Spandidos Publications Logo
  • About
    • About Spandidos
    • Aims and Scopes
    • Abstracting and Indexing
    • Editorial Policies
    • Reprints and Permissions
    • Job Opportunities
    • Terms and Conditions
    • Contact
  • Journals
    • All Journals
    • Oncology Letters
      • Oncology Letters
      • Information for Authors
      • Editorial Policies
      • Editorial Board
      • Aims and Scope
      • Abstracting and Indexing
      • Bibliographic Information
      • Archive
    • International Journal of Oncology
      • International Journal of Oncology
      • Information for Authors
      • Editorial Policies
      • Editorial Board
      • Aims and Scope
      • Abstracting and Indexing
      • Bibliographic Information
      • Archive
    • Molecular and Clinical Oncology
      • Molecular and Clinical Oncology
      • Information for Authors
      • Editorial Policies
      • Editorial Board
      • Aims and Scope
      • Abstracting and Indexing
      • Bibliographic Information
      • Archive
    • Experimental and Therapeutic Medicine
      • Experimental and Therapeutic Medicine
      • Information for Authors
      • Editorial Policies
      • Editorial Board
      • Aims and Scope
      • Abstracting and Indexing
      • Bibliographic Information
      • Archive
    • International Journal of Molecular Medicine
      • International Journal of Molecular Medicine
      • Information for Authors
      • Editorial Policies
      • Editorial Board
      • Aims and Scope
      • Abstracting and Indexing
      • Bibliographic Information
      • Archive
    • Biomedical Reports
      • Biomedical Reports
      • Information for Authors
      • Editorial Policies
      • Editorial Board
      • Aims and Scope
      • Abstracting and Indexing
      • Bibliographic Information
      • Archive
    • Oncology Reports
      • Oncology Reports
      • Information for Authors
      • Editorial Policies
      • Editorial Board
      • Aims and Scope
      • Abstracting and Indexing
      • Bibliographic Information
      • Archive
    • Molecular Medicine Reports
      • Molecular Medicine Reports
      • Information for Authors
      • Editorial Policies
      • Editorial Board
      • Aims and Scope
      • Abstracting and Indexing
      • Bibliographic Information
      • Archive
    • World Academy of Sciences Journal
      • World Academy of Sciences Journal
      • Information for Authors
      • Editorial Policies
      • Editorial Board
      • Aims and Scope
      • Abstracting and Indexing
      • Bibliographic Information
      • Archive
    • International Journal of Functional Nutrition
      • International Journal of Functional Nutrition
      • Information for Authors
      • Editorial Policies
      • Editorial Board
      • Aims and Scope
      • Abstracting and Indexing
      • Bibliographic Information
      • Archive
    • International Journal of Epigenetics
      • International Journal of Epigenetics
      • Information for Authors
      • Editorial Policies
      • Editorial Board
      • Aims and Scope
      • Abstracting and Indexing
      • Bibliographic Information
      • Archive
    • Medicine International
      • Medicine International
      • Information for Authors
      • Editorial Policies
      • Editorial Board
      • Aims and Scope
      • Abstracting and Indexing
      • Bibliographic Information
      • Archive
  • Articles
  • Information
    • Information for Authors
    • Information for Reviewers
    • Information for Librarians
    • Information for Advertisers
    • Conferences
  • Language Editing
Spandidos Publications Logo
  • About
    • About Spandidos
    • Aims and Scopes
    • Abstracting and Indexing
    • Editorial Policies
    • Reprints and Permissions
    • Job Opportunities
    • Terms and Conditions
    • Contact
  • Journals
    • All Journals
    • Biomedical Reports
      • Information for Authors
      • Editorial Policies
      • Editorial Board
      • Aims and Scope
      • Abstracting and Indexing
      • Bibliographic Information
      • Archive
    • Experimental and Therapeutic Medicine
      • Information for Authors
      • Editorial Policies
      • Editorial Board
      • Aims and Scope
      • Abstracting and Indexing
      • Bibliographic Information
      • Archive
    • International Journal of Epigenetics
      • Information for Authors
      • Editorial Policies
      • Editorial Board
      • Aims and Scope
      • Abstracting and Indexing
      • Bibliographic Information
      • Archive
    • International Journal of Functional Nutrition
      • Information for Authors
      • Editorial Policies
      • Editorial Board
      • Aims and Scope
      • Abstracting and Indexing
      • Bibliographic Information
      • Archive
    • International Journal of Molecular Medicine
      • Information for Authors
      • Editorial Policies
      • Editorial Board
      • Aims and Scope
      • Abstracting and Indexing
      • Bibliographic Information
      • Archive
    • International Journal of Oncology
      • Information for Authors
      • Editorial Policies
      • Editorial Board
      • Aims and Scope
      • Abstracting and Indexing
      • Bibliographic Information
      • Archive
    • Medicine International
      • Information for Authors
      • Editorial Policies
      • Editorial Board
      • Aims and Scope
      • Abstracting and Indexing
      • Bibliographic Information
      • Archive
    • Molecular and Clinical Oncology
      • Information for Authors
      • Editorial Policies
      • Editorial Board
      • Aims and Scope
      • Abstracting and Indexing
      • Bibliographic Information
      • Archive
    • Molecular Medicine Reports
      • Information for Authors
      • Editorial Policies
      • Editorial Board
      • Aims and Scope
      • Abstracting and Indexing
      • Bibliographic Information
      • Archive
    • Oncology Letters
      • Information for Authors
      • Editorial Policies
      • Editorial Board
      • Aims and Scope
      • Abstracting and Indexing
      • Bibliographic Information
      • Archive
    • Oncology Reports
      • Information for Authors
      • Editorial Policies
      • Editorial Board
      • Aims and Scope
      • Abstracting and Indexing
      • Bibliographic Information
      • Archive
    • World Academy of Sciences Journal
      • Information for Authors
      • Editorial Policies
      • Editorial Board
      • Aims and Scope
      • Abstracting and Indexing
      • Bibliographic Information
      • Archive
  • Articles
  • Information
    • For Authors
    • For Reviewers
    • For Librarians
    • For Advertisers
    • Conferences
  • Language Editing
Login Register Submit
  • This site uses cookies
  • You can change your cookie settings at any time by following the instructions in our Cookie Policy. To find out more, you may read our Privacy Policy.

