 expression construct and the empty vector (pcDNA3) as the control, respectively, using 2 μl Lipofectamine 2000 reagent (Invitrogen Life Technologies). At 24 h post-transfection, the cells were harvested and total RNA was extracted using TRIzol reagent and Ambion® DNase I (Invitrogen Life Technologies). An Agilent 2100 BioAnalyzer (Agilent Technologies, Santa Clara, CA, USA) was used to assess its integrity and a high-capacity reverse transcriptase kit (Applied Biosystems, Foster City, CA, USA) was applied to produce cDNA. To confirm successful transfection, reverse transcription (RT)-PCR was performed to detect PTCSC3 expression (forward primer, 5′-TCAAACTCCAGGGCTTGAAC-3′; reverse primer, 5′-ATTACGGCTGGGTCTACCT-3′). The study was approved by the ethics committee of Xiangya Hospital, Central South University, Changsha, China.

MTT assay and flow cytometry

To study the changes in the biological characteristics of the thyroid cancer cell lines following PTCSC3 transfection, cell proliferation was analyzed with the MTT assay and apoptosis and cell cycle with flow cytometry, as previously described (13). For each group, cells in the logarithmic phase were used in all experiments and incubated at 37°C in 5% CO2. For the MTT assay, cells were incubated with 0.5 mg/ml MTT for 4 h. The formazan crystals produced by the living cells in the culture were dissolved with 100 ml dimethyl sulfoxide and the absorbance [optical density (OD) value] was measured at 570 nm using a 96-well plate reader at various time points (0, 24, 48, 72 and 96 h). For flow cytometry, the prepared cells were collected and digested into single-cell suspensions using 0.25% trypsin. Then, the cells were centrifuged at 500 × g for 5 min and washed with phosphate-buffered saline (PBS; 0.01 M, pH 7.4) twice. Seventy percent ethanol stored at 4°C was used to fix the cells for 24 h before they were fully shaken and dispensed. The plates were incubated with 0.5% Triton X-100 (Sigma, St. Louis, MO, USA) and 0.05% RNase (Sigma) in 1 ml PBS at 37°C for 30 min and then centrifuged at 1,500 × g for 5 min. The cells were stained with 50 mg/ml propidium iodide (Sigma) at room temperature for 30 min and the cell number was adjusted to 1×106/ml. Samples were immediately analyzed using a FACSCalibur flow cytometer (Becton-Dickinson, Mountain View, CA, USA).

In silico analysis of miRNAs that match PTCSC3

Bioinformatic analysis was carried out based on the online software, PITA (http://genie.weizmann.ac.il/pubs/mir07/mir07_prediction.html). Briefly, the PTCSC3 sequence, NR_049735.2, was obtained from PubMed and entered into the PITA system. As PTCSC3 is a non-protein coding RNA, it is unlikely that the open reading frame (ORF) is occupied by ribosomes. We uploaded the full sequence of PTCSC3, including the 5-untranslated region (UTR), ORF and 3-UTR, into the PITA system. Only the top 20 miRNAs presenting targeting sites in PTCSC3 were selected for further analysis.

Quantitative RT-PCR analysis of PTCSC3 and miR-574-5p expression

To investigate the expression of miR-574-5p in thyroid cancer cells following transfection with PTCSC3, a quantitative RT-PCR technique was used. Briefly, total RNA was isolated from tissues using the TRIzol reagent (Invitrogen Life Technologies) according to the manufacturer’s instructions. Quantitative real-time PCR was performed on an ABI 7300 real-time PCR system (Applied Biosystems) using SYBR-Green mix (Applied Biosystems). Relative gene expression was calculated using the ΔΔCt method, following the manufacturer’s instructions. All reactions were carried out in triplicate. The primer sequences were: glyceraldehye 3-phosphate dehydrogenase (GAPDH), 5′- GGTGATGCTGGTGCTGAGTATGT-3′ and 5′-AAGAATGGGAGTTGCTGTTGAAGTC-3′; PTCSC3, 5′-TCAAACTCCAGGGCTTGAAC-3′ and 5′-ATT ACGGCTGGGTCTACCT-3′; miR-574-5p, 5′-GGGGTG AGTGTGTGTGTG-3′ and 5′-TGCGTGTCGTGGAGTC-3′. For each plate, a dissociation curve was obtained to monitor any additional double stranded DNA. GAPDH was used as an internal control and the formula ΔΔCt, where ΔΔCt = Ct(gene) - Ct(GAPDH), was used to calculate the relative mRNA level.

