Spandidos Publications Logo
  • About
    • About Spandidos
    • Aims and Scopes
    • Abstracting and Indexing
    • Editorial Policies
    • Reprints and Permissions
    • Job Opportunities
    • Terms and Conditions
    • Contact
  • Journals
    • All Journals
    • Oncology Letters
      • Oncology Letters
      • Information for Authors
      • Editorial Policies
      • Editorial Board
      • Aims and Scope
      • Abstracting and Indexing
      • Bibliographic Information
      • Archive
    • International Journal of Oncology
      • International Journal of Oncology
      • Information for Authors
      • Editorial Policies
      • Editorial Board
      • Aims and Scope
      • Abstracting and Indexing
      • Bibliographic Information
      • Archive
    • Molecular and Clinical Oncology
      • Molecular and Clinical Oncology
      • Information for Authors
      • Editorial Policies
      • Editorial Board
      • Aims and Scope
      • Abstracting and Indexing
      • Bibliographic Information
      • Archive
    • Experimental and Therapeutic Medicine
      • Experimental and Therapeutic Medicine
      • Information for Authors
      • Editorial Policies
      • Editorial Board
      • Aims and Scope
      • Abstracting and Indexing
      • Bibliographic Information
      • Archive
    • International Journal of Molecular Medicine
      • International Journal of Molecular Medicine
      • Information for Authors
      • Editorial Policies
      • Editorial Board
      • Aims and Scope
      • Abstracting and Indexing
      • Bibliographic Information
      • Archive
    • Biomedical Reports
      • Biomedical Reports
      • Information for Authors
      • Editorial Policies
      • Editorial Board
      • Aims and Scope
      • Abstracting and Indexing
      • Bibliographic Information
      • Archive
    • Oncology Reports
      • Oncology Reports
      • Information for Authors
      • Editorial Policies
      • Editorial Board
      • Aims and Scope
      • Abstracting and Indexing
      • Bibliographic Information
      • Archive
    • Molecular Medicine Reports
      • Molecular Medicine Reports
      • Information for Authors
      • Editorial Policies
      • Editorial Board
      • Aims and Scope
      • Abstracting and Indexing
      • Bibliographic Information
      • Archive
    • World Academy of Sciences Journal
      • World Academy of Sciences Journal
      • Information for Authors
      • Editorial Policies
      • Editorial Board
      • Aims and Scope
      • Abstracting and Indexing
      • Bibliographic Information
      • Archive
    • International Journal of Functional Nutrition
      • International Journal of Functional Nutrition
      • Information for Authors
      • Editorial Policies
      • Editorial Board
      • Aims and Scope
      • Abstracting and Indexing
      • Bibliographic Information
      • Archive
    • International Journal of Epigenetics
      • International Journal of Epigenetics
      • Information for Authors
      • Editorial Policies
      • Editorial Board
      • Aims and Scope
      • Abstracting and Indexing
      • Bibliographic Information
      • Archive
    • Medicine International
      • Medicine International
      • Information for Authors
      • Editorial Policies
      • Editorial Board
      • Aims and Scope
      • Abstracting and Indexing
      • Bibliographic Information
      • Archive
  • Articles
  • Information
    • Information for Authors
    • Information for Reviewers
    • Information for Librarians
    • Information for Advertisers
    • Conferences
  • Language Editing
Spandidos Publications Logo
  • About
    • About Spandidos
    • Aims and Scopes
    • Abstracting and Indexing
    • Editorial Policies
    • Reprints and Permissions
    • Job Opportunities
    • Terms and Conditions
    • Contact
  • Journals
    • All Journals
    • Biomedical Reports
      • Information for Authors
      • Editorial Policies
      • Editorial Board
      • Aims and Scope
      • Abstracting and Indexing
      • Bibliographic Information
      • Archive
    • Experimental and Therapeutic Medicine
      • Information for Authors
      • Editorial Policies
      • Editorial Board
      • Aims and Scope
      • Abstracting and Indexing
      • Bibliographic Information
      • Archive
    • International Journal of Epigenetics
      • Information for Authors
      • Editorial Policies
      • Editorial Board
      • Aims and Scope
      • Abstracting and Indexing
      • Bibliographic Information
      • Archive
    • International Journal of Functional Nutrition
      • Information for Authors
      • Editorial Policies
      • Editorial Board
      • Aims and Scope
      • Abstracting and Indexing
      • Bibliographic Information
      • Archive
    • International Journal of Molecular Medicine
      • Information for Authors
      • Editorial Policies
      • Editorial Board
      • Aims and Scope
      • Abstracting and Indexing
      • Bibliographic Information
      • Archive
    • International Journal of Oncology
      • Information for Authors
      • Editorial Policies
      • Editorial Board
      • Aims and Scope
      • Abstracting and Indexing
      • Bibliographic Information
      • Archive
    • Medicine International
      • Information for Authors
      • Editorial Policies
      • Editorial Board
      • Aims and Scope
      • Abstracting and Indexing
      • Bibliographic Information
      • Archive
    • Molecular and Clinical Oncology
      • Information for Authors
      • Editorial Policies
      • Editorial Board
      • Aims and Scope
      • Abstracting and Indexing
      • Bibliographic Information
      • Archive
    • Molecular Medicine Reports
      • Information for Authors
      • Editorial Policies
      • Editorial Board
      • Aims and Scope
      • Abstracting and Indexing
      • Bibliographic Information
      • Archive
    • Oncology Letters
      • Information for Authors
      • Editorial Policies
      • Editorial Board
      • Aims and Scope
      • Abstracting and Indexing
      • Bibliographic Information
      • Archive
    • Oncology Reports
      • Information for Authors
      • Editorial Policies
      • Editorial Board
      • Aims and Scope
      • Abstracting and Indexing
      • Bibliographic Information
      • Archive
    • World Academy of Sciences Journal
      • Information for Authors
      • Editorial Policies
      • Editorial Board
      • Aims and Scope
      • Abstracting and Indexing
      • Bibliographic Information
      • Archive
  • Articles
  • Information
    • For Authors
    • For Reviewers
    • For Librarians
    • For Advertisers
    • Conferences
  • Language Editing
Login Register Submit
  • This site uses cookies
  • You can change your cookie settings at any time by following the instructions in our Cookie Policy. To find out more, you may read our Privacy Policy.

