Spandidos Publications Logo
  • About
    • About Spandidos
    • Aims and Scopes
    • Abstracting and Indexing
    • Editorial Policies
    • Reprints and Permissions
    • Job Opportunities
    • Terms and Conditions
    • Contact
  • Journals
    • All Journals
    • Oncology Letters
      • Oncology Letters
      • Information for Authors
      • Editorial Policies
      • Editorial Board
      • Aims and Scope
      • Abstracting and Indexing
      • Bibliographic Information
      • Archive
    • International Journal of Oncology
      • International Journal of Oncology
      • Information for Authors
      • Editorial Policies
      • Editorial Board
      • Aims and Scope
      • Abstracting and Indexing
      • Bibliographic Information
      • Archive
    • Molecular and Clinical Oncology
      • Molecular and Clinical Oncology
      • Information for Authors
      • Editorial Policies
      • Editorial Board
      • Aims and Scope
      • Abstracting and Indexing
      • Bibliographic Information
      • Archive
    • Experimental and Therapeutic Medicine
      • Experimental and Therapeutic Medicine
      • Information for Authors
      • Editorial Policies
      • Editorial Board
      • Aims and Scope
      • Abstracting and Indexing
      • Bibliographic Information
      • Archive
    • International Journal of Molecular Medicine
      • International Journal of Molecular Medicine
      • Information for Authors
      • Editorial Policies
      • Editorial Board
      • Aims and Scope
      • Abstracting and Indexing
      • Bibliographic Information
      • Archive
    • Biomedical Reports
      • Biomedical Reports
      • Information for Authors
      • Editorial Policies
      • Editorial Board
      • Aims and Scope
      • Abstracting and Indexing
      • Bibliographic Information
      • Archive
    • Oncology Reports
      • Oncology Reports
      • Information for Authors
      • Editorial Policies
      • Editorial Board
      • Aims and Scope
      • Abstracting and Indexing
      • Bibliographic Information
      • Archive
    • Molecular Medicine Reports
      • Molecular Medicine Reports
      • Information for Authors
      • Editorial Policies
      • Editorial Board
      • Aims and Scope
      • Abstracting and Indexing
      • Bibliographic Information
      • Archive
    • World Academy of Sciences Journal
      • World Academy of Sciences Journal
      • Information for Authors
      • Editorial Policies
      • Editorial Board
      • Aims and Scope
      • Abstracting and Indexing
      • Bibliographic Information
      • Archive
    • International Journal of Functional Nutrition
      • International Journal of Functional Nutrition
      • Information for Authors
      • Editorial Policies
      • Editorial Board
      • Aims and Scope
      • Abstracting and Indexing
      • Bibliographic Information
      • Archive
    • International Journal of Epigenetics
      • International Journal of Epigenetics
      • Information for Authors
      • Editorial Policies
      • Editorial Board
      • Aims and Scope
      • Abstracting and Indexing
      • Bibliographic Information
      • Archive
    • Medicine International
      • Medicine International
      • Information for Authors
      • Editorial Policies
      • Editorial Board
      • Aims and Scope
      • Abstracting and Indexing
      • Bibliographic Information
      • Archive
  • Articles
  • Information
    • Information for Authors
    • Information for Reviewers
    • Information for Librarians
    • Information for Advertisers
    • Conferences
  • Language Editing
Spandidos Publications Logo
  • About
    • About Spandidos
    • Aims and Scopes
    • Abstracting and Indexing
    • Editorial Policies
    • Reprints and Permissions
    • Job Opportunities
    • Terms and Conditions
    • Contact
  • Journals
    • All Journals
    • Biomedical Reports
      • Information for Authors
      • Editorial Policies
      • Editorial Board
      • Aims and Scope
      • Abstracting and Indexing
      • Bibliographic Information
      • Archive
    • Experimental and Therapeutic Medicine
      • Information for Authors
      • Editorial Policies
      • Editorial Board
      • Aims and Scope
      • Abstracting and Indexing
      • Bibliographic Information
      • Archive
    • International Journal of Epigenetics
      • Information for Authors
      • Editorial Policies
      • Editorial Board
      • Aims and Scope
      • Abstracting and Indexing
      • Bibliographic Information
      • Archive
    • International Journal of Functional Nutrition
      • Information for Authors
      • Editorial Policies
      • Editorial Board
      • Aims and Scope
      • Abstracting and Indexing
      • Bibliographic Information
      • Archive
    • International Journal of Molecular Medicine
      • Information for Authors
      • Editorial Policies
      • Editorial Board
      • Aims and Scope
      • Abstracting and Indexing
      • Bibliographic Information
      • Archive
    • International Journal of Oncology
      • Information for Authors
      • Editorial Policies
      • Editorial Board
      • Aims and Scope
      • Abstracting and Indexing
      • Bibliographic Information
      • Archive
    • Medicine International
      • Information for Authors
      • Editorial Policies
      • Editorial Board
      • Aims and Scope
      • Abstracting and Indexing
      • Bibliographic Information
      • Archive
    • Molecular and Clinical Oncology
      • Information for Authors
      • Editorial Policies
      • Editorial Board
      • Aims and Scope
      • Abstracting and Indexing
      • Bibliographic Information
      • Archive
    • Molecular Medicine Reports
      • Information for Authors
      • Editorial Policies
      • Editorial Board
      • Aims and Scope
      • Abstracting and Indexing
      • Bibliographic Information
      • Archive
    • Oncology Letters
      • Information for Authors
      • Editorial Policies
      • Editorial Board
      • Aims and Scope
      • Abstracting and Indexing
      • Bibliographic Information
      • Archive
    • Oncology Reports
      • Information for Authors
      • Editorial Policies
      • Editorial Board
      • Aims and Scope
      • Abstracting and Indexing
      • Bibliographic Information
      • Archive
    • World Academy of Sciences Journal
      • Information for Authors
      • Editorial Policies
      • Editorial Board
      • Aims and Scope
      • Abstracting and Indexing
      • Bibliographic Information
      • Archive
  • Articles
  • Information
    • For Authors
    • For Reviewers
    • For Librarians
    • For Advertisers
    • Conferences
  • Language Editing
Login Register Submit
  • This site uses cookies
  • You can change your cookie settings at any time by following the instructions in our Cookie Policy. To find out more, you may read our Privacy Policy.

