Spandidos Publications Logo
  • About
    • About Spandidos
    • Aims and Scopes
    • Abstracting and Indexing
    • Editorial Policies
    • Reprints and Permissions
    • Job Opportunities
    • Terms and Conditions
    • Contact
  • Journals
    • All Journals
    • Oncology Letters
      • Oncology Letters
      • Information for Authors
      • Editorial Policies
      • Editorial Board
      • Aims and Scope
      • Abstracting and Indexing
      • Bibliographic Information
      • Archive
    • International Journal of Oncology
      • International Journal of Oncology
      • Information for Authors
      • Editorial Policies
      • Editorial Board
      • Aims and Scope
      • Abstracting and Indexing
      • Bibliographic Information
      • Archive
    • Molecular and Clinical Oncology
      • Molecular and Clinical Oncology
      • Information for Authors
      • Editorial Policies
      • Editorial Board
      • Aims and Scope
      • Abstracting and Indexing
      • Bibliographic Information
      • Archive
    • Experimental and Therapeutic Medicine
      • Experimental and Therapeutic Medicine
      • Information for Authors
      • Editorial Policies
      • Editorial Board
      • Aims and Scope
      • Abstracting and Indexing
      • Bibliographic Information
      • Archive
    • International Journal of Molecular Medicine
      • International Journal of Molecular Medicine
      • Information for Authors
      • Editorial Policies
      • Editorial Board
      • Aims and Scope
      • Abstracting and Indexing
      • Bibliographic Information
      • Archive
    • Biomedical Reports
      • Biomedical Reports
      • Information for Authors
      • Editorial Policies
      • Editorial Board
      • Aims and Scope
      • Abstracting and Indexing
      • Bibliographic Information
      • Archive
    • Oncology Reports
      • Oncology Reports
      • Information for Authors
      • Editorial Policies
      • Editorial Board
      • Aims and Scope
      • Abstracting and Indexing
      • Bibliographic Information
      • Archive
    • Molecular Medicine Reports
      • Molecular Medicine Reports
      • Information for Authors
      • Editorial Policies
      • Editorial Board
      • Aims and Scope
      • Abstracting and Indexing
      • Bibliographic Information
      • Archive
    • World Academy of Sciences Journal
      • World Academy of Sciences Journal
      • Information for Authors
      • Editorial Policies
      • Editorial Board
      • Aims and Scope
      • Abstracting and Indexing
      • Bibliographic Information
      • Archive
    • International Journal of Functional Nutrition
      • International Journal of Functional Nutrition
      • Information for Authors
      • Editorial Policies
      • Editorial Board
      • Aims and Scope
      • Abstracting and Indexing
      • Bibliographic Information
      • Archive
    • International Journal of Epigenetics
      • International Journal of Epigenetics
      • Information for Authors
      • Editorial Policies
      • Editorial Board
      • Aims and Scope
      • Abstracting and Indexing
      • Bibliographic Information
      • Archive
    • Medicine International
      • Medicine International
      • Information for Authors
      • Editorial Policies
      • Editorial Board
      • Aims and Scope
      • Abstracting and Indexing
      • Bibliographic Information
      • Archive
  • Articles
  • Information
    • Information for Authors
    • Information for Reviewers
    • Information for Librarians
    • Information for Advertisers
    • Conferences
  • Language Editing
Spandidos Publications Logo
  • About
    • About Spandidos
    • Aims and Scopes
    • Abstracting and Indexing
    • Editorial Policies
    • Reprints and Permissions
    • Job Opportunities
    • Terms and Conditions
    • Contact
  • Journals
    • All Journals
    • Biomedical Reports
      • Information for Authors
      • Editorial Policies
      • Editorial Board
      • Aims and Scope
      • Abstracting and Indexing
      • Bibliographic Information
      • Archive
    • Experimental and Therapeutic Medicine
      • Information for Authors
      • Editorial Policies
      • Editorial Board
      • Aims and Scope
      • Abstracting and Indexing
      • Bibliographic Information
      • Archive
    • International Journal of Epigenetics
      • Information for Authors
      • Editorial Policies
      • Editorial Board
      • Aims and Scope
      • Abstracting and Indexing
      • Bibliographic Information
      • Archive
    • International Journal of Functional Nutrition
      • Information for Authors
      • Editorial Policies
      • Editorial Board
      • Aims and Scope
      • Abstracting and Indexing
      • Bibliographic Information
      • Archive
    • International Journal of Molecular Medicine
      • Information for Authors
      • Editorial Policies
      • Editorial Board
      • Aims and Scope
      • Abstracting and Indexing
      • Bibliographic Information
      • Archive
    • International Journal of Oncology
      • Information for Authors
      • Editorial Policies
      • Editorial Board
      • Aims and Scope
      • Abstracting and Indexing
      • Bibliographic Information
      • Archive
    • Medicine International
      • Information for Authors
      • Editorial Policies
      • Editorial Board
      • Aims and Scope
      • Abstracting and Indexing
      • Bibliographic Information
      • Archive
    • Molecular and Clinical Oncology
      • Information for Authors
      • Editorial Policies
      • Editorial Board
      • Aims and Scope
      • Abstracting and Indexing
      • Bibliographic Information
      • Archive
    • Molecular Medicine Reports
      • Information for Authors
      • Editorial Policies
      • Editorial Board
      • Aims and Scope
      • Abstracting and Indexing
      • Bibliographic Information
      • Archive
    • Oncology Letters
      • Information for Authors
      • Editorial Policies
      • Editorial Board
      • Aims and Scope
      • Abstracting and Indexing
      • Bibliographic Information
      • Archive
    • Oncology Reports
      • Information for Authors
      • Editorial Policies
      • Editorial Board
      • Aims and Scope
      • Abstracting and Indexing
      • Bibliographic Information
      • Archive
    • World Academy of Sciences Journal
      • Information for Authors
      • Editorial Policies
      • Editorial Board
      • Aims and Scope
      • Abstracting and Indexing
      • Bibliographic Information
      • Archive
  • Articles
  • Information
    • For Authors
    • For Reviewers
    • For Librarians
    • For Advertisers
    • Conferences
  • Language Editing
Login Register Submit
  • This site uses cookies
  • You can change your cookie settings at any time by following the instructions in our Cookie Policy. To find out more, you may read our Privacy Policy.

