Spandidos Publications Logo
  • About
    • About Spandidos
    • Aims and Scopes
    • Abstracting and Indexing
    • Editorial Policies
    • Reprints and Permissions
    • Job Opportunities
    • Terms and Conditions
    • Contact
  • Journals
    • All Journals
    • Oncology Letters
      • Oncology Letters
      • Information for Authors
      • Editorial Policies
      • Editorial Board
      • Aims and Scope
      • Abstracting and Indexing
      • Bibliographic Information
      • Archive
    • International Journal of Oncology
      • International Journal of Oncology
      • Information for Authors
      • Editorial Policies
      • Editorial Board
      • Aims and Scope
      • Abstracting and Indexing
      • Bibliographic Information
      • Archive
    • Molecular and Clinical Oncology
      • Molecular and Clinical Oncology
      • Information for Authors
      • Editorial Policies
      • Editorial Board
      • Aims and Scope
      • Abstracting and Indexing
      • Bibliographic Information
      • Archive
    • Experimental and Therapeutic Medicine
      • Experimental and Therapeutic Medicine
      • Information for Authors
      • Editorial Policies
      • Editorial Board
      • Aims and Scope
      • Abstracting and Indexing
      • Bibliographic Information
      • Archive
    • International Journal of Molecular Medicine
      • International Journal of Molecular Medicine
      • Information for Authors
      • Editorial Policies
      • Editorial Board
      • Aims and Scope
      • Abstracting and Indexing
      • Bibliographic Information
      • Archive
    • Biomedical Reports
      • Biomedical Reports
      • Information for Authors
      • Editorial Policies
      • Editorial Board
      • Aims and Scope
      • Abstracting and Indexing
      • Bibliographic Information
      • Archive
    • Oncology Reports
      • Oncology Reports
      • Information for Authors
      • Editorial Policies
      • Editorial Board
      • Aims and Scope
      • Abstracting and Indexing
      • Bibliographic Information
      • Archive
    • Molecular Medicine Reports
      • Molecular Medicine Reports
      • Information for Authors
      • Editorial Policies
      • Editorial Board
      • Aims and Scope
      • Abstracting and Indexing
      • Bibliographic Information
      • Archive
    • World Academy of Sciences Journal
      • World Academy of Sciences Journal
      • Information for Authors
      • Editorial Policies
      • Editorial Board
      • Aims and Scope
      • Abstracting and Indexing
      • Bibliographic Information
      • Archive
    • International Journal of Functional Nutrition
      • International Journal of Functional Nutrition
      • Information for Authors
      • Editorial Policies
      • Editorial Board
      • Aims and Scope
      • Abstracting and Indexing
      • Bibliographic Information
      • Archive
    • International Journal of Epigenetics
      • International Journal of Epigenetics
      • Information for Authors
      • Editorial Policies
      • Editorial Board
      • Aims and Scope
      • Abstracting and Indexing
      • Bibliographic Information
      • Archive
    • Medicine International
      • Medicine International
      • Information for Authors
      • Editorial Policies
      • Editorial Board
      • Aims and Scope
      • Abstracting and Indexing
      • Bibliographic Information
      • Archive
  • Articles
  • Information
    • Information for Authors
    • Information for Reviewers
    • Information for Librarians
    • Information for Advertisers
    • Conferences
  • Language Editing
Spandidos Publications Logo
  • About
    • About Spandidos
    • Aims and Scopes
    • Abstracting and Indexing
    • Editorial Policies
    • Reprints and Permissions
    • Job Opportunities
    • Terms and Conditions
    • Contact
  • Journals
    • All Journals
    • Biomedical Reports
      • Information for Authors
      • Editorial Policies
      • Editorial Board
      • Aims and Scope
      • Abstracting and Indexing
      • Bibliographic Information
      • Archive
    • Experimental and Therapeutic Medicine
      • Information for Authors
      • Editorial Policies
      • Editorial Board
      • Aims and Scope
      • Abstracting and Indexing
      • Bibliographic Information
      • Archive
    • International Journal of Epigenetics
      • Information for Authors
      • Editorial Policies
      • Editorial Board
      • Aims and Scope
      • Abstracting and Indexing
      • Bibliographic Information
      • Archive
    • International Journal of Functional Nutrition
      • Information for Authors
      • Editorial Policies
      • Editorial Board
      • Aims and Scope
      • Abstracting and Indexing
      • Bibliographic Information
      • Archive
    • International Journal of Molecular Medicine
      • Information for Authors
      • Editorial Policies
      • Editorial Board
      • Aims and Scope
      • Abstracting and Indexing
      • Bibliographic Information
      • Archive
    • International Journal of Oncology
      • Information for Authors
      • Editorial Policies
      • Editorial Board
      • Aims and Scope
      • Abstracting and Indexing
      • Bibliographic Information
      • Archive
    • Medicine International
      • Information for Authors
      • Editorial Policies
      • Editorial Board
      • Aims and Scope
      • Abstracting and Indexing
      • Bibliographic Information
      • Archive
    • Molecular and Clinical Oncology
      • Information for Authors
      • Editorial Policies
      • Editorial Board
      • Aims and Scope
      • Abstracting and Indexing
      • Bibliographic Information
      • Archive
    • Molecular Medicine Reports
      • Information for Authors
      • Editorial Policies
      • Editorial Board
      • Aims and Scope
      • Abstracting and Indexing
      • Bibliographic Information
      • Archive
    • Oncology Letters
      • Information for Authors
      • Editorial Policies
      • Editorial Board
      • Aims and Scope
      • Abstracting and Indexing
      • Bibliographic Information
      • Archive
    • Oncology Reports
      • Information for Authors
      • Editorial Policies
      • Editorial Board
      • Aims and Scope
      • Abstracting and Indexing
      • Bibliographic Information
      • Archive
    • World Academy of Sciences Journal
      • Information for Authors
      • Editorial Policies
      • Editorial Board
      • Aims and Scope
      • Abstracting and Indexing
      • Bibliographic Information
      • Archive
  • Articles
  • Information
    • For Authors
    • For Reviewers
    • For Librarians
    • For Advertisers
    • Conferences
  • Language Editing
Login Register Submit
  • This site uses cookies
  • You can change your cookie settings at any time by following the instructions in our Cookie Policy. To find out more, you may read our Privacy Policy.

