Spandidos Publications Logo
  • About
    • About Spandidos
    • Aims and Scopes
    • Abstracting and Indexing
    • Editorial Policies
    • Reprints and Permissions
    • Job Opportunities
    • Terms and Conditions
    • Contact
  • Journals
    • All Journals
    • Oncology Letters
      • Oncology Letters
      • Information for Authors
      • Editorial Policies
      • Editorial Board
      • Aims and Scope
      • Abstracting and Indexing
      • Bibliographic Information
      • Archive
    • International Journal of Oncology
      • International Journal of Oncology
      • Information for Authors
      • Editorial Policies
      • Editorial Board
      • Aims and Scope
      • Abstracting and Indexing
      • Bibliographic Information
      • Archive
    • Molecular and Clinical Oncology
      • Molecular and Clinical Oncology
      • Information for Authors
      • Editorial Policies
      • Editorial Board
      • Aims and Scope
      • Abstracting and Indexing
      • Bibliographic Information
      • Archive
    • Experimental and Therapeutic Medicine
      • Experimental and Therapeutic Medicine
      • Information for Authors
      • Editorial Policies
      • Editorial Board
      • Aims and Scope
      • Abstracting and Indexing
      • Bibliographic Information
      • Archive
    • International Journal of Molecular Medicine
      • International Journal of Molecular Medicine
      • Information for Authors
      • Editorial Policies
      • Editorial Board
      • Aims and Scope
      • Abstracting and Indexing
      • Bibliographic Information
      • Archive
    • Biomedical Reports
      • Biomedical Reports
      • Information for Authors
      • Editorial Policies
      • Editorial Board
      • Aims and Scope
      • Abstracting and Indexing
      • Bibliographic Information
      • Archive
    • Oncology Reports
      • Oncology Reports
      • Information for Authors
      • Editorial Policies
      • Editorial Board
      • Aims and Scope
      • Abstracting and Indexing
      • Bibliographic Information
      • Archive
    • Molecular Medicine Reports
      • Molecular Medicine Reports
      • Information for Authors
      • Editorial Policies
      • Editorial Board
      • Aims and Scope
      • Abstracting and Indexing
      • Bibliographic Information
      • Archive
    • World Academy of Sciences Journal
      • World Academy of Sciences Journal
      • Information for Authors
      • Editorial Policies
      • Editorial Board
      • Aims and Scope
      • Abstracting and Indexing
      • Bibliographic Information
      • Archive
    • International Journal of Functional Nutrition
      • International Journal of Functional Nutrition
      • Information for Authors
      • Editorial Policies
      • Editorial Board
      • Aims and Scope
      • Abstracting and Indexing
      • Bibliographic Information
      • Archive
    • International Journal of Epigenetics
      • International Journal of Epigenetics
      • Information for Authors
      • Editorial Policies
      • Editorial Board
      • Aims and Scope
      • Abstracting and Indexing
      • Bibliographic Information
      • Archive
    • Medicine International
      • Medicine International
      • Information for Authors
      • Editorial Policies
      • Editorial Board
      • Aims and Scope
      • Abstracting and Indexing
      • Bibliographic Information
      • Archive
  • Articles
  • Information
    • Information for Authors
    • Information for Reviewers
    • Information for Librarians
    • Information for Advertisers
    • Conferences
  • Language Editing
Spandidos Publications Logo
  • About
    • About Spandidos
    • Aims and Scopes
    • Abstracting and Indexing
    • Editorial Policies
    • Reprints and Permissions
    • Job Opportunities
    • Terms and Conditions
    • Contact
  • Journals
    • All Journals
    • Biomedical Reports
      • Information for Authors
      • Editorial Policies
      • Editorial Board
      • Aims and Scope
      • Abstracting and Indexing
      • Bibliographic Information
      • Archive
    • Experimental and Therapeutic Medicine
      • Information for Authors
      • Editorial Policies
      • Editorial Board
      • Aims and Scope
      • Abstracting and Indexing
      • Bibliographic Information
      • Archive
    • International Journal of Epigenetics
      • Information for Authors
      • Editorial Policies
      • Editorial Board
      • Aims and Scope
      • Abstracting and Indexing
      • Bibliographic Information
      • Archive
    • International Journal of Functional Nutrition
      • Information for Authors
      • Editorial Policies
      • Editorial Board
      • Aims and Scope
      • Abstracting and Indexing
      • Bibliographic Information
      • Archive
    • International Journal of Molecular Medicine
      • Information for Authors
      • Editorial Policies
      • Editorial Board
      • Aims and Scope
      • Abstracting and Indexing
      • Bibliographic Information
      • Archive
    • International Journal of Oncology
      • Information for Authors
      • Editorial Policies
      • Editorial Board
      • Aims and Scope
      • Abstracting and Indexing
      • Bibliographic Information
      • Archive
    • Medicine International
      • Information for Authors
      • Editorial Policies
      • Editorial Board
      • Aims and Scope
      • Abstracting and Indexing
      • Bibliographic Information
      • Archive
    • Molecular and Clinical Oncology
      • Information for Authors
      • Editorial Policies
      • Editorial Board
      • Aims and Scope
      • Abstracting and Indexing
      • Bibliographic Information
      • Archive
    • Molecular Medicine Reports
      • Information for Authors
      • Editorial Policies
      • Editorial Board
      • Aims and Scope
      • Abstracting and Indexing
      • Bibliographic Information
      • Archive
    • Oncology Letters
      • Information for Authors
      • Editorial Policies
      • Editorial Board
      • Aims and Scope
      • Abstracting and Indexing
      • Bibliographic Information
      • Archive
    • Oncology Reports
      • Information for Authors
      • Editorial Policies
      • Editorial Board
      • Aims and Scope
      • Abstracting and Indexing
      • Bibliographic Information
      • Archive
    • World Academy of Sciences Journal
      • Information for Authors
      • Editorial Policies
      • Editorial Board
      • Aims and Scope
      • Abstracting and Indexing
      • Bibliographic Information
      • Archive
  • Articles
  • Information
    • For Authors
    • For Reviewers
    • For Librarians
    • For Advertisers
    • Conferences
  • Language Editing
Login Register Submit
  • This site uses cookies
  • You can change your cookie settings at any time by following the instructions in our Cookie Policy. To find out more, you may read our Privacy Policy.