    I agree
Search articles by DOI, keyword, author or affiliation
Search
Advanced Search
presentation
Experimental and Therapeutic Medicine
Join Editorial Board Propose a Special Issue
Print ISSN: 1792-0981 Online ISSN: 1792-1015
Journal Cover
June-2023 Volume 25 Issue 6

Full Size Image

Sign up for eToc alerts
Recommend to Library

Journals

International Journal of Molecular Medicine

International Journal of Molecular Medicine

International Journal of Molecular Medicine is an international journal devoted to molecular mechanisms of human disease.

International Journal of Oncology

International Journal of Oncology

International Journal of Oncology is an international journal devoted to oncology research and cancer treatment.

Molecular Medicine Reports

Molecular Medicine Reports

Covers molecular medicine topics such as pharmacology, pathology, genetics, neuroscience, infectious diseases, molecular cardiology, and molecular surgery.

Oncology Reports

Oncology Reports

Oncology Reports is an international journal devoted to fundamental and applied research in Oncology.

Experimental and Therapeutic Medicine

Experimental and Therapeutic Medicine

Experimental and Therapeutic Medicine is an international journal devoted to laboratory and clinical medicine.

Oncology Letters

Oncology Letters

Oncology Letters is an international journal devoted to Experimental and Clinical Oncology.

Biomedical Reports

Biomedical Reports

Explores a wide range of biological and medical fields, including pharmacology, genetics, microbiology, neuroscience, and molecular cardiology.

Molecular and Clinical Oncology

Molecular and Clinical Oncology

International journal addressing all aspects of oncology research, from tumorigenesis and oncogenes to chemotherapy and metastasis.

World Academy of Sciences Journal

World Academy of Sciences Journal

Multidisciplinary open-access journal spanning biochemistry, genetics, neuroscience, environmental health, and synthetic biology.

International Journal of Functional Nutrition

International Journal of Functional Nutrition

Open-access journal combining biochemistry, pharmacology, immunology, and genetics to advance health through functional nutrition.

International Journal of Epigenetics

International Journal of Epigenetics

Publishes open-access research on using epigenetics to advance understanding and treatment of human disease.

Medicine International

Medicine International

An International Open Access Journal Devoted to General Medicine.

Journal Cover
June-2023 Volume 25 Issue 6

Full Size Image

Sign up for eToc alerts
Recommend to Library

  • Article
  • Citations
    • Cite This Article
    • Download Citation
    • Create Citation Alert
    • Remove Citation Alert
    • Cited By
  • Similar Articles
    • Related Articles (in Spandidos Publications)
    • Similar Articles (Google Scholar)
    • Similar Articles (PubMed)
  • Download PDF
  • Download XML
  • View XML
Article Open Access

ADAM metallopeptidase domain 10 knockdown enables podocytes to resist high glucose stimulation by inhibiting pyroptosis via MAPK pathway

  • Authors:
    • Chunjie Sui
    • Dan Zhou
  • View Affiliations / Copyright

    Affiliations: Department of General Practice, The First Affiliated Hospital of Harbin Medical University, Harbin, Heilongjiang 150001, P.R. China, Department of Ophthalmology, The First Dongguan Affiliated Hospital of Guangdong Medical University, Dongguan, Guangdong 523710, P.R. China
    Copyright: © Sui et al. This is an open access article distributed under the terms of Creative Commons Attribution License.
  • Article Number: 260
    |
    Published online on: April 18, 2023
       https://doi.org/10.3892/etm.2023.11959
  • Expand metrics +
Metrics: Total Views: 0 (Spandidos Publications: | PMC Statistics: )
Metrics: Total PDF Downloads: 0 (Spandidos Publications: | PMC Statistics: )
Cited By (CrossRef): 0 citations Loading Articles...

This article is mentioned in:



Abstract

Diabetic nephropathy (DN) is a common severe microvascular complication of diabetes mellitus, and podocyte damage occurs in the early stages of DN. The urine of patients with various types of glomerular disease presents increased levels of ADAM metallopeptidase domain 10 (ADAM10). The present study aimed to explore the role of ADAM10 in podocyte damage. Therefore, the expression of ADAM10 in high glucose (HG)‑stimulated podocytes was measured by reverse transcription‑qPCR and western blot. Moreover, the effects of ADAM10 knockdown on podocyte inflammation and apoptosis were determined by ELISA, western blot and TUNEL assay after confirming the efficacy of cell transfection. Subsequently, the effects of ADAM10 knockdown on the MAPK pathway and pyroptosis were assessed by western blot. Through performing the aforementioned experiments, the role of the MAPK pathway in the regulatory effects of ADAM10 was then investigated by pretreating podocytes with pathway agonists. ADAM10 expression was upregulated in HG‑stimulated podocytes, while ADAM10 knockdown suppressed inflammation, apoptosis and pyroptosis of HG‑stimulated podocytes and inhibited the activation of the MAPK signaling pathway. However, when podocytes were pretreated with pathway agonists (LM22B‑10 or p79350), the aforementioned effects of ADAM10 knockdown were suppressed. The present study demonstrated that ADAM10 knockdown suppressed the inflammation, apoptosis and pyroptosis of HG‑stimulated podocytes by blocking the MAPK signaling pathway.

