Spandidos Publications Logo
  • About
    • About Spandidos
    • Aims and Scopes
    • Abstracting and Indexing
    • Editorial Policies
    • Reprints and Permissions
    • Job Opportunities
    • Terms and Conditions
    • Contact
  • Journals
    • All Journals
    • Oncology Letters
      • Oncology Letters
      • Information for Authors
      • Editorial Policies
      • Editorial Board
      • Aims and Scope
      • Abstracting and Indexing
      • Bibliographic Information
      • Archive
    • International Journal of Oncology
      • International Journal of Oncology
      • Information for Authors
      • Editorial Policies
      • Editorial Board
      • Aims and Scope
      • Abstracting and Indexing
      • Bibliographic Information
      • Archive
    • Molecular and Clinical Oncology
      • Molecular and Clinical Oncology
      • Information for Authors
      • Editorial Policies
      • Editorial Board
      • Aims and Scope
      • Abstracting and Indexing
      • Bibliographic Information
      • Archive
    • Experimental and Therapeutic Medicine
      • Experimental and Therapeutic Medicine
      • Information for Authors
      • Editorial Policies
      • Editorial Board
      • Aims and Scope
      • Abstracting and Indexing
      • Bibliographic Information
      • Archive
    • International Journal of Molecular Medicine
      • International Journal of Molecular Medicine
      • Information for Authors
      • Editorial Policies
      • Editorial Board
      • Aims and Scope
      • Abstracting and Indexing
      • Bibliographic Information
      • Archive
    • Biomedical Reports
      • Biomedical Reports
      • Information for Authors
      • Editorial Policies
      • Editorial Board
      • Aims and Scope
      • Abstracting and Indexing
      • Bibliographic Information
      • Archive
    • Oncology Reports
      • Oncology Reports
      • Information for Authors
      • Editorial Policies
      • Editorial Board
      • Aims and Scope
      • Abstracting and Indexing
      • Bibliographic Information
      • Archive
    • Molecular Medicine Reports
      • Molecular Medicine Reports
      • Information for Authors
      • Editorial Policies
      • Editorial Board
      • Aims and Scope
      • Abstracting and Indexing
      • Bibliographic Information
      • Archive
    • World Academy of Sciences Journal
      • World Academy of Sciences Journal
      • Information for Authors
      • Editorial Policies
      • Editorial Board
      • Aims and Scope
      • Abstracting and Indexing
      • Bibliographic Information
      • Archive
    • International Journal of Functional Nutrition
      • International Journal of Functional Nutrition
      • Information for Authors
      • Editorial Policies
      • Editorial Board
      • Aims and Scope
      • Abstracting and Indexing
      • Bibliographic Information
      • Archive
    • International Journal of Epigenetics
      • International Journal of Epigenetics
      • Information for Authors
      • Editorial Policies
      • Editorial Board
      • Aims and Scope
      • Abstracting and Indexing
      • Bibliographic Information
      • Archive
    • Medicine International
      • Medicine International
      • Information for Authors
      • Editorial Policies
      • Editorial Board
      • Aims and Scope
      • Abstracting and Indexing
      • Bibliographic Information
      • Archive
  • Articles
  • Information
    • Information for Authors
    • Information for Reviewers
    • Information for Librarians
    • Information for Advertisers
    • Conferences
  • Language Editing
Spandidos Publications Logo
  • About
    • About Spandidos
    • Aims and Scopes
    • Abstracting and Indexing
    • Editorial Policies
    • Reprints and Permissions
    • Job Opportunities
    • Terms and Conditions
    • Contact
  • Journals
    • All Journals
    • Biomedical Reports
      • Information for Authors
      • Editorial Policies
      • Editorial Board
      • Aims and Scope
      • Abstracting and Indexing
      • Bibliographic Information
      • Archive
    • Experimental and Therapeutic Medicine
      • Information for Authors
      • Editorial Policies
      • Editorial Board
      • Aims and Scope
      • Abstracting and Indexing
      • Bibliographic Information
      • Archive
    • International Journal of Epigenetics
      • Information for Authors
      • Editorial Policies
      • Editorial Board
      • Aims and Scope
      • Abstracting and Indexing
      • Bibliographic Information
      • Archive
    • International Journal of Functional Nutrition
      • Information for Authors
      • Editorial Policies
      • Editorial Board
      • Aims and Scope
      • Abstracting and Indexing
      • Bibliographic Information
      • Archive
    • International Journal of Molecular Medicine
      • Information for Authors
      • Editorial Policies
      • Editorial Board
      • Aims and Scope
      • Abstracting and Indexing
      • Bibliographic Information
      • Archive
    • International Journal of Oncology
      • Information for Authors
      • Editorial Policies
      • Editorial Board
      • Aims and Scope
      • Abstracting and Indexing
      • Bibliographic Information
      • Archive
    • Medicine International
      • Information for Authors
      • Editorial Policies
      • Editorial Board
      • Aims and Scope
      • Abstracting and Indexing
      • Bibliographic Information
      • Archive
    • Molecular and Clinical Oncology
      • Information for Authors
      • Editorial Policies
      • Editorial Board
      • Aims and Scope
      • Abstracting and Indexing
      • Bibliographic Information
      • Archive
    • Molecular Medicine Reports
      • Information for Authors
      • Editorial Policies
      • Editorial Board
      • Aims and Scope
      • Abstracting and Indexing
      • Bibliographic Information
      • Archive
    • Oncology Letters
      • Information for Authors
      • Editorial Policies
      • Editorial Board
      • Aims and Scope
      • Abstracting and Indexing
      • Bibliographic Information
      • Archive
    • Oncology Reports
      • Information for Authors
      • Editorial Policies
      • Editorial Board
      • Aims and Scope
      • Abstracting and Indexing
      • Bibliographic Information
      • Archive
    • World Academy of Sciences Journal
      • Information for Authors
      • Editorial Policies
      • Editorial Board
      • Aims and Scope
      • Abstracting and Indexing
      • Bibliographic Information
      • Archive
  • Articles
  • Information
    • For Authors
    • For Reviewers
    • For Librarians
    • For Advertisers
    • Conferences
  • Language Editing
Login Register Submit
  • This site uses cookies
  • You can change your cookie settings at any time by following the instructions in our Cookie Policy. To find out more, you may read our Privacy Policy.

