Spandidos Publications Logo
  • About
    • About Spandidos
    • Aims and Scopes
    • Abstracting and Indexing
    • Editorial Policies
    • Reprints and Permissions
    • Job Opportunities
    • Terms and Conditions
    • Contact
  • Journals
    • All Journals
    • Oncology Letters
      • Oncology Letters
      • Information for Authors
      • Editorial Policies
      • Editorial Board
      • Aims and Scope
      • Abstracting and Indexing
      • Bibliographic Information
      • Archive
    • International Journal of Oncology
      • International Journal of Oncology
      • Information for Authors
      • Editorial Policies
      • Editorial Board
      • Aims and Scope
      • Abstracting and Indexing
      • Bibliographic Information
      • Archive
    • Molecular and Clinical Oncology
      • Molecular and Clinical Oncology
      • Information for Authors
      • Editorial Policies
      • Editorial Board
      • Aims and Scope
      • Abstracting and Indexing
      • Bibliographic Information
      • Archive
    • Experimental and Therapeutic Medicine
      • Experimental and Therapeutic Medicine
      • Information for Authors
      • Editorial Policies
      • Editorial Board
      • Aims and Scope
      • Abstracting and Indexing
      • Bibliographic Information
      • Archive
    • International Journal of Molecular Medicine
      • International Journal of Molecular Medicine
      • Information for Authors
      • Editorial Policies
      • Editorial Board
      • Aims and Scope
      • Abstracting and Indexing
      • Bibliographic Information
      • Archive
    • Biomedical Reports
      • Biomedical Reports
      • Information for Authors
      • Editorial Policies
      • Editorial Board
      • Aims and Scope
      • Abstracting and Indexing
      • Bibliographic Information
      • Archive
    • Oncology Reports
      • Oncology Reports
      • Information for Authors
      • Editorial Policies
      • Editorial Board
      • Aims and Scope
      • Abstracting and Indexing
      • Bibliographic Information
      • Archive
    • Molecular Medicine Reports
      • Molecular Medicine Reports
      • Information for Authors
      • Editorial Policies
      • Editorial Board
      • Aims and Scope
      • Abstracting and Indexing
      • Bibliographic Information
      • Archive
    • World Academy of Sciences Journal
      • World Academy of Sciences Journal
      • Information for Authors
      • Editorial Policies
      • Editorial Board
      • Aims and Scope
      • Abstracting and Indexing
      • Bibliographic Information
      • Archive
    • International Journal of Functional Nutrition
      • International Journal of Functional Nutrition
      • Information for Authors
      • Editorial Policies
      • Editorial Board
      • Aims and Scope
      • Abstracting and Indexing
      • Bibliographic Information
      • Archive
    • International Journal of Epigenetics
      • International Journal of Epigenetics
      • Information for Authors
      • Editorial Policies
      • Editorial Board
      • Aims and Scope
      • Abstracting and Indexing
      • Bibliographic Information
      • Archive
    • Medicine International
      • Medicine International
      • Information for Authors
      • Editorial Policies
      • Editorial Board
      • Aims and Scope
      • Abstracting and Indexing
      • Bibliographic Information
      • Archive
  • Articles
  • Information
    • Information for Authors
    • Information for Reviewers
    • Information for Librarians
    • Information for Advertisers
    • Conferences
  • Language Editing
Spandidos Publications Logo
  • About
    • About Spandidos
    • Aims and Scopes
    • Abstracting and Indexing
    • Editorial Policies
    • Reprints and Permissions
    • Job Opportunities
    • Terms and Conditions
    • Contact
  • Journals
    • All Journals
    • Biomedical Reports
      • Information for Authors
      • Editorial Policies
      • Editorial Board
      • Aims and Scope
      • Abstracting and Indexing
      • Bibliographic Information
      • Archive
    • Experimental and Therapeutic Medicine
      • Information for Authors
      • Editorial Policies
      • Editorial Board
      • Aims and Scope
      • Abstracting and Indexing
      • Bibliographic Information
      • Archive
    • International Journal of Epigenetics
      • Information for Authors
      • Editorial Policies
      • Editorial Board
      • Aims and Scope
      • Abstracting and Indexing
      • Bibliographic Information
      • Archive
    • International Journal of Functional Nutrition
      • Information for Authors
      • Editorial Policies
      • Editorial Board
      • Aims and Scope
      • Abstracting and Indexing
      • Bibliographic Information
      • Archive
    • International Journal of Molecular Medicine
      • Information for Authors
      • Editorial Policies
      • Editorial Board
      • Aims and Scope
      • Abstracting and Indexing
      • Bibliographic Information
      • Archive
    • International Journal of Oncology
      • Information for Authors
      • Editorial Policies
      • Editorial Board
      • Aims and Scope
      • Abstracting and Indexing
      • Bibliographic Information
      • Archive
    • Medicine International
      • Information for Authors
      • Editorial Policies
      • Editorial Board
      • Aims and Scope
      • Abstracting and Indexing
      • Bibliographic Information
      • Archive
    • Molecular and Clinical Oncology
      • Information for Authors
      • Editorial Policies
      • Editorial Board
      • Aims and Scope
      • Abstracting and Indexing
      • Bibliographic Information
      • Archive
    • Molecular Medicine Reports
      • Information for Authors
      • Editorial Policies
      • Editorial Board
      • Aims and Scope
      • Abstracting and Indexing
      • Bibliographic Information
      • Archive
    • Oncology Letters
      • Information for Authors
      • Editorial Policies
      • Editorial Board
      • Aims and Scope
      • Abstracting and Indexing
      • Bibliographic Information
      • Archive
    • Oncology Reports
      • Information for Authors
      • Editorial Policies
      • Editorial Board
      • Aims and Scope
      • Abstracting and Indexing
      • Bibliographic Information
      • Archive
    • World Academy of Sciences Journal
      • Information for Authors
      • Editorial Policies
      • Editorial Board
      • Aims and Scope
      • Abstracting and Indexing
      • Bibliographic Information
      • Archive
  • Articles
  • Information
    • For Authors
    • For Reviewers
    • For Librarians
    • For Advertisers
    • Conferences
  • Language Editing
Login Register Submit
  • This site uses cookies
  • You can change your cookie settings at any time by following the instructions in our Cookie Policy. To find out more, you may read our Privacy Policy.