Introduction

Diabetic nephropathy (DN) is a common severe microvascular complication of diabetes mellitus (DM) and is the primary cause of end-stage renal disease (1). The incidence rate of DN in developed and developing countries is increasing annually, and 20-40% of diabetic patients are at risk of developing DN (2). In the early stages of DN, the number of glomerular podocytes decreases, the filtration membrane is destroyed and excessive proteinuria is observed. In addition, due to adhesion between the glomerular basement membrane (GMB) and the upper layer of the wall, focal segmental glomerular sclerosis is formed (3,4). Therein, the podocyte is a type of highly differentiated visceral epithelial cell located outside the GBM. As a key part of the glomerular filtration barrier, the podocyte is responsible for the filtration of proteins and renewal of GBM components (5). A previous study found that podocyte damage occurs in the early stages of DN and pathological alterations such as compensatory hypertrophy and degeneration, extensive fusion and the disappearance of foot processes can be observed under an electron microscope (6). In addition, the programmed death of high glucose (HG)-stimulated podocytes is a cause of glomerular hyperfiltration in the early stages of DN (7).

Pyroptosis is a newly discovered form of programmed cell death characterized by the activation of inflammasomes and cysteine aspartate-specific protease 1 (caspases-1) (8). A previous study suggested that inhibiting inflammatory factors suppresses pyroptosis and attenuates DN (9). Therefore, the inhibition of podocyte pyroptosis may contribute to the development of novel treatment strategies for DN. According to a previous study, increased mRNA levels of ADAM metallopeptidase domain 10 (ADAM10) in urine sediment of patients with type 2 DM indicates that the activity of ADAM10 in podocytes is increased and its expression is associated with dysfunction of proximal tubules in patients with DN (10). Another study revealed that ADAM10 knockdown decreases intrahepatic inflammation in mice with acute liver injury and protects liver function; however, ADAM10 overexpression aggravates inflammation and liver damage (11). Moreover, ADAM10 is associated with the expression of inflammatory cytokines and negatively regulates the inflammatory response (12). In brief, ADAM10 is likely to be a regulatory gene in podocytes and a potential therapeutic target.

The present study used HG to stimulate podocytes to examine the role of ADAM10 in podocyte damage. The current findings may aid in the further understanding of the pathology of DN and promote the development of novel treatment strategies for this condition.

Materials and methods

Cells and cell culture

MPC5 mouse podocytes were obtained from the Shanghai Institute of Cell Biology, Chinese Academy of Sciences. LM22B-10 (ERK1/2 agonist, 5 mM) (13) and p79350 (p38 agonist, 50 µM) (14) were purchased from MedChemExpress. Podocytes were cultured in RPMI-1640 medium (Gibco; Thermo Fisher Scientific, Inc.) supplemented with 10% FBS (Invitrogen; Thermo Fisher Scientific, Inc.), 100 U/ml penicillin and 100 µg/ml streptomycin (Invitrogen; Thermo Fisher Scientific, Inc.). The podocytes were divided into normal glucose (NG, 5 mM glucose), mannitol control (MA, 5 mM glucose + 25 mM mannitol), HG (30 mM glucose) and transfection groups. The podocytes were cultured in an incubator with 5% CO2 at 37˚C.

Cell transfection

The podocytes were plated into a six-well plate at a density of 6x105 cells/well and incubated at 37˚C for 24 h. The podocytes were subsequently transfected with 2 µg/ml pGPU6 short hairpin RNA vector targeting ADAM10 (shRNA-ADAM10) and scrambled shRNA-negative control (NC) (Shanghai GenePharma Co., Ltd.) using Lipofectamine® 2000 reagent (Invitrogen; Thermo Fisher Scientific, Inc.) for 24 h at 37˚C. 24 h after the end of transfection, the cells were utilized in subsequent experiments. Target sequences for shRNA-ADAM10 and shRNA-NC were 5'-GCAAAGATGATAAGGAATTAT-3' and 5'-GACAAGATGATAAGGATATAT-3', respectively.

Reverse transcription-quantitative (RT-q)PCR

Total RNA was extracted from podocytes in a 6-well plate at a density of 2x105 cells/well using TRIzol® reagent (Invitrogen; Thermo Fisher Scientific, Inc.), according to the manufacturer's protocol. Total RNA was reverse-transcribed into cDNA using the ReverTra Ace™ qPCR RT kit (cat. no. FSQ-101; Toyobo Life Science) according to the manufacturer's instructions. qPCR was performed using the SYBR-Green qPCR Master Mix fit (MedChemExpress) using 2 µl cDNA as a template. The following thermocycling conditions were used for qPCR: Initial denaturation at 95˚C for 2 min, followed by 40 cycles of 95˚C for 15 sec and 60˚C for 1 min. The RNA expression levels of ADAM10 were quantified using the 2-∆∆Cq method (15) and normalized to the internal reference gene GAPDH. The following primer pairs were used for qPCR: ADAM10 forward, 5'-TCATCAAGACTCGTGGTGGC-3' and reverse, 5'-GCATGCTTCTCTGGATGTGC-3'; GAPDH forward, 5'-GGGTCCCAGCTTAGGTTCATC-3' and reverse, 5'-TACGGCCAAATCCGTTCACA-3'.

