Spandidos Publications Logo
  • About
    • About Spandidos
    • Aims and Scopes
    • Abstracting and Indexing
    • Editorial Policies
    • Reprints and Permissions
    • Job Opportunities
    • Terms and Conditions
    • Contact
  • Journals
    • All Journals
    • Oncology Letters
      • Oncology Letters
      • Information for Authors
      • Editorial Policies
      • Editorial Board
      • Aims and Scope
      • Abstracting and Indexing
      • Bibliographic Information
      • Archive
    • International Journal of Oncology
      • International Journal of Oncology
      • Information for Authors
      • Editorial Policies
      • Editorial Board
      • Aims and Scope
      • Abstracting and Indexing
      • Bibliographic Information
      • Archive
    • Molecular and Clinical Oncology
      • Molecular and Clinical Oncology
      • Information for Authors
      • Editorial Policies
      • Editorial Board
      • Aims and Scope
      • Abstracting and Indexing
      • Bibliographic Information
      • Archive
    • Experimental and Therapeutic Medicine
      • Experimental and Therapeutic Medicine
      • Information for Authors
      • Editorial Policies
      • Editorial Board
      • Aims and Scope
      • Abstracting and Indexing
      • Bibliographic Information
      • Archive
    • International Journal of Molecular Medicine
      • International Journal of Molecular Medicine
      • Information for Authors
      • Editorial Policies
      • Editorial Board
      • Aims and Scope
      • Abstracting and Indexing
      • Bibliographic Information
      • Archive
    • Biomedical Reports
      • Biomedical Reports
      • Information for Authors
      • Editorial Policies
      • Editorial Board
      • Aims and Scope
      • Abstracting and Indexing
      • Bibliographic Information
      • Archive
    • Oncology Reports
      • Oncology Reports
      • Information for Authors
      • Editorial Policies
      • Editorial Board
      • Aims and Scope
      • Abstracting and Indexing
      • Bibliographic Information
      • Archive
    • Molecular Medicine Reports
      • Molecular Medicine Reports
      • Information for Authors
      • Editorial Policies
      • Editorial Board
      • Aims and Scope
      • Abstracting and Indexing
      • Bibliographic Information
      • Archive
    • World Academy of Sciences Journal
      • World Academy of Sciences Journal
      • Information for Authors
      • Editorial Policies
      • Editorial Board
      • Aims and Scope
      • Abstracting and Indexing
      • Bibliographic Information
      • Archive
    • International Journal of Functional Nutrition
      • International Journal of Functional Nutrition
      • Information for Authors
      • Editorial Policies
      • Editorial Board
      • Aims and Scope
      • Abstracting and Indexing
      • Bibliographic Information
      • Archive
    • International Journal of Epigenetics
      • International Journal of Epigenetics
      • Information for Authors
      • Editorial Policies
      • Editorial Board
      • Aims and Scope
      • Abstracting and Indexing
      • Bibliographic Information
      • Archive
    • Medicine International
      • Medicine International
      • Information for Authors
      • Editorial Policies
      • Editorial Board
      • Aims and Scope
      • Abstracting and Indexing
      • Bibliographic Information
      • Archive
  • Articles
  • Information
    • Information for Authors
    • Information for Reviewers
    • Information for Librarians
    • Information for Advertisers
    • Conferences
  • Language Editing
Spandidos Publications Logo
  • About
    • About Spandidos
    • Aims and Scopes
    • Abstracting and Indexing
    • Editorial Policies
    • Reprints and Permissions
    • Job Opportunities
    • Terms and Conditions
    • Contact
  • Journals
    • All Journals
    • Biomedical Reports
      • Information for Authors
      • Editorial Policies
      • Editorial Board
      • Aims and Scope
      • Abstracting and Indexing
      • Bibliographic Information
      • Archive
    • Experimental and Therapeutic Medicine
      • Information for Authors
      • Editorial Policies
      • Editorial Board
      • Aims and Scope
      • Abstracting and Indexing
      • Bibliographic Information
      • Archive
    • International Journal of Epigenetics
      • Information for Authors
      • Editorial Policies
      • Editorial Board
      • Aims and Scope
      • Abstracting and Indexing
      • Bibliographic Information
      • Archive
    • International Journal of Functional Nutrition
      • Information for Authors
      • Editorial Policies
      • Editorial Board
      • Aims and Scope
      • Abstracting and Indexing
      • Bibliographic Information
      • Archive
    • International Journal of Molecular Medicine
      • Information for Authors
      • Editorial Policies
      • Editorial Board
      • Aims and Scope
      • Abstracting and Indexing
      • Bibliographic Information
      • Archive
    • International Journal of Oncology
      • Information for Authors
      • Editorial Policies
      • Editorial Board
      • Aims and Scope
      • Abstracting and Indexing
      • Bibliographic Information
      • Archive
    • Medicine International
      • Information for Authors
      • Editorial Policies
      • Editorial Board
      • Aims and Scope
      • Abstracting and Indexing
      • Bibliographic Information
      • Archive
    • Molecular and Clinical Oncology
      • Information for Authors
      • Editorial Policies
      • Editorial Board
      • Aims and Scope
      • Abstracting and Indexing
      • Bibliographic Information
      • Archive
    • Molecular Medicine Reports
      • Information for Authors
      • Editorial Policies
      • Editorial Board
      • Aims and Scope
      • Abstracting and Indexing
      • Bibliographic Information
      • Archive
    • Oncology Letters
      • Information for Authors
      • Editorial Policies
      • Editorial Board
      • Aims and Scope
      • Abstracting and Indexing
      • Bibliographic Information
      • Archive
    • Oncology Reports
      • Information for Authors
      • Editorial Policies
      • Editorial Board
      • Aims and Scope
      • Abstracting and Indexing
      • Bibliographic Information
      • Archive
    • World Academy of Sciences Journal
      • Information for Authors
      • Editorial Policies
      • Editorial Board
      • Aims and Scope
      • Abstracting and Indexing
      • Bibliographic Information
      • Archive
  • Articles
  • Information
    • For Authors
    • For Reviewers
    • For Librarians
    • For Advertisers
    • Conferences
  • Language Editing
Login Register Submit
  • This site uses cookies
  • You can change your cookie settings at any time by following the instructions in our Cookie Policy. To find out more, you may read our Privacy Policy.

    I agree
Search articles by DOI, keyword, author or affiliation
Search
Advanced Search
presentation
Experimental and Therapeutic Medicine
Join Editorial Board Propose a Special Issue
Print ISSN: 1792-0981 Online ISSN: 1792-1015
Journal Cover
January-2023 Volume 25 Issue 1

Full Size Image

Sign up for eToc alerts
Recommend to Library

Journals

International Journal of Molecular Medicine

International Journal of Molecular Medicine

International Journal of Molecular Medicine is an international journal devoted to molecular mechanisms of human disease.

International Journal of Oncology

International Journal of Oncology

International Journal of Oncology is an international journal devoted to oncology research and cancer treatment.

Molecular Medicine Reports

Molecular Medicine Reports

Covers molecular medicine topics such as pharmacology, pathology, genetics, neuroscience, infectious diseases, molecular cardiology, and molecular surgery.

Oncology Reports

Oncology Reports

Oncology Reports is an international journal devoted to fundamental and applied research in Oncology.

Experimental and Therapeutic Medicine

Experimental and Therapeutic Medicine

Experimental and Therapeutic Medicine is an international journal devoted to laboratory and clinical medicine.

Oncology Letters

Oncology Letters

Oncology Letters is an international journal devoted to Experimental and Clinical Oncology.

Biomedical Reports

Biomedical Reports

Explores a wide range of biological and medical fields, including pharmacology, genetics, microbiology, neuroscience, and molecular cardiology.

Molecular and Clinical Oncology

Molecular and Clinical Oncology

International journal addressing all aspects of oncology research, from tumorigenesis and oncogenes to chemotherapy and metastasis.

World Academy of Sciences Journal

World Academy of Sciences Journal

Multidisciplinary open-access journal spanning biochemistry, genetics, neuroscience, environmental health, and synthetic biology.

International Journal of Functional Nutrition

International Journal of Functional Nutrition

Open-access journal combining biochemistry, pharmacology, immunology, and genetics to advance health through functional nutrition.

International Journal of Epigenetics

International Journal of Epigenetics

Publishes open-access research on using epigenetics to advance understanding and treatment of human disease.

Medicine International

Medicine International

An International Open Access Journal Devoted to General Medicine.

Journal Cover
January-2023 Volume 25 Issue 1

Full Size Image

Sign up for eToc alerts
Recommend to Library

  • Article
  • Citations
    • Cite This Article
    • Download Citation
    • Create Citation Alert
    • Remove Citation Alert
    • Cited By
  • Similar Articles
    • Related Articles (in Spandidos Publications)
    • Similar Articles (Google Scholar)
    • Similar Articles (PubMed)
  • Download PDF
  • Download XML
  • View XML
Article Open Access

Chinese herbal medicine reduces the risk of readmission in patients with rheumatoid arthritis combined with hyperlipidemia: A population‑based retrospective cohort study

  • Authors:
    • Mingyu He
    • Jian Liu
    • Yanyan Fang
    • Fanfan Wang
    • Xu Li
    • Qi Han
  • View Affiliations / Copyright

    Affiliations: Department of Rheumatology and Immunology, The First Affiliated Hospital, Anhui University of Chinese Medicine, Hefei, Anhui 230031, P.R. China
    Copyright: © He et al. This is an open access article distributed under the terms of Creative Commons Attribution License.
  • Article Number: 55
    |
    Published online on: December 7, 2022
       https://doi.org/10.3892/etm.2022.11754
  • Expand metrics +
Metrics: Total Views: 0 (Spandidos Publications: | PMC Statistics: )
Metrics: Total PDF Downloads: 0 (Spandidos Publications: | PMC Statistics: )
Cited By (CrossRef): 0 citations Loading Articles...