Statistical analysis

Statistical analysis was performed using SPSS 13.0 software (SPSS Inc., Chicago, IL, USA). Comparisons were performed using Student’s t-test. P<0.05 was considered to indicate a statistically significant difference.

Results

PTCSC3 inhibits cell growth and induces cell cycle arrest in thyroid cancer cells

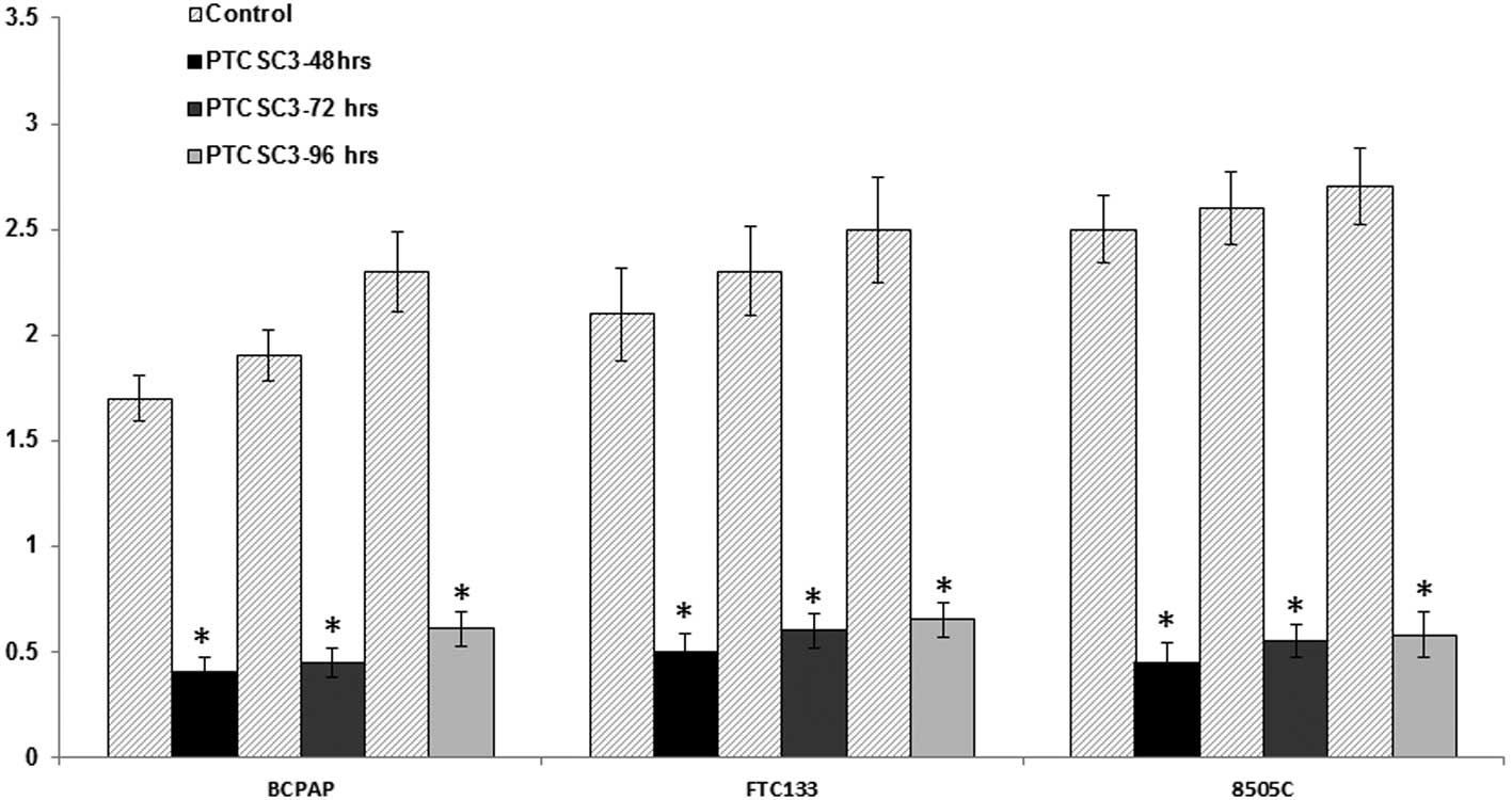
In order to assess the inhibitory effect of PTCSC3 on thyroid cancer cells, a cell growth assay was performed. The MTT assay revealed that absorptance values of thyroid cells (BCPAP, FTC133, 8505C) transfected with PTCSC3 at 48, 72 and 96 h were significantly lower than those transfected with the empty plasmid (P<0.01; Fig. 1). Additionally, cell cytometry revealed significant cell cycle arrest at G1/S and M/G2 phases and an increased rate of apoptosis in thyroid cancer cells (BCPAP, FTC133, 8505C) transfected with PTCSC3 compared with those transfected with the empty plasmid (P<0.01; Table I).

