Spandidos Publications Logo
  • About
    • About Spandidos
    • Aims and Scopes
    • Abstracting and Indexing
    • Editorial Policies
    • Reprints and Permissions
    • Job Opportunities
    • Terms and Conditions
    • Contact
  • Journals
    • All Journals
    • Oncology Letters
      • Oncology Letters
      • Information for Authors
      • Editorial Policies
      • Editorial Board
      • Aims and Scope
      • Abstracting and Indexing
      • Bibliographic Information
      • Archive
    • International Journal of Oncology
      • International Journal of Oncology
      • Information for Authors
      • Editorial Policies
      • Editorial Board
      • Aims and Scope
      • Abstracting and Indexing
      • Bibliographic Information
      • Archive
    • Molecular and Clinical Oncology
      • Molecular and Clinical Oncology
      • Information for Authors
      • Editorial Policies
      • Editorial Board
      • Aims and Scope
      • Abstracting and Indexing
      • Bibliographic Information
      • Archive
    • Experimental and Therapeutic Medicine
      • Experimental and Therapeutic Medicine
      • Information for Authors
      • Editorial Policies
      • Editorial Board
      • Aims and Scope
      • Abstracting and Indexing
      • Bibliographic Information
      • Archive
    • International Journal of Molecular Medicine
      • International Journal of Molecular Medicine
      • Information for Authors
      • Editorial Policies
      • Editorial Board
      • Aims and Scope
      • Abstracting and Indexing
      • Bibliographic Information
      • Archive
    • Biomedical Reports
      • Biomedical Reports
      • Information for Authors
      • Editorial Policies
      • Editorial Board
      • Aims and Scope
      • Abstracting and Indexing
      • Bibliographic Information
      • Archive
    • Oncology Reports
      • Oncology Reports
      • Information for Authors
      • Editorial Policies
      • Editorial Board
      • Aims and Scope
      • Abstracting and Indexing
      • Bibliographic Information
      • Archive
    • Molecular Medicine Reports
      • Molecular Medicine Reports
      • Information for Authors
      • Editorial Policies
      • Editorial Board
      • Aims and Scope
      • Abstracting and Indexing
      • Bibliographic Information
      • Archive
    • World Academy of Sciences Journal
      • World Academy of Sciences Journal
      • Information for Authors
      • Editorial Policies
      • Editorial Board
      • Aims and Scope
      • Abstracting and Indexing
      • Bibliographic Information
      • Archive
    • International Journal of Functional Nutrition
      • International Journal of Functional Nutrition
      • Information for Authors
      • Editorial Policies
      • Editorial Board
      • Aims and Scope
      • Abstracting and Indexing
      • Bibliographic Information
      • Archive
    • International Journal of Epigenetics
      • International Journal of Epigenetics
      • Information for Authors
      • Editorial Policies
      • Editorial Board
      • Aims and Scope
      • Abstracting and Indexing
      • Bibliographic Information
      • Archive
    • Medicine International
      • Medicine International
      • Information for Authors
      • Editorial Policies
      • Editorial Board
      • Aims and Scope
      • Abstracting and Indexing
      • Bibliographic Information
      • Archive
  • Articles
  • Information
    • Information for Authors
    • Information for Reviewers
    • Information for Librarians
    • Information for Advertisers
    • Conferences
  • Language Editing
Spandidos Publications Logo
  • About
    • About Spandidos
    • Aims and Scopes
    • Abstracting and Indexing
    • Editorial Policies
    • Reprints and Permissions
    • Job Opportunities
    • Terms and Conditions
    • Contact
  • Journals
    • All Journals
    • Biomedical Reports
      • Information for Authors
      • Editorial Policies
      • Editorial Board
      • Aims and Scope
      • Abstracting and Indexing
      • Bibliographic Information
      • Archive
    • Experimental and Therapeutic Medicine
      • Information for Authors
      • Editorial Policies
      • Editorial Board
      • Aims and Scope
      • Abstracting and Indexing
      • Bibliographic Information
      • Archive
    • International Journal of Epigenetics
      • Information for Authors
      • Editorial Policies
      • Editorial Board
      • Aims and Scope
      • Abstracting and Indexing
      • Bibliographic Information
      • Archive
    • International Journal of Functional Nutrition
      • Information for Authors
      • Editorial Policies
      • Editorial Board
      • Aims and Scope
      • Abstracting and Indexing
      • Bibliographic Information
      • Archive
    • International Journal of Molecular Medicine
      • Information for Authors
      • Editorial Policies
      • Editorial Board
      • Aims and Scope
      • Abstracting and Indexing
      • Bibliographic Information
      • Archive
    • International Journal of Oncology
      • Information for Authors
      • Editorial Policies
      • Editorial Board
      • Aims and Scope
      • Abstracting and Indexing
      • Bibliographic Information
      • Archive
    • Medicine International
      • Information for Authors
      • Editorial Policies
      • Editorial Board
      • Aims and Scope
      • Abstracting and Indexing
      • Bibliographic Information
      • Archive
    • Molecular and Clinical Oncology
      • Information for Authors
      • Editorial Policies
      • Editorial Board
      • Aims and Scope
      • Abstracting and Indexing
      • Bibliographic Information
      • Archive
    • Molecular Medicine Reports
      • Information for Authors
      • Editorial Policies
      • Editorial Board
      • Aims and Scope
      • Abstracting and Indexing
      • Bibliographic Information
      • Archive
    • Oncology Letters
      • Information for Authors
      • Editorial Policies
      • Editorial Board
      • Aims and Scope
      • Abstracting and Indexing
      • Bibliographic Information
      • Archive
    • Oncology Reports
      • Information for Authors
      • Editorial Policies
      • Editorial Board
      • Aims and Scope
      • Abstracting and Indexing
      • Bibliographic Information
      • Archive
    • World Academy of Sciences Journal
      • Information for Authors
      • Editorial Policies
      • Editorial Board
      • Aims and Scope
      • Abstracting and Indexing
      • Bibliographic Information
      • Archive
  • Articles
  • Information
    • For Authors
    • For Reviewers
    • For Librarians
    • For Advertisers
    • Conferences
  • Language Editing
Login Register Submit
  • This site uses cookies
  • You can change your cookie settings at any time by following the instructions in our Cookie Policy. To find out more, you may read our Privacy Policy.