This article is mentioned in:


Abstract

Rheumatoid arthritis (RA) is a systemic autoimmune disease that is associated with high degrees of disability and mortality. Patients with RA are generally more prone to a multitude of comorbidities, with hyperlipidemia (HL) one of the most frequently observed. Therefore, the present study investigated the possible association between Chinese herbal medicine (CHM) treatment and the risk of readmission in patients with RA combined with HL (RA‑HL). The aim of the present study was to potentially provide an evidence‑based strategy for decreasing the risk of readmission in patients with RA‑HL. The present study enrolled 839 patients with RA admitted to the First Affiliated Hospital of the Anhui University of Chinese Medicine from June 2014 to June 2015. Subsequently, 425 patients with RA were included into the present study after those with incomplete follow‑up and laboratory parameter data were excluded. These 425 patients were then classified into the RA‑HL and RA‑non‑HL groups, before incidences of sex distribution, age group, medication and readmission with propensity score matching were all compared. In total 263 patients with RA‑HL were then included and arranged into the CHM and non‑CHM groups. In particular, the variables of age, sex and diagnosis year between one patient in the CHM group and one in the non‑CHM group were adjusted with propensity score matching to decrease selection bias and interference from confounding factors. Finally, 127 patients with RA‑HL were included into the CHM group and 127 patients with RA‑HL were allocated into the non‑CHM group. The proportion of readmitted patients (including RA‑HL and RA‑non‑HL, RA‑CHM and RA‑non‑CHM) was analyzed and compared using the χ2 test and Kaplan‑Meier curves. Bivariate logistics regression analysis was used to evaluate the possible factors that can influence the readmission of patients with RA‑HL, whereas the potential association between CHM and improvements in the clinical indicators of the patients with RA‑HL was assessed using association rules based on Apriori algorithm. It was found through the follow‑up data that patients with RA‑HL were at higher risk of readmission compared with that in those with RA‑non‑HL (P<0.05). The CHM treatments included both oral CHM decoction and Chinese patent medicine, including Xinfeng capsule and Huangqin chubi capsule, which may reduce the risk of readmission and improve the recovery of immune‑inflammatory indicators in patients with RA‑HL (P<0.05). Overall, CHM, as a protective factor, is associated with a reduced risk of readmission in RA‑HL.

Introduction

Rheumatoid arthritis (RA) is a systemic autoimmune disease that is characterized by inflammation in the synovial tissues, including joints, cartilage, bone and extra-articular sites (less frequently) (1). RA is the most prevalent form of arthritis, which is associated with high rates of disability, the patients with which are particularly susceptible to numerous comorbidities such as interstitial lung disease and cardiovascular disease (2,3). It has been previously reported that 84.8% patients with RA typically suffer from ≥ one comorbidity (4). Among the comorbidities associated with RA, hyperlipidemia (HL) is one of the most frequently observed. Tthe proportion of RA complicated with hyperlipidemia (RA-HL) can be as high as 41.3% (4). In addition, other previous studies have reported that 53.5% of patients with RA are afflicted with dyslipidemia, which is mainly manifested by elevated triglyceride (TG) levels and decreased high-density lipoprotein cholesterol levels (5,6). Immunomodulation during the active phase of RA promotes the release of inflammatory factors, such as TNF-α, IL-1 and IL-6, from the joint synovium into the systemic blood circulation, thereby increasing the levels of these inflammatory factors in the bloodstream (7). A variety of inflammatory factors have been reported to lead to the abnormal activity and expression of lipoprotein esterase, a key enzyme in the process of lipid metabolism (8,9). This in turn alters the metabolism of nutrients, especially proteins and lipids, in the body, causing abnormalities in blood lipid levels (8,9). Therefore, a feasible method for improving the dyslipidemia of patients whilst alleviating their symptoms remains in demand.

It has been previously reported that Chinese herbal decoctions combined with Chinese herbal medicine (CHM) used in certain hospital preparations can effectively reduce the risk of readmission in patients with RA combined with HL (RA-HL) (10,11). In particular, Xinfeng capsule (XFC; patent no. ZL201310011369.8) is one such Chinese medicine preparation that has been previously developed (12). Our preliminary studies revealed that XFC can regulate immunity, inhibit inflammatory analgesia and improve blood viscosity, thereby improving cell metabolism and promoting joint function recovery to achieve satisfactory clinical results (13-15). Accumulating evidence from earlier clinical studies has also found that XFC is highly effective for the treatment of RA, with little to no toxic or adverse side effects (16,17). Therefore, this suggests that XFC is a clinically viable Chinese medicine for the treatment of RA (18). A previous study demonstrated that XFC can alleviate the clinical symptoms of RA in patients (19). Huangqin chubi capsule (HQC; patent no. ZL20110095718.X) is another characteristic Chinese medicine preparation that was developed in the First Affiliated Hospital, Anhui University of Chinese Medicine (20). Previous studies have revealed that HQC yielded satisfactory results in clinical practice for RA treatment (21,22). HQC can modulate oxidative stress and effectively improve immune inflammation, mainly by inhibiting the secretion of proinflammatory factors, such as IL-1β, whilst promoting the secretion of IL-4(23). In addition, our team previously conducted systematic studies on the fingerprint and pharmacokinetics of XFC and HQC (24-28). Relatively complete chromatographic information was obtained, and the relative peak area ratio of each substance was within a certain range. In terms of the fingerprint, it could not only reflect the type and quantity of chemical components in XFC and HQC, but also describe and evaluate XFC and HQC to control its quality in an all-round way. Therefore, it can be used as one of the quality control methods of XFC and HQC.

CHM has conferred promising clinical outcomes in alleviating the clinical symptoms of RA patients (29). However, there remains to be a lack of sufficient evidence-based data on whether CHM treatment can reduce the risk of readmission and improve endpoint outcomes in patients with RA-HL. Therefore, to further explore the clinical results of patients with RA-HL and a clinical evidence-based strategy for the treatment of patients with RA-HL with CHM, the present study analyzed the risk of readmission in patients with RA-HL. This was performed by extracting the clinical data of patients with RA-HL between 2014 and 2015 from the electronic medical record database of the First affiliated hospital of Anhui University of Chinese Medicine (Hefei, China).

Materials and methods

Patients

Participants in the present study were identified by collecting the data of patients with RA admitted to the Department of Rheumatology and Immunology of the First Affiliated Hospital of the Anhui University of Chinese Medicine from June 2014 to June 2015, who were followed up until the end of 2021. The data of patients consisted of the following information: i) The use of CHM; and ii) disease-associated laboratory indicators [rheumatoid factor (RF), high-density lipoprotein cholesterol (HDL-C), total cholesterol (TC), TG and low-density lipoprotein cholesterol (LDL-C) during admission; inflammatory markers, namely C-reactive protein (CRP), erythrocyte sedimentation rate (ESR), immunoglobulin A (IgA), immunoglobulin G (IgG), immunoglobulin M (IgM) and immune indicators (C3 and C4)].