    I agree
Search articles by DOI, keyword, author or affiliation
Search
Advanced Search
presentation
Experimental and Therapeutic Medicine
Join Editorial Board Propose a Special Issue
Print ISSN: 1792-0981 Online ISSN: 1792-1015
Journal Cover
December-2023 Volume 26 Issue 6

Full Size Image

Sign up for eToc alerts
Recommend to Library

Journals

International Journal of Molecular Medicine

International Journal of Molecular Medicine

International Journal of Molecular Medicine is an international journal devoted to molecular mechanisms of human disease.

International Journal of Oncology

International Journal of Oncology

International Journal of Oncology is an international journal devoted to oncology research and cancer treatment.

Molecular Medicine Reports

Molecular Medicine Reports

Covers molecular medicine topics such as pharmacology, pathology, genetics, neuroscience, infectious diseases, molecular cardiology, and molecular surgery.

Oncology Reports

Oncology Reports

Oncology Reports is an international journal devoted to fundamental and applied research in Oncology.

Experimental and Therapeutic Medicine

Experimental and Therapeutic Medicine

Experimental and Therapeutic Medicine is an international journal devoted to laboratory and clinical medicine.

Oncology Letters

Oncology Letters

Oncology Letters is an international journal devoted to Experimental and Clinical Oncology.

Biomedical Reports

Biomedical Reports

Explores a wide range of biological and medical fields, including pharmacology, genetics, microbiology, neuroscience, and molecular cardiology.

Molecular and Clinical Oncology

Molecular and Clinical Oncology

International journal addressing all aspects of oncology research, from tumorigenesis and oncogenes to chemotherapy and metastasis.