Western blot analysis

Total protein was extracted from the podocytes (2x106) using RIPA lysis (Beyotime Institute of Biotechnology). Total protein was quantified using a BCA assay kit (Beyotime Institute of Biotechnology) and 30 µg protein/lane was separated by SDS-PAGE on a 10% gel (Bio-Rad Laboratories, Inc.). The separated proteins were transferred onto PVDF membranes (MilliporeSigma) and blocked with 5% skimmed milk at room temperature for 1 h. The membranes were incubated overnight at 4˚C with the following primary antibodies: Anti-ADAM10 (1:1,000; cat. no. ab124695; Abcam), anti-cyclooxygenase (COX)-2 (1:1,000; cat. no. ab179800; Abcam), anti-inducible nitric oxide synthase (iNOS; 1:1,000; cat. no. ab178945; Abcam), anti-Bax (1:1,000; cat. no. ab53154; Abcam), anti-Bcl-2 (1:1,000; cat. no. ab59348; Abcam), anti-cleaved caspase-3 (1:1,000; cat. no. PA5-114687; Thermo Fisher Scientific, Inc.), anti-cleaved caspase-9 (1:1,000; cat. no. ABP50009; AmyJet Scientific, Inc.), anti-phosphorylated (p-)ERK1/2 (1:1,000; cat. no. ab176640; Abcam), anti-ERK1/2 (1:1,000; cat. no. ab17942; Abcam), anti-p-p38 (1:1,000; cat. no. ab4822; Abcam), anti-p38 (1:2,000; cat. no. ab170099; Abcam), anti-p-JNK (1:5,000; cat. no. ab124956; Abcam), anti-JNK (1:500; cat. no. ab208035; Abcam), anti-NLR family pyrin domain containing 3 (NLRP3; 1:1,000; cat. no. ab263899; Abcam), anti-cleaved caspase-1 (1:1,000; cat. no. sc-22166; Santa Cruz Biotechnology, Inc.), anti-apoptosis-associated speck-like protein containing a CARD (ASC; 1:1,000; cat. no. ARG41743; Arigo Biolaboratories Corp.), anti-caspase-1 (1:1,000; cat. no. 3019-100; AmyJet Scientific, Inc.), anti-cleaved N-terminal gasdermin-D (GSDMD-N; 1:1,000; cat. no. DF13758; Affinity Biosciences, Ltd.), anti-podocin (1:1,000; cat. no. 113216; NovoPro Bioscience, Inc.), anti-CD2-associated protein (CD2AP; 1:1,000; cat. no. DF2298; Affinity Biosciences, Ltd.), anti-nephrin (1:2,000; cat. no. DF7501; Affinity Biosciences, Ltd.) and anti-GAPDH (1:2,000; cat. no. MA1-16757; Thermo Fisher Scientific, Inc.). Following primary antibody incubation, the membranes were incubated with a horseradish peroxidase-conjugated goat anti-rabbit IgG secondary antibody (1:2,000; cat. no. ab6721; Abcam) for 1 h at room temperature. The membranes were visualized using Hypersensitive ECL kit (Hanbio Biotechnology Co., Ltd.). Blots were quantified using ImageJ v1.52 software (National Institutes of Health).

ELISA

The podocytes seeded into a 24-well plate (5x104 cells/well) were centrifuged at 500 x g for 5 min at 4˚C and supernatant was collected. The levels of TNF-α (cat. no. ZC-39024), IL-6 (cat. no. ZC-37988), IL-1β (cat. no. ZC-37974) and IL-18 (cat. no. ZC-37973; all ZCIBIO Technology Co., Ltd.) in the podocytes were measured using ELISA kits, according to the manufacturer's instructions. A microplate reader (Molecular Devices, LLC) was used to measure the optical density at 450 nm.

TUNEL assay

The podocytes were seeded into a 24-well plate at a density of 5x105 cells/well. After reaching 70-80% confluency, the podocytes were fixed with 4% paraformaldehyde for 30 min and treated with permeable fluid for a further 5 min, both at room temperature. TUNEL staining was performed at 37˚C for 1 h using the TUNEL assay kit (cat. no. C1086; Beyotime Institute of Biotechnology), according to the manufacturer's protocol. 1 mg/ml DAPI (Beyotime Institute of Biotechnology) was used to counterstain the nuclei for 10 min at room temperature. The results were observed in five random fields of view under a fluorescence microscope (magnification, x200; Olympus Corporation).

Statistical analysis

Graph Pad Prism 8.0 software (GraphPad Software; Dotmatics) was utilized to analyze all the experimental data. Data are presented as the mean ± standard deviation (n=3). One-way ANOVA followed by Tukey's post hoc test was applied to compare differences between groups. P<0.05 was considered to indicate a statistically significant difference.

Results

ADAM10 knockdown inhibits HG-induced podocyte inflammation and apoptosis

The expression levels of ADAM10 were determined using RT-qPCR and western blot analysis (Fig. 1A and B). ADAM10 expression was significantly upregulated in the HG group compared with that in the NG group, while it was downregulated in the ADAM10 knockdown group compared with that in the HG + sh-NC group. The HG + sh-ADAM10-1 group showed a greater decrease in ADAM10-1 mRNA and protein levels; therefore, this group of podocytes was used as the ADAM10-1 knockdown group in subsequent experiments. The levels of inflammatory factors in podocytes were measured using ELISA kits (Fig. 1C). The levels of TNF-α, IL-1β, IL-6 and IL-18 in the HG group were upregulated compared with those in the NG group, whereas the levels of these cytokines were decreased in the HG + sh-ADAM10 group compared with those in the HG + sh-NC group. In addition, protein expression levels of iNOS and COX-2 were semi-quantified using western blot analysis (Fig. 1D). Expression levels of iNOS and COX-2 were increased in the HG group compared with those in the NG group and decreased in the HG + sh-ADAM10 group compared with those in the HG + sh-NC group. These results suggested that ADAM10 knockdown inhibited HG-induced podocyte inflammation.

Figure 1

ADAM10 knockdown inhibits HG-induced podocyte inflammation. The expression levels of ADAM10 were measured using (A) reverse transcription-quantitative PCR and (B) western blot analysis. (C) Levels of inflammatory factors in podocytes were determined using ELISA kits. (D) Protein expression levels of iNOS and COX-2 were semi-quantified using western blot analysis. *P<0.05 and ***P<0.001. ADAM10, ADAM metallopeptidase domain 10; NG, normal glucose; MA, mannitol; HG, high glucose; iNOS, inducible nitric oxide synthase; COX-2, cyclooxygenase 2; sh, short hairpin; NC, negative control.