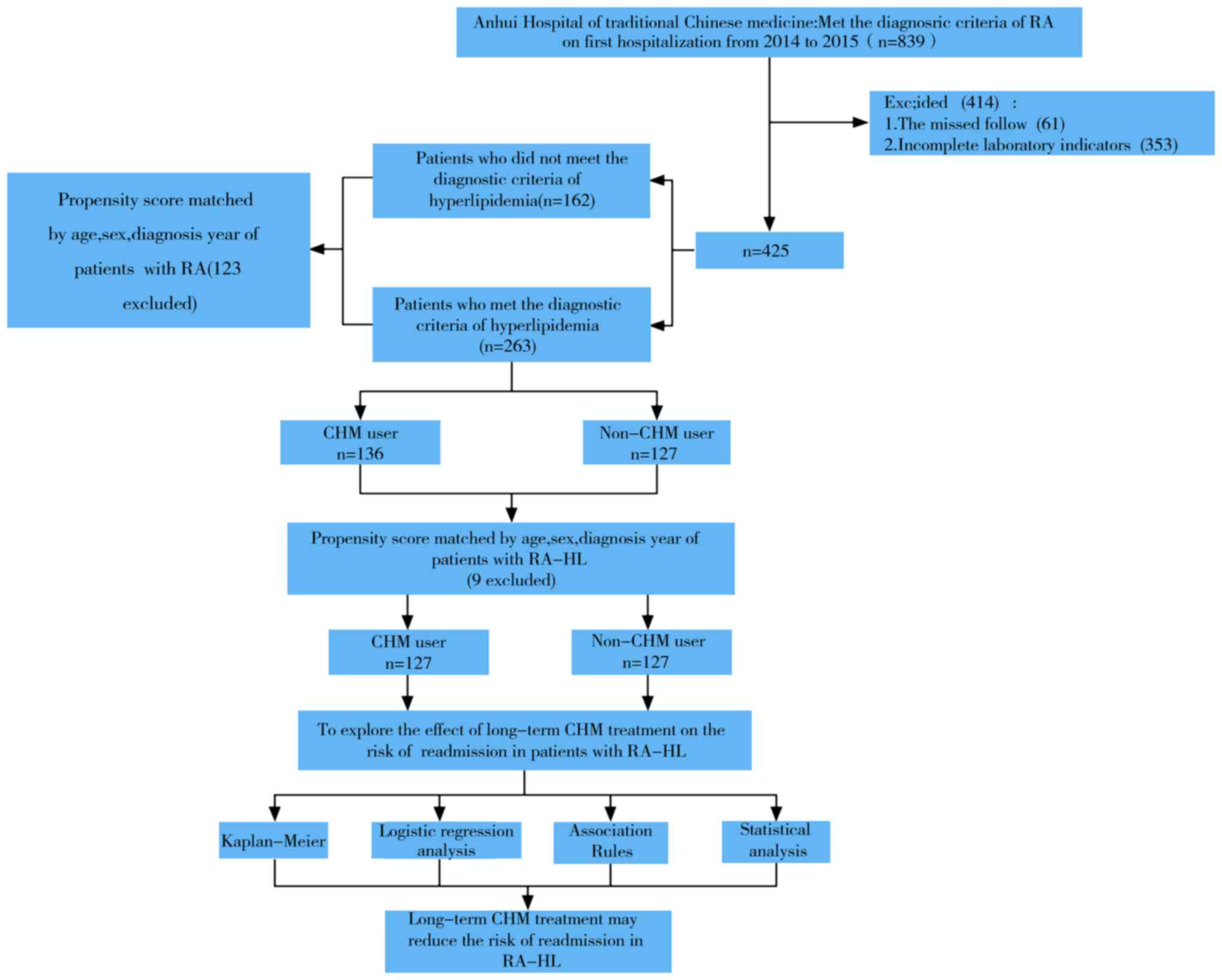
Inclusion and exclusion criteria

Fig. 1 shows the flow chart of patient selection. The inclusion criteria of the patients were as follows: i) Patients diagnosed with RA at first visit (conforming to the RA classification standard of American College of Rheumatology/European League Against Rheumatism in 2010) (30) and combined with dyslipidemia (including serum TC levels ≥5.2 mmol/l; TG levels ≥1.7 mmol/l; LDL-C levels ≥3.4 mmol/l; and HDL-C levels <1.0 mmol/l) (31); ii) patients receiving CHM treatment or routine western medicine treatment in the hospital, with complete case data available.

Figure 1

Flow chart of patient selection from those with RA admitted to the Anhui Hospital of traditional Chinese Medicine between 2014 and 2015. RA, rheumatoid arthritis; CHM, Chinese herbal medicine; HL, hyperlipidemia.

Patients were excluded if they fulfilled the following criteria: ii) Patients lost to follow-up; and ii) patients with incomplete medical records.

Subsequently, the included patients were clarified into the following two cohorts: CHM users and non-CHM (those who never used any CHM after being diagnosed with RA-HL). Variables, including age, sex and diagnosis year of the patients with RA-HL were adjusted by matching one patient treated with CHM to a patient in the non-CHM group with propensity score matching.

The Ethics Committee of the First Affiliated Hospital of Anhui University of Traditional Chinese Medicine approved the present study and exempted patients from providing informed consent (approval no. 2022MCZQ01). A total of 425 patients with RA, including female (n=287) and male (n=138), the mean ± SD age is 60.41±11.52 were included who had a complete dataset of laboratory examination indices.

Study design and terminologies

The present study was a retrospective propensity score-matched cohort design, which investigated the effect of adjuvant CHM on the risk of readmission in patients with RA-HL. The age, sex and diagnosis year between one patient treated with CHM and one who was not treated with CHM were subjected to propensity score matching (PSM) (32) to increase the precision of the present study. PSM was performed using SPSS Statistics (version 23; IBM Corp). Subsequently, differences in sex, age, medication, combined diseases and the risk of readmission between the two groups were observed.

According to whether the patients received CHM treatment in this hospital, patients were allocated into either the CHM or non-CHM (referring to the patients who only underwent conventional western medicine treatment) groups. For the treatment of patients in the non-CHM group, patients in the CHM group were additionally subjected to CHM treatment, including oral CHM decoction combined with Chinese patented medicine (XFC and HQC). The oral CHM decoction mainly included the following five categories: Baihu-Guizhi decoction (33), Shuanghe decoction (34), Duhuo Jisheng decoction (35), Yiyiren decoction (36) and modified Simiao powder (37). In addition, patients in the two groups were further grouped in accordance with the time of CHM exposure as follows: i) Non-CHM, referring to 0-4 weeks of CHM treatment; ii) low exposure, referring to 4-12 weeks of CHM treatment; iii) moderate exposure, referring to 12-48 weeks of CHM treatment; and iv) high exposure, referring to ≥48 weeks of CHM treatment (38).

The endpoint index used for the present study is referring to the main evaluation index during the clinical trials (39). Clinically, the risk of possible adverse reactions is a concern for the majority of patients who were administered with the same western medicine for long periods of time due to the lack of clinical guidance. Based on the comprehensive analysis of the previous follow-up, the following four endpoint events with the highest incidence were identified: Readmission for RA is active; extra-joint lesions; surgical treatment; and all-cause mortality (40). In particular, readmission was found to be the endpoint event with the highest incidence and was of particular concern (40). Therefore, this event was utilized as an endpoint indicator to evaluate the prognosis of RA in the present study.

Methods. Telephone follow-up

Telephone follow-up is a simple and effective health service model used to facilitate the compliance of patients with drug treatment and to understand the circumstances regarding the prognosis of patients (41).

The present study was conducted by researchers (XL, FFW, QH and YYF), where the main follow-up information included the following: i) Basic information, namely sex, age and course of disease; ii) the occurrence of RA-associated comorbidities, including HL, interstitial lung disease, rheumatic heart disease, atrophic gastritis and Sjogren's syndrome; iii) endpoint events, including readmission for aggravation, extra-joint lesions, surgical treatment and all-cause mortality; and iv) the use of drugs, including the type, dosage and treatment period of CHM, Chinese patent medicine and western medicine.

Kaplan-Meier (KM) curve

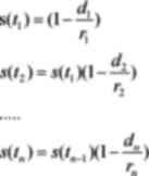
It is of importance to focus on both the occurrence of readmission in patients and the time required for readmission in patients to occur. Therefore, the present study used KM curve to analyze the occurrence of readmission in CHM and non-CHM groups, RA-HL and RA-non-HL groups of patients. The product-limit method is also called the KM method, with the curve of which named the KM curve. It is commonly conducted using the log-rank test, where there is typically a statistically significant difference when P<0.05 is found (42). The formula is as follows:

Where, for the specified time point, tn, S represents the proportion of no readmissions, d represents the number of event outcomes at this time point and r represents the number of remaining follow-up cases before this time point. Through the KM estimation method, the probability of readmission can be obtained at the corresponding time point on the survival curve.

Logistics regression

In logistics regression analysis, a logistic regression model was developed with sex, age, duration, use of Chinese medicine, inflammatory indices (ESR and high-sensitivity CRP) and immune indices (IgA, IgG, IgM, C3, C4 and RF) as independent variables (x) and readmission as the dependent variable (y) (43). The formula is as follows:

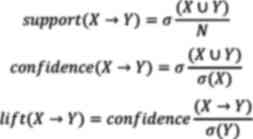
Association rules. The Chinese medicine prescribed for each of the individual patients were named 1, whereas those who did not receive Chinese medicine were named 0. Additionally, any improvement in the laboratory indices was also assigned 1, otherwise 0. Subsequently, the ‘Apriori’ module (44) in the software SPSS Clementine v. 11.1 (IBM Corp.) (45) was utilized to determine the association between CHM treatment and the laboratory indicators, with a minimum support rate of 25%, a confidence level of 60% and a lift of >1, before visualizing the association results. ‘Apriori’ was used to identify associations among each of the items. Individual drugs and indices were used as variables. The formula used is as follows (46):

Where X→Y is an association rule, X represents the set of herb items and Y represent the set of laboratory indices, N is the sum of itemset, σ(X) is the frequency of itemset X, X ∪ Y is the union of itemsets X and Y, σ(X ∪Y) is the frequency with which itemsets X and Y appear together, support (X→Y) is the frequency with which X and Y appear together and confidence (X→Y) is the probability that itemset Y appears in the presence of X. Lift is the ratio of the probability that itemset Y appears in the presence of itemset X to the frequency of itemset Y. Support and confidence are often used to eliminate meaningless combinations. Lift indicates the validity of the association rules.

χ2 test

The χ2 test was used to assess the difference between groups in terms of sex, comorbidity, medicine treatment duration and recurrent exacerbation. Specifically, the larger the χ2 test value, the greater the degree of deviation between the two. If the two values are completely equal, the χ2 test value would then be 0, indicating that the theoretical value is completely consistent. The formula is as follows (47):

Statistical analysis

All data were analyzed with SPSS v.21.0 (IBM Corp.). Count data were presented as numbers or percentages. Two independent samples t-test was used to analyze differences in age and course of disease, where the data are presented as the mean ± standard deviation. Differences between each group were compared using the χ2 test. In addition, Wilcoxon signed-rank test was used to analyze the laboratory indicators before and after treatment of patients, which were presented as the median (interquartile range). P<0.05 was considered to indicate a statistically significant difference.

Results

Demographic characteristics of patients with RA

Fig. 1 exhibits the process of patient selection (the data of the proportions are not shown). Specifically, there were original 839 with patients RA, of whom 425 (50.66%) had complete data on their laboratory indicators. Among these RA patients, 263 patients (31.70%) fulfilled the diagnostic criteria of HL, of whom ~16.21% (n=136) received CHM treatment and 15.13% (n=127) were not treated with CHM. The nine cases in the CHM user group were excluded due to age and sex mismatch after propensity score matching analysis. Finally, 127 patients were assigned into the CHM group whereas 127 patients were assigned into the non-CHM group after propensity score matching analysis.