Figure 1

MTT assay. BCPAP, FTC133 and 8505C thyroid cancer cells (transfected with empty plasmid) had higher absorptance values at 48, 72 and 96 h compared with those transfected with PTCSC3 (*P<0.01). PTCSC3, papillary thyroid susceptibility candidate 3.

Table I

G0/G1, S, G2/M and apoptosis rate in thyroid cancer cell lines transfected with PTCSC3.

Table I

G0/G1, S, G2/M and apoptosis rate in thyroid cancer cell lines transfected with PTCSC3.

GroupG0/G1SG2/MApoptosis
BCPAP
  Control26.2±2.146.6±5.127.2±3.63.6±1.0
  PTCSC346.8±5.2a35.9±4.1a17.3±2.2a6.9±1.9a
FTC133
  Control27.7±3.445.6±4.426.7±2.52.9±1.2
  PTCSC346.4±6.7a34.2±3.6a19.4±1.8a5.8±1.5a
8505C
  Control25.7±3.254.2±5.314.2±2.12.1±1.1
  PTCSC345.6±5.7a40.2±4.3a20.1±2.6a6.3±2.3a

a P<0.01. Data are presented as mean ± standard deviation (%); n=6. PTCSC3, papillary thyroid susceptibility candidate 3.

Bioinformatic analysis of PTCSC3 targets

As the majority of lncRNAs share the same biogenesis mechanisms and have a similar structure with mRNAs, including the 5-UTR, ORF and 3-UTR, it is logical to assume that PTCSC3, a lncRNA, may be targeted by certain miRNAs that are upregulated in thyroid cancers. We carried out bioinformatic analyses aiming to screen miRNAs that match the 3-UTR of PTCSC3 using the online software, PITA (14). Since the ORF of mRNA is occupied by ribosomes, the majority of miRNAs target the 3-UTR of mRNAs. However, certain miRNAs target ORF of mRNAs, including the targeting of c-Myc by miR-85-3p (15). Therefore, we uploaded the full sequence of PTCSC3, including 5-UTR, ORF and 3-UTR, into the PITA system, to identify miRNAs that may target PTCSC3. As shown in Table II, twenty miRNAs have putative targeting sites in PTCSC3. Among these miRNAs, miR-574-5p is the top candidate, since it has the highest score (−30.64) according to the PITA results(14). Additionally, the matching between miR-574-5p and PTCSC3 (Fig. 2) appears perfect according to the results of miRNA-mRNA matching.

Figure 2

Two possible binding sites between lncRNA PTCSC3 and miR-574-5p. The upper lines are the sequence of miR-574-5p and the lower lines are the sequence of lncRNA PTCSC3. lnc, long non-coding; PTCSC3, papillary thyroid susceptibility candidate 3.

Table II

Top 20 microRNAs as candidates for PTCSC3 targets.

Table II

Top 20 microRNAs as candidates for PTCSC3 targets.

GenemicroRNASitesScore
PTCSC3hsa-miR-574-5p17−30.64
PTCSC3hsa-miR-1207-5p2−21.84
PTCSC3hsa-miR-9394−21.15
PTCSC3hsa-miR-6374−18.05
PTCSC3hsa-miR-12603−17.18
PTCSC3hsa-miR-29722−16.66
PTCSC3hsa-miR-12294−16.04
PTCSC3hsa-miR-9204−15.82
PTCSC3hsa-miR-2124−15.49
PTCSC3hsa-miR-574-3p2−15.48
PTCSC3hsa-miR-11824−15.4
PTCSC3hsa-miR-12801−15.04
PTCSC3hsa-miR-885-5p4−14.98
PTCSC3hsa-miR-3263−14.96
PTCSC3hsa-miR-4532−14.2
PTCSC3hsa-miR-51110−14.13
PTCSC3hsa-miR-34c-3p1−13.96
PTCSC3hsa-miR-6123−13.9
PTCSC3hsa-miR-188-3p2−13.49
PTCSC3hsa-miR-21017−13.45

[i] PTCSC3, papillary thyroid susceptibility candidate 3; hsa, human serum albumin.