    I agree
Search articles by DOI, keyword, author or affiliation
Search
Advanced Search
presentation
Experimental and Therapeutic Medicine
Join Editorial Board Propose a Special Issue
Print ISSN: 1792-0981 Online ISSN: 1792-1015
Journal Cover
June-2022 Volume 23 Issue 6

Full Size Image

Sign up for eToc alerts
Recommend to Library

Journals

International Journal of Molecular Medicine

International Journal of Molecular Medicine

International Journal of Molecular Medicine is an international journal devoted to molecular mechanisms of human disease.

International Journal of Oncology

International Journal of Oncology

International Journal of Oncology is an international journal devoted to oncology research and cancer treatment.

Molecular Medicine Reports

Molecular Medicine Reports

Covers molecular medicine topics such as pharmacology, pathology, genetics, neuroscience, infectious diseases, molecular cardiology, and molecular surgery.

Oncology Reports

Oncology Reports

Oncology Reports is an international journal devoted to fundamental and applied research in Oncology.

Experimental and Therapeutic Medicine

Experimental and Therapeutic Medicine

Experimental and Therapeutic Medicine is an international journal devoted to laboratory and clinical medicine.

Oncology Letters

Oncology Letters

Oncology Letters is an international journal devoted to Experimental and Clinical Oncology.

Biomedical Reports

Biomedical Reports

Explores a wide range of biological and medical fields, including pharmacology, genetics, microbiology, neuroscience, and molecular cardiology.

Molecular and Clinical Oncology

Molecular and Clinical Oncology

International journal addressing all aspects of oncology research, from tumorigenesis and oncogenes to chemotherapy and metastasis.

World Academy of Sciences Journal

World Academy of Sciences Journal

Multidisciplinary open-access journal spanning biochemistry, genetics, neuroscience, environmental health, and synthetic biology.

International Journal of Functional Nutrition

International Journal of Functional Nutrition

Open-access journal combining biochemistry, pharmacology, immunology, and genetics to advance health through functional nutrition.

International Journal of Epigenetics

International Journal of Epigenetics

Publishes open-access research on using epigenetics to advance understanding and treatment of human disease.

Medicine International

Medicine International

An International Open Access Journal Devoted to General Medicine.

Journal Cover
June-2022 Volume 23 Issue 6

Full Size Image

Sign up for eToc alerts
Recommend to Library

  • Article
  • Citations
    • Cite This Article
    • Download Citation
    • Create Citation Alert
    • Remove Citation Alert
    • Cited By
  • Similar Articles
    • Related Articles (in Spandidos Publications)
    • Similar Articles (Google Scholar)
    • Similar Articles (PubMed)
  • Download PDF
  • Download XML
  • View XML

  • Supplementary Files
    • Supplementary_Data.pdf
Article Open Access

Tauroursodeoxycholic acid inhibits TGF‑β1‑induced renal fibrosis markers in cultured renal mesangial cells by regulating endoplasmic reticulum stress

  • Authors:
    • Li Li
    • Zhi-Yun Guo
    • Juan Wang
    • Pei-Pei Fei
    • Yan-Fei Ji
    • Cheng-Gang Xu
  • View Affiliations / Copyright

    Affiliations: Department of Nephrology, Eastern Hepatobiliary Surgery Hospital, Naval Medical University, Shanghai 201800, P.R. China
    Copyright: © Li et al. This is an open access article distributed under the terms of Creative Commons Attribution License.
  • Article Number: 432
    |
    Published online on: May 9, 2022
       https://doi.org/10.3892/etm.2022.11359
  • Expand metrics +
Metrics: Total Views: 0 (Spandidos Publications: | PMC Statistics: )
Metrics: Total PDF Downloads: 0 (Spandidos Publications: | PMC Statistics: )
Cited By (CrossRef): 0 citations Loading Articles...

This article is mentioned in:



Abstract

Chronic kidney disease (CKD) has a worldwide prevalence of higher than 10% with an increasing mortality rate. As it involves the deterioration of renal function, it represents a serious risk to human health and, if left untreated, significantly lowers the quality of the patient's life. CKD is characterized by renal fibrosis. Studies have shown that transforming growth factor β1 (TGF‑β1), a key driving factor of renal fibrosis, is closely related to the activation of renal fibrosis pathways such as endoplasmic reticulum stress (ERS). Tauroursodeoxycholic acid (TUDCA), an endogenous bile acid derivative, can effectively inhibit endogenous ERS. Here, we explored the effects and actions of TUDCA on renal fibrosis by establishing a renal mesangial cell (RMC) model. The RMC was stimulated with TGF‑β1, and PCR and western blotting were used to detect the expression of ERS‑related chaperone proteins and fibrotic indicators. The expression of glucose‑regulated protein 78 (GRP78) was silenced in RMC cells to investigate the role of GRP78 in renal fibrosis. Finally, PCR and western blotting were used to detect the effects of TUDCA on the expression of GRP78, C/EBP homologous protein (CHOP), α‑smooth muscle actin (α‑SMA), and fibronectin (FN) in the TGF‑β1‑stimulated RMCs. The results showed that TUDCA significantly downregulated TGF‑β1‑induced levels of GRP78, CHOP, α‑SMA and FN in RMCs. In addition, downregulation of GRP78 inhibited the expression of FN and α‑SMA in the RMCs. In conclusion, downregulation of GRP78 and CHOP expression is one of the mechanisms by which TUDCA inhibits TGF‑β1‑induced renal mesangial cell fibrosis.