    I agree
Search articles by DOI, keyword, author or affiliation
Search
Advanced Search
presentation
Experimental and Therapeutic Medicine
Join Editorial Board Propose a Special Issue
Print ISSN: 1792-0981 Online ISSN: 1792-1015
Journal Cover
November-2017 Volume 14 Issue 5

Full Size Image

Sign up for eToc alerts
Recommend to Library

Journals

International Journal of Molecular Medicine

International Journal of Molecular Medicine

International Journal of Molecular Medicine is an international journal devoted to molecular mechanisms of human disease.

International Journal of Oncology

International Journal of Oncology

International Journal of Oncology is an international journal devoted to oncology research and cancer treatment.

Molecular Medicine Reports

Molecular Medicine Reports

Covers molecular medicine topics such as pharmacology, pathology, genetics, neuroscience, infectious diseases, molecular cardiology, and molecular surgery.

Oncology Reports

Oncology Reports

Oncology Reports is an international journal devoted to fundamental and applied research in Oncology.

Experimental and Therapeutic Medicine

Experimental and Therapeutic Medicine

Experimental and Therapeutic Medicine is an international journal devoted to laboratory and clinical medicine.

Oncology Letters

Oncology Letters

Oncology Letters is an international journal devoted to Experimental and Clinical Oncology.

Biomedical Reports

Biomedical Reports

Explores a wide range of biological and medical fields, including pharmacology, genetics, microbiology, neuroscience, and molecular cardiology.

Molecular and Clinical Oncology

Molecular and Clinical Oncology

International journal addressing all aspects of oncology research, from tumorigenesis and oncogenes to chemotherapy and metastasis.

World Academy of Sciences Journal

World Academy of Sciences Journal

Multidisciplinary open-access journal spanning biochemistry, genetics, neuroscience, environmental health, and synthetic biology.

International Journal of Functional Nutrition

International Journal of Functional Nutrition

Open-access journal combining biochemistry, pharmacology, immunology, and genetics to advance health through functional nutrition.

International Journal of Epigenetics

International Journal of Epigenetics

Publishes open-access research on using epigenetics to advance understanding and treatment of human disease.

Medicine International

Medicine International

An International Open Access Journal Devoted to General Medicine.

Journal Cover
November-2017 Volume 14 Issue 5

Full Size Image

Sign up for eToc alerts
Recommend to Library

  • Article
  • Citations
    • Cite This Article
    • Download Citation
    • Create Citation Alert
    • Remove Citation Alert
    • Cited By
  • Similar Articles
    • Related Articles (in Spandidos Publications)
    • Similar Articles (Google Scholar)
    • Similar Articles (PubMed)
  • Download PDF
  • Download XML
  • View XML
Article Open Access

Mechanism of myocardial ischemia/reperfusion‑induced acute kidney injury through DJ‑1/Nrf2 pathway in diabetic rats

  • Authors:
    • Qian Sun
    • Zi‑Ying Shen
    • Wei‑Na Duan
    • Qing‑Tao Meng
    • Zhong‑Yuan Xia
  • View Affiliations / Copyright

    Affiliations: Department of Anesthesiology, Renmin Hospital of Wuhan University, Wuhan, Hubei 430060, P.R. China, Department of Anesthesiology, The Affiliated Hospital of The Medical College of Qingdao University, Qingdao, Shandong 266003, P.R. China
    Copyright: © Sun et al. This is an open access article distributed under the terms of Creative Commons Attribution License.
  • Pages: 4201-4207
    |
    Published online on: September 1, 2017
       https://doi.org/10.3892/etm.2017.5095
  • Expand metrics +
Metrics: Total Views: 0 (Spandidos Publications: | PMC Statistics: )
Metrics: Total PDF Downloads: 0 (Spandidos Publications: | PMC Statistics: )
Cited By (CrossRef): 0 citations Loading Articles...

This article is mentioned in:



Abstract

The objective of the present study was to investigate acute kidney injury (AKI) induced by myocardial ischemia/reperfusion (MIR) in diabetic rats and elucidate its underlying mechanism. A rat model of MIR was established by left anterior descending coronary artery occlusion for 30 min, followed by reperfusion for 2 h. Rats were randomly divided into four groups: i) Sham group, ii) sham + MIR group, iii) diabetic group and iv) diabetes + MIR group. Myocardial injury was detected by plasma creatine kinase isoenzyme MB and lactate dehydrogenase assays. AKI induced by MIR in diabetic rats was characterized by increases in cystatin C and β2‑microglobulin levels. Oxidative stress injury was accompanied by an increase of malondialdehyde levels and a decrease of total antioxidative capacity in the renal tissues. Immunohistochemistry and western blot analysis demonstrated that the expression of DJ‑1 and nuclear factor erythroid 2‑related factor 2 (Nrf2) were significantly increased in the diabetes + MIR group compared with that in the sham + MIR and diabetic groups. Taken together, these results suggested that AKI induced by MIR in diabetic rats may be associated with activation of the DJ‑1/Nrf2 pathway.

Introduction

Acute kidney injury (AKI), a syndrome associated with high post-operative mortality in humans, is one of the most serious complications of cardiac surgery (1,2). The incidence of AKI due to coronary revascularization or shock has been increasing worldwide. Clinical and experimental studies have demonstrated that myocardial ischemia-reperfusion (MIR) causes AKI (2,3). The mechanism underlying the decline in renal function during MIR was thought to be multifactorial in origin, and associated with hypoperfusion, loss of pulsatile perfusion, hemolysis and a systemic inflammatory response. These factors may increase reactive oxygen species (ROS) (4). In endogenous or exogenous renal injury such as MIR, excessively produced ROS may cause AKI (5). However, the mechanism underlying this damage in the kidney during MIR has remained to be fully elucidated.

