Spandidos Publications Logo
  • About
    • About Spandidos
    • Aims and Scopes
    • Abstracting and Indexing
    • Editorial Policies
    • Reprints and Permissions
    • Job Opportunities
    • Terms and Conditions
    • Contact
  • Journals
    • All Journals
    • Oncology Letters
      • Oncology Letters
      • Information for Authors
      • Editorial Policies
      • Editorial Board
      • Aims and Scope
      • Abstracting and Indexing
      • Bibliographic Information
      • Archive
    • International Journal of Oncology
      • International Journal of Oncology
      • Information for Authors
      • Editorial Policies
      • Editorial Board
      • Aims and Scope
      • Abstracting and Indexing
      • Bibliographic Information
      • Archive
    • Molecular and Clinical Oncology
      • Molecular and Clinical Oncology
      • Information for Authors
      • Editorial Policies
      • Editorial Board
      • Aims and Scope
      • Abstracting and Indexing
      • Bibliographic Information
      • Archive
    • Experimental and Therapeutic Medicine
      • Experimental and Therapeutic Medicine
      • Information for Authors
      • Editorial Policies
      • Editorial Board
      • Aims and Scope
      • Abstracting and Indexing
      • Bibliographic Information
      • Archive
    • International Journal of Molecular Medicine
      • International Journal of Molecular Medicine
      • Information for Authors
      • Editorial Policies
      • Editorial Board
      • Aims and Scope
      • Abstracting and Indexing
      • Bibliographic Information
      • Archive
    • Biomedical Reports
      • Biomedical Reports
      • Information for Authors
      • Editorial Policies
      • Editorial Board
      • Aims and Scope
      • Abstracting and Indexing
      • Bibliographic Information
      • Archive
    • Oncology Reports
      • Oncology Reports
      • Information for Authors
      • Editorial Policies
      • Editorial Board
      • Aims and Scope
      • Abstracting and Indexing
      • Bibliographic Information
      • Archive
    • Molecular Medicine Reports
      • Molecular Medicine Reports
      • Information for Authors
      • Editorial Policies
      • Editorial Board
      • Aims and Scope
      • Abstracting and Indexing
      • Bibliographic Information
      • Archive
    • World Academy of Sciences Journal
      • World Academy of Sciences Journal
      • Information for Authors
      • Editorial Policies
      • Editorial Board
      • Aims and Scope
      • Abstracting and Indexing
      • Bibliographic Information
      • Archive
    • International Journal of Functional Nutrition
      • International Journal of Functional Nutrition
      • Information for Authors
      • Editorial Policies
      • Editorial Board
      • Aims and Scope
      • Abstracting and Indexing
      • Bibliographic Information
      • Archive
    • International Journal of Epigenetics
      • International Journal of Epigenetics
      • Information for Authors
      • Editorial Policies
      • Editorial Board
      • Aims and Scope
      • Abstracting and Indexing
      • Bibliographic Information
      • Archive
    • Medicine International
      • Medicine International
      • Information for Authors
      • Editorial Policies
      • Editorial Board
      • Aims and Scope
      • Abstracting and Indexing
      • Bibliographic Information
      • Archive
  • Articles
  • Information
    • Information for Authors
    • Information for Reviewers
    • Information for Librarians
    • Information for Advertisers
    • Conferences
  • Language Editing
Spandidos Publications Logo
  • About
    • About Spandidos
    • Aims and Scopes
    • Abstracting and Indexing
    • Editorial Policies
    • Reprints and Permissions
    • Job Opportunities
    • Terms and Conditions
    • Contact
  • Journals
    • All Journals
    • Biomedical Reports
      • Information for Authors
      • Editorial Policies
      • Editorial Board
      • Aims and Scope
      • Abstracting and Indexing
      • Bibliographic Information
      • Archive
    • Experimental and Therapeutic Medicine
      • Information for Authors
      • Editorial Policies
      • Editorial Board
      • Aims and Scope
      • Abstracting and Indexing
      • Bibliographic Information
      • Archive
    • International Journal of Epigenetics
      • Information for Authors
      • Editorial Policies
      • Editorial Board
      • Aims and Scope
      • Abstracting and Indexing
      • Bibliographic Information
      • Archive
    • International Journal of Functional Nutrition
      • Information for Authors
      • Editorial Policies
      • Editorial Board
      • Aims and Scope
      • Abstracting and Indexing
      • Bibliographic Information
      • Archive
    • International Journal of Molecular Medicine
      • Information for Authors
      • Editorial Policies
      • Editorial Board
      • Aims and Scope
      • Abstracting and Indexing
      • Bibliographic Information
      • Archive
    • International Journal of Oncology
      • Information for Authors
      • Editorial Policies
      • Editorial Board
      • Aims and Scope
      • Abstracting and Indexing
      • Bibliographic Information
      • Archive
    • Medicine International
      • Information for Authors
      • Editorial Policies
      • Editorial Board
      • Aims and Scope
      • Abstracting and Indexing
      • Bibliographic Information
      • Archive
    • Molecular and Clinical Oncology
      • Information for Authors
      • Editorial Policies
      • Editorial Board
      • Aims and Scope
      • Abstracting and Indexing
      • Bibliographic Information
      • Archive
    • Molecular Medicine Reports
      • Information for Authors
      • Editorial Policies
      • Editorial Board
      • Aims and Scope
      • Abstracting and Indexing
      • Bibliographic Information
      • Archive
    • Oncology Letters
      • Information for Authors
      • Editorial Policies
      • Editorial Board
      • Aims and Scope
      • Abstracting and Indexing
      • Bibliographic Information
      • Archive
    • Oncology Reports
      • Information for Authors
      • Editorial Policies
      • Editorial Board
      • Aims and Scope
      • Abstracting and Indexing
      • Bibliographic Information
      • Archive
    • World Academy of Sciences Journal
      • Information for Authors
      • Editorial Policies
      • Editorial Board
      • Aims and Scope
      • Abstracting and Indexing
      • Bibliographic Information
      • Archive
  • Articles
  • Information
    • For Authors
    • For Reviewers
    • For Librarians
    • For Advertisers
    • Conferences
  • Language Editing
Login Register Submit
  • This site uses cookies
  • You can change your cookie settings at any time by following the instructions in our Cookie Policy. To find out more, you may read our Privacy Policy.

