Spandidos Publications Logo
  • About
    • About Spandidos
    • Aims and Scopes
    • Abstracting and Indexing
    • Editorial Policies
    • Reprints and Permissions
    • Job Opportunities
    • Terms and Conditions
    • Contact
  • Journals
    • All Journals
    • Oncology Letters
      • Oncology Letters
      • Information for Authors
      • Editorial Policies
      • Editorial Board
      • Aims and Scope
      • Abstracting and Indexing
      • Bibliographic Information
      • Archive
    • International Journal of Oncology
      • International Journal of Oncology
      • Information for Authors
      • Editorial Policies
      • Editorial Board
      • Aims and Scope
      • Abstracting and Indexing
      • Bibliographic Information
      • Archive
    • Molecular and Clinical Oncology
      • Molecular and Clinical Oncology
      • Information for Authors
      • Editorial Policies
      • Editorial Board
      • Aims and Scope
      • Abstracting and Indexing
      • Bibliographic Information
      • Archive
    • Experimental and Therapeutic Medicine
      • Experimental and Therapeutic Medicine
      • Information for Authors
      • Editorial Policies
      • Editorial Board
      • Aims and Scope
      • Abstracting and Indexing
      • Bibliographic Information
      • Archive
    • International Journal of Molecular Medicine
      • International Journal of Molecular Medicine
      • Information for Authors
      • Editorial Policies
      • Editorial Board
      • Aims and Scope
      • Abstracting and Indexing
      • Bibliographic Information
      • Archive
    • Biomedical Reports
      • Biomedical Reports
      • Information for Authors
      • Editorial Policies
      • Editorial Board
      • Aims and Scope
      • Abstracting and Indexing
      • Bibliographic Information
      • Archive
    • Oncology Reports
      • Oncology Reports
      • Information for Authors
      • Editorial Policies
      • Editorial Board
      • Aims and Scope
      • Abstracting and Indexing
      • Bibliographic Information
      • Archive
    • Molecular Medicine Reports
      • Molecular Medicine Reports
      • Information for Authors
      • Editorial Policies
      • Editorial Board
      • Aims and Scope
      • Abstracting and Indexing
      • Bibliographic Information
      • Archive
    • World Academy of Sciences Journal
      • World Academy of Sciences Journal
      • Information for Authors
      • Editorial Policies
      • Editorial Board
      • Aims and Scope
      • Abstracting and Indexing
      • Bibliographic Information
      • Archive
    • International Journal of Functional Nutrition
      • International Journal of Functional Nutrition
      • Information for Authors
      • Editorial Policies
      • Editorial Board
      • Aims and Scope
      • Abstracting and Indexing
      • Bibliographic Information
      • Archive
    • International Journal of Epigenetics
      • International Journal of Epigenetics
      • Information for Authors
      • Editorial Policies
      • Editorial Board
      • Aims and Scope
      • Abstracting and Indexing
      • Bibliographic Information
      • Archive
    • Medicine International
      • Medicine International
      • Information for Authors
      • Editorial Policies
      • Editorial Board
      • Aims and Scope
      • Abstracting and Indexing
      • Bibliographic Information
      • Archive
  • Articles
  • Information
    • Information for Authors
    • Information for Reviewers
    • Information for Librarians
    • Information for Advertisers
    • Conferences
  • Language Editing
Spandidos Publications Logo
  • About
    • About Spandidos
    • Aims and Scopes
    • Abstracting and Indexing
    • Editorial Policies
    • Reprints and Permissions
    • Job Opportunities
    • Terms and Conditions
    • Contact
  • Journals
    • All Journals
    • Biomedical Reports
      • Information for Authors
      • Editorial Policies
      • Editorial Board
      • Aims and Scope
      • Abstracting and Indexing
      • Bibliographic Information
      • Archive
    • Experimental and Therapeutic Medicine
      • Information for Authors
      • Editorial Policies
      • Editorial Board
      • Aims and Scope
      • Abstracting and Indexing
      • Bibliographic Information
      • Archive
    • International Journal of Epigenetics
      • Information for Authors
      • Editorial Policies
      • Editorial Board
      • Aims and Scope
      • Abstracting and Indexing
      • Bibliographic Information
      • Archive
    • International Journal of Functional Nutrition
      • Information for Authors
      • Editorial Policies
      • Editorial Board
      • Aims and Scope
      • Abstracting and Indexing
      • Bibliographic Information
      • Archive
    • International Journal of Molecular Medicine
      • Information for Authors
      • Editorial Policies
      • Editorial Board
      • Aims and Scope
      • Abstracting and Indexing
      • Bibliographic Information
      • Archive
    • International Journal of Oncology
      • Information for Authors
      • Editorial Policies
      • Editorial Board
      • Aims and Scope
      • Abstracting and Indexing
      • Bibliographic Information
      • Archive
    • Medicine International
      • Information for Authors
      • Editorial Policies
      • Editorial Board
      • Aims and Scope
      • Abstracting and Indexing
      • Bibliographic Information
      • Archive
    • Molecular and Clinical Oncology
      • Information for Authors
      • Editorial Policies
      • Editorial Board
      • Aims and Scope
      • Abstracting and Indexing
      • Bibliographic Information
      • Archive
    • Molecular Medicine Reports
      • Information for Authors
      • Editorial Policies
      • Editorial Board
      • Aims and Scope
      • Abstracting and Indexing
      • Bibliographic Information
      • Archive
    • Oncology Letters
      • Information for Authors
      • Editorial Policies
      • Editorial Board
      • Aims and Scope
      • Abstracting and Indexing
      • Bibliographic Information
      • Archive
    • Oncology Reports
      • Information for Authors
      • Editorial Policies
      • Editorial Board
      • Aims and Scope
      • Abstracting and Indexing
      • Bibliographic Information
      • Archive
    • World Academy of Sciences Journal
      • Information for Authors
      • Editorial Policies
      • Editorial Board
      • Aims and Scope
      • Abstracting and Indexing
      • Bibliographic Information
      • Archive
  • Articles
  • Information
    • For Authors
    • For Reviewers
    • For Librarians
    • For Advertisers
    • Conferences
  • Language Editing
Login Register Submit
  • This site uses cookies
  • You can change your cookie settings at any time by following the instructions in our Cookie Policy. To find out more, you may read our Privacy Policy.