Diabetes is one of the most frequent co-morbidities in patients undergoing cardiac surgery and is an independent predictor of AKI in patients with normal pre-operative kidney function (6). Furthermore, insulin-requiring diabetes is also an independent predictor of AKI after cardiac transplantation (7). Clinical studies have demonstrated that hyperglycemia is associated with a significantly higher incidence of AKI. Insulin should be administered if glucose levels are increased (8,9). Intraoperative hyperglycemia should be avoided, as it may lead to excessive production of ROS, which prominently occurs in the kidney and causes acute or progressive renal damage (10).

Attenuation of oxidative stress is known to have an important role in the renoprotective effect mediated by a variety of treatment interventions (11). Previous studies by our group have indicated that DJ-1, which is a multifunctional protein that has potent anti-oxidant properties, protected against oxidative injury in diabetic kidneys and in MIR (12,13). Another study demonstrated that DJ-1 protein was required for the stabilization of nuclear factor erythroid 2-related factor-2 (Nrf2), which has a central role in the protective effect against oxidative injury, and subsequent production of Nrf2-regulated enzymes (14). Hence, it was of interest to investigate the role of the DJ-1/Nrf2 pathway in AKI induced by MIR in diabetic rats.

Materials and methods

Materials

A total of 40 male Sprague Dawley rats (weight, 250–300 g; age, 9–12 weeks) were purchased from Wuhan University, Animal Biosafety Level 3 Laboratory (Wuhan, China). All rats were housed under standard laboratory conditions at 22–24°C, a relative humidity of 50±15%, and a 12 h light/dark cycle. All animals had free access to standard rat chow and water. The experimental protocol of the present study was reviewed and approved by the Animal Care and Use Committee of Wuhan University (Wuhan, China), and was in accordance with the Guide for the Care and Use of Laboratory Animals by the National Institutes of Health. Streptozotocin (STZ) was purchased from Sigma-Aldrich (Merck KGaA, Darmstadt, Germany). Antibodies against DJ-1 were purchased from Cell Signaling Technology, Inc. (cat no. 5933; Beverly, MA, USA). Antibodies to Nrf2 were purchased from Santa Cruz Biotechnology, Inc. (cat no. sc722; Dallas, TX, USA). GAPDH and Lamin B were purchased from Cell Signaling Technology, Inc. (cat nos. 5174 and 13435), and secondary antibodies were purchased from Santa Cruz Biotechnology, Inc. (cat no. sc2357). All other chemicals were obtained from commercial sources and were of the highest grade available.

Induction of diabetes

Experimental diabetes was induced in the animals by a single intraperitoneal administration of STZ dissolved in 0.1 mol/l citrate buffer (pH 4.5) at a dose of 65 mg/kg. Normal rats received an equal volume of citrate buffer. Three days post-STZ injection, tail vein blood samples were collected and glucose levels were measured with a Onetouch glucometer (Johnson & Johnson, New Brunswick, NJ, USA). The rats were considered diabetic and used for the study only if their glucose levels were >15 mmol/l (15). Rats were maintained for 8 weeks after vehicle or STZ injection.

Surgical preparation

Animals were intraperitoneally anesthetized with pentobarbital sodium (50 mg/kg) (16) followed by a tracheotomy and artificial ventilation. Blood pressure was recorded from the left femoral artery using a pressure transducer with the heart rate monitored by an electrocardiogram throughout the procedure. The left femoral vein was cannulated for administration of drugs. A fourth-intercostal space thoracotomy was performed and the pericardium was excised to expose the heart. The left anterior descending coronary artery (LAD) was ligated 2 mm above the left auricle by a 6–0 silk suture. A small polypropylene tube was placed between the ligature and the LAD. The artery was occluded for 30 min by tightening the ligature. After ischemia for 30 min, the ligature was loosened to allow reperfusion for 2 h. The sham group underwent the same surgical procedures, apart from tying the 6–0 silk suture. After 2 h of reperfusion, the rats were sacrificed, and renal tissues and blood samples were obtained for further analysis.

Experimental protocol

Rats were randomly assigned into one of four experimental groups (n=8 per group) as follows: i) Sham-operated group (sham group), non-diabetic rats that underwent isolation of the LAD without occlusion as a control; ii) MIR group, non-diabetic rats subjected to 30 min of myocardial ischemia and 2 h of reperfusion after the LAD had been isolated and occluded (sham + MIR group); iii) diabetic rats that underwent isolation of the LAD without occlusion (diabetic group); iv) diabetic rats subjected to 30 min of myocardial ischemia and 2 h of reperfusion after the LAD had been isolated and occluded (diabetic + MIR group).

Measurement of serum glycosylated hemoglobin (HbA1c), creatine kinase isoenzyme MB (CK-MB) and lactate dehydrogenase (LDH) levels

Blood samples were collected at the end of reperfusion and centrifuged at 1,000 × g for 10 min at 4°C. Serum was separated and stored at −20°C. HbA1c was measured using an Olympus automatic analyzer (cat no. AU5400; Olympus Corporation, Tokyo, Japan). CK-MB and LDH levels were measured using commercial kits (cat nos. 01010605082 and 01010113477; Beijing Kemeidongya Biotechnology Ltd., Beijing, China) according to the manufacturer's instructions.

Renal histopathological assessment

The left kidney was cut into sections and fixed in 4% formaldehyde. After embedding in paraffin, 4-µm sections were stained with hematoxylin at 37°C for 3 min and eosin at 37°C for 10 sec for light microscopy (original magnification, ×200; Olympus BX50; Olympus Corporation).

Histological assessment of tubular necrosis was semi-quantitatively determined using a method modified from McWhinnie et al (17) using the following scoring system: 0, normal histology; 1, tubular cell swelling, brush border loss and nuclear condensation, with up to one-third of the tubular profile exhibiting nuclear loss; 2, same as for score 1, but more than one-third and less than two-thirds of the tubular profile displaying nuclear loss; and 3, same as for score 1, but more than two-thirds of the tubular profile exhibiting nuclear loss.

