Spandidos Publications Logo
  • About
    • About Spandidos
    • Aims and Scopes
    • Abstracting and Indexing
    • Editorial Policies
    • Reprints and Permissions
    • Job Opportunities
    • Terms and Conditions
    • Contact
  • Journals
    • All Journals
    • Oncology Letters
      • Oncology Letters
      • Information for Authors
      • Editorial Policies
      • Editorial Board
      • Aims and Scope
      • Abstracting and Indexing
      • Bibliographic Information
      • Archive
    • International Journal of Oncology
      • International Journal of Oncology
      • Information for Authors
      • Editorial Policies
      • Editorial Board
      • Aims and Scope
      • Abstracting and Indexing
      • Bibliographic Information
      • Archive
    • Molecular and Clinical Oncology
      • Molecular and Clinical Oncology
      • Information for Authors
      • Editorial Policies
      • Editorial Board
      • Aims and Scope
      • Abstracting and Indexing
      • Bibliographic Information
      • Archive
    • Experimental and Therapeutic Medicine
      • Experimental and Therapeutic Medicine
      • Information for Authors
      • Editorial Policies
      • Editorial Board
      • Aims and Scope
      • Abstracting and Indexing
      • Bibliographic Information
      • Archive
    • International Journal of Molecular Medicine
      • International Journal of Molecular Medicine
      • Information for Authors
      • Editorial Policies
      • Editorial Board
      • Aims and Scope
      • Abstracting and Indexing
      • Bibliographic Information
      • Archive
    • Biomedical Reports
      • Biomedical Reports
      • Information for Authors
      • Editorial Policies
      • Editorial Board
      • Aims and Scope
      • Abstracting and Indexing
      • Bibliographic Information
      • Archive
    • Oncology Reports
      • Oncology Reports
      • Information for Authors
      • Editorial Policies
      • Editorial Board
      • Aims and Scope
      • Abstracting and Indexing
      • Bibliographic Information
      • Archive
    • Molecular Medicine Reports
      • Molecular Medicine Reports
      • Information for Authors
      • Editorial Policies
      • Editorial Board
      • Aims and Scope
      • Abstracting and Indexing
      • Bibliographic Information
      • Archive
    • World Academy of Sciences Journal
      • World Academy of Sciences Journal
      • Information for Authors
      • Editorial Policies
      • Editorial Board
      • Aims and Scope
      • Abstracting and Indexing
      • Bibliographic Information
      • Archive
    • International Journal of Functional Nutrition
      • International Journal of Functional Nutrition
      • Information for Authors
      • Editorial Policies
      • Editorial Board
      • Aims and Scope
      • Abstracting and Indexing
      • Bibliographic Information
      • Archive
    • International Journal of Epigenetics
      • International Journal of Epigenetics
      • Information for Authors
      • Editorial Policies
      • Editorial Board
      • Aims and Scope
      • Abstracting and Indexing
      • Bibliographic Information
      • Archive
    • Medicine International
      • Medicine International
      • Information for Authors
      • Editorial Policies
      • Editorial Board
      • Aims and Scope
      • Abstracting and Indexing
      • Bibliographic Information
      • Archive
  • Articles
  • Information
    • Information for Authors
    • Information for Reviewers
    • Information for Librarians
    • Information for Advertisers
    • Conferences
  • Language Editing
Spandidos Publications Logo
  • About
    • About Spandidos
    • Aims and Scopes
    • Abstracting and Indexing
    • Editorial Policies
    • Reprints and Permissions
    • Job Opportunities
    • Terms and Conditions
    • Contact
  • Journals
    • All Journals
    • Biomedical Reports
      • Information for Authors
      • Editorial Policies
      • Editorial Board
      • Aims and Scope
      • Abstracting and Indexing
      • Bibliographic Information
      • Archive
    • Experimental and Therapeutic Medicine
      • Information for Authors
      • Editorial Policies
      • Editorial Board
      • Aims and Scope
      • Abstracting and Indexing
      • Bibliographic Information
      • Archive
    • International Journal of Epigenetics
      • Information for Authors
      • Editorial Policies
      • Editorial Board
      • Aims and Scope
      • Abstracting and Indexing
      • Bibliographic Information
      • Archive
    • International Journal of Functional Nutrition
      • Information for Authors
      • Editorial Policies
      • Editorial Board
      • Aims and Scope
      • Abstracting and Indexing
      • Bibliographic Information
      • Archive
    • International Journal of Molecular Medicine
      • Information for Authors
      • Editorial Policies
      • Editorial Board
      • Aims and Scope
      • Abstracting and Indexing
      • Bibliographic Information
      • Archive
    • International Journal of Oncology
      • Information for Authors
      • Editorial Policies
      • Editorial Board
      • Aims and Scope
      • Abstracting and Indexing
      • Bibliographic Information
      • Archive
    • Medicine International
      • Information for Authors
      • Editorial Policies
      • Editorial Board
      • Aims and Scope
      • Abstracting and Indexing
      • Bibliographic Information
      • Archive
    • Molecular and Clinical Oncology
      • Information for Authors
      • Editorial Policies
      • Editorial Board
      • Aims and Scope
      • Abstracting and Indexing
      • Bibliographic Information
      • Archive
    • Molecular Medicine Reports
      • Information for Authors
      • Editorial Policies
      • Editorial Board
      • Aims and Scope
      • Abstracting and Indexing
      • Bibliographic Information
      • Archive
    • Oncology Letters
      • Information for Authors
      • Editorial Policies
      • Editorial Board
      • Aims and Scope
      • Abstracting and Indexing
      • Bibliographic Information
      • Archive
    • Oncology Reports
      • Information for Authors
      • Editorial Policies
      • Editorial Board
      • Aims and Scope
      • Abstracting and Indexing
      • Bibliographic Information
      • Archive
    • World Academy of Sciences Journal
      • Information for Authors
      • Editorial Policies
      • Editorial Board
      • Aims and Scope
      • Abstracting and Indexing
      • Bibliographic Information
      • Archive
  • Articles
  • Information
    • For Authors
    • For Reviewers
    • For Librarians
    • For Advertisers
    • Conferences
  • Language Editing
Login Register Submit
  • This site uses cookies
  • You can change your cookie settings at any time by following the instructions in our Cookie Policy. To find out more, you may read our Privacy Policy.