    I agree
Search articles by DOI, keyword, author or affiliation
Search
Advanced Search
presentation
Experimental and Therapeutic Medicine
Join Editorial Board Propose a Special Issue
Print ISSN: 1792-0981 Online ISSN: 1792-1015
Journal Cover
March-2019 Volume 17 Issue 3

Full Size Image

Sign up for eToc alerts
Recommend to Library

Journals

International Journal of Molecular Medicine

International Journal of Molecular Medicine

International Journal of Molecular Medicine is an international journal devoted to molecular mechanisms of human disease.

International Journal of Oncology

International Journal of Oncology

International Journal of Oncology is an international journal devoted to oncology research and cancer treatment.

Molecular Medicine Reports

Molecular Medicine Reports

Covers molecular medicine topics such as pharmacology, pathology, genetics, neuroscience, infectious diseases, molecular cardiology, and molecular surgery.

Oncology Reports

Oncology Reports

Oncology Reports is an international journal devoted to fundamental and applied research in Oncology.

Experimental and Therapeutic Medicine

Experimental and Therapeutic Medicine

Experimental and Therapeutic Medicine is an international journal devoted to laboratory and clinical medicine.

Oncology Letters

Oncology Letters

Oncology Letters is an international journal devoted to Experimental and Clinical Oncology.

Biomedical Reports

Biomedical Reports

Explores a wide range of biological and medical fields, including pharmacology, genetics, microbiology, neuroscience, and molecular cardiology.

Molecular and Clinical Oncology

Molecular and Clinical Oncology

International journal addressing all aspects of oncology research, from tumorigenesis and oncogenes to chemotherapy and metastasis.

World Academy of Sciences Journal

World Academy of Sciences Journal

Multidisciplinary open-access journal spanning biochemistry, genetics, neuroscience, environmental health, and synthetic biology.

International Journal of Functional Nutrition

International Journal of Functional Nutrition

Open-access journal combining biochemistry, pharmacology, immunology, and genetics to advance health through functional nutrition.

International Journal of Epigenetics

International Journal of Epigenetics

Publishes open-access research on using epigenetics to advance understanding and treatment of human disease.

Medicine International

Medicine International

An International Open Access Journal Devoted to General Medicine.

Journal Cover
March-2019 Volume 17 Issue 3

Full Size Image

Sign up for eToc alerts
Recommend to Library

  • Article
  • Citations
    • Cite This Article
    • Download Citation
    • Create Citation Alert
    • Remove Citation Alert
    • Cited By
  • Similar Articles
    • Related Articles (in Spandidos Publications)
    • Similar Articles (Google Scholar)
    • Similar Articles (PubMed)
  • Download PDF
  • Download XML
  • View XML
Article Open Access

The effects of simvastatin preconditioning on the expression of caspase-3 after myocardial ischemia reperfusion injury in rats

  • Authors:
    • Weixin Sun
    • Renyou Pan
    • Jun Song
    • Honglin Sun
  • View Affiliations / Copyright

    Affiliations: Department of Cardiology, Yancheng TCM Hospital Affiliated to Nanjing University of Chinese Medicine, Yancheng, Jiangsu 224000, P.R. China, Department of Pharmacy, Yancheng TCM Hospital Affiliated to Nanjing University of Chinese Medicine, Yancheng, Jiangsu 224000, P.R. China
    Copyright: © Sun et al. This is an open access article distributed under the terms of Creative Commons Attribution License.
  • Pages: 2230-2234
    |
    Published online on: January 9, 2019
       https://doi.org/10.3892/etm.2019.7164
  • Expand metrics +
Metrics: Total Views: 0 (Spandidos Publications: | PMC Statistics: )
Metrics: Total PDF Downloads: 0 (Spandidos Publications: | PMC Statistics: )
Cited By (CrossRef): 0 citations Loading Articles...