Measurement of serum cystatin C (Cys C) and β2-microglobulin (β2-MG) levels

Blood samples were collected at the end of reperfusion and centrifuged at 3,000 rpm, for 10 min at 4°C. Serum was separated and stored at −20°C. Cys C and β2-MG levels were measured using ELISA assay kits (cat nos. E-EL-R783 and E-EL-R1085c; Elabscience Biotechnology Co., Ltd., Wuhan, China) according to the manufacturer's instructions.

Assessment of total antioxidative capacity (T-AOC) and malondialdehyde (MDA) in renal tissues

The renal tissues were harvested and immediately homogenized on ice in 5 volumes of normal saline. The homogenates were centrifuged at 1,200 × g for 10 min. The T-AOC and MDA levels in the supernatant were measured using T-AOC and MDA assay kits (cat nos. A015-2 and a003-2; Nanjing Jiancheng Bioengineering Institute, Nanjing, China) according to the manufacturer's instructions.

Immunohistochemical assessment of renal DJ-1 and Nrf2

Paraffin-embedded renal sections were stained using the streptavidin-biotin complex (streptavidin peroxidase, SP) immunohistochemistry technique for DJ-1 and Nrf2 detection using SP immunohistochemistry kits (cat no. I003-2; Nanjing Jiancheng Bioengineering Institute) according to the manufacturer's protocol. Brown staining in the cytoplasm and/or nucleus was considered an indicator of positive expression. The results were semi-quantitatively evaluated with Image-Pro® Plus version 6.0 software (Media Cybernetics, Rockville, MD, USA) according to optical density values of positive staining.

Western blot analysis

Cytoplasmic and nuclear proteins were extracted from frozen renal tissues with a nuclear extraction kit (cat no. P0027; Beyotime Institute of Biotechnology, Haimen, China) according to the manufacturer's instructions. GAPDH was used as internal control of cytoplasmic protein and Lamin B was used as an internal control of nuclear protein. A BCA protein assay kit was used to determine the protein concentration (cat no. P0012S; Beyotime Institute of Biotechnology). Equal amounts of protein (30 µg) were separated by 12% SDS-PAGE at 100 V for 3 h. After electrophoresis, proteins were transferred onto polyvinylidene difluoride membranes at 200 mA for 2 h. The transferred membranes were incubated overnight at 4°C with rabbit anti-mouse polyclonal antibodies for DJ-1 and Nrf2 (each at 1:800 dilution) in Tris-buffered saline containing Tween-20 (TBS-T) containing 5% skimmed milk. After washing three times in TBS-T, membranes were incubated with anti-rabbit immunoglobulin G conjugated to horseradish peroxidase at a dilution of 1:2,000 in TBS-T containing 5% skimmed milk for 2 h at room temperature. The immunoreactive bands were visualized by enhanced chemiluminescence (PerkinElmer, Inc., Waltham, MA, USA) and captured on X-ray film. The optical density of the bands was measured with a BandScan V4.0 imaging analysis system (http://bandscan.software.informer.com/).

Statistical analysis

Mean ± standard error of the mean values were calculated to summarize all outcome measurements. Statistical analysis was performed using GraphPad Prism software version 5.0 (GraphPad Software, Inc., La Jolla, CA, USA). The statistical significance of the differences between groups was evaluated using unpaired Student's t-tests for pair-wise comparisons, or a two-way analysis of variance followed by the Tukey post hoc test for multiple comparisons. The level of significance was set at P<0.05 for all statistical tests.

Results

Body weight, kidney weight, fasting blood glucose and glycosylated hemoglobin (HbA1c) content

At the end of the study, the body weight of diabetic rats was significantly decreased as compared with that of normal rats. The change of kidney weight was not obvious in diabetic rats during the experimental period. The ratio of kidney weight to body weight in diabetic rats was significantly increased as compared to that in the normal rats. A significant increase in fasting blood glucose in diabetic rats was observed when compared with that in the control group. HbA1c was markedly higher in diabetic rats than that in normal rats (Table I).

Table I.

Effects of different time on body weight, kidney weight, fasting blood glucose and HbA1c levels in rats.

Table I.

Effects of different time on body weight, kidney weight, fasting blood glucose and HbA1c levels in rats.

ParameterShamSham + MIRDiabeticDiabetes + MIR
Body weight (g) 275.77±12.02 262.83±14.82 179.78±14.52a,b 176.93±12.77a,b
Kidney weight (g) 1.03±0.05 0.95±0.13 1.01±0.12 1.03±0.87
Kidney/body
weight ratio (×10−3) 3.72±0.13 3.78±0.82 5.64±0.82a,b 5.32±0.64a,b
Glucose (mg/dl) 7.69±0.84 8.65±1.59 25.88±2.52a 26.15±1.52a
HbA1c (%) 4.67±0.72 4.66±0.26 13.68±2.98a 12.74±1.58a

{ label (or @symbol) needed for fn[@id='tfn1-etm-0-0-5095'] } Values are expressed as the mean ± standard error of the mean (n=8 per group).

a P<0.05 vs. sham group.

b P<0.05 vs. sham + MIR group. Hb, hemoglobin; MIR, myocardial ischemia/reperfusion.

Serum CK-MB and LDH levels

To examine damage of cardiomyocytes induced by MIR, the activities of the cardiac enzyme CK-MB and LDH as indices of myocardial cellular injury were measured at the end of reperfusion in the different groups. Compared with the sham group, MIR caused a significant increase in LDH and CK-MB in the sham + MIR group, as did the diabetic condition, but to a significantly lesser extent (P<0.05). The damage evoked by MIR was further enhanced in the diabetes + MIR group (P<0.05 vs. all other groups; Fig. 1).

Figure 1.

