Spandidos Publications Logo
  • About
    • About Spandidos
    • Aims and Scopes
    • Abstracting and Indexing
    • Editorial Policies
    • Reprints and Permissions
    • Job Opportunities
    • Terms and Conditions
    • Contact
  • Journals
    • All Journals
    • Oncology Letters
      • Oncology Letters
      • Information for Authors
      • Editorial Policies
      • Editorial Board
      • Aims and Scope
      • Abstracting and Indexing
      • Bibliographic Information
      • Archive
    • International Journal of Oncology
      • International Journal of Oncology
      • Information for Authors
      • Editorial Policies
      • Editorial Board
      • Aims and Scope
      • Abstracting and Indexing
      • Bibliographic Information
      • Archive
    • Molecular and Clinical Oncology
      • Molecular and Clinical Oncology
      • Information for Authors
      • Editorial Policies
      • Editorial Board
      • Aims and Scope
      • Abstracting and Indexing
      • Bibliographic Information
      • Archive
    • Experimental and Therapeutic Medicine
      • Experimental and Therapeutic Medicine
      • Information for Authors
      • Editorial Policies
      • Editorial Board
      • Aims and Scope
      • Abstracting and Indexing
      • Bibliographic Information
      • Archive
    • International Journal of Molecular Medicine
      • International Journal of Molecular Medicine
      • Information for Authors
      • Editorial Policies
      • Editorial Board
      • Aims and Scope
      • Abstracting and Indexing
      • Bibliographic Information
      • Archive
    • Biomedical Reports
      • Biomedical Reports
      • Information for Authors
      • Editorial Policies
      • Editorial Board
      • Aims and Scope
      • Abstracting and Indexing
      • Bibliographic Information
      • Archive
    • Oncology Reports
      • Oncology Reports
      • Information for Authors
      • Editorial Policies
      • Editorial Board
      • Aims and Scope
      • Abstracting and Indexing
      • Bibliographic Information
      • Archive
    • Molecular Medicine Reports
      • Molecular Medicine Reports
      • Information for Authors
      • Editorial Policies
      • Editorial Board
      • Aims and Scope
      • Abstracting and Indexing
      • Bibliographic Information
      • Archive
    • World Academy of Sciences Journal
      • World Academy of Sciences Journal
      • Information for Authors
      • Editorial Policies
      • Editorial Board
      • Aims and Scope
      • Abstracting and Indexing
      • Bibliographic Information
      • Archive
    • International Journal of Functional Nutrition
      • International Journal of Functional Nutrition
      • Information for Authors
      • Editorial Policies
      • Editorial Board
      • Aims and Scope
      • Abstracting and Indexing
      • Bibliographic Information
      • Archive
    • International Journal of Epigenetics
      • International Journal of Epigenetics
      • Information for Authors
      • Editorial Policies
      • Editorial Board
      • Aims and Scope
      • Abstracting and Indexing
      • Bibliographic Information
      • Archive
    • Medicine International
      • Medicine International
      • Information for Authors
      • Editorial Policies
      • Editorial Board
      • Aims and Scope
      • Abstracting and Indexing
      • Bibliographic Information
      • Archive
  • Articles
  • Information
    • Information for Authors
    • Information for Reviewers
    • Information for Librarians
    • Information for Advertisers
    • Conferences
  • Language Editing
Spandidos Publications Logo
  • About
    • About Spandidos
    • Aims and Scopes
    • Abstracting and Indexing
    • Editorial Policies
    • Reprints and Permissions
    • Job Opportunities
    • Terms and Conditions
    • Contact
  • Journals
    • All Journals
    • Biomedical Reports
      • Information for Authors
      • Editorial Policies
      • Editorial Board
      • Aims and Scope
      • Abstracting and Indexing
      • Bibliographic Information
      • Archive
    • Experimental and Therapeutic Medicine
      • Information for Authors
      • Editorial Policies
      • Editorial Board
      • Aims and Scope
      • Abstracting and Indexing
      • Bibliographic Information
      • Archive
    • International Journal of Epigenetics
      • Information for Authors
      • Editorial Policies
      • Editorial Board
      • Aims and Scope
      • Abstracting and Indexing
      • Bibliographic Information
      • Archive
    • International Journal of Functional Nutrition
      • Information for Authors
      • Editorial Policies
      • Editorial Board
      • Aims and Scope
      • Abstracting and Indexing
      • Bibliographic Information
      • Archive
    • International Journal of Molecular Medicine
      • Information for Authors
      • Editorial Policies
      • Editorial Board
      • Aims and Scope
      • Abstracting and Indexing
      • Bibliographic Information
      • Archive
    • International Journal of Oncology
      • Information for Authors
      • Editorial Policies
      • Editorial Board
      • Aims and Scope
      • Abstracting and Indexing
      • Bibliographic Information
      • Archive
    • Medicine International
      • Information for Authors
      • Editorial Policies
      • Editorial Board
      • Aims and Scope
      • Abstracting and Indexing
      • Bibliographic Information
      • Archive
    • Molecular and Clinical Oncology
      • Information for Authors
      • Editorial Policies
      • Editorial Board
      • Aims and Scope
      • Abstracting and Indexing
      • Bibliographic Information
      • Archive
    • Molecular Medicine Reports
      • Information for Authors
      • Editorial Policies
      • Editorial Board
      • Aims and Scope
      • Abstracting and Indexing
      • Bibliographic Information
      • Archive
    • Oncology Letters
      • Information for Authors
      • Editorial Policies
      • Editorial Board
      • Aims and Scope
      • Abstracting and Indexing
      • Bibliographic Information
      • Archive
    • Oncology Reports
      • Information for Authors
      • Editorial Policies
      • Editorial Board
      • Aims and Scope
      • Abstracting and Indexing
      • Bibliographic Information
      • Archive
    • World Academy of Sciences Journal
      • Information for Authors
      • Editorial Policies
      • Editorial Board
      • Aims and Scope
      • Abstracting and Indexing
      • Bibliographic Information
      • Archive
  • Articles
  • Information
    • For Authors
    • For Reviewers
    • For Librarians
    • For Advertisers
    • Conferences
  • Language Editing
Login Register Submit
  • This site uses cookies
  • You can change your cookie settings at any time by following the instructions in our Cookie Policy. To find out more, you may read our Privacy Policy.