    I agree
Search articles by DOI, keyword, author or affiliation
Search
Advanced Search
presentation
Experimental and Therapeutic Medicine
Join Editorial Board Propose a Special Issue
Print ISSN: 1792-0981 Online ISSN: 1792-1015
Journal Cover
January-2020 Volume 19 Issue 1

Full Size Image

Sign up for eToc alerts
Recommend to Library

Journals

International Journal of Molecular Medicine

International Journal of Molecular Medicine

International Journal of Molecular Medicine is an international journal devoted to molecular mechanisms of human disease.

International Journal of Oncology

International Journal of Oncology

International Journal of Oncology is an international journal devoted to oncology research and cancer treatment.

Molecular Medicine Reports

Molecular Medicine Reports

Covers molecular medicine topics such as pharmacology, pathology, genetics, neuroscience, infectious diseases, molecular cardiology, and molecular surgery.

Oncology Reports

Oncology Reports

Oncology Reports is an international journal devoted to fundamental and applied research in Oncology.

Experimental and Therapeutic Medicine

Experimental and Therapeutic Medicine

Experimental and Therapeutic Medicine is an international journal devoted to laboratory and clinical medicine.

Oncology Letters

Oncology Letters

Oncology Letters is an international journal devoted to Experimental and Clinical Oncology.

Biomedical Reports

Biomedical Reports

Explores a wide range of biological and medical fields, including pharmacology, genetics, microbiology, neuroscience, and molecular cardiology.

Molecular and Clinical Oncology

Molecular and Clinical Oncology

International journal addressing all aspects of oncology research, from tumorigenesis and oncogenes to chemotherapy and metastasis.

World Academy of Sciences Journal

World Academy of Sciences Journal

Multidisciplinary open-access journal spanning biochemistry, genetics, neuroscience, environmental health, and synthetic biology.

International Journal of Functional Nutrition

International Journal of Functional Nutrition

Open-access journal combining biochemistry, pharmacology, immunology, and genetics to advance health through functional nutrition.

International Journal of Epigenetics

International Journal of Epigenetics

Publishes open-access research on using epigenetics to advance understanding and treatment of human disease.

Medicine International

Medicine International

An International Open Access Journal Devoted to General Medicine.

Journal Cover
January-2020 Volume 19 Issue 1

Full Size Image

Sign up for eToc alerts
Recommend to Library

  • Article
  • Citations
    • Cite This Article
    • Download Citation
    • Create Citation Alert
    • Remove Citation Alert
    • Cited By
  • Similar Articles
    • Related Articles (in Spandidos Publications)
    • Similar Articles (Google Scholar)
    • Similar Articles (PubMed)
  • Download PDF
  • Download XML
  • View XML
Article Open Access

Expression and short‑term prognostic value of miR‑126 and miR‑182 in patients with acute stroke

  • Authors:
    • Ruigang Qi
    • Haihua Liu
    • Chenglong Liu
    • Yingying Xu
    • Chunfeng Liu
  • View Affiliations / Copyright

    Affiliations: Department of Neurology, The Second Affiliated Hospital of Soochow University, Suzhou, Jiangsu 215004, P.R. China, Department of Neurology, Gaoyou Hospital Affiliated Soochow University, Gaoyou, Jiangsu 225600, P.R. China, Department of Anaesthesiology, Gaoyou Hospital Affiliated Soochow University, Gaoyou, Jiangsu 225600, P.R. China
    Copyright: © Qi et al. This is an open access article distributed under the terms of Creative Commons Attribution License.
  • Pages: 527-534
    |
    Published online on: November 21, 2019
       https://doi.org/10.3892/etm.2019.8227
  • Expand metrics +
Metrics: Total Views: 0 (Spandidos Publications: | PMC Statistics: )
Metrics: Total PDF Downloads: 0 (Spandidos Publications: | PMC Statistics: )
Cited By (CrossRef): 0 citations Loading Articles...

This article is mentioned in:



Abstract

Expression and short‑term prognostic value of miR‑126 and miR‑182 in patients with acute stroke were investigated. In total, 153 patients with acute stroke admitted to the Second Affiliated Hospital of Soochow University from February 2016 to February 2018 were enrolled into the observation group as group A [88 patients with acute cerebral infarction (AIS)] or group B [65 patients with cerebral hemorrhage (ICH)]. Furthermore, 69 healthy people receiving physical examinations in the hospital were enrolled into the control group. The relative expression of miR‑126 and miR‑182 in all subjects were measured and their correlation with the National Institute of Health stroke scale (NIHSS) and activities of daily living (ADL) scores was analyzed. After 3 months of follow‑up, the correlation of miR‑126 and miR‑182 with the Modified Rankin Scale (MRS) score of patients was investigated. The receiver operating characteristic (ROC) curve was employed to explore the value of miR‑126 and miR‑182, alone or in combination, in predicting the prognosis of acute stroke patients. Subjects in the control group had markedly higher miR‑126 expression and lower miR‑182 expression than those in group A and group B in the observation group (P<0.05). Pearson's correlation analysis suggested a notable correlation of miR‑126 and miR‑182 with NIHSS and ADL scores. Patients with a mild condition or good prognosis had higher miR‑126 expression and lower miR‑182 expression than patients with a severe condition or poor prognosis (P<0.05). Both miR‑126 and miR‑182 predicted the prognosis of acute stroke, and the combination of miR‑126 and miR‑182 presented better accuracy. The expression levels of miR‑126 and miR‑182 are associated with the neurological function, self‑care ability, and prognosis in patients with acute stroke is highly valuable for predicting the prognosis of patients.