Introduction

Chronic kidney disease (CKD), with a global incidence of higher than 10%, is a serious threat to human health (1,2). Moreover, the incidence of CKD is increasing as populations age and diseases such as diabetes, hypertension, and obesity have become more prevalent. Apart from health issues, CKD causes significant economic burdens to both the family and society. CKD is characterized by renal fibrosis, specifically, the deposition of excess extracellular matrix (ECM) in the glomerulus and interstitial area (3). In the absence of effective treatment, renal fibrosis eventually progresses to end-stage renal disease in most CKD patients (4).

The endoplasmic reticulum (ER) is responsible for protein processing and calcium storage. When overwhelmed, the ER accumulates misfolded or unfolded proteins and the calcium balance is disrupted, a condition known as endoplasmic reticulum stress (ERS) (5). Various factors such as hypoxia, drugs, oxidative stress, and abnormal protein glycosylation can lead to the accumulation of unfolded or misfolded proteins, ultimately triggering ERS (6). Recent studies have shown that ERS plays an active role in the development of renal fibrosis in CKD; however, the specific molecular mechanism is unclear (7,8). Transforming growth factor β1 (TGF-β1), a key player in ERS, can drive renal fibrosis (9,10). Notably, in the early stage of ERS, an ERS-related chaperone protein, glucose-regulated protein 78 (GRP78) is upregulated and binds unfolded or misfolded proteins inducing an unfolded protein response. This leads to the upregulation of C/EBP homologous protein (CHOP) that induces cell apoptosis (11). Therefore, inhibition of TGF-β1 signaling, expression of the ERS molecular chaperone protein, and/or directly blocking ERS may be effective strategies for delaying renal fibrosis.

Tauroursodeoxycholic acid (TUDCA), an endogenous bile acid derivative, is used as a liver protectant in cholestatic liver disease (12). It is also a potent inhibitor of the apoptosis pathway (13,14). Research has shown that advanced glycation end products (AGEs) can induce ERS, while TUDCA can inhibit AGE-induced ERS and, in turn, apoptosis in a dose-dependent manner (15).

In the present study, we used small interfering RNA (siRNA) to examine the effect of GRP78 on TGF-β1-induced renal fibrosis. Furthermore, we explored the mechanism of TUDCA in regulating ERS and affecting the occurrence and development of renal fibrosis in CKD patients. Our results suggest that TUDCA can be a potential therapy for renal fibrosis in CKD patients.

Materials and methods

Cell culture

Rat renal mesangial cells (RMCs) were routinely cultured in Dulbecco's modified Eagle's medium (DMEM) (Gibco; Thermo Fisher Scientific, Inc.) with or without 5% fetal bovine serum (FBS) (Gibco; Thermo Fisher Scientific, Inc.) at 37˚C, 95% O2 and 5% CO2 in a humidified atmosphere. RMCs were passaged twice a week. For the study, RMCs were treated with recombinant human TGF-β1, and a control group was also set up.

Cell transfection of siRNA

RMCs were seeded in 6-well plates and cultured for 24 h. Three siRNAs targeting rat GRP78 and a negative control siRNA were purchased from Jiman Biotechnology Co. Transient transfections were performed using Lipofectamine 3000 (Invitrogen; Thermo Fisher Scientific, Inc.) following the manufacturer's instructions. After 48 h of transfection, GRP78 expression was detected by western blotting and real-time fluorescent quantitative PCR.

Real-time PCR

Cellular RNA was extracted using TRIzol reagent (Invitrogen; Thermo Fisher Scientific, Inc.) according to the manufacturer's instructions. cDNA was synthesized using the PrimeScriptTM 1st Strand cDNA Synthesis Kit (D6110A; Takara Bio, Inc.) following the manufacturer's instructions. The gene fragments were then amplified and quantitated by real-time PCR using the following conditions: 1 cycle of 95˚C for 10 min; 95˚C for 10 sec; 60˚C for 15 sec; 72˚C for 20 sec (40 cycles), and 72˚C for 10 min. The starting template was quantitated using the CT value estimated by the real-time PCR recorder. GAPDH was used as the internal control. The specific primer sequences are listed in Table SI (also available at URL: https://figshare.com/s/12a0cdf45471f06dc16f; DOI: 10.6084/m9.figshare.16744189).

Western blotting

Cells were harvested, lysed, and the total protein was extracted using a protein extraction kit (P0033, Beyotime Biotechnology), and further quantified using the Pierce™ BCA Protein Assay Kit (Thermo Fisher Scientific, Inc.) according to the user guide. Protein samples (15 µg) were separated on 10% SDS-PAGE gels and transferred to PVDF membranes followed by blocking in TBST containing 5% skimmed milk for 2 h at room temperature. Primary antibodies were diluted as described below to working concentrations in 1X TBST with 1% skimmed milk and incubated overnight at 4˚C. After three washes with TBST, the membranes were incubated with the appropriate secondary antibodies for 2 h at room temperature with gentle rocking. Finally, the protein bands were visualized with ECL solution for 1 min, photosensitized, and finally analyzed using BanScan software 5.0 (ProZyme; Agilent Technologies, Inc.). The protein levels were normalized to levels of glyceraldehyde-3-phosphate dehydrogenase (GAPDH).