    I agree
Search articles by DOI, keyword, author or affiliation
Search
Advanced Search
presentation
Experimental and Therapeutic Medicine
Join Editorial Board Propose a Special Issue
Print ISSN: 1792-0981 Online ISSN: 1792-1015
Journal Cover
December-2023 Volume 26 Issue 6

Full Size Image

Sign up for eToc alerts
Recommend to Library

Journals

International Journal of Molecular Medicine

International Journal of Molecular Medicine

International Journal of Molecular Medicine is an international journal devoted to molecular mechanisms of human disease.

International Journal of Oncology

International Journal of Oncology

International Journal of Oncology is an international journal devoted to oncology research and cancer treatment.

Molecular Medicine Reports

Molecular Medicine Reports

Covers molecular medicine topics such as pharmacology, pathology, genetics, neuroscience, infectious diseases, molecular cardiology, and molecular surgery.

Oncology Reports

Oncology Reports

Oncology Reports is an international journal devoted to fundamental and applied research in Oncology.

Experimental and Therapeutic Medicine

Experimental and Therapeutic Medicine

Experimental and Therapeutic Medicine is an international journal devoted to laboratory and clinical medicine.

Oncology Letters

Oncology Letters

Oncology Letters is an international journal devoted to Experimental and Clinical Oncology.

Biomedical Reports

Biomedical Reports

Explores a wide range of biological and medical fields, including pharmacology, genetics, microbiology, neuroscience, and molecular cardiology.

Molecular and Clinical Oncology

Molecular and Clinical Oncology

International journal addressing all aspects of oncology research, from tumorigenesis and oncogenes to chemotherapy and metastasis.

World Academy of Sciences Journal

World Academy of Sciences Journal

Multidisciplinary open-access journal spanning biochemistry, genetics, neuroscience, environmental health, and synthetic biology.