    I agree
Search articles by DOI, keyword, author or affiliation
Search
Advanced Search
presentation
Experimental and Therapeutic Medicine
Join Editorial Board Propose a Special Issue
Print ISSN: 1792-0981 Online ISSN: 1792-1015
Journal Cover
May-2023 Volume 25 Issue 5

Full Size Image

Sign up for eToc alerts
Recommend to Library

Journals

International Journal of Molecular Medicine

International Journal of Molecular Medicine

International Journal of Molecular Medicine is an international journal devoted to molecular mechanisms of human disease.

International Journal of Oncology

International Journal of Oncology

International Journal of Oncology is an international journal devoted to oncology research and cancer treatment.

Molecular Medicine Reports

Molecular Medicine Reports

Covers molecular medicine topics such as pharmacology, pathology, genetics, neuroscience, infectious diseases, molecular cardiology, and molecular surgery.

Oncology Reports

Oncology Reports

Oncology Reports is an international journal devoted to fundamental and applied research in Oncology.

Experimental and Therapeutic Medicine

Experimental and Therapeutic Medicine

Experimental and Therapeutic Medicine is an international journal devoted to laboratory and clinical medicine.

Oncology Letters

Oncology Letters

Oncology Letters is an international journal devoted to Experimental and Clinical Oncology.

Biomedical Reports

Biomedical Reports

Explores a wide range of biological and medical fields, including pharmacology, genetics, microbiology, neuroscience, and molecular cardiology.

Molecular and Clinical Oncology

Molecular and Clinical Oncology

International journal addressing all aspects of oncology research, from tumorigenesis and oncogenes to chemotherapy and metastasis.

World Academy of Sciences Journal

World Academy of Sciences Journal

Multidisciplinary open-access journal spanning biochemistry, genetics, neuroscience, environmental health, and synthetic biology.

International Journal of Functional Nutrition

International Journal of Functional Nutrition

Open-access journal combining biochemistry, pharmacology, immunology, and genetics to advance health through functional nutrition.

International Journal of Epigenetics

International Journal of Epigenetics

Publishes open-access research on using epigenetics to advance understanding and treatment of human disease.

Medicine International

Medicine International

An International Open Access Journal Devoted to General Medicine.

Journal Cover
May-2023 Volume 25 Issue 5

Full Size Image

Sign up for eToc alerts
Recommend to Library

  • Article
  • Citations
    • Cite This Article
    • Download Citation
    • Create Citation Alert
    • Remove Citation Alert
    • Cited By
  • Similar Articles
    • Related Articles (in Spandidos Publications)
    • Similar Articles (Google Scholar)
    • Similar Articles (PubMed)
  • Download PDF
  • Download XML
  • View XML
Article Open Access

Effect of splenectomy based on inverse probability weighting of the propensity score on Wilson's disease with hypersplenism: A retrospective cohort study

  • Authors:
    • Hong Chen
    • Xie Wang
    • Juan Zhang
    • Daojun Xie
  • View Affiliations / Copyright

    Affiliations: Department of Neurology, The First Affiliated Hospital of Anhui University of Traditional Chinese Medicine, Hefei, Anhui 230031, P.R. China
    Copyright: © Chen et al. This is an open access article distributed under the terms of Creative Commons Attribution License.
  • Article Number: 220
    |
    Published online on: March 29, 2023
       https://doi.org/10.3892/etm.2023.11919
  • Expand metrics +
Metrics: Total Views: 0 (Spandidos Publications: | PMC Statistics: )
Metrics: Total PDF Downloads: 0 (Spandidos Publications: | PMC Statistics: )
Cited By (CrossRef): 0 citations Loading Articles...

This article is mentioned in:



Abstract

Hypersplenism is a long‑term complication of Wilson's disease (WD). Patients often have to stop copper excretion treatment due to the decrease in blood cell count aggravation of abnormal liver function, anaemia, bleeding caused by coagulation dysfunction. The present study aimed to explore the effect of splenectomy on serum, biochemical indicators and neurological function in patients with hypersplenism of WD to evaluate the impact of splenectomy on their survival and prognosis. Due to the non‑randomness of splenectomy in patients with hypersplenism in WD in the present study, the propensity scoring model and inverse probability treatment weighting were used to evaluate the age, sex, duration of the disease. A total of 86 patients (40 with and 46 without splenectomy) were included in the present study. The baseline and preoperative data were adjusted by the inverse probability weighting method using the propensity score model. There was no significant difference in distribution of propensity scores between the two groups (P>0.05). There were significant differences in time‑weighted PLT levels in patients with hypersplenism of WD [after adjustment, odd ratio (OR)=0.010; 95% CI, 0.0013‑0.047; P<0.001]. The time‑weighted Child‑Pugh scores after adjustment also suggested a significant difference (OR=0.0684; 95% CI, 0.018‑0.207; P<0.001). The time‑weighted modified Young scale scores demonstrated no statistical significance (after adjustment, OR=0.294; 95% CI, 0.074‑1.001; P>0.05). Survival data showed a mean survival time of 11.2±3.15 years with a 10‑year survival rate of 64.97% for patients with non-splenectomy and 12.9±2.62 years with a 10‑year survival rate of 92.11% for patients with splenectomy, which was statistically significant (P<0.05). Due to crossover of survival curves at a later stage, the data were analysed using landmark analysis. The results suggested that splenectomy decreased death rate within 10 years by 84% compared with the non‑splenectomy group (HR=0.158; 95% Cl, 0.0198‑1.2545; P<0.05), but the survival rate of the two groups was not statistically significant after 10 years. (HR=0.445; 95% Cl, 0.2463‑0.8022; P>0.05). In conclusion, splenectomy significantly improved levels of PLT and liver function in patients with hypersplenism of WD, neurological function did not deteriorate and survival rate was improved.