The primary antibodies used were as follows: rabbit anti-GRP78 polyclonal antibody (#3183, Cell Signaling Technology, Inc.) diluted at 1:1,000; rabbit anti-α-SMA polyclonal antibody (ab5694, Abcam) diluted at 1:1,000; rabbit anti-collagen type I (COL I) monoclonal antibody (ab138492, Abcam) diluted at 1:500; mouse anti-fibronectin monoclonal antibody (ab6328, Abcam) diluted at 1:1,000; mouse anti-CHOP monoclonal antibody (2895, Cell Signaling Technology, Inc.) diluted at 1:1,000; mouse anti-GAPDH monoclonal antibody (sc-365062, Santa Cruz Biotechnology, Inc.) diluted at 1:400. The secondary antibodies used were horseradish peroxidase (HRP)-conjugated goat anti-rabbit IgG H&L (ab205718, Abcam) and HRP-conjugated rabbit anti-mouse IgG (H+L) (ab6728; Abcam) both diluted at 1:2,000.

Immunofluorescence

RMCs, cultured on chamber slides, were fixed with 4% paraformaldehyde and permeabilized with PBS containing 0.1% Triton X-100. The cells were incubated with the respective primary antibodies described above at the following dilutions: mouse anti-fibronectin monoclonal antibody, 1:200; rabbit anti-collagen type I, 1:100; rabbit anti-α-SMA polyclonal antibody, 1:100. Primary antibodies were incubated at 4˚C overnight, followed by incubation with the corresponding secondary antibodies goat anti-rabbit IgG-H&L conjugated to Alexa Fluor® 488 (ab150077, Abcam) diluted at a 1:200 ratio and horse anti-mouse IgG antibody (H+L) conjugated with DyLight® 488 (DI-2488-1.5, Vector Laboratories) diluted at a 1:200 ratio for 2 h at 37˚C. The cell nuclei were counterstained with DAPI for 1 h. The slides were examined under a fluorescence microscope and analyzed with Image J software v1.8.0 (National Institutes of Health).

Statistical analysis

GraphPad Prism 7.0 software (GraphPad Software, Inc.) was used for statistical analysis. Values are expressed as mean ± variance. The t-test was used for the statistical calculation of real-time quantitative PCR data. Data were analyzed using the Wilcoxon rank-sum test for paired comparisons, and the one-way ANOVA test followed by Bonferroni or Fisher LSD post hoc tests for multiple comparisons. P-value <0.05 denotes statistical significance.

Results

TGF-β upregulates ERS-related chaperone proteins and fibrotic factors

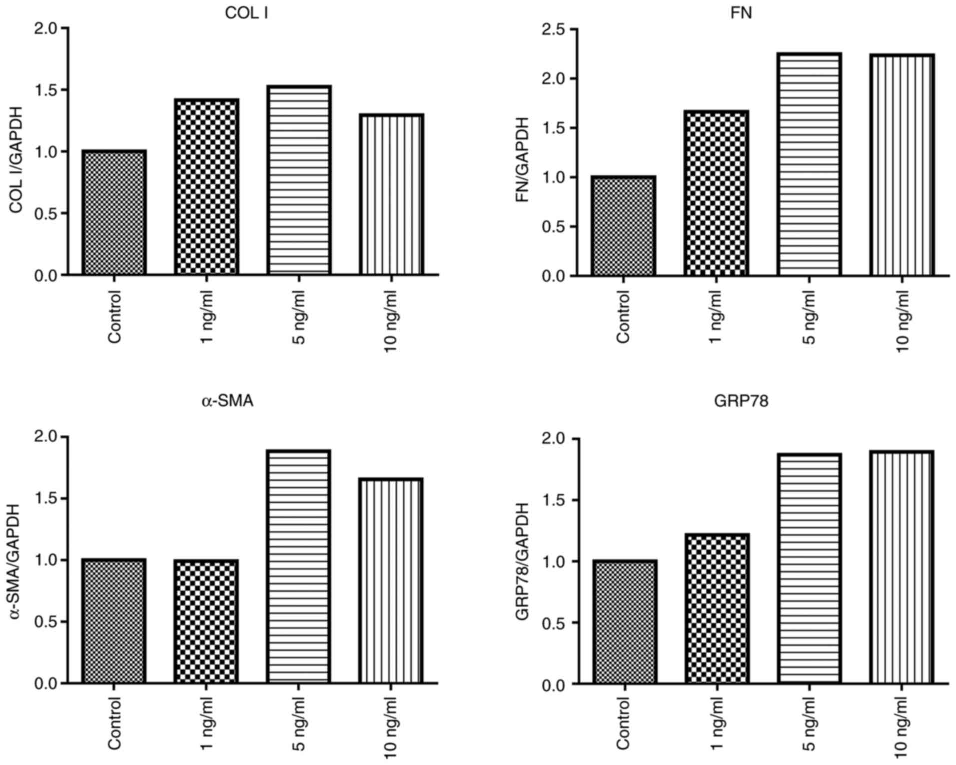
Renal fibrosis mainly involves renal mesangial cells. Here, we examined the effect of TGF-β1 on the expression of ERS-related and fibrotic factors at the cellular level. For this, TGF-β1 was used in a concentration- (1, 5 and 10 ng/ml) and time-gradient (6 and 24 h) manner. We found that after 24 h of treatment, TGF-β1 (5 and 10 ng/ml) stimulated the expression of GRP78 and the pro-fibrotic factors COL I, FN and α-SMA were markedly increased than in the control group (Fig. 1). Thus, we selected 5 ng/ml TGF-β1 for subsequent experiments.