According to Table I, differences were observed in sex between the RA-HL and RA-non-HL groups (P<0.05). However, there were no significant differences in age, sex, drug treatment or course of disease between the RA-HL and RA-non-HL groups after propensity score matching (Table I).

Table I

Characteristics of patients with RA-HL and RA-non-HL matched by propensity scores.

Table I

Characteristics of patients with RA-HL and RA-non-HL matched by propensity scores.

A, Unmatched
ParameterTotal (n=425)RA-HL (n=263)RA-non-HL (n=162) P-valuea
Age, years60.41±11.5260.36±11.6960.43±11.540.517
Sex, N (%)   0.015
     Female287189 (71.86)98 (60.49) 
     Male13874 (28.14)64 (39.51) 
Course of disease, months5.86±1.345.81±1.985.91±1.650.476
CHM, N (%)341192 (73.00)149 (91.97)<0.001
NSAIDs, N (%)402250 (95.06)152 (93.82)0.586
GCs, N (%)413256 (97.33)157 (96.91)0.797
DMARDs, N (%)398248 (94.29)150 (92.59)0.484
B, Matched
ParameterTotal (n=302)RA-HL (n=151)RA-non-HL (n=151) P-valuea
Age, years60.43±11.5360.45±11.5960.41±11.510.532
Sex, N (%)   0.934
     Female17385 (56.29)88 (58.27) 
     Male12964 (42.38)65 (43.05) 
Course of disease, months5.75±1.485.73±1.455.76±1.530.571
CHM, N (%)225113 (74.83)112 (74.17)0.895
NSAIDs, N (%)292147 (97.35)145 (96.02)0.520
GCs, N (%)296150 (99.34)146 (96.69)0.099
DMARDs, N (%)290144 (95.36)146 (96.69)0.556

[i] aTwo independent samples t-test was used to analyze the differences in age and course of disease, where the data are presented through as the mean ± standard deviation. Associations between the various parameters and the RA-HL status were assessed using the χ2 test. RA, rheumatoid arthritis; CHM, Chinese herbal medicine; NSAIDs, non-steroidal anti-inflammatory drugs; HL, hyperlipidemia; DMARDs, Disease-modifying anti-rheumatic drugs; GCs, glucocorticoids.

Results in Table II suggested that the percentage of female patients (50.48%) was higher compared with that of male patients (25.00%) in the CHM group (P<0.05). Additionally, the percentage of patients with RA combined with interstitial lung disease (35.29%), rheumatic heart disease (40.00%), atrophic gastritis (37.50%) or Sjogren's syndrome (41.66%) were lower in the CHM group compared with that in the non-CHM group (P<0.01). In addition, the number of patients who were treated with both Chinese patent medicine (84.25%) and external drugs (70.59%) was higher in the CHM group compared with that in the non-CHM group (29.41%) (Table II). This shows that patients in CHM user group tended to adopt the combination of oral CHM and external plaster. However, no significant differences could be found between the CHM group and the non-CHM group in terms of age and course of disease.

Table II

Demographic characteristics of patients in the CHM and non-CHM groups matched by propensity scoring.

Table II

Demographic characteristics of patients in the CHM and non-CHM groups matched by propensity scoring.

ParameterTotal (n=254)CHM (n=127)Non-CHM (n=127) P-valuea
Age, years60.35±11.6960.39±11.7760.33±11.620.487
Sex, N (%)    
     Female206104 (50.48)102 (49.51)0.043
     Male4812 (25.00)25 (75.00) 
Course of disease, months5.77±1.535.80±1.495.76±1.560.537
Comorbidity, N (%)5421 (40.74)33 (59.26)<0.01
     Interstitial lung disease165 (35.29)11 (64.71) 
     Rheumatic heart disease218 (40.00)13 (60.00) 
     Atrophic gastritis83 (37.50)5 (62.50) 
     Sjogren's syndrome125 (41.66)7 (58.33) 
     Chinese Patent Medicine, N (%)162107 (84.25)37 (29.13)<0.01
     Xinfeng Capsule1189721 
     Wuwei Wentong capsule66624 
     HuangQin Capsule1038914 
External medication, N (%)3424 (70.59)10 (29.41)0.317
     Hibiscus ointment2317 (73.91)6 (26.08) 
     Xiaoyu Jiegu powder66(100)0 (0) 
     Wuwei gujuba poison powder51 (20.00)4 (80.00) 
Western medicine, N (%)17862 (34.83)126 (65.17)0.142
     Methylprednisolone14936 (24.16)113 (75.83) 
     Leflunomide12124 (19.83)97 (80.17) 
     Lornoxicam10622 (20.75)84 (79.25) 

[i] CHM, Chinese herbal medicine;

[ii] aTwo independent samples t-test was used to analyze the differences in age and course of disease, where the data are presented through as the mean ± standard deviation. χ2 test was used to test the difference between CHM group and Non-CHM group in terms of sex, comorbidity and medicine use.

Influencing factors for the readmission of patients with RA-HL

As shown in Fig. 2, the proportion of patients with recurrent exacerbation was lower in the CHM group (38.58%) compared with that in the non-CHM group (55.91%), and the longer the use of CHM, the lower the proportion of readmission. In addition, results of the χ2 test for readmission demonstrated that the proportion of aggravation was higher in the RA-HL group (60.22%) compared with that in the RA-non-HL group (37.01%; P<0.05; Table III) and lower in the CHM group (38.58%) compared with that in the non-CHM group (55.91%; P<0.01; Table IV). These findings suggested that HL is a risk factor, but traditional Chinese medicine is a preventive factor against readmission in patients with RA. However, the differences of readmission were not significant in CHM and non-CHM groups and RA-HL and RA-non-HL groups of patients according to the KM curves (Figs. 3 and 4).

Figure 2

Readmission among patients with rheumatoid arthritis and hyperlipidemia in the CHM and non-CHM groups. The y-axis label represents the number of cases. In the x-axis, Non: 0-4 weeks of CHM treatment; Low: 4-12 weeks of CHM treatment; Medium: 12-48 weeks of CHM treatment; High: ≥48 weeks of CHM treatment. CHM, Chinese herbal medicine.

Figure 3

KM curve of readmission among patients in the RA-HL and non-RA-HL groups. RA, rheumatoid arthritis; CHM, Chinese herbal medicine; HL, hyperlipidemia; KM, Kaplan-Meier.

Figure 4

KM curve of readmission in among patients the CHM and non-CHM groups. CHM, Chinese herbal medicine; KM, Kaplan-Meier.

Table III

Results of the χ2 test of readmission among patients in the RA-HL and RA-non-HL groups.

Table III

Results of the χ2 test of readmission among patients in the RA-HL and RA-non-HL groups.

GroupNRecurrent exacerbationNon-Recurrent exacerbationRecurrent exacerbatio n (%)χ2 valueP-value
RA-HL1811097260.225.3850.020
RA-non-HL181879437.01  
Total36217618648.62  

[i] RA, rheumatoid arthritis; HL, hyperlipidemia.

Table IV

Results of the χ2 test of readmission among patients in the CHM and non-CHM groups.

Table IV

Results of the χ2 test of readmission among patients in the CHM and non-CHM groups.

GroupNRecurrent exacerbationNon-Recurrent exacerbationRecurrent exacerbatio n (%)χ2 valueP-value
CHM127497838.587.6450.006
Non-CHM127715655.91  
Total25412013447.24  

[i] CHM, Chinese herbal medicine.

The results of the logistic regression analysis (Fig. 5) revealed that ESR was a risk factor [OR (95% CI)=1.544 (1.284-2.198)] whereas CHM was a protective factor [OR (95% CI)=0.619 (0.302-0.931)] against readmission for patients with RA-HL.

Figure 5

Results of the logistic regression analysis. The vertical dotted line indicates the boundary, the left side is the protective factor against readmission, and the right side is the risk factors for readmission. CHM, Chinese herbal medicine; RF, rheumatoid factor; ESR, erythrocyte sedimentation rate.

Effects of TCM on the immune inflammatory and lipid metabolism indices in patients with RA-HL

Subsequently, the laboratory indicators of the patients with RA-HL were compared to further ascertain how CHM affected the pathophysiology of RA-HL (Table V). Compared with those before treatment, the levels of TC, TG, HDL-C, ESR, CRP, IgA, IgG, C3, C4 and RF were all significantly decreased in patients with RA-HL after two weeks of treatment (P<0.01).

Table V

Differences in laboratory indicators before and after treatment of patients with RA-HL in the CHM group.

Table V

Differences in laboratory indicators before and after treatment of patients with RA-HL in the CHM group.

IndicesPre-treatment (n=127)Post-treatment (n=127)P-values
Total cholesterol, mmol/l4.92 (4.04, 5.69)4.39 (3.77, 5.09)<0.001
Triglyceride, mmol/l1.46 (1.03, 2.11)1.10 (0.78, 1.60)<0.001
High-density lipoprotein-Cholesterol, mmol/l1.27 (1.03, 1.65)1.34 (1.05, 1.72)<0.001
Low-density lipoprotein-Cholesterol, mmol/l2.85 (2.27, 3.46)2.75 (2.19, 3.38)0.006
Rheumatoid factor, U/ml97.60 (19.8, 245.80)92.50 (20.00, 197.40)0.001
C-reactive protein, mg/l17.05 (3.54, 40.14)1.65 (0.42, 5.69)<0.001
Erythrocyte sedimentation rate, mm/h34.00 (19.00, 58.00)22.00 (13.00, 40.00)<0.001
IgG, g/l12.28 (9.53, 16.04)12.03 (9.5, 15.60)0.009
IgM, g/l1.07 (0.80, 1.55)1.13 (0.80, 1.58)0.237
IgA, g/l2.60 (1.83, 3.25)2.43 (1.82, 3.20)<0.001
C3, g/l113 (98.4, 135.2)110.4 (98.2, 123.1)<0.001
C4, g/l26.5 (21.7, 31.8)23.9 (19.7, 29.7)<0.001

[i] Wilcoxon signed-rank test was used to analyze the data, which are presented as the median (interquartile range).