This article is mentioned in:



Abstract

Effect of simvastatin on the expression of caspase-3 in myocardial ischemia reperfusion injury in rats was observed to explore the protective effect of caspase-3 through anti-apoptosis mechanism. A total of 48 healthy male SD rats weighing 160-240 g were selected and divided into 4 groups randomly, namely, the blank group, the sham operation group, the ischemia-reperfusion group and the simvastatin group, with 12 rats in each group. The model of SD rats was made by ligation. The loosen ligature made the reperfusion animal model, the occurrence of arrhythmia in the electrocardiogram of lead II in the experimental animal model was observed, and the area of myocardial infarction in the experimental animal models was detected. The number of apoptotic cells was detected by immunohistochemistry, and the expression of caspase-3 was detected by western blotting. The infarct area in the simvastatin group was significantly lower than the ischemia reperfusion group (P<0.05). The positive rate of the expression of caspase-3 and the positive rate of the expression of apoptotic cells in the ischemic reperfusion and simvastatin groups were significantly higher than that of the blank and sham operation groups, and the positive rate of the expression of caspase-3 and apoptotic cells in the simvastatin group was significantly lower than that of the ischemia-reperfusion group (P<0.05). The arrhythmia score of the simvastatin group was significantly lower than that of the ischemia-reperfusion group (P<0.05). Compared with the blank and sham operation groups, the expression of caspase-3 protein in the ischemia-reperfusion and simvastatin groups was significantly increased, and the expression of caspase-3 protein in the simvastatin group was significantly lower than that of the ischemia reperfusion group (P<0.05). Simvastatin has a protective effect on myocardial ischemia-reperfusion injury, which may be related to the reduction of caspase-3 expression and inhibition of apoptosis.

Introduction

Statins are HMG-CoA reductase inhibitors. There are many statins in the market, such as simvastatin, lovastatin, pravastatin and simvastatin (1). It has been confirmed that statins can make HMG-CoA unable to convert to mevalonic acid which is a necessary substance for the synthesis of cholesterol, which eventually leads to the inhibition of cholesterol synthesis in the body (2). Furthermore, it has been found that after preconditioning with pravastatin, it can effectively inhibit apoptosis of renal ischemia reperfusion injury, and has a better effect on renal protection (3). Statins are also becoming increasingly prominent in the prevention and treatment of heart disease. Necrosis in the ischemic central region is the main manifestation of myocardial ischemia and reperfusion, and there will be obvious apoptosis in the semi-dark zone (4). In this study, an animal model of simvastatin preconditioning myocardial ischemia reperfusion injury is used to observe the effect of the expression of apoptosis inhibitor caspase-3.

Materials and methods

Animals and groups

A total of 48 healthy male SD rats aged 8 weeks and weighing 160–240 g were purchased from Laboratory Animal Center of Sichuan University (Chengdu, China), randomly numbered and divided into 4 groups, namely, the blank group, the sham operation group, the ischemia-reperfusion group and simvastatin group with 12 rats in each group. The feeding environment of the rats was of SPF grade. The ambient temperature was 22±1°C and the ambient humidity was 45±3%. The rats in each group could eat and drink freely according to the circadian rhythm.

The study was approved by the Ethics Committee of Yancheng TCM Hospital Affiliated to Nanjing University of Chinese Medicine (Yancheng, China). All the experimental operations involved in this experiment were carried out in accordance with the relevant provisions of the NIH guidelines for the use of laboratory animals.

Reagent consumables

Simvastatin was purchased from Shanghai Yanjing Biological Technology Co., Ltd. (Shanghai, China), nitro tetrazolium chloride (NBT) was purchased from Shanghai Haoran Bio Technologies Co., Ltd. (Shanghai, China), caspase-3 rabbit polyclonal antibody was purchased from Cell Signaling Technology, Inc. (Danvers, USA; cat. no. 9662), and SABC immunohistochemical staining kits were purchased from Shanghai S&S Bio & Tech Co., Ltd. (Shanghai, China; http://www.ssmotor-sh.com/), upgraded packing of one step TUNEL apoptosis in situ assay kits were purchased from Jiangsu Keygen Biotech Co., Ltd. (Jiangsu, China). ECL luminescent liquids was purchased from Cell Signaling Technology Inc.).

Administration

SD rats in the blank group were reared normally. Simvastatin was compounded into suspension state by using medical saline. The amount of 20 mg/kg was administered to SD rats at ten days before operation, once a day at the same time, the same volume of isosmotic saline was used for ten days in the sham operation and ischemia reperfusion groups, once a day at the same time.

Animal model of ischemia-reperfusion injury

According to the method provided by Hadi et al (5), ischemia reperfusion model was established. The 4 groups of SD rats were fasted for 12 h before the model was built. In addition to the blank group, all the SD rats in all the other groups were anesthetized with 10% concentration of chloral hydrate. The limbs of the SD rats were fixed on the operating table. The rat chests were disinfected by medical alcohol after hair removal, the trachea was cut by the surgical blade, using mechanical auxiliary ventilation and the chest was opened along the left edge of the sternum to expose the heart position of the rat. The ligation of the left anterior descending branch of the left coronary artery was covered with the gauze after the wetting of the saline. After half an hour, the ligature was cut through with surgical scissors to restore the blood flow to the reperfusion of the coronary artery. SD rats were sacrificed after 3 h making the model, and the damaged parts of the heart were selected. Formalin solution was used to fixing and paraffin-embedded section was carried out. Then the immunochemistry and TUNEL were performed. Only those with thread without ligation were the sham operation group, and no animals died during the ligation and reperfusion.