World Academy of Sciences Journal

World Academy of Sciences Journal

Multidisciplinary open-access journal spanning biochemistry, genetics, neuroscience, environmental health, and synthetic biology.

International Journal of Functional Nutrition

International Journal of Functional Nutrition

Open-access journal combining biochemistry, pharmacology, immunology, and genetics to advance health through functional nutrition.

International Journal of Epigenetics

International Journal of Epigenetics

Publishes open-access research on using epigenetics to advance understanding and treatment of human disease.

Medicine International

Medicine International

An International Open Access Journal Devoted to General Medicine.

Journal Cover
December-2023 Volume 26 Issue 6

Full Size Image

Sign up for eToc alerts
Recommend to Library

  • Article
  • Citations
    • Cite This Article
    • Download Citation
    • Create Citation Alert
    • Remove Citation Alert
    • Cited By
  • Similar Articles
    • Related Articles (in Spandidos Publications)
    • Similar Articles (Google Scholar)
    • Similar Articles (PubMed)
  • Download PDF
  • Download XML
  • View XML

  • Supplementary Files
    • Supplementary_Data.pdf
Article Open Access

Comparison between unilateral and bilateral percutaneous kyphoplasty in the treatment of osteoporotic vertebral compression fracture: A meta‑analysis and systematic review

  • Authors:
    • Jinjie Zhang
    • Qiujun Zhou
    • Zhenxing Zhang
    • Guoyan Liu
  • View Affiliations / Copyright

    Affiliations: Orthopedics Department, The First Affiliated Hospital of Zhejiang Chinese Medical University (Zhejiang Provincial Hospital of Chinese Medicine), Hangzhou, Zhejiang 310000, P.R. China, The First Clinical Medical College, Zhejiang Chinese Medical University, Hangzhou, Zhejiang 310000, P.R. China, Second Department of Orthopaedics, Haining People's Hospital, Haining, Zhejiang 314400, P.R. China, Orthopedic Spine Department, Affiliated Hospital of Shandong University of Traditional Chinese Medicine, Jinan, Shandong 250000, P.R. China
    Copyright: © Zhang et al. This is an open access article distributed under the terms of Creative Commons Attribution License.
  • Article Number: 553
    |
    Published online on: October 17, 2023
       https://doi.org/10.3892/etm.2023.12252
  • Expand metrics +
Metrics: Total Views: 0 (Spandidos Publications: | PMC Statistics: )
Metrics: Total PDF Downloads: 0 (Spandidos Publications: | PMC Statistics: )
Cited By (CrossRef): 0 citations Loading Articles...

This article is mentioned in:



Abstract

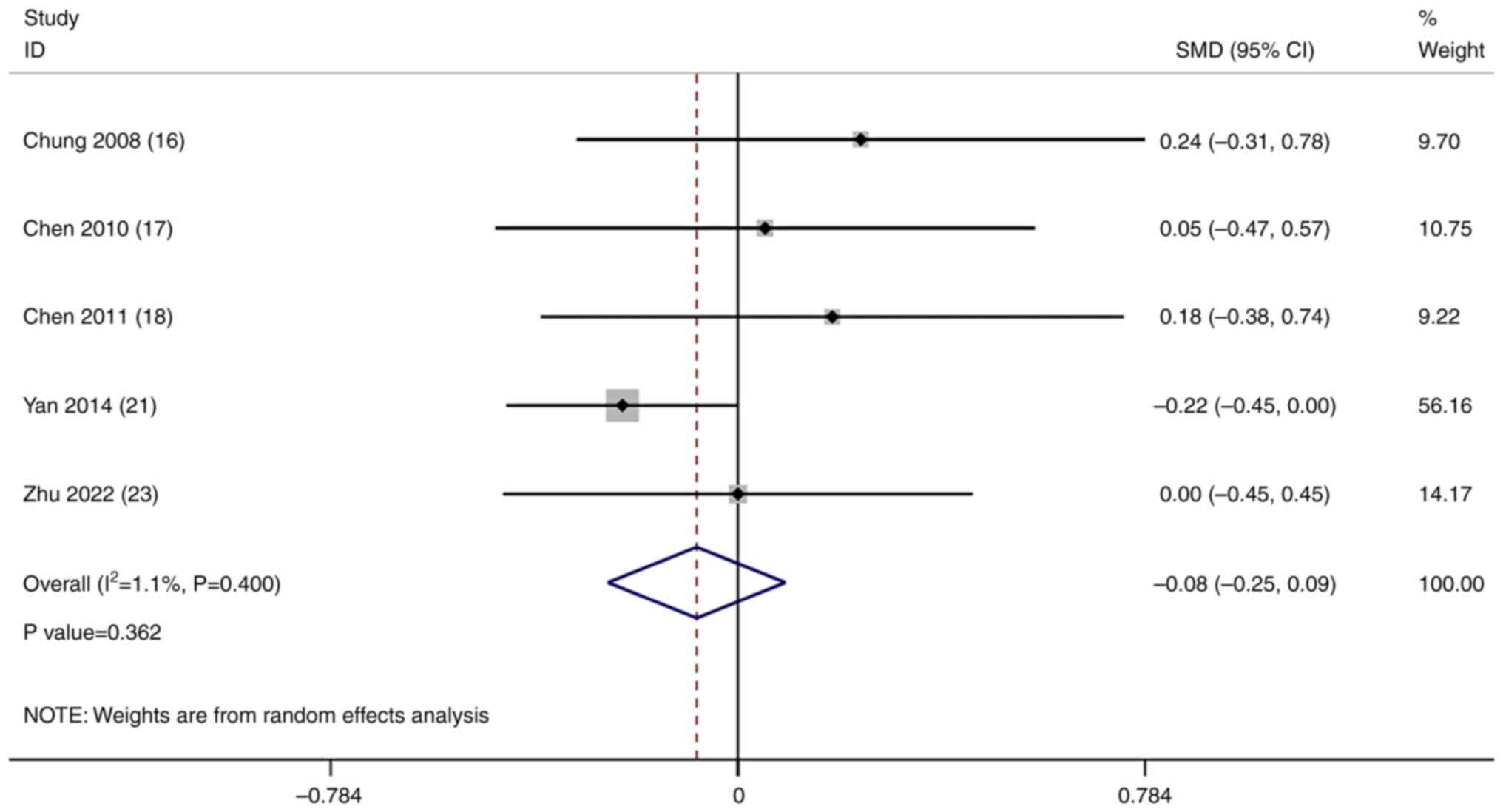
The present study collected retrospective research data and compared the safety and efficacy of unilateral and bilateral percutaneous puncture kyphoplasty for the treatment of vertebral fractures caused by osteoporosis, to guide the selection of clinical surgical methods. In the present meta‑analysis, PubMed, Embase and the Cochrane Library were searched from the establishment of the databases to March 2023. Studies that reported differences in the efficacy and safety between the unilateral and bilateral approaches in the treatment of osteoporotic vertebral compression fractures were included in the analysis. Duplicate published studies, unpublished studies, studies with incomplete data, animal experiments, literature reviews and systematic studies were excluded from the analysis. All data were processed using STATA 15.1 statistical software. The pooled results demonstrated that there were no significant differences between the unilateral and bilateral approaches in the visual analog scores, Oswestry disability index, height restoration rate or incidence of cement leakage. However, the post‑kyphotic angle of the unilateral approach was significantly lower than that of the bilateral approach (standardized mean difference, ‑0.41; 95% confidence interval, ‑0.68 to ‑0.14; P=0.003). Furthermore, the pooled results demonstrated that the unilateral approach required less operative time and a lower volume of injected cement, which is safer for elderly patients who are more likely to have underlying diseases.
View Figures