    I agree
Search articles by DOI, keyword, author or affiliation
Search
Advanced Search
presentation
Experimental and Therapeutic Medicine
Join Editorial Board Propose a Special Issue
Print ISSN: 1792-0981 Online ISSN: 1792-1015
Journal Cover
March-2020 Volume 19 Issue 3

Full Size Image

Sign up for eToc alerts
Recommend to Library

Journals

International Journal of Molecular Medicine

International Journal of Molecular Medicine

International Journal of Molecular Medicine is an international journal devoted to molecular mechanisms of human disease.

International Journal of Oncology

International Journal of Oncology

International Journal of Oncology is an international journal devoted to oncology research and cancer treatment.

Molecular Medicine Reports

Molecular Medicine Reports

Covers molecular medicine topics such as pharmacology, pathology, genetics, neuroscience, infectious diseases, molecular cardiology, and molecular surgery.

Oncology Reports

Oncology Reports

Oncology Reports is an international journal devoted to fundamental and applied research in Oncology.

Experimental and Therapeutic Medicine

Experimental and Therapeutic Medicine

Experimental and Therapeutic Medicine is an international journal devoted to laboratory and clinical medicine.

Oncology Letters

Oncology Letters

Oncology Letters is an international journal devoted to Experimental and Clinical Oncology.

Biomedical Reports

Biomedical Reports

Explores a wide range of biological and medical fields, including pharmacology, genetics, microbiology, neuroscience, and molecular cardiology.

Molecular and Clinical Oncology

Molecular and Clinical Oncology

International journal addressing all aspects of oncology research, from tumorigenesis and oncogenes to chemotherapy and metastasis.