Introduction

Acute stroke is a common type of acute cerebrovascular dysfunction. It is mainly caused by ischemia resulting from occluded or ruptured cerebral vessels or by tissue damage from hemorrhagic acute cerebral circulation disorder, making patients susceptible to long-term disability or multi-functional disorders (1–3). Data have revealed a sharp increase in the number of patients with acute stroke due to the changing living environment and the aging population in recent years. Most acute stroke patients have recurrent disease during the treatment, facing a higher risk of dementia, disability, and even death (4,5). Nerve damage is a frequent complication of the common treatment of various neurological diseases. Early prediction of injuries is crucial for the prediction and improvement of the prognosis of acute stroke. Therefore, the search for sensitive biomarkers is essential for the accurate diagnosis and prognosis assessment of acute stroke.

MicroRNAs (miRNAs) are single-stranded endogenous non-coding RNAs with 21–25 nucleotides in eukaryotes, which can regulate gene expression through the specific recognition of target genes (6). miRNAs play a role in the development, progression, and pathophysiological processes of acute stroke by regulating the post-transcriptional level of target genes (7,8). Plasma expression of miRNAs varies in patients with different cardiovascular and cerebrovascular diseases such as stroke, coronary heart disease and heart failure (9–11). miR-126 can inhibit the proliferation of vascular smooth muscle cells by regulating the expression of target genes such as vascular cell adhesion molecule 1 and monocyte chemoattractant protein (12). miR-182 is a recently discovered microRNA that is involved in the development of ischemic encephalopathy (13). However, there are few reports on the expression and prognostic value of miR-126 and miR-182 in patients in acute stroke. This study evaluated the serum expression of miR-126 and miR-182 in patients with different types of acute strokes to investigate the relationship between the two genes and the neurological function and prognosis of patients.

Patients and methods

Patient data

In total, 153 patients with acute stroke who were admitted to the Second Affiliated Hospital of Soochow University (Suzhou, China) from February 2016 to February 2018 were enrolled into the observation group and assigned as group A (88 patients with AIS) or group B (65 patients with ICH). The observation group was comprised of 97 males and 56 females with an average age of 62.68±13.32 years. Moreover, 69 healthy people with normal physical examination results in the hospital were enrolled as the control group, including 44 males and 25 females, with an average age of 61.92±13.42 years.

The patients were followed up for 3 months after discharge from the hospital to record the prognosis. Patients were divided into the good prognosis group and the poor prognosis group according to the MRS score, and the relative expression of miR-126 and miR-182 in patients before the discharge were observed.

Inclusion and exclusion criteria

Inclusion criteria: i) Patients diagnosed with acute stroke by CT scan or MRI for the head; ii) patients admitted to the hospital within 6 h after the onset of stroke; iii) patients with a National Institutes of Health Stroke Scale (NIHSS) score of no less than 4 points but less than 20 points (14). Exclusion criteria: i) Patients with a history of stroke; ii) patients with other lesions in the brain; iii) patients with disorders or functional impairments in the blood or coagulation system; iv) patients with poor communication and poor compliance. The patients and their families signed an informed consent. This study was approved by the Ethics Committee of The Second Affiliated Hospital of Soochow University.

Experimental reagents and materials

The RNA extraction kit was purchased from Invitrogen; Thermo Fisher Scientific, Inc. The TRIzol reagent and reverse transcription kit were provided by Beijing ComWin Biotech Co., Ltd. The SYBR-G reen PCR Master Mix was from Takara. All primers and sequencing were designed by Sangon Biotech (Shanghai) Co., Ltd.

Experimental methods

The extraction of plasma miRNA from all subjects and the reverse transcription were performed in strict accordance with the reagent manual. RNA purity and concentration were measured using an ultraviolet spectrophotometer. The operations were performed on ice to prevent degradation of the RNA. The amplification by polymerase reaction was performed with U6 as the standard internal reference. The reaction system: 2 μl of reverse transcription primer, 10 μl of 2X SYBR-Green PCR Master Mix, 6 μl of ddH2O, 1 μl of forward primer and 1 μl of reverse primer. The reaction condition: 45 cycles of 95°C for 10 min, 95°C for 15 sec, and 60°C for 1 min. Three replicate wells were set for each sample. The relative expression levels of miR-126 and miR-182 were analyzed by 2−ΔCt. Primer sequence: miR-126 F: 5′-GTCGTATCCAGTGCAGGGTCCGAGGTATTCGCACTGGATACGACCGCATT-3′ and R: 5′-GTGCAGGGTCCGAGGT-3′; miR-182 F: 5′-ACACTCCAGCTGGGTTTGGCAATGGTAGAACT-3′ and R: 5′-TGGTGTCGTGGAGTCG-3′; U6 F: 5′-CTCGCTTCGGCAGCACA-3′ and R: 5′-AACGCTTCACGAATTTGCGT-3′.

Outcome measures

i) Analysis of the differences in the basic data and the relative expression of miR-126 and miR-182 between the observation group and the control group. ii) Comparison of the expression of miR-126 and miR-182 between patients with different NIHSS, ADL and MRS scores and analysis of the correlation of miR-126 and miR-182 with NIHSS, ADL and MRS scores. The NIHSS score was used to assess the degree of neurological deficits in patients (higher scores indicate more severe neurological deficits), the ADL score to judge the patient's self-care ability (higher scores indicate stronger self-care ability), and the MRS score to measure the neurological recovery of patients (higher scores indicate poorer neurological recovery). iii) Assessment of the predictive value of miR-126 and miR-182, alone or in combination, for the short-term prognosis in patients with acute stroke.