    I agree
Search articles by DOI, keyword, author or affiliation
Search
Advanced Search
presentation
Experimental and Therapeutic Medicine
Join Editorial Board Propose a Special Issue
Print ISSN: 1792-0981 Online ISSN: 1792-1015
Journal Cover
January-2023 Volume 25 Issue 1

Full Size Image

Sign up for eToc alerts
Recommend to Library

Journals

International Journal of Molecular Medicine

International Journal of Molecular Medicine

International Journal of Molecular Medicine is an international journal devoted to molecular mechanisms of human disease.

International Journal of Oncology

International Journal of Oncology

International Journal of Oncology is an international journal devoted to oncology research and cancer treatment.

Molecular Medicine Reports

Molecular Medicine Reports

Covers molecular medicine topics such as pharmacology, pathology, genetics, neuroscience, infectious diseases, molecular cardiology, and molecular surgery.

Oncology Reports

Oncology Reports

Oncology Reports is an international journal devoted to fundamental and applied research in Oncology.

Experimental and Therapeutic Medicine

Experimental and Therapeutic Medicine

Experimental and Therapeutic Medicine is an international journal devoted to laboratory and clinical medicine.

Oncology Letters

Oncology Letters

Oncology Letters is an international journal devoted to Experimental and Clinical Oncology.

Biomedical Reports

Biomedical Reports

Explores a wide range of biological and medical fields, including pharmacology, genetics, microbiology, neuroscience, and molecular cardiology.

Molecular and Clinical Oncology

Molecular and Clinical Oncology

International journal addressing all aspects of oncology research, from tumorigenesis and oncogenes to chemotherapy and metastasis.

World Academy of Sciences Journal

World Academy of Sciences Journal

Multidisciplinary open-access journal spanning biochemistry, genetics, neuroscience, environmental health, and synthetic biology.

International Journal of Functional Nutrition

International Journal of Functional Nutrition

Open-access journal combining biochemistry, pharmacology, immunology, and genetics to advance health through functional nutrition.

International Journal of Epigenetics

International Journal of Epigenetics

Publishes open-access research on using epigenetics to advance understanding and treatment of human disease.

Medicine International

Medicine International

An International Open Access Journal Devoted to General Medicine.

Journal Cover
January-2023 Volume 25 Issue 1

Full Size Image

Sign up for eToc alerts
Recommend to Library

  • Article
  • Citations
    • Cite This Article
    • Download Citation
    • Create Citation Alert
    • Remove Citation Alert
    • Cited By
  • Similar Articles
    • Related Articles (in Spandidos Publications)
    • Similar Articles (Google Scholar)
    • Similar Articles (PubMed)
  • Download PDF
  • Download XML
  • View XML

  • Supplementary Files
    • Supplementary_Data.pdf
Article Open Access

Promotion of IL‑17/NF‑κB signaling in autoimmune thyroid diseases

  • Authors:
    • Yamin Lu
    • Chenhao Xing
    • Cuigai Zhang
    • Xiuqin Lv
    • Guangxia Liu
    • Fang Chen
    • Zhan Hou
    • Donghui Zhang
  • View Affiliations / Copyright

    Affiliations: Department of Nuclear Medicine, Hebei General Hospital, Shijiazhuang, Hebei 050051, P.R. China, Department of Clinical Laboratory Diagnostics, Graduate School, Hebei North University, Zhangjiakou, Hebei 075000, P.R. China, Physical Examination Center, Hebei General Hospital, Shijiazhuang, Hebei 050051, P.R. China, Department of Endocrinology, Hebei General Hospital, Shijiazhuang, Hebei 050051, P.R. China, Clinical Research Center, Hebei General Hospital, Shijiazhuang, Hebei 050051, P.R. China
    Copyright: © Lu et al. This is an open access article distributed under the terms of Creative Commons Attribution License.
  • Article Number: 51
    |
    Published online on: December 6, 2022
       https://doi.org/10.3892/etm.2022.11750
  • Expand metrics +
Metrics: Total Views: 0 (Spandidos Publications: | PMC Statistics: )
Metrics: Total PDF Downloads: 0 (Spandidos Publications: | PMC Statistics: )
Cited By (CrossRef): 0 citations Loading Articles...

This article is mentioned in:



Abstract

IL‑17 and other cytokines have a number of immunomodulatory effects on thyroid cells. The present study investigated the changes and correlations amongst IL‑17, NF‑κB, IL‑6, IL‑10, interferon‑γ (IFN‑γ), TNF‑α, IL‑2 and IL‑4 in patients with different autoimmune thyroid diseases in order to further clarify the pathogenesis of autoimmune thyroid disease. A total of 82 patients with autoimmune thyroid diseases (41 with Graves' disease and 41 with Hashimoto's thyroiditis) and 53 healthy controls were enrolled. All relevant thyroid hormones were detected by electrochemiluminescence analyzer. The serum levels of IL‑17 and other cytokines were detected using flow cytometry, NF‑κB was detected by ELISA, reverse transcription‑quantitative PCR was used to detect the protein expression of various mRNAs, and the correlations between IL‑17 and these factors were analyzed. Significant differences occurred amongst all groups. NF‑κB, TNF‑α, IL‑6, IL‑17 and their mRNA levels were significantly higher in the healthy controls compared with those in the patients; whereas IFN‑γ and IL‑10 levels were significantly lower in the healthy controls compared with those in the patients . Correlation analysis showed that the expression levels of IL‑17 and its mRNA were significantly positively correlated with the expression levels of NF‑κB, IL‑6, thyroid peroxidase antibody, thyroid gland globulin, thyroglobulin antibody, TNF‑α and IFN‑γ, and were also significantly negatively correlated with IL‑10 . These findings suggested that IL‑17 was elevated in patients with autoimmune thyroid disease and that IL‑17 could activate the NF‑κB signaling pathway, stimulate the production and release of inflammatory factors such as TNF‑α, IL‑6 and IFN‑γ and participate in the pathogenesis of autoimmune thyroid injury.