    I agree
Search articles by DOI, keyword, author or affiliation
Search
Advanced Search
presentation
Experimental and Therapeutic Medicine
Join Editorial Board Propose a Special Issue
Print ISSN: 1792-0981 Online ISSN: 1792-1015
Journal Cover
June-2020 Volume 19 Issue 6

Full Size Image

Sign up for eToc alerts
Recommend to Library

Journals

International Journal of Molecular Medicine

International Journal of Molecular Medicine

International Journal of Molecular Medicine is an international journal devoted to molecular mechanisms of human disease.

International Journal of Oncology

International Journal of Oncology

International Journal of Oncology is an international journal devoted to oncology research and cancer treatment.

Molecular Medicine Reports

Molecular Medicine Reports

Covers molecular medicine topics such as pharmacology, pathology, genetics, neuroscience, infectious diseases, molecular cardiology, and molecular surgery.

Oncology Reports

Oncology Reports

Oncology Reports is an international journal devoted to fundamental and applied research in Oncology.

Experimental and Therapeutic Medicine

Experimental and Therapeutic Medicine

Experimental and Therapeutic Medicine is an international journal devoted to laboratory and clinical medicine.

Oncology Letters

Oncology Letters

Oncology Letters is an international journal devoted to Experimental and Clinical Oncology.

Biomedical Reports

Biomedical Reports

Explores a wide range of biological and medical fields, including pharmacology, genetics, microbiology, neuroscience, and molecular cardiology.