Detection of arrhythmia

Referring to the previous scoring methods for ventricular arrhythmias (VA) (6), the score of VE with no VA or <5 times is 0 points, and the score of VE with ≥5 times is 1 point. T at a time <60 sec is 2 points, VT at a time ≥60 sec or multiple accumulation <60 sec is 3 points, and multiple accumulation >60 sec is 4 points. VT occurrence is 5 points, VF occurrence continuously over 5 min or death during the observation period is 6 points.

Detection of myocardial infarction area

The left ventricle was sliced to a thickness of ~2 mm, 5 pieces in total, and put in a 0.25% NBT dyeing solution to stain at 37°C for 15 min. At the time of necrosis of the myocardium, gray white could be seen, while the non-necrotic myocardium was blue. The water was absorbed with clean absorbent paper, the necrotic area of the myocardium was slowly cut down and weighed. The weight of the necrotic region of the myocardium was recorded, and the proportion of the myocardial weight in the myocardial infarction area accounted for the weight of the left ventricle was calculated.

Immunohistochemical staining

Immunohistochemical examination was performed according to the manufacturers instructions. Paraffin-embedded treatment was carried out on myocardial tissue block (fixed with 4% polyformaldehyde at 4°C overnight), paraffin section dewaxing, hydration, PBS washing. After blocking for 15 min, 10% serum at room temperature was blocked in non-specific background for 15 min, anti-caspase-3 monoclonal antibody was added (dilution, 1:200; cat. no. 9662; Cell Signaling Technology, Inc.), and stored in a refrigerator at 4°C overnight. Rinsing by PBS after taking out the horseradish peroxidase (HRP) labeled secondary antibody (dilution, 1:5,000; cat. no. 3875; Cell Signaling Technology, Inc.) the biotin labeled secondary antibody was added, then incubated at room temperature for 30 min before rinsing. Streptomyces antibiotic protein peroxidase solution was incubated at room temperature for 30 min and then washed again. After DAB staining, rinsing, redying, sealing, and observing under an optical microscope (LSM880; Carl Zeiss AG with Airyscan, Oberkochen, Germany), the cytoplasm of caspase-3 positive cells were brownish or brown color.

Positive cell rate % = positive cells count/(positive cells count + negative cells count) ×100%.

Detection of apoptosis by TUNEL

Strictly referring to the operation procedure of one step TUNEL apoptosis in situ assay kits, the tissue block was rinsed with dimethylbenzene and gradient alcohol, and then rinsed and dried after incubating proteinase K at room temperature, and added 50 µl TUNEL liquid, rinsed after incubating in a dark wet box at room temperature for 1 hour, and the 50 µl converted-POD was added, and incubated for another 30 min. After washing, 100 µl DAB substrate was added and incubated for 10 min at room temperature and then rinsed, redyed and dehydrated. After rinsing with xylene, it was sealed and observed under the microscope. Under the optical microscope, it was found that there were brown granules in cytoplasm and nucleus, which was a positive expression. In the positive cell distribution area, 5 different visual fields were randomly selected. The average number was used as the quantitative standard of apoptosis, and the percentage of positive cells was calculated.

Detection of expression of caspase-3 by western blotting

The protein was extracted according to the steps in the tissue protein extraction instructions. The supernatant was taken as total protein after centrifugation at 12,000 × g for 10 min at 4°C. The protein was quantified by BCA protein quantitative kit (Pierce; Thermo Fisher Scientific, Inc., Waltham, MA, USA). Sampling buffer system with equal concentration was prepared and boiled at 95°C for 15 min. A total of 10% SDS-PAGE gel was placed and each pore was 15 µl. Then, 100V was used for electrophoresis. After the end of electrophoresis, the protein was transferred to a PVDF membrane by wet method. The membrane was transferred for 2 h (90V), and then it was immersed in the closed liquid, and placed on the rocking bed for 2 h. The caspase-3 (dilution, 1:1,000; cat. no. 9662; Cell Signaling Technology, Inc.) and β-actin primary antibody (dilution, 1:1,000; cat. no. 3700; Cell Signaling Technology, Inc.) was added, then stored in a refrigerator at 4°C overnight, and β-actin was used as the internal reference. TBST was washed for 10 min at room temperature 3 times. Horseradish enzyme labeled sheep against rabbit IgG antibody (dilution, 1:5,000; cat. no. 3875; Cell Signaling Technology, Inc.) was added and incubated for 1 h at room temperature and then, TBST was washed for 10 min at room temperature 5 times. Fresh ECL luminescent liquid (Cell Signaling Technology Inc.; mixed with liquids A and B) was added to a PVDF film to develop in the dark. After chromogenic photography, the strips obtained were processed and analyzed by ImageJ software (ImageJ2×; Rawak Software, Inc., Dresden, Germany).

Statistical analysis

The SPSS 19.0 software (SPSS Inc., Chicago, IL, USA) was used to analyze the data, and the measurement data were expressed as mean ± standard deviation (mean ± SD). Analysis of variance (ANOVA) was used for comparison among groups, and the Bonferroni method was used for comparison between two groups if the variance was homogeneous, while the Welchs method was used for analysis if the variance was not homogeneous. P<0.05 was considered to be statistically different.