    I agree
Search articles by DOI, keyword, author or affiliation
Search
Advanced Search
presentation
Experimental and Therapeutic Medicine
Join Editorial Board Propose a Special Issue
Print ISSN: 1792-0981 Online ISSN: 1792-1015
Journal Cover
April-2020 Volume 19 Issue 4

Full Size Image

Sign up for eToc alerts
Recommend to Library

Journals

International Journal of Molecular Medicine

International Journal of Molecular Medicine

International Journal of Molecular Medicine is an international journal devoted to molecular mechanisms of human disease.

International Journal of Oncology

International Journal of Oncology

International Journal of Oncology is an international journal devoted to oncology research and cancer treatment.

Molecular Medicine Reports

Molecular Medicine Reports

Covers molecular medicine topics such as pharmacology, pathology, genetics, neuroscience, infectious diseases, molecular cardiology, and molecular surgery.

Oncology Reports

Oncology Reports

Oncology Reports is an international journal devoted to fundamental and applied research in Oncology.

Experimental and Therapeutic Medicine

Experimental and Therapeutic Medicine

Experimental and Therapeutic Medicine is an international journal devoted to laboratory and clinical medicine.

Oncology Letters

Oncology Letters

Oncology Letters is an international journal devoted to Experimental and Clinical Oncology.

Biomedical Reports

Biomedical Reports

Explores a wide range of biological and medical fields, including pharmacology, genetics, microbiology, neuroscience, and molecular cardiology.

Molecular and Clinical Oncology

Molecular and Clinical Oncology

International journal addressing all aspects of oncology research, from tumorigenesis and oncogenes to chemotherapy and metastasis.