Figure 1

Figure 2

Figure 3

Figure 4

Figure 5

Figure 6

Figure 7

Figure 8

Figure 9

Figure 10

Figure 11

View References

1 

Sindel D: Osteoporosis: Spotlight on current approaches to pharmacological treatment. Turk J Phys Med Rehabil. 69:140–152. 2023.PubMed/NCBI View Article : Google Scholar

2 

Lucas TS and Einhorn TA: Osteoporosis: The role of the orthopaedist. J Am Acad Orthop Surg. 1:48–56. 1993.PubMed/NCBI View Article : Google Scholar

3 

McCarthy J and Davis A: Diagnosis and management of vertebral compression fractures. Am Fam Physician. 94:44–50. 2016.PubMed/NCBI

4 

Li HM, Zhang RJ, Gao H, Jia CY, Zhang JX, Dong FL and Shen CL: New vertebral fractures after osteoporotic vertebral compression fracture between balloon kyphoplasty and nonsurgical treatment PRISMA. Medicine (Baltimore). 97(e12666)2018.PubMed/NCBI View Article : Google Scholar

5 

Kim DH and Vaccaro AR: Osteoporotic compression fractures of the spine; current options and considerations for treatment. Spine J. 6:479–487. 2006.PubMed/NCBI View Article : Google Scholar

6 

Zhou X, Meng X, Zhu H, Zhu Y and Yuan W: Early versus late percutaneous kyphoplasty for treating osteoporotic vertebral compression fracture: A retrospective study. Clin Neurol Neurosurg. 180:101–105. 2019.PubMed/NCBI View Article : Google Scholar

7 

Zhang Y, Liu H, He F, Chen A, Yang H and Pi B: Safety and efficacy of percutaneous kyphoplasty assisted with O-arm navigation for the treatment of osteoporotic vertebral compression fractures at T6 to T9 vertebrae. Int Orthop. 44:349–355. 2020.PubMed/NCBI View Article : Google Scholar

8 

Wang F, Wang LF, Miao DC, Dong Z and Shen Y: Which one is more effective for the treatment of very severe osteoporotic vertebral compression fractures: PVP or PKP? J Pain Res. 11:2625–2631. 2018.PubMed/NCBI View Article : Google Scholar

9 

Chen B, Li Y, Xie D, Yang X and Zheng Z: Comparison of unipedicular and bipedicular kyphoplasty on the stiffness and biomechanical balance of compression fractured vertebrae. Eur Spine J. 20:1272–1280. 2011.PubMed/NCBI View Article : Google Scholar

10 

Li LH, Sun TS, Liu Z, Zhang JZ, Zhang Y, Cai YH and Wang H: Comparison of unipedicular and bipedicular percutaneous kyphoplasty for treating osteoporotic vertebral compression fractures: A meta-analysis. Chin Med J (Engl). 126:3956–3961. 2013.PubMed/NCBI

11 

Steinmann J, Tingey CT, Cruz G and Dai Q: Biomechanical comparison of unipedicular versus bipedicular kyphoplasty. Spine (Phila Pa 1976). 30:201–205. 2005.PubMed/NCBI View Article : Google Scholar

12 

Higgins JP, Altman DG, Gøtzsche PC, Jüni P, Moher D, Oxman AD, Savovic J, Schulz KF, Weeks L, Sterne JA, et al: The cochrane collaboration's tool for assessing risk of bias in randomised trials. BMJ. 343(d5928)2011.PubMed/NCBI View Article : Google Scholar

13 

Cook DA and Reed DA: Appraising the quality of medical education research methods: The medical education research study quality instrument and the newcastle-ottawa scale-education. Acad Med. 90:1067–1076. 2015.PubMed/NCBI View Article : Google Scholar

14 

Page MJ, McKenzie JE, Bossuyt PM, Boutron I, Hoffmann TC, Mulrow CD, Shamseer L, Tetzlaff JM, Akl EA, Brennan SE, et al: The PRISMA 2020 statement: An updated guideline for reporting systematic reviews. BMJ. 372(n71)2021.PubMed/NCBI View Article : Google Scholar