World Academy of Sciences Journal

World Academy of Sciences Journal

Multidisciplinary open-access journal spanning biochemistry, genetics, neuroscience, environmental health, and synthetic biology.

International Journal of Functional Nutrition

International Journal of Functional Nutrition

Open-access journal combining biochemistry, pharmacology, immunology, and genetics to advance health through functional nutrition.

International Journal of Epigenetics

International Journal of Epigenetics

Publishes open-access research on using epigenetics to advance understanding and treatment of human disease.

Medicine International

Medicine International

An International Open Access Journal Devoted to General Medicine.

Journal Cover
March-2020 Volume 19 Issue 3

Full Size Image

Sign up for eToc alerts
Recommend to Library

  • Article
  • Citations
    • Cite This Article
    • Download Citation
    • Create Citation Alert
    • Remove Citation Alert
    • Cited By
  • Similar Articles
    • Related Articles (in Spandidos Publications)
    • Similar Articles (Google Scholar)
    • Similar Articles (PubMed)
  • Download PDF
  • Download XML
  • View XML
Article Open Access

Plantamajoside represses the growth and metastasis of malignant melanoma

  • Authors:
    • Yan Wang
    • Mingzhu Liu
    • Shenglan Chen
    • Qin Wu
  • View Affiliations / Copyright

    Affiliations: College of Medical Technology, Jiangsu Vocational College of Medicine, Yancheng, Jiangsu 224000, P.R. China, Department of Dermatology, Nanjing Integrated Traditional Chinese and Western Medicine Hospital Affiliated to Nanjing University of Chinese Medicine, Nanjing, Jiangsu 210014, P.R. China
    Copyright: © Wang et al. This is an open access article distributed under the terms of Creative Commons Attribution License.
  • Pages: 2296-2302
    |
    Published online on: January 10, 2020
       https://doi.org/10.3892/etm.2020.8442
  • Expand metrics +
Metrics: Total Views: 0 (Spandidos Publications: | PMC Statistics: )
Metrics: Total PDF Downloads: 0 (Spandidos Publications: | PMC Statistics: )
Cited By (CrossRef): 0 citations Loading Articles...

This article is mentioned in:



Abstract

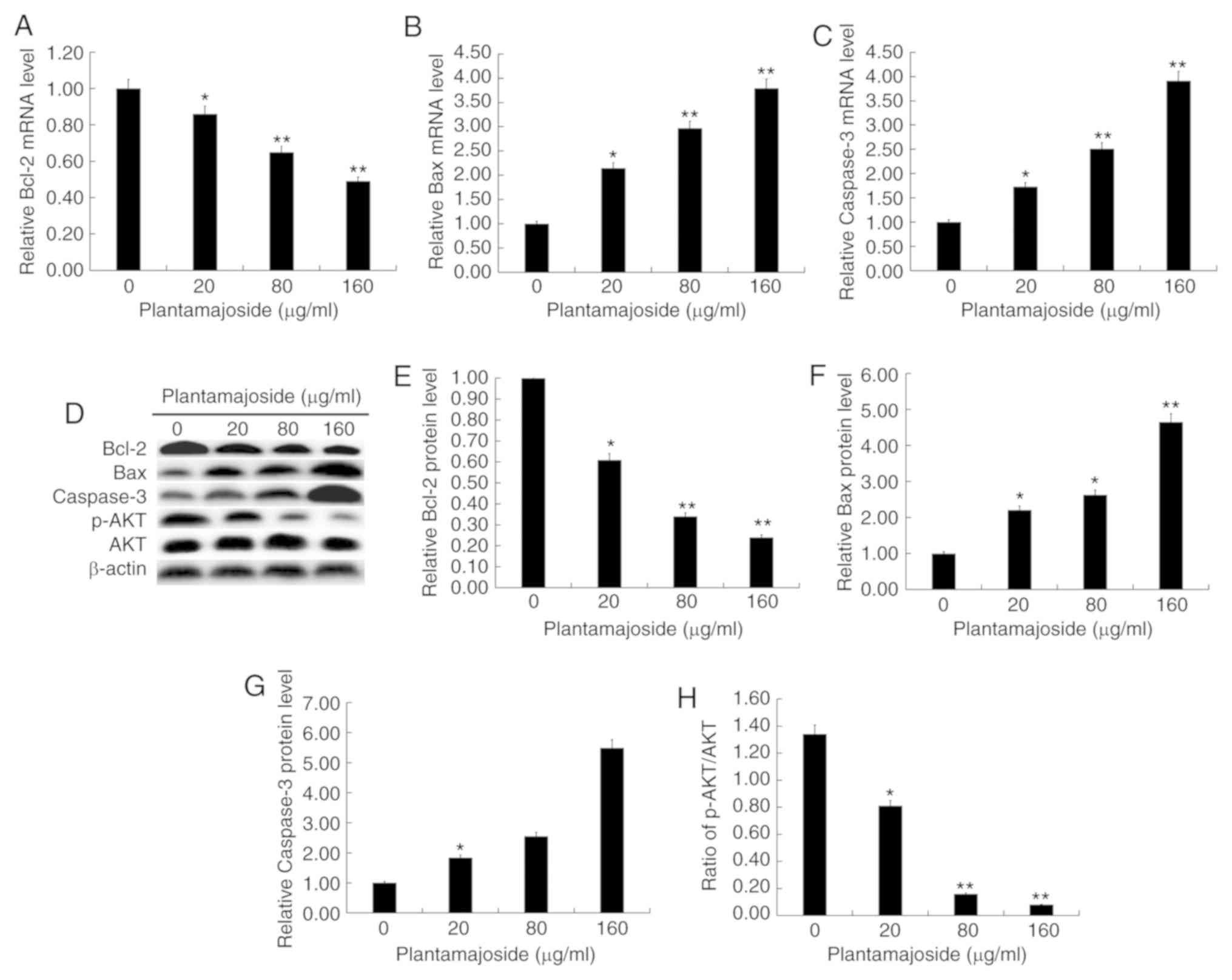
Plantamajoside (PMS) has been shown to have anticancer effects and is the main compound of Plantago asiatica. The aim of the present study was to investigate the effects of PMS on malignant melanoma and its molecular mechanisms. The malignant melanoma cell line A2058 was treated with different concentrations of PMS (0, 20, 80 and 160 µg/ml) for 24, 48 or 72 h, followed by cell viability detection using the Cell Counting Kit‑8 assay. The present results suggested that PMS inhibited cell viability in a dose‑dependent manner. In addition, flow cytometry was used to analyze cell apoptosis, and Transwell assays were used to investigate cell migration and invasion. The present results suggested that PMS induced A2058 cell apoptosis, and inhibited cell invasion and migration in a dose‑dependent manner. In order to study the molecular mechanism by which PMS inhibited malignant melanoma growth and metastasis, reverse transcription‑quantitative PCR and western blotting were used to determine the expression levels of apoptotic‑related genes and PI3K/AKT signaling pathway‑related proteins. The present results indicated that PMS inhibited the protein and mRNA expression of Bcl‑2, and promoted the expression of Bax and caspase‑3 in a dose‑dependent manner. The protein expression level of phosphorylated‑AKT was dose‑dependently reduced by PMS treatment. Collectively, the present results suggested that PMS inhibited the invasion, migration and viability of malignant melanoma cells. In addition, PMS induced apoptosis by regulating the expression levels of apoptotic‑related genes and the activation of the PI3K/AKT signaling pathway, thereby exerting anti‑malignant melanoma effects.
View Figures

Figure 1

Figure 2

Figure 3

Figure 4

Figure 5

View References

1 

Sandhra MC, Alexandra APM, Nádia SVC, Isadora CC, Poliane C, de Oliveira LCA and Herman S: Synthesis and in vitro assessment of anticancer hydrogels composed by carboxymethylcellulose-doxorubicin as potential transdermal delivery systems for treatment of skin cancer. J Mol Liq. 266:425–440. 2018. View Article : Google Scholar