Introduction

Autoimmune thyroid diseases (AITDs) involve multiple factors such as heritage, environment and infection and include Graves' disease (GD) and Hashimoto's thyroiditis (HT) as the most common clinical diseases (1). Autoimmune thyroid disease patients are prone to fat metabolism disorder, and the serum thyroid hormone level has a close correlation with blood lipid metabolism, insulin metabolism and inflammatory factors (2). Autoimmune thyroid illnesses are a category of disorders characterized by aberrant lymphocyte activity directed against self-tissues, which affect 2-3% of the population, with a female predominance (3). NF-κB is a key nuclear transcription factor expressed in nearly all cell and tissue types. The transcription factor NF-κB, regulates multiple aspects of innate and adaptive immune functions and serves as a pivotal mediator of the inflammatory response (4). NF-κB is a central mediator of inflammation in response to DNA damage and oxidative stress. Because of its central role in numerous cellular processes, NF-κB dysregulation is implicated in the pathology of numerous important human diseases (5). NF-κB activation causes inappropriate inflammatory responses in diseases including rheumatoid arthritis, multiple sclerosis, coronavirus disease-2019 and severe acute respiratory syndrome-coronavirus-2 cases of pneumonia (6).

The present study investigated the differences in the expression levels of IL-17, NF-κB, IFN-γ, TNF-α, IL-2, IL-4, IL-6 and IL-10 in GD and HT, and the differences in the changes of NF-κB signaling pathway and the pathogenesis induced by different inflammatory stimuli. To investigate this and further clarify the pathogenesis of AITDs, the present study analyzed the relationships between IL-17, NF-κB, IL-6, IL-10 proteins and their mRNAs, thyroid-stimulating hormone (TSH), free triiodothyronine (FT3), free thyroxine (FT4), thyroid peroxidase antibody (ATPO), thyroid gland globulin (TG), thyroglobulin antibody (TGAb) and thyroid-stimulating receptor antibody (TRAb).

Materials and methods

Patients

The present study selected 82 patients with AITDs (41 with GD and 41 with HT) and 53 age-matched healthy controls who were outpatients and inpatients of Hebei General Hospital (Shijiazhuang, China) from June 2020 to November 2020. The GD group was 19-63 years old (mean, 38.49±8.81 years). The HT group was 17-66 years old (mean, 40.71±13.08 years). The controls were 15-67 years old (mean, 43.06±12.57 years). Sex and age did not significantly differ among the three groups. Basic parameters for all patients are presented in Table I.

Table I

Patient demographics.

Table I

Patient demographics.

 Autoimmune thyroid diseases 
CharacteristicsGraves' disease patientsHashimoto's thyroiditis patientsControl
Numbers414153
Age, years38.49±8.8140.71±13.0843.06±12.57
Sex, W:M34:736:541:12

[i] M, men; W, women.

Diagnostic criteria for HT. HT was diagnosed per the following: i) Thyroid peroxidase antibody (TPOAb)-positive or thyroglobulin antibody (TGAb)-positive in serum autothyroid antibodies; ii) thyroid gland exhibited toughness or diffuse enlargement or non-obvious enlargement; iii) transient hyperthyroidism or permanent hypothyroidism; iv) ultrasound showed goiter or no obvious enlargement, diffuse changes in the thyroid gland, decreased echo, or nodules; v) cytological examination by fine needle puncture of the thyroid gland indicated lymphocyte infiltration and eosinophilic changes of follicular cells; and vi) normal or low thyroid uptake (7).

Diagnostic criteria for GD. GD was diagnosed per the following: i) Hypermetabolic symptoms and signs caused by thyrotoxicosis, which were confirmed by clinical manifestations; ii) diffuse thyroid enlargement confirmed by physical examination and imaging; iii) serum thyroid-stimulating hormone (TSH) level decreased and thyroid hormone level increased; iv) no obvious exophthalmia or other invasive eye signs; v) anterior tibial myxedema; vi) both TRAb-positive (>1.75 IU/l); vii) increased thyroid iodine uptake or enhanced thyroid uptake on thyroid nuclide imaging; and viii) pathological examination showed hyperplasia of thyroid cells, cells in cubic or columnar shape and visible papilla. Subclinical hyperthyroidism with reduced serum TSH levels and normal thyroid hormone levels may be caused by GD, but patients with this condition may be asymptomatic (7).

Exclusion criteria. Exclusion criteria were other acute and chronic inflammatory diseases, liver and kidney dysfunction, severe respiratory diseases, tumor radiotherapy and chemotherapy, severe cardiovascular diseases, pregnancy or lactation, severe mental diseases and infectious diseases. The Ethics Committee of Hebei General Hospital approved informed consent and voluntary participation [approval no. 2020(204)].

Electrochemiluminescence analyzer. TSH, FT3, FT4, ATPO, TG, TGAb, TRAb were detected using an electrochemiluminescence analyzer (Cobas e602; Roche Diagnostics).

Flow cytometry. There were seven types of capture microspheres with different fluorescence intensity in the capture microsphere mixture in the Human Th1/Th2/Th17 subpopulation detection kit (cat. no. P010002; Jiangxi Saiji Biological Co., Ltd.). The surface of the capture beads provided by this aforementioned kit were coated with IL-2, IL-4, IL-6, IL-10, IL-17, TNF-α and IFN-γ specific antibodies, and diluted with twice the capture bead buffer and incubate at 37˚C away from light for 30 min. The capture beads were specifically bound to IL-2, IL-4, IL-6, IL-10, IL-17, TNF-α, IFN-γ in the samples to be tested, and then bound to the provided fluorescent detection antibody labeled by PE to form a double-antibody sandwich complex (capture bead + sample to be tested + antibody to be detected). After incubation for 2.5 h at room temperature and away from light, the fluorescence intensity of the double-antibody sandwich complex was analyzed. The contents of IL-2, IL-4, IL-6, IL-10, IL-17, TNF-α and IFN-γ in the samples to be tested were obtained. Multiprotein quantitative assay (CBA) was performed (FACS Canto, BD Biosciences), according to the kit Instruction Manual Software (8). FCAP Array v3 was used to analyze the results (Cellgene Biotech Co. Ltd).

ELISA. Serum NF-κB was detected using ELISA (cat. no. NBP2-29661; Novus Biologicals, LLC).

Cell collection. In the morning, 5 ml of venous blood was drawn from all participants on an empty stomach and treated as below.