15 

Chaimani A, Mavridis D and Salanti G: A hands-on practical tutorial on performing meta-analysis with Stata. Evid Based Ment Health. 17:111–116. 2014.PubMed/NCBI View Article : Google Scholar

16 

Chung HJ, Chung KJ, Yoon HS and Kwon IH: Comparative study of balloon kyphoplasty with unilateral versus bilateral approach in osteoporotic vertebral compression fractures. Int Orthop. 32:817–820. 2008.PubMed/NCBI View Article : Google Scholar

17 

Chen C, Chen L, Gu Y, Xu Y, Liu Y, Bai X, Zhu X and Yang H: Kyphoplasty for chronic painful osteoporotic vertebral compression fractures via unipedicular versus bipedicular approachment: A comparative study in early stage. Injury. 41:356–359. 2010.PubMed/NCBI View Article : Google Scholar

18 

Chen L, Yang H and Tang T: Unilateral versus bilateral balloon kyphoplasty for multilevel osteoporotic vertebral compression fractures: A prospective study. Spine (Phila Pa 1976). 36:534–540. 2011.PubMed/NCBI View Article : Google Scholar

19 

Wang Z, Wang G and Yang H: Comparison of unilateral versus bilateral balloon kyphoplasty for the treatment of osteoporotic vertebral compression fractures. J Clin Neurosci. 19:723–726. 2012.PubMed/NCBI View Article : Google Scholar

20 

Rebolledo BJ, Gladnick BP, Unnanuntana A, Nguyen JT, Kepler CK and Lane JM: Comparison of unipedicular and bipedicular balloon kyphoplasty for the treatment of osteoporotic vertebral compression fractures: A prospective randomised study. Bone Joint J. 95-B:401–406. 2013.PubMed/NCBI View Article : Google Scholar

21 

Yan L, Jiang R, He B, Liu T and Hao D: A comparison between unilateral transverse process-pedicle and bilateral puncture techniques in percutaneous kyphoplasty. Spine (Phila Pa 1976). 39(26 Spec No.):B19–B26. 2014.PubMed/NCBI View Article : Google Scholar

22 

Zhang Y, Chen X, Ji J, Xu Z, Sun H, Dong L and Hao D: Comparison of unilateral and bilateral percutaneous kyphoplasty for bone cement distribution and clinical efficacy: An analysis using three-dimensional computed tomography images. Pain Physician. 25:E805–E813. 2022.PubMed/NCBI

23 

Zhu D, Hu J, Wang L, Zhu J, Ma S and Liu B: A comparison between modified unilateral extrapedicular and bilateral transpedicular percutaneous kyphoplasty in the treatment of lumbar osteoporotic vertebral compression fracture. World Neurosurg. 166:e99–e108. 2022.PubMed/NCBI View Article : Google Scholar

24 

Landham PR, Baker-Rand HL, Gilbert SJ, Pollintine P, Annesley-Williams DJ, Adams MA and Dolan P: Is kyphoplasty better than vertebroplasty at restoring form and function after severe vertebral wedge fractures? Spine J. 15:721–732. 2015.PubMed/NCBI View Article : Google Scholar

25 

Lyritis GP, Mayasis B, Tsakalakos N, Lambropoulos A, Gazi S, Karachalios T, Tsekoura M and Yiatzides A: The natural history of the osteoporotic vertebral fracture. Clin Rheumatol. 8(Suppl 2):66–69. 1989.PubMed/NCBI View Article : Google Scholar

26 

Wardlaw D, Cummings SR, Van Meirhaeghe J, Bastian L, Tillman JB, Ranstam J, Eastell R, Shabe P, Talmadge K and Boonen S: Efficacy and safety of balloon kyphoplasty compared with non-surgical care for vertebral compression fracture (FREE): A randomised controlled trial. Lancet. 373:1016–1024. 2009.PubMed/NCBI View Article : Google Scholar