International Journal of Functional Nutrition

International Journal of Functional Nutrition

Open-access journal combining biochemistry, pharmacology, immunology, and genetics to advance health through functional nutrition.

International Journal of Epigenetics

International Journal of Epigenetics

Publishes open-access research on using epigenetics to advance understanding and treatment of human disease.

Medicine International

Medicine International

An International Open Access Journal Devoted to General Medicine.

Journal Cover
December-2023 Volume 26 Issue 6

Full Size Image

Sign up for eToc alerts
Recommend to Library

  • Article
  • Citations
    • Cite This Article
    • Download Citation
    • Create Citation Alert
    • Remove Citation Alert
    • Cited By
  • Similar Articles
    • Related Articles (in Spandidos Publications)
    • Similar Articles (Google Scholar)
    • Similar Articles (PubMed)
  • Download PDF
  • Download XML
  • View XML
Article

Predictors of therapeutic response to peginterferon α‑2a and nucleos(t)ide analog combination therapy for HBeAg‑negative chronic hepatitis B: 1‑year follow‑up after treatment

  • Authors:
    • Shima Mimura
    • Koji Fujita
    • Kei Takuma
    • Mai Nakahara
    • Kyoko Oura
    • Tomoko Tadokoro
    • Joji Tani
    • Asahiro Morishita
    • Masafumi Ono
    • Takashi Himoto
    • Tsutomu Masaki
  • View Affiliations / Copyright

    Affiliations: Department of Gastroenterology and Neurology, Kagawa University Hospital, Kita, Kagawa 761‑0793, Japan, Department of Medical Technology, Kagawa Prefectural University of Health Sciences, Takamatsu, Kagawa 761‑0123, Japan
  • Article Number: 587
    |
    Published online on: November 3, 2023
       https://doi.org/10.3892/etm.2023.12286
  • Expand metrics +
Metrics: Total Views: 0 (Spandidos Publications: | PMC Statistics: )
Metrics: Total PDF Downloads: 0 (Spandidos Publications: | PMC Statistics: )
Cited By (CrossRef): 0 citations Loading Articles...

This article is mentioned in:



Abstract

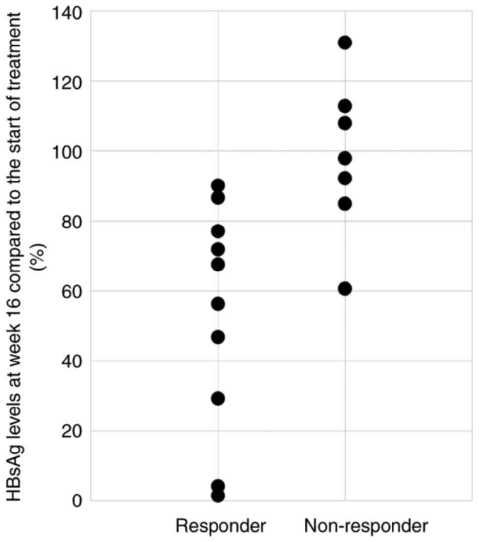
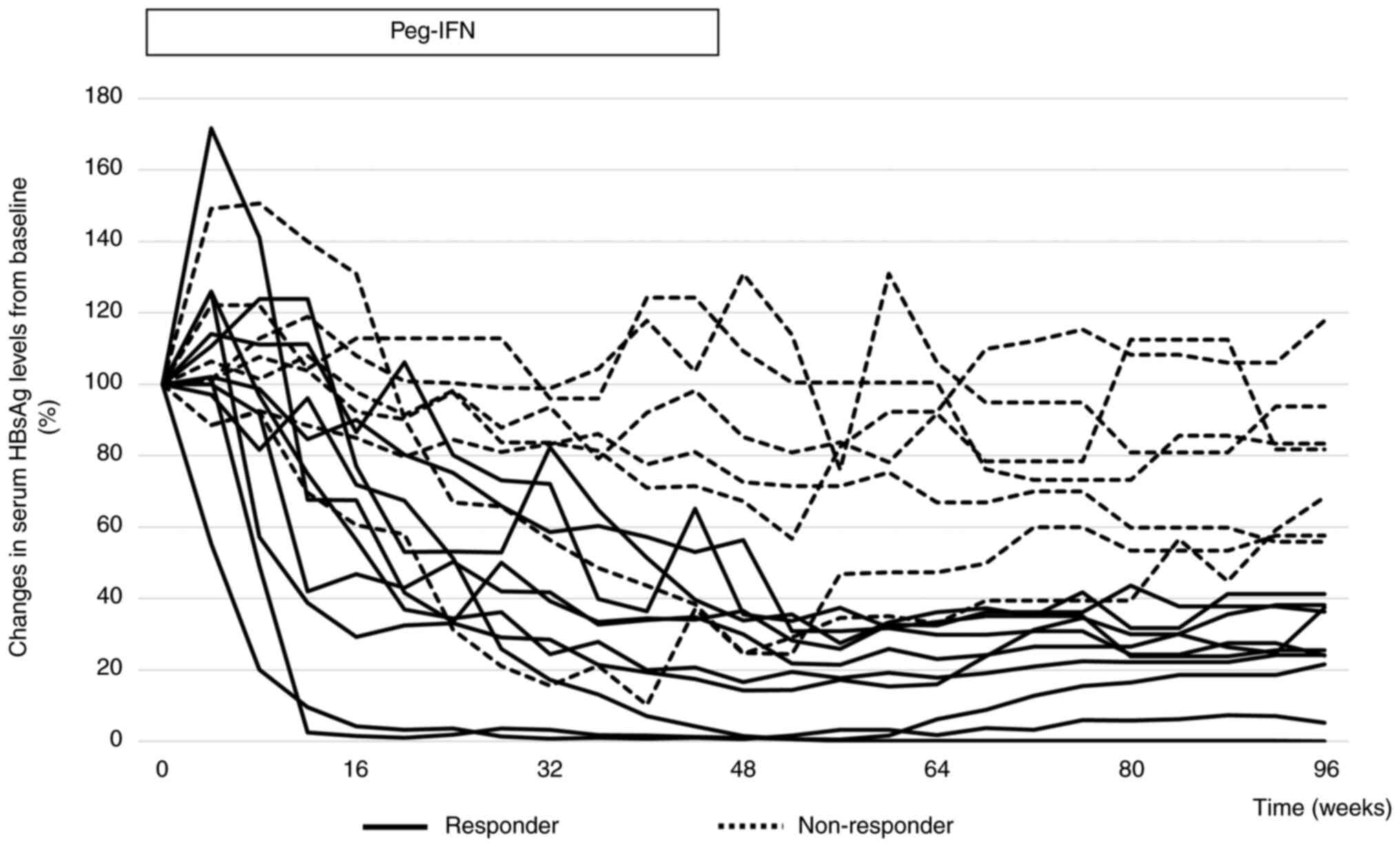
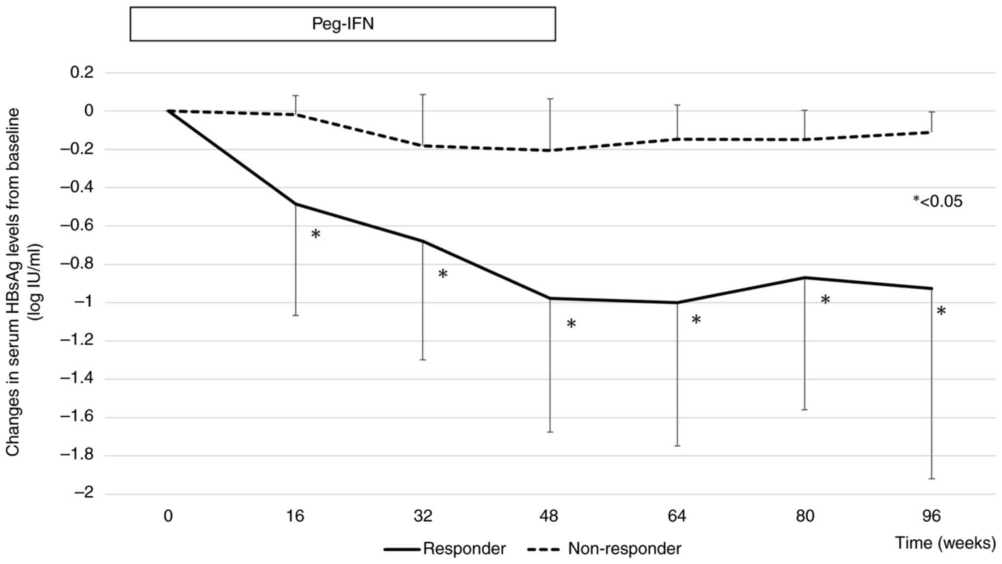
Chronic hepatitis B (CHB) is a major global health concern. Guidelines for the management of hepatitis B virus (HBV) indicate that the loss of hepatitis B surface antigen (HBsAg) is a key endpoint of interest. The present study aimed to examine long‑term changes in HBsAg levels in HBV‑DNA‑negative, hepatitis B e‑antigen (HBeAg)‑negative patients treated with peginterferon (Peg‑IFN) α‑2a and nucleos(t)ide analog (NA), and to examine the conditions that make them susceptible to HBsAg decline. A total of 17 patients with CHB treated with NA and Peg‑IFN were observed for 96 weeks (48 weeks of Peg‑IFN therapy and 48 weeks of post‑treatment follow‑up). In this study, responders were defined as those with a 50% or greater decrease in HBsAg levels from baseline at week 96. Beginning at week 16 of Peg‑IFN therapy, there was a significant difference in the decrease in HBsAg levels from baseline between the responders and non‑responders. In responders, HBsAg levels tended to be >60% lower 16 weeks after Peg‑IFN initiation than before initiation. Age at the start of NA use and the duration of NA use before Peg‑IFN treatment initiation were significant pretreatment factors associated with HBsAg response. In conclusion, Peg‑IFN was revealed to be more effective in HBeAg‑negative patients with CHB who started NA at a young age and have been on long‑term treatment, particularly if the HBsAg levels decreased to less than 60% of the starting level at week 16 after starting Peg‑IFN treatment.
View Figures

