Spandidos Publications Logo
  • About
    • About Spandidos
    • Aims and Scopes
    • Abstracting and Indexing
    • Editorial Policies
    • Reprints and Permissions
    • Job Opportunities
    • Terms and Conditions
    • Contact
  • Journals
    • All Journals
    • Oncology Letters
      • Oncology Letters
      • Information for Authors
      • Editorial Policies
      • Editorial Board
      • Aims and Scope
      • Abstracting and Indexing
      • Bibliographic Information
      • Archive
    • International Journal of Oncology
      • International Journal of Oncology
      • Information for Authors
      • Editorial Policies
      • Editorial Board
      • Aims and Scope
      • Abstracting and Indexing
      • Bibliographic Information
      • Archive
    • Molecular and Clinical Oncology
      • Molecular and Clinical Oncology
      • Information for Authors
      • Editorial Policies
      • Editorial Board
      • Aims and Scope
      • Abstracting and Indexing
      • Bibliographic Information
      • Archive
    • Experimental and Therapeutic Medicine
      • Experimental and Therapeutic Medicine
      • Information for Authors
      • Editorial Policies
      • Editorial Board
      • Aims and Scope
      • Abstracting and Indexing
      • Bibliographic Information
      • Archive
    • International Journal of Molecular Medicine
      • International Journal of Molecular Medicine
      • Information for Authors
      • Editorial Policies
      • Editorial Board
      • Aims and Scope
      • Abstracting and Indexing
      • Bibliographic Information
      • Archive
    • Biomedical Reports
      • Biomedical Reports
      • Information for Authors
      • Editorial Policies
      • Editorial Board
      • Aims and Scope
      • Abstracting and Indexing
      • Bibliographic Information
      • Archive
    • Oncology Reports
      • Oncology Reports
      • Information for Authors
      • Editorial Policies
      • Editorial Board
      • Aims and Scope
      • Abstracting and Indexing
      • Bibliographic Information
      • Archive
    • Molecular Medicine Reports
      • Molecular Medicine Reports
      • Information for Authors
      • Editorial Policies
      • Editorial Board
      • Aims and Scope
      • Abstracting and Indexing
      • Bibliographic Information
      • Archive
    • World Academy of Sciences Journal
      • World Academy of Sciences Journal
      • Information for Authors
      • Editorial Policies
      • Editorial Board
      • Aims and Scope
      • Abstracting and Indexing
      • Bibliographic Information
      • Archive
    • International Journal of Functional Nutrition
      • International Journal of Functional Nutrition
      • Information for Authors
      • Editorial Policies
      • Editorial Board
      • Aims and Scope
      • Abstracting and Indexing
      • Bibliographic Information
      • Archive
    • International Journal of Epigenetics
      • International Journal of Epigenetics
      • Information for Authors
      • Editorial Policies
      • Editorial Board
      • Aims and Scope
      • Abstracting and Indexing
      • Bibliographic Information
      • Archive
    • Medicine International
      • Medicine International
      • Information for Authors
      • Editorial Policies
      • Editorial Board
      • Aims and Scope
      • Abstracting and Indexing
      • Bibliographic Information
      • Archive
  • Articles
  • Information
    • Information for Authors
    • Information for Reviewers
    • Information for Librarians
    • Information for Advertisers
    • Conferences
  • Language Editing
Spandidos Publications Logo
  • About
    • About Spandidos
    • Aims and Scopes
    • Abstracting and Indexing
    • Editorial Policies
    • Reprints and Permissions
    • Job Opportunities
    • Terms and Conditions
    • Contact
  • Journals
    • All Journals
    • Biomedical Reports
      • Information for Authors
      • Editorial Policies
      • Editorial Board
      • Aims and Scope
      • Abstracting and Indexing
      • Bibliographic Information
      • Archive
    • Experimental and Therapeutic Medicine
      • Information for Authors
      • Editorial Policies
      • Editorial Board
      • Aims and Scope
      • Abstracting and Indexing
      • Bibliographic Information
      • Archive
    • International Journal of Epigenetics
      • Information for Authors
      • Editorial Policies
      • Editorial Board
      • Aims and Scope
      • Abstracting and Indexing
      • Bibliographic Information
      • Archive
    • International Journal of Functional Nutrition
      • Information for Authors
      • Editorial Policies
      • Editorial Board
      • Aims and Scope
      • Abstracting and Indexing
      • Bibliographic Information
      • Archive
    • International Journal of Molecular Medicine
      • Information for Authors
      • Editorial Policies
      • Editorial Board
      • Aims and Scope
      • Abstracting and Indexing
      • Bibliographic Information
      • Archive
    • International Journal of Oncology
      • Information for Authors
      • Editorial Policies
      • Editorial Board
      • Aims and Scope
      • Abstracting and Indexing
      • Bibliographic Information
      • Archive
    • Medicine International
      • Information for Authors
      • Editorial Policies
      • Editorial Board
      • Aims and Scope
      • Abstracting and Indexing
      • Bibliographic Information
      • Archive
    • Molecular and Clinical Oncology
      • Information for Authors
      • Editorial Policies
      • Editorial Board
      • Aims and Scope
      • Abstracting and Indexing
      • Bibliographic Information
      • Archive
    • Molecular Medicine Reports
      • Information for Authors
      • Editorial Policies
      • Editorial Board
      • Aims and Scope
      • Abstracting and Indexing
      • Bibliographic Information
      • Archive
    • Oncology Letters
      • Information for Authors
      • Editorial Policies
      • Editorial Board
      • Aims and Scope
      • Abstracting and Indexing
      • Bibliographic Information
      • Archive
    • Oncology Reports
      • Information for Authors
      • Editorial Policies
      • Editorial Board
      • Aims and Scope
      • Abstracting and Indexing
      • Bibliographic Information
      • Archive
    • World Academy of Sciences Journal
      • Information for Authors
      • Editorial Policies
      • Editorial Board
      • Aims and Scope
      • Abstracting and Indexing
      • Bibliographic Information
      • Archive
  • Articles
  • Information
    • For Authors
    • For Reviewers
    • For Librarians
    • For Advertisers
    • Conferences
  • Language Editing
Login Register Submit
  • This site uses cookies
  • You can change your cookie settings at any time by following the instructions in our Cookie Policy. To find out more, you may read our Privacy Policy.