    I agree
Search articles by DOI, keyword, author or affiliation
Search
Advanced Search
presentation
Experimental and Therapeutic Medicine
Join Editorial Board Propose a Special Issue
Print ISSN: 1792-0981 Online ISSN: 1792-1015
Journal Cover
September-2016 Volume 12 Issue 3

Full Size Image

Sign up for eToc alerts
Recommend to Library

Journals

International Journal of Molecular Medicine

International Journal of Molecular Medicine

International Journal of Molecular Medicine is an international journal devoted to molecular mechanisms of human disease.

International Journal of Oncology

International Journal of Oncology

International Journal of Oncology is an international journal devoted to oncology research and cancer treatment.

Molecular Medicine Reports

Molecular Medicine Reports

Covers molecular medicine topics such as pharmacology, pathology, genetics, neuroscience, infectious diseases, molecular cardiology, and molecular surgery.

Oncology Reports

Oncology Reports

Oncology Reports is an international journal devoted to fundamental and applied research in Oncology.

Experimental and Therapeutic Medicine

Experimental and Therapeutic Medicine

Experimental and Therapeutic Medicine is an international journal devoted to laboratory and clinical medicine.

Oncology Letters

Oncology Letters

Oncology Letters is an international journal devoted to Experimental and Clinical Oncology.

Biomedical Reports

Biomedical Reports

Explores a wide range of biological and medical fields, including pharmacology, genetics, microbiology, neuroscience, and molecular cardiology.

Molecular and Clinical Oncology

Molecular and Clinical Oncology

International journal addressing all aspects of oncology research, from tumorigenesis and oncogenes to chemotherapy and metastasis.

World Academy of Sciences Journal

World Academy of Sciences Journal

Multidisciplinary open-access journal spanning biochemistry, genetics, neuroscience, environmental health, and synthetic biology.

International Journal of Functional Nutrition

International Journal of Functional Nutrition

Open-access journal combining biochemistry, pharmacology, immunology, and genetics to advance health through functional nutrition.