Introduction

Hepatolenticular degeneration, also known as Wilson's disease (WD), is a rare autosomal recessive genetic disease associated with copper ion metabolism disorder that is caused by ATPase copper transporting β gene mutation and dysfunction. It involves a large amount of copper ion deposition in the liver, brain, cornea, kidney and other organs, which leads to liver damage, renal dysfunction, neurological impairment and dyskinesia (1). The liver is the primary affected organ. The patient develops liver fibrosis and even cirrhosis, resulting in abnormal liver function and portal hypertension, which further leads to splenomegaly and hypersplenism. The patient exhibits a decrease in peripheral hemogram, especially the blood platelet (PLT) count (2), followed by bleeding, immunity decline, susceptibility to infection and other clinical manifestations. Treatment-associated side effects, including bone marrow suppression caused by copper-excreting drugs such as penicillamine, aggravate the symptoms (3).

Splenectomy, as an effective method for the treatment of WD with hypersplenism, is more affordable and feasible compared with liver transplantation and has been proven to improve liver fibrosis and cirrhosis by reducing portal pressure and reducing the inflammatory response (4). However, studies have shown that splenectomy in WD may aggravate neurological dysfunction and cause death (5,6). Cai et al (7) studied 42 patients with hypersplenism of WD and found that neurological symptoms did not worsen after splenectomy, with a total success rate of 90.48%. Therefore, an increasing number of patients with hypersplenism of WD have chosen surgical splenectomy for treatment and domestic reports on this topic are also gradually increasing (8-13).

The present study reviewed the medical records of patients with hypersplenism of WD at The First Affiliated Hospital of Anhui University of Traditional Chinese Medicine (Hefei, China) and used inverse probability weighting and a propensity score model to balance the differences in covariates between splenectomy vs. non-splenectomy treatment groups, including age, sex, course of the disease and other factors. By decreasing confounding bias between different groups and improving the accuracy of efficacy evaluation, the causal association between treatment factors and effects was further explored (14) to evaluate the impact of splenectomy on PLT count, liver function, psychoneurological symptoms and survival prognosis.

Materials and methods

Case source, diagnosis and exclusion criteria

The present was a retrospective single-centre cohort study that included individuals who sought medical advice at the First Affiliated Hospital of Anhui University of Traditional Chinese Medicine from January 1, 2012, to January 1, 2022, and met the diagnostic criteria of WD, which include history of liver disease, presence or absence of extrapyramidal symptoms, notably decreased serum ceruloplasmin or increased liver copper levels, positive corneal K-F ring examined under the slit lamp or positive family history (15-17). Additional criteria for inclusion were (18): Moderate or severe splenomegaly based on colour Doppler ultrasound or laboratory examination; absent or mild ascites; pancytopenia, especially PLT <60x109/l and confirmation of the diagnosis by clinical follow-up at ≥1 year. Patients with viral, toxic alcoholic or immune hepatitis and their complications, as well as those who had hepatic encephalopathy, hepatorenal syndrome, severe ascites infection, serious cardiopulmonary disease or coagulation dysfunction, severe psychoneurological symptoms or those aged <5 or >45 years old, were excluded. The present study was approved by The Institutional Review Committee of The First Affiliated Hospital of Anhui University of Traditional Chinese Medicine (approval NO. 2022AH-25).

Liver and psychoneurological function evaluation

At the initial visit, the patient age, sex, symptoms, course of the disease and diagnostic test results were collected. PLT levels were recorded at each visit. Concomitantly, the Child-Pugh classification system (19) was used to assign patients to three categories based on their liver function (A, good hepatic function; B, moderately impaired hepatic function; and C, advanced hepatic dysfunction; patients in the category C were not treated with surgery) that is determined through a scoring system that uses five clinical and laboratory criteria: Hepatic encephalopathy; ascites; serum bilirubin; albumin and prothrombin time.

In addition, improved Young scale was used to evaluate psychoneurological function (20). The survival time and status of patients receiving surgical and non-surgical treatment were recorded during follow-up. The follow-up time of surgical patients was 13.16±2.43 years, and that of non-surgical patients was 11.57±3.05 years.

Surgical procedure

Patients who underwent splenectomy for WD were routinely treated with Gandouling (The First Affiliated Hospital of Anhui University of Traditional Chinese Medicine) combined with 2,3-dimercapto-1-propane-sulfonate for 4-6 courses before surgery. The operation was a simple splenectomy. After entering the abdominal cavity, the gastrocolic and inferior pole gastrosplenic ligaments were separated, and the splenic artery was routinely revealed and ligated to allow adequate return of splenic blood; the spleen was removed after dissecting and ligating the 2nd to 3rd level vessels of the spleen one by one in a near bloodless state, with all traumatic surfaces plasmapheresis sutured. Homeostatic, anti-infection agents and sodium salt restriction and diuretics were used to treat patients with coagulation dysfunction, infection or ascites, respectively. All patients underwent regular anti-copper treatment including long-term oral copper excretion drugs and regular intravenous copper excretion treatment.

Statistical analysis

Propensity score and inverse probability weighting were used to adjust the covariate imbalance caused by non-randomization in patients with WD after splenectomy (21-23). Baseline data and the preoperative data of patients were scored by the propensity score model to evaluate the probability of splenectomy in patients with WD. The obtained probability was adjusted by inverse probability weighting and the influence of splenectomy on time-weighted PLT, liver function levels and modified Young scale scores in patients with WD was analysed by a regression model after adjusting for confounding factors. The time-weighted average was calculated by multiplying the index or score of each visit by the time interval between this visit and the previous visit. Paired t test was used for continuous variables while a χ2 test was used for categorical variables. A Cox proportional hazard model landmark analysis and Kaplan-Meier curve were used to predict the effect of splenectomy on the survival and prognosis of patients with WD and hypersplenism. Schoenfeld, deviation and martingale residual tests were used to test whether the diagnostic requirements of Cox proportional risk model were met. Log-rank test was used to test the difference of survival distribution Statistical analysis was performed using SPSS 23.0 (IBM Corp) and R language software 4.2.2 (r-project.org). P<0.05 was considered to indicate a statistically significant difference.

Results

Patient selection

Of 287 patients initially screened, a total of 86 patients met the inclusion criteria. Of these, 40 patients underwent splenectomy and 46 received drugs to increase their leukocytes and PLTs. Of patients that were excluded from the study, eight did not obtain a final diagnosis, 10 presented with other vascular diseases, including aneurysms and arteriovenous malformations, 13 were complicated with autoimmune hepatitis, systemic lupus erythematosus and vasculitis, eight had meningioma, glioma and other central nervous system tumour disease, 45 were excluded due to insufficient medical records and 117 had insufficient clinical follow-up time.