Moreover, levels of the podocyte markers podocin, CD2AP and nephrin significantly decreased following HG treatment compared with those in the NG group, whereas ADAM10 knockdown increased the levels of these protein levels compared with those in the HG + sh-NC group (Fig. 2A). Podocyte apoptosis levels in each group were evaluated using the TUNEL assay (Fig. 2B and C). The apoptotic podocytes in the HG group emitted more fluorescence than the NG group, whereas the HG + sh-ADAM10 group did not emit as much fluorescence. Subsequently, expression levels of proteins related to apoptosis were assessed using western blot analysis (Fig. 2D). The protein levels of Bax, cleaved caspase-3 and cleaved caspase-9 were increased in the HG group, while ADAM10 knockdown counteracted the effect of HG induction. However, the expression of Bcl-2 was decreased in the HG group, whereas it increased following ADAM10 knockdown. These results indicated that HG induced the apoptosis of podocytes, whereas ADAM10 knockdown attenuated apoptosis.

Figure 2

ADAM10 knockdown inhibits HG-induced podocyte apoptosis. (A) Podocyte markers were evaluated using western blot analysis. (B) Podocyte apoptosis was evaluated using the TUNEL assay. (C) Apoptotic rate was obtained according to the results of the TUNEL assay. (D) Expression levels of proteins related to apoptosis were assessed using western blot analysis. ***P<0.001. ADAM10, ADAM metallopeptidase domain 10; NG, normal glucose; MA, mannitol; HG, high glucose; sh, short hairpin; NC, negative control.

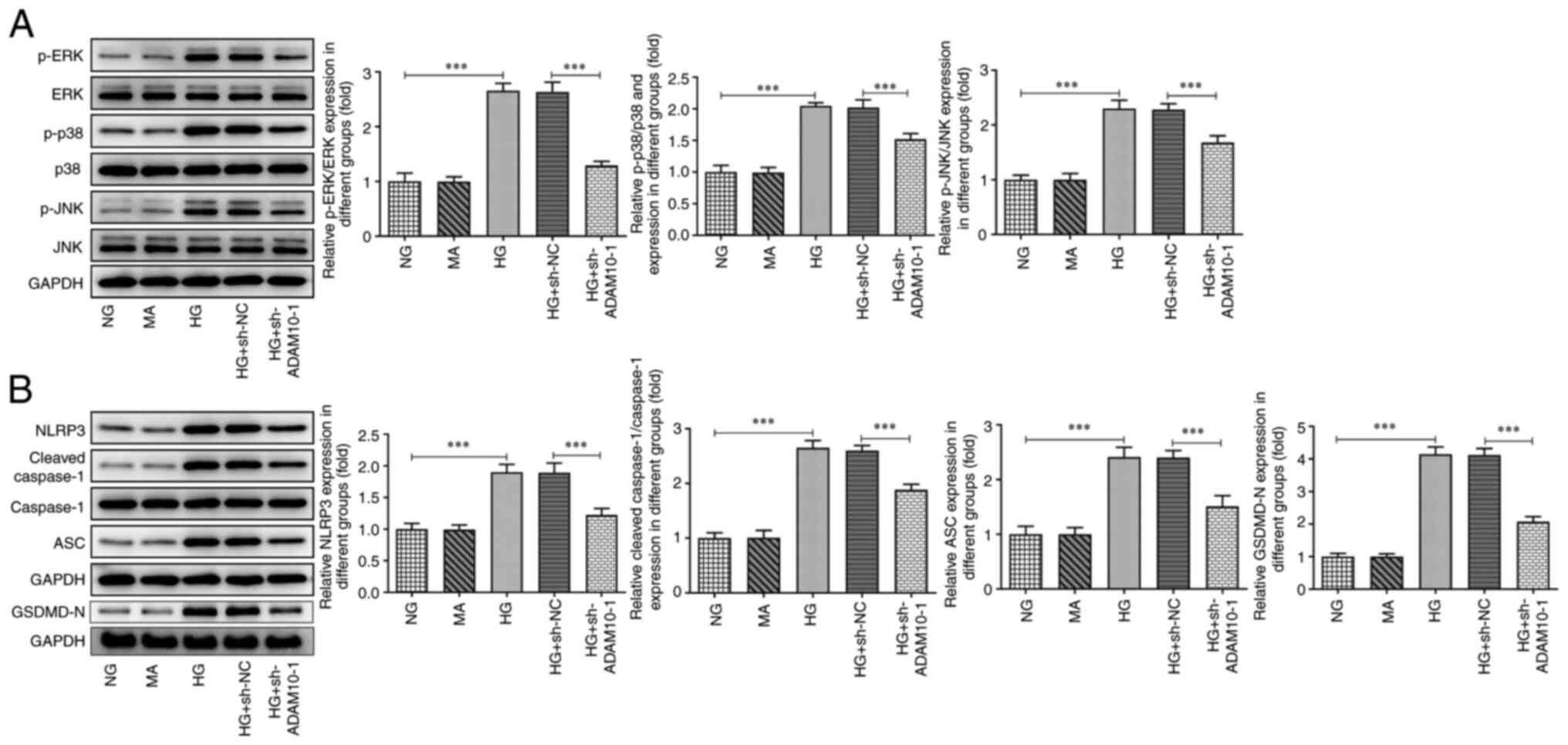
ADAM10 knockdown inhibits the MAPK signaling pathway and pyroptosis

The expression levels of MAPK-associated proteins were assessed using western blot analysis (Fig. 3A). The expression levels of p-ERK, p-p38 and p-JNK were increased in the HG group compared with those in the NG group. ADAM10 knockdown decreased these expression levels compared with those in the HG + sh-NC group. Furthermore, the expression levels of pyroptosis-associated proteins were assessed using western blot analysis (Fig. 3B). The expression levels of NLRP3, cleaved caspase-1, ASC and GSDMD-N were increased in the HG group, whereas ADAM10 knockdown attenuated this effect. These results indicated that ADAM10 blocked the MAPK signaling pathway and suppressed pyroptosis.

