Spandidos Publications Logo
  • About
    • About Spandidos
    • Aims and Scopes
    • Abstracting and Indexing
    • Editorial Policies
    • Reprints and Permissions
    • Job Opportunities
    • Terms and Conditions
    • Contact
  • Journals
    • All Journals
    • Oncology Letters
      • Oncology Letters
      • Information for Authors
      • Editorial Policies
      • Editorial Board
      • Aims and Scope
      • Abstracting and Indexing
      • Bibliographic Information
      • Archive
    • International Journal of Oncology
      • International Journal of Oncology
      • Information for Authors
      • Editorial Policies
      • Editorial Board
      • Aims and Scope
      • Abstracting and Indexing
      • Bibliographic Information
      • Archive
    • Molecular and Clinical Oncology
      • Molecular and Clinical Oncology
      • Information for Authors
      • Editorial Policies
      • Editorial Board
      • Aims and Scope
      • Abstracting and Indexing
      • Bibliographic Information
      • Archive
    • Experimental and Therapeutic Medicine
      • Experimental and Therapeutic Medicine
      • Information for Authors
      • Editorial Policies
      • Editorial Board
      • Aims and Scope
      • Abstracting and Indexing
      • Bibliographic Information
      • Archive
    • International Journal of Molecular Medicine
      • International Journal of Molecular Medicine
      • Information for Authors
      • Editorial Policies
      • Editorial Board
      • Aims and Scope
      • Abstracting and Indexing
      • Bibliographic Information
      • Archive
    • Biomedical Reports
      • Biomedical Reports
      • Information for Authors
      • Editorial Policies
      • Editorial Board
      • Aims and Scope
      • Abstracting and Indexing
      • Bibliographic Information
      • Archive
    • Oncology Reports
      • Oncology Reports
      • Information for Authors
      • Editorial Policies
      • Editorial Board
      • Aims and Scope
      • Abstracting and Indexing
      • Bibliographic Information
      • Archive
    • Molecular Medicine Reports
      • Molecular Medicine Reports
      • Information for Authors
      • Editorial Policies
      • Editorial Board
      • Aims and Scope
      • Abstracting and Indexing
      • Bibliographic Information
      • Archive
    • World Academy of Sciences Journal
      • World Academy of Sciences Journal
      • Information for Authors
      • Editorial Policies
      • Editorial Board
      • Aims and Scope
      • Abstracting and Indexing
      • Bibliographic Information
      • Archive
    • International Journal of Functional Nutrition
      • International Journal of Functional Nutrition
      • Information for Authors
      • Editorial Policies
      • Editorial Board
      • Aims and Scope
      • Abstracting and Indexing
      • Bibliographic Information
      • Archive
    • International Journal of Epigenetics
      • International Journal of Epigenetics
      • Information for Authors
      • Editorial Policies
      • Editorial Board
      • Aims and Scope
      • Abstracting and Indexing
      • Bibliographic Information
      • Archive
    • Medicine International
      • Medicine International
      • Information for Authors
      • Editorial Policies
      • Editorial Board
      • Aims and Scope
      • Abstracting and Indexing
      • Bibliographic Information
      • Archive
  • Articles
  • Information
    • Information for Authors
    • Information for Reviewers
    • Information for Librarians
    • Information for Advertisers
    • Conferences
  • Language Editing
Spandidos Publications Logo
  • About
    • About Spandidos
    • Aims and Scopes
    • Abstracting and Indexing
    • Editorial Policies
    • Reprints and Permissions
    • Job Opportunities
    • Terms and Conditions
    • Contact
  • Journals
    • All Journals
    • Biomedical Reports
      • Information for Authors
      • Editorial Policies
      • Editorial Board
      • Aims and Scope
      • Abstracting and Indexing
      • Bibliographic Information
      • Archive
    • Experimental and Therapeutic Medicine
      • Information for Authors
      • Editorial Policies
      • Editorial Board
      • Aims and Scope
      • Abstracting and Indexing
      • Bibliographic Information
      • Archive
    • International Journal of Epigenetics
      • Information for Authors
      • Editorial Policies
      • Editorial Board
      • Aims and Scope
      • Abstracting and Indexing
      • Bibliographic Information
      • Archive
    • International Journal of Functional Nutrition
      • Information for Authors
      • Editorial Policies
      • Editorial Board
      • Aims and Scope
      • Abstracting and Indexing
      • Bibliographic Information
      • Archive
    • International Journal of Molecular Medicine
      • Information for Authors
      • Editorial Policies
      • Editorial Board
      • Aims and Scope
      • Abstracting and Indexing
      • Bibliographic Information
      • Archive
    • International Journal of Oncology
      • Information for Authors
      • Editorial Policies
      • Editorial Board
      • Aims and Scope
      • Abstracting and Indexing
      • Bibliographic Information
      • Archive
    • Medicine International
      • Information for Authors
      • Editorial Policies
      • Editorial Board
      • Aims and Scope
      • Abstracting and Indexing
      • Bibliographic Information
      • Archive
    • Molecular and Clinical Oncology
      • Information for Authors
      • Editorial Policies
      • Editorial Board
      • Aims and Scope
      • Abstracting and Indexing
      • Bibliographic Information
      • Archive
    • Molecular Medicine Reports
      • Information for Authors
      • Editorial Policies
      • Editorial Board
      • Aims and Scope
      • Abstracting and Indexing
      • Bibliographic Information
      • Archive
    • Oncology Letters
      • Information for Authors
      • Editorial Policies
      • Editorial Board
      • Aims and Scope
      • Abstracting and Indexing
      • Bibliographic Information
      • Archive
    • Oncology Reports
      • Information for Authors
      • Editorial Policies
      • Editorial Board
      • Aims and Scope
      • Abstracting and Indexing
      • Bibliographic Information
      • Archive
    • World Academy of Sciences Journal
      • Information for Authors
      • Editorial Policies
      • Editorial Board
      • Aims and Scope
      • Abstracting and Indexing
      • Bibliographic Information
      • Archive
  • Articles
  • Information
    • For Authors
    • For Reviewers
    • For Librarians
    • For Advertisers
    • Conferences
  • Language Editing
Login Register Submit
  • This site uses cookies
  • You can change your cookie settings at any time by following the instructions in our Cookie Policy. To find out more, you may read our Privacy Policy.