2 

Haass NK, Smalley KSM, Li L and Herlyn M: Adhesion, migration and communication in melanocytes and melanoma. Pigment Cell Res. 18:150–159. 2005. View Article : Google Scholar : PubMed/NCBI

3 

Ferreira LM, Cervi VF, Sari MHM, Barbieri AV, Ramos AP, Copetti PM, de Brum GF, Nascimento K, Nadal JM, Farago PV, et al: Diphenyl diselenide loaded poly(ε-caprolactone) nanocapsules with selective antimelanoma activity: Development and cytotoxic evaluation. Mater Sci Eng C Mater Biol Appl. 91:1–9. 2018. View Article : Google Scholar : PubMed/NCBI

4 

Coricovac D, Dehelean C, Moaca EA, Pinzaru I, Bratu T, Navolan D and Boruga O: Cutaneous melanoma-A long road from experimental models to clinical outcome: A review. Int J Mol Sci. 19(pii): E15662018. View Article : Google Scholar : PubMed/NCBI

5 

Mou K, Ding M, Han D, Zhou Y, Mu X, Liu W and Wang L: miR-590-5p inhibits tumor growth in malignant melanoma by suppressing YAP1 expression. Oncol Rep. 40:2056–2066. 2018.PubMed/NCBI

6 

Dzwierzynski WW: Managing malignant melanoma. Plast Reconstr Surg. 132:446e–460e. 2013. View Article : Google Scholar : PubMed/NCBI

7 

Shi Z, Lan B, Peng B, Wang X, Zhang G, Li X and Guo F: Combination therapy with BH3 mimetic and hyperthermia tends to be more effective on anti-melanoma treatment. Biochem Biophys Res Commun. 503:249–256. 2018. View Article : Google Scholar : PubMed/NCBI

8 

Garbe C, Eigentler TK, Keilholz U, Hauschild A and Kirkwood JM: Systematic review of medical treatment in melanoma: Current status and future prospects. Oncologist. 16:5–24. 2011. View Article : Google Scholar : PubMed/NCBI

9 

Tariq A, Sadia S, Pan K, Ullah I, Mussarat S, Sun F, Abiodun OO, Batbaatar A, Li Z, Song D, et al: A systematic review on ethnomedicines of anti-cancer plants. Phytother Res. 31:202–264. 2017. View Article : Google Scholar : PubMed/NCBI

10 

Chao J, Dai Y, Verpoorte R, Lam W, Cheng YC, Pao LH, Zhang W and Chen S: Major achievements of evidence-based traditional Chinese medicine in treating major diseases. Biochem Pharmacol. 139:94–104. 2017. View Article : Google Scholar : PubMed/NCBI

11 

Pei S, Yang X, Wang H, Zhang H, Zhou B, Zhang D and Lin D: Plantamajoside, a potential anti-tumor herbal medicine inhibits breast cancer growth and pulmonary metastasis by decreasing the activity of matrix metalloproteinase-9 and −2. BMC Cancer. 15:9652015. View Article : Google Scholar : PubMed/NCBI

12 

Damery S, Gratus C, Grieve R, Warmington S, Jones J, Routledge P, Greenfield S, Dowswell G, Sherriff J and Wilson S: The use of herbal medicines by people with cancer: A cross-sectional survey. Br J Cancer. 104:927–933. 2011. View Article : Google Scholar : PubMed/NCBI

13 

Khan T and Gurav P: PhytoNanotechnology: Enhancing delivery of plant based Anti-cancer drugs. Front Pharmacol. 8:10022018. View Article : Google Scholar : PubMed/NCBI

14 

Samuelsen AB: The traditional uses, chemical constituents and biological activities of plantago major L. A review. J Ethnopharmacol. 71:1–21. 2000. View Article : Google Scholar : PubMed/NCBI