Molecular and Clinical Oncology

Molecular and Clinical Oncology

International journal addressing all aspects of oncology research, from tumorigenesis and oncogenes to chemotherapy and metastasis.

World Academy of Sciences Journal

World Academy of Sciences Journal

Multidisciplinary open-access journal spanning biochemistry, genetics, neuroscience, environmental health, and synthetic biology.

International Journal of Functional Nutrition

International Journal of Functional Nutrition

Open-access journal combining biochemistry, pharmacology, immunology, and genetics to advance health through functional nutrition.

International Journal of Epigenetics

International Journal of Epigenetics

Publishes open-access research on using epigenetics to advance understanding and treatment of human disease.

Medicine International

Medicine International

An International Open Access Journal Devoted to General Medicine.

Journal Cover
June-2020 Volume 19 Issue 6

Full Size Image

Sign up for eToc alerts
Recommend to Library

  • Article
  • Citations
    • Cite This Article
    • Download Citation
    • Create Citation Alert
    • Remove Citation Alert
    • Cited By
  • Similar Articles
    • Related Articles (in Spandidos Publications)
    • Similar Articles (Google Scholar)
    • Similar Articles (PubMed)
  • Download PDF
  • Download XML
  • View XML
Article Open Access

miR-135b levels in the peripheral blood serve as a marker associated with acute ischemic stroke

  • Authors:
    • Sha Yang
    • Xinyu Zhan
    • Min He
    • Jingjing Wang
    • Xuemei Qiu
  • View Affiliations / Copyright

    Affiliations: Department of Clinical Laboratory Medicine, Southwest Hospital, Third Military Medical University, Chongqing 400038, P.R. China, Vasculocardiology Department, The 903rd Hospital of PLA, Hangzhou, Zhejiang 310013, P.R. China, Department of Clinical Laboratory Medicine, The 80th Army Hospital of PLA, Weifang, Shandong 261021, P.R. China
    Copyright: © Yang et al. This is an open access article distributed under the terms of Creative Commons Attribution License.
  • Pages: 3551-3558
    |
    Published online on: March 30, 2020
       https://doi.org/10.3892/etm.2020.8628
  • Expand metrics +
Metrics: Total Views: 0 (Spandidos Publications: | PMC Statistics: )
Metrics: Total PDF Downloads: 0 (Spandidos Publications: | PMC Statistics: )
Cited By (CrossRef): 0 citations Loading Articles...

This article is mentioned in:



Abstract

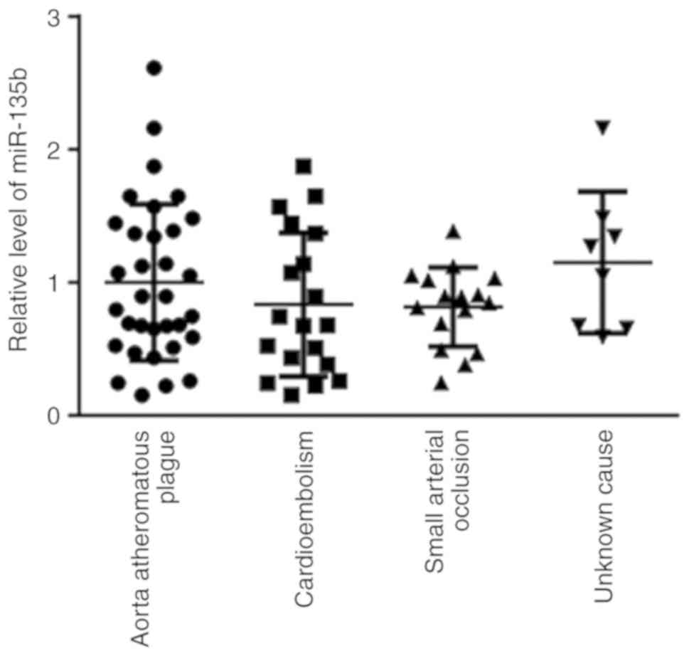
The protective role of microRNA (miR)-135b in cerebral neurons has been previously identified. However, to the best of our knowledge, the involvement of miR-135b in acute ischemic stroke has yet to be elucidated. The present study aimed to investigate the expression profile of miR-135b in peripheral blood obtained from patients with acute ischemic stroke. A total of 76 patients with acute ischemic stroke were selected as the case group, which included 33 cases of aorta atheromatous plague, 19 cases of cardioembolism, 16 cases of small arterial occlusion and 8 cases with unknown causes. In addition, 60 healthy subjects were selected as the control group. Reverse transcription-quantitative PCR was used to measure the expression of miR-135b in the peripheral blood of the patients. The National Institutes of Health Stroke Scale (NIHSS) score was used to evaluate the severity of acute ischemic stroke. The relationship between miR-135b levels and acute stroke was subsequently analyzed. The expression of miR-135b in the peripheral blood of the case group was found to be significantly higher compared with that in the control group. By contrast, the expression levels of miR-135b in the case group did not differ significantly between the different etiology types of acute ischemic stroke. In addition, a significant positive correlation was observed between levels of miR-135b expression and NIHSS scores. Further analysis demonstrated that hypertension, hyperglycemia, platelet count, international normalized ratio and miR-135b were risk factors for acute ischemic stroke. Based on bioinformatics analysis, a conserved binding site for miR-135b was identified in the 3'-untranslated region of the transient receptor potential cation channel subfamily C member 6 (TRPC6). Dual luciferase reporter and western blot analysis showed that TRPC6 was a target gene of miR-135b. In conclusion, data from the present study suggest that elevated expression of miR-135b in the peripheral blood of patients with acute ischemic stroke is closely associated with disease severity.
View Figures

Figure 1

Figure 2

Figure 3

Figure 4

Figure 5

Figure 6

View References

1 

Du K, Zhao C, Wang L, Wang Y, Zhang KZ, Shen XY, Sun HX, Gao W and Lu X: MiR-191 inhibit angiogenesis after acute ischemic stroke targeting VEZF1. Aging (Albany NY). 11:2762–2786. 2019.PubMed/NCBI View Article : Google Scholar

2 

Chen Z, Wang K, Huang J, Zheng G, Lv Y, Luo N, Liang M and Huang L: Upregulated serum MiR-146b serves as a biomarker for acute ischemic stroke. Cell Physiol Biochem. 45:397–405. 2018.PubMed/NCBI View Article : Google Scholar

3 

Marquez-Romero JM, Góngora-Rivera F, Hernández-Curiel BC, Aburto-Murrieta Y, García-Cazares R, Delgado-Garzón P, Murillo-Bonilla LM and Ochoa-Solórzano MA: Endovascular treatment of ischemic stroke in a developing country. Vasc Endovascular Surg: Feb 19, 2020 (Epub ahead of print).

4 

Béjot Y, Daubail B and Giroud M: Epidemiology of stroke and transient ischemic attacks: Current knowledge and perspectives. Rev Neurol (Paris). 172:59–68. 2016.PubMed/NCBI View Article : Google Scholar

5 

Cheng X, Kan P, Ma Z, Wang Y, Song W, Huang C and Zhang B: Exploring the potential value of miR-148b-3p, miR-151b and miR-27b-3p as biomarkers in acute ischemic stroke. Biosci Rep. 38(38)2018.PubMed/NCBI View Article : Google Scholar

6 

Ji Q, Ji Y, Peng J, Zhou X, Chen X, Zhao H, Xu T, Chen L and Xu Y: Increased brain-specific MiR-9 and MiR-124 in the serum exosomes of acute ischemic stroke patients. PLoS One. 11(e0163645)2016.PubMed/NCBI View Article : Google Scholar

7 

Jia L, Hao F, Wang W and Qu Y: Circulating miR-145 is associated with plasma high-sensitivity C-reactive protein in acute ischemic stroke patients. Cell Biochem Funct. 33:314–319. 2015.PubMed/NCBI View Article : Google Scholar