Results

Staining diagram of positive apoptosis

Under the optical microscope, it was found that there were brown granules in cytoplasm and nucleus, indicating that the cells in the myocardium were apoptotic (Fig. 1).

Figure 1.

The positive staining diagram of apoptosis (magnification, ×100).

Effect of ischemia-reperfusion on infarct area in SD rats

NBT staining showed that the myocardium of SD rats in the blank and sham operation groups were all stained blue, and no gray white was seen. The myocardium of SD rats in the ischemia reperfusion and simvastatin groups showed a more obvious gray white infarct area which in the simvastatin group was significantly smaller than the ischemia reperfusion group. The difference between the two groups was statistically significant (P=0.007) (Table I).

Table I.

The myocardial infarction area of SD rats after ischemia reperfusion (mean ± standard deviation).

Table I.

The myocardial infarction area of SD rats after ischemia reperfusion (mean ± standard deviation).

GroupsNo. of casesMyocardial infarction range (%)
Blank120
Sham operation120
Ischemia reperfusion12 30.16±2.53a
Simvastatin12 23.95±1.89a,b

a P<0.001, compared with the blank and sham operation groups.

b P=0.007, compared with the ischemia-reperfusion group.

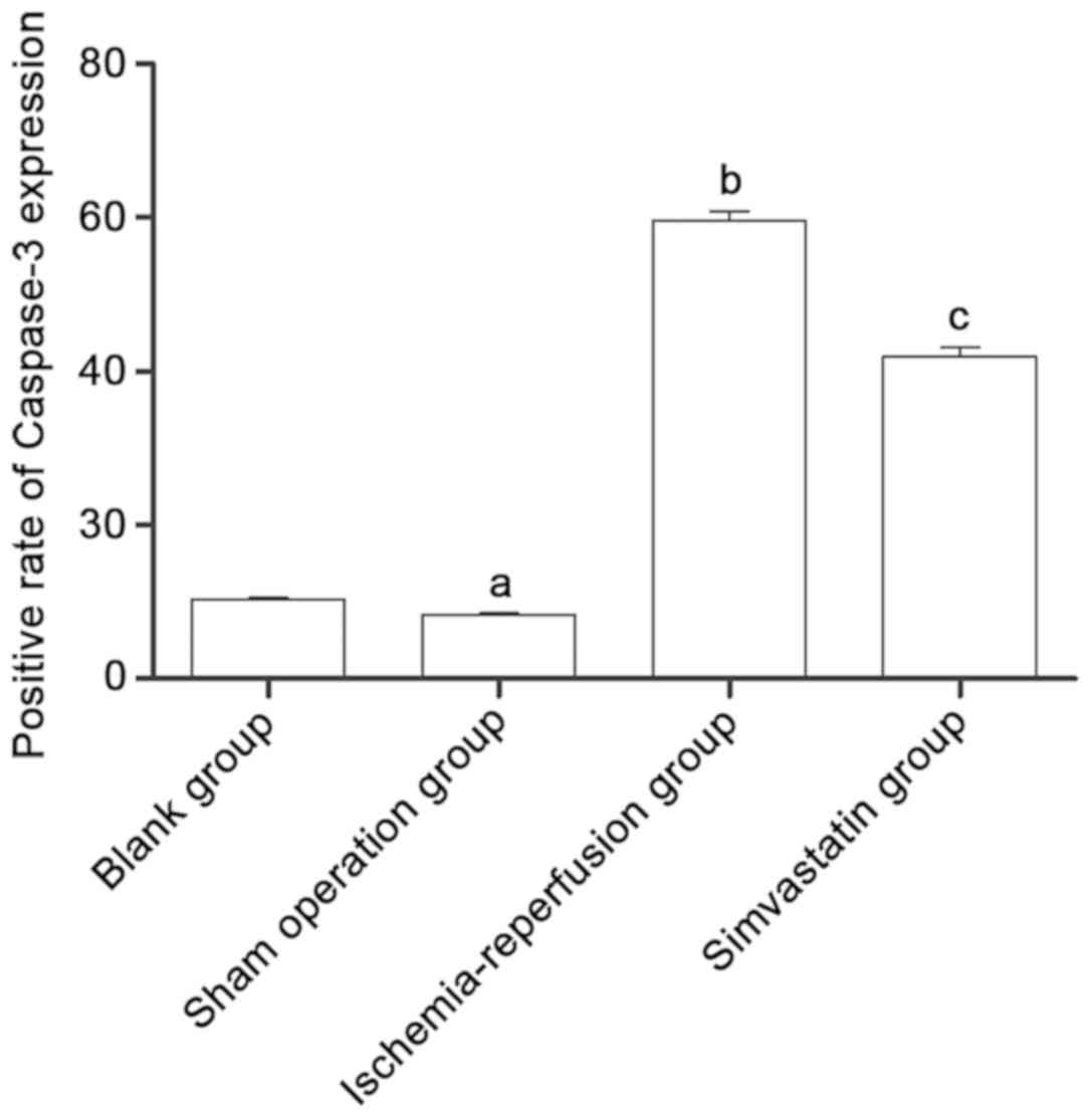
Effect of simvastatin on expression of caspase-3 in SD rats

The expression of caspase-3 in the ischemia-reperfusion group was significantly higher than that in the sham operation group (P<0.001). The expression of caspase-3 in the simvastatin group SD rats was significantly lower than the expression of caspase-3 in the SD rats of the ischemia reperfusion group, and the difference between the two groups was significant (P=0.027) (Fig. 2).