Figure 1

Effects of TGF-β1 on the expression of COL I, FN, α-SMA and GRP78 in RMCs. RMCs were stimulated with TGF-β1 (1, 5 and 10 ng/ml), and gene expression of COL I, FN, α-SMA and GRP78 was assessed after 24 h by RT-PCR. TGF-β1, transforming growth factor β1; COL I, collagen type I; α-SMA, α-smooth muscle actin; FN, fibronectin; GRP78, glucose-regulated protein 78; RMCs, rat renal mesangial cells.

Next, RMCs were stimulated with 5 ng/ml TGF-β1 for 6, 12 and 24 h. We found that the cellular expression of GRP78, the expression of transcription factor CHOP and the expression of fibrosis marker COL I were significantly increased after 24 h compared to the control group (Fig. 2A). Meanwhile, TGF-β1 stimulation also observably increased the expression of the fibrosis marker FN (Fig. 2A), although no significant statistical significance was observed. Furthermore, the protein levels of CHOP and GRP78 were also consistent with the PCR results, while the changes in COL I and FN protein expression differed from their mRNA expression (Fig. 2B). In summary, these observations indicate that TGF-β1 treatment for 24 h significantly increased the expression of ERS-related proteins and fibrotic factors in RMCs, corresponding to the features of renal fibrosis.

Figure 2

Effects of TGF-β 1 on the expression of FN, COL I, GRP78s and CHOP in RMCs. (A) RMCs were stimulated with TGF-β 1 (5 ng/ml) and gene expression of FN, COL I, GRP78 and CHOP were assessed after 6, 12 and 24 h by RT-PCR. (B) Western blot analysis and grayscale analysis for FN, COL I, GRP78 and CHOP. *P<0.05; **P<0.01; ***P<0.001; ****P<0.0001; ns, P>0.05 (not significant). RMCs, rat renal mesangial cells; CHOP; C/EBP homologous protein. FN, fibronectin; COL I, collagen I; GRP78, glucose-regulated protein 78; CHOP, C/EBP homologous protein; GAPDH, glyceraldehyde 3-phosphate dehydrogenase; TGF, transforming growth factor.

Downregulation of GRP78 expression inhibits renal fibrosis

To examine whether ERS is directly related to renal fibrosis, we transiently transfected siRNA-GRP78 to downregulate the GRP78 gene in RMCs. Compared with the control group, the three siRNA sequences targeting GRP78 (siR-1, siR-2 and siR-3) markedly reduced the expression of GRP78 (51-67%) (Fig. 3A). Western blotting further confirmed that the protein levels of GRP78 were also reduced (Fig. 3B). For subsequent experiments, we selected an siRNA sequence (siR-1) that produced the maximum effect and transiently transfected RMC cells with or without TGF-β1 stimulation. Compared with the control group, transfection of siRNA-GRP78 (GRP78siRNA+) markedly reduced the protein levels of GRP78 in RMCs, while also reducing the levels of the fibrosis markers FN and α-SMA. However, compared with the TGF-β stimulation group, transfection of siRNA-GRP78 did not significantly downregulate the TGF-β1-induced protein levels of FN and α-SMA (Fig. 3C). These results were verified by immunofluorescence (Fig. 3D). This shows that the downregulation of GRP78 can inhibit fibrosis in RMCs.

Figure 3

Silencing of GRP78 inhibits TGF-β1-induced fibrogenesis in RMCs. (A) Three siRNAs targeting GRP78 were individually transfected into RMCs, and the knockdown efficiency was assessed by real-time PCR at 24 h after transfection. (B) Western blot analysis. (C) RMCs were transiently transfected with one siRNA (siR-1) with the highest knockdown efficiency shown in A and then treated with (+) or without (-) TGF-β 1 (5 ng/ml, 24 h). Gene expression was measured by real-time PCR for FN, α-SMA and GRP78. (D) Immunofluorescence analysis of FN, COL I and α-SMA. RMCs, rat renal mesangial cells; FN, fibronectin; α-SMA, α-smooth muscle actin; GRP78, glucose-regulated protein 78; COL I, collagen I; CHOP, C/EBP homologous protein; GAPDH, glyceraldehyde 3-phosphate dehydrogenase; TGF, transforming growth factor.

TUDCA inhibits the pro-fibrotic effect of TGF-β1

A serum-free medium can be used to eliminate the influence of pro-fibrotic components in the serum. Firstly, we examined the effect of TUDCA on ERS-related proteins in the presence or absence of serum-containing media. The western blotting results showed markedly differences between the two groups (Fig. 4). In the serum-free group, TUDCA markedly inhibited the expression of GRP78 and FN proteins in the RMCs (Fig. 4A). The TGF-β1 (5 ng/ml)-stimulated protein levels of CHOP, GRP78 and FN were higher than in the control group (Fig. 4B, the first column is the blank control group). However, TUDCA intervention markedly lowered the levels of these proteins. Furthermore, a dose-dependence experiment showed that 500 µM TUDCA produced a stronger effect than 300 or 100 µM TUDCA (Fig. 4B).