Baseline population and preoperative data

Compared with the non-surgical group, the patients with hypersplenism of WD in the surgical group were older and had fewer women, a shorter course of disease, fewer patients with preoperative time-weighted Child-Pugh scores of grades A and B and higher preoperative time-weighted modified Young scores, but the difference was not statistically significant (Table I). Preoperative time-weighted PLT level may associated with splenectomy.

Table I

Baseline demographic and clinical data of patients with hypersplenism of Wilson's disease.

Table I

Baseline demographic and clinical data of patients with hypersplenism of Wilson's disease.

CharacteristicSplenectomy, n=40Non-splenectomy, n=46P-valueStandard mean difference
Mean age, years22.33±7.2321.50±8.430.6300.105
Female (%)16.00 (40.00)20.00 (43.48)0.9150.071
Mean disease course, years7.66±2.957.78±3.970.8700.036
Mean time-weighted platelet count before surgery, x109/l49.49±6.1951.47±6.380.1500.315
Time-weighted Child-Pugh score before surgery    
     Class A (%)13.00 (32.50)15.00 (32.61)1.0000.020
     Class B (%)27.00 (67.50)31.00 (67.39)  
Mean time-weighted modified Young score before surgery12.3±4.3311.85±3.920.6130.109
Predicting the probability of propensity score model

Baseline and preoperative data of the cases were sorted and propensity score model was used to predict the probability of splenectomy in patients with hypersplenism of WD. The median propensity score of patients in the surgical group was 0.517 [interquartile range (IQR), 0.412-0.566], while that in the non-surgical group was 0.410 (IQR, 0.373-0.524). In addition, the difference in distribution of data between the two groups was not statistically significant (Fig. 1).

Figure 1

Prediction of probability of splenectomy for Wilson's disease according to the propensity score model.

Inverse probability weighting to correct confounding factors

According to the propensity scores, data with inverse probability were weighted. The two groups had similar distribution of weights, suggesting that when both groups had a high prediction probability, the weight of the splenectomy group was lower than that of the non-splenectomy group; by contrast, when the two groups had the same weight, the prediction probability of the splenectomy group was lower than that of the non-splenectomy group (Fig. 2). Analysis of weighted data suggested that the confounding factors of baseline and preoperative data were corrected (P>0.05; standard mean difference <10%; Table II); thus, the covariate imbalance caused by non-randomization was adjusted (Fig. 3).

Figure 2

Propensity score and inverse probability weighted data in patients with hypersplenism of Wilson's disease.

Figure 3

Baseline and preoperative data of patients with hypersplenism of Wilson's disease before (circles) and after (triangles) IPTW. IPTW, inverse probability treatment weighting; SMD, standard mean difference.

Table II

Baseline demographic and clinical data of patients with Wilson's disease complicated with hypersplenism after inverse probability weighting.

Table II

Baseline demographic and clinical data of patients with Wilson's disease complicated with hypersplenism after inverse probability weighting.

CharacteristicSplenectomy, n=40Non-splenectomy, n=46P-valueStandard mean difference
Mean age, years21.91±7.2121.77±8.330.9340.018
Female (%)35.30 (41.20)36.00 (41.80)0.9580.012
Disease course, years7.71 (3.08)7.68 (3.77)0.9660.009
Mean time-weighted platelet count before surgery, x109/l50.42± 6.0850.34±6.840.9570.012
Time-weighted Child-Pugh score before surgery    
     Class A (%)27.10 (31.60)28.00 (32.40)0.9430.016
     Class B (%)58.60 (68.40)58.30 (67.60)  
Mean time-weighted modified Young score before surgery12.01±4.3411.97±3.980.9690.009
Postoperative indices by inverse probability weighting

Changes in time-weighted PLT and Child-Pugh and modified Young scale scores of patients with hypersplenism of WD were compared before and after weighting. Significant differences were found both before and after adjustment in time-weighted PLT levels in patients with hypersplenism of WD [before adjustment, odds ratio (OR)=0.011; 95% CI, 0.0015-0.049; after adjustment, OR=0.010; 95% CI, 0.0013-0.047; P<0.001; Table III], suggesting these were relatively stable. Time-weighted Child-Pugh scores also suggested significant differences (before adjustment, OR=0.0682; 95% CI, 0.018-0.211; after adjustment, OR=0.0684; 95% CI, 0.018-0.207; P<0.001; Table III). Furthermore, the data of the time-weighted modified Young scale scores also indicated that splenectomy was not associated with the scores of the modified Young scale (before adjustment, OR=0.293; 95% CI, 0.073-1.013; after adjustment, OR=0.294; 95% CI, 0.074-1.001; P>0.05; Table III).

Table III

Time-weighted platelet count and Child-Pugh and modified Young scale score in patients with hypersplenism of Wilson's disease.

Table III

Time-weighted platelet count and Child-Pugh and modified Young scale score in patients with hypersplenism of Wilson's disease.

CharacteristicSplenectomy, n=40Non-splenectomy, n=46Adjusted difference (95% CI)
Mean time-weighted platelet count before surgery, x109/l141±32.5649.27±6.580.010 (0.001-0.047)
Time-weighted Child-Pugh score before surgery  0.070 (0.023-0.212)
     Class A (%)31.00 (77.50)13.00 (28.30) 
     Class B (%)9.00 (22.50)33.00 (71.70) 
Mean time-weighted modified Young scores before surgery10.85±5.5610.98±3.690.290 (0.071-1.001)
Cox proportional hazard model to predict the effect of splenectomy on the survival and prognosis of patients with hypersplenism