8 

Jiang M, Wang H, Jin M, Yang X, Ji H, Jiang Y, Zhang H, Wu F, Wu G, Lai X, et al: Exosomes from MiR-30d-5p-ADSCs reverse acute ischemic stroke-induced, autophagy-mediated brain injury by promoting M2 microglial/macrophage polarization. Cell Physiol Biochem. 47:864–878. 2018.PubMed/NCBI View Article : Google Scholar

9 

Jin F and Xing J: Circulating miR-126 and miR-130a levels correlate with lower disease risk, disease severity, and reduced inflammatory cytokine levels in acute ischemic stroke patients. Neurol Sci. 39:1757–1765. 2018.PubMed/NCBI View Article : Google Scholar

10 

Khanna S, Rink C, Ghoorkhanian R, Gnyawali S, Heigel M, Wijesinghe DS, Chalfant CE, Chan YC, Banerjee J, Huang Y, et al: Loss of miR-29b following acute ischemic stroke contributes to neural cell death and infarct size. J Cereb Blood Flow Metab. 33:1197–1206. 2013.PubMed/NCBI View Article : Google Scholar

11 

Li SH, Chen L, Pang XM, Su SY, Zhou X, Chen CY, Huang LG, Li JP and Liu JL: Decreased miR-146a expression in acute ischemic stroke directly targets the Fbxl10 mRNA and is involved in modulating apoptosis. Neurochem Int. 107:156–167. 2017.PubMed/NCBI View Article : Google Scholar

12 

Su ZF, Sun ZW, Zhang Y, Wang S, Yu QG and Wu ZB: Regulatory effects of miR-146a/b on the function of endothelial progenitor cells in acute ischemic stroke in mice. Kaohsiung J Med Sci. 33:369–378. 2017.PubMed/NCBI View Article : Google Scholar

13 

Tiedt S, Prestel M, Malik R, Schieferdecker N, Duering M, Kautzky V, Stoycheva I, Böck J, Northoff BH, Klein M, et al: RNA-Seq identifies circulating miR-125a-5p, miR-125b-5p, and miR-143-3p as potential biomarkers for acute ischemic stroke. Circ Res. 121:970–980. 2017.PubMed/NCBI View Article : Google Scholar

14 

Wang Y, Zhang Y, Huang J, Chen X, Gu X, Wang Y, Zeng L and Yang GY: Increase of circulating miR-223 and insulin-like growth factor-1 is associated with the pathogenesis of acute ischemic stroke in patients. BMC Neurol. 14(77)2014.PubMed/NCBI View Article : Google Scholar

15 

Wu J, Du K and Lu X: Elevated expressions of serum miR-15a, miR-16, and miR-17-5p are associated with acute ischemic stroke. Int J Clin Exp Med. 8:21071–21079. 2015.PubMed/NCBI

16 

Zhang J, Liu W, Wang Y, Zhao S and Chang N: miR-135b plays a neuroprotective role by targeting GSK3β in MPP+-intoxicated SH-SY5Y Cells. Dis Markers. 2017(5806146)2017.PubMed/NCBI View Article : Google Scholar

17 

Sillivan SE, Jamieson S, de Nijs L, Jones M, Snidjers C, Klengel T, Joseph NF, Krauskopf J, Kleinjans J and Vinkers CH: MicroRNA regulation of persistent stress-enhanced memory. Mol Psychiatry: May 29, 2019 (Epub ahead of print).