Figure 4

Effects of tauroursodeoxycholic acid (TUDCA) on fibrogenesis in RMCs. (A) RMCs were treated with TUDCA (0.1 mM) for 1 h, treated with (+) or without (-) TGF-β1 (5 ng/ml) for 24 h in medium with or without 5% fetal bovine serum, and protein expression was measured by western blot analysis for FN, COL I and GRP78. (B) RMCs were treated with TUDCA (0.1, 0.3 and 0.5 mM) for 1 h, treated with (+) or without (-) TGF-β1 for 24 h in medium without 5% fetal bovine serum, and protein expression was measured by western blot analysis for FN, α-SMA, CHOP and GRP78. FN, fibronectin; α-SMA, α-smooth muscle actin; GRP78, glucose-regulated protein 78; COL I, collagen I; GAPDH, glyceraldehyde 3-phosphate dehydrogenase; TGF, transforming growth factor.

Discussion

In recent years, the growing incidence of chronic kidney disease (CKD) has significantly lowered the quality of life of afflicted individuals. Since renal fibrosis cannot be reversed and there is an absence of effective treatment, the CKD mortality rate is also increasing. Therefore, here, we explored the key regulatory mechanisms of renal fibrosis and used drugs to block or delay its progress. The current mainstream view is that renal fibrosis is caused by extracellular matrix (ECM) accumulation involving epithelial-mesenchymal transition (EMT), transforming growth factor (TGF)-β signal transduction, oxidative stress, and proteinuria (16). Notably, endoplasmic reticulum stress (ERS) is closely related to EMT, TGF-β signal transduction, oxidative stress, and proteinuria (9). Therefore, novel drugs targeting different intracellular ER-related pathways can essentially slow the development of renal fibrosis.

In the present study, we first determined the optimal stimulation concentration and time of TGF-β1 required for fibrosis characteristics in renal mesangial cells (RMCs). Then, siRNAs were employed to examine the effect of glucose-regulated protein 78 (GRP78) on TGF-β1-mediated fibrosis in RMCs. Furthermore, we found that tauroursodeoxycholic acid (TUDCA) downregulated GRP78 and CHOP to regulate ERS which, in turn, delayed TGF-β1-mediated renal fibrosis. We showed that siRNA targeting GRP78 inhibited TGF-β1-induced fibrosis in RMCs suggesting a key role for ERS in fibrosis development. Interestingly, TUDCA could inhibit the expression of the ERS-related proteins GRP78 and C/EBP homologous protein (CHOP), thereby inhibiting TGF-β1-induced fibrosis in RMCs. This suggests that TUDCA could be a potential therapeutic drug for CKD renal fibrosis. In the present study, western blot analysis was used as the main analysis method. However, western blot analysis can only be used for identifying proteins qualitatively or semi-quantifying protein amounts roughly. For future research, more repetitive experiments and animal models are needed to confirm the conclusions of the present study.

Renal fibrosis is a complex process characterized by fibroblast proliferation and ECM accumulation (17,18). Mesangial cells are one of the main cell types that produce mesangial matrix (MM) components. Under pathological conditions, RMCs are activated leading to excessive proliferation and ECM secretion. This eventually causes the fibrosis of glomeruli. In addition, mesangial cells also secrete various inflammatory factors, adhesion molecules, chemokines, and enzymes, all of which facilitate glomerular fibrosis (19,20). Several studies have shown that RMCs play an important role in the pathogenesis of glomerular fibrosis, which ultimately causes glomerular sclerosis.

TGF-β1 promotes the proliferation of mesangial cells and also significantly downregulates the ECM degradation via MMP antagonists (tissue inhibitors of metalloproteinases, TIMPs). This aggravates the accumulation of glomerular ECM, causing severe renal fibrosis, further leading to glomerular sclerosis, and ultimately worsening renal function (21,22). We showed that silencing of GRP78 can inhibit fibrosis in RMCs. A previous study using the angiotensin II reperfusion model reported that inhibition of ERS reduced the activity of TGF-β1 which, in turn, reduced myocardial hypertrophy and fibrosis (23). This is consistent with our findings. In addition, inhibition of GRP78 in human and mouse lung fibroblasts was shown to downregulate fibrosis markers such as collagen and α-SMA (24).

Notably, in this study, inhibiting the expression of GRP78 alone could not significantly downregulate the TGF-β1-induced levels of FN and α-SMA. However, TUDCA could downregulate both GRP78 and CHOP in ERS through signaling pathways such as AGEs, which are the end-products of glycosylation and significantly inhibit the TGF-β1-induced expression of RMC fibrosis markers (FN, α-SMA). A previous study showed that downregulation of CHOP reduced unilateral ureteral ligation-induced mouse renal tubular cell apoptosis and renal fibrosis via inhibition of the HMGB1/TLR4/NFκB/IL-1β signaling pathway and downstream TGF-β1/Smad2/3 signaling (25). In addition, the absence of CHOP was found to reduce the recruitment of pro-fibrotic factors, oxidative stress, and inflammatory cells including macrophages (26). Therefore, we speculate that CHOP could be an important player in renal fibrosis involving ERS-related pathways. However, there could be other related factors/mechanisms promoting renal fibrosis that need to be further investigated to provide a theoretical basis for the development of new drugs.

In summary, we confirmed that the ERS-related transcription factor CHOP may be involved in TGF-β1-induced renal fibrosis, supporting the findings of previous studies. In addition, TUDCA, a potential drug candidate for CKD, can delay the process of renal mesangial cell fibrosis by inhibiting TGF-β1-induced accumulation of ECM.

Supplementary Material

Primer sequences of GAPDH, collagen I, α-SMA, FN, GRP78 and CHOP genes.

Acknowledgements

Not applicable.

Funding

Funding: The present study was supported by the Science and Technology Commission of Shanghai Municipality (grant no. 19ZR1400100).

Availability of data and materials

The datasets used and/or analyzed during the current study are available from the corresponding author upon reasonable request.