    I agree
Search articles by DOI, keyword, author or affiliation
Search
Advanced Search
presentation
Experimental and Therapeutic Medicine
Join Editorial Board Propose a Special Issue
Print ISSN: 1792-0981 Online ISSN: 1792-1015
Journal Cover
August-2015 Volume 10 Issue 2

Full Size Image

Sign up for eToc alerts
Recommend to Library

Journals

International Journal of Molecular Medicine

International Journal of Molecular Medicine

International Journal of Molecular Medicine is an international journal devoted to molecular mechanisms of human disease.

International Journal of Oncology

International Journal of Oncology

International Journal of Oncology is an international journal devoted to oncology research and cancer treatment.

Molecular Medicine Reports

Molecular Medicine Reports

Covers molecular medicine topics such as pharmacology, pathology, genetics, neuroscience, infectious diseases, molecular cardiology, and molecular surgery.

Oncology Reports

Oncology Reports

Oncology Reports is an international journal devoted to fundamental and applied research in Oncology.

Experimental and Therapeutic Medicine

Experimental and Therapeutic Medicine

Experimental and Therapeutic Medicine is an international journal devoted to laboratory and clinical medicine.

Oncology Letters

Oncology Letters

Oncology Letters is an international journal devoted to Experimental and Clinical Oncology.

Biomedical Reports

Biomedical Reports

Explores a wide range of biological and medical fields, including pharmacology, genetics, microbiology, neuroscience, and molecular cardiology.

Molecular and Clinical Oncology

Molecular and Clinical Oncology

International journal addressing all aspects of oncology research, from tumorigenesis and oncogenes to chemotherapy and metastasis.

World Academy of Sciences Journal

World Academy of Sciences Journal

Multidisciplinary open-access journal spanning biochemistry, genetics, neuroscience, environmental health, and synthetic biology.