Preparation of monocytes

Peripheral venous blood (1-2 ml) was drawn from all subjects on an empty stomach in the morning, the samples were treated with EDTA anticoagulant and added with 1.5X phosphate-buffered saline (PBS), and the treatment was completed within 4 h. Lymphocyte isolation solution was added within 1 h (Tiangen Biotech Co., Ltd.). The diluted blood cells were evenly vortexed, then the vortexed blood was added to the 1.5X lymphocyte separation solution (Tiangen Biotech Co., Ltd.) to ensure that the blood was in the upper layer and centrifuged at 1,220 x g for 20 min at 4˚C. The supernatant was removed and added to another glass test tube with 1.5x PBS. The mixture was centrifuged at 1,220 x g for 20 min at 4˚C, then the precipitate was removed from the discarded solution. Next, the 1.5x PBS was added, mixed and centrifuged at 1,220 x g for 20 min at 4˚C. The precipitate was removed from the discarded solution, and 1 ml of PBS was added, homogenized and transferred to a 1.5-ml centrifuge tube and centrifuged at 12 x g for 5 min at 4˚C. The precipitate was removed from the discarded solution to form mononuclear cells. The SYBR Green I (Tiangen Biotech Co., Ltd.) chimeric fluorescence method was used for quantitative detection (7500 Real-Time PCR System; Thermo Fisher Scientific, Inc.).

Reverse transcription-quantitative PCR (RT-qPCR). IL-6, IL-10, IL-17 and NF-κB mRNA expression levels were detected using RT-qPCR. Total RNA was extracted from the mononuclear cells using TRIzol® reagent (Invitrogen; Thermo Fisher Scientific, Inc.), then amplified using a genomic DNA removal reaction. RT was performed using FastKing RT Kit (with gDNase) (Tiangen Biotech Co., Ltd.) according to the manufacturer's instructions. qPCR was performed as per the instructions of the SuperReal PreMix Plus (SYBR Green) kit (Tiangen Biotech Co., Ltd.). The amplification procedure was pre-denaturation at 95˚C for 10 min for one cycle and amplification at 95˚C for 15 sec, 60˚C for 15 sec and 72˚C for 30 sec for 40 cycles. The ΔCq was calculated by subtracting the Cq value of the reference β-actin gene from the Cq value of the target gene, and the relative mRNA expression of the target gene was calculated via 2-ΔΔCq (9). The reference method comes from the specification of Tiangen Biotech Co., Ltd. Primer sequences are presented in Table II.

Table II

Primer sequences used for reverse transcription-quantitative PCR.

Table II

Primer sequences used for reverse transcription-quantitative PCR.

Gene nameUpstream primer (5'-3')Downstream primer (5'-3')
β-actin ACGAGGCCCAGAGCAAGAGA GGTCTTTGCGGATGTCCACG
IL-6 ACTCACCTCTTCAGAACGAATTG CCATCTTTGGAAGGTTCAGGTTG
IL-10 TGAATTCCCTGGGTGAGAAG CTCTTCACCTCCTCCACTGC
IL-17 ACGATGACTCCTGGGAAGACC GGGATTGTGATTCCTGCCTTC
NF-κB TGGCGCAGAAATTAGGTCTGG GATCACTTCAATTGCTTCGGTGTA
Statistical analysis

IBM SPSS 21.0 software (IBM Corp.) was used for statistical analysis. Measurement data are expressed as the mean ± standard deviation (X ± S) for normally distributed variables in each group, Homogeneity of variance test and one-way analysis of variance were performed among multiple groups, after which multiple comparisons of LSD were performed. Non-normally distributed variables are presented as the median and interquartile range (M [Q1-Q3]). Pearson correlation analysis was used for correlation analysis between variables and Spearman correlation analysis was used for non-parametric variables. P<0.05 was considered to indicate a statistically significant difference.

Results

Comparison of the thyroid hormone, antibodies and NF-κB

Index levels differed significantly between the GD and HT groups and the controls (P<0.05 or P<0.01). The levels of TSH, TGAb and NF-κB were significantly higher in the HT group compared with the GD group and controls; while the levels FT3, FT4 and TRAb were significantly lower in the HT group compared with the GD group (P<0.05 or P<0.01; Table III).

Table III

Comparison of indexes between the patients and controls.

Table III

Comparison of indexes between the patients and controls.

GroupsNC (n=53)GD (n=41)HT (n=41)
TSH (uIU/ml)1.5 (1.16-2.57)0.015 (0.005-0.145)a3.72 (2.24-5.16)a,b
FT3 (pmol/l)4.69±0.77 12.96±7.37a4.5±1.2b
FT4 (pmol/l)16.19±1.80 33.64±19.81a 15.87±5.15b
ATPO (IU/ml)13.09±6.39 148.15±108.41a 189.28±111.32a
TG (ng/ml)17.81±2.45 44.63±34.73a 56.67±42.02a
TGAb (IU/ml) 13.66(10.53-26.25) 116.7(48.20-232.60)a 285.8(171.89-476.90)a,c
TRAb (IU/l)0.64±0.26 14.83±11.91a 0.94±0.39a,b
NF-κB (ng/ml)1.45±0.59 2.81±1.28a 3.62±1.67a,c

[i] aP<0.01 compared with the control group;

[ii] bP<0.01 and

[iii] cP<0.05 compared with the HT and GD groups. NC, negative control; GD, Graves' disease; HT, Hashimoto's thyroiditis; TSH, thyroid-stimulating hormone; FT3, free triiodothyronine; FT4, free thyroxine; ATPO, thyroid peroxidase antibody; TG, thyroid gland globulin; TGAb, thyroglobulin antibody; TRAb, thyroid-stimulating receptor antibody.

Comparison of cytokine levels

Cytokine levels differed significantly between the GD and HT groups and the controls (P<0.05 or P<0.01). TNF-α, IL-6 and IL-17A were significantly higher in the HT group compared with the GD group and controls. IFN-γ and IL-10 were significantly lower in the HT group compared with the controls (P<0.05). These results suggest an immunoinflammatory mechanism, especially in the HT group, which might be related to severer inflammatory lymphocyte infiltration (Table IV). Representative flow cytometric view of each cytokine analyzed by flow cytometry is presented in (Fig. S1).

Table IV

Comparison of cytokine levels between patients and controls.

Table IV

Comparison of cytokine levels between patients and controls.