15 

Liu F, Huang X, He JJ, Song C, Peng L, Chen T and Wu BL: Plantamajoside attenuates inflammatory response in LPS-stimulated human gingival fibroblasts by inhibiting PI3K/AKT signaling pathway. Microb Pathog. 127:208–211. 2019. View Article : Google Scholar : PubMed/NCBI

16 

Han AR, Nam MH and Lee KW: Plantamajoside Inhibits UVB and Advanced Glycation End products-induced MMP-1 expression by suppressing the MAPK and NF-κB pathways in HaCaT cells. Photochem Photobiol. 92:708–719. 2016. View Article : Google Scholar : PubMed/NCBI

17 

Jung HY, Seo DW, Hong CO, Kim JY, Yang SY and Lee KW: Nephroprotection of plantamajoside in rats treated with cadmium. Environ Toxicol Pharmacol. 39:125–136. 2015. View Article : Google Scholar : PubMed/NCBI

18 

Wang Y and Yan D: Plantamajoside exerts antifibrosis effects in the liver by inhibiting hepatic stellate cell activation. Exp Ther Med. 18:2421–2428. 2019.PubMed/NCBI

19 

Li X, Chen D, Li M, Gao X, Shi G and Zhao H: Plantamajoside inhibits lipopolysaccharide-induced epithelial-mesenchymal transition through suppressing the NF-κB/IL-6 signaling in esophageal squamous cell carcinoma cells. Biomed Pharmacother. 102:1045–1051. 2018. View Article : Google Scholar : PubMed/NCBI

20 

Livak KJ and Schmittgen TD: Analysis of relative gene expression data using real-time quantitative PCR and the 2(-Delta Delta C(T)) method. Methods. 25:402–408. 2001. View Article : Google Scholar : PubMed/NCBI

21 

Kozovska Z, Gabrisova V and Kucerova L: Malignant melanoma: Diagnosis, treatment and cancer stem cells. Neoplasma. 63:510–517. 2016. View Article : Google Scholar : PubMed/NCBI

22 

Markovic SN, Erickson LA, Flotte TJ, Kottschade LA, McWilliams RR, Jakub JW, Farley DR, Tran NV, Schild SE, Olivier KR, et al: Metastatic malignant melanoma. G Ital Dermatol Venereol. 144:1–26. 2009.PubMed/NCBI

23 

Franklin C, Livingstone E, Roesch A, Schilling B and Schadendorf D: Immunotherapy in melanoma: Recent advances and future directions. Eur J Surg Oncol. 43:604–611. 2017. View Article : Google Scholar : PubMed/NCBI

24 

Greco A, Safi D, Swami U, Ginader T, Milhem M and Zakharia Y: Efficacy and adverse events in metastatic melanoma patients treated with combination BRAF plus MEK inhibitors versus BRAF inhibitors: A systematic review. Cancers (Basel). 11(pii): E19502019. View Article : Google Scholar : PubMed/NCBI

25 

Stahl T and Loquai C: Treatment side effects and follow-up of malignant melanoma. Radiologe. 55:136–143. 2015.(In German). View Article : Google Scholar : PubMed/NCBI

26 

Cancedda S, Rohrer Bley C, Aresu L, Dacasto M, Leone VF, Pizzoni S, Gracis M and Marconato L: Efficacy and side effects of radiation therapy in comparison with radiation therapy and temozolomide in the treatment of measurable canine malignant melanoma. Vet Comp Oncol. 14:e146–e157. 2016. View Article : Google Scholar : PubMed/NCBI

27 

Bollag G, Hirth P, Tsai J, Zhang J, Ibrahim PN, Cho H, Spevak W, Zhang C, Zhang Y, Habets G, et al: Clinical efficacy of a RAF inhibitor needs broad target blockade in BRAF-mutant melanoma. Nature. 467:596–599. 2010. View Article : Google Scholar : PubMed/NCBI

28 

Hauschild A, Agarwala SS, Trefzer U, Hogg D, Robert C, Hersey P, Eggermont A, Grabbe S, Gonzalez R, Gille J, et al: Results of a Phase III, Randomized, Placebo-controlled study of Sorafenib in combination with carboplatin and paclitaxel as second-line treatment in patients with Unresectable stage III or stage IV melanoma. J Clin Oncol. 27:2823–2830. 2009. View Article : Google Scholar : PubMed/NCBI