World Academy of Sciences Journal

World Academy of Sciences Journal

Multidisciplinary open-access journal spanning biochemistry, genetics, neuroscience, environmental health, and synthetic biology.

International Journal of Functional Nutrition

International Journal of Functional Nutrition

Open-access journal combining biochemistry, pharmacology, immunology, and genetics to advance health through functional nutrition.

International Journal of Epigenetics

International Journal of Epigenetics

Publishes open-access research on using epigenetics to advance understanding and treatment of human disease.

Medicine International

Medicine International

An International Open Access Journal Devoted to General Medicine.

Journal Cover
April-2020 Volume 19 Issue 4

Full Size Image

Sign up for eToc alerts
Recommend to Library

  • Article
  • Citations
    • Cite This Article
    • Download Citation
    • Create Citation Alert
    • Remove Citation Alert
    • Cited By
  • Similar Articles
    • Related Articles (in Spandidos Publications)
    • Similar Articles (Google Scholar)
    • Similar Articles (PubMed)
  • Download PDF
  • Download XML
  • View XML
Article Open Access

Recombinant human irisin regulated collagen II, matrix metalloproteinase‑13 and the Wnt/β‑catenin and NF‑κB signaling pathways in interleukin‑1β‑induced human SW1353 cells

  • Authors:
    • Xiaojun Li
    • Yibin Liu
    • Qiang Liu
    • Sa Wang
    • Yang Ma
    • Qunhua Jin
  • View Affiliations / Copyright

    Affiliations: The Third Orthopedic Department, General Hospital of Ningxia Medical University, Yinchuan, Ningxia 750001, P.R. China, General Clinical College, Ningxia Medical University, College of Medicine, Yinchuan, Ningxia 750004, P.R. China
    Copyright: © Li et al. This is an open access article distributed under the terms of Creative Commons Attribution License.
  • Pages: 2879-2886
    |
    Published online on: February 26, 2020
       https://doi.org/10.3892/etm.2020.8562
  • Expand metrics +
Metrics: Total Views: 0 (Spandidos Publications: | PMC Statistics: )
Metrics: Total PDF Downloads: 0 (Spandidos Publications: | PMC Statistics: )
Cited By (CrossRef): 0 citations Loading Articles...

This article is mentioned in:



Abstract

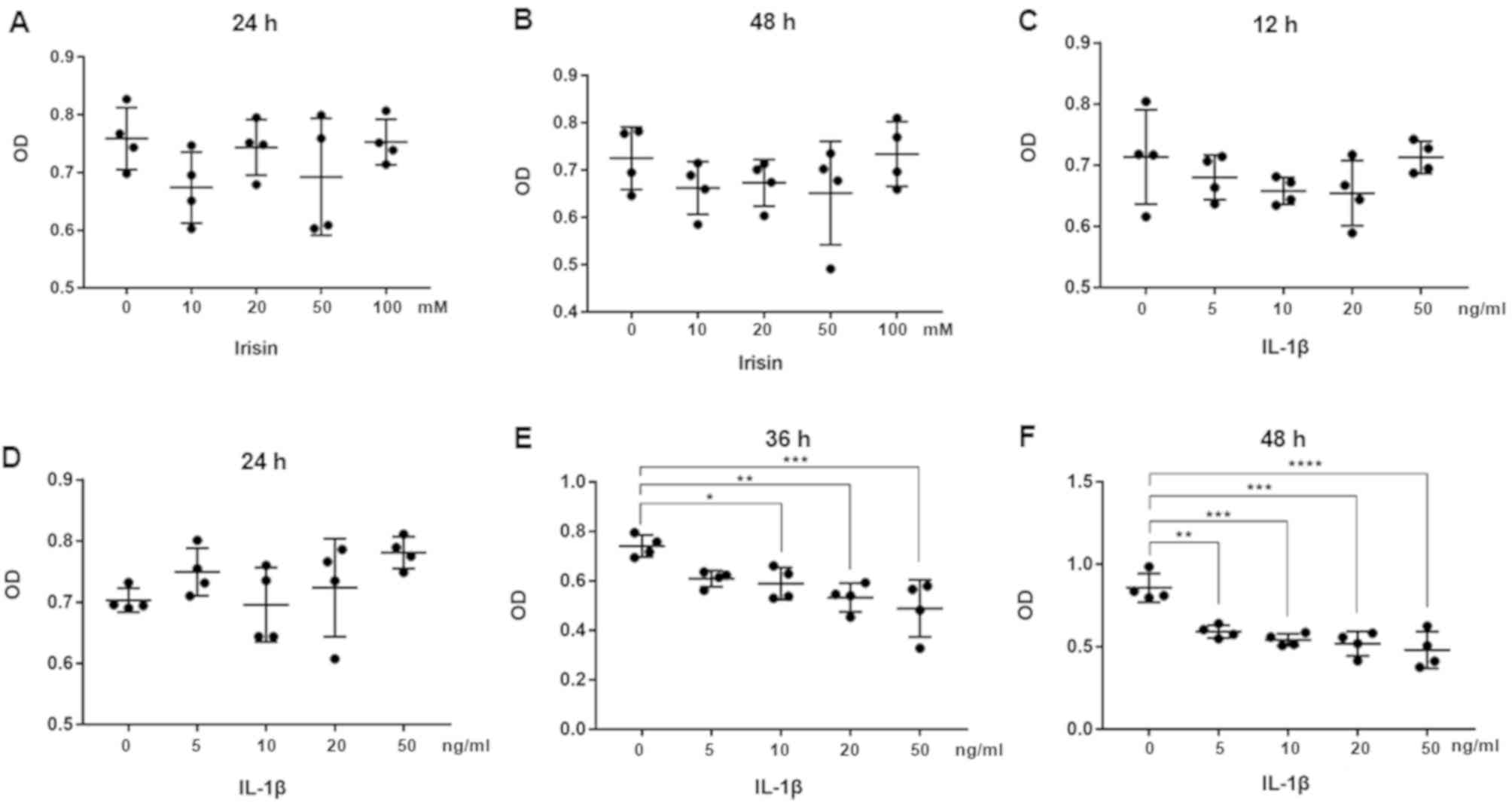
Osteoarthritis (OA) is a degenerative joint disease that seriously affects the quality of life of patients. Irisin has been reported to regulate bone metabolism via the cellular autocrine mechanism and play a protective role in rat OA. In the present study, a SW1353 chondrosarcoma cell line was treated with interleukin (IL)‑1β and irisin. The present study evaluated cell viability, expression levels of collagen II (Col II) and matrix metalloproteinase‑13 (MMP‑13), and activity of the Wnt/β‑catenin and NF‑κB signaling pathways in treated SW1353 cells. The present results suggested that IL‑1β could decrease Col II expression and increase MMP‑13 expression at both the mRNA and protein levels, and also activate the Wnt/β‑catenin and NF‑κB signaling pathways in SW1353 cells. By contrast, irisin was identified to reverse the effects of IL‑1β in IL‑1β‑induced SW1353 cells. The present results suggested that irisin treatment may have a cartilage‑protective role in an IL‑1β‑induced SW1353 cell model.
View Figures

Figure 1

Figure 2

Figure 3

Figure 4

Figure 5

Figure 6

View References

1 

Krasnokutsky S, Attur M, Palmer G, Samuels J and Abramson SB: Current concepts in the pathogenesis of osteoarthritis. Osteoarthritis Cartilage. 16 (Suppl 3):S1–S3. 2008.PubMed/NCBI View Article : Google Scholar

2 

Buckland J: Osteoarthritis: Targeting cartilage erosion in OA. Nat Rev Rheumatol. 6(64)2010.PubMed/NCBI View Article : Google Scholar