Serum CK-MB and LDH levels in the different treatment groups. Values are expressed as the mean ± standard error of the mean (n=8). *P<0.05 vs. sham group, #P<0.05 vs. sham + MIR group, &P<0.05 vs. diabetic group. LDH, lactate dehydrogenase; CK-MB, creatine kinase isoenzyme MB; MIR, myocardial ischemia/reperfusion.

Renal histopathology

As presented in Fig. 2, the renal tubules exhibited pathological changes, including edema, necrosis and vacuolization in the sham + MIR and diabetic groups. A significant aggravation of histological edema, necrosis and vacuolization was seen in the diabetes + MIR group.

Figure 2.

Renal histological evaluation in the various treatment groups (hematoxylin and eosin staining; magnification, ×200). Values are expressed as the mean ± standard deviation (n=8 per group). *P<0.05 vs. sham group, #P<0.05 vs. sham + MIR group, &P<0.05 vs. diabetic group. MIR, myocardial ischemia/reperfusion.

When compared with the renal histological evaluation score of kidneys obtained from normal rats, the sham + MIR and the diabetic groups exhibited in a significant increase in renal histologic evaluation score individually (P<0.05). This increase was significantly enhanced in the diabetes + MIR group (P<0.05 vs. all other groups).

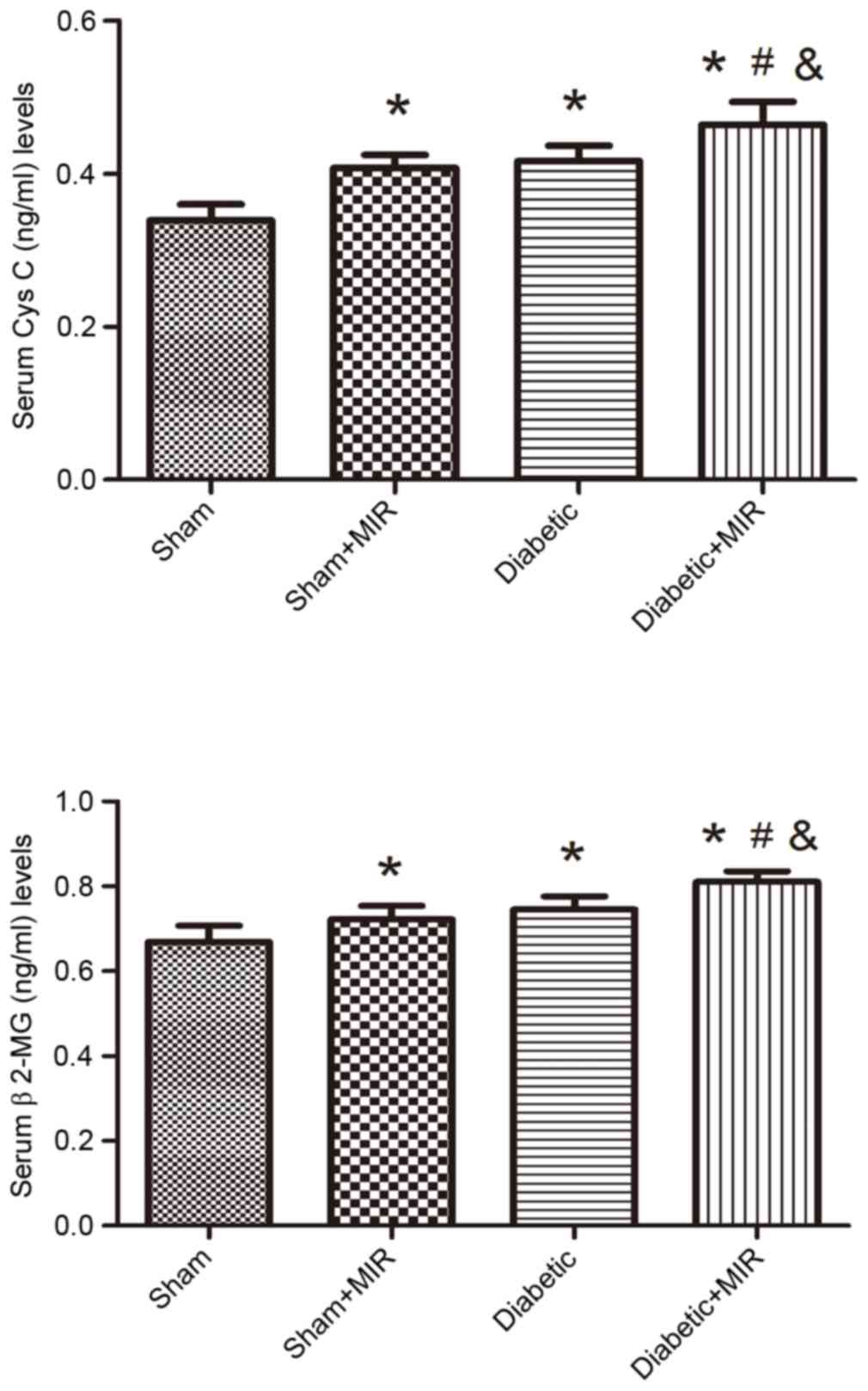
Serum Cys C and β2-MG levels

Serum Cys C and β2-MG levels were measured to evaluate the renal injury induced by MIR in diabetic rats. MIR and diabetes individually significantly increased serum Cys C and β2-MG levels in comparison with those in the sham group, which was further aggravated in the diabetes + MIR group (P<0.05; Fig. 3).

Figure 3.

Serum Cys C and β2-MG levels in the different treatment groups. Values are expressed as the mean ± standard error of the mean (n=8). *P<0.05 vs. sham group, #P<0.05 vs. sham + MIR group, &P<0.05 vs. diabetic group. Cys C, cystatin C; β2-MG, β2-microglobulin; MIR, myocardial ischemia/reperfusion.

T-AOC and MDA levels in renal tissues

As presented in Fig. 4, MIR and the diabetic condition significantly decreased the T-AOC and significantly increased MDA levels in rats, compared with those in the sham group, and these changes were significantly aggravated in the diabetes + MIR group (P<0.05).