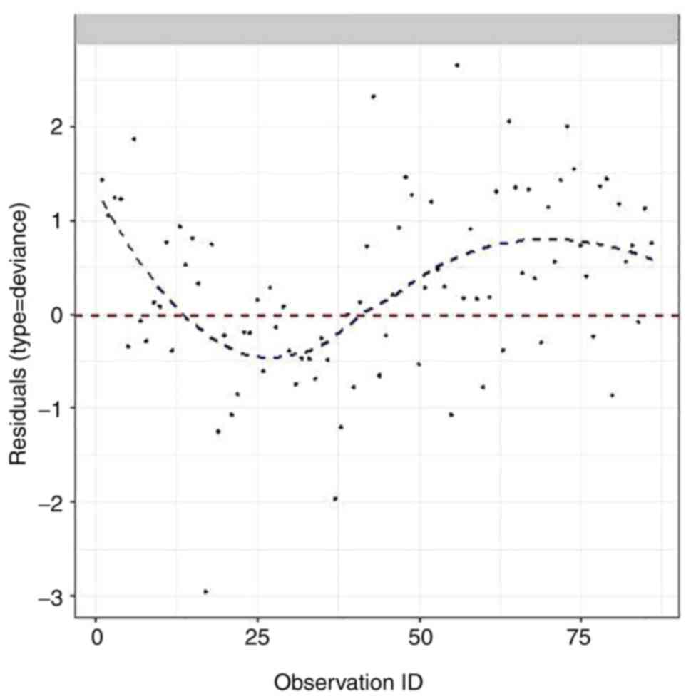
Statistical analysis on the survival time and status of patients with hypersplenism was performed. After weighting, Schoenfeld, deviance and martingale residual tests were performed. The Schoenfeld residual diagram (Fig. 4; P>0.05) suggested that the model as a whole met the requirements of the equal scale model. The deviance residual diagram (Fig. 5) demonstrated that the residual values of each point were evenly distributed at ~0 and relatively symmetric, suggesting that the assumption that the model conforms to the risk proportional model was met. Moreover, the martingale residual diagram Figs. 6 and 7) revealed that continuous covariates had degree of non-linearity. Therefore, the residual tests indicated that the data met the diagnostic requirements of the Cox proportional hazard model.

Figure 4

Schoenfeld residual diagram of baseline data of patients with hypersplenism of Wilson's disease.

Figure 5

Deviance residual diagram of baseline data of patients with hypersplenism of Wilson's disease.

Figure 6

Martingale residual diagram (age) of baseline data of patients with hypersplenism of Wilson's disease.

Figure 7

Martingale residual diagram (disease course) of baseline data of patients with hypersplenism of Wilson's disease.

There was a mean survival time of 11.2±3.15 years with a 10-year survival rate of 64.97% in the non-splenectomy and 12.9±2.62 years with a 10-year survival rate of 92.11% in the splenectomy group, which was statistically significant (P<0.05). Cox proportional hazard model prediction before and after weighting indicated that, compared with that in the non-splenectomy group, splenectomy decreased risk of death by 71% [before adjustment, hazard ratio (HR)=0.296; 95% CI, 0.1725-0.5061; after adjustment, HR=0.295; 95% CI, 0.1872-0.4635] and the results were relatively stable and statistically significant (P<0.001). Kaplan-Meier curve predicted by the Cox proportional hazard model after adjusting the baseline data is shown in Fig. 8. Due to crossover of survival curves at a later stage, the data were analysed using landmark analysis. Splenectomy decreased the death rate by 84% within 10 years (HR=0.158; 95% Cl, 0.0198-1.2545; P<0.05) compared with that in the non-splenectomy group, but there was no significant difference between the two groups after 10 years (HR=0.445; 95% Cl, 0.2463-0.8022; P>0.05; Fig. 9).

Figure 8

Kaplan-Meier curve predicted by adjusted Cox proportional hazard model.

Figure 9

Changes in survival curves by landmark analysis between splenectomy and non-splenectomy groups.

Discussion

All cases in the present study came from the First Affiliated Hospital of Anhui University of Traditional Chinese Medicine. Since 1973, the aforementioned hospital has taken the lead in conducting experimental and clinical research on WD for >40 years in China. Through in-depth research and exploration of the aetiology and pathology, diagnostic typing, treatment and efficacy evaluation of WD, a suitable diagnosis and treatment system for WD have gradually been formed. As a leading WD diagnosis and treatment centre, the aforementioned hospital has gathered patients globally and receives thousands of outpatients and inpatients with WD every year. Therefore, the present study has a sufficient and reliable source of cases.

The present retrospective cohort study assessed the effect of splenectomy on PLT, liver function, psychoneurological symptoms and survival prognosis in patients with hypersplenism of WD using the inverse probability weighting method of propensity score. Splenectomy significantly improved the PLT and liver function levels but did not affect the psychoneurological symptoms. In addition, the mean survival time and 10-year survival rate of non-splenectomy group were lower than those of splenectomy group. After adjusting for confounding factors, the risk of death in the surgical group was reduced by 71% compared with that in the non-surgical group. Splenectomy decreased death rate by 84% compared with that in the non-splenectomy group within 10 years but there was no significant difference after 10 years.

Splenectomy, as an effective method to improve hypersplenism, is now widely used in diseases such as liver cirrhosis caused by viral hepatitis and liver cancer following hematopoietic stem cell transplantation and liver transplantation (24-26). As an important immune organ, the spleen is involved in the immediate immune response to blood-derived antigens. However, for patients with severe liver disease, portal vein blood circulation disorder causes deposition of splenic blood flow, resulting in splenomegaly and hypersplenism, which further leads to complications, such as haemopenia, aggravated coagulation dysfunction, bleeding and infection (27).

Although there are few studies on the mechanism changes in liver function in patients with hypersplenism of WD, research has shown that splenectomy significantly improves blood cell count and liver function in patients with liver cancer, viral hepatitis and liver cirrhosis (28-30). Studies have also shown that splenectomy in the early stage of liver fibrosis blocks rapid deployment of monocytes to the liver, thus reducing the inflammatory response and delaying the progression of early liver fibrosis in mice (31,32). In addition, splenectomy enhances the mitotic cycle of hepatocytes by reducing the release of anti-hepatocyte proliferation factor TGF-β1 from the spleen, thus promoting proliferation of hepatocytes (33). Therefore, improvement in liver function in patients with hypersplenism following splenectomy may be related to the reduction in the inflammatory response, promotion of hepatocyte proliferation, antifibrosis (34,35) and improvement in haemodynamics (36). Splenectomy can significantly increase the PLT count of patients (8,9), even when preoperative PLT levels are ≤30x109/l, without affecting the operation and postoperative functional recovery of the patient (10). The liver function is also significantly improved after splenectomy (including aspartate transaminase, alanine aminotransferase, total bilirubin, albumin, prothrombin time), while prothrombin time is shorter compared with that before the procedure (11). Even for children with hypersplenism of WD or patients with moderate to severe hypersplenism, a splenectomy yields improved curative effects and safety with sufficient perioperative treatment (12,13). The results of the present study also suggested that splenectomy improves the levels of PLT and liver function in patients with hypersplenism of WD.

