Spandidos Publications Logo
  • About
    • About Spandidos
    • Aims and Scopes
    • Abstracting and Indexing
    • Editorial Policies
    • Reprints and Permissions
    • Job Opportunities
    • Terms and Conditions
    • Contact
  • Journals
    • All Journals
    • Oncology Letters
      • Oncology Letters
      • Information for Authors
      • Editorial Policies
      • Editorial Board
      • Aims and Scope
      • Abstracting and Indexing
      • Bibliographic Information
      • Archive
    • International Journal of Oncology
      • International Journal of Oncology
      • Information for Authors
      • Editorial Policies
      • Editorial Board
      • Aims and Scope
      • Abstracting and Indexing
      • Bibliographic Information
      • Archive
    • Molecular and Clinical Oncology
      • Molecular and Clinical Oncology
      • Information for Authors
      • Editorial Policies
      • Editorial Board
      • Aims and Scope
      • Abstracting and Indexing
      • Bibliographic Information
      • Archive
    • Experimental and Therapeutic Medicine
      • Experimental and Therapeutic Medicine