Figure 4.

T-AOC and MDA levels in renal tissues of the different treatment groups. Values are expressed as the mean ± standard error of the mean (n=8). *P<0.05 vs. sham group, #P<0.05 vs. sham + MIR group, &P<0.05 vs. diabetic group. MIR, myocardial ischemia/reperfusion; MDA, malondialdehyde; T-AOC, total antioxidative capacity.

DJ-1 and Nrf2 expression in renal tissues

Immunohistochemical analysis of the expression of DJ-1 in the sham group revealed small brown granules in the cytoplasm, while significant expression of DJ-1, as indicated by brown staining in the cytoplasm, was observed in the diabetes + MIR group (P<0.05 vs. sham group; Fig. 5). No significant difference was observed between Sham + MIR and Diabetic groups (Fig. 5).

Figure 5.

Expression of DJ-1 in renal tissues assessed by immunohistochemistry (streptavidin peroxidase staining; magnification, ×400). Values are expressed as the mean ± standard error of the mean (n=8). *P<0.05 vs. sham group, #P<0.05 vs. sham + MIR group, &P<0.05 vs. diabetic group. MIR, myocardial ischemia/reperfusion; IOD, integrated optical density.

The expression of Nrf2 in the sham group displayed as light brown immunostaining in the cytoplasm and no staining in the nuclei. Significant expression of Nrf2, as indicated by strong brown staining in the cytoplasm and nuclei, was observed in the diabetes + MIR group (P<0.05; Fig. 6). No significant difference was observed between Sham + MIR and Diabetic groups (Fig. 6).

Figure 6.

Expression of Nrf2 in renal tissues assessed by immunohistochemistry (streptavidin peroxidase staining; magnification, ×400). Values are expressed as the mean ± standard error of the mean (n=8). *P<0.05 vs. sham group, #P<0.05 vs. sham + MIR group, &P<0.05 vs. diabetic group. MIR, myocardial ischemia/reperfusion; IOD, integrated optical density; Nrf2, nuclear factor erythroid 2-related factor 2.

In line with these results, western blot analysis revealed weak expression of DJ-1 and Nrf2 in the kidneys of animals of the sham group. By contrast, significant increases in the protein expression of Nrf2 and DJ-1 were found in the diabetes + MIR group (P<0.05; Fig. 7). No significant difference was observed in Nrf2 expression between Sham + MIR and Diabetic groups (Fig. 7); however, the expression of DJ-1 was significantly higher in the diabetic group compared with the Sham + MIR group (P<0.05; Fig. 7).

Figure 7.

Expression of DJ-1 and Nrf2 in renal tissues assessed by western blot analysis. Values are expressed as the mean ± standard error of the mean (n=6). *P<0.05 vs. sham group, #P<0.05 vs. sham + MIR group, &P<0.05 vs. diabetic group. MIR, myocardial ischemia/reperfusion; Nrf2, nuclear factor erythroid 2-related factor 2.

Discussion

Previous studies have revealed that acute myocardial infarction with AKI was strongly associated with long-term mortality, which has been increasing worldwide. However, at present, no effective strategy is available to halt the acute worsening of renal function in patients with decompensated heart failure or those undergoing cardiac surgery, where even a small change in renal function was associated with increased mortality (18). Furthermore, diabetes mellitus, one of the most common complications of patients undergoing cardiac surgery and one of the major causes of nephropathy, was found to be an independent predictor of AKI (19). Great progress has been made through the identification of Cys C and β2-MG as diagnostic markers for kidney injury, even in the absence of a subsequent manifestation of kidney dysfunction (20). In the present study, the damage of cardiomyocytes induced by MIR was further enhanced in the diabetes + MIR group, as indicated by the increase of the cardiac enzyme CK-MB and LDH as indices of myocardial cell injury. In line with this, the increase in Cys C and β2-MG levels induced by MIR was more pronounced in diabetic rats. In addition, the kidneys of diabetic MIR rats exhibited glomerular hypertrophy and renal tubular edema on histological analysis, and the renal histological evaluation score was also increased. All of these results demonstrated that the MIR-induced renal injury model presenting with renal hypertrophy, renal tubular and glomerular damage was successfully created, and that these pathologies were aggravated in diabetic rats.

The mechanism underlying the renal injury during MIR is thought to be multifactorial in origin, and associated with hypoperfusion, loss of pulsatile perfusion, hemolysis and a systemic inflammatory response. These factors may increase ROS (21). Oxidative stress is becoming increasingly recognized as an important causative factor of renal damage induced by MIR (3,4). Diabetes may decrease the AOC and increase oxidative stress, which induces the generation of ROS and aggravates renal injury after cardiac surgery (22). T-AOC is an important marker of oxidation, which mainly reflects non-enzymatic but includes the activity of a minority of small molecular enzymatic systems (23). MDA is a naturally occurring product of lipid peroxidation and prostaglandin biosynthesis that is mutagenic and carcinogenic (24). The results of the present study demonstrated an increase of MDA levels and a decrease of T-AOC levels in renal tissues following MIR. Oxidative stress was aggravated in diabetic rats. These findings demonstrated that a decreased anti-oxidant activity already existed in renal injury induced by MIR and that the anti-oxidant capacity was further weakened in diabetic rats.

Activation of DJ-1/Nrf2 has been established to have an important protective role in oxidative stress (25,26). In addition, a previous study by our group has found that the renoprotective effects in diabetic rats may be enhanced by activation of Nrf2 (12). Disruption of DJ-1 decreased Nrf2 protein stability, whereas overexpression of DJ-1 restored protein stability by decreasing ubiquitination of Nrf2. DJ-1 protein was found to be required for the stabilization of Nrf2 and cell survival by a variety of substrates (26). The results of the present study demonstrated a significant increase in the expression of DJ-1 and Nrf2 in the kidneys of rats following MIR. In diabetic rats, the expression of DJ-1 and Nrf2 was further increased. All of the above indicated that the DJ-1/Nrf2 signaling pathway has an important role in AKI induced by MIR in diabetic rats.