Figure 2.

The positive rate of expression of caspase-3. aP=0.041, compared with the blank group. bP<0.001, compared with the sham operation group. cP=0.027, compared with the ischemia-reperfusion group.

Effect of simvastatin on apoptotic cells in SD rats

Apoptosis was detected in a very small number of cells both in the blank group and the sham operation group. There was a large number of apoptotic cells in the ischemia reperfusion and simvastatin groups, and the number of apoptotic cells in the simvastatin group SD rats was significantly lower than the number of apoptotic cells in the SD rats of the ischemia reperfusion group. The difference between the two groups was statistically significant (P=0.018) (Fig. 3).

Figure 3.

The positive rate of apoptotic cells. aP=0.044, compared with the blank group. bP<0.001, compared with the sham operation group. cP=0.018, compared with the ischemia-reperfusion group.

Reperfusion arrhythmia monitoring

Arrhythmia in SD rats was not found in the blank and sham operation groups, and the arrhythmia score was 0, while arrhythmia in SD rats was observed in the ischemia reperfusion and simvastatin groups, and the arrhythmia score of the simvastatin group was significantly lower than the arrhythmia score of the ischemia reperfusion group, and the two groups were evaluated. The difference was statistically significant (P=0.033) (Table II).

Table II.

The score of arrhythmia (mean ± standard deviation).

Table II.

The score of arrhythmia (mean ± standard deviation).

GroupsNo. of casesArrhythmia score
Blank120
Sham operation120
Ischemia reperfusion124.2±1.5a
Simvastatin123.1±2.3b

a P<0.001, compared with the blank and sham operation groups.

b P=0.033, compared with the ischemia-reperfusion group.

Detection of expression of caspase-3 protein by western blotting

Compared with the blank and sham operation groups, the expression of caspase-3 protein in the ischemia-reperfusion and simvastatin groups was significantly higher than the simvastatin group, and the expression of caspase-3 protein in the simvastatin group was significantly lower than the expression of caspase-3 protein in the ischemia-reperfusion group. The difference was statistically significant (P=0.038) (Fig. 4).

Figure 4.

The detection of the expression of caspase-3 protein by western blotting.

Discussion

Four types of cardiac dysfunction occurred after myocardial ischemia reperfusion injury, including reflux, myocardial stunning, fatal reperfusion injury and reperfusion arrhythmia (7,8). At present, there are different explanations for the mechanism of myocardial ischemia-reperfusion injury, such as oxygen free radical theory (9), calcium overload theory (10) and inflammatory response theory (11). Kocak et al (12) suggested that apoptosis would occur during myocardial ischemia-reperfusion injury, and apoptosis plays a decisive role in the final infarct area of myocardium. When a specific drug is used to intervene in the process of apoptosis, the effective inhibition of apoptosis can make the area of the myocardial infarction area up to 70%, significantly improving the state of heart function (13). Therefore, the use of anti-apoptotic drugs in clinical treatment of myocardial ischemia reperfusion injury have a great significance.

Apoptosis is also known as programmed cell death (PCD), and caspase-3 is a very important starting factor (14), which mediates PCD process. It has been shown that caspase-3 can be activated by its own cleavage by oligomerization, and can activate a variety of downstream proteases, such as cysteine protease, and participate in the process of inhibiting cell proliferation and inducing cell apoptosis (15). Zheng et al (16) found that caspase-3 inhibitors can effectively inhibit the apoptosis of rabbit cardiopulmonary bypass cardiomyocytes. It is presumed that it may be associated with the inhibition of the activity of caspase-3. Wang et al (17) found that the use of different doses of atorvastatin preconditioning acute myocardial ischemia animal model, can significantly reduce apoptosis of myocardial cells and inhibit the expression of caspase-3 gene. Huang et al (18) found that atorvastatin can inhibit apoptosis of myocardial cells in rats with heart failure after myocardial infarction, and then reduce the structural reconstruction of the heart and improve the cardiac function.

In this study, the expression of caspase-3 was significantly increased in the ischemia-reperfusion and simvastatin groups, which was mainly distributed in the gray white region, indicating that the cardiomyocytes of the SD rats were obviously apoptotic after ischemia-reperfusion, and apoptosis of the simvastatin group was significantly lower than that of the ischemia reperfusion group (P<0.05); the positive rate of caspase-3 was decreased (P<0.05), the area of myocardial infarction area was decreased (P<0.05) and the rate of arrhythmia was significantly decreased (P<0.05). The effect of myocardial apoptosis in the simvastatin group was significantly inhibited, and the incidence of cardiac infarction and arrhythmia was reduced, so as to exert a better protective effect on myocardium, which is in accordance with the results of Ma et al (19). At present, it is not known how simvastatin can protect the myocardium by reducing the expression of caspase-3 through anti-apoptosis. However, Liu et al (20) indicated that the expression of p53 and caspase-3 in simvastatin decreased significantly in the the simvastatin group with simvastatin preconditioning renal ischemia reperfusion, and the level of oxygen free radicals were also decreased (P<0.05). It is presumed that simvastatin may scavenge the excess oxygen free radicals induced by renal ischemia-reperfusion injury, and then decrease the oxidative damage effect of myocardial cells, reduce the expression of p53 and caspase-3, and ultimately inhibit cell apoptosis. However, for the role of myocardial ischemia reperfusion injury, we need to further design experiments for verification.