International Journal of Functional Nutrition

International Journal of Functional Nutrition

Open-access journal combining biochemistry, pharmacology, immunology, and genetics to advance health through functional nutrition.

International Journal of Epigenetics

International Journal of Epigenetics

Publishes open-access research on using epigenetics to advance understanding and treatment of human disease.

Medicine International

Medicine International

An International Open Access Journal Devoted to General Medicine.

Journal Cover
August-2015 Volume 10 Issue 2

Full Size Image

Sign up for eToc alerts
Recommend to Library

  • Article
  • Citations
    • Cite This Article
    • Download Citation
    • Create Citation Alert
    • Remove Citation Alert
    • Cited By
  • Similar Articles
    • Related Articles (in Spandidos Publications)
    • Similar Articles (Google Scholar)
    • Similar Articles (PubMed)
  • Download PDF
  • Download XML
  • View XML
Article

Improvement of liver function by the administration of oyster extract as a dietary supplement to habitual alcohol drinkers: A pilot study

  • Authors:
    • Kenji Osaki
    • Yoshio Shimizu
    • Tetsuro Yamamoto
    • Fumiharu Miyake
    • Sumio Kondo
    • Hideyo Yamaguchi
  • View Affiliations / Copyright

    Affiliations: Tokyo Branch, Bizen Chemical Co. Ltd., Tokyo 103‑0023, Japan, Okayama Head Office, Bizen Chemical Co. Ltd., Okayama 709‑0716, Japan, Research Center, TTC Co. Ltd., Tokyo 113‑0021, Japan, Product Formulation Division, Bizen Chemical Co. Ltd., Okayama 709‑0716, Japan, Medical Corporation Kenshokai, Fukushima Healthcare Center, Osaka 553‑0004, Japan
  • Pages: 705-710
    |
    Published online on: June 10, 2015
       https://doi.org/10.3892/etm.2015.2563
  • Expand metrics +
Metrics: Total Views: 0 (Spandidos Publications: | PMC Statistics: )
Metrics: Total PDF Downloads: 0 (Spandidos Publications: | PMC Statistics: )
Cited By (CrossRef): 0 citations Loading Articles...

This article is mentioned in:



Abstract

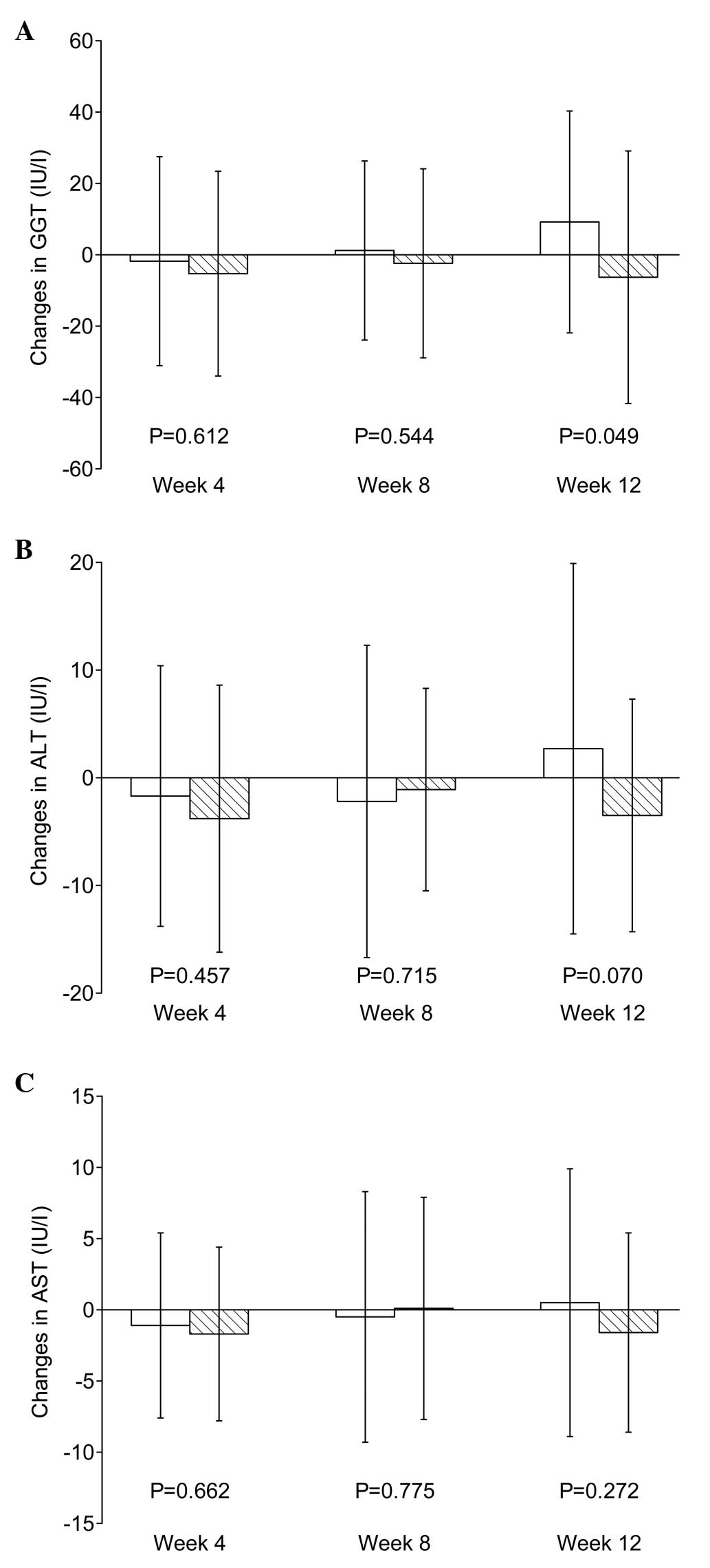
Alcoholic liver disease (ALD) is characterized by elevated serum γ‑glutamyltransferase (GGT) activity with hepatic steatosis, hepatitis or occasionally fibrosis that may progress to cirrhosis. The potential therapeutic role of oyster extract (OE) or OE‑containing dietary supplements (OE supplement) in ALD has seldom been evaluated. In the present study, 84 adults who had an alcohol‑drinking habit and marginally high serum GGT levels were enrolled in a randomized, double‑blind, placebo‑controlled feeding trial to study the effect on alcohol‑impaired liver function as reflected by an increased serum level of GGT, as well as the safety, of an OE supplement. The subjects were randomized to receive either an OE supplement (OE group) or placebo (placebo group). There were 42 subjects (31 males and 11 females) in each group, and all the enrolled subjects entered the study. Four individuals (5%) dropped out for reasons unassociated with the study and 6 other subjects were excluded from the efficacy analysis because they did not maintain the required frequency of alcohol intake. As a result, 38 subjects in the placebo group and 36 in the OE group underwent efficacy assessment. Assays of GGT and other liver enzymes were performed at baseline (week 0) and at weeks 4, 8 and 12 of the intervention period. The mean serum levels of GGT in the placebo group gradually increased, while those in the OE group tended to decrease, although no significant within‑group differences were observed for either group. A significant between‑group difference in the change of mean GGT from baseline was, however, found at week 12 (P=0.049). No OE supplement‑associated untoward side‑effects nor any abnormal changes in routine laboratory tests and anthropometric parameters were observed throughout the 12‑week intervention. An OE supplement shows promise in reducing risk factors associated with ALD in adults with an alcohol intake habit.
View Figures

Figure 1

View References

1 

Global status report on alcohol and health. World Health Organization; Geneva, Switzerland: 2011

2 

Lu XL, Tao M, Luo JY, Geng Y, Zhao HL and Zhao P: Epidemiology of alcohol and liver disease. Zhonghua Gan Zang Bing Za Zhi. 6:467–468. 2002.(In Chinese).