Figure 1

Figure 2

Figure 3

Figure 4

View References

1 

Wigfield P, Sbarigia U, Hashim M, Vincken T and Heeg B: Are published health economic models for chronic hepatitis B appropriately capturing the benefits of HBsAg Loss? A systematic literature review. Pharmacoecon Open. 4:403–418. 2020.PubMed/NCBI View Article : Google Scholar

2 

Sarin SK, Choudhury A, Sharma MK, Maiwall R, Al Mahtab M, Rahman S, Saigal S, Saraf N, Soin AS, Devarbhavi H, et al: Acute-on-chronic liver failure: Consensus recommendations of the Asian Pacific association for the study of the liver (APASL): An update. Hepatol Int. 13:353–390. 2019.PubMed/NCBI View Article : Google Scholar

3 

Chevaliez S, Hézode C, Bahrami S, Grare M and Pawlotsky JM: Long-term hepatitis B surface antigen (HBsAg) kinetics during nucleoside/nucleotide analogue therapy: Finite treatment duration unlikely. J Hepatol. 58:676–683. 2013.PubMed/NCBI View Article : Google Scholar

4 

Zoutendijk R, Hansen BE, Van Vuuren AJ, Boucher CA and Janssen HL: Serum HBsAg decline during long-term potent nucleos(t)ide analogue therapy for chronic hepatitis B and prediction of HBsAg loss. J Infect Dis. 204:415–418. 2011.PubMed/NCBI View Article : Google Scholar

5 

Boni C, Penna A, Bertoletti A, Lamonaca V, Rapti I, Missale G, Pilli M, Urbani S, Cavalli A, Cerioni S, et al: Transient restoration of anti-viral T cell responses induced by lamivudine therapy in chronic hepatitis B. J Hepatol. 39:595–605. 2003.PubMed/NCBI View Article : Google Scholar