International Journal of Epigenetics

International Journal of Epigenetics

Publishes open-access research on using epigenetics to advance understanding and treatment of human disease.

Medicine International

Medicine International

An International Open Access Journal Devoted to General Medicine.

Journal Cover
September-2016 Volume 12 Issue 3

Full Size Image

Sign up for eToc alerts
Recommend to Library

  • Article
  • Citations
    • Cite This Article
    • Download Citation
    • Create Citation Alert
    • Remove Citation Alert
    • Cited By
  • Similar Articles
    • Related Articles (in Spandidos Publications)
    • Similar Articles (Google Scholar)
    • Similar Articles (PubMed)
  • Download PDF
  • Download XML
  • View XML
Article

miR-143 suppresses the proliferation of NSCLC cells by inhibiting the epidermal growth factor receptor

  • Authors:
    • Hong‑Bo Zhang
    • Li‑Chao Sun
    • Lan Ling
    • Lu‑Hong Cong
    • Rui Lian
  • View Affiliations / Copyright

    Affiliations: Department of Emergency Medicine, China‑Japan Friendship Hospital, Beijing 100029, P.R. China
  • Pages: 1795-1802
    |
    Published online on: July 27, 2016
       https://doi.org/10.3892/etm.2016.3555
  • Expand metrics +
Metrics: Total Views: 0 (Spandidos Publications: | PMC Statistics: )
Metrics: Total PDF Downloads: 0 (Spandidos Publications: | PMC Statistics: )
Cited By (CrossRef): 0 citations Loading Articles...

This article is mentioned in:



Abstract

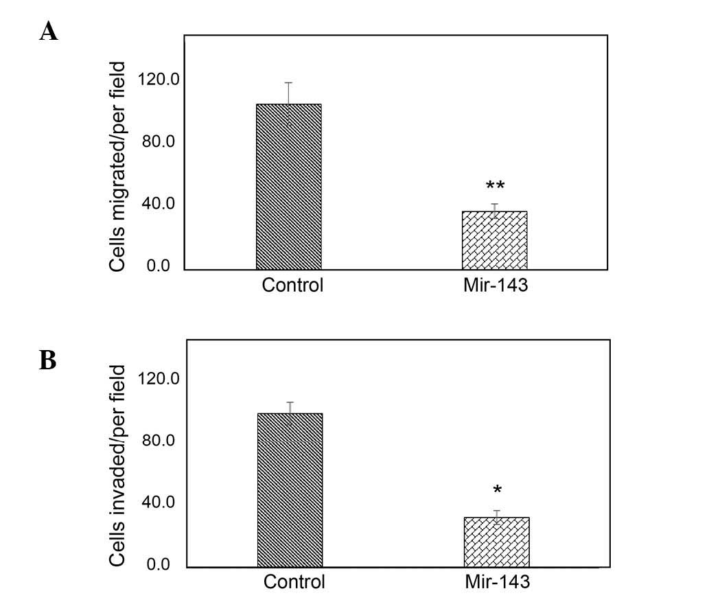
MicroRNAs (miRs) regulate the proliferation and metastasis of numerous cancer cell types. It was previously reported that miR-143 levels were downregulated in non‑small cell lung cancer (NSCLC) tissues and cell lines, and that the migration and invasion of NSCLC cells was inhibited upon suppression of cell proliferation and colony formation by the upregulation of miR‑143. Epidermal growth factor receptor (EGFR), which is a vital factor in the promotion of cancer cell proliferation and has been investigated as a potential focus in cancer therapy, has been reported to be a possible target of miR-143. The present study aimed to investigate the role of miR‑143 in NSCLC using NSCLC cell lines and primary cells from NSCLC patients. NSCLC cells were co‑transfected with EGFR and miR‑143, and the mRNA and protein expression of EGFR were analyzed. Furthermore, the activity of the transfected cancer cells with regard to colony formation, migration, invasion and apoptosis were evaluated. The levels of miR‑143 were decreased in the NSCLC cell lines and primary cells from patients with NSCLC compared with the controls. Following transfection with miR‑143, the ability of NSCLC cells to proliferate, form colonies, migrate and invade was inhibited. Similarly, knockdown of EGFR led to the suppression of NSCLC cell proliferation. The mRNA and protein expression levels of EGFR were significantly reduced following miR‑143 overexpression, and the level of miR‑143 was inversely correlated with that of EGFR in NSCLC cells. The results of the present study demonstrated that miR‑143 was able to suppress NSCLC cell proliferation and invasion by inhibiting the effects of EGFR, suggesting that EGFR may be considered a potential target for NSCLC therapy.
View Figures