Downregulation of miR-574-5p expression in thyroid cancer cells transfected with lnc-PTCSC3

Based on the bioinformatics study, we next confirmed this targeting in thyroid cancer cells. To investigate the possible binding of miR-574-5p with PTCSC3, miR-574-5p expression in thyroid cancer cells was determined by quantitative RT-PCR. As shown in Fig. 3, a dramatic decrease of miR-574-5p expression in all three thyroid cancer cell lines following transfection with PTCSC3 was detected (P<0.01). These data demonstrate that overexpression of PTCSC3 significantly downregulates miR-574-5p expression in thyroid cancer cells that are of papillary, follicular and anaplastic origin.

Figure 3

miR-574-5p expression in thyroid cell lines (BCPAP, FTC133 and 8505C) transfected with PTCSC3. PTCSC3, papillary thyroid susceptibility candidate 3.

Discussion

The newly termed PTCSC3 gene was reported to be involved in the predisposition to PTC. However, as an lncRNA, the presence and significance of PTCSC3 in thyroid cancer is undetermined. The function of individual lncRNAs may be related to epigenetic changes, action as antisense transcripts or decoys for splicing factors, as well as a competing endogeous RNA for miRNA binding (16,17). Aberrant expression of lncRNAs has a potential role in the occurrence and development of various human cancers and highlights the requirement for improved understanding of the mechanisms involved (18). In the present study, the effect of PTCSC3 on cell growth and apoptosis in thyroid cancer cells was evaluated and the possible binding of PTCSC3 with specific miRNAs was studied by bioinformatic and biological analyses.

The highly thyroid-specific expression of PTCSC3 and downregulated expression in PTC tissues and cell lines implicated its potential role in thyroid cancer. To date, only one study has investigated the biological feature changes of PTC cells following transfection with PTCSC3 (10). In the present study, three thyroid cancer cell lines of various histo-pathological origin (papillary, follicular and anaplastic thyroid cancer) were selected to study the effect of PTCSC3 on thyroid cancer originating from follicular epithelial cells. Collectively, our data demonstrate that overexpression of PTCSC3 in thyroid cancer cells inhibits cellular proliferation and induces cell cycle arrest and apoptosis, suggesting that dysfunction of PTCSC3 in thyroid cancer may be a common molecular event. It is essential to develop in vivo animal models with PTCSC3 expression in the thyroid to demonstrate the role of PTCSC3 in tumorigenesis in the future.

According to the ceRNA hypothesis, lncRNAs may elicit their biological activity through their ability to act as endogenous decoys for miRNAs; such activity in turn affects the distribution of miRNAs on their targets (11). Bioinformatic analysis of lncRNAs is an important method for discovering the relevant functions (19). We searched for miRNA recognition motifs in the PTCSC3 sequence and the presence of recognition sites for possible miRNAs. As shown in Table II, out of the top 20 miRNAs that were identified, miR-574-5p was selected to validate the interaction in thyroid cancer cells. To further comfirm the binding possibility of PTCSC3 with miR-574-5p, the miR-574-5p expression in various thyroid cell lines transfected with PTCSC3 was detected using quantitative RT-PCR. The results revealed that miR-574-5p expression was dramatically reduced due to overexpression of PTCSC3. The significant inverse correlation between PTCSC3 and miR-574-5p suggests that PTCSC3 acts as a competing endogenous RNA to target miRNAs and in turn regulate cell growth and apoptosis in thyroid cancer. Site-directed mutagenesis assay was performed to confirm the binding site. Although there are no expression studies regarding miR-574-5p in thyroid cancer cells, miR-574-5p was previously identified to be associated with various human cancers as oncogenic miRNA. As far as miR-574-5p is concerned, the discovered functions include proliferation and anchorage-independent growth of cancer cells in head and neck squamous cell carcinoma, chemoresistance and poor survival in patients with small-cell lung cancer, as well as colorectal cancer tumorigenesis and progression at the early stages (20–22). The present study provides information concerning the function of PTCSC3; however, further investigations are required on lncRNA PTCSC3 and its association with miRNAs in thyroid cancer. Moreover, understanding the molecular mechanisms of PTCSC3 in thyroid cancer is fundamentally important in developing new molecular markers for earlier diagnosis and novel therapeutic targets.