Improvement of neurological function in patients undergoing splenectomy is controversial. An early study reported that splenectomy to treat WD can aggravate neurological dysfunction (6). By contrast, another study suggested that splenectomy would improve the neurological function of patients following surgery (8). However, to the best of our knowledge, there are few studies on the neurological function of patients with WD after splenectomy. The current study found that the overall neurological function scores in both the splenectomy and non-splenectomy groups decreased but this was not associated with whether the operation was performed or not. The decline in overall neurological function score may be associated with long-term standardized intravenous or oral anti-copper treatment before and after the operation.

A topical literature review has reported that splenectomy may increase the risk of complications such as bleeding, infection, splenic portal vein thrombosis, pulmonary embolism and disseminated intravascular coagulation and may be associated with a postoperative hypercoagulable state, PLT activation, endothelial dysfunction and activation and lipid mass spectrum changes (37). In the present study, two patients died in the splenectomy group, whereas six patients died in the non-splenectomy group. The causes of death in the operation group included liver coma induced by surgical anaesthetics and aggravation of postoperative infection. Patients in the non-splenectomy group died due to the progression of the disease, including upper gastrointestinal bleeding caused by oesophageal and gastric varices, spontaneous cerebral haemorrhage caused by further deterioration of coagulation function, hepatorenal syndrome and hepatic encephalopathy caused by further deterioration of liver function. Patients with hypersplenism of WD often have a decrease in blood cells, aggravation of liver fibrosis, and cirrhosis with the progression of the disease, accompanied by abnormalities in transaminase and protein and coagulation factor synthesis disorders (38). The long-term use of anti-copper drugs further aggravates abnormalities in clinical markers (39,40). In this regard, splenectomy not only decreases the mortality of patients with haemopenia and mild to moderate abnormal liver function but also ensures long-term copper excretion treatment (7). Therefore, combined with the results of the present study, splenectomy improves the survival of patients by decreasing portal vein pressure in the short term, alleviating the negative effects of hypersplenism and thus improving PLT count and liver function. However, with the further progression of WD cirrhosis, the increase of long-term venous reflux pressure causes vascular rupture and bleeding. In addition, the continuous deterioration of liver function can cause liver failure, hepatic encephalopathy and coma. This may be the reason splenectomy cannot reverse the poor prognosis of the disease in the long term.

As a retrospective clinical study, the present sample size was small due to doubtful diagnosis, lack of data and insufficient follow-up. In addition, due to the limited clinical data, the method of assessing the efficacy of was based on few clinical data, such as serological indicators and scale scores, and more objective alternative biomarkers should be evaluated. Therefore, a larger sample size should be included and an improved experimental design should be used when designing future prospective studies to improve reliability.

The present research suggested that splenectomy can improve the survival and prognosis of patients with WD However, a longer follow-up time and a larger sample size are still needed to evaluate the clinical value of splenectomy in the treatment of hypersplenism in patients with WD.

Acknowledgements

The authors would like to thank Dr Qingsheng Yu (The First Affiliated Hospital of Anhui University of Traditional Chinese Medicine, China) for performing splenectomy.

Funding

Funding: The present study was supported by the National Natural Science Foundation of China (grant no. 82274493).

Availability of data and materials

The datasets generated and/or analysed during the current study are available from the corresponding author on reasonable request.

Authors' contributions

HC and XW wrote the manuscript. HC and JZ conceived the research. HC and XW obtained the data and analyzed them. JZ revised the manuscript for intellectual content and obtained funding. JZ and DX provided general supervision. DX participated in data analysis and manuscript revision. HC and XW confirm the authenticity of all the raw data. All authors have read and approved the final manuscript.

Ethics approval and consent to participate

The protocol of this clinical study is in full compliance with the ethical principles of the Declaration of Helsinki, as well as good clinical practice guidelines and applicable local regulatory requirements. This study was approved by The Institutional Review Committee of The First Affiliated Hospital of Anhui University of Traditional Chinese Medicine (approval no. 2022AH-25; Date of Approval, 12/03/2022).

Patient consent for publication

Not applicable.

Competing interests

The authors declare that they have no competing interests.

References

1 

Compston A: Progressive lenticular degeneration: A familial nervous disease associated with cirrhosis of the liver, by S. A. Kinnier Wilson, (from the national hospital, and the laboratory of the national hospital, queen square, London) brain 1912: 34; 295-509. Brain. 132:1997–2001. 2009.PubMed/NCBI View Article : Google Scholar

2 

Strickland GT, Chang NK and Beckner WM: Hypersplenism in Wilson's disease. Gut. 13:220–224. 1972.PubMed/NCBI View Article : Google Scholar

3 

Poujois A and Woimant F: Wilson's disease: A 2017 update. Clin Res Hepatol Gastroenterol. 42:512–520. 2018.PubMed/NCBI View Article : Google Scholar

4 

Zeng DB, Di L, Zhang RC, Guo QL, Duan BW, Jia CY, Chen F, Lin DD, Zang YJ and Lu SC: The effect of splenectomy on the reversal of cirrhosis: A prospective study. Gastroenterol Res Pract. 2019(5459427)2019.PubMed/NCBI View Article : Google Scholar

5 

Rabiner AM, et al: Hepatolenticular degeneration following splenectomy, interrelationship of the reticuloendothlial system and central nervous system. Arch Int Med, 1941.

6 

Sternlieb I, Scheinberg IH and Walshe JM: Bleeding oesophageal varices in patients with Wilson's disease. Lancet. 1:638–641. 1970.PubMed/NCBI View Article : Google Scholar

7 

Cai YL, Yang XT and Yang RM: Discussion on splenectomy in hepatolenticular degeneration (with 42 cases report). J Clin Neurol. 6:131–133. 1993.(In Chinese).