3 

Lahm A, Kasch R, Mrosek E, Spank H, Erggelet C, Esser J and Merk H: Semiquantitative analysis of ECM molecules in the different cartilage layers in early and advanced osteoarthritis of the knee joint. Histol Histopathol. 27:609–615. 2012.PubMed/NCBI View Article : Google Scholar

4 

Wang JH, Shih KS, Wu YW, Wang AW and Yang CR: Histone deacetylase inhibitors increase microRNA-146a expression and enhance negative regulation of interleukin-1β signaling in osteoarthritis fbroblast-like synoviocytes. Osteoarthritis Cartilage. 21:1987–1996. 2013.PubMed/NCBI View Article : Google Scholar

5 

Klatt AR, Klinger G, Paul-Klausch B, Kühn G, Renno JH, Wagener R, Paulsson M, Schmidt J, Malchau G and Wielckens K: Matrilin-3 activates the expression of osteoarthritis-associated genes in primary human chondrocytes. FEBS Lett. 583:3611–3617. 2009.PubMed/NCBI View Article : Google Scholar

6 

Boström P, Wu J, Jedrychowski MP, Korde A, Ye L, Lo JC, Rasbach KA, Boström EA, Choi JH, Long JZ, et al: A PGC1-a-dependent myokine that drives brown-fat-like development of white fat and thermogenesis. Nature. 481:463–468. 2012.PubMed/NCBI View Article : Google Scholar

7 

Faienza MF, Brunetti G, Sanesi L, Colaianni G, Celi M, Piacente L, D'Amato G, Schipani E, Colucci S and Grano M: High irisin levels are associated with better glycemic control and bone health in children with type 1 diabetes. Diab Res Clin Pract. 141:10–17. 2018.PubMed/NCBI View Article : Google Scholar

8 

Colaianni G, Cuscito C, Mongelli T, Pignataro P, Buccoliero C, Liu P, Lu P, Sartini L, Di Comite M, Mori G, et al: The myokine irisin increases cortical bone mass. Proc Natl Acad Sci USA. 112:12157–12162. 2015.PubMed/NCBI View Article : Google Scholar

9 

Zhang J, Valverde P, Zhu X, Murray D, Wu Y, Yu L, Jiang H, Dard MM, Huang J, Xu Z, et al: Exercise-induced irisin in bone and systemic irisin administration reveal new regulatory mechanisms of bone metabolism. Bone Res. 5(16056)2017.PubMed/NCBI View Article : Google Scholar

10 

Weng X, Lin P, Liu F, et al: Achyranthes bidentata polysaccharides activate the Wnt/β-catenin signaling pathway to promote chondrocyte proliferation. Int J Mol Med. 3:1045–1050. 2014.PubMed/NCBI View Article : Google Scholar

11 

Lotz MK and Carames B: Autophagy and cartilage homeostasis mechanisms in joint health, aging and OA. Nat Rev Rheumatol. 7:579–587. 2011.PubMed/NCBI View Article : Google Scholar

12 

Liacini A, Sylvester J, Li WQ, Huang W, Dehnade F, Ahmad M and Zafarullah M: Induction of matrix metalloproteinase-13 gene expression by TNF-alpha is mediated by MAP kinases, AP-1, and NF-kappaB transcription factors in articular chondrocytes. Exp Cell Res. 288:208–217. 2003.PubMed/NCBI View Article : Google Scholar

13 

Schaefer JF, Millham ML, de Crombrugghe B and Buckbinder L: FGF signaling antagonizes cytokine-mediated repression of Sox9 in SW1353 chondrosarcoma cells. Osteoarthritis Cartilage. 11:233–241. 2003.PubMed/NCBI View Article : Google Scholar

14 

Huang Y, Wan G and Tao J: C1q/TNF-related protein-3 exerts the chondroprotective effects in IL-1β-treated SW1353 cells by regulating the FGFR1 signaling. Biomed Pharmacother. 85:41–46. 2017.PubMed/NCBI View Article : Google Scholar

15 

Feng G and Zhang S: Salicin inhibits AGE-induced degradation of type II collagen and aggrecan in human SW1353 chondrocytes: Therapeutic potential in osteoarthritis. Artif Cells Nanomed Biotechnol. 47:1043–1049. 2019.PubMed/NCBI View Article : Google Scholar