CytokinesNC (n=53)GD (n=41)HT (n=41)
IFN-γ (pg/ml)4.43±2.78 3.66±2.29a 3.21±1.86b
TNF-α (pg/ml)2.24±1.03 3.42±1.54b 4.33±1.88b,c
IL-2 (pg/ml)3.45±1.99 4.14±2.28a3.91±1.89
IL-4 (pg/ml)1.95±1.021.72±0.981.69±0.94
IL-6 (pg/ml)2.76±1.55 3.61±1.82b 4.94±2.04b,d
IL-10 (pg/ml)2.49±1.43 1.89±0.94a 1.79±0.95a
IL-17A (pg/ml)4.76±1.71 7.79±1.12b 8.59±1.74b,c

[i] aP<0.05 and

[ii] bP<0.01 compared with control group;

[iii] cP<0.05 and

[iv] dP<0.01 compared with the HT and GD groups. TNF-α, IL-6 and IL-17A were significantly higher in the HT group than in the GD group and controls. IFN-γ and IL-10 were significantly lower in the HT group than in the controls (P<0.05). NC, negative control; GD, Graves' disease; HT, Hashimoto's thyroiditis; IFN-γ, interferon-γ.

mRNA comparisons among groups

RT-qPCR was used to analyze the mRNA expression levels of NF-κB (Fig. 1A), IL-6 (Fig. 1B), IL-17 (Fig. 1C) and IL-10 (Fig. 1D). mRNA levels in the GD and HT groups differed significantly from those of the controls (P<0.01). The mRNA expression levels of NF-κB, IL-6 and IL-17 were significantly higher in the HT group compared with the GD group and controls (P<0.05 or P<0.01). While IL-10 mRNA was lower in the HT and GD groups compared with the controls (P<0.01) (Fig. 1).

Figure 1

Comparison of mRNA levels among GD, HT and NC groups. RT-qPCR was used to analyze the mRNA expression levels of (A) NF-κB, (B) IL-6, (C) IL-17 and (D) IL-10. *P<0.05, **P<0.01. GD, Graves' disease; HT, Hashimoto's thyroiditis; NC, negative control.

Correlation analysis

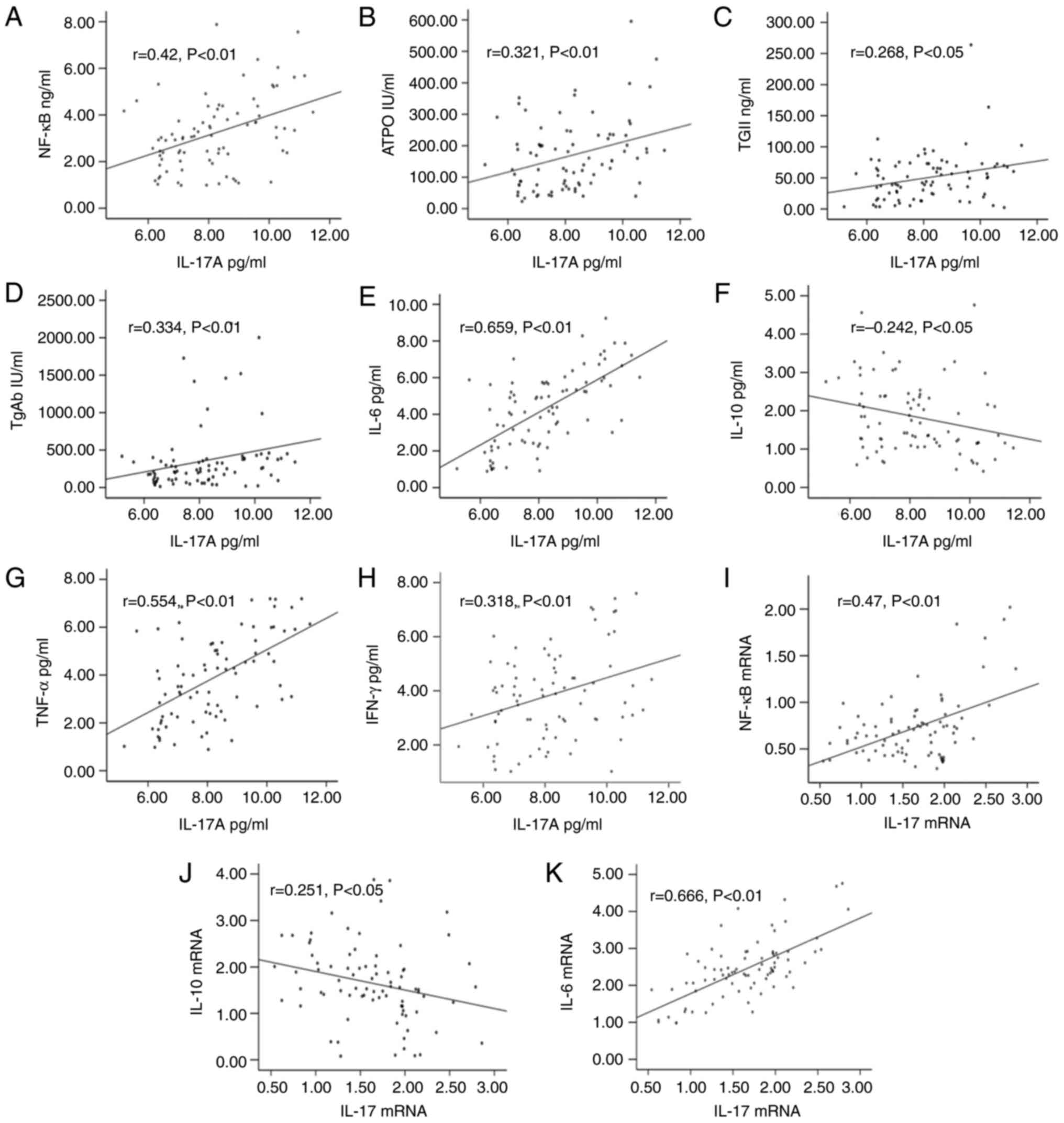
Pearson and Spearman correlation analyses revealed that IL-17A was significantly positively correlated with ATPO, NF-κB, TGAb, TNF-α, IL-6 and IFN-γ (r=0.321, 0.42, 0.334, 0.554, 0.659 and 0.318, respectively; P<0.05 or P<0.01) and significant correlation with IL-10, TG (r=-0.242, 0.268; P<0.05). IL-17 mRNA was positively correlated with NF-κB and IL-6 mRNA (r=0.47 and 0.666, respectively; P<0.01) and significant correlation with IL-10 mRNA (r=-0.251; P<0.05). These data suggested that IL-17 activated the NF-κB signaling pathway to produce inflammatory factors, and the high expression difference may be caused by abnormal NF-κB expression (Fig. 2).