In conclusion, the present study indicated that MIR-induced renal dysfunction was exacerbated under diabetic conditions and involved upregulation of the DJ-1/Nrf2 signaling pathway. This may provide a novel therapeutic strategy for the treatment of complications of cardiac surgery in diabetic patients.

Acknowledgements

The present study was supported by the National Natural Science Foundation of China (grant no. 81501648).

References

1 

Gallagher SM, Jones DA, Kapur A, Wragg A, Harwood SM, Mathur R, Archbold RA, Uppal R and Yaqoob MM: Remote ischemic preconditioning has a neutral effect on the incidence of kidney injury after coronary artery bypass graft surgery. Kidney Int. 87:473–481. 2015. View Article : Google Scholar : PubMed/NCBI

2 

Choi YS, Shim JK, Kim JC, Kang KS, Seo YH, Ahn KR and Kwak YL: Effect of remote ischemic preconditioning on renal dysfunction after complex valvular heart surgery: A randomized controlled trial. J Thorac Cardiovasc Surg. 142:148–154. 2011. View Article : Google Scholar : PubMed/NCBI

3 

Parlakpinar H, Ozer MK, Cicek E, Cigremis Y, Vardi N and Acet A: Renal damage in rats induced by myocardial ischemia/reperfusion: Role of nitric oxide. Int J Urol. 13:1327–1332. 2006. View Article : Google Scholar : PubMed/NCBI

4 

Ozer MK, Parlakpinar H, Vardi N, Cigremis Y, Ucar M and Acet A: Myocardial ischemia/reperfusion-induced oxidative renal damage in rats: Protection by caffeic acid phenethyl ester (CAPE). Shock. 24:97–100. 2005. View Article : Google Scholar : PubMed/NCBI

5 

Chen TH, Liao FT, Yang YC and Wang JJ: Inhibition of inducible nitric oxide synthase ameliorates myocardial ischemia/reperfusion injury-induced acute renal injury. Transplant Proc. 46:1123–1126. 2014. View Article : Google Scholar : PubMed/NCBI

6 

Yi Q, Li K, Jian Z, Xiao YB, Chen L, Zhang Y and Ma RY: Risk factors for acute kidney injury after cardiovascular surgery: Evidence from 2,157 cases and 49,777 controls-a meta-analysis. Cardiorenal Med. 6:237–250. 2016. View Article : Google Scholar : PubMed/NCBI

7 

Hertzberg D, Sartipy U and Holzmann MJ: Type 1 and type 2 diabetes mellitus and risk of acute kidney injury after coronary artery bypass grafting. Am Heart J. 170:895–902. 2015. View Article : Google Scholar : PubMed/NCBI

8 

Mendez CE, Der Mesropian PJ, Mathew RO and Slawski B: Hyperglycemia and acute kidney injury during the perioperative period. Curr Diab Rep. 16:102016. View Article : Google Scholar : PubMed/NCBI

9 

Fiaccadori E, Sabatino A, Morabito S, Bozzoli L, Donadio C, Maggiore U and Regolisti G: Hyper/hypoglycemia and acute kidney injury in critically ill patients. Clin Nutr. 35:317–321. 2016. View Article : Google Scholar : PubMed/NCBI

10 

Cao A, Wang L, Chen X, Guo H, Chu S, Zhang X and Peng W: Ursodeoxycholic acid ameliorated diabetic nephropathy by attenuating hyperglycemia-mediated oxidative stress. Biol Pharm Bull. 39:1300–1308. 2016. View Article : Google Scholar : PubMed/NCBI

11 

Wang JY, Yang JH, Xu J, Jia JY, Zhang XR, Yue XD, Chen LM, Shan CY, Zheng MY, Han F, et al: Renal tubular damage may contribute more to acute hyperglycemia induced kidney injury in non-diabetic conscious rats. J Diabetes Complications. 29:621–628. 2015. View Article : Google Scholar : PubMed/NCBI

12 

Sun Q, Shen ZY, Meng QT, Liu HZ, Duan WN and Xia ZY: The role of DJ-1/Nrf2 pathway in the pathogenesis of diabetic nephropathy in rats. Ren Fail. 38:294–304. 2016. View Article : Google Scholar : PubMed/NCBI

13 

Liu M, Zhou B, Xia ZY, Zhao B, Lei SQ, Yang QJ, Xue R, Leng Y, Xu JJ and Xia Z: Hyperglycemia-induced inhibition of DJ-1 expression compromised the effectiveness of ischemic postconditioning cardioprotection in rats. Oxid Med Cell Longev. 2013:5649022013. View Article : Google Scholar : PubMed/NCBI

14 

Milani P, Ambrosi G, Gammoh O, Blandini F and Cereda C: SOD1 and DJ-1 converge at Nrf2 pathway: A clue for antioxidant therapeutic potential in neurodegeneration. Oxid Med Cell Longev. 2013:8367602013. View Article : Google Scholar : PubMed/NCBI

15 

Xia Z, Kuo KH, Nagareddy PR, Wang F, Guo Z, Guo T, Jiang J and McNeill JH: N-acetylcysteine attenuates PKCbeta2 overexpression and myocardial hypertrophy in streptozotocin-induced diabetic rats. Cardiovasc Res. 73:770–782. 2007. View Article : Google Scholar : PubMed/NCBI

16 

Yang J, Yang J, Ding JW, Chen LH, Wang YL, Li S and Wu H: Sequential expression of TLR4 and its effects on the myocardium of rats with myocardial ischemia-reperfusion injury. Inflammation. 31:304–312. 2008. View Article : Google Scholar : PubMed/NCBI

17 

McWhinnie DL, Thompson JF, Taylor HM, Chapman JR, Bolton EM, Carter NP, Wood RF and Morris PJ: Morphometric analysis of cellular infiltration assessed by monoclonal antibody labeling in sequential human renal allograft biopsies. Transplantation. 42:352–358. 1986. View Article : Google Scholar : PubMed/NCBI