3 

Park SH, Kim CH, Kim DJ, et al: Prevalence of alcoholic liver disease among Korean adults: Results from the Fourth Korea National Health and Nutrition Examination Survey, 2009. Subst Use Misuse. 46:1755–1762. 2011. View Article : Google Scholar : PubMed/NCBI

4 

Kim KA: Current status of liver diseases in Korea: toxic and alcoholic liver diseases. Korean J Hepatol. 15:(Sul 6). S29–S33. 2009. View Article : Google Scholar : PubMed/NCBI

5 

Takada A and Tsutsumi M: National survey of alcoholic liver disease in Japan (1968–91). J Gastroenterol Hepatol. 10:509–516. 1995. View Article : Google Scholar : PubMed/NCBI

6 

Horie Y, Ishii H and Hibi T: National survey of alcoholic liver disease in Japan. Nihon Arukoru Yakubutsu Igakkai Zasshi. 39:505–510. 2004.(In Japanese). PubMed/NCBI

7 

Lucey MR, Mathurin P and Morgan TR: Alcoholic hepatitis. N Engl J Med. 360:2758–2769. 2009. View Article : Google Scholar : PubMed/NCBI

8 

Pirmohamed M, Brown C, Owens L, Luke C, Gilmore IT, Breckenridge AM and Park BK: The burden of alcohol misuse on an inner-city general hospital. QJM. 93:291–295. 2000. View Article : Google Scholar : PubMed/NCBI

9 

Pirmohamed M and Gilmore IT: Alcohol abuse and the burden on the NHS - time for action. J R Coll Physicians Lond. 34:161–162. 2000.PubMed/NCBI

10 

Madhotra R and Gilmore IT: Recent developments in the treatment of alcoholic hepatitis. QJM. 96:391–400. 2003. View Article : Google Scholar : PubMed/NCBI

11 

Barve A, Khan R, Marsano L, Ravindra KV and McClain C: Treatment of alcoholic liver disease. Ann Hepatol. 7:5–15. 2008.PubMed/NCBI

12 

Huxtable RJ: Physiological actions of taurine. Physiol Rev. 72:101–163. 1992.PubMed/NCBI

13 

Chen X, Sebastian BM, Tang H, McMullen MM, Axhemi A, Jacobsen DW and Nagy LE: Taurine supplementation prevents ethanol-induced decrease in serum adiponectin and reduces hepatic steatosis in rats. Hepatology. 49:1554–1562. 2009. View Article : Google Scholar : PubMed/NCBI

14 

Kerai MD, Waterfield CJ, Kenyon SH, Asker DS and Timbrell JA: Taurine: Protective properties against ethanol-induced hepatic steatosis and lipid peroxidation during chronic ethanol consumption in rats. Amino Acids. 15:53–76. 1998. View Article : Google Scholar : PubMed/NCBI

15 

Wu G, Yang J, Sun C, Luan X, Shi J and Hu J: Effect of taurine on alcoholic liver disease in rats. Amino Acids. 36:457–464. 2009. View Article : Google Scholar : PubMed/NCBI

16 

Chang YY, Chou CH, Chiu CH, Yang KT, Lin YL, Weng WL and Chen YC: Preventive effects of taurine on development of hepatic steatosis induced by a high fat/cholesterol dietary habit. J Agric Food Chem. 59:450–457. 2011. View Article : Google Scholar : PubMed/NCBI

17 

Harada S, Misawa S, Agarwal DP and Goedde HW: Liver alcohol dehydrogenase and aldehyde dehydrogenase in the Japanese: Isozyme variation and its possible role in alcohol intoxication. Am J Hum Genet. 32:8–15. 1980.PubMed/NCBI

18 

Goedde HW, Agarwal DP, Harada S, Meier-Tackmann D, Ruofu D, Bienzle U, Kroeger A and Hussein L: Population genetic studies on aldehyde dehydrogenase isozyme deficiency and alcohol sensitivity. Am J Hum Genet. 35:769–772. 1983.PubMed/NCBI

19 

Matsuda Y, Tsuchishima M, Ueshima Y, Takase S and Takada A: The relationship between the development of alcoholic liver and pancreatic diseases and the induction of gamma glutamyl transferase. Alcohol Alcohol Suppl. 1B:27–33. 1993.PubMed/NCBI