Figure 3

ADAM10 knockdown inhibits activation of the MAPK signaling pathway and HG-induced pyroptosis. Expression levels of (A) MAPK- and (B) pyroptosis-related proteins were assessed using western blot analysis. ***P<0.001. ADAM10, ADAM metallopeptidase domain 10; NG, normal glucose; MA, mannitol; HG, high glucose; sh, short hairpin; NC, negative control; p-, phosphorylated.

ADAM10 knockdown inhibits HG-induced podocyte inflammation, apoptosis and pyroptosis by blocking the MAPK signaling pathway

Podocytes were pretreated with LM22B-10 or p79350 to investigate the role of the MAPK signaling pathway in the regulatory effects of ADAM10. Subsequently, levels of inflammatory factors and inflammation-related proteins in each group of podocytes were measured using ELISA kits and western blot analysis, respectively (Fig. 4A and B). The levels of inflammatory factors and expression of COX-2 and iNOS in podocytes pretreated with agonists increased, attenuating the inhibitory effects of ADAM10 knockdown on podocyte inflammation. The levels of podocyte markers decreased in response to LM22B-10 or p79350 pretreatment compared with those in the HG + sh-ADAM10 group (Fig. 4C). The apoptosis of podocytes in each group was assessed using TUNEL assay and western blot analysis (Fig. 4D-F). TUNEL assay demonstrated that the apoptotic rates of podocytes pretreated with agonist increased compared with those in the HG + sh-ADAM10 group, exhibiting a higher fluorescence intensity. The protein levels of Bax, cleaved caspase-3 and cleaved caspase-9 were increased in the pretreatment groups, whereas the expression of Bcl-2 decreased. The addition of the agonists also attenuated the inhibitory effects of AMAD10 knockdown on podocyte apoptosis. Finally, the effects of agonists on the expression levels of pyroptosis-associated proteins were evaluated using western blot analysis (Fig. 5). The levels of NLRP3, cleaved caspase-1, ASC and GSDMD-N were increased in the pretreatment groups as a consequence of the activation of the pathway. These results suggested that activation of the MAPK signaling pathway attenuated the suppressive effects of AMAD10 knockdown on podocyte inflammation, apoptosis and pyroptosis.

Figure 4

ADAM10 knockdown inhibits HG-induced podocyte inflammation and apoptosis by blocking the MAPK signaling pathway. (A) Effects of pathway agonists on levels of inflammatory factors in podocytes were determined using the corresponding ELISA kits. Effects of pathway agonists on (B) protein expression levels of inflammation-related proteins and (C) podocyte markers were evaluated using western blot analysis. (D) Effects of pathway agonists on apoptosis were evaluated using TUNEL assay. (E) Apoptosis rate was calculated according to the results of TUNEL assay. (F) Effects of pathway agonists on the expression levels of proteins associated with apoptosis were assessed using western blot analysis. *P<0.05, **P<0.01 and ***P<0.001. ADAM10, ADAM metallopeptidase domain 10; NG, normal glucose; HG, high glucose; sh, short hairpin; NC, negative control.

Figure 5

ADAM10 knockdown inhibits HG-induced podocyte pyroptosis by blocking the MAPK signaling pathway. The effects of pathway agonists on expression levels of pyroptosis-associated proteins were evaluated using western blot analysis. **P<0.01, ***P<0.001. ADAM10, ADAM metallopeptidase domain 10; NG, normal glucose; HG, high glucose; sh, short hairpin; NC, negative control.

Discussion

At present, the clinical treatment options for patients with DN are limited and primarily include strict control of blood glucose levels, a high-quality, low-protein diet and administration of angiotensin II type 1 receptor antagonists and angiotensin II converting enzyme inhibitors (16). However, there is a lack of effective therapeutic drugs to protect cells from programmed death. Although the pathogenesis of DN remains unclear (17), podocyte damage is involved in the development of this disease (18), which provides innovative directions for prevention and control of DN. Some studies have demonstrated that inflammation is a key factor that promotes DN renal podocyte damage and proteinuria (19-21). The secretion of inflammatory factors is unregulated in the early stages of DN and the expression of IL-1, IL-6, TNF-α and other inflammatory factors significantly increases (22). This is also identified in the podocytes of mice cultured under HG conditions, where the secretion of inflammatory factors is elevated (23). The present study demonstrated that ADAM10 expression was upregulated in podocytes stimulated with HG and that ADAM10 knockdown inhibited podocyte inflammation and apoptosis. These findings indicated that the expression of ADAM10 could affect the state of podocytes; thus, monitoring the expression of ADAM10 may prove to be useful for the diagnosis of clinical diabetes.

Preliminary exploration of the signaling pathway regulated by ADAM10 was performed in the present study. ADAM10 is a sheddase capable of hydrolyzing >30 transmembrane proteins. The effector secreted by enteropathogenic Escherichia coli III stimulates the sheddase activity of ADAM10 and the signaling cascade of ERK and p38 MAPK (24). This suggests a certain connection between ADAM10 and the MAPK signaling pathway. In addition, a previous study indicated that ADAM10 regulates p38 MAPK-mediated NF-κBp65 activity to induce astrocyte inflammation (25). In the present study, HG led to an increase in expression levels of proteins related to the MAPK signaling pathway, whereas ADAM10 knockdown attenuated this effect. Furthermore, ADAM10 knockdown decreased the increase in the levels of pyroptosis-related proteins induced by HG. In summary, the MAPK signaling pathway mediated the regulatory effects of ADAM10 on podocyte pyroptosis. Notably, a functional ginger extract decreases pyroptosis and the release of mature IL-1β and IL-18 by preventing MAPK activation (26). Moreover, a sesquiterpene lactone derivative decreases HG-induced podocyte damage by inhibiting the NF-κB and MAPK signaling pathways (27). In addition to pyroptosis, in the present study, ADAM10 knockdown regulated podocyte inflammation and apoptosis by inhibiting the activation of the MAPK pathway. The exploration of the regulatory effects of ADAM10 on podocyte damage may lead to a more in-depth understanding of the pathogenesis or progression of DN. However, the present study was limited to investigation of the regulatory effects of ADAM10 on the MAPK pathway; thus, further studies are required to investigate the underlying mechanisms in more detail.