6 

Tjwa ET, Van Oord GW, Hegmans JP, Janssen HL and Woltman AM: Viral load reduction improves activation and function of natural killer cells in patients with chronic hepatitis B. J Hepatol. 54:209–218. 2011.PubMed/NCBI View Article : Google Scholar

7 

Swiecki M and Colonna M: Type I interferons: Diversity of sources, production pathways and effects on immune responses. Curr Opin Virol. 1:463–475. 2011.PubMed/NCBI View Article : Google Scholar

8 

Wursthorn K, Lutgehetmann M, Dandri M, Volz T, Buggisch P, Zollner B, Longerich T, Schirmacher P, Metzler F, Zankel M, et al: Peginterferon alpha-2b plus adefovir induce strong cccDNA decline and HBsAg reduction in patients with chronic hepatitis B. Hepatology. 44:675–684. 2006.PubMed/NCBI View Article : Google Scholar

9 

Brouwer WP, Xie Q, Sonneveld MJ, Zhang N, Zhang Q, Tabak F, Streinu-Cercel A, Wang JY, Idilman R, Reesink HW, et al: Adding pegylated interferon to entecavir for hepatitis B e antigen-positive chronic hepatitis B: A multicenter randomized trial (ARES study). Hepatology. 61:1512–1522. 2015.PubMed/NCBI View Article : Google Scholar

10 

Li GJ, Yu YQ, Chen SL, Fan P, Shao LY, Chen JZ, Li CS, Yi B, Chen WC, Xie SY, et al: Sequential combination therapy with pegylated interferon leads to loss of hepatitis B surface antigen and Hepatitis B e Antigen (HBeAg) seroconversion in HBeAg-positive chronic hepatitis B patients receiving long-term entecavir treatment. Antimicrob Agents Chemother. 59:4121–4128. 2015.PubMed/NCBI View Article : Google Scholar

11 

Brouwer WP, Chan HLY, Lampertico P, Hou J, Tangkijvanich P, Reesink HW, Zhang W, Zhang W, Mangia A, Tanwandee T, et al: Genome-wide association study identifies genetic variants associated with early and sustained response to (Pegylated) interferon in chronic hepatitis B patients: The GIANT-B study. Clin Infect Dis. 69:1969–1979. 2019.PubMed/NCBI View Article : Google Scholar

12 

Hu P, Shang J, Zhang W, Gong G, Li Y, Chen X, Jiang J, Xie Q, Dou X, Sun Y, et al: HBsAg Loss with Peg-interferon Alfa-2a in Hepatitis B patients with partial response to nucleos(t)ide Analog: New switch study. J Clin Transl Hepatol. 6:25–34. 2018.PubMed/NCBI View Article : Google Scholar

13 

Hsu YC, Yeh ML, Wong GL, Chen CH, Peng CY, Buti M, Enomoto M, Xie Q, Trinh H, Preda C, et al: Incidences and determinants of functional cure during entecavir or tenofovir disoproxil fumarate for chronic hepatitis B. J Infect Dis. 224:1890–1899. 2021.PubMed/NCBI View Article : Google Scholar

14 

Papatheodoridis G, Goulis J, Manolakopoulos S, Margariti A, Exarchos X, Kokkonis G, Hadziyiannis E, Papaioannou C, Manesis E, Pectasides D and Akriviadis E: Changes of HBsAg and interferon-inducible protein 10 serum levels in naive HBeAg-negative chronic hepatitis B patients under 4-year entecavir therapy. J Hepatol. 60:62–68. 2014.PubMed/NCBI View Article : Google Scholar

15 

Tenney DJ, Rose RE, Baldick CJ, Pokornowski KA, Eggers BJ, Fang J, Wichroski MJ, Xu D, Yang J, Wilber RB and Colonno RJ: Long-term monitoring shows hepatitis b virus resistance to entecavir in nucleoside-naïve patients is rare through 5 years of therapy. Hepatology. 49:1503–1514. 2009.PubMed/NCBI View Article : Google Scholar