    I agree
Search articles by DOI, keyword, author or affiliation
Search
Advanced Search
presentation
Experimental and Therapeutic Medicine
Join Editorial Board Propose a Special Issue
Print ISSN: 1792-0981 Online ISSN: 1792-1015
Journal Cover
January-2024 Volume 27 Issue 1

Full Size Image

Sign up for eToc alerts
Recommend to Library

Journals

International Journal of Molecular Medicine

International Journal of Molecular Medicine

International Journal of Molecular Medicine is an international journal devoted to molecular mechanisms of human disease.

International Journal of Oncology

International Journal of Oncology

International Journal of Oncology is an international journal devoted to oncology research and cancer treatment.

Molecular Medicine Reports

Molecular Medicine Reports

Covers molecular medicine topics such as pharmacology, pathology, genetics, neuroscience, infectious diseases, molecular cardiology, and molecular surgery.

Oncology Reports

Oncology Reports

Oncology Reports is an international journal devoted to fundamental and applied research in Oncology.

Experimental and Therapeutic Medicine

Experimental and Therapeutic Medicine

Experimental and Therapeutic Medicine is an international journal devoted to laboratory and clinical medicine.

Oncology Letters

Oncology Letters

Oncology Letters is an international journal devoted to Experimental and Clinical Oncology.

Biomedical Reports

Biomedical Reports

Explores a wide range of biological and medical fields, including pharmacology, genetics, microbiology, neuroscience, and molecular cardiology.

Molecular and Clinical Oncology

Molecular and Clinical Oncology

International journal addressing all aspects of oncology research, from tumorigenesis and oncogenes to chemotherapy and metastasis.