8 

Li LY, Yang WM, Chen HZ, Wu YH, Fang X, Zhang J, Wang Z, Han YS and Wang Y: Successful splenectomy for hypersplenism in Wilson's disease: A single center experience from China. PLoS One. 10(e0124569)2015.PubMed/NCBI View Article : Google Scholar

9 

Guo BB, Yu QS, Sheng Y, et al: Platelet changes and its clinical significance in patients with hepatolenticular degeneration complicated with hypersplenism before and after splenectomy. J Liaoning Univ Tradit Chin Med. 21:134–137. 2019.(In Chinese).

10 

Yang W, Yu QS and Pan JF: Effect of platelet level on operation and prognosis in patients with hepatolenticular degeneration and hypersplenism undergoing splenectomy. Shaanxi Med J. 49:1403–1407. 2020.(In Chinese).

11 

Wei FS, Yu QS, Pan JF, Shen Y, Zhang Q, Wang Z and Hunag L: Effect of splenectomy on liver function in patients with hepatolenticular degeneration and hypersplenism. Guangxi Med. 42:2475–2491. 2020.(In Chinese).

12 

Wang XM, Zhang FZ, Yu QS, et al: Plenectomy in the treatment of hepatolenticular degeneration with hypersplenism in children. J Hepatobiliary Pancreat Surg. 19:217–219. 2007.(In Chinese).

13 

Qian Y, Pan JF, Huang L, Wang Z, Jing W and Yu Q: Hepatolenticular degeneration with moderate to severe hypersplenism Analysis of related factors of complications after splenectomy. Shandong Med J. 62:63–66. 2022.(In Chinese).

14 

Carry PM, Vanderlinden LA, Dong F, Buckner T, Litkowski E, Vigers T, Norris JM and Kechris K: Inverse probability weighting is an effective method to address selection bias during the analysis of high dimensional data. Genet Epidemiol. 45:593–603. 2021.PubMed/NCBI View Article : Google Scholar

15 

Yang RM: Hepatolenticular degeneration. 9th Edition. People's Health Publishing House, Beijing, 2015.

16 

Rosencrantz R and Schilsky M: Wilson disease: Pathogenesis and clinical considerations in diagnosis and treatment. Semin Liver Dis. 31:245–259. 2011.PubMed/NCBI View Article : Google Scholar

17 

Ferenci P, Caca K, Loudianos G, Mieli-Vergani G, Tanner S, Sternlieb I, Schilsky M, Cox D and Berr F: Diagnosis and phenotypic classification of Wilson disease. Liver Int. 23:139–142. 2003.PubMed/NCBI View Article : Google Scholar

18 

Hou Y and Sun GX: Diagnostic classification criteria and clinical significance of hypersplenism in portal hypertension. J Mod Integr Tradit Chin West Med. 18(3603)2009.(In Chinese).

19 

Pugh RN, Murray-Lyon IM, Dawson JL, Pietroni MC and Williams R: Transection of the oesophagus for bleeding oesophageal varices. Br J Surg. 60:646–649. 1973.PubMed/NCBI View Article : Google Scholar

20 

Zhou XX, Qin HL, He RX, Chen DB, Wu C, Feng L, Li XH and Liang XL: Clinical characteristics of patients with delayed hepatolenticular degeneration. Zhonghua Nei Ke Za Zhi. 58:501–507. 2019.PubMed/NCBI View Article : Google Scholar : (In Chinese).

21 

Mansournia MA and Altman DG: Inverse probability weighting. BMJ. 352(i189)2016.PubMed/NCBI View Article : Google Scholar

22 

Rubin DB: Estimating causal effects from large data sets using propensity scores. Ann Intern Med. 127:757–763. 1997.PubMed/NCBI View Article : Google Scholar

23 

Liu L, Nevo D, Nishihara R, Cao Y, Song M, Twombly TS, Chan AT, Giovannucci EL, VanderWeele TJ, Wang M and Ogino S: Utility of inverse probability weighting in molecular pathological epidemiology. Eur J Epidemiol. 33:381–392. 2018.PubMed/NCBI View Article : Google Scholar

24 

Yoshizumi T, Itoh S, Shimokawa M, Inokuchi S, Harada N, Takeishi K, Mano Y, Yoshiya S, Kurihara T, Nagao Y, et al: Simultaneous splenectomy improves outcomes after adult living donor liver transplantation. J Hepatol. 74:372–379. 2021.PubMed/NCBI View Article : Google Scholar

25 

Brauer DL, Rapoport AP, Yanovich S and Akpek G: Splenectomy as a measure to treat prolonged post-transplant cytopenia associated with hypersplenism. Bone Marrow Transplant. 49:717–719. 2014.PubMed/NCBI View Article : Google Scholar

26 

Inagaki Y, Sugimoto K, Shiraki K, Tameda M, Kusagawa S, Nojiri K, Ogura S, Yamamoto N, Takei Y, Ito M, et al: The long-term effects of splenectomy and subsequent interferon therapy in patients with HCV-related liver cirrhosis. Mol Med Rep. 9:487–492. 2014.PubMed/NCBI View Article : Google Scholar

27 

McKenzie CV, Colonne CK, Yeo JH and Fraser ST: Splenomegaly: Pathophysiological bases and therapeutic options. Int J Biochem Cell Biol. 94:40–43. 2018.PubMed/NCBI View Article : Google Scholar

28 

Schwabl P, Seeland BA, Riedl F, Schubert TL, Königshofer P, Brusilovskaya K, Petrenko O, Hofer B, Schiefer AI, Trauner M, et al: Splenectomy ameliorates portal pressure and anemia in animal models of cirrhotic and non-cirrhotic portal hypertension. Adv Med Sci. 67:154–162. 2022.PubMed/NCBI View Article : Google Scholar

29 

Yamamoto N, Okano K, Oshima M, Akamoto S, Fujiwara M, Tani J, Miyoshi H, Yoneyama H, Masaki T and Suzuki Y: Laparoscopic splenectomy for patients with liver cirrhosis: Improvement of liver function in patients with Child-Pugh class B. Surgery. 158:1538–1544. 2015.PubMed/NCBI View Article : Google Scholar