Acknowledgements

This study was supported by the National Natural Science Foundation of China (grant no. 30600601). The authors would like to thank Junming Liao from Tulane University, School of Medicine, USA for excellent technical support and critical review of the manuscript.

References

1 

Wang Y and Wang W: Increasing incidence of thyroid cancer in Shanghai, China, 1983–2007. Asia Pac J Public Health. Mar 16–2012.(Epub ahead of print).

2 

Chen AY, Jemal A and Ward EM: Increasing incidence of differentiated thyroid cancer in the United States, 1988–2005. Cancer. 115:3801–3807. 2009.

3 

Davies L and Welch HG: Increasing incidence of thyroid cancer in the United States, 1973–2002. JAMA. 295:2164–2167. 2006.

4 

Li X, Abdel-Mageed AB and Kandil E: BRAF mutation in papillary thyroid carcinoma. Int J Clin Exp Med. 5:310–315. 2012.

5 

Li X, Abdel-Mageed AB, Mondal D and Kandil E: The nuclear factor kappa-B signaling pathway as a therapeutic target against thyroid cancers. Thyroid. Aug 13–2012.(Epub ahead of print).

6 

Gudmundsson J, Sulem P, Gudbjartsson DF, et al: Common variants on 9q22.33 and 14q13.3 predispose to thyroid cancer in European populations. Nat Genet. 41:460–464. 2009. View Article : Google Scholar

7 

Gudmundsson J, Sulem P, Gudbjartsson DF, et al: Discovery of common variants associated with low TSH levels and thyroid cancer risk. Nat Genet. 44:319–322. 2012. View Article : Google Scholar : PubMed/NCBI

8 

Takahashi M, Saenko VA, Rogounovitch TI, et al: The FOXE1 locus is a major genetic determinant for radiation-related thyroid carcinoma in Chernobyl. Hum Mol Genet. 19:2516–2523. 2010. View Article : Google Scholar : PubMed/NCBI

9 

He H, Nagy R, Liyanarachchi S, et al: A susceptibility locus for papillary thyroid carcinoma on chromosome 8q24. Cancer Res. 69:625–631. 2009. View Article : Google Scholar : PubMed/NCBI

10 

Jendrzejewski J, He H, Radomska HS, et al: The polymorphism rs944289 predisposes to papillary thyroid carcinoma through a large intergenic noncoding RNA gene of tumor suppressor type. Proc Natl Acad Sci U S A. 109:8646–8651. 2012. View Article : Google Scholar : PubMed/NCBI

11 

Salmena L, Poliseno L, Tay Y, Kats L and Pandolfi PP: A ceRNA hypothesis: the Rosetta Stone of a hidden RNA language? Cell. 146:353–358. 2011. View Article : Google Scholar : PubMed/NCBI

12 

McCarthy N: Regulatory RNA: layer by layer. Nat Rev Genet. 12:8042011.PubMed/NCBI

13 

Li X, Wang Z, Liu J, Tang C, Duan C and Li C: Proteomic analysis of differentially expressed proteins in normal human thyroid cells transfected with PPFP. Endocr Relat Cancer. 19:681–694. 2012. View Article : Google Scholar : PubMed/NCBI

14 

Kertesz M, Iovino N, Unnerstall U, Gaul U and Segal E: The role of site accessibility in microRNA target recognition. Nat Genet. 39:1278–1284. 2007. View Article : Google Scholar : PubMed/NCBI

15 

Liao JM and Lu H: Autoregulatory suppression of c-Myc by miR-185-3p. J Biol Chem. 286:33901–33909. 2011. View Article : Google Scholar : PubMed/NCBI

16 

Mohammad F, Pandey GK, Mondal T, et al: Long noncoding RNA-mediated maintenance of DNA methylation and transcriptional gene silencing. Development. 139:2792–2803. 2012. View Article : Google Scholar : PubMed/NCBI

17 

Cesana M, Cacchiarelli D, Legnini I, et al: A long noncoding RNA controls muscle differentiation by functioning as a competing endogenous RNA. Cell. 147:358–369. 2011. View Article : Google Scholar : PubMed/NCBI