Figure 1

Figure 2

Figure 3

Figure 4

Figure 5

View References

1 

Jemal A, Bray F, Center MM, Ferlay J, Ward E and Forman D: Global cancer statistics. CA Cancer J Clin. 61:69–90. 2011. View Article : Google Scholar : PubMed/NCBI

2 

Youlden DR, Cramb SM and Baade PD: The international epidemiology of lung cancer: Geographical distribution and secular trends. J Thorac Oncol. 3:819–831. 2008. View Article : Google Scholar : PubMed/NCBI

3 

Globocan, . 2002, Cancer incidence, mortality and prevalence worldwide. International Agency for Research on Cancer. http://www-dep.iarc.fr/Accessed January 17, 2008. PubMed/NCBI

4 

Xu W, Yang G, Xu Y, Zhang Q, Fu Q, Yu J, Yu M, Zhao W, Yang Z, Hu F, et al: The possibility of traditional chinese medicine as maintenance therapy for advanced nonsmall cell lung cancer. Evid Based Complement Alternat Med. 2014:2789172014. View Article : Google Scholar : PubMed/NCBI

5 

Zarogoulidis K, Zarogoulidis P, Darwiche K, Boutsikou E, Machairiotis N, Tsakiridis K, Katsikogiannis N, Kougioumtzi I, Karapantzos I, Huang H and Spyratos D: Treatment of non-small cell lung cancer (NSCLC). J Thora Dis Suppl. 4:S389–S396. 2013.

6 

Janku F, Stewart DJ and Kurzrock R: Targeted therapy in non-small-cell lung cancer - is it becoming a reality? Nat Rev Clin Oncol. 7:401–414. 2010. View Article : Google Scholar : PubMed/NCBI

7 

Toloza EM, Harpole L, Detterbeck F and McCrory DC: Invasive staging of non-small cell lung cancer: A review of the current evidence. Chest. 123(1 Suppl): 157S–166S. 2003. View Article : Google Scholar : PubMed/NCBI

8 

Stone E, Allen HA, Saghaie T, Abbott A, Daniel R, Mead RS, Kohonen-Corish M, Plit M and Morgan L: High proportion of rare and compound epidermal growth factor receptor mutations in an Australian population of non-squamous non-small-cell lung cancer. Intern Med J. 44:1188–1192. 2014. View Article : Google Scholar : PubMed/NCBI

9 

Zhou JJ, Zheng S, Sun LF and Zheng L: MicroRNA regulation network in colorectal cancer metastasis. World J Biol Chem. 5:301–307. 2014. View Article : Google Scholar : PubMed/NCBI

10 

Ning B, Gao L, Liu RH, Liu Y, Zhang NS and Chen ZY: MicroRNAs in spinal cord injury: Potential roles and therapeutic implications. Int J Biol Sci. 10:997–1006. 2014. View Article : Google Scholar : PubMed/NCBI

11 

Rebane A, Runnel T, Aab A, Maslovskaja J, Rückert B, Zimmermann M, Plaas M, Kärner J, Treis A, Pihlap M, et al: MicroRNA-146a alleviates chronic skin inflammation in atopic dermatitis through suppression of innate immune responses in keratinocytes. J Allergy Clin Immunol. 134:836–847. 2014. View Article : Google Scholar : PubMed/NCBI

12 

Wu HH, Lin WC and Tsai KW: Advances in molecular biomarkers for gastric cancer: MiRNAs as emerging novel cancer markers. Expert Rev Mol Med. 16:e12014. View Article : Google Scholar : PubMed/NCBI

13 

Schmidt Y, Simunovic F, Strassburg S, Pfeifer D, Stark GB and Finkenzeller G: miR-126 regulates platelet-derived growth factor receptor-α expression and migration of primary human osteoblasts. Biol Chem. 396:61–71. 2015. View Article : Google Scholar : PubMed/NCBI