World Academy of Sciences Journal

World Academy of Sciences Journal

Multidisciplinary open-access journal spanning biochemistry, genetics, neuroscience, environmental health, and synthetic biology.

International Journal of Functional Nutrition

International Journal of Functional Nutrition

Open-access journal combining biochemistry, pharmacology, immunology, and genetics to advance health through functional nutrition.

International Journal of Epigenetics

International Journal of Epigenetics

Publishes open-access research on using epigenetics to advance understanding and treatment of human disease.

Medicine International

Medicine International

An International Open Access Journal Devoted to General Medicine.

Journal Cover
January-2024 Volume 27 Issue 1

Full Size Image

Sign up for eToc alerts
Recommend to Library

  • Article
  • Citations
    • Cite This Article
    • Download Citation
    • Create Citation Alert
    • Remove Citation Alert
    • Cited By
  • Similar Articles
    • Related Articles (in Spandidos Publications)
    • Similar Articles (Google Scholar)
    • Similar Articles (PubMed)
  • Download PDF
  • Download XML
  • View XML
Article

Subsequent pregnancy in women who have undergone bilateral uterine artery ligation during cesarean section: A case series

  • Authors:
    • Jian An
  • View Affiliations / Copyright

    Affiliations: Department of Gynecology, Women and Children's Hospital, School of Medicine, Xiamen University, Xiamen, Fujian 361000, P.R. China
  • Article Number: 9
    |
    Published online on: November 13, 2023
       https://doi.org/10.3892/etm.2023.12296
  • Expand metrics +
Metrics: Total Views: 0 (Spandidos Publications: | PMC Statistics: )
Metrics: Total PDF Downloads: 0 (Spandidos Publications: | PMC Statistics: )
Cited By (CrossRef): 0 citations Loading Articles...

This article is mentioned in:



Abstract

Bilateral uterine artery ligation (BUAL) serves as an effective surgical devascularization procedure in obstetric emergencies. However, concerns regarding the impact of uterine devascularization have evoked dispute. Here, the fetal growth index and obstetrical outcomes during the subsequent pregnancy of women who had undergone BUAL during cesarean section are reported. The case series of women who underwent BUAL during cesarean section and had another delivery later at the Xiamen Women and Children's Hospital between 2011 and 2020 is described. Pregnancies that did not continue beyond 20 weeks of gestation were excluded. Cases were identified from neonatal and obstetric databases and the clinical data of all cases were extracted. A total of 12 cases were identified retrospectively. Fetal biometric parameters of subsequent pregnancies in all cases including biparietal diameter, head circumference, abdominal circumference, and femur length are presented graphically across the different gestational ages and were all within the range of the 3rd‑97th percentile. No maternal or neonatal morbidity was observed. BUAL did not appear to compromise a woman's subsequent obstetric outcomes. As a safe and simple surgical technique, it is safe to recommend BUAL in clinical practice.

Introduction

Uterine devascularization methods, including bilateral ligation of hypogastric (internal iliac) arteries, uterine devascularization procedures, and radiological arterial embolization (1-4), have long been practiced as effective management in obstetric emergencies caused by excessive bleeding. As a quick and simple surgical devascularization procedure, bilateral uterine artery ligation (BUAL) can decrease the blood supply to the uterus and effectively reduce intraoperative blood loss, and reduce the incidence of postpartum hemorrhage (PPH) and the urgent hysterectomy rate (5). However, some obstetricians hold the view that the adverse effects of this invasive procedure on patients' subsequent fertility and obstetrical outcomes should be considered (6-8). It has been suggested that infertility, intrauterine synechia, placenta accreta, and certain adverse pregnancy outcomes are associated with uterine devascularization, and therefore this procedure should be performed taking these possibilities into consideration.

Concerns regarding the impact following uterine devascularization have led some investigators to conduct relevant studies. Reports indicate that uterine devascularization does not appear to adversely affect the menstrual and fertility outcomes of the majority of women, but their sample sizes are small (9-11). Conversely, there are also studies on uterine artery Doppler scans revealing that the recanalization rate and isolated uterine blood supply are low following BUAL (12,13), and assessment for intrauterine fetal growth restriction in the next pregnancy is recommended.