Statistical analysis

Statistical analysis of data was performed on SPSS 19.0 statistical software (Beijing NDTimes Technology Co., Ltd.). The enumeration data were analyzed by chi-square test. The measurement data were expressed as the mean ± standard deviation and compared between two groups by the independent t-test. Pearson's correlation efficient was used to analyze the correlation of miR-126 and miR-182 with NIHSS, ADL and MRS scores. ROC curve was plotted to assess the predictive value of miR-126 and miR-182, alone or in combination, for the short-term prognosis in patients with acute stroke. The experiment data were visualized by GraphPad Prism8. A statistical difference was recognized at P<0.05.

Results

Comparison of basic information

Group A and B were not notably different in sex, age, diabetes or family history of stroke (P>0.05). The time from onset to treatment in group A was significantly shorter than in group B, and the systolic, diastolic, and neurological scores were lower in group B than in group A (P<0.05). The incidence of hypertension was higher in group B, and the incidence of hyperlipidemia and heart disease was higher in group A (P<0.05). The observation group and the control group were not notably different relating to sex, age and medical history (P>0.05) (Tables I and II).

Table I.

Comparison of basic information between patients with acute stroke.

Table I.

Comparison of basic information between patients with acute stroke.

GroupsGroup A (n=88)Group B (n=65)χ2/t valueP-value
Sex (case) 0.1690.681
  Male57 (64.77)40 (61.54)
  Female31 (35.23)25 (38.46)
Age (years)62.55±13.3462.93±13.290.1740.862
Time from onset to treatment (min)259.35±21.32145.35±15.4236.600<0.001
Systolic blood pressure (mmHg)159.34±9.24186.24±9.9617.220<0.001
Diastolic blood pressure (mmHg)89.92±6.93103.93±7.8211.700<0.001
NIHSS score13.34±1.2314.94±2.824.750<0.001
Hypertension 5.9790.015
  Yes45 (51.14)46 (70.77)
  No43 (48.86)19 (29.23)
Diabetes 0.0130.910
  Yes36 (40.91)26 (40.00)
  No52 (59.09)39 (60.00)
Hyperlipemia 4.0460.044
  Yes55 (62.50)30 (46.15)
  No33 (37.50)35 (53.85)
Heart disease 5.3500.021
  Yes36 (40.91)15 (23.08)
  No52 (59.09)50 (76.92)
Family history of stroke 0.0700.792
  Yes28 (31.82)22 (33.85)
  No60 (68.18)43 (66.15)
Smoking 0.0030.957
  Yes47 (53.41)35 (53.85)
  No41 (46.59)30 (46.15)
Drinking 0.1880.665
  Yes58 (65.91)45 (69.23)
  No30 (34.09)20 (30.77)

Table II.

Comparison of basic information between all research subjects.

Table II.

Comparison of basic information between all research subjects.

GroupsObservation group (n=153)Control group (n=69)χ2/t valueP-value
Sex (case) 0.0030.958
Male97 (63.40)44 (63.77)
Female56 (36.60)25 (36.23)
Age (year)62.68±13.3261.92±13.420.3480.729
Hypertension 0.1610.689
  Yes91 (59.48)43 (62.32)
  No62 (40.52)26 (37.68)
Diabetes 0.0380.845
  Yes62 (40.52)27 (39.13)
  No91 (59.48)42 (60.87)
Hyperlipemia 0.0720.789
  Yes85 (55.56)37 (53.62)
  No68 (44.44)32 (46.38)
Heart disease 0.0450.832
  Yes51 (33.33)24 (53.33)
  No102 (66.67)45 (65.22)
Family history of stroke 0.1100.740
  Yes50 (32.68)21 (30.43)
  No103 (67.32)48 (69.57)
Smoking 0.0390.844
  Yes82 (53.59)36 (52.17)
  No71 (46.41)33 (47.83)
Drinking 0.0140.907
  Yes103 (67.32)47 (68.12)
  No50 (32.68)22 (31.88)
Comparison of the relative expression of miR-126 and miR-182

The relative expression of miR-126 was markedly higher in the control group than in group A, group B and the observation group, and group A and group B were different in the miR-126 expression (P<0.05). The relative expression of miR-182 was markedly lower in the control group than in group A and B. Furthermore, the control group, and group A and B were different in the miR-182 expression (P<0.05) (Fig. 1).

Figure 1.

Comparison of the relative expression of miR-126 and miR-182. (A) The relative expression of miR-126 was markedly higher in the control group than in group A and group B. (B) The relative expression of miR-126 was markedly higher in the control group than in the observation group. (C) The relative expression of miR-182 was markedly lower in the control group than in group A and group B. (D) The relative expression of miR-182 was markedly lower in the control group than in the observation group. *P<0.05.