14 

Nagpal N and Kulshreshtha R: MiR-191: An emerging player in disease biology. Front Genet. 5:992014. View Article : Google Scholar : PubMed/NCBI

15 

Ibrahim SA, Hassan H and Gotte M: MicroRNA-dependent targeting of the extracellular matrix as a mechanism of regulating cell behavior. Biochim Biophys Acta. 1840:2609–2620. 2014. View Article : Google Scholar : PubMed/NCBI

16 

Orang AV and Barzegari A: MicroRNAs in colorectal cancer: From diagnosis to targeted therapy. Asian Pac J Cancer Prev. 15:6989–6999. 2014. View Article : Google Scholar : PubMed/NCBI

17 

Adams BD, Kasinski AL and Slack FJ: Aberrant regulation and function of microRNAs in cancer. Curr Biol. 24:R762–R776. 2014. View Article : Google Scholar : PubMed/NCBI

18 

Huang J, Zhang SY, Gao YM, Liu YF, Liu YB, Zhao ZG and Yang K: MicroRNAs as oncogenes or tumour suppressors in oesophageal cancer: Potential biomarkers and therapeutic targets. Cell Prolif. 47:277–286. 2014. View Article : Google Scholar : PubMed/NCBI

19 

Xu B, Niu X, Zhang X, Tao J, Wu D, Wang Z, Li P, Zhang W, Wu H, Feng N, et al: miR-143 decreases prostate cancer cells proliferation and migration and enhances their sensitivity to docetaxel through suppression of KRAS. Mol Cell Biochem. 350:207–213. 2011. View Article : Google Scholar : PubMed/NCBI

20 

Yu S, Zhang C, Dong FS and Zhang YM: miR-99a suppresses the metastasis of human non-small cell lung cancer cells by targeting AKT1 signaling pathway. J Cell Biochem. 116:268–276. 2015. View Article : Google Scholar : PubMed/NCBI

21 

Fernandez S, Risolino M, Mandia N, Talotta F, Soini Y, Incoronato M, Condorelli G, Banfi S and Verde P: miR-340 inhibits tumor cell proliferation and induces apoptosis by targeting multiple negative regulators of p27 in non-small cell lung cancer. Oncogene. 34:3240–3250. 2014. View Article : Google Scholar : PubMed/NCBI

22 

Zhao X, Liu D, Gong W, Zhao G, Liu L, Yang L and Hou Y: The toll-like receptor 3 ligand, poly(I:C), improves immunosuppressive function and therapeutic effect of mesenchymal stem cells on sepsis via inhibiting MiR-143. Stem Cells. 32:521–533. 2014. View Article : Google Scholar : PubMed/NCBI

23 

Momeni M, Reza MM, Zainodini N, Hassanshahi G and Arababadi MK: MiR-143 induces expression of AIM2 and ASC in Jurkat cell line. Iran J Immunol. 10:103–109. 2013.PubMed/NCBI

24 

Zeng XL, Zhang SY, Zheng JF, Yuan H and Wang Y: Altered miR-143 and miR-150 expressions in peripheral blood mononuclear cells for diagnosis of non-small cell lung cancer. Chin Med J (Engl). 126:4510–4516. 2013.PubMed/NCBI

25 

Herbst RS: Review of epidermal growth factor receptor biology. Int J Radiat Oncol Biol Phys. 59:S21–S26. 2004. View Article : Google Scholar

26 

Lu Y, Wang Y, Zhang M, Liu L, Li F, Zhang J, Ye M, Zhao H, Zhao J, Yan B and et al: HER2-siRNA delivered by EGFR-specific single chain antibody inhibits NSCLC cell proliferation and tumor growth. Oncotarget. 2016.