To date, to the best of our knowledge, no studies have reported the fetal growth index in the subsequent pregnancy and discussed whether intrauterine growth restriction (IUGR) is related to BUAL. Therefore, the aim of the current case series was to describe the fetal growth index and obstetrical outcomes during the subsequent pregnancy of women who had undergone BUAL due to obstetric emergencies in a single center over a 9-year period.

Patients and methods

The present study was approved by the Institutional Board Review of Xiamen Women and Children's Hospital. A total of 12 cases were identified retrospectively from the clinical database of Xiamen Women and Children's Hospital. This database is an electronic record of all patients admitted to the Xiamen Women and Children's Hospital since 2011. This database was queried to obtain a list of all patients who had at least two hospital deliveries from October 2011 to December 2020. Women who underwent BUAL during cesarean section and had another delivery later were included. Patients whose pregnancies did not continue beyond 20 weeks of gestation were excluded, as delivery records were built in the database only when the gestational age at delivery was ≥20 weeks.

The clinical characteristics of the 12 patients who had undergone BUAL during cesarean delivery in a previous pregnancy are described in Table I. BUAL was performed in all patients for PPH. In all patients, the principal contributor to hemorrhage was durative intrauterine bleeding and uterine atony, which did not respond to oxytocic drugs. All the patients required blood transfusions. No maternal deaths were recorded, and no surgical complications arose during the BUAL.

Table I

Clinical characteristics of the patients who underwent bilateral uterine artery ligation.

Table I

Clinical characteristics of the patients who underwent bilateral uterine artery ligation.

CaseAge, yearsParityReason for cesareanIndication for BUALOther surgical managementTerm of delivery, weeksFetal birth weight, gMaternal and neonatal outcome
1240Failed induction of laborDurative intrauterine bleedingBakri Postpartum Balloon413,870PPH
2210Central placentaDurative intrauterine bleedingNone321,300Neonatal death
3260Suspected of macrosomiaHematoma of broadNone402,950PPH
4270Suspected of macrosomiaUterine atonyNone404,100PPH
5290Amniotic fluid pollution, OCT (+)Uterine atonyB-lynch413,850PPH
6310Failed induction of laborDurative intrauterine bleedingNone403,460Normal
7280Persistent OTDurative intrauterine bleedingB-lynch393,510PPH
8210Persistent OPDurative intrauterine bleedingB-lynch403,670PPH
9200Multiple pregnancyUterine atonyNone372,680, 2,800Normal
10270Failed induction of laborDurative intrauterine bleedingNone414,220Normal
11321Suspected of placental abruptionDurative intrauterine bleedingNone281,130Normal
12290Multiple pregnancyUterine atonyB-lynch372580, 2450Normal

[i] BUAL, bilateral uterine artery ligation; OCT, oxytocin challenge test; OT, occiput transverse; OP, occiput posterior; PPH, postpartum hemorrhage.