16 

Chang TT, Liaw YF, Wu SS, Schiff E, Han KH, Lai CL, Safadi R, Lee SS, Halota W, Goodman Z, et al: Long-term entecavir therapy results in the reversal of fibrosis/cirrhosis and continued histological improvement in patients with chronic hepatitis B. Hepatology. 52:886–893. 2010.PubMed/NCBI View Article : Google Scholar

17 

Yang SC, Lee CM, Hu TH, Wang JH, Lu SN, Hung CH, Changchien CS and Chen CH: Virological response to entecavir reduces the risk of liver disease progression in nucleos(t)ide analogue-experienced HBV-infected patients with prior resistant mutants. J Antimicrob Chemother. 68:2154–2163. 2013.PubMed/NCBI View Article : Google Scholar

18 

Liaw YF: Antiviral therapy of chronic hepatitis B: Opportunities and challenges in Asia. J Hepatol. 51:403–410. 2009.PubMed/NCBI View Article : Google Scholar

19 

Wu FP, Yang Y, Li M, Liu YX, Li YP, Wang WJ, Shi JJ, Zhang X, Jia XL and Dang SS: Add-on pegylated interferon augments hepatitis B surface antigen clearance vs continuous nucleos(t)ide analog monotherapy in Chinese patients with chronic hepatitis B and hepatitis B surface antigen ≤ 1500 IU/mL: An observational study. World J Gastroenterol. 26:1525–1539. 2020.PubMed/NCBI View Article : Google Scholar

20 

Yoshida K, Enomoto M, Tamori A, Nishiguchi S and Kawada N: Combination of entecavir or tenofovir with pegylated interferon-α for long-term reduction in hepatitis B surface antigen levels: Simultaneous, sequential, or add-on combination therapy. Int J Mol Sci. 2021; 22: 1456, 2021.

21 

Brunetto MR, Moriconi F, Bonino F, Lau GK, Farci P, Yurdaydin C, Piratvisuth T, Luo K, Wang Y, Hadziyannis S, et al: Hepatitis B virus surface antigen levels: A guide to sustained response to peginterferon alfa-2a in HBeAg-negative chronic hepatitis B. Hepatology. 49:1141–1150. 2009.PubMed/NCBI View Article : Google Scholar

22 

Moucari R, Mackiewicz V, Lada O, Ripault MP, Castelnau C, Martinot-Peignoux M, Dauvergne A, Asselah T, Boyer N, Bedossa P, et al: Early serum HBsAg drop: A strong predictor of sustained virological response to pegylated interferon alfa-2a in HBeAg-negative patients. Hepatology. 49:1151–1157. 2009.PubMed/NCBI View Article : Google Scholar

23 

Rijckborst V, Hansen BE, Cakaloglu Y, Ferenci P, Tabak F, Akdogan M, Simon K, Akarca US, Flisiak R, Verhey E, et al: Early on-treatment prediction of response to peginterferon alfa-2a for HBeAg-negative chronic hepatitis B using HBsAg and HBV DNA levels. Hepatology. 52:454–461. 2010.PubMed/NCBI View Article : Google Scholar

24 

Boglione L, Cusato J, Cariti G, Di Perri G and D'Avolio A: Role of HBsAg decline in patients with chronic hepatitis B HBeAg-negative and E genotype treated with pegylated-interferon. Antiviral Res. 136:32–36. 2016.PubMed/NCBI View Article : Google Scholar

25 

Mimura S, Fujita K, Takuma K, Nakahara M, Oura K, Tadokoro T, Kobara H, Tani J, Morishita A, Himoto T and Masaki T: Effect of pegylated interferon alfa-2a in HBeAg-negative chronic hepatitis B during and 48 weeks after off-treatment follow-up: the limitation of pre-treatment HBsAg load for the seroclearance of HBsAg. Intern Emerg Med. 16:1559–1565. 2021.PubMed/NCBI View Article : Google Scholar

26 

Brunetto MR and Bonino F: Interferon therapy of chronic hepatitis B. Intervirology. 57:163–170. 2014.PubMed/NCBI View Article : Google Scholar