27 

Nevitt MC, Ettinger B, Black DM, Stone K, Jamal SA, Ensrud K, Segal M, Genant HK and Cummings SR: The association of radiographically detected vertebral fractures with back pain and function: A prospective study. Ann Intern Med. 128:793–800. 1998.PubMed/NCBI View Article : Google Scholar

28 

Yan L, He B, Guo H, Liu T and Hao D: The prospective self-controlled study of unilateral transverse process-pedicle and bilateral puncture techniques in percutaneous kyphoplasty. Osteoporos Int. 27:1849–1855. 2016.PubMed/NCBI View Article : Google Scholar

29 

Li Y, Wang H, Cui W, Zhou P, Li C, Xiao W, Hu B and Li F: Clinical study of percutaneous vertebroplasty through extreme extrapedicular approach in the treatment of osteoporotic vertebral compression fracture. Zhongguo Xiu Fu Chong Jian Wai Ke Za Zhi. 33:612–617. 2019.PubMed/NCBI View Article : Google Scholar : (In Chinese).

Related Articles

  • Abstract
  • View
  • Download
  • Twitter
Copy and paste a formatted citation
Spandidos Publications style
Zhang J, Zhou Q, Zhang Z and Liu G: Comparison between unilateral and bilateral percutaneous kyphoplasty in the treatment of osteoporotic vertebral compression fracture: A meta‑analysis and systematic review. Exp Ther Med 26: 553, 2023.
APA
Zhang, J., Zhou, Q., Zhang, Z., & Liu, G. (2023). Comparison between unilateral and bilateral percutaneous kyphoplasty in the treatment of osteoporotic vertebral compression fracture: A meta‑analysis and systematic review. Experimental and Therapeutic Medicine, 26, 553. https://doi.org/10.3892/etm.2023.12252
MLA
Zhang, J., Zhou, Q., Zhang, Z., Liu, G."Comparison between unilateral and bilateral percutaneous kyphoplasty in the treatment of osteoporotic vertebral compression fracture: A meta‑analysis and systematic review". Experimental and Therapeutic Medicine 26.6 (2023): 553.
Chicago
Zhang, J., Zhou, Q., Zhang, Z., Liu, G."Comparison between unilateral and bilateral percutaneous kyphoplasty in the treatment of osteoporotic vertebral compression fracture: A meta‑analysis and systematic review". Experimental and Therapeutic Medicine 26, no. 6 (2023): 553. https://doi.org/10.3892/etm.2023.12252
Copy and paste a formatted citation
x
Spandidos Publications style
Zhang J, Zhou Q, Zhang Z and Liu G: Comparison between unilateral and bilateral percutaneous kyphoplasty in the treatment of osteoporotic vertebral compression fracture: A meta‑analysis and systematic review. Exp Ther Med 26: 553, 2023.
APA
Zhang, J., Zhou, Q., Zhang, Z., & Liu, G. (2023). Comparison between unilateral and bilateral percutaneous kyphoplasty in the treatment of osteoporotic vertebral compression fracture: A meta‑analysis and systematic review. Experimental and Therapeutic Medicine, 26, 553. https://doi.org/10.3892/etm.2023.12252
MLA
Zhang, J., Zhou, Q., Zhang, Z., Liu, G."Comparison between unilateral and bilateral percutaneous kyphoplasty in the treatment of osteoporotic vertebral compression fracture: A meta‑analysis and systematic review". Experimental and Therapeutic Medicine 26.6 (2023): 553.
Chicago
Zhang, J., Zhou, Q., Zhang, Z., Liu, G."Comparison between unilateral and bilateral percutaneous kyphoplasty in the treatment of osteoporotic vertebral compression fracture: A meta‑analysis and systematic review". Experimental and Therapeutic Medicine 26, no. 6 (2023): 553. https://doi.org/10.3892/etm.2023.12252
Follow us
  • Twitter
  • LinkedIn
  • Facebook
About
  • Spandidos Publications
  • Careers
  • Cookie Policy
  • Privacy Policy
How can we help?
  • Help
  • Live Chat
  • Contact
  • Email to our Support Team