18 

Jiang B, Ball RL, Michel P, Jovin T, Desai M, Eskandari A, Naqvi Z and Wintermark M: Prevalence of imaging biomarkers to guide the planning of acute stroke reperfusion trials. Stroke. 48:1675–1677. 2017.PubMed/NCBI View Article : Google Scholar

19 

Kwah LK and Diong J: National Institutes of Health Stroke Scale (NIHSS). J Physiother. 60(61)2014.PubMed/NCBI View Article : Google Scholar

20 

Livak KJ and Schmittgen TD: Analysis of relative gene expression data using real-time quantitative PCR and the 2-ΔΔCT Method. Methods. 25:402–408. 2001.PubMed/NCBI View Article : Google Scholar

21 

Yang X, Liu Y, Liu C, Xie W, Huang E, Huang W, Wang J, Chen L, Wang H, Qiu P, et al: Inhibition of ROCK2 expression protects against methamphetamine-induced neurotoxicity in PC12 cells. Brain Res. 1533:16–25. 2013.PubMed/NCBI View Article : Google Scholar

22 

Rong F, Gao X, Liu K and Wu J: Methotrexate remediates spinal cord injury in vivo and in vitro via suppression of endoplasmic reticulum stress-induced apoptosis. Exp Ther Med. 15:4191–4198. 2018.PubMed/NCBI View Article : Google Scholar

23 

Xiang W, Tian C, Lin J, Wu X, Pang G, Zhou L, Pan S and Deng Z: Plasma let-7i and miR-15a expression are associated with the effect of recombinant tissue plasminogen activator treatment in acute ischemic stroke patients. Thromb Res. 158:121–125. 2017.PubMed/NCBI View Article : Google Scholar

24 

Zhao B, Zhu Z, Hao J, Wan Z and Guo X: Decreased plasma miR-335 expression in patients with acute ischemic stroke and its association with calmodulin expression. J Int Med Res. 44:1331–1338. 2016.PubMed/NCBI View Article : Google Scholar

25 

Zhou J, Chen L, Chen B, Huang S, Zeng C, Wu H, Chen C and Long F: Increased serum exosomal miR-134 expression in the acute ischemic stroke patients. BMC Neurol. 18(198)2018.PubMed/NCBI View Article : Google Scholar

26 

Ko Y, Lee S, Chung JW, Han MK, Park JM, Kang K, Park TH, Park SS, Cho YJ, Hong KS, et al: MRI-based algorithm for acute ischemic stroke subtype classification. J Stroke. 16:161–172. 2014.PubMed/NCBI View Article : Google Scholar

27 

Shi FP, Wang XH, Zhang HX, Shang MM, Liu XX, Sun HM and Song YP: MiR-103 regulates the angiogenesis of ischemic stroke rats by targeting vascular endothelial growth factor (VEGF). Iran J Basic Med Sci. 21:318–324. 2018.PubMed/NCBI View Article : Google Scholar

28 

Yao S, Tang B, Li G, Fan R and Cao F: miR-455 inhibits neuronal cell death by targeting TRAF3 in cerebral ischemic stroke. Neuropsychiatr Dis Treat. 12:3083–3092. 2016.PubMed/NCBI View Article : Google Scholar

29 

Wang J, Lin M, Ren H, Yu Z, Guo T and Gu B: Expression and clinical significance of serum miR-497 in patients with acute cerebral infarction. Clin Lab. 65(65)2019.PubMed/NCBI View Article : Google Scholar

30 

Cojocaru IM, Cojocaru M, Tănăsescu R, Iliescu I, Dumitrescu L and Silosi I: Expression of IL-6 activity in patients with acute ischemic stroke. Rom J Intern Med. 47:393–396. 2009.PubMed/NCBI

31 

Kwan J, Horsfield G, Bryant T, Gawne-Cain M, Durward G, Byrne CD and Englyst NA: IL-6 is a predictive biomarker for stroke associated infection and future mortality in the elderly after an ischemic stroke. Exp Gerontol. 48:960–965. 2013.PubMed/NCBI View Article : Google Scholar

32 

Griesi-Oliveira K, Acab A, Gupta AR, Sunaga DY, Chailangkarn T, Nicol X, Nunez Y, Walker MF, Murdoch JD, Sanders SJ, et al: Modeling non-syndromic autism and the impact of TRPC6 disruption in human neurons. Mol Psychiatry. 20:1350–1365. 2015.PubMed/NCBI View Article : Google Scholar