Results

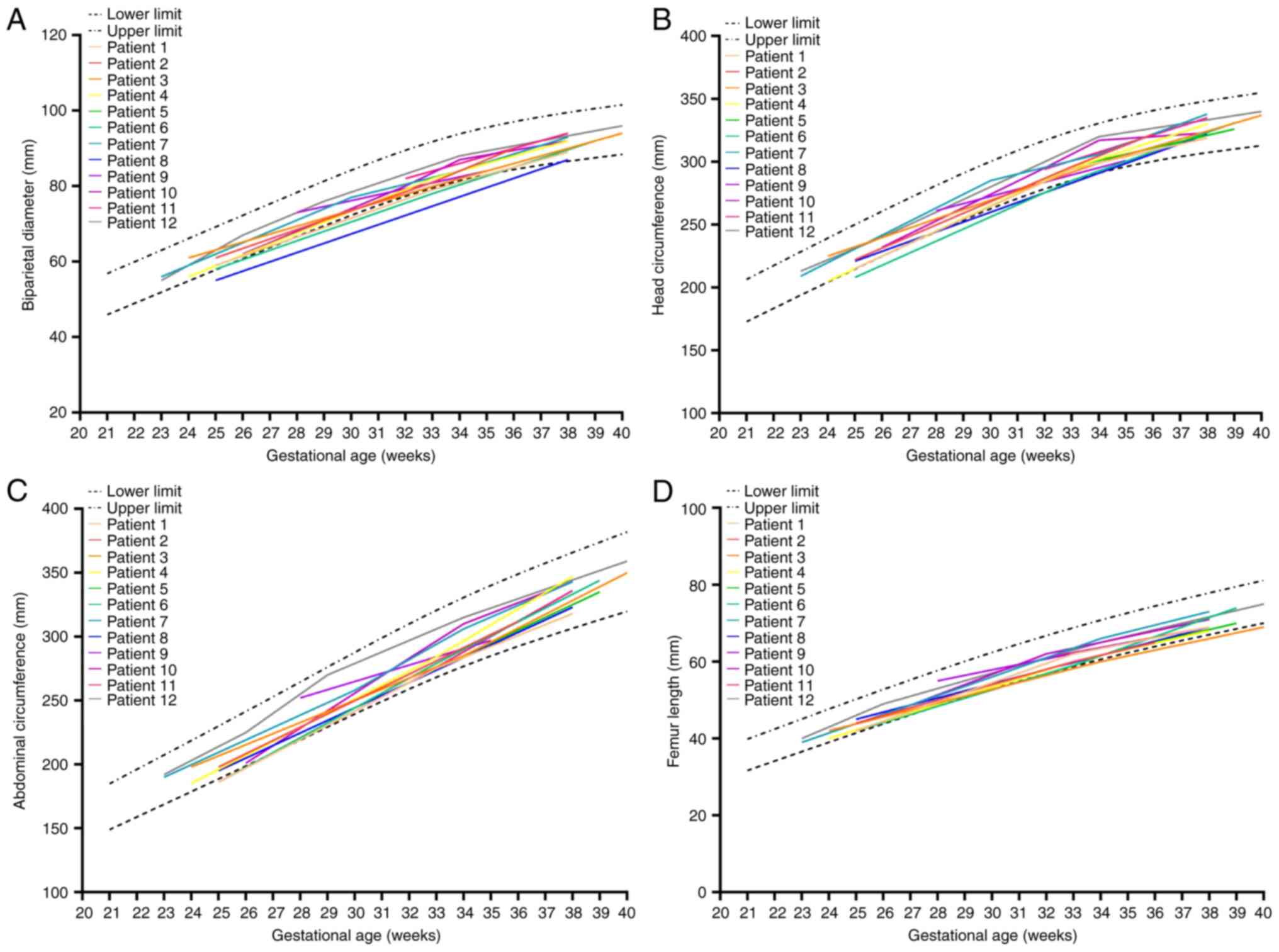
The delay before a subsequent pregnancy following BUAL was 2-7 years. As biparietal diameter (BPD), head circumference (HC), abdominal circumference (AC), and femur length (FL) are fetal biometric parameters for intrauterine growth restriction calculations, for the subsequent pregnancy, the data of fetal biometry parameters were fitted to the gestational age in weeks (gestational age) satisfactorily with a cubic polynomial model (Fig. 1). Parameters for all the patients were within the range of the 3rd-97th percentile (14) according to gestational age.

Figure 1

Fitted 3rd and 97th percentile curves superimposed on the raw data for (A) biparietal diameter, (B) head circumference, (C) abdominal circumference, and (D) femur length.

The outcomes of the 12 patients in the subsequent pregnancy after BUAL are described in Table II. For 7 of the 12 cases, the mode of delivery was cesarean section, and five had a vaginal delivery. There were no cases of PPH or maternal or neonatal death in the series. Follow-ups were performed by telephone annually, and all children in the study exhibited normal development.

Table II

Outcomes of the subsequent pregnancies after bilateral uterine artery ligation for obstetric emergencies.

Table II

Outcomes of the subsequent pregnancies after bilateral uterine artery ligation for obstetric emergencies.