27 

Weiss GJI, Bemis LT, Nakajima E, Sugita M, Birks DK, Robinson WA, Varella-Garcia M, Bunn PA Jr, Haney J, Helfrich BA, et al: EGFR regulation by microRNA in lung cancer: Correlation with clinical response and survival to gefitinib and EGFR expression in cell lines. Ann Oncol. 19:1053–1059. 2008. View Article : Google Scholar : PubMed/NCBI

28 

Livak KJ and Schmittgen TD: Analysis of relative gene expression data using real-time quantitative PCR and the 2(−Delta Delta C(T)) Method. Methods. 25:402–408. 2001. View Article : Google Scholar : PubMed/NCBI

29 

Lu J, Getz G, Miska EA, Alvarez-Saavedra E, Lamb J, Peck D, Sweet-Cordero A, Ebert BL, Mak RH, Ferrando AA, et al: MicroRNA expression profiles classify human cancers. Nature. 435:834–838. 2005. View Article : Google Scholar : PubMed/NCBI

30 

Calin GA and Croce CM: MicroRNA signatures in human cancers. Nat Rev Cancer. 6:857–866. 2006. View Article : Google Scholar : PubMed/NCBI

31 

Phuah NH and Nagoor NH: Regulation of microRNAs by natural agents: New strategies in cancer therapies. Biomed Res Int. 2014:8045102014. View Article : Google Scholar : PubMed/NCBI

32 

Bartel D P: MicroRNAs: Genomics, biogenesis, mechanism, and function. Cell. 116:281–297. 2004. View Article : Google Scholar : PubMed/NCBI

33 

Cai Y, Yu X, Hu S and Yu J: A brief review on the mechanisms of miRNA regulation. Genomics Proteomics Bioinformatics. 7:147–154. 2009. View Article : Google Scholar : PubMed/NCBI

34 

Garajova I, Le Large TY, Frampton AE, Rolfo C, Voortman J and Giovannetti E: Molecular mechanisms underlying the role of microRNAs in the chemoresistance of pancreatic cancer. Biomed Res Int. 2014:6784012014. View Article : Google Scholar : PubMed/NCBI

35 

Wu XL, Cheng B, Li PY, Huang HJ, Zhao Q, Dan ZL, Tian DA and Zhang P: MicroRNA-143 suppresses gastric cancer cell growth and induces apoptosis by targeting COX-2. World J Gastroenterol. 19:7758–7765. 2013. View Article : Google Scholar : PubMed/NCBI

36 

Ferreira AC, Robaina MC, Rezende LM, Severino P and Klumb CE: Histone deacetylase inhibitor prevents cell growth in Burkitt's lymphoma by regulating PI3K/Akt pathways and leads to upregulation of miR-143, miR-145 and miR-101. Ann Hematol. 93:983–993. 2014.PubMed/NCBI

37 

Kopp F, Schnoedt M, Haase R, Wagner E, Roidl A and Ogris M: De-targeting by miR-143 decreases unwanted transgene expression in non-tumorigenic cells. Gene Ther. 20:1104–1109. 2013. View Article : Google Scholar : PubMed/NCBI

38 

Ng EK, Li R, Shin VY, Siu JM, Ma ES and Kwong A: MicroRNA-143 is downregulated in breast cancer and regulates DNA methyltransferases 3A in breast cancer cells. Tumour Biol. 35:2591–2598. 2014. View Article : Google Scholar : PubMed/NCBI

39 

Blumensatt M, Greulich S, Herzfeld De Wiza D, Mueller H, Maxhera B, Rabelink MJ, Hoeben RC, Akhyari P, Al-Hasani H, Ruige JB, et al: Activin A impairs insulin action in cardiomyocytes via up-regulation of miR-143. Cardiovasc Res. 100:201–210. 2013. View Article : Google Scholar : PubMed/NCBI

40 

Yang Y, Zhang B, Li R, Liu B and Wang L: EGFR-tyrosine kinase inhibitor treatment in a patient with advanced non-small cell lung cancer and concurrent exon 19 and 21 EGFR mutations: A case report and review of the literature. Oncol Lett. 11:3546–3550. 2016.PubMed/NCBI

41 

Zhu L, Shi C, Ji C, Xu G, Chen L, Yang L, Fu Z, Cui X, Lu Y and Guo X: FFAs and adipokine-mediated regulation of hsa-miR-143 expression in human adipocytes. Mol Biol Rep. 40:5669–5675. 2013. View Article : Google Scholar : PubMed/NCBI

42 

Wang Q, Cai J, Wang J, Xiong C and Zhao J: MiR-143 inhibits EGFR-signaling-dependent osteosarcoma invasion. Tumour Biol. 35:12743–12748. 2014. View Article : Google Scholar : PubMed/NCBI