Figure 2

Correlation analysis of interleukin-17 and its protein with each index. Pearson and Spearman correlation analyses revealed that IL-17A was significantly positively correlated with (A) NF-κB, (B) ATPO, (C) TG, (D) TgAb, (E) IL-6, (F) TNF-α and (G) IFN-γ and significantly negatively correlated with (H) IL-10. IL-17 mRNA was positively correlated with (I) NF-κB and (J) IL-6 mRNA and negatively correlated with (K) IL-10 mRNA. ATPO, thyroid peroxidase antibody; TG, thyroid gland globulin; TgAb, thyroglobulin antibody; IFN-γ, interferon-γ.

Discussion

IL-17, also known as IL-17A (10), is an important inflammatory factor that promotes recruitment, chemotaxis and amplification of neutrophils. It also recruits monocytes and neutrophils to gather at inflammatory sites by increasing production of C-X-C motif ligand (CXCL)1 and CXCL2 chemokines in tissues, thus causing chronic inflammation (11).

Studies have revealed that IL-17 levels in thyroid tissues are highly expressed in patients with both HT and GD (12,13) and can be used as a novel marker and potential prognostic indicator for diagnosing HT deterioration. Such high expression stimulates Th17 cells under the synergistic effect of IL-23 and IL-6 and activates relevant signaling pathways to induce pathogenic phenotypes to induce AITDs (14). IL-17 further aggravates the local inflammatory response of HT thyroid tissue by promoting interstitial fibrosis, which leads to local fibrosis of thyroid tissue and accelerates disease progression (15). Studies have shown that IL-17 is closely associated with thyroid hormone levels and has different correlations with various thyroid disease inflammatory factors, such as IL-6, IL-23 and IL-10, and thyroid antibody titers, indicating that Th17 cells have an independent stimulating effect on thyroid cells (16).

In the present study, the thyroid hormone levels were much higher in the GD group compared with the HT group, but the ATPO, TGAb and TRAb levels were significantly higher in the HT group, indicating that NF-κB levels also differ significantly under different stimuli. IL-17A, TNF-α and IL-6 levels were significantly higher in the patients compared with the controls, whereas IFN-γ and IL-4 levels were lower, indicating the existence of an immunoinflammatory mechanism. The HT group demonstrated the most significant inflammation, possibly owing to the more severe degree of inflammatory lymphocyte infiltration.

Inflammation destroys thyroid follicular cells and lymphocytes and activates lymphocyte chemokine expression (17), resulting in disorder of the thyroid hormones, increased antibody levels and toxic effects. Additionally, IL-17 significantly inhibits the anti-inflammatory and antitumor effects of IFN-γ and further upregulates the expression of protein inhibitor of activated STAT1, a negative feedback regulator of the JAK/STAT1 pathway, by enhancing NF-κB activation, thereby accelerating tumor development (18). Autoantigen TG induces B cells and CD4 T cells to secrete IL-10 and IL-6 and induce Th17 differentiation biased by HT to further produce IL-17, thus resulting in a vicious cycle (19). Long-term inflammation destroys the immune microenvironment of the thyroid tissue, rendering the immune self-stabilizing mechanism ineffective (20), further causing carcinogenesis and significantly increasing TG and cytokines Bcl-2, IL-8 and TNF-α.

In the present study, IL-10 was lower in patients compared with the controls, suggesting that the effects of IL-17, IL-6 and TNF-α significantly weakened the anti-inflammatory effect and major histocompatibility complex-II expression on the downregulated antigen-presenting cells, and the T-cell response was not effectively inhibited, thus promoting disease progression.

A number of cells express NF-κB, a member of the nuclear hormone receptor family and protein molecule with multidirectional regulatory effects, which can be activated by inflammatory factors, growth factors and chemokines to activate a cytokine cascade and produce proinflammatory mediators to regulate the inflammatory response (18). For example, activation of the NF-κB signaling pathway and an imbalance of Treg/Th17 may be involved in the GD pathogenesis (21). IL-17 directly activates NF-κB through the classic pathway by promoting NF-κB p65 and other nuclear ectopic genes. Stimulation of IL-17-expressing cells induces MCP-1 expression dose- and time-dependently, resulting in the persistence and aggravation of chronic inflammatory processes (22). IL-17A signals intracellular responses by activating IL-17R and synergistically induces interstitial transformation, proliferation and inflammation of bronchial epithelial cells via IL17R/NF-κB signal transduction (23). IL-17 upregulates IL-6 expression by activating the NF-κB pathway, upregulates the expression of programmed cell death ligand 1 in thyroid cells, accelerates inflammatory infiltration and promotes tumor development (24).

TNF-α activates the NF-κB signaling pathway, and its expression is regulated by NF-κB (25). TNF-α contains specific NF-κB binding sites; thus, a positive feedback loop can be formed between TNF-α and the NF-κB signaling pathway, resulting in continuous activation of the NF-κB pathway and Bcl-2 and intercellular adhesion molecule-1 genes. This promotes proliferation and infiltration of inflammatory cells into thyroid tissues and occurrence and development of AITDs (26). Inhibiting the NF-κB pathway can regulate the release of inflammatory factors such as IL-6, IL-10, IL-12 and TNF-α (27) and improve autoimmune thyroid function. The present study demonstrated that IL-6, TNF-α and NF-κB increased successively in the three groups and were positively correlated with IL-17A. IL-17 mRNA was also positively correlated with IL-6 mRNA and NF-κB mRNA. These results suggested that IL-17 activated the NF-κB signaling pathway to produce a number of inflammatory factors such as IL-6 and TNF-α, forming a positive feedback effect that leads to the occurrence and development of AITDs.

In the present study, IFN-γ, IL-4, IL-2, IL-10 and IL-10 mRNA did not significantly differ between the HT and GD groups, but they showed a decreasing trend. IL-17A was negatively correlated with IL-10, and IL-17 mRNA was negatively correlated with IL-10 mRNA. The proinflammatory effects of IL-6 and TNF-α formation are likely much greater compared with their anti-inflammatory effects, and abnormal NF-κB expression may cause the large differences in their expressions. A previous study has shown that although IL-17 is highly expressed in thyroid cells in patients with HT and GD, the levels of IL-23 that induce Th17 differentiation differ, and the correlation between IL-17 and IL-23 also differs (28). IL-23 induces peripheral blood mononuclear cells to secrete prostaglandin E2, which further increases the proportion of IL-23R+CD4+T cells, promotes IL-17A secretion, reduces secretion of anti-inflammatory factor IL-38 and increases inflammatory cell release (29). These factors induce the different pathogenic phenotypes among AITDs, including GD and HT, which requires further research.