20 

Conigrave KM, Davies P, Haber P and Whitfield JB: Traditional markers of excessive alcohol use. Addiction. 98:(Suppl 2). 31–43. 2003. View Article : Google Scholar : PubMed/NCBI

21 

Matsuka Y, Wang D-H, Suganuma N, Imai K, Ikeda S, Taketa K and Kira S: Differential responses of serum gamma-glutamyltransferase to alcohol intake in Japanese males. Acta Med Okayama. 57:171–178. 2003.PubMed/NCBI

22 

Bell H and Steensland H: Serum activity of gamma-glutamyltranspeptidase (GGT) in relation to estimated alcohol consumption and questionnaires in alcohol dependence syndrome. Br J Addict. 82:1021–1026. 1987. View Article : Google Scholar : PubMed/NCBI

23 

Steffensen FH, Sørensen HT, Brock A, Vilstrup H and Lauritzen T: Alcohol consumption and serum liver-derived enzymes in a Danish population aged 30–50 years. Int J Epidemiol. 26:92–99. 1997. View Article : Google Scholar : PubMed/NCBI

24 

Anton RF, Lieber C and Tabakoff B: CDTect Study Group: Carbohydrate-deficient transferrin and gamma-glutamyltransferase for the detection and monitoring of alcohol use: Results from a multisite study. Alcohol Clin Exp Res. 26:1215–1222. 2002. View Article : Google Scholar : PubMed/NCBI

25 

Lakshman MR: Some novel insights into the pathogenesis of alcoholic steatosis. Alcohol. 34:45–48. 2004. View Article : Google Scholar : PubMed/NCBI

26 

Zhang C, Li X, Jing X, Zhang B, Zhang Q, Niu Q, Wang J and Tian Z: Protective effects of oyster extract against hepatic tissue injury in alcoholic liver diseases. J Ocean Univ China. 13:262–270. 2014. View Article : Google Scholar

27 

Fujisawa H, Takehara I, Nishihori Y, Yano Y, Yamazaki N, Matsui H, Matsuda Y and Fukuhara I: Effect of 12 weeks ingestion of oyster extract on hepatic function in human volunteers with mild alcoholic liver damage. Trace Nutr Res. 29:13–17. 2012.(In Japanese).

28 

Matsuda Y, Izuta S, Fujita T, Ohta T, Nakatsuka M, Yoshino M and Shibata Y: Influence of oyster extract administration of diabetes mellitus and hepatitis patients. Trace Nutr Res. 12:91–97. 1995.(In Japanese).

29 

Ming Z, Shimizu Y, Furuta K, Tanaka S and Gohda E: Acceleration of alcohol metabolism by Crassostera gigas extract. Jpn Pharmacol Ther. 41:319–321. 2013.(In Japanese).

30 

Devi SL, Viswanathan P and Anuradha CV: Regression of liver fibrosis by taurine in rats fed alcohol: Effects on collagen accumulation, selected cytokines and stellate cell activation. Eur J Pharmacol. 647:161–170. 2010. View Article : Google Scholar : PubMed/NCBI

31 

Yang L, Latchoumycandane C, McMullen MR, Pratt BT, Zhang R, Papouchado BG, Nagy LE, Feldstein AE and McIntyre TM: Chronic alcohol exposure increases circulating bioactive oxidized phospholipids. J Biol Chem. 285:22211–22220. 2010. View Article : Google Scholar : PubMed/NCBI

32 

Latchoumycandane C, Nagy LE and McIntyre TM: Chronic ethanol ingestion induces oxidative kidney injury through taurine-inhibitable inflammation. Free Radic Biol Med. 69:403–416. 2014. View Article : Google Scholar : PubMed/NCBI

33 

Tanaka K, Nishizono S, Kugino K, Tamari M, Kurumiya M, Abe N and Ikeda I: Effects of dietary oyster extract on lipid metabolism, blood pressure and blood glucose in SD rats, hypertensive rats and diabetic rats. Biosci Biotechnol Biochem. 70:462–470. 2006. View Article : Google Scholar : PubMed/NCBI

34 

Yoshikawa T, Naito Y, Masui K, Fujii T, Boku Y, Nakagawa S, Yoshida N and Kondo M: Free radical-scavenging activity of Crassostera gigas extract (JCOE). Biomed Pharmacother. 51:328–332. 1997. View Article : Google Scholar : PubMed/NCBI

35 

Nishihori Y, Suzuki Y, Kishinami M, Fujisawa H, Nagaoka S, Yamazaki N, Matsui H and Matsuda Y: Study of safety and functionality in oyster extract powder. Trace Nutr Res. 28:40–44. 2011.