CasePeriod since previous delivery, monthsMode of deliveryTerm of delivery, weeksBUALPPHFetal birth weight, gMaternal and neonatal outcome
141Cesarean section41YesNo3,840Normal
231Vaginal delivery36NoNo2,485Normal
335Cesarean section39NoNo3,280Normal
480Cesarean section38NoNo3,490Normal
552Cesarean section39NoNo3,310Normal
639Cesarean section39NoNo3,420Normal
784Cesarean section39NoNo4,030Normal
837Cesarean section40NoNo3,540Normal
934Vaginal delivery38NoNo3,120Normal
1055Vaginal instrumental delivery (forceps)40NoNo3,965Normal
1187Vaginal delivery37NoNo2,695Normal
1234Vaginal delivery38NoNo3,325Normal

[i] BUAL, bilateral uterine artery ligation; PPH, postpartum hemorrhage.

Discussion

Ligation of the uterine artery is a simple procedure that can be adopted in emergency situations, even by obstetricians with limited training. For decades, ligation of the uterine artery was theoretically and erroneously assumed to shut off the uterine blood supply, which may thus result in hypoxemic injury of the uterus, leading to endometrial or myometrial damage. Furthermore, it may cause placental dysfunction and subsequent placental disorders, leading to IUGR in subsequent pregnancies (15,16).

Apart from occasional reported complications, overall data appear reassuring regarding the long-term fertility and obstetric outcomes after ligation of the uterine artery (9-11,17,18), according to data on the return of menses, the subsequent new pregnancies, and re-canalization of arteries and normal blood flow in the uterine artery as shown by color Doppler examination (19). To the best of our knowledge, no previous studies have reported complications in pregnancy, such as IUGR, and subsequent maternal and neonatal outcomes. In the present study, no IUGR or maternal or neonatal morbidity was observed. These results are consistent with the absence of adverse effects of BUAL on the subsequent gestational period. The underlying mechanism of unaffected pregnancy may be that the blood flow shifts to the collateral circulation after the blockage of the uterine artery and ensures adequate blood flow to the uterus. Additionally, re-canalization of the arteries may proceed during the period of uterine involution (Fig. 2) (13,20).

Figure 2

Schematic illustration of mechanism of unaffected pregnancy. (A) Bilateral uterine artery ligation during cesarean section. (B) Blood flow shifts to the collateral circulation after blockage of the uterine artery. (C) Ligation loosening during the period of uterine involution, and re-canalization of the arteries.

The results of the present study are based on retrospective data from a single center, and clinical information, including patient characteristics, maternal and neonatal outcomes, and fetal biometry parameters (BPD, HC, AC, and FL) in each pregnancy, was reported in detail. To the best of our knowledge, the present study is the first to focus on IUGR in subsequent pregnancy among women who had undergone BUAL in a previous pregnancy. The primary limitations of the present study are the small sample size, and that it was not possible to identify all patients who underwent BUAL in our hospital and who had subsequent pregnancies based on the database. Therefore, these results need to be interpreted with caution and may should only serve as a reference for future more comprehensive studies, and there is a need for good-quality evidence-based prospective studies with larger sample sizes to confirm these findings.

In conclusion, BUAL is a safe surgical technique, and it does not appear to compromise a woman's subsequent obstetric outcomes. Future pregnancies do not appear to pose an increased risk of intrauterine growth retardation. Therefore, BUAL may be more widely recommended in clinical practice.

Acknowledgements

Not applicable.

Funding

Funding: No funding was received.

Availability of data and materials

All data generated and/or analyzed during the present study are included in this published article.

Authors' contribution

JA designed the study, analyzed data, wrote the paper, and confirmed the authenticity of all the raw data. JA read and approved the final manuscript.

Ethics approval and consent to participate

This study was reviewed and approved by the Institutional Board Review of Xiamen Women and Children's Hospital (approval no. KY2023018). All the methodology was performed in accordance with the relevant guidelines and regulations. The Institutional Board Review of Xiamen Women and Children's Hospital waived the requirement for informed consent from patients.