Association rules analysis of the association between TCM treatment and laboratory indicators in patients with RA-HL

Association rules were utilized to analyze the association of CHM and Chinese patent medicines used to treat patients with RA-HL, with laboratory indicators, using the support threshold of >20%, the confidence threshold of CHM for the improvement of laboratory indicators of >80% and the lift threshold of >1. The results of the association rules were then visualized. In the complex network diagram, each node represents the drugs and laboratory indicators used. The drugs appearing in the same prescription and the related drugs and indicators are connected by lines. The stronger the association, the darker the lines are. The results (Table VI and Fig. 6) demonstrated that XFC, HQC, Plantaginis Herba, Sinomenii Caulis, Alismatis Rhizoma, Hedyotis diffusa Clematidis Radix et Rhizoma and other drugs were strongly correlated with the improvement of ESR, RF, CRP, C3, TC and TG.

Figure 6

Complex network map of the association between Chinese herbal medicine and laboratory indicators in patients with rheumatoid arthritis and hyperlipidemia. ESR, erythrocyte sedimentation rate; CRP, C-reactive protein; HQC, Huangqin chubi capsule; LDL-C, low-density lipoprotein cholesterol; XFC, Xinfeng capsule; RF, rheumatoid factor; TC, total cholesterol; TG, triglyceride.

Table VI

Association rules for the association assessment between Chinese herbal medicine and laboratory indicators in patients with rheumatoid arthritis and hyperlipidemia.

Table VI

Association rules for the association assessment between Chinese herbal medicine and laboratory indicators in patients with rheumatoid arthritis and hyperlipidemia.

Items (left hand side ⇒ right hand side)Support (%)Confidence (%)Lift
{HQC & XFC & ALISMATIS RHIZOMA} ⇒ {rheumatoid factor↓}47.2997.751.22
{XFC & ALISMATIS RHIZOMA} ⇒ {Erythrocyte sedimentation rate↓}44.4093.891.11
{HQC & Hedyotis diffusa} ⇒ {C-reactive protein↓}42.5991.471.13
{HQC & CLEMATIDIS RADIX ET RHIZOMA} ⇒ {C3↓}53.0689.091.11
{XFC & PLANTAGINIS HERBA} ⇒ {total cholesterol↓}20.5887.691.02
{XFC & SINOMENII CAULIS} ⇒ {triglyceride↓}24.1886.561.05

[i] XFC, Xinfeng Capsule; HQC, HuangQin Capsule.

Discussion

RA is a chronic and systemic autoimmune disease with symmetrical and erosive polyarthritis as one of the principal clinical manifestations (48). The main pathological changes associated with RA include synovitis, vasculitis and the gradual destruction of articular cartilage and bones (49). In addition to arthropathy, patients with RA also frequently suffer from cardiovascular lesions and lipid metabolism disorders long before RA is diagnosed (50-52). In particular, results from a previous large cohort study involving 400 confirmed patients with RA found that 51% patients with RA also suffered from blood lipid disorders, which was higher compared with that in the non-RA population (53). Furthermore, it has been reported that lipid metabolism disorders are associated with the disease activity of RA (54). Specifically, the development of lipid metabolism disorders can be facilitated by the release of inflammatory factors, which can in turn result in the aberrant expression of lipoprotein esterase, a key enzyme in the process of lipid metabolism (55). In addition, previous studies (56) have shown that patients with RA have lipoprotein metabolism disorder, and that HDL-C, Apolipoprotein (APO)-A1 is decreased, while LDL-C and APO-B is increased.

Previously, through retrospective data mining research, CHM has been found to improve immune (C3, C4, IGA and IGG) and inflammatory indicators (ESR and CRP) in patients with RA (57), where the efficacy of CHM combined with prescription drugs such as Tripterygium wilfordii polyglycosides tablets, Furong ointment and XFC, and HQC is superior compared with that mediated by CHM alone (58-60). Another previous retrospective cohort study in Taiwan found that compared with that in the non-TCM group, the prognosis of the circulatory system of inpatients was more favorable in the auxiliary TCM group, which was accompanied by a ~66% reduction in the readmission rate due to events in the circulatory system (61). Our previous studies demonstrated that intervention with traditional Chinese medicine has been associated with the occurrence of endpoint events (including re-admission, extra-articular lesions, surgery and all-cause death) in patients with RA, such that the longer the patient takes CHM, the lower the incidence of endpoint events (62).

In previous RA cohort follow-up studies, the types of comorbidities that can affect RA activity was focused upon (63,64). Although they have investigated the influence of circulatory system diseases and lipoprotein metabolic disorder on RA activity (65), none have explored the influence of TCM on the readmission of patients with RA-HL. Therefore, the present cohort study was performed to clarify the impact of dyslipidemia on the readmission of patients and the relationship between TCM treatment and readmission of patients with RA-HL.

In the present study, the collected information of patients was subjected to propensity score matching. The results demonstrated that differences in sex existed between the RA-HL and RA-non-HL groups. Following propensity score matching, no notable differences could be found between the RA-HL group and the RA-non-HL group in terms of age, sex, used drugs, course of disease or readmission. It was then observed that the proportion females as higher compared with males in the CHM group after propensity score matching. The proportion of patients with RL also suffering from interstitial lung disease, rheumatic heart disease, atrophic gastritis and Sjogren's syndrome was lower in the CHM group compared with that in the non-CHM group. In addition, there was a lower proportion of patients treated with NSAIDs in the CHM group compared with that in the non-CHM group. By contrast, there was a higher proportion of patients administered with both Chinese patent medicine and external drugs in the CHM group compared with that in the non-CHM group. Age, sex and course of disease did not differ between the CHM group and the non-CHM group.

In the present study, the results of the χ2 test and logistic regression analysis suggest that HL was a risk factor whereas CHM is a protective factor against readmission in patients with RA-HL. The laboratory indicators of patients with RA-HL were compared to assess the mechanism of action of CHM. The levels of TC, TG, HDL-C, ESR, CRP, IgA, IgG, C3, C4 and RF were all significantly lower in patients with RA-HL after treatment compared with those prior to treatment. Afterwards, association rule analysis was conducted to determine the association of CHM and Chinese patent medicines utilized for patients with RA-HL, with laboratory indicators, with the support degree set at >20%, the confidence degree of CHM for the improvement of laboratory indicators set at >80% and the lift degree set at >1. The results showed that the combination of CHM and hospital preparations (XFC and HQC) in this hospital effectively ameliorated the serum TC and TG levels and immune-inflammation indicators C3, ESR and CRP.

The combined use of CHM is a common method of treating diseases in China (66), which is associated with increased efficiency (67). Multiple components and multiple targets appear to form the treatment characteristics of CHM for the treatment of RA-HL (68,69). A previous study assessed the potential effects of CHM on RA treatment based on the association rule and a random walking-based model (70), which demonstrated that the CHM constituents likely exert synergistic effects, such that various combinations of a particular CHM can produce different therapeutic effects on RA treatment (70). Wang et al (71) explored the characteristics of compound prescription of TCM acting through ‘multi-component-multi-target-multi-pathway’ through establish a network pharmacology-based model.

The association rules analysis in the present study found that Alismatis Rhizoma, Hedyotis diffusa, Angelicae Sinensis, clematidis radix et rhizoma and the Chinese patent medicine HQC were tightly associated with the improvement of the immune inflammatory indicators. In addition, Alismatis Rhizoma, Plantaginis Herba, Sinomenii Caulis and XFC were associated with improvements in the lipid metabolism indices. TCM believes that these herbs have significant effects on relieving the clinical symptoms of RA (72-75), especially Alisma orientalis. In addition, a previous study found that Alisma orientalis extract can reduce blood lipid level (TC, TG and LDL-C) in hyperlipidemia model rats (76).

XFC is a hospital preparation of the First Affiliated Hospital of Anhui University of Traditional Chinese Medicine and also the most frequently used Chinese patent medicine in the present study. The preparation consists of four traditional Chinese medicines, namely Astragali Radix, Coicis Semen, Tripterygium wilfordii and Scolopendea. Among them, Astragalus polysaccharide, the main active ingredient of Astragali Radix, has been reported to exhibit favorable anti-inflammatory effects (77). By contrast, Coix oil, the main active ingredient of Coicis Semen, has been previously observed to exert an anti-inflammatory and analgesic role, by diminishing capillary permeability (78). Thunder male vine and centipede are effective in promoting blood circulation and relieving pain (79,80). In addition, triptolide, the main active ingredient of Tripterygium wilfordii, has been found to suppress inflammation by decreasing IL-1 and TNF levels in the peripheral blood of rats with AA (81). A previous study (19) demonstrated that XFC could improve disease activity score (DAS28) and iron reserve in patients with RA during the active period.

HQC is mainly comprised of five Chinese medicines, including Scutellariae radix, Coicis Semes, Persicae Semen, Gardeniae Fructus and Clematidis Radix ET Rhizoma. A previous study revealed that HQC inhibited secondary joint inflammation in AA rats as a result of lowering the serum levels of inflammatory cytokines (IL-1β and IL-6) (82). Another study previously reported that HQC markedly attenuated the clinical symptoms and inflammation of patients with RA, with superior efficacy compared with leflunomide (83). Data mining results revealed that XFC combined with HQC may be effective in ameliorating aberrant immune inflammation in patients with RA (84). In addition, a previous multi-center, parallel-group, double-blind and randomized controlled trial reported that the most common adverse reactions caused by XFC and HQC were hepatic impairment, anemia, leukocytopenia, epigastric discomfort and phalacrosis. However, no severe adverse reactions occurred and no subjects withdrew due to adverse reactions (85,86). It should be emphasized here that only two Chinese medicine preparations were investigated in the present study, meaning that the results obtained in the present study may not be fully representative of all CHM.