36 

Wójcik OP, Koenig KL, Zeleniuch-Jacquotte A, Costa M and Chen Y: The potential protective effects of taurine on coronary heart disease. Atherosclerosis. 208:19–25. 2010. View Article : Google Scholar : PubMed/NCBI

37 

Chesney RW: Taurine: Its biological role and clinical implications. Adv Pediatr. 32:1–42. 1985.PubMed/NCBI

Related Articles

  • Abstract
  • View
  • Download
  • Twitter
Copy and paste a formatted citation
Spandidos Publications style
Osaki K, Shimizu Y, Yamamoto T, Miyake F, Kondo S and Yamaguchi H: Improvement of liver function by the administration of oyster extract as a dietary supplement to habitual alcohol drinkers: A pilot study. Exp Ther Med 10: 705-710, 2015.
APA
Osaki, K., Shimizu, Y., Yamamoto, T., Miyake, F., Kondo, S., & Yamaguchi, H. (2015). Improvement of liver function by the administration of oyster extract as a dietary supplement to habitual alcohol drinkers: A pilot study. Experimental and Therapeutic Medicine, 10, 705-710. https://doi.org/10.3892/etm.2015.2563
MLA
Osaki, K., Shimizu, Y., Yamamoto, T., Miyake, F., Kondo, S., Yamaguchi, H."Improvement of liver function by the administration of oyster extract as a dietary supplement to habitual alcohol drinkers: A pilot study". Experimental and Therapeutic Medicine 10.2 (2015): 705-710.
Chicago
Osaki, K., Shimizu, Y., Yamamoto, T., Miyake, F., Kondo, S., Yamaguchi, H."Improvement of liver function by the administration of oyster extract as a dietary supplement to habitual alcohol drinkers: A pilot study". Experimental and Therapeutic Medicine 10, no. 2 (2015): 705-710. https://doi.org/10.3892/etm.2015.2563
Copy and paste a formatted citation
x
Spandidos Publications style
Osaki K, Shimizu Y, Yamamoto T, Miyake F, Kondo S and Yamaguchi H: Improvement of liver function by the administration of oyster extract as a dietary supplement to habitual alcohol drinkers: A pilot study. Exp Ther Med 10: 705-710, 2015.
APA
Osaki, K., Shimizu, Y., Yamamoto, T., Miyake, F., Kondo, S., & Yamaguchi, H. (2015). Improvement of liver function by the administration of oyster extract as a dietary supplement to habitual alcohol drinkers: A pilot study. Experimental and Therapeutic Medicine, 10, 705-710. https://doi.org/10.3892/etm.2015.2563
MLA
Osaki, K., Shimizu, Y., Yamamoto, T., Miyake, F., Kondo, S., Yamaguchi, H."Improvement of liver function by the administration of oyster extract as a dietary supplement to habitual alcohol drinkers: A pilot study". Experimental and Therapeutic Medicine 10.2 (2015): 705-710.
Chicago
Osaki, K., Shimizu, Y., Yamamoto, T., Miyake, F., Kondo, S., Yamaguchi, H."Improvement of liver function by the administration of oyster extract as a dietary supplement to habitual alcohol drinkers: A pilot study". Experimental and Therapeutic Medicine 10, no. 2 (2015): 705-710. https://doi.org/10.3892/etm.2015.2563
Follow us
  • Twitter
  • LinkedIn
  • Facebook
About
  • Spandidos Publications
  • Careers
  • Cookie Policy
  • Privacy Policy
How can we help?
  • Help
  • Live Chat
  • Contact
  • Email to our Support Team