16 

Lu YC, Jayakumar T, Duann YF, Chou YC, Hsieh CY, Yu SY, Sheu JR and Hsiao G: Chondroprotective role of sesamol by inhibiting MMPs expression via retaining NF-κB signaling in activated SW1353 cells. J Agric Food Chem. 11:4969–4978. 2011.PubMed/NCBI View Article : Google Scholar

17 

Tetsunaga T, Nishida K, Furumatsu T, Naruse K, Hirohata S, Yoshida A, Saito T and Ozaki T: Regulation of mechanical stress-induced MMP-13 and ADAMTS-5 expression by RUNX-2 transcriptional factor in SW1353 chondrocyte-like cells. Osteoarthritis Cartilage. 19:222–232. 2011.PubMed/NCBI View Article : Google Scholar

18 

Cheng NT, Meng H, Ma LF, Zhang L, Yu HM, Wang ZZ and Guo A: Role of autophagy in the progression of osteoarthritis: The autophagy inhibitor, 3-methyladenine, aggravates the severity of experimental osteoarthritis. Int J Mol Med. 39:1224–1232. 2017.PubMed/NCBI View Article : Google Scholar

19 

Livak KJ and Schmittgen TD: Analysis of relative gene expression data using real-time quantitative PCR and the 2(-Delta Delta C(T)) method. Methods. 25:402–408. 2001.PubMed/NCBI View Article : Google Scholar

20 

Chen WP, Hu ZN, Jin LB and Wu LD: Licochalcone A inhibits MMPs and ADAMTSs via the NF-κB and Wnt/β-catenin signaling pathways in rat chondrocytes. Cell Physiol Biochem. 43:937–944. 2017.PubMed/NCBI View Article : Google Scholar

21 

Troeberg L and Nagase H: Proteases involved in cartilage matrix degradation in osteoarthritis. Biochim Biophys Acta. 1824:133–145. 2012.PubMed/NCBI View Article : Google Scholar

22 

Tchetverikov I, Lohmander LS, Verzijl N, Huizinga TW, TeKoppele JM, Hanemaaijer R and DeGroot J: MMP protein and activity levels in synovial fluid from patients with joint injury, inflammatory arthritis, and osteoarthritis. Ann Rheum Dis. 64:694–698. 2005.PubMed/NCBI View Article : Google Scholar

23 

Tetlow LC, Adlam DJ and Woolley DE: Matrix metalloproteinase and proinflammatory cytokine production by chondrocytes of human osteoarthritic cartilage: Associations with degenerative changes. Arthritis Rheum. 44:585–594. 2001.PubMed/NCBI View Article : Google Scholar

24 

Matyas JR, Huang D, Chung M and Adams ME: Regional quantification of cartilage type II collagen and aggrecan messenger RNA in joints with early experimental osteoarthritis. Arthritis Rheum. 46:1536–1543. 2002.PubMed/NCBI View Article : Google Scholar

25 

Colaianni G, Cuscito C, Mongelli T, Oranger A, Mori G, Brunetti G, Colucci S, Cinti S and Grano M: Irisin enhances osteoblast differentiation in vitro. Int J Endocrinol. 2014(902186)2014.PubMed/NCBI View Article : Google Scholar

26 

Marcu KB, Otero M, Olivotto E, Borzi RM and Goldring MB: NF-кB signaling: Multiple angles to target OA. Curr Drug Targets. 11:599–613. 2010.PubMed/NCBI View Article : Google Scholar

27 

MacDonald BT, Tamai K and He X: Wnt/β-catenin signaling: Components, mechanisms, and diseases. Dev Cell. 17:9–26. 2009.PubMed/NCBI View Article : Google Scholar

28 

Roman-Blas JA and Jimenez SA: NF-kappaB as a potential therapeutic target in osteoarthritis and rheumatoid arthritis. Osteoarthritis Cartilage. 14:839–848. 2006.PubMed/NCBI View Article : Google Scholar