Supplementary Material

Flow cytometry was used to analyze the representative views of IFN-γ, TNF-α, IL-2, IL-4, IL-6, IL-10 and IL-17A in the HT, GD and NC groups. The figure on the left is a quantitative measure of cytokine representativeness and on the right is a histogram of representational peaks. The y-axis is pg/ml. HT, Hashimoto's thyroiditis; GD, Graves' disease; NC, negative control.

Acknowledgements

Not applicable.

Funding

Funding: This work was supported by the foundation Item: Mandatory Research Project of Medical Science in Hebei Province (grant no. 20210089).

Availability of data and materials

The datasets used and/or analyzed during the current study are available from the corresponding author on reasonable request.

Authors' contributions

YL, CX and DZ designed the study, collected data, analyzed relevant information, wrote the manuscript and approved the final submission. GL, FC, ZH and CZ performed the formal analysis, analyzed data, organized articles and checked papers YL and XL designed the investigation and wrote the original draft. CX and YL designed the methodology. YL, CX and XL were project administrators. YL and CX confirm the authenticity of all the raw data. All authors read and approved the final manuscript.

Ethics approval and consent to participate

This study was approved by the Ethics Committee of Hebei General Hospital [approval no. 2020(204)], and all subjects signed informed consent.

Patient consent for publication

Not applicable.

Competing interests

The authors declare that they have no competing interests.

References

1 

Rayman MP: Multiple nutritional factors and thyroid disease, with particular reference to autoimmune thyroid disease. Proc Nutr Soc. 78:34–44. 2018.PubMed/NCBI View Article : Google Scholar

2 

Lei Y, Yang J, Li H, Zhong H and Wan Q: Changes in glucose-lipid metabolism, insulin resistance, and inflammatory factors in patients with autoimmune thyroid disease. J Clin Lab Anal. 33(e22929)2019.PubMed/NCBI View Article : Google Scholar

3 

Dashdamirova G, Rahimova R, Baghirova S and Azizova U: Pathogenic mechanisms of autoimmune thyroid disease. Int J Med Sci Health Res. 06:26–33. 2022.

4 

Barnabei L, Laplantine E, Mbongo W, Rieux-Laucat F and Weil R: NF-κB: At the borders of autoimmunity and inflammation. Front Immunol. 12(716469)2021.PubMed/NCBI View Article : Google Scholar

5 

Capece D, Verzella D, Flati I, Arboretto P, Cornice J and Franzoso G: NF-κB: Blending metabolism, immunity, and inflammation. Trends Immunol. 43:757–775. 2022.PubMed/NCBI View Article : Google Scholar

6 

Roberti A, Chaffey LE and Greaves DR: NF-κB Signaling and inflammation-drug repurposing to treat inflammatory disorders? Biology (Basel). 11(372)2022.PubMed/NCBI View Article : Google Scholar

7 

Endocrine Society of Chinese Medical Association, Compilation group of《Guidelines for diagnosis and treatment of thyroid diseases in China》. Diagnosis and treatment of thyroid diseases in China-Laboratory and auxiliary examination of thyroid diseases. Chinese Journal of Internal Medicine,. 2007. 4:697–702. 2007.

8 

Quintanal-Villalonga Á, Chan JM, Masilionis I, Gao VR, Xie Y, Allaj V, Chow A, Poirier JT, Pe'er D, Rudin CM and Mazutis L: Protocol to dissociate, process, and analyze the human lung tissue using single-cell RNA-seq. STAR Protoc. 3(101776)2022.PubMed/NCBI View Article : Google Scholar

9 

Livak KJ and Schmittgen TD: Analysis of relative gene expression data using real-time quantitative PCR and the 2(-Delta Delta C(T)) Method. Methods. 25:402–408. 2001.PubMed/NCBI View Article : Google Scholar

10 

Chimenz R, Tropeano A, Chirico V, Ceravolo G, Salpietro C and Cuppari C: IL-17 serum level in patients with chronic mucocutaneous candidiasis disease. Pediatr Allergy Immunol. 33 (Suppl 27):S77–S79. 2022.PubMed/NCBI View Article : Google Scholar

11 

Zhang C, Chen J, Wang H, Chen J, Zheng MJ, Chen XG, Zhang L, Liang CZ and Zhan CS: IL-17 exacerbates experimental autoimmune prostatitis via CXCL1/CXCL2-mediated neutrophil infiltration. Andrologia. 54(e14455)2022.PubMed/NCBI View Article : Google Scholar

12 

Zake T, Skuja S, Kalere I, Konrade I and Groma V: Heterogeneity of tissue IL-17 and tight junction proteins expression demonstrated in patients with autoimmune thyroid diseases. Medicine (Baltimore). 97(e11211)2018.PubMed/NCBI View Article : Google Scholar

13 

Li S, Li S, Lin M, Li Z, He J, Qiu J and Zhang J: Interleukin-17 and vascular endothelial growth factor: New biomarkers for the diagnosis of papillary thyroid carcinoma in patients with Hashimoto's thyroiditis. J Int Med Res. 50(3000605211067121)2022.PubMed/NCBI View Article : Google Scholar

14 

Hu S, Guo P, Wang Z, Zhou Z, Wang R, Zhang M, Tao J, Tai Y, Zhou W, Wei W and Wang Q: Down-regulation of A3AR signaling by IL-6-induced GRK2 activation contributes to Th17 cell differentiation. Exp Cell Res. 399(112482)2021.PubMed/NCBI View Article : Google Scholar

15 

Esfahanian F, Ghelich R, Rashidian H and Jadali Z: Increased levels of serum interleukin-17 in patients with Hashimoto's thyroiditis. Indian J Endocrinol Metab. 21:551–554. 2017.PubMed/NCBI View Article : Google Scholar

16 

Zake T, Kalere I, Upmale-Engela S, Svirskis S, Gersone G, Skesters A, Groma V and Konrade I: Plasma levels of Th17-associated cytokines and selenium status in autoimmune thyroid diseases. Immun Inflamm Dis. 9:792–803. 2021.PubMed/NCBI View Article : Google Scholar

17 

Li Q, Wang B, Mu K and Zhang JA: The pathogenesis of thyroid autoimmune diseases: New T lymphocytes - Cytokines circuits beyond the Th1-Th2 paradigm. J Cell Physiol. 234:2204–2216. 2019.PubMed/NCBI View Article : Google Scholar