In conclusion, the present study demonstrated that ADAM10 knockdown inhibited the MAPK signaling pathway, and thereby inhibited pyroptosis, inflammation and apoptosis of HG-stimulated podocytes. The findings of the present study may provide insight into the pathological mechanisms of DN and a theoretical basis for the development of clinical treatments for this condition.

Acknowledgements

Not applicable.

Funding

Funding: No funding was received.

Availability of data and materials

The datasets used and/or analyzed during the present study are available from the corresponding author on reasonable request.

Authors' contributions

CS and DZ designed the study, analyzed data and wrote the manuscript. CS and DZ confirm the authenticity of all the raw data. All authors have read and approved the final manuscript.

Ethics approval and consent to participate

Not applicable.

Patient consent for publication

Not applicable.

Competing interests

The authors declare that they have no competing interests.

References

1 

Sagoo MK and Gnudi L: Diabetic nephropathy: An overview. Methods Mol Biol. 2067:3–7. 2020.PubMed/NCBI View Article : Google Scholar

2 

Gheith O, Farouk N, Nampoory N, Halim MA and Al-Otaibi T: Diabetic kidney disease: World wide difference of prevalence and risk factors. J Nephropharmacol. 5:49–56. 2016.PubMed/NCBI

3 

Szrejder M and Piwkowska A: AMPK signalling: Implications for podocyte biology in diabetic nephropathy. Biol Cell. 111:109–120. 2019.PubMed/NCBI View Article : Google Scholar

4 

Eftekhari A, Vahed SZ, Kavetskyy T, Rameshrad M, Jafari S, Chodari L, Hosseiniyan SM, Derakhshankhah H, Ahmadian E and Ardalan M: Cell junction proteins: Crossing the glomerular filtration barrier in diabetic nephropathy. Int J Biol Macromol. 148:475–482. 2020.PubMed/NCBI View Article : Google Scholar

5 

An X, Zhang L, Yuan Y, Wang B, Yao Q, Li L and Zhang J, He M and Zhang J: Hyperoside pre-treatment prevents glomerular basement membrane damage in diabetic nephropathy by inhibiting podocyte heparanase expression. Sci Rep. 7(6413)2017.PubMed/NCBI View Article : Google Scholar

6 

Dai H, Liu Q and Liu B: Research progress on mechanism of podocyte depletion in diabetic nephropathy. J Diabetes Res. 2017(2615286)2017.PubMed/NCBI View Article : Google Scholar

7 

Chagnac A, Zingerman B, Rozen-Zvi B and Herman-Edelstein M: Consequences of glomerular hyperfiltration: The role of physical forces in the pathogenesis of chronic kidney disease in diabetes and obesity. Nephron. 143:38–42. 2019.PubMed/NCBI View Article : Google Scholar

8 

Tsuchiya K: Inflammasome-associated cell death: Pyroptosis, apoptosis, and physiological implications. Microbiol Immunol. 64:252–269. 2020.PubMed/NCBI View Article : Google Scholar

9 

Li X, Zeng L, Cao C, Lu C, Lian W, Han J, Zhang X, Zhang J, Tang T and Li M: Long noncoding RNA MALAT1 regulates renal tubular epithelial pyroptosis by modulated miR-23c targeting of ELAVL1 in diabetic nephropathy. Exp Cell Res. 350:327–335. 2017.PubMed/NCBI View Article : Google Scholar

10 

Petrica L, Ursoniu S, Gadalean F, Vlad A, Gluhovschi G, Dumitrascu V, Vlad D, Gluhovschi C, Velciov S, Bob F, et al: Urinary podocyte-associated mRNA levels correlate with proximal tubule dysfunction in early diabetic nephropathy of type 2 diabetes mellitus. Diabetol Metab Syndr. 9(31)2017.PubMed/NCBI View Article : Google Scholar

11 

Cheng W, Meng W and Gu Y: Metalloprotease Adam10 inhibition mitigates acute liver injury via repression of intrahepatic inflammation. Minerva Med. 113:506–512. 2020.PubMed/NCBI View Article : Google Scholar

12 

Zhang W, Lu F, Xie Y, Lin Y, Zhao T, Tao S, Lai Z, Wei N, Yang R, Shao Y and He J: miR-23b negatively regulates sepsis-induced inflammatory responses by targeting ADAM10 in human THP-1 monocytes. Mediators Inflamm. 2019(5306541)2019.PubMed/NCBI View Article : Google Scholar

13 

Xu Y, Ma Y, Liu XL and Gao SL: miR-133b affects cell proliferation, invasion and chemosensitivity in renal cell carcinoma by inhibiting the ERK signaling pathway. Mol Med Rep. 22:67–76. 2020.PubMed/NCBI View Article : Google Scholar

14 

Jiang QG, Xiong CF and Lv YX: Kin17 facilitates thyroid cancer cell proliferation, migration, and invasion by activating p38 MAPK signaling pathway. Mol Cell Biochem. 476:727–739. 2021.PubMed/NCBI View Article : Google Scholar

15 

Livak KJ and Schmittgen TD: Analysis of relative gene expression data using real-time quantitative PCR and the 2(-Delta Delta C(T)) method. Methods. 25:402–408. 2001.PubMed/NCBI View Article : Google Scholar

16 

Wang Y, Wang C, Zhang X, Gu HF and Wu L: Common drugs for stabilization of renal function in the progression of diabetic nephropathy and their relations with hypertension therapy. Curr Diabetes Rev. 14:149–161. 2018.PubMed/NCBI View Article : Google Scholar

17 

Xiong Y and Zhou L: The signaling of cellular senescence in diabetic nephropathy. Oxid Med Cell Longev. 2019(7495629)2019.PubMed/NCBI View Article : Google Scholar