18 

Duan SY, Xing CY, Zhang B and Chen Y: Detection and evaluation of renal biomarkers in a swine model of acute myocardial infarction and reperfusion. Int J Clin Exp Pathol. 8:8336–8347. 2015.PubMed/NCBI

19 

Song Y, Yu Q, Zhang J, Huang W, Liu Y, Pei H, Liu J, Sun L, Yang L, Li C, et al: Increased myocardial ischemia-reperfusion injury in renal failure involves cardiac adiponectin signal deficiency. Am J Physiol Endocrinol Metab. 306:E1055–E1064. 2014. View Article : Google Scholar : PubMed/NCBI

20 

O'Neal JB, Shaw AD and Billings FT IV: Acute kidney injury following cardiac surgery: Current understanding and future directions. Crit Care. 20:1872016. View Article : Google Scholar : PubMed/NCBI

21 

Zimmerman RF, Ezeanuna PU, Kane JC, Cleland CD, Kempananjappa TJ, Lucas FL and Kramer RS: Ischemic preconditioning at a remote site prevents acute kidney injury in patients following cardiac surgery. Kidney Int. 80:861–867. 2011. View Article : Google Scholar : PubMed/NCBI

22 

Bellomo R, Auriemma S, Fabbri A, D'Onofrio A, Katz N, McCullough PA, Ricci Z, Shaw A and Ronco C: The pathophysiology of cardiac surgery-associated acute kidney injury (CSA-AKI). Int J Artif Organs. 31:166–178. 2008.PubMed/NCBI

23 

Chen Z, Wang D, Liu X, Pei W, Li J, Cao Y, Zhang J, An Y, Nie J and Tong J: Oxidative DNA damage is involved in cigarette smoke-induced lung injury in rats. Environ Health Prev Med. 20:318–324. 2015. View Article : Google Scholar : PubMed/NCBI

24 

Czerska M, Mikołajewska K, Zieliński M, Gromadzińska J and Wasowicz W: Today's oxidative stress markers. Med Pr. 66:393–405. 2015. View Article : Google Scholar : PubMed/NCBI

25 

Chan JY and Chan SH: Activation of endogenous antioxidants as a common therapeutic strategy against cancer, neurodegeneration and cardiovascular diseases: A lesson learnt from DJ-1. Pharmacol Ther. 156:69–74. 2015. View Article : Google Scholar : PubMed/NCBI

26 

Yan YF, Yang WJ, Xu Q, Chen HP, Huang XS, Qiu LY, Liao ZP and Huang QR: DJ-1 upregulates anti-oxidant enzymes and attenuates hypoxia/re-oxygenation-induced oxidative stress by activation of the nuclear factor erythroid 2-like 2 signaling pathway. Mol Med Rep. 12:4734–4742. 2015. View Article : Google Scholar : PubMed/NCBI

Related Articles

  • Abstract
  • View
  • Download
  • Twitter
Copy and paste a formatted citation
Spandidos Publications style
Sun Q, Shen ZY, Duan WN, Meng QT and Xia ZY: Mechanism of myocardial ischemia/reperfusion‑induced acute kidney injury through DJ‑1/Nrf2 pathway in diabetic rats. Exp Ther Med 14: 4201-4207, 2017.
APA
Sun, Q., Shen, Z., Duan, W., Meng, Q., & Xia, Z. (2017). Mechanism of myocardial ischemia/reperfusion‑induced acute kidney injury through DJ‑1/Nrf2 pathway in diabetic rats. Experimental and Therapeutic Medicine, 14, 4201-4207. https://doi.org/10.3892/etm.2017.5095
MLA
Sun, Q., Shen, Z., Duan, W., Meng, Q., Xia, Z."Mechanism of myocardial ischemia/reperfusion‑induced acute kidney injury through DJ‑1/Nrf2 pathway in diabetic rats". Experimental and Therapeutic Medicine 14.5 (2017): 4201-4207.
Chicago
Sun, Q., Shen, Z., Duan, W., Meng, Q., Xia, Z."Mechanism of myocardial ischemia/reperfusion‑induced acute kidney injury through DJ‑1/Nrf2 pathway in diabetic rats". Experimental and Therapeutic Medicine 14, no. 5 (2017): 4201-4207. https://doi.org/10.3892/etm.2017.5095
Copy and paste a formatted citation
x
Spandidos Publications style
Sun Q, Shen ZY, Duan WN, Meng QT and Xia ZY: Mechanism of myocardial ischemia/reperfusion‑induced acute kidney injury through DJ‑1/Nrf2 pathway in diabetic rats. Exp Ther Med 14: 4201-4207, 2017.
APA
Sun, Q., Shen, Z., Duan, W., Meng, Q., & Xia, Z. (2017). Mechanism of myocardial ischemia/reperfusion‑induced acute kidney injury through DJ‑1/Nrf2 pathway in diabetic rats. Experimental and Therapeutic Medicine, 14, 4201-4207. https://doi.org/10.3892/etm.2017.5095
MLA
Sun, Q., Shen, Z., Duan, W., Meng, Q., Xia, Z."Mechanism of myocardial ischemia/reperfusion‑induced acute kidney injury through DJ‑1/Nrf2 pathway in diabetic rats". Experimental and Therapeutic Medicine 14.5 (2017): 4201-4207.
Chicago
Sun, Q., Shen, Z., Duan, W., Meng, Q., Xia, Z."Mechanism of myocardial ischemia/reperfusion‑induced acute kidney injury through DJ‑1/Nrf2 pathway in diabetic rats". Experimental and Therapeutic Medicine 14, no. 5 (2017): 4201-4207. https://doi.org/10.3892/etm.2017.5095
Follow us
  • Twitter
  • LinkedIn
  • Facebook
About
  • Spandidos Publications
  • Careers
  • Cookie Policy
  • Privacy Policy
How can we help?
  • Help
  • Live Chat
  • Contact
  • Email to our Support Team