Authors' contributions

LL was responsible for the conceptualization of the research design, performing experiments and formal analysis and wrote the original draft. ZYG was responsible for the conceptualization of the research design, performing experiments and formal analysis. JW was responsible for the conceptualization of the research design, performing experiments, formal analysis, and writing, reviewing and editing the manuscript. PPF conducted part of the experiments and the formal analysis. YFJ was responsible for the conceptualization of the research design, and writing, reviewing and editing the manuscript. CGX was responsible for funding acquisition, conceptualization of the research design, methodology, performing experiments, and writing, reviewing and editing the manuscript. All authors have read and approved the final manuscript, and agree to be accountable for all aspects of the research in ensuring that the accuracy or integrity (in particulary the data provided) of any part of the work are appropriately investigated and resolved.

Ethics approval and consent to participate

The study was approved by the Clinical Research Ethics Committee of Eastern Hepatobiliary Surgery Hospital.

Patient consent for publication

Not applicable.

Competing interests

The authors declare that they have no competing interests.

References

1 

Webster AC, Nagler EV, Morton RL and Masson P: Chronic kidney disease. Lancet. 389:1238–1252. 2017.PubMed/NCBI View Article : Google Scholar

2 

Djudjaj S and Boor P: Cellular and molecular mechanisms of kidney fibrosis. Mol Aspects Med. 65:16–36. 2019.PubMed/NCBI View Article : Google Scholar

3 

Sun YB, Qu X, Caruana G and Li J: The origin of renal fibroblasts/myofibroblasts and the signals that trigger fibrosis. Differentiation. 92:102–107. 2016.PubMed/NCBI View Article : Google Scholar

4 

Hazzan AD, Halinski C, Agoritsas S, Fishbane S and DeVita MV: Epidemiology and challenges to the management of advanced CKD. Adv Chronic Kidney Dis. 23:217–221. 2016.PubMed/NCBI View Article : Google Scholar

5 

Fernández A, Ordóñez R, Reiter RJ, González-Gallego J and Mauriz JL: Melatonin and endoplasmic reticulum stress: Relation to autophagy and apoptosis. J Pineal Res. 59:292–307. 2015.PubMed/NCBI View Article : Google Scholar

6 

Yoshida H: ER stress and diseases. FEBS J. 274:630–658. 2007.PubMed/NCBI View Article : Google Scholar

7 

Taniguchi M and Yoshida H: Endoplasmic reticulum stress in kidney function and disease. Curr Opin Nephrol Hypertens. 24:345–350. 2015.PubMed/NCBI View Article : Google Scholar

8 

Cybulsky AV: Endoplasmic reticulum stress, the unfolded protein response and autophagy in kidney diseases. Nat Rev Nephrol. 13:681–696. 2017.PubMed/NCBI View Article : Google Scholar

9 

Ke B, Zhu N, Luo F, Xu Y and Fang X: Targeted inhibition of endoplasmic reticulum stress: New hope for renal fibrosis (review). Mol Med Rep. 16:1014–1020. 2017.PubMed/NCBI View Article : Google Scholar

10 

Meng XM, Nikolic-Paterson DJ and Lan HY: TGF-β: The master regulator of fibrosis. Nat Rev Nephrol. 12:325–338. 2016.PubMed/NCBI View Article : Google Scholar

11 

Bernales S, Papa FR and Walter P: Intracellular signaling by the unfolded protein response. Annu Rev Cell Dev Biol. 22:487–508. 2006.PubMed/NCBI View Article : Google Scholar

12 

Kaplan MM and Gershwin ME: Primary biliary cirrhosis. N Engl J Med. 353:1261–1273. 2005.PubMed/NCBI View Article : Google Scholar

13 

Amaral JD, Viana RJ, Ramalho RM, Steer CJ and Rodrigues CM: Bile acids: Regulation of apoptosis by ursodeoxycholic acid. J Lipid Res. 50:1721–1734. 2009.PubMed/NCBI View Article : Google Scholar

14 

Malo A, Krüger B, Seyhun E, Schäfer C, Hoffmann RT, Göke B and Kubisch CH: Tauroursodeoxycholic acid reduces endoplasmic reticulum stress, trypsin activation, and acinar cell apoptosis while increasing secretion in rat pancreatic acini. Am J Physiol Gastrointest Liver Physiol. 299:G877–G886. 2010.PubMed/NCBI View Article : Google Scholar

15 

Chen Y, Liu CP, Xu KF, Mao XD, Lu YB, Fang L, Yang JW and Liu C: Effect of taurine-conjugated ursodeoxycholic acid on endoplasmic reticulum stress and apoptosis induced by advanced glycation end products in cultured mouse podocytes. Am J Nephrol. 28:1014–1022. 2008.PubMed/NCBI View Article : Google Scholar

16 

Xiao W, Fan Y, Wang N, Chuang PY, Lee K and He JC: Knockdown of RTN1A attenuates ER stress and kidney injury in albumin overload-induced nephropathy. Am J Physiol Renal Physiol. 310:F409–F415. 2016.PubMed/NCBI View Article : Google Scholar

17 

Ma TT and Meng XM: TGF-β/Smad and renal fibrosis. Adv Exp Med Biol. 1165:347–364. 2019.PubMed/NCBI View Article : Google Scholar

18 

Ke B, Fan C, Yang L and Fang X: Matrix metalloproteinases-7 and kidney fibrosis. Front Physiol. 8(21)2017.PubMed/NCBI View Article : Google Scholar

19 

Zhao JH: Mesangial cells and renal fibrosis. Adv Exp Med Biol. 1165:165–194. 2019.PubMed/NCBI View Article : Google Scholar