In terms of methods and study design, propensity score matching was utilized in the present study to increase the comparability of patients in the CHM and non-CHM groups, which reduced the analysis of confounding factors, such as age, sex and disease course of the patients in the CHM and non-CHM groups. However, the number of limitations remain. The present study remains to be only a single-center clinical study and cannot be applied to fully reflect the effect of CHM treatment on the risk of readmission in patients with RA-HL in the ‘real world’. In addition, only the time of treatment with prescribed CHM were collected as treatment period of CHM. Therefore, it was difficult to exclude patients with unknown, potentially combined medication, such as those receiving CHM treatment in other hospitals.

In conclusion, the results of the present cohort study generated a conclusion that the risk of readmission was increased in patients with RA-HL compared with that in patients with RA-non-HL. However, CHM treatment may decrease this risk in patients with RA-HL. This conclusion indicates that CHM is a protective factor against readmission in patients with RA-HL long-term.

Acknowledgements

Not applicable.

Funding

Funding: The present study was funded by The 12th batch of ‘115’ Innovation team of Anhui Province [Anhui Talent Office (2019) No. 1], Anhui Famous Traditional Chinese Medicine Liu Jian Studio Construction Project [Traditional Chinese Medicine Development Secret (2018) No. 11], University Collaborative Innovation Project of Anhui Province (grant no. GXXT-2020-025), and Anhui Province Major and difficult Diseases [Traditional Chinese Medicine Development Secret (2021) No.70].

Availability of data and materials

The datasets used and/or analyzed during the current study are available from the corresponding author on reasonable request.

Authors' contributions

MH and JL contributed to the conception and design of this study. MH, YF, XL, QH and FW were responsible for the data collection and analysis. All authors read and approved the final manuscript. MH, YF and JL confirm the authenticity of all the raw data.

Ethics approval and consent to participate

The Ethics Committee of the First Affiliated Hospital of Anhui University of Traditional Chinese Medicine approved this study and exempted patients from the right of informed consent (approval no. 2022MCZQ01).

Patient consent for publication

Not applicable.

Competing interests

The authors declare that they have no competing interests.

References

1 

Scherer HU, Häupl T and Burmester GR: The etiology of rheumatoid arthritis. J Autoimmun. 110(102400)2020.PubMed/NCBI View Article : Google Scholar

2 

Yang X, Bao L, Tang H, Ling L, Meng F, Yin J, Zhang H and Pengjiang C: Clinical Study on 4238 Cases of Rheumatoid Arthritis Comorbidities. Rheumatology and Arthritis. 11:18–23. 2022.(In Chinese).

3 

Avina-Zubieta JA, Thomas J, Sadatsafavi M, Lehman AJ and Lacaille D: Risk of incident cardiovascular events in patients with rheumatoid arthritis: A meta-analysis of observational studies. Ann Rheum Dis. 71:1524–1529. 2012.PubMed/NCBI View Article : Google Scholar

4 

Chen JL, Jin YB, Wang YF, Zhang XY, Li J, Yao HH, He J and Li C: Clinical characteristics and risk factors of cardiovascular disease in patients with elderly-onset rheumatoid arthritis: A large cross-sectional clinical study. Beijing Da Xue Xue Bao Yi Xue Ban. 52:1040–1047. 2020.PubMed/NCBI View Article : Google Scholar : (In Chinese).

5 

Erum U, Ahsan T and Khowaja D: Lipid abnormalities in patients with rheumatoid arthritis. Pak J Med Sci. 33:227–230. 2017.PubMed/NCBI View Article : Google Scholar

6 

He M, Liu J, Xin L, Han X, Sun Y and Zhang Y: Changes and correlation analysis of lipoprotein metabolism in patients with active rheumatoid arthritis. Rheumatism and Arthritis. 9:7–11. 2020.(In Chinese).

7 

Liu L, Yu XF and Zong RK: Change in Apolipoprotein of Patients with Rheumatoid Arthritis in Active Phase and Correlation Analysis. Chin J Rehabilitation. 24:95–97. 2009.(In Chinese).

8 

Atzeni F, Turiel M, Caporali R, Cavagna L, Tomasoni L, Sitia S and Sarzi-Puttini P: The effect of pharmacological therapy on the cardiovascular system of patients with systemic rheumatic diseases. Autoimmun Rev. 9:835–839. 2010.PubMed/NCBI View Article : Google Scholar

9 

Navarro-Millán I, Charles-Schoeman C, Yang S, Bathon JM, Bridges SL Jr, Chen L, Cofield SS, Dell'Italia LJ, Moreland LW, O'Dell JR, et al: Changes in lipoproteins associated with methotrexate or combination therapy in early rheumatoid arthritis: Results from the treatment of early rheumatoid arthritis trial. Arthritis Rheum. 65:1430–1438. 2013.PubMed/NCBI View Article : Google Scholar

10 

Liu J, Wan L, Huang CB, Wang Y, Pan YZ and Xie XL: Effect of Xinfeng capsule on lipoprotein metabolism of rheumatoid arthritis patients. Zhongguo Zhong Xi Yi Jie He Za Zhi. 35:1060–1064. 2015.PubMed/NCBI

11 

Guo J, Liu J, He L, Ling X, Zhou Q, Huang D and Song Q: Clinical data and association rules of the combination of the external application of furong ointment and the oral administration of herbal medicines for active rheumatoid arthritis. World Journal of Integrated Medicine. 13:608–612. 2018.(In Chinese).

12 

Liu J, Han M, Fang Z and Cui Y: Clinical study on the treatment of rheumatoid arthritis with Xinfeng capsule. Chin J Integrated Traditional and Western Med. 202–205. 2001.(In Chinese).

13 

Tan B, Liu J and Zhang P: XingFeng capsule alleviates hypercoagulable state in knee osteoarthritis patients by inhibiting NF-κB signaling pathway. Immunol J. 32:781–803. 2016.(In Chinese).

14 

Tan B, Liu J, Zhang PH, Fang L and Zhu FB: Effect of Xinfeng capsule in improving blood stasis state of OA patients. Zhongguo Zhong Xi Yi Jie He Za Zhi. 36:1449–1455. 2016.PubMed/NCBI(In Chinese).

15 

Bao B, Liu J, Wan L, Zhang Y, Long Y and Sun G: Xinfeng capsule inhibits immune inflammation in osteoarthritis by inhibiting the miR23a-3p/PETN/PI3K/AKT/mTOR pathway. Nan Fang Yi Ke Da Xue Xue Bao. 41:483–494. 2021.PubMed/NCBI View Article : Google Scholar : (In Chinese).

16 

Lin Z, Wang Y, Huang C, Zhang W, Wang G, Chen R, Sun Y and Gong X: Clinical Effect of Xinfeng Capsule on Patients with Rheumatoid Arthritis and Vascular Endothelial Growth Factor and Tumor Necrosis Factor-α. Clin Res Traditional Chin Med. 13:91–94. 2021.(In Chinese).

17 

Liu J, Liu X and Han M: Xinfeng Capsule in the treatment of 20 cases of active rheumatoid arthritis. J Anhui College of Traditional Chin Med. 3:12–16. 2003.(In Chinese).

18 

Jiang H, Liu J, Meng M, Dai M and Dong L: The toxicity of continuous perfusion of Xinfeng capsule in rats. Chin J Clin Health Care. 19:72–78. 2016.(In Chinese).

19 

Huang C, Liu J, Chen X, Wang Y, Zhang W, Chen R, Wang G and Fan H: Observation on the curative effect of Xinfeng capsule in treating rheumatoid arthritis. Chin J Integrated Traditional Chin Western Med. 33:1599–1602. 2013.(In Chinese).

20 

Hou A, Liu J, Guo J and Ling X: Clinical study of Huangqin Qingre Chubi Capsule on improving SOD and immune inflammatory blood indicators in RA patients. J Jinzhou Med Univ. 40:12–16+117. 2019.(In Chinese).

21 

Xu C, Cao Y and Huang C: A parallel comparative study of Huangqin Qingre Chubi capsule combined with methotrexate in the treatment of active rheumatoid arthritis. Guangming Traditional Chin Med. 37:3569–3572. 2022.(In Chinese).

22 

Ding B, Huang C, Fu P and Chen L: Clinical Observation on the Treatment of 30 Cases of Rheumatoid Arthritis with Damp heat Obstruction Syndrome with Huangqin Qingre Chubi Capsule and Damp heat Obstruction Waixi Formula. J Gansu Univ Traditional Chin Med. 39:53–57. 2022.(In Chinese).

23 

Guo J, Liu J, Zhang X, Zhou Q and Huang D: Huangqin Qingre Chubi Capsule regulates PPAR-γ/Effect of CD36/MnSOD axis on oxidative stress in patients with rheumatoid arthritis. J Beijing Univ Traditional Chin Med. 45:201–207. 2022.(In Chinese).

24 

Meng M, Duan FE, Wang XY, Chen L, Wei L and Wuxi L: A preliminary study on the fingerprint of Xinfeng capsule with Astragalus as a reference. Clin J Tradit Chin Med. 23:545–547+565. 2011.(In Chinese).

25 

Wu M, Duan F, Fenge D and Wang X: Preliminary study on reference fingerprint of Xinfeng capsule. CJTCM. 23:545–547. 2011.(In Chinese).