Patient consent for publication

Not applicable.

Competing interests

The authors declare they have no competing interests.

References

1 

O'Leary JA: Pregnancy following uterine artery ligation. Obstet Gynecol. 55:112–113. 1980.PubMed/NCBI

2 

Fahmy K: Uterine artery ligation to control postpartum hemorrhage. Int J Gynaecol Obstet. 25:363–367. 1987.PubMed/NCBI View Article : Google Scholar

3 

AbdRabbo SA: Stepwise uterine devascularization: A novel technique for management of uncontrolled postpartum hemorrhage with preservation of the uterus. Am J Obstet Gynecol. 171:694–700. 1994.PubMed/NCBI View Article : Google Scholar

4 

Gonsalves M and Belli A: The role of interventional radiology in obstetric hemorrhage. Cardiovasc Intervent Radiol. 33:887–895. 2010.PubMed/NCBI View Article : Google Scholar

5 

Abbas AM, Shady NW and Sallam HF: Bilateral uterine artery ligation plus intravenous tranexamic acid during cesarean delivery for placenta previa: A randomized double-blind controlled trial. J Gynecol Obstet Hum Reprod. 48:115–119. 2019.PubMed/NCBI View Article : Google Scholar

6 

Sentilhes L, Gromez A, Clavier E, Resch B, Verspyck E and Marpeau L: Fertility and pregnancy following pelvic arterial embolisation for postpartum haemorrhage. BJOG. 117:84–93. 2010.PubMed/NCBI View Article : Google Scholar

7 

Fiori O, Deux JF, Kambale JC, Uzan S, Bougdhene F and Berkane N: Impact of pelvic arterial embolization for intractable postpartum hemorrhage on fertility. Am J Obstet Gynecol. 200:384.e1–e4. 2009.PubMed/NCBI View Article : Google Scholar

8 

Hardeman S, Decroisette E, Marin B, Vincelot A, Aubard Y, Pouquet M and Maubon A: Fertility after embolization of the uterine arteries to treat obstetrical hemorrhage: A review of 53 cases. Fertil Steril. 94:2574–2579. 2010.PubMed/NCBI View Article : Google Scholar

9 

Wagaarachchi PT and Fernando L: Fertility following ligation of internal iliac arteries for life-threatening obstetric haemorrhage: Case report. Hum Reprod. 15:1311–1313. 2000.PubMed/NCBI View Article : Google Scholar

10 

Sentilhes L, Trichot C, Resch B, Sergent F, Roman H, Marpeau L and Verspyck E: Fertility and pregnancy outcomes following uterine devascularization for severe postpartum haemorrhage. Hum Reprod. 23:1087–1092. 2008.PubMed/NCBI View Article : Google Scholar

11 

Unal O, Kars B, Buyukbayrak EE, Karsidag AYK and Turan C: The effectiveness of bilateral hypogastric artery ligation for obstetric hemorrhage in three different underlying conditions and its impact on future fertility. J Matern Fetal Neonatal Med. 24:1273–1276. 2011.PubMed/NCBI View Article : Google Scholar

12 

Domingo S, Perales-Puchalt A, Soler I, Marcos B, Tamarit G and Pellicer A: Clinical outcome, fertility and uterine artery Doppler scans in women with obstetric bilateral internal iliac artery ligation or embolisation. J Obstet Gynaecol. 33:701–704. 2013.PubMed/NCBI View Article : Google Scholar

13 

Kaplanoglu M, Karateke A, Un B, Gunsoy L and Baloglu A: Evaluation of uterine artery recanalization and Doppler parameters after bilateral uterine artery ligation in women with postpartum hemorrhage. Int J Clin Exp Med. 8:7823–7829. 2015.PubMed/NCBI

14 

Zhang Y, Meng H, Jiang Y, Xu Z, Ouyang Y, Li S, Chen Q, Wu Q, Li R, Ru T, et al: Chinese fetal biometry: Reference equations and comparison with charts from other populations. J Matern Fetal Neonatal Med. 32:1507–1515. 2019.PubMed/NCBI View Article : Google Scholar