20 

Liu Y: Renal fibrosis: New insights into the pathogenesis and therapeutics. Kidney Int. 69:213–217. 2006.PubMed/NCBI View Article : Google Scholar

21 

Baricos WH, Cortez SL, Deboisblanc M and Xin S: Transforming growth factor-beta is a potent inhibitor of extracellular matrix degradation by cultured human mesangial cells. J Am Soc Nephrol. 10:790–795. 1999.PubMed/NCBI View Article : Google Scholar

22 

Hubchak SC, Sparks EE, Hayashida T and Schnaper HW: Rac1 promotes TGF-beta-stimulated mesangial cell type I collagen expression through a PI3K/Akt-dependent mechanism. Am J Physiol Renal Physiol. 297:F1316–F1323. 2009.PubMed/NCBI View Article : Google Scholar

23 

Kassan M, Galán M, Partyka M, Saifudeen Z, Henrion D, Trebak M and Matrougui K: Endoplasmic reticulum stress is involved in cardiac damage and vascular endothelial dysfunction in hypertensive mice. Arterioscler Thromb Vasc Biol. 32:1652–1661. 2012.PubMed/NCBI View Article : Google Scholar

24 

Roberson EC, Tully JE, Guala AS, Reiss JN, Godburn KE, Pociask DA, Alcorn JF, Riches DW, Dienz O, Janssen-Heininger YM and Anathy V: Influenza induces endoplasmic reticulum stress, caspase-12-dependent apoptosis, and c-Jun N-terminal kinase-mediated transforming growth factor-β release in lung epithelial cells. Am J Respir Cell Mol Biol. 46:573–581. 2012.PubMed/NCBI View Article : Google Scholar

25 

Zhang M, Guo Y, Fu H, Hu S, Pan J, Wang Y, Cheng J, Song J, Yu Q, Zhang S, et al: Chop deficiency prevents UUO-induced renal fibrosis by attenuating fibrotic signals originated from Hmgb1/TLR4/NFκB/IL-1β signaling. Cell Death Dis. 6(e1847)2015.PubMed/NCBI View Article : Google Scholar

26 

Yang Y, Liu L, Naik I, Braunstein Z, Zhong J and Ren B: Transcription factor C/EBP homologous protein in health and diseases. Front Immunol. 8(1612)2017.PubMed/NCBI View Article : Google Scholar

Related Articles

  • Abstract
  • View
  • Download
  • Twitter
Copy and paste a formatted citation
Spandidos Publications style
Li L, Guo Z, Wang J, Fei P, Ji Y and Xu C: Tauroursodeoxycholic acid inhibits TGF‑β1‑induced renal fibrosis markers in cultured renal mesangial cells by regulating endoplasmic reticulum stress. Exp Ther Med 23: 432, 2022.
APA
Li, L., Guo, Z., Wang, J., Fei, P., Ji, Y., & Xu, C. (2022). Tauroursodeoxycholic acid inhibits TGF‑β1‑induced renal fibrosis markers in cultured renal mesangial cells by regulating endoplasmic reticulum stress. Experimental and Therapeutic Medicine, 23, 432. https://doi.org/10.3892/etm.2022.11359
MLA
Li, L., Guo, Z., Wang, J., Fei, P., Ji, Y., Xu, C."Tauroursodeoxycholic acid inhibits TGF‑β1‑induced renal fibrosis markers in cultured renal mesangial cells by regulating endoplasmic reticulum stress". Experimental and Therapeutic Medicine 23.6 (2022): 432.
Chicago
Li, L., Guo, Z., Wang, J., Fei, P., Ji, Y., Xu, C."Tauroursodeoxycholic acid inhibits TGF‑β1‑induced renal fibrosis markers in cultured renal mesangial cells by regulating endoplasmic reticulum stress". Experimental and Therapeutic Medicine 23, no. 6 (2022): 432. https://doi.org/10.3892/etm.2022.11359
Copy and paste a formatted citation
x
Spandidos Publications style
Li L, Guo Z, Wang J, Fei P, Ji Y and Xu C: Tauroursodeoxycholic acid inhibits TGF‑β1‑induced renal fibrosis markers in cultured renal mesangial cells by regulating endoplasmic reticulum stress. Exp Ther Med 23: 432, 2022.
APA
Li, L., Guo, Z., Wang, J., Fei, P., Ji, Y., & Xu, C. (2022). Tauroursodeoxycholic acid inhibits TGF‑β1‑induced renal fibrosis markers in cultured renal mesangial cells by regulating endoplasmic reticulum stress. Experimental and Therapeutic Medicine, 23, 432. https://doi.org/10.3892/etm.2022.11359
MLA
Li, L., Guo, Z., Wang, J., Fei, P., Ji, Y., Xu, C."Tauroursodeoxycholic acid inhibits TGF‑β1‑induced renal fibrosis markers in cultured renal mesangial cells by regulating endoplasmic reticulum stress". Experimental and Therapeutic Medicine 23.6 (2022): 432.
Chicago
Li, L., Guo, Z., Wang, J., Fei, P., Ji, Y., Xu, C."Tauroursodeoxycholic acid inhibits TGF‑β1‑induced renal fibrosis markers in cultured renal mesangial cells by regulating endoplasmic reticulum stress". Experimental and Therapeutic Medicine 23, no. 6 (2022): 432. https://doi.org/10.3892/etm.2022.11359
Follow us
  • Twitter
  • LinkedIn
  • Facebook
About
  • Spandidos Publications
  • Careers
  • Cookie Policy
  • Privacy Policy
How can we help?
  • Help
  • Live Chat
  • Contact
  • Email to our Support Team