30 

Shi XB, Feng JK, Wang JH and Jiang XQ: Does splenectomy significantly improve the prognosis of hepatocellular carcinoma patients with hypersplenism? A systematic review and meta-analysis. Ann Transl Med. 9(641)2021.PubMed/NCBI View Article : Google Scholar

31 

Wang MJ, Ling WW, Wang H, Meng LW, Cai H and Peng B: Non-invasive evaluation of liver stiffness after splenectomy in rabbits with CCl4-induced liver fibrosis. World J Gastroenterol. 22:10166–10179. 2016.PubMed/NCBI View Article : Google Scholar

32 

Wang Y, Guo X, Jiao G, Luo L, Zhou L, Zhang J and Wang B: Splenectomy promotes macrophage polarization in a mouse model of concanavalin A-(ConA-) Induced liver fibrosis. Biomed Res Int. 2019(5756189)2019.PubMed/NCBI View Article : Google Scholar

33 

Elchaninov AV, Fatkhudinov TK, Vishnyakova PA, Nikitina MP, Lokhonina AV, Makarov AV, Arutyunyan IV, Kananykhina EY, Poltavets AS, Butov KR, et al: Molecular mechanisms of splenectomy-induced hepatocyte proliferation. PLoS One. 15(e0233767)2020.PubMed/NCBI View Article : Google Scholar

34 

Liang QS, Xie JG, Yu C, Feng Z, Ma J, Zhang Y, Wang D, Lu J, Zhuang R and Yin J: Splenectomy improves liver fibrosis via tumor necrosis factor superfamily 14 (LIGHT) through the JNK/TGF-β1 signaling pathway. Exp Mol Med. 53:393–406. 2021.PubMed/NCBI View Article : Google Scholar

35 

Zheng Z, Wang H, Li L, Zhang S, Zhang C, Zhang H, Ji F, Liu X, Zhu K, Kong G and Li Z: Splenectomy enhances the Ly6Clow phenotype in hepatic macrophages by activating the ERK1/2 pathway during liver fibrosis. Int Immunopharmacol. 86(106762)2020.PubMed/NCBI View Article : Google Scholar

36 

Zeng DB, Di L, Guo QL, Ding J, Zhao XF and Lu SC: Splenectomy with portoazygous disconnection for correction of systemic hemodynamic disorders in hepatic cirrhosis patients with portal hypertension: A prospective single-center cohort study. Can J Gastroenterol Hepatol. 2020(8893119)2020.PubMed/NCBI View Article : Google Scholar

37 

Weledji EP: Benefits and risks of splenectomy. Int J Surg. 12:113–119. 2014.PubMed/NCBI View Article : Google Scholar

38 

Członkowska A, Litwin T, Dusek P, Ferenci P, Lutsenko S, Medici V, Rybakowski JK, Weiss KH and Schilsky ML: Wilson disease. Nat Rev Dis Primers. 4(21)2018.PubMed/NCBI View Article : Google Scholar

39 

Grasedyck K: D-penicillamine-side effects, pathogenesis and decreasing the risks. Z Rheumatol. 47 (Suppl 1):S17–S19. 1988.PubMed/NCBI(In German).

40 

Langan MN and Thomas P: Penicillamine-induced liver disease. Am J Gastroenterol. 82:1318–1319. 1987.PubMed/NCBI

Related Articles

  • Abstract
  • View
  • Download
  • Twitter
Copy and paste a formatted citation
Spandidos Publications style
Chen H, Wang X, Zhang J and Xie D: Effect of splenectomy based on inverse probability weighting of the propensity score on Wilson's disease with hypersplenism: A retrospective cohort study. Exp Ther Med 25: 220, 2023.
APA
Chen, H., Wang, X., Zhang, J., & Xie, D. (2023). Effect of splenectomy based on inverse probability weighting of the propensity score on Wilson's disease with hypersplenism: A retrospective cohort study. Experimental and Therapeutic Medicine, 25, 220. https://doi.org/10.3892/etm.2023.11919
MLA
Chen, H., Wang, X., Zhang, J., Xie, D."Effect of splenectomy based on inverse probability weighting of the propensity score on Wilson's disease with hypersplenism: A retrospective cohort study". Experimental and Therapeutic Medicine 25.5 (2023): 220.
Chicago
Chen, H., Wang, X., Zhang, J., Xie, D."Effect of splenectomy based on inverse probability weighting of the propensity score on Wilson's disease with hypersplenism: A retrospective cohort study". Experimental and Therapeutic Medicine 25, no. 5 (2023): 220. https://doi.org/10.3892/etm.2023.11919
Copy and paste a formatted citation
x
Spandidos Publications style
Chen H, Wang X, Zhang J and Xie D: Effect of splenectomy based on inverse probability weighting of the propensity score on Wilson's disease with hypersplenism: A retrospective cohort study. Exp Ther Med 25: 220, 2023.
APA
Chen, H., Wang, X., Zhang, J., & Xie, D. (2023). Effect of splenectomy based on inverse probability weighting of the propensity score on Wilson's disease with hypersplenism: A retrospective cohort study. Experimental and Therapeutic Medicine, 25, 220. https://doi.org/10.3892/etm.2023.11919
MLA
Chen, H., Wang, X., Zhang, J., Xie, D."Effect of splenectomy based on inverse probability weighting of the propensity score on Wilson's disease with hypersplenism: A retrospective cohort study". Experimental and Therapeutic Medicine 25.5 (2023): 220.
Chicago
Chen, H., Wang, X., Zhang, J., Xie, D."Effect of splenectomy based on inverse probability weighting of the propensity score on Wilson's disease with hypersplenism: A retrospective cohort study". Experimental and Therapeutic Medicine 25, no. 5 (2023): 220. https://doi.org/10.3892/etm.2023.11919
Follow us
  • Twitter
  • LinkedIn
  • Facebook
About
  • Spandidos Publications
  • Careers
  • Cookie Policy
  • Privacy Policy
How can we help?
  • Help
  • Live Chat
  • Contact
  • Email to our Support Team