15 

Gizzo S, Saccardi C, Patrelli TS, Di Gangi S, Breda E, Fagherazzi S, Noventa M, D'Antona D and Nardelli GB: Fertility rate and subsequent pregnancy outcomes after conservative surgical techniques in postpartum hemorrhage: 15 Years of literature. Fertil Steril. 99:2097–2107. 2013.PubMed/NCBI View Article : Google Scholar

16 

Blanc J, Courbiere B, Desbriere R, Bretelle F, Boubli L, d'Ercole C and Carcopino X: Is uterine-sparing surgical management of persistent postpartum hemorrhage truly a fertility-sparing technique? Fertil Steril. 95:2503–2506. 2011.PubMed/NCBI View Article : Google Scholar

17 

Sziller I, Hupuczi P and Papp Z: Hypogastric artery ligation for severe hemorrhage in obstetric patients. J Perinat Med. 35:187–192. 2007.PubMed/NCBI View Article : Google Scholar

18 

Doumouchtsis SK, Nikolopoulos K, Talaulikar V, Krishna A and Arulkumaran S: Menstrual and fertility outcomes following the surgical management of postpartum haemorrhage: A systematic review. BJOG. 121:382–388. 2014.PubMed/NCBI View Article : Google Scholar

19 

Demirci F, Ozdemir I, Safak A, Ozden S and Somunkiran A: Comparison of colour Doppler indices of pelvic arteries in women with bilateral hypogastric artery ligation and controls. J Obstet Gynaecol. 25:273–274. 2005.PubMed/NCBI View Article : Google Scholar

20 

Dubay ML, Holshauser CA and Burchell RC: Internal iliac artery ligation for postpartum hemorrhage: Recanalization of vessels. Am J Obstet Gynecol. 136:689–691. 1980.PubMed/NCBI View Article : Google Scholar

Related Articles

  • Abstract
  • View
  • Download
  • Twitter
Copy and paste a formatted citation
Spandidos Publications style
An J: Subsequent pregnancy in women who have undergone bilateral uterine artery ligation during cesarean section: A case series. Exp Ther Med 27: 9, 2024.
APA
An, J. (2024). Subsequent pregnancy in women who have undergone bilateral uterine artery ligation during cesarean section: A case series. Experimental and Therapeutic Medicine, 27, 9. https://doi.org/10.3892/etm.2023.12296
MLA
An, J."Subsequent pregnancy in women who have undergone bilateral uterine artery ligation during cesarean section: A case series". Experimental and Therapeutic Medicine 27.1 (2024): 9.
Chicago
An, J."Subsequent pregnancy in women who have undergone bilateral uterine artery ligation during cesarean section: A case series". Experimental and Therapeutic Medicine 27, no. 1 (2024): 9. https://doi.org/10.3892/etm.2023.12296
Copy and paste a formatted citation
x
Spandidos Publications style
An J: Subsequent pregnancy in women who have undergone bilateral uterine artery ligation during cesarean section: A case series. Exp Ther Med 27: 9, 2024.
APA
An, J. (2024). Subsequent pregnancy in women who have undergone bilateral uterine artery ligation during cesarean section: A case series. Experimental and Therapeutic Medicine, 27, 9. https://doi.org/10.3892/etm.2023.12296
MLA
An, J."Subsequent pregnancy in women who have undergone bilateral uterine artery ligation during cesarean section: A case series". Experimental and Therapeutic Medicine 27.1 (2024): 9.
Chicago
An, J."Subsequent pregnancy in women who have undergone bilateral uterine artery ligation during cesarean section: A case series". Experimental and Therapeutic Medicine 27, no. 1 (2024): 9. https://doi.org/10.3892/etm.2023.12296
Follow us
  • Twitter
  • LinkedIn
  • Facebook
About
  • Spandidos Publications
  • Careers
  • Cookie Policy
  • Privacy Policy
How can we help?
  • Help
  • Live Chat
  • Contact
  • Email to our Support Team