26 

Hu Shun Li: Classified and Integrated Pharmacokinetic Study of Multipe Effective Components Contained in XinfengCapsule. Anhui Univ Chin Med, 2015 (In Chinese).

27 

Liu C, Liu X, Liu J, Zhang Y, Wang U and Zhou A: Preliminary study on HPLC fingerprint of Huangqin Qingre Chubi Capsule and determination of three components. China Med Biotechnol. 17:56–58. 2022.(In Chinese).

28 

Dong X, Gan P, Ke J, Chen F, Wu H, Chen J and Liu J: Simultaneous determination of six active components in Huangqin Qingre Chubi Capsule by UHPLC-MS/MS. Anhui Univ Traditional Chin Med News. 40:97–102. 2021.(In Chinese).

29 

Chang C, Zhang R, Shi Y and Ho TL: Research progress in the treatment of rheumatoid arthritis with traditional Chinese medicine [J/OL]. Chin J Traditional Chin Med. 10:1–8. 2022.(In Chinese).

30 

Aletaha D, Neogi T, Silman AJ, Funovits J, Felson DT, Bingham CO III, Birnbaum NS, Burmester GR, Bykerk VP, Cohen MD, et al: 2010 Rheumatoid arthritis classification criteria: An American College of Rheumatology/European league Against Rheumatism collaborative initiative. Ann Rheum Dis. 69:1580–1588. 2010.PubMed/NCBI View Article : Google Scholar

31 

Zhu J, Gao R, Zhao P, Lu G, Zhao D and Li J: Guidelines for the prevention and treatment of dyslipidemia in Chinese adults(2016)Revised edition. Chin J Circulation. 31:937–950. 2016.(In Chinese).

32 

Lai KW, Zhang L, Chen Y, Chen Y, Wang X and Wu D: The application of propensity scoring method in observational research. Chin J Evidence Based Med. 21:469–474. 2021.(In Chinese).

33 

Wang J: Analysis of clinical efficacy and feasibility of Baihu-Guizhi Decoction in the treatment of rheumatoid arthritis with moist heat arthralgia spasm syndrome. China Modern Medicine Application. 16:204–206. 2022.(In Chinese).

34 

Zhang C, Yin X, Mei Y and Deng A: Efficacy of Shuanghe Decoction in Treating Acute Stage of Rheumatoid Arthritis (Syndrome of Phlegm and Stasis Blockade). Chin J Emergency. 30:1237–1240. 2021.(In Chinese).

35 

Zhao H, Zhang H, Guo D and Zhang X: Effects of Duhuo Jisheng Decoction on Th17/Treg Balance in Rheumatoid Arthritis of Liver-kidney Insufficiency, Cold-dampness Obstruction Pattern. Western Chin Med. 34:8–12. 2021.(In Chinese).

36 

Tong T: Clinical efficacy of Yiyiren decoction in the treatment of rheumatoid arthritis. Asia Pacific Traditional Medicine. 10:123–124. 2014.(In Chinese).

37 

Wang K: Clinical observation on Modified Simiao Powder in the treatment of rheumatoid arthritis. Chin Med Sci. 8:54–56. 2018.(In Chinese).

38 

Wen J, Liu J, Wan L, Ling X, Dong W and Fang Y: A cohort study of endpoint events in 1468 patients with rheumatoid arthritis. J of Anhui Universityof Trad Chin Med. 36:2017.(In Chinese).

39 

Wang F, Dai G and Lou H: The follow-up design of the evidence-based TCM cohort study. Shandong J Traditional Chin Med. 35:14–17. 2016.(In Chinese).

40 

Fang Y, Liu J, Wan L, Ling X, Dong W and Wen J: The formulas of cohort study of rheumatoid arthritis with spleen wet application. Chin J Clin Healthc. 21:2018.(In Chinese).

41 

Du H and Chen H: Effect of follow-up by phone call on medication compliance of patients with cancer pain. Clin Nursing. 13:2014.(In Chinese).

42 

Mantel N: Evaluation of survival data and two new rank order statistics arising in its consideration. Cancer Chemother Rep. 50:163–170. 1966.PubMed/NCBI

43 

Sun Y, Jian L, Ling X, Wan L, Wen J, Fang Y and Dong W: Risk factors of changes of RBC parameters in 2716 patients with rheumatoid arthritis and anemia based on Logistic regression analysis. Chin J Immunol. 35:2019.(In Chinese).

44 

Chi M, Hou X, Zhou Yu and Chen X: Design optimization of data acquisition scheme based on Apriori association rules mining of test data. Fire and Command and Control. 47:142–149. 2022.(In Chinese).

45 

Sun D: Research on Web Data Mining Technology Based on Apriori Algorithm. Information Technol Informatization. 91–94. 2022.(In Chinese).

46 

Xie J, Wang N, Ding R, Guo J, Xin L and Liu J: Association learning of Chinese herbal medicines and disease treatment efficacy. Int J Prod Res. 57:683–702. 2019.(In Chinese).

47 

Shi D, DiStefano C, McDaniel HL and Jiang Z: Examining Chi-Square test statistics under conditions of large model size and ordinal data. Structural Equation Modeling: A Multidisciplinary J. 25:924–945. 2018.(In Chinese).

48 

Mcinnes IB and Schett G: The pathogenesis of rheumatoid arthritis. N Engl J Med. 365:2205–2219. 2011.PubMed/NCBI View Article : Google Scholar

49 

Petrelli F, Mariani FM, Alunno A and Puxeddu I: Pathogenesis of rheumatoid arthritis: One year in review 2022. Clin Exp Rheumatol. 40:475–482. 2022.PubMed/NCBI View Article : Google Scholar

50 

Montecucco F, Favari E, Norata GD, Ronda N, Nofer JR and Vuilleumier N: Impact of systemic inflammation and autoimmune diseases on ApoAI and HDL plasma levels and functions. Handb Exp Pharmacol. 224:455–482. 2015.PubMed/NCBI View Article : Google Scholar

51 

Pan L, Wang T and Wang L: Characteristics of Blood Lipid Disorder in Patients with Rheumatoid Arthritis and Its Correlation with Disease Activity. Chin J Arterioscler. 24:54–58. 2016.(In Chinese).

52 

Eneuve E, Nam J and Emery P: 2010 ACR-EULAR classification criteria for rheumatoid arthritis. Rev Bras Reumatol. 50:481–483. 2010.PubMed/NCBI

53 

Toms TE, Panoulas VF, Douglas KM, Nightingale P, Smith JP, Griffiths H, Sattar N, Symmons DP and Kitas GD: Are lipid ratios less susceptible to change with systemic inflammation than individual lipid components in patients with rheumatoid arthritis? Angiology. 62:167–175. 2011.PubMed/NCBI View Article : Google Scholar

54 

Xie X, Liu J, Sheng C and Wan L: Protein metabolism changes and correlation in active rheumatoid arthritis. Chin J Clin Health. 13:15–18. 2010.(In Chinese).

55 

Spîrchez M, Samasca G, Lancu M, Bolba C and Miu N: Relationof interleukin-6, TNF-alpha and interleukin-1 alpha with disease activity and severity in juvenile idiopathic arthritis patients. Clin Lab. 58:253–260. 2012.PubMed/NCBI

56 

Mingyu H, Liu J, Ling X, et al: Lipoprotein metabolism changes and correlation analysis in patients with active rheumatoid arthritis. Rheumatol Arthritis. 9:7–11. 2020.(In Chinese).

57 

Duan S, Liu J, Zhang F and Xin L: Mining the effect of Chinese spleen invigorating drugs on immune inflammation in patients with rheumatoid arthritis based on association rules. Chin J Clin Health. 20:96–99. 2017.(In Chinese).

58 

Dong W, Liu J, Xin L, Fang Y and Wen J: To study the effect of Tripterygium wilfordii polyglycosides tablets combined with traditional Chinese medicine on immune inflammatory liver and kidney function in patients with rheumatoid arthritis based on data mining. Chinese J Trad Chin Med. 44:3526–3532. 2019.(In Chinese).

59 

Guo J, Liu J, Xin L, Huang D, Zhou Q and Song Q: To evaluate the effect of Furong ointment combined with traditional Chinese medicine on inflammatory indexes in patients with active rheumatoid arthritis based on random walking model. Chin J Immunol. 34:854–860. 2018.(In Chinese).

60 

Sun Y, Liu J, Ling X, Zhang Y, Long Y, Bao B and Sun G: Data mining research on Huangqin Qingre Chubi Capsule combined with Xinfeng Capsule to improve the immune inflammatory indicators of rheumatoid arthritis patients with damp heat syndrome. Rheumatol Arthritis. 9:5–9. 2020.(In Chinese).

61 

Chiu HE, Hong YC, Chang KC, Shih CC, Hung JW, Liu CW, Tan TY and Huang CC: Favorable circulatory system outcomes as adjuvant traditional Chinese medicine (TCM) treatment for cerebrovascular diseases in Taiwan. PLoS One. 9(e86351)2014.PubMed/NCBI View Article : Google Scholar

62 

Dong W, Liu J, Wan L, Ling X, Fang Y and Wen J: Cohort study on the occurrence of endpoint events during follow-up of rheumatoid arthritis patients treated with traditional Chinese medicine. Rheumatol Arthritis. 7:18–22. 2018.(In Chinese).

63 

Samhouri BF, Vassallo R, Achenbach SJ, Kronzer VL, Davis JM III, Myasoedova E and Crowson CS: Incidence, risk factors, and mortality of clinical and subclinical rheumatoid arthritis-associated interstitial lung disease: A population-based cohort. Arthritis Care Res (Hoboken): Jan 7, 2022 (Epub ahead of print).