43 

Lu J, Xue L, Jin M and Lyu N: Expression profiling of metastasis-related microRNAs in early esophageal squamous cell carcinoma. Zhonghua Bing Li Xue Za Zhi. 43:313–317. 2014.(In Chinese). PubMed/NCBI

44 

Mekenkamp LJ, Tol J, Dijkstra JR, de Krijger I, Vink-Börger ME, van Vliet S, Teerenstra S, Kamping E, Verwiel E, Koopman M, et al: Beyond KRAS mutation status: Influence of KRAS copy number status and microRNAs on clinical outcome to cetuximab in metastatic colorectal cancer patients. BMC Cancer. 12:2922012. View Article : Google Scholar : PubMed/NCBI

45 

da Cunha Santos G, Shepherd FA and Tsao MS: EGFR mutations and lung cancer. Annu Rev Pathol. 6:49–69. 2011. View Article : Google Scholar

46 

Fabian M R, Sonenberg N and Filipowicz W: Regulation of mRNA translation and stability by microRNAs. Annual Rev Biochem. 79:351–379. 2010. View Article : Google Scholar

47 

Esquela-Kerscher A and Slack FJ: Oncomirs - microRNAs with a role in cancer. Nat Rev Cancer. 6:259–269. 2006. View Article : Google Scholar : PubMed/NCBI

Related Articles

  • Abstract
  • View
  • Download
  • Twitter
Copy and paste a formatted citation
Spandidos Publications style
Zhang HB, Sun LC, Ling L, Cong LH and Lian R: miR-143 suppresses the proliferation of NSCLC cells by inhibiting the epidermal growth factor receptor. Exp Ther Med 12: 1795-1802, 2016.
APA
Zhang, H., Sun, L., Ling, L., Cong, L., & Lian, R. (2016). miR-143 suppresses the proliferation of NSCLC cells by inhibiting the epidermal growth factor receptor. Experimental and Therapeutic Medicine, 12, 1795-1802. https://doi.org/10.3892/etm.2016.3555
MLA
Zhang, H., Sun, L., Ling, L., Cong, L., Lian, R."miR-143 suppresses the proliferation of NSCLC cells by inhibiting the epidermal growth factor receptor". Experimental and Therapeutic Medicine 12.3 (2016): 1795-1802.
Chicago
Zhang, H., Sun, L., Ling, L., Cong, L., Lian, R."miR-143 suppresses the proliferation of NSCLC cells by inhibiting the epidermal growth factor receptor". Experimental and Therapeutic Medicine 12, no. 3 (2016): 1795-1802. https://doi.org/10.3892/etm.2016.3555
Copy and paste a formatted citation
x
Spandidos Publications style
Zhang HB, Sun LC, Ling L, Cong LH and Lian R: miR-143 suppresses the proliferation of NSCLC cells by inhibiting the epidermal growth factor receptor. Exp Ther Med 12: 1795-1802, 2016.
APA
Zhang, H., Sun, L., Ling, L., Cong, L., & Lian, R. (2016). miR-143 suppresses the proliferation of NSCLC cells by inhibiting the epidermal growth factor receptor. Experimental and Therapeutic Medicine, 12, 1795-1802. https://doi.org/10.3892/etm.2016.3555
MLA
Zhang, H., Sun, L., Ling, L., Cong, L., Lian, R."miR-143 suppresses the proliferation of NSCLC cells by inhibiting the epidermal growth factor receptor". Experimental and Therapeutic Medicine 12.3 (2016): 1795-1802.
Chicago
Zhang, H., Sun, L., Ling, L., Cong, L., Lian, R."miR-143 suppresses the proliferation of NSCLC cells by inhibiting the epidermal growth factor receptor". Experimental and Therapeutic Medicine 12, no. 3 (2016): 1795-1802. https://doi.org/10.3892/etm.2016.3555
Follow us
  • Twitter
  • LinkedIn
  • Facebook
About
  • Spandidos Publications
  • Careers
  • Cookie Policy
  • Privacy Policy
How can we help?
  • Help
  • Live Chat
  • Contact
  • Email to our Support Team