18 

Tung CW, Hsu YC, Shih YH, Chang PJ and Lin CL: Glomerular mesangial cell and podocyte injuries in diabetic nephropathy. Nephrology (Carlton). 23 (Suppl 4):S32–S37. 2018.PubMed/NCBI View Article : Google Scholar

19 

Moreno JA, Gomez-Guerrero C, Mas S, Sanz AB, Lorenzo O, Ruiz-Ortega M, Opazo L, Mezzano S and Egido J: Targeting inflammation in diabetic nephropathy: A tale of hope. Expert Opin Investig Drugs. 27:917–930. 2018.PubMed/NCBI View Article : Google Scholar

20 

An X, Zhang Y, Cao Y, Chen J, Qin H and Yang L: Punicalagin protects diabetic nephropathy by inhibiting pyroptosis based on TXNIP/NLRP3 pathway. Nutrients. 12(1516)2020.PubMed/NCBI View Article : Google Scholar

21 

Koka S, Xia M, Zhang C, Zhang Y, Li PL and Boini KM: Podocyte NLRP3 inflammasome activation and formation by Adipokine Visfatin. Cell Physiol Biochem. 53:355–365. 2019.PubMed/NCBI View Article : Google Scholar

22 

Chen Y, Liu Q, Shan Z, Zhao Y, Li M, Wang B, Zheng X and Feng W: The protective effect and mechanism of catalpol on high glucose-induced podocyte injury. BMC Complement Altern Med. 19(244)2019.PubMed/NCBI View Article : Google Scholar

23 

Chen L, Wang Y, Luan H, Ma G, Zhang H and Chen G: DUSP6 protects murine podocytes from high glucose-induced inflammation and apoptosis. Mol Med Rep. 22:2273–2282. 2020.PubMed/NCBI View Article : Google Scholar

24 

Ramachandran RP, Spiegel C, Keren Y, Danieli T, Melamed-Book N, Pal RR, Zlotkin-Rivkin E, Rosenshine I and Aroeti B: Mitochondrial targeting of the enteropathogenic escherichia coli map triggers calcium mobilization, ADAM10-MAP kinase signaling, and host cell apoptosis. mBio. 11:e01397–e01320. 2020.PubMed/NCBI View Article : Google Scholar

25 

Park JH, Choi JY, Jo C and Koh YH: Involvement of ADAM10 in acrolein-induced astrocytic inflammation. Toxicol Lett. 318:44–49. 2020.PubMed/NCBI View Article : Google Scholar

26 

Zhang FL, Zhou BW, Yan ZZ, Zhao J, Zhao BC, Liu WF, Li C and Liu KX: 6-Gingerol attenuates macrophages pyroptosis via the inhibition of MAPK signaling pathways and predicts a good prognosis in sepsis. Cytokine. 125(154854)2020.PubMed/NCBI View Article : Google Scholar

27 

Chen XW, Liu WT, Wang YX, Chen WJ, Li HY, Chen YH, Du XY, Peng FF, Zhou WD, Xu ZZ and Long HB: Cyclopropanyldehydrocostunolide LJ attenuates high glucose-induced podocyte injury by suppressing RANKL/RANK-mediated NF-κB and MAPK signaling pathways. J Diabetes Complications. 30:760–769. 2016.PubMed/NCBI View Article : Google Scholar

Related Articles

  • Abstract
  • View
  • Download
  • Twitter
Copy and paste a formatted citation
Spandidos Publications style
Sui C and Zhou D: ADAM metallopeptidase domain 10 knockdown enables podocytes to resist high glucose stimulation by inhibiting pyroptosis via MAPK pathway. Exp Ther Med 25: 260, 2023.
APA
Sui, C., & Zhou, D. (2023). ADAM metallopeptidase domain 10 knockdown enables podocytes to resist high glucose stimulation by inhibiting pyroptosis via MAPK pathway. Experimental and Therapeutic Medicine, 25, 260. https://doi.org/10.3892/etm.2023.11959
MLA
Sui, C., Zhou, D."ADAM metallopeptidase domain 10 knockdown enables podocytes to resist high glucose stimulation by inhibiting pyroptosis via MAPK pathway". Experimental and Therapeutic Medicine 25.6 (2023): 260.
Chicago
Sui, C., Zhou, D."ADAM metallopeptidase domain 10 knockdown enables podocytes to resist high glucose stimulation by inhibiting pyroptosis via MAPK pathway". Experimental and Therapeutic Medicine 25, no. 6 (2023): 260. https://doi.org/10.3892/etm.2023.11959
Copy and paste a formatted citation
x
Spandidos Publications style
Sui C and Zhou D: ADAM metallopeptidase domain 10 knockdown enables podocytes to resist high glucose stimulation by inhibiting pyroptosis via MAPK pathway. Exp Ther Med 25: 260, 2023.
APA
Sui, C., & Zhou, D. (2023). ADAM metallopeptidase domain 10 knockdown enables podocytes to resist high glucose stimulation by inhibiting pyroptosis via MAPK pathway. Experimental and Therapeutic Medicine, 25, 260. https://doi.org/10.3892/etm.2023.11959
MLA
Sui, C., Zhou, D."ADAM metallopeptidase domain 10 knockdown enables podocytes to resist high glucose stimulation by inhibiting pyroptosis via MAPK pathway". Experimental and Therapeutic Medicine 25.6 (2023): 260.
Chicago
Sui, C., Zhou, D."ADAM metallopeptidase domain 10 knockdown enables podocytes to resist high glucose stimulation by inhibiting pyroptosis via MAPK pathway". Experimental and Therapeutic Medicine 25, no. 6 (2023): 260. https://doi.org/10.3892/etm.2023.11959
Follow us
  • Twitter
  • LinkedIn
  • Facebook
About
  • Spandidos Publications
  • Careers
  • Cookie Policy
  • Privacy Policy
How can we help?
  • Help
  • Live Chat
  • Contact
  • Email to our Support Team