29 

Nazarian R, Shi H, Wang Q, Kong X, Koya RC, Lee H, Chen Z, Lee MK, Attar N, Sazegar H, et al: Melanomas acquire resistance to B-RAF(V600E) inhibition by RTK or N-RAS upregulation. Nature. 468:973–977. 2010. View Article : Google Scholar : PubMed/NCBI

30 

Davies MA: The role of the PI3K-AKT pathway in melanoma. Cancer J. 18:142–147. 2012. View Article : Google Scholar : PubMed/NCBI

31 

Yajima I, Kumasaka MY, Thang ND, Goto Y, Takeda K, Yamanoshita O, Iida M, Ohgami N, Tamura H, Kawamoto Y and Kato M: RAS/RAF/MEK/ERK and PI3K/PTEN/AKT signaling in malignant melanoma progression and therapy. Dermatol Res Pract. 2012:3541912012. View Article : Google Scholar : PubMed/NCBI

32 

Martini M, De Santis MC, Braccini L, Gulluni F and Hirsch E: PI3K/AKT signaling pathway and cancer: An updated review. Ann Med. 46:372–383. 2014. View Article : Google Scholar : PubMed/NCBI

33 

Liu P, Cheng H, Roberts TM and Zhao JJ: Targeting the phosphoinositide 3-kinase pathway in cancer. Nat Rev Drug Discov. 8:627–644. 2009. View Article : Google Scholar : PubMed/NCBI

Related Articles

  • Abstract
  • View
  • Download
  • Twitter
Copy and paste a formatted citation
Spandidos Publications style
Wang Y, Liu M, Chen S and Wu Q: Plantamajoside represses the growth and metastasis of malignant melanoma. Exp Ther Med 19: 2296-2302, 2020.
APA
Wang, Y., Liu, M., Chen, S., & Wu, Q. (2020). Plantamajoside represses the growth and metastasis of malignant melanoma. Experimental and Therapeutic Medicine, 19, 2296-2302. https://doi.org/10.3892/etm.2020.8442
MLA
Wang, Y., Liu, M., Chen, S., Wu, Q."Plantamajoside represses the growth and metastasis of malignant melanoma". Experimental and Therapeutic Medicine 19.3 (2020): 2296-2302.
Chicago
Wang, Y., Liu, M., Chen, S., Wu, Q."Plantamajoside represses the growth and metastasis of malignant melanoma". Experimental and Therapeutic Medicine 19, no. 3 (2020): 2296-2302. https://doi.org/10.3892/etm.2020.8442
Copy and paste a formatted citation
x
Spandidos Publications style
Wang Y, Liu M, Chen S and Wu Q: Plantamajoside represses the growth and metastasis of malignant melanoma. Exp Ther Med 19: 2296-2302, 2020.
APA
Wang, Y., Liu, M., Chen, S., & Wu, Q. (2020). Plantamajoside represses the growth and metastasis of malignant melanoma. Experimental and Therapeutic Medicine, 19, 2296-2302. https://doi.org/10.3892/etm.2020.8442
MLA
Wang, Y., Liu, M., Chen, S., Wu, Q."Plantamajoside represses the growth and metastasis of malignant melanoma". Experimental and Therapeutic Medicine 19.3 (2020): 2296-2302.
Chicago
Wang, Y., Liu, M., Chen, S., Wu, Q."Plantamajoside represses the growth and metastasis of malignant melanoma". Experimental and Therapeutic Medicine 19, no. 3 (2020): 2296-2302. https://doi.org/10.3892/etm.2020.8442
Follow us
  • Twitter
  • LinkedIn
  • Facebook
About
  • Spandidos Publications
  • Careers
  • Cookie Policy
  • Privacy Policy
How can we help?
  • Help
  • Live Chat
  • Contact
  • Email to our Support Team