Correlation of miR-126 and miR-182 with NIHSS scores in the observation group

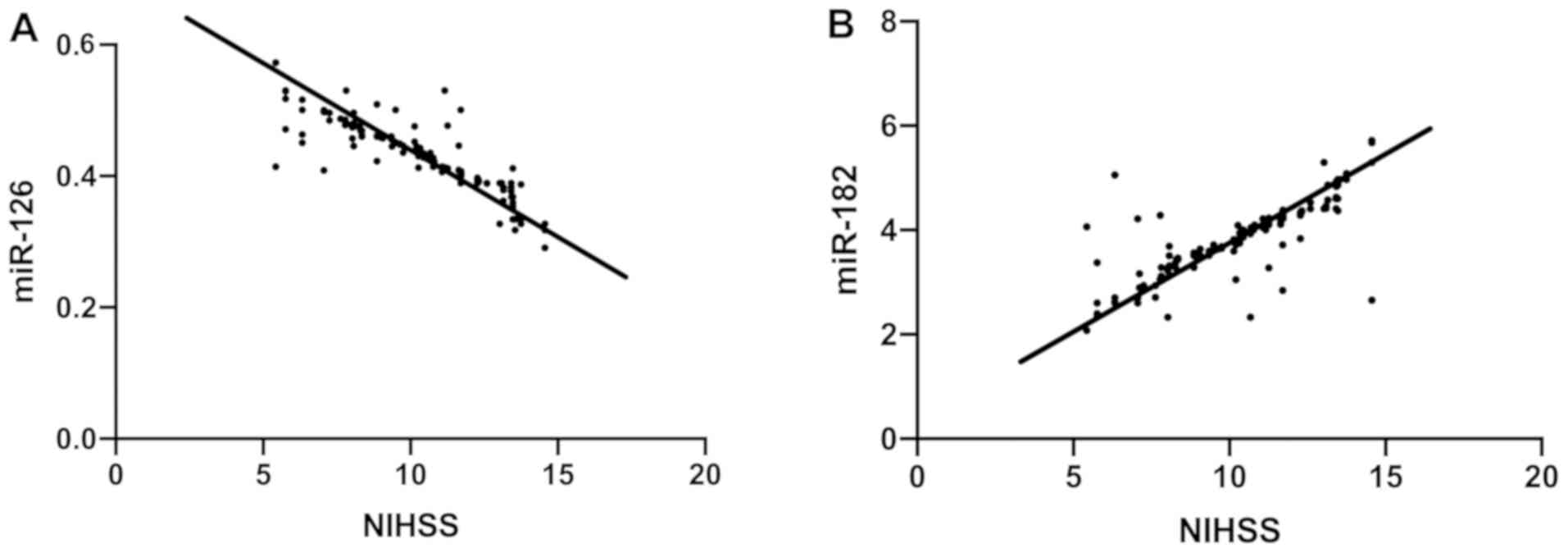
According to the degree of neurological deficits, 83 patients with an NIHSS score of no more than 10 points were divided into the mild condition group, while 70 patients with an NIHSS score of more than 10 points were divided into the severe condition group. The relative expression of miR-126 was markedly higher in the mild condition group than in the severe condition group, while the relative expression of miR-182 was markedly lower in the mild condition group than in the severe condition group (P<0.05). Pearson's correlation analysis suggested that in the observation group, NIHSS scores were negatively correlated with miR-126 (r=−8749, P<0.001) and positively correlated with miR-182 (r=8083, P<0.001) (Table III and Fig. 2).

Figure 2.

Correlation of miR-126 and miR-182 with NIHSS scores in the observation group. (A) Pearson's correlation analysis suggested that in the observation group, NIHSS scores were negatively correlated with miR-126 (r=−8749, P<0.001). (B) Pearson's correlation analysis suggested that in the observation group, NIHSS scores were positively correlated with miR-182 (r =8083, P<0.001).

Table III.

Correlation of miR-126 with NIHSS scores in the observation group.

Table III.

Correlation of miR-126 with NIHSS scores in the observation group.

GroupsMild condition group (n=83)Severe condition group (n=70)t valueP-value
Relative expression of miR-1260.52±0.050.41±0.0316.120<0.001
Relative expression of miR-1823.24±0.684.32±0.818.967<0.001
Correlation of miR-126 and miR-182 with ADL scores in the observation group

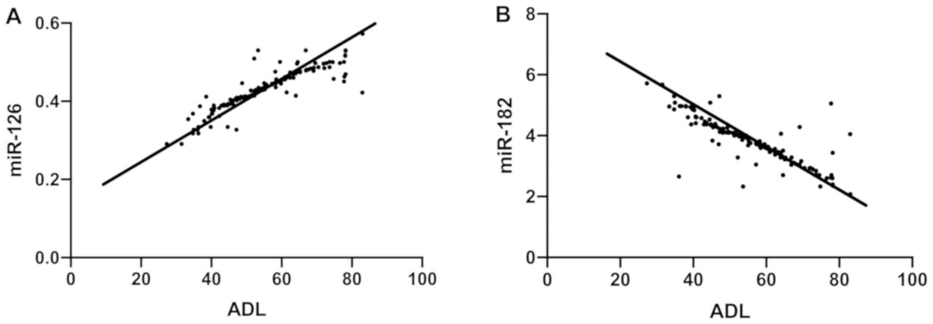
Pearson's correlation analysis suggested that in the observation group, ADL scores were positively correlated with miR-126 (r=0.8876, P<0.001) and negatively correlated with miR-182 (r=−0.8375, P<0.001) (Fig. 3).

Figure 3.

Correlation of miR-126 and miR-182 with ADL scores in the observation group. (A) Pearson's correlation analysis suggested that in the observation group, ADL scores were positively correlated with miR-126 (r=0.8876, P<0.001). (B) Pearson's correlation analysis suggested that in the observation group, ADL scores were negatively correlated with miR-182 (r=−0.8375, P<0.001).

Relationship between the relative expression of miR-126 and miR-182 and MRS scores in the observation group

In the observation group, 97 patients with an MRS score of no more than 2 points were divided into the good prognosis group, while 56 patients with an MRS score of more than 2 points were divided into the poor prognosis group. The relative expression of miR-126 was markedly higher in the good prognosis group than in the poor prognosis group, while the relative expression of miR-182 was markedly lower in the good prognosis group than in the poor prognosis group (P<0.05) (Table IV).

Table IV.

Comparison of relative expression of miR-126 and miR-182 between patients with different prognosis.

Table IV.

Comparison of relative expression of miR-126 and miR-182 between patients with different prognosis.