In conclusion, simvastatin has a protective effect on myocardial ischemia reperfusion injury, and its mechanism may be associated with reducing the expression of caspase-3 and inhibiting apoptosis.

Acknowledgements

Not applicable.

Funding

No funding was received.

Availability of data and materials

The datasets used and/or analyzed during the present study are available from the corresponding author on reasonable request.

Authors' contributions

WS conceived and designed the study. RP and JS were responsible for the construction of the ischemia-reperfusion injury model. WS and HS detected arrhythmia and myocardial infarction area. All authors read and approved the final manuscript.

Ethics approval and consent to participate

The study was approved by the Ethics Committee of Yancheng TCM Hospital Affiliated to Nanjing University of Chinese Medicine (Yancheng, China).

Patient consent for publication

Not applicable.

Competing interests

The authors declare that they have no competing interests.

References

1 

Sopková J, Vidomanová E, Strnádel J, Škovierová H and Halašová E: The role of statins as therapeutic agents in cancer. Gen Physiol Biophys. 36:501–511. 2017. View Article : Google Scholar : PubMed/NCBI

2 

Nykänen AI, Tuuminen R and Lemström KB: Donor simvastatin treatment and cardiac allograft ischemia/reperfusion injury. Trends Cardiovasc Med. 23:85–90. 2013. View Article : Google Scholar : PubMed/NCBI

3 

Akarsu M, Saygun O, Aydinuraz K, Aydin O, Daphan CE, Tanrıkulu FB, Kisa U and Comu FM: The effects of simvastatin on ischemia reperfusion injury in an experimental colon anastomosis model. Indian J Surg. 79:390–395. 2017. View Article : Google Scholar : PubMed/NCBI

4 

Zhang Y, Zhang Z and Yan H: Simvastatin inhibits ischemia/reperfusion injury-induced apoptosis of retinal cells via downregulation of the tumor necrosis factor-α/nuclear factor-κB pathway. Int J Mol Med. 36:399–405. 2015. View Article : Google Scholar : PubMed/NCBI

5 

Hadi NR, Al-Amran F, Yousif M and Zamil ST: Antiapoptotic effect of simvastatin ameliorates myocardial ischemia/reperfusion injury. ISRN Pharmacol. 2013:8150942013. View Article : Google Scholar : PubMed/NCBI

6 

Huang LH, Li J, Gu JP, Qu MX, Yu J and Wang ZY: Butorphanol attenuates myocardial ischemia reperfusion injury through inhibiting mitochondria-mediated apoptosis in mice. Eur Rev Med Pharmacol Sci. 22:1819–1824. 2018.PubMed/NCBI

7 

Zhou T, Guo S, Wang S, Li Q and Zhang M: Protective effect of sevoflurane on myocardial ischemia-reperfusion injury in rat hearts and its impact on HIF-1α and caspase-3 expression. Exp Ther Med. 14:4307–4311. 2017.PubMed/NCBI

8 

Zhao Y, Feng Q, Huang Z, Li W, Chen B, Jiang L, Wu B, Ding W, Xu G, Pan H, et al: Simvastatin inhibits inflammation in ischemia-reperfusion injury. Inflammation. 37:1865–1875. 2014. View Article : Google Scholar : PubMed/NCBI

9 

Al-Herz W and Babiker F: Acute intravenous infusion of immunoglobulins protects against myocardial ischemia-reperfusion injury through inhibition of caspase-3. Cell Physiol Biochem. 42:2295–2306. 2017. View Article : Google Scholar : PubMed/NCBI

10 

Hwang J, Han JI and Han S: Effect of pretreatment with simvastatin on spinal cord ischemia-reperfusion injury in rats. J Cardiothorac Vasc Anesth. 27:79–85. 2013. View Article : Google Scholar : PubMed/NCBI

11 

Tuuminen R, Holmström E, Raissadati A, Saharinen P, Rouvinen E, Krebs R and Lemström KB: Simvastatin pretreatment reduces caspase-9 and RIPK1 protein activity in rat cardiac allograft ischemia-reperfusion. Transpl Immunol. 37:40–45. 2016. View Article : Google Scholar : PubMed/NCBI

12 

Kocak FE, Kucuk A, Ozyigit F, Tosun M, Kocak C, Kocak A, Ekici MF, Yaylak F and Genc O: Protective effects of simvastatin administered in the experimental hepatic ischemia-reperfusion injury rat model. J Surg Res. 199:393–401. 2015. View Article : Google Scholar : PubMed/NCBI

13 

Song L, Gao LN, Wang J, Thapa S, Li Y, Zhong XB, Zhao HW, Xiang XR, Zhang FG and Ji P: Stromal cell-derived factor-1α alleviates calcium-sensing receptor activation-mediated ischemia/reperfusion injury by inhibiting caspase-3/caspase-9-induced cell apoptosis in rat free flaps. BioMed Res Int. 8945850:20182018.