64 

Miura T, Miyakoshi N, Kashiwagura T, Tsuchie H, Sugimura Y and Shimada Y: The association between comorbidities and disease activity in patients with rheumatoid arthritis: A multicenter, cross-sectional cohort study in Japan with the highest proportion of elderly individuals. Egypt Rheumatol Rehabil. 49:2022.(In Chinese).

65 

Liu J, Yu X and Zong R: Change and correlation analysis of apolipoprotein in active rheumatoid arthritis. China Rehabilitation. 24:95–97. 2009.(In Chinese).

66 

Guo J, Liu J, Sun Z and Zhang X: Analysis of prescription drug use pattern of traditional Chinese medicine for rheumatic arthritis based on data mining. Pharmacol Clin Traditional Chin Med. 36:258–264, 65. 2020.(In Chinese).

67 

Wen J, Xin L, Wan L, Fang Y, Dong W and Liu J: Evaluation of the effect of Chinese spleen strengthening unit therapy on inflammatory indicators of patients with osteoarthritis based on random walking model. Chin J Traditional Chin Med. 44:1053–1057. 2019.PubMed/NCBI View Article : Google Scholar : (In Chinese).

68 

Huang DN, Wu FF, Zhang AH, Sun H and Wang XJ: Efficacy of berberine in treatment of rheumatoid arthritis: From multiple targets to therapeutic potential. Pharmacol Res. 169(105667)2021.PubMed/NCBI View Article : Google Scholar

69 

Bua S, Lucarini L, Micheli L, Menicatti M, Bartolucci G, Selleri S, Di Cesare Mannelli L, Ghelardini C, Masini E, Carta F, et al: Bioisosteric Development of multitarget nonsteroidal anti-inflammatory drug-carbonic anhydrases inhibitor hybrids for the management of rheumatoid arthritis. J Med Chem. 63:2325–2342. 2020.PubMed/NCBI View Article : Google Scholar

70 

Fang Y, Liu J, Xin L, Sun Y, Wan L, Huang D, Wen J, Zhang Y and Wang B: Identifying compound effect of drugs on rheumatoid arthritis treatment based on the association rule and a random walking-based model. Biomed Res Int. 2020(4031015)2020.PubMed/NCBI View Article : Google Scholar

71 

Wang KX, Gao Y, Lu C, Li Y, Zhou BY, Qin XM, Du GH, Gao L, Guan DG and Lu AP: Uncovering the complexity mechanism of different formulas treatment for rheumatoid arthritis based on a novel network pharmacology model. Front Pharmacol. 11(1035)2020.PubMed/NCBI View Article : Google Scholar

72 

Zhang L: Research on the clinical medication rule and mechanism of traditional Chinese medicine for rheumatism based on data mining [D]. Beijing University of Traditional Chinese Medicine, 2019 (In Chinese).

73 

Zhang W, Han D and Li J: Research progress on chemical constituents and pharmacological effects of Alismatis Rhizoma. J Traditional Chin Med. 49:98–102. 2021.(In Chinese).

74 

Chen Q: Research progress of Plantaginis Herb. Electronic J Cardiovascular Diseases of Integrated Traditional Chinese and Western Med. 7:151–152. 2019.(In Chinese).

75 

Yu K, Sun Y, Xue L, He J, Li F, Yin M, Li Z, Yan X, Guo J, Li G and Wang C: Compounds with NO inhibitory effect from the Rattan stems of Sinomenium acutum, a kind of Chinese folk medicine for treating rheumatoid arthritis. Chem Biodivers. 19(e202200334)2022.PubMed/NCBI View Article : Google Scholar

76 

Hu H, Zhu Y, Yu C, Yuan B, Chen X, Guan Y, Deng y and Shao F: Effects of hawthorn, cassia seed and Alismatis Rhizoma extracts on blood lipid level, liver function and HMGCR expression in hyperlipidemia rats. Chin Patent Med. 43:2830–2834. 2021.(In Chinese).

77 

Li B and Geng G: Research Progress on Chemical Constituents and Pharmacological Effects of Astragalus. Research on Integrated Traditional Chinese and Western Medicine. 14:262–264. 2022.(In Chinese).

78 

Tao X, Yan Y, Xu Z, Li H and Lei X: Study on Anti-inflammatory and detumescence Effect of coix seed Oil. J Liaoning Univ Traditional Chin Med. 17:45–46. 2015.(In Chinese).

79 

Xu L and Ho TY: Research progress in the efficacy and mechanism of Tripterygium wilfordii and its derivatives on rheumatoid arthritis. Shi Zhen Traditional Chin Med. 33:1703–1706. 2022.(In Chinese).

80 

Ji L, Lv S and Yang Z: Research progress on chemical constituents and pharmacological effects of centipede. Specialty Research. 42:75–84. 2020.(In Chinese).

81 

Faming T, Liu Y, Chen M and Hu W: Experimental study on the anti-inflammatory effect of triptenide in rats with adjuvant arthritis. New Traditional Chinese Medicine Drugs And Clinical Medicine. 25:176–178. 2014.(In Chinese).

82 

Ge P, Zhang H, Sun X, Liu J, Wang X, Jiang H and Meng M: Effect of Huangqin Qingre Chubi Capsule on serum IL-1 in adjuvant arthritis rats β And IL-6. New Chin Med Clin Pharmacol. 25:8–10. 2014.(In Chinese).

83 

Guo J: Data mining study of improving SOD in rheumatoid arthritis patients and its influence on AMPK-FoxO3a-MnSOD signaling pathway [D]. Hefei: Anhui University of Traditional Chinese Medicine, 2018 (In Chinese).

84 

Sun Y, Liu J, Ling X, Zhang Y, Long Y, Bao B and Sun G: Data mining study on the improvement of immune inflammation index in patients with rheumatoid arthritis by Xinfeng Capsule. Rheumatism and Arthritis. 9:5–9. 2020.(In Chinese).

85 

Liu J, Wang Y, Huang C, Xu J, Li Z, Xu L, He L, Sun Y, Wang Y, Xu S, et al: Efficacy and safety of Xinfeng capsule in patients with rheumatoid arthritis: A multi-center parallel-group double-blind randomized controlled trial. J Tradit Chin Med. 35:487–498. 2015.PubMed/NCBI View Article : Google Scholar

86 

Cao Y and Liu J: Clinical Efficacy of Heat-clearing and Diuresis-promoting Prescription Combined with Western Medicine Treatment for Damp-heat Rheumatoid Arthritis. J Anhui Univ Traditional Chin Med. 33:19–21. 2014.(In Chinese).

Related Articles

  • Abstract
  • View
  • Download
  • Twitter
Copy and paste a formatted citation
Spandidos Publications style
He M, Liu J, Fang Y, Wang F, Li X and Han Q: Chinese herbal medicine reduces the risk of readmission in patients with rheumatoid arthritis combined with hyperlipidemia: A population‑based retrospective cohort study. Exp Ther Med 25: 55, 2023.
APA
He, M., Liu, J., Fang, Y., Wang, F., Li, X., & Han, Q. (2023). Chinese herbal medicine reduces the risk of readmission in patients with rheumatoid arthritis combined with hyperlipidemia: A population‑based retrospective cohort study. Experimental and Therapeutic Medicine, 25, 55. https://doi.org/10.3892/etm.2022.11754
MLA
He, M., Liu, J., Fang, Y., Wang, F., Li, X., Han, Q."Chinese herbal medicine reduces the risk of readmission in patients with rheumatoid arthritis combined with hyperlipidemia: A population‑based retrospective cohort study". Experimental and Therapeutic Medicine 25.1 (2023): 55.
Chicago
He, M., Liu, J., Fang, Y., Wang, F., Li, X., Han, Q."Chinese herbal medicine reduces the risk of readmission in patients with rheumatoid arthritis combined with hyperlipidemia: A population‑based retrospective cohort study". Experimental and Therapeutic Medicine 25, no. 1 (2023): 55. https://doi.org/10.3892/etm.2022.11754
Copy and paste a formatted citation
x
Spandidos Publications style
He M, Liu J, Fang Y, Wang F, Li X and Han Q: Chinese herbal medicine reduces the risk of readmission in patients with rheumatoid arthritis combined with hyperlipidemia: A population‑based retrospective cohort study. Exp Ther Med 25: 55, 2023.
APA
He, M., Liu, J., Fang, Y., Wang, F., Li, X., & Han, Q. (2023). Chinese herbal medicine reduces the risk of readmission in patients with rheumatoid arthritis combined with hyperlipidemia: A population‑based retrospective cohort study. Experimental and Therapeutic Medicine, 25, 55. https://doi.org/10.3892/etm.2022.11754
MLA
He, M., Liu, J., Fang, Y., Wang, F., Li, X., Han, Q."Chinese herbal medicine reduces the risk of readmission in patients with rheumatoid arthritis combined with hyperlipidemia: A population‑based retrospective cohort study". Experimental and Therapeutic Medicine 25.1 (2023): 55.
Chicago
He, M., Liu, J., Fang, Y., Wang, F., Li, X., Han, Q."Chinese herbal medicine reduces the risk of readmission in patients with rheumatoid arthritis combined with hyperlipidemia: A population‑based retrospective cohort study". Experimental and Therapeutic Medicine 25, no. 1 (2023): 55. https://doi.org/10.3892/etm.2022.11754
Follow us
  • Twitter
  • LinkedIn
  • Facebook
About
  • Spandidos Publications
  • Careers
  • Cookie Policy
  • Privacy Policy
How can we help?
  • Help
  • Live Chat
  • Contact
  • Email to our Support Team