GroupsGood prognosis group (n=97)Poor prognosis group (n=56)t valueP-value
Relative expression of miR-1260.51±0.110.39±0.048.654<0.001
Relative expression of miR-1823.30±0.674.53±0.8310.140<0.001
Predictive value of miR-126 and miR-182, alone or in combination, for the prognosis of patients in the observation group

ROC curve was used to assess the predictive value of miR-126 and miR-182, alone or in combination, for the prognosis of patients with acute stroke. The sensitivity of miR-126 was 90.85%, the specificity was 71.90%, and the area under the curve (AUC) was 0.8411 at the optimal cut-off point. The sensitivity of miR-182 was 89.54%, the specificity was 71.24%, and the AUC was 0.8733 at the optimal cut-off point. The sensitivity of miR-126 combined with miR-182 was 88.89%, the specificity was 81.05%, and the AUC was 0.9273 at the optimal cut-off point. More details are shown in Table V and Fig. 4.

Figure 4.

Predictive value of miR-126 and miR-182, alone or in combination, for the prognosis of patients with acute stroke. According to the ROC curve analysis, the sensitivity of miR-126 was 90.85%, the specificity was 71.90%, and the AUC was 0.8411 at the optimal cut-off point. The sensi-tivity of miR-182 was 89.54%, the specificity was 71.24%, and the AUC was 0.8733 at the optimal cut-off point. The sensitivity of miR-126 combined with miR-182 was 88.89%, the specificity was 81.05%, and the AUC was 0.9273 at the optimal cut-off point.

Discussion

Acute stroke, characterized by high morbidity, mortality and disability rate, greatly threatens the normal life and health of patients. Acute stroke induced by intracerebral ischemia or hemorrhage possibly leads to an inflammatory reaction, free radical damage, and brain tissue damage. Patients with stroke onset failing to receive timely treatment are at risk of neurological impairment or death (15,16). The existing diagnosis for acute stroke is mainly by imaging methods, which have limitations in accuracy and operation (17). Identifying biomarkers with high specificity and high effectiveness for detecting acute stroke is important. Advancements in the chip science promoted the stability of circulating miRNAs, enabling miRNAs to be used as new biomarkers for the early diagnosis and prognosis evaluation of many diseases (18). This study explored the relationship between miRNAs and the prognosis of patients with acute stroke.

We analyzed the basic clinical information of all subjects and found that subjects from the control group were not different from patients in the observation group in basic information, but patients with different medical histories, living habits, and causes of stroke onset had different symptoms. Then the expression of miR-126 and miR-182 was evaluated in healthy subjects and patients with different conditions. The relative expression of miR-126 was markedly higher in the control group than in group A and group B of the observation group, while the relative expression of miR-182 was markedly lower in the control group than in group A and group B of the observation group. Group A and group B were statistically different in miR-126 and miR-182 expression. A previous study (19) showed that serum miR-126 expression was significantly reduced in the rat models of middle cerebral artery occlusion. A study (20) discovered a marked increase in miR-182 expression in the cerebral cortex of mouse models of cerebral ischemia and hypoxia, and speculated that miR-182 was involved in the process of cerebral ischemia and hypoxia. Such findings suggest that miR-126 and miR-182 are involved in the course of stroke development, and their expression is related to the severity of disease condition. The expression of miR-126 and miR-182 varies among patients with different types of stroke. It has been reported (21,22) that an increase in blood flow resulted in high wall shear stress and vascular fragility, thinner blood vessel diameter, and a higher risk of cerebral infarction, besides, atherosclerosis caused by long-term diabetes and heart disease can lead to the occurrence of cerebral infarction or cerebral hemorrhage to a certain extent. miR-126 induces angiogenesis by regulating vascular endothelial cells and angiogenic growth factors to promote Akt signaling pathway activation and cell apoptosis (23–25). miR-182 plays an important role in the regulation of sugar and lipid metabolism. Abnormally expressed miR-182 may induce metabolic diseases and diseases such as atherosclerosis (26,27). The above-listed literature proves that both miR-126 and miR-182 can regulate angiogenesis, and their expression changes with the changes in vessels in different body environments according to the severity of disin summarease condition, which is consistent with the results of this study. We explored the relationship between the two genes and the neurological function and self-care ability of acute stroke and came to the conclusion that patients with more severe neurological damage and worse self-care ability had lower miR-126 expression and higher miR-182 expression. Such results indicate that both genes may have a predictive value for neurological function and self-care ability. MiR-126 is an intronic miRNA, which can inhibit the host gene Egfl7 during the differentiation of neural stem cells (28). A previous study (29) demonstrated that miR-182 could aggravate neuronal damage by down-regulating the expression of the target gene APLN and inhibiting the PI3k/p-Akt pathway to protect nerve function. The regulation of neurological function in patients by the two genes may result in changes in the prognosis. Few studies have been made on the effect of the two genes on the prognosis of patients with acute stroke. This study explored the prognostic value of the two genes in patients with acute stroke and found that patients with good prognosis had higher miR-126 expression and lower miR-182 expression. Both miR-126 and miR-182 could predict the prognosis of acute stroke, and the combination of miR-126 and miR-182 presented better accuracy. Such findings suggest that the prediction by miR-126 combined with miR-182 for the prognosis of patients within 3 months after the treatment is highly accurate.

In conclusion, the expression levels of miR-126 and miR-182 are associated with the neurological function, self-care ability, and prognosis in patients with acute stroke, and are highly valuable for predicting the prognosis of patients. However, we only studied the correlation of miR-126 and miR-182 with neurological function and self-care ability in the included patients with acute stroke. Thus comparison studies are still required.

Acknowledgements

Not applicable.

Funding

No funding was received.

Availability of data and materials

The datasets used and/or analyzed during the current study are available from the corresponding author on reasonable request.

Authors' contributions

RQ conceived the study and drafted the manuscript. RQ and HL were responsible for the extraction of plasma miRNA. ChenglongL and YX measured RNA purity and concentration. ChunfengL was responsible for the PCR. All authors read and approved the final manuscript.

Ethics approval and consent to participate

This study was approved by the Ethics Committee of The Second Affiliated Hospital of Soochow University (Suzhou, China). Patients who participated in this research, signed an informed consent and had complete clinical data.

Patient consent for publication

Not applicable.

Competing interests

The authors declare that they have no competing interests.