Related Articles

  • Abstract
  • View
  • Download
  • Twitter
Copy and paste a formatted citation
Spandidos Publications style
Mimura S, Fujita K, Takuma K, Nakahara M, Oura K, Tadokoro T, Tani J, Morishita A, Ono M, Himoto T, Himoto T, et al: Predictors of therapeutic response to peginterferon α‑2a and nucleos(t)ide analog combination therapy for HBeAg‑negative chronic hepatitis B: 1‑year follow‑up after treatment. Exp Ther Med 26: 587, 2023.
APA
Mimura, S., Fujita, K., Takuma, K., Nakahara, M., Oura, K., Tadokoro, T. ... Masaki, T. (2023). Predictors of therapeutic response to peginterferon α‑2a and nucleos(t)ide analog combination therapy for HBeAg‑negative chronic hepatitis B: 1‑year follow‑up after treatment. Experimental and Therapeutic Medicine, 26, 587. https://doi.org/10.3892/etm.2023.12286
MLA
Mimura, S., Fujita, K., Takuma, K., Nakahara, M., Oura, K., Tadokoro, T., Tani, J., Morishita, A., Ono, M., Himoto, T., Masaki, T."Predictors of therapeutic response to peginterferon α‑2a and nucleos(t)ide analog combination therapy for HBeAg‑negative chronic hepatitis B: 1‑year follow‑up after treatment". Experimental and Therapeutic Medicine 26.6 (2023): 587.
Chicago
Mimura, S., Fujita, K., Takuma, K., Nakahara, M., Oura, K., Tadokoro, T., Tani, J., Morishita, A., Ono, M., Himoto, T., Masaki, T."Predictors of therapeutic response to peginterferon α‑2a and nucleos(t)ide analog combination therapy for HBeAg‑negative chronic hepatitis B: 1‑year follow‑up after treatment". Experimental and Therapeutic Medicine 26, no. 6 (2023): 587. https://doi.org/10.3892/etm.2023.12286
Copy and paste a formatted citation
x
Spandidos Publications style
Mimura S, Fujita K, Takuma K, Nakahara M, Oura K, Tadokoro T, Tani J, Morishita A, Ono M, Himoto T, Himoto T, et al: Predictors of therapeutic response to peginterferon α‑2a and nucleos(t)ide analog combination therapy for HBeAg‑negative chronic hepatitis B: 1‑year follow‑up after treatment. Exp Ther Med 26: 587, 2023.
APA
Mimura, S., Fujita, K., Takuma, K., Nakahara, M., Oura, K., Tadokoro, T. ... Masaki, T. (2023). Predictors of therapeutic response to peginterferon α‑2a and nucleos(t)ide analog combination therapy for HBeAg‑negative chronic hepatitis B: 1‑year follow‑up after treatment. Experimental and Therapeutic Medicine, 26, 587. https://doi.org/10.3892/etm.2023.12286
MLA
Mimura, S., Fujita, K., Takuma, K., Nakahara, M., Oura, K., Tadokoro, T., Tani, J., Morishita, A., Ono, M., Himoto, T., Masaki, T."Predictors of therapeutic response to peginterferon α‑2a and nucleos(t)ide analog combination therapy for HBeAg‑negative chronic hepatitis B: 1‑year follow‑up after treatment". Experimental and Therapeutic Medicine 26.6 (2023): 587.
Chicago
Mimura, S., Fujita, K., Takuma, K., Nakahara, M., Oura, K., Tadokoro, T., Tani, J., Morishita, A., Ono, M., Himoto, T., Masaki, T."Predictors of therapeutic response to peginterferon α‑2a and nucleos(t)ide analog combination therapy for HBeAg‑negative chronic hepatitis B: 1‑year follow‑up after treatment". Experimental and Therapeutic Medicine 26, no. 6 (2023): 587. https://doi.org/10.3892/etm.2023.12286
Follow us
  • Twitter
  • LinkedIn
  • Facebook
About
  • Spandidos Publications
  • Careers
  • Cookie Policy
  • Privacy Policy
How can we help?
  • Help
  • Live Chat
  • Contact
  • Email to our Support Team