18 

Kogo R, Shimamura T, Mimori K, et al: Long noncoding RNA HOTAIR regulates polycomb-dependent chromatin modification and is associated with poor prognosis in colorectal cancers. Cancer Res. 71:6320–6326. 2011. View Article : Google Scholar : PubMed/NCBI

19 

Krzyzanowski PM, Muro EM and Andrade-Navarro MA: Computational approaches to discovering noncoding RNA. Wiley Interdiscip Rev RNA. 3:567–579. 2012. View Article : Google Scholar : PubMed/NCBI

20 

Meyers-Needham M, Ponnusamy S, Gencer S, et al: Concerted functions of HDAC1 and microRNA-574-5p repress alternatively spliced ceramide synthase 1 expression in human cancer cells. EMBO Mol Med. 4:78–92. 2012. View Article : Google Scholar : PubMed/NCBI

21 

Ranade AR, Cherba D, Sridhar S, et al: MicroRNA 92a-2*: a biomarker predictive for chemoresistance and prognostic for survival in patients with small cell lung cancer. J Thorac Oncol. 5:1273–1278. 2010.

22 

Ji S, Ye G, Zhang J, et al: miR-574-5p negatively regulates Qki6/7 to impact β-catenin/Wnt signalling and the development of colorectal cancer. Gut. April 5–2012.(Epub ahead of print).

Related Articles

  • Abstract
  • View
  • Download
  • Twitter
Copy and paste a formatted citation
Spandidos Publications style
Fan M, Li X, Jiang W, Huang Y, Li J and Wang Z: A long non-coding RNA, PTCSC3, as a tumor suppressor and a target of miRNAs in thyroid cancer cells. Exp Ther Med 5: 1143-1146, 2013.
APA
Fan, M., Li, X., Jiang, W., Huang, Y., Li, J., & Wang, Z. (2013). A long non-coding RNA, PTCSC3, as a tumor suppressor and a target of miRNAs in thyroid cancer cells. Experimental and Therapeutic Medicine, 5, 1143-1146. https://doi.org/10.3892/etm.2013.933
MLA
Fan, M., Li, X., Jiang, W., Huang, Y., Li, J., Wang, Z."A long non-coding RNA, PTCSC3, as a tumor suppressor and a target of miRNAs in thyroid cancer cells". Experimental and Therapeutic Medicine 5.4 (2013): 1143-1146.
Chicago
Fan, M., Li, X., Jiang, W., Huang, Y., Li, J., Wang, Z."A long non-coding RNA, PTCSC3, as a tumor suppressor and a target of miRNAs in thyroid cancer cells". Experimental and Therapeutic Medicine 5, no. 4 (2013): 1143-1146. https://doi.org/10.3892/etm.2013.933
Copy and paste a formatted citation
x
Spandidos Publications style
Fan M, Li X, Jiang W, Huang Y, Li J and Wang Z: A long non-coding RNA, PTCSC3, as a tumor suppressor and a target of miRNAs in thyroid cancer cells. Exp Ther Med 5: 1143-1146, 2013.
APA
Fan, M., Li, X., Jiang, W., Huang, Y., Li, J., & Wang, Z. (2013). A long non-coding RNA, PTCSC3, as a tumor suppressor and a target of miRNAs in thyroid cancer cells. Experimental and Therapeutic Medicine, 5, 1143-1146. https://doi.org/10.3892/etm.2013.933
MLA
Fan, M., Li, X., Jiang, W., Huang, Y., Li, J., Wang, Z."A long non-coding RNA, PTCSC3, as a tumor suppressor and a target of miRNAs in thyroid cancer cells". Experimental and Therapeutic Medicine 5.4 (2013): 1143-1146.
Chicago
Fan, M., Li, X., Jiang, W., Huang, Y., Li, J., Wang, Z."A long non-coding RNA, PTCSC3, as a tumor suppressor and a target of miRNAs in thyroid cancer cells". Experimental and Therapeutic Medicine 5, no. 4 (2013): 1143-1146. https://doi.org/10.3892/etm.2013.933
Follow us
  • Twitter
  • LinkedIn
  • Facebook
About
  • Spandidos Publications
  • Careers
  • Cookie Policy
  • Privacy Policy
How can we help?
  • Help
  • Live Chat
  • Contact
  • Email to our Support Team