References

1 

Slivka AP, Notestine MA, Li J and Christoforidis GA: Clinical predictors of cerebrovascular occlusion for patients presenting with acute stroke. J Stroke Cerebrovasc Dis. 15:30–33. 2006. View Article : Google Scholar : PubMed/NCBI

2 

Appiah KO, Minhas JS and Robinson TG: Managing high blood pressure during acute ischemic stroke and intracerebral hemorrhage. Curr Opin Neurol. 31:8–13. 2018. View Article : Google Scholar : PubMed/NCBI

3 

Lawrence ES, Coshall C, Dundas R, Stewart J, Rudd AG, Howard R and Wolfe CD: Estimates of the prevalence of acute stroke impairments and disability in a multiethnic population. Stroke. 32:1279–1284. 2001. View Article : Google Scholar : PubMed/NCBI

4 

Bertog SC, Grunwald IQ, Kühn AL, Vaskelyte L, Hofmann I, Gafoor S, Reinartz M, Matic P and Sievert H: Acute stroke intervention. Interventional Cardiology: Principles and Practice. Second. Dangas GD, Di Mario C, Kipshidze NN, Barlis P, Addo T and Serruys PW: Wiley Online Library; pp. 641–652. 2017

5 

Sicras-Mainar A, Planas-Comes A, Frias-Garrido X, Navarro-Artieda R, de Salas-Cansado M and Rejas-Gutiérrez J: Statins after recent stroke reduces recurrence and improves survival in an aging Mediterranean population without known coronary heart disease. J Clin Pharm Ther. 37:441–447. 2012. View Article : Google Scholar : PubMed/NCBI

6 

Cao Q, Liu F, Ji K, Liu N, He Y, Zhang W and Wang L: MicroRNA-381 inhibits the metastasis of gastric cancer by targeting TMEM16A expression. J Exp Clin Cancer Res. 36:292017. View Article : Google Scholar : PubMed/NCBI

7 

Chen Y, Song Y, Huang J, Qu M, Zhang Y, Geng J, Zhang Z, Liu J and Yang GY: Increased circulating exosomal miRNA-223 is associated with acute ischemic stroke. Front Neurol. 8:572017. View Article : Google Scholar : PubMed/NCBI

8 

Ji B, Wang J, Ma X, Yi YB and Chen ZY: Exosome and miRNA in stroke. Cellular and Molecular Approaches to Regeneration and Repair. Springer; New York, NY: pp. 325–361. 2018

9 

Florijn BW, Bijkerk R, van der Veer EP and van Zonneveld AJ: Gender and cardiovascular disease: Are sex-biased microRNA networks a driving force behind heart failure with preserved ejection fraction in women? Cardiovasc Res. 114:210–225. 2018. View Article : Google Scholar : PubMed/NCBI

10 

Cheng HL, Fu CY, Kuo WC, Chen YW, Chen YS, Lee YM, Li KH, Chen C, Ma HP, Huang PC, et al: Detecting miRNA biomarkers from extracellular vesicles for cardiovascular disease with a microfluidic system. Lab Chip. 18:2917–2925. 2018. View Article : Google Scholar : PubMed/NCBI

11 

Giridharan VV, Quevedo J, Krishnamurthy P and Thandavarayan RA: Editorial commentary: miRNA a tiny genetic tool: Key to the puzzle of cardiovascular disease. Trends Cardiovasc Med. 26:420–422. 2016. View Article : Google Scholar : PubMed/NCBI

12 

Maitrias P, Metzinger-Le Meuth V, Nader J, Reix T, Caus T and Metzinger L: The involvement of miRNA in carotid-related stroke. Arterioscler Thromb Vasc Biol. 37:1608–1617. 2017. View Article : Google Scholar : PubMed/NCBI

13 

Lee ST, Chu K, Jung KH, Yoon HJ, Jeon D, Kang KM, Park KH, Bae EK, Kim M, Lee SK, et al: MicroRNAs induced during ischemic preconditioning. Stroke. 41:1646–1651. 2010. View Article : Google Scholar : PubMed/NCBI

14 

Dunning K: National Institutes of Health Stroke Scale. Encyclopedia of Clinical Neuropsychology. Kreutzer JS, DeLuca J and Caplan B: Springer; New York, NY: pp. 1714–1715. 2011, View Article : Google Scholar

15 

Bramlett HM and Dietrich WD: Pathophysiology of cerebral ischemia and brain trauma: Similarities and differences. J Cereb Blood Flow Metab. 24:133–150. 2004. View Article : Google Scholar : PubMed/NCBI

16 

Suda S, Katsura K, Kanamaru T, Saito M and Katayama Y: Valproic acid attenuates ischemia-reperfusion injury in the rat brain through inhibition of oxidative stress and inflammation. Eur J Pharmacol. 707:26–31. 2013. View Article : Google Scholar : PubMed/NCBI

17 

Liebeskind DS, Sanossian N, Yong WH, Starkman S, Tsang MP, Moya AL, Zheng DD, Abolian AM, Kim D, Ali LK, et al: CT and MRI early vessel signs reflect clot composition in acute stroke. Stroke. 42:1237–1243. 2011. View Article : Google Scholar : PubMed/NCBI

18 

Chen X, Yan CC, Zhang X, You ZH, Deng L, Liu Y, Zhang Y and Dai Q: WBSMDA: Within and between score for miRNA-disease association prediction. Sci Rep. 6:211062016. View Article : Google Scholar : PubMed/NCBI

19 

Kim JM, Jung KH, Chu K, Lee ST, Ban J, Moon J, Kim M, Lee SK and Roh JK: Atherosclerosis-related circulating MicroRNAs as a predictor of stroke recurrence. Transl Stroke Res. 6:191–197. 2015. View Article : Google Scholar : PubMed/NCBI