14 

Han QF, Wu L, Zhou YH, Wang LH, Zhang DY, Liu T and Yao HC: Simvastatin protects the heart against ischemia reperfusion injury via inhibiting HMGB1 expression through PI3K/Akt signal pathways. Int J Cardiol. 201:568–569. 2015. View Article : Google Scholar : PubMed/NCBI

15 

Yi X, Cui X, Wu P, Wang S, Wang G, Yang X, Yang F, Zheng S and Li Z: Effects of N-acetylcysteine on apoptosis induced by myocardial ischemia reperfusion injury in rats' heart transplantation. Zhongguo Xiu Fu Chong Jian Wai Ke Za Zhi. 27:1234–1239. 2013.(In Chinese). PubMed/NCBI

16 

Zheng C, Wu Z, Tian L, Li D, Wang X, He Y, He Y, Jin W, Li M, Zhu Q, et al: Long noncoding RNA AK12348 is involved in the regulation of myocardial ischaemia-reperfusion injury by targeting PARP and caspase-3. Heart Lung Circ. 27:e51–e58. 2018. View Article : Google Scholar : PubMed/NCBI

17 

Wang SY, Cui XL, Xue FS, Duan R, Li RP, Liu GP, Yang GZ and Sun C: Combined morphine and limb remote ischemic perconditioning provides an enhanced protection against myocardial ischemia/reperfusion injury by antiapoptosis. J Surg Res. 202:13–25. 2016. View Article : Google Scholar : PubMed/NCBI

18 

Huang CH, Lai CC, Yang AH and Chiang SC: Myocardial preconditioning reduces kidney injury and apoptosis induced by myocardial ischaemia and reperfusion. Eur J Cardiothorac Surg. 48:382–391. 2015. View Article : Google Scholar : PubMed/NCBI

19 

Ma J, Qiao Z and Xu B: Effects of ischemic preconditioning on myocardium Caspase-3, SOCS-1, SOCS-3, TNF-α and IL-6 mRNA expression levels in myocardium IR rats. Mol Biol Rep. 40:5741–5748. 2013. View Article : Google Scholar : PubMed/NCBI

20 

Liu K, Chen H, You QS, Ye Q, Wang F, Wang S, Zhang SL, Yu KJ and Lu Q: Curcumin attenuates myocardial ischemia-reperfusion injury. Oncotarget. 8:112051–112059. 2017. View Article : Google Scholar : PubMed/NCBI

Related Articles

  • Abstract
  • View
  • Download
  • Twitter
Copy and paste a formatted citation
Spandidos Publications style
Sun W, Pan R, Song J and Sun H: The effects of simvastatin preconditioning on the expression of caspase-3 after myocardial ischemia reperfusion injury in rats. Exp Ther Med 17: 2230-2234, 2019.
APA
Sun, W., Pan, R., Song, J., & Sun, H. (2019). The effects of simvastatin preconditioning on the expression of caspase-3 after myocardial ischemia reperfusion injury in rats. Experimental and Therapeutic Medicine, 17, 2230-2234. https://doi.org/10.3892/etm.2019.7164
MLA
Sun, W., Pan, R., Song, J., Sun, H."The effects of simvastatin preconditioning on the expression of caspase-3 after myocardial ischemia reperfusion injury in rats". Experimental and Therapeutic Medicine 17.3 (2019): 2230-2234.
Chicago
Sun, W., Pan, R., Song, J., Sun, H."The effects of simvastatin preconditioning on the expression of caspase-3 after myocardial ischemia reperfusion injury in rats". Experimental and Therapeutic Medicine 17, no. 3 (2019): 2230-2234. https://doi.org/10.3892/etm.2019.7164
Copy and paste a formatted citation
x
Spandidos Publications style
Sun W, Pan R, Song J and Sun H: The effects of simvastatin preconditioning on the expression of caspase-3 after myocardial ischemia reperfusion injury in rats. Exp Ther Med 17: 2230-2234, 2019.
APA
Sun, W., Pan, R., Song, J., & Sun, H. (2019). The effects of simvastatin preconditioning on the expression of caspase-3 after myocardial ischemia reperfusion injury in rats. Experimental and Therapeutic Medicine, 17, 2230-2234. https://doi.org/10.3892/etm.2019.7164
MLA
Sun, W., Pan, R., Song, J., Sun, H."The effects of simvastatin preconditioning on the expression of caspase-3 after myocardial ischemia reperfusion injury in rats". Experimental and Therapeutic Medicine 17.3 (2019): 2230-2234.
Chicago
Sun, W., Pan, R., Song, J., Sun, H."The effects of simvastatin preconditioning on the expression of caspase-3 after myocardial ischemia reperfusion injury in rats". Experimental and Therapeutic Medicine 17, no. 3 (2019): 2230-2234. https://doi.org/10.3892/etm.2019.7164
Follow us
  • Twitter
  • LinkedIn
  • Facebook
About
  • Spandidos Publications
  • Careers
  • Cookie Policy
  • Privacy Policy
How can we help?
  • Help
  • Live Chat
  • Contact
  • Email to our Support Team