33 

Li W, Yang F, Gao J, Tang Y, Wang J and Pan Y: Over-expression of TRPC6 via CRISPR based synergistic activation mediator in BMSCs ameliorates brain injury in a rat model of cerebral ischemia/reperfusion. Neuroscience. 415:147–160. 2019.PubMed/NCBI View Article : Google Scholar

34 

Li H, Huang J, Du W, Jia C, Yao H and Wang Y: TRPC6 inhibited NMDA receptor activities and protected neurons from ischemic excitotoxicity. J Neurochem. 123:1010–1018. 2012.PubMed/NCBI View Article : Google Scholar

35 

Du W, Huang J, Yao H, Zhou K, Duan B and Wang Y: Inhibition of TRPC6 degradation suppresses ischemic brain damage in rats. J Clin Invest. 120:3480–3492. 2010.PubMed/NCBI View Article : Google Scholar

36 

Guo C, Ma Y, Ma S, Mu F, Deng J, Duan J, Xiong L, Yin Y, Wang Y, Xi M, et al: The role of TRPC6 in the neuroprotection of calycosin against cerebral ischemic injury. Sci Rep. 7(3039)2017.PubMed/NCBI View Article : Google Scholar

Related Articles

  • Abstract
  • View
  • Download
  • Twitter
Copy and paste a formatted citation
Spandidos Publications style
Yang S, Zhan X, He M, Wang J and Qiu X: miR-135b levels in the peripheral blood serve as a marker associated with acute ischemic stroke. Exp Ther Med 19: 3551-3558, 2020.
APA
Yang, S., Zhan, X., He, M., Wang, J., & Qiu, X. (2020). miR-135b levels in the peripheral blood serve as a marker associated with acute ischemic stroke. Experimental and Therapeutic Medicine, 19, 3551-3558. https://doi.org/10.3892/etm.2020.8628
MLA
Yang, S., Zhan, X., He, M., Wang, J., Qiu, X."miR-135b levels in the peripheral blood serve as a marker associated with acute ischemic stroke". Experimental and Therapeutic Medicine 19.6 (2020): 3551-3558.
Chicago
Yang, S., Zhan, X., He, M., Wang, J., Qiu, X."miR-135b levels in the peripheral blood serve as a marker associated with acute ischemic stroke". Experimental and Therapeutic Medicine 19, no. 6 (2020): 3551-3558. https://doi.org/10.3892/etm.2020.8628
Copy and paste a formatted citation
x
Spandidos Publications style
Yang S, Zhan X, He M, Wang J and Qiu X: miR-135b levels in the peripheral blood serve as a marker associated with acute ischemic stroke. Exp Ther Med 19: 3551-3558, 2020.
APA
Yang, S., Zhan, X., He, M., Wang, J., & Qiu, X. (2020). miR-135b levels in the peripheral blood serve as a marker associated with acute ischemic stroke. Experimental and Therapeutic Medicine, 19, 3551-3558. https://doi.org/10.3892/etm.2020.8628
MLA
Yang, S., Zhan, X., He, M., Wang, J., Qiu, X."miR-135b levels in the peripheral blood serve as a marker associated with acute ischemic stroke". Experimental and Therapeutic Medicine 19.6 (2020): 3551-3558.
Chicago
Yang, S., Zhan, X., He, M., Wang, J., Qiu, X."miR-135b levels in the peripheral blood serve as a marker associated with acute ischemic stroke". Experimental and Therapeutic Medicine 19, no. 6 (2020): 3551-3558. https://doi.org/10.3892/etm.2020.8628
Follow us
  • Twitter
  • LinkedIn
  • Facebook
About
  • Spandidos Publications
  • Careers
  • Cookie Policy
  • Privacy Policy
How can we help?
  • Help
  • Live Chat
  • Contact
  • Email to our Support Team