29 

Ma B and Hottiger MO: Crosstalk between Wnt/β-catenin and NF-кB signaling pathway during inflammation. Front Immunol. 7(378)2016.PubMed/NCBI View Article : Google Scholar

Related Articles

  • Abstract
  • View
  • Download
  • Twitter
Copy and paste a formatted citation
Spandidos Publications style
Li X, Liu Y, Liu Q, Wang S, Ma Y and Jin Q: Recombinant human irisin regulated collagen II, matrix metalloproteinase‑13 and the Wnt/β‑catenin and NF‑κB signaling pathways in interleukin‑1β‑induced human SW1353 cells. Exp Ther Med 19: 2879-2886, 2020.
APA
Li, X., Liu, Y., Liu, Q., Wang, S., Ma, Y., & Jin, Q. (2020). Recombinant human irisin regulated collagen II, matrix metalloproteinase‑13 and the Wnt/β‑catenin and NF‑κB signaling pathways in interleukin‑1β‑induced human SW1353 cells. Experimental and Therapeutic Medicine, 19, 2879-2886. https://doi.org/10.3892/etm.2020.8562
MLA
Li, X., Liu, Y., Liu, Q., Wang, S., Ma, Y., Jin, Q."Recombinant human irisin regulated collagen II, matrix metalloproteinase‑13 and the Wnt/β‑catenin and NF‑κB signaling pathways in interleukin‑1β‑induced human SW1353 cells". Experimental and Therapeutic Medicine 19.4 (2020): 2879-2886.
Chicago
Li, X., Liu, Y., Liu, Q., Wang, S., Ma, Y., Jin, Q."Recombinant human irisin regulated collagen II, matrix metalloproteinase‑13 and the Wnt/β‑catenin and NF‑κB signaling pathways in interleukin‑1β‑induced human SW1353 cells". Experimental and Therapeutic Medicine 19, no. 4 (2020): 2879-2886. https://doi.org/10.3892/etm.2020.8562
Copy and paste a formatted citation
x
Spandidos Publications style
Li X, Liu Y, Liu Q, Wang S, Ma Y and Jin Q: Recombinant human irisin regulated collagen II, matrix metalloproteinase‑13 and the Wnt/β‑catenin and NF‑κB signaling pathways in interleukin‑1β‑induced human SW1353 cells. Exp Ther Med 19: 2879-2886, 2020.
APA
Li, X., Liu, Y., Liu, Q., Wang, S., Ma, Y., & Jin, Q. (2020). Recombinant human irisin regulated collagen II, matrix metalloproteinase‑13 and the Wnt/β‑catenin and NF‑κB signaling pathways in interleukin‑1β‑induced human SW1353 cells. Experimental and Therapeutic Medicine, 19, 2879-2886. https://doi.org/10.3892/etm.2020.8562
MLA
Li, X., Liu, Y., Liu, Q., Wang, S., Ma, Y., Jin, Q."Recombinant human irisin regulated collagen II, matrix metalloproteinase‑13 and the Wnt/β‑catenin and NF‑κB signaling pathways in interleukin‑1β‑induced human SW1353 cells". Experimental and Therapeutic Medicine 19.4 (2020): 2879-2886.
Chicago
Li, X., Liu, Y., Liu, Q., Wang, S., Ma, Y., Jin, Q."Recombinant human irisin regulated collagen II, matrix metalloproteinase‑13 and the Wnt/β‑catenin and NF‑κB signaling pathways in interleukin‑1β‑induced human SW1353 cells". Experimental and Therapeutic Medicine 19, no. 4 (2020): 2879-2886. https://doi.org/10.3892/etm.2020.8562
Follow us
  • Twitter
  • LinkedIn
  • Facebook
About
  • Spandidos Publications
  • Careers
  • Cookie Policy
  • Privacy Policy
How can we help?
  • Help
  • Live Chat
  • Contact
  • Email to our Support Team