20 

Cui H and Yang L: Analysis of microRNA expression detected by microarray of the cerebral cortex after hypoxic-ischemic brain injury. J Craniofac Surg. 24:2147–2152. 2013. View Article : Google Scholar : PubMed/NCBI

21 

Leung LY, Bartz TM, Rice K, Floyd J, Psaty B, Gutierrez J, Longstreth WT Jr and Mukamal KJ: Blood pressure and heart rate measures associated with increased risk of covert brain infarction and worsening leukoaraiosis in older adults. Arterioscler Thromb Vasc Biol. 37:1579–1586. 2017. View Article : Google Scholar : PubMed/NCBI

22 

Sha RJ, Zhang Z, Yu TH, Yuan HL and Icu DO: Etiological factor, risk factor and prognosis in young patients with cerebral infarction and cerebral hemorrhage: comparative analysis among 293 cases. Chin J Clin Rehabil. 26:794–798. 2004.(In Chinese).

23 

Wang S, Aurora AB, Johnson BA, Qi X, McAnally J, Hill JA, Richardson JA, Bassel-Duby R and Olson EN: The endothelial-specific microRNA miR-126 governs vascular integrity and angiogenesis. Dev Cell. 15:261–271. 2008. View Article : Google Scholar : PubMed/NCBI

24 

Fish JE, Santoro MM, Morton SU, Yu S, Yeh RF, Wythe JD, Ivey KN, Bruneau BG, Stainier DY and Srivastava D: miR-126 regulates angiogenic signaling and vascular integrity. Dev Cell. 15:272–284. 2008. View Article : Google Scholar : PubMed/NCBI

25 

Radom-Aizik S, Zaldivar FP Jr, Haddad F and Cooper DM: Impact of brief exercise on circulating monocyte gene and microRNA expression: Implications for atherosclerotic vascular disease. Brain Behav Immun. 39:121–129. 2014. View Article : Google Scholar : PubMed/NCBI

26 

Wang M, Wang W, Wang J and Zhang J: MiR-182 promotes glucose metabolism by upregulating hypoxia-inducible factor 1α in NSCLC cells. Biochem Biophys Res Commun. 504:400–405. 2018. View Article : Google Scholar : PubMed/NCBI

27 

Cheng HP, Gong D, Zhao ZW, He PP, Yu XH, Ye Q, Huang C, Zhang X, Chen LY, Xie W, et al: MicroRNA-182 promotes lipoprotein lipase expression and atherogenesis by targeting histone deacetylase 9 in apolipoprotein E-knockout mice. Circ J. 82:28–38. 2017. View Article : Google Scholar : PubMed/NCBI

28 

Schmidt MHH, Bicker F, Nikolic I, Meister J, Babuke T, Picuric S, Müller-Esterl W, Plate KH and Dikic I: Epidermal growth factor-like domain 7 (EGFL7) modulates Notch signalling and affects neural stem cell renewal. Nat Cell Biol. 11:873–880. 2009. View Article : Google Scholar : PubMed/NCBI

29 

Lee YJ, Bernstock JD, Klimanis D and Hallenbeck JM: Akt protein kinase, miR-200/miR-182 expression and epithelialmesenchymal transition proteins in hibernating ground squirrels. Front Mol Neurosci. 11:222018. View Article : Google Scholar : PubMed/NCBI

Related Articles

  • Abstract
  • View
  • Download
  • Twitter
Copy and paste a formatted citation
Spandidos Publications style
Qi R, Liu H, Liu C, Xu Y and Liu C: Expression and short‑term prognostic value of miR‑126 and miR‑182 in patients with acute stroke. Exp Ther Med 19: 527-534, 2020.
APA
Qi, R., Liu, H., Liu, C., Xu, Y., & Liu, C. (2020). Expression and short‑term prognostic value of miR‑126 and miR‑182 in patients with acute stroke. Experimental and Therapeutic Medicine, 19, 527-534. https://doi.org/10.3892/etm.2019.8227
MLA
Qi, R., Liu, H., Liu, C., Xu, Y., Liu, C."Expression and short‑term prognostic value of miR‑126 and miR‑182 in patients with acute stroke". Experimental and Therapeutic Medicine 19.1 (2020): 527-534.
Chicago
Qi, R., Liu, H., Liu, C., Xu, Y., Liu, C."Expression and short‑term prognostic value of miR‑126 and miR‑182 in patients with acute stroke". Experimental and Therapeutic Medicine 19, no. 1 (2020): 527-534. https://doi.org/10.3892/etm.2019.8227
Copy and paste a formatted citation
x
Spandidos Publications style
Qi R, Liu H, Liu C, Xu Y and Liu C: Expression and short‑term prognostic value of miR‑126 and miR‑182 in patients with acute stroke. Exp Ther Med 19: 527-534, 2020.
APA
Qi, R., Liu, H., Liu, C., Xu, Y., & Liu, C. (2020). Expression and short‑term prognostic value of miR‑126 and miR‑182 in patients with acute stroke. Experimental and Therapeutic Medicine, 19, 527-534. https://doi.org/10.3892/etm.2019.8227
MLA
Qi, R., Liu, H., Liu, C., Xu, Y., Liu, C."Expression and short‑term prognostic value of miR‑126 and miR‑182 in patients with acute stroke". Experimental and Therapeutic Medicine 19.1 (2020): 527-534.
Chicago
Qi, R., Liu, H., Liu, C., Xu, Y., Liu, C."Expression and short‑term prognostic value of miR‑126 and miR‑182 in patients with acute stroke". Experimental and Therapeutic Medicine 19, no. 1 (2020): 527-534. https://doi.org/10.3892/etm.2019.8227
Follow us
  • Twitter
  • LinkedIn
  • Facebook
About
  • Spandidos Publications
  • Careers
  • Cookie Policy
  • Privacy Policy
How can we help?
  • Help
  • Live Chat
  • Contact
  • Email to our Support Team