18 

Li J, Zeng M, Yan K, Yang Y, Li H and Xu X: IL-17 promotes hepatocellular carcinoma through inhibiting apoptosis induced by IFN-γ. Biochem Biophys Res Commun. 522:525–531. 2020.PubMed/NCBI View Article : Google Scholar

19 

Kristensen B: Regulatory B and T cell responses in patients with autoimmune thyroid disease and healthy controls. Dan Med J. 63(B5177)2016.PubMed/NCBI

20 

Okda TM, Atwa GMK, Eldehn AF, Dahran N, Alsharif KF and Elmahallawy EK: A Novel role of galectin-3 and thyroglobulin in prognosis and differentiation of different stages of thyroid cancer and elucidation of the potential contribution of Bcl-2, IL-8 and TNF-α. Biomedicines. 10(352)2022.PubMed/NCBI View Article : Google Scholar

21 

Wang J, Shi C, Chou G, Chen Z, Feng H and Wang S: Expression of TLR4, NF-κB and Treg/Th17 related cytokines in patients with Graves' Disease. Chinese Journal of Modern Medicine, 2017 Feb,. 27:58–61. 2017.

22 

Lin SH, Ho JC, Li SC, Cheng YW, Hsu CY, Chou WY, Hsiao CC and Lee CH: TNF-α activating osteoclasts in patients with psoriatic arthritis enhances the recruitment of osteoclast precursors: A Plausible Role of WNT5A-MCP-1 in osteoclast engagement in psoriatic arthritis. Int J Mol Sci. 23(921)2022.PubMed/NCBI View Article : Google Scholar

23 

Ma L, Jiang M, Zhao X, Sun J, Pan Q and Chu S: Cigarette and IL-17A synergistically induce bronchial epithelial-mesenchymal transition via activating IL-17R/NF-κB signaling. BMC Pulm Med. 20(26)2020.PubMed/NCBI View Article : Google Scholar

24 

Wei L, Xiong H, Li W, Li B and Cheng Y: Upregulation of IL-6 expression in human salivary gland cell line by IL-17 via activation of p38 MAPK, ERK, PI3K/Akt, and NF-κB pathways. J Oral Pathol Med. 47:847–855. 2018.PubMed/NCBI View Article : Google Scholar

25 

Salomon BL, Leclerc M, Tosello J, Ronin E, Piaggio E and Cohen JL: Tumor necrosis factor α and regulatory T cells in oncoimmunology. Front Immunol. 9(444)2018.PubMed/NCBI View Article : Google Scholar

26 

Qi G, Zhu Y, Li Y, Li Y, Luo S and Li M: Role of NF-κB pathway in the pathogenesis of AITD. Journal of practical medicine, 2018 Oct. 34:3362–3366. 2018.

27 

Zhao H, Chen W, Zhu L and Ge H: 1,25(OH)2D3 protects thyroid functions in experimental autoimmune thyroiditis rats by inhibiting the TLR2 / NF-κB signaling pathway. Chinese Journal of Comparative Medicine, 2022 Jan,. 32:78–86. 2022.

28 

Zake T, Skuja S, Kalere I, Konrade I and Groma V: Upregulated tissue expression of T helper (Th) 17 pathogenic interleukin (IL)-23 and IL-1β in Hashimoto's thyroiditis but not in Graves' disease. Endocr J. 66:423–430. 2019.PubMed/NCBI View Article : Google Scholar

29 

Pan Y, Wang M, Chen X, Chen Y, Ai S, Wang M, Su W and Liang D: Elevated IL-38 inhibits IL-23R expression and IL-17A production in thyroid-associated ophthalmopathy. Int Immunopharmacol. 91(107300)2021.PubMed/NCBI View Article : Google Scholar

Related Articles

  • Abstract
  • View
  • Download
  • Twitter
Copy and paste a formatted citation
Spandidos Publications style
Lu Y, Xing C, Zhang C, Lv X, Liu G, Chen F, Hou Z and Zhang D: Promotion of IL‑17/NF‑κB signaling in autoimmune thyroid diseases. Exp Ther Med 25: 51, 2023.
APA
Lu, Y., Xing, C., Zhang, C., Lv, X., Liu, G., Chen, F. ... Zhang, D. (2023). Promotion of IL‑17/NF‑κB signaling in autoimmune thyroid diseases. Experimental and Therapeutic Medicine, 25, 51. https://doi.org/10.3892/etm.2022.11750
MLA
Lu, Y., Xing, C., Zhang, C., Lv, X., Liu, G., Chen, F., Hou, Z., Zhang, D."Promotion of IL‑17/NF‑κB signaling in autoimmune thyroid diseases". Experimental and Therapeutic Medicine 25.1 (2023): 51.
Chicago
Lu, Y., Xing, C., Zhang, C., Lv, X., Liu, G., Chen, F., Hou, Z., Zhang, D."Promotion of IL‑17/NF‑κB signaling in autoimmune thyroid diseases". Experimental and Therapeutic Medicine 25, no. 1 (2023): 51. https://doi.org/10.3892/etm.2022.11750
Copy and paste a formatted citation
x
Spandidos Publications style
Lu Y, Xing C, Zhang C, Lv X, Liu G, Chen F, Hou Z and Zhang D: Promotion of IL‑17/NF‑κB signaling in autoimmune thyroid diseases. Exp Ther Med 25: 51, 2023.
APA
Lu, Y., Xing, C., Zhang, C., Lv, X., Liu, G., Chen, F. ... Zhang, D. (2023). Promotion of IL‑17/NF‑κB signaling in autoimmune thyroid diseases. Experimental and Therapeutic Medicine, 25, 51. https://doi.org/10.3892/etm.2022.11750
MLA
Lu, Y., Xing, C., Zhang, C., Lv, X., Liu, G., Chen, F., Hou, Z., Zhang, D."Promotion of IL‑17/NF‑κB signaling in autoimmune thyroid diseases". Experimental and Therapeutic Medicine 25.1 (2023): 51.
Chicago
Lu, Y., Xing, C., Zhang, C., Lv, X., Liu, G., Chen, F., Hou, Z., Zhang, D."Promotion of IL‑17/NF‑κB signaling in autoimmune thyroid diseases". Experimental and Therapeutic Medicine 25, no. 1 (2023): 51. https://doi.org/10.3892/etm.2022.11750
Follow us
  • Twitter
  • LinkedIn
  • Facebook
About
  • Spandidos Publications
  • Careers
  • Cookie Policy
  • Privacy Policy
How can we help?
  • Help
  • Live Chat
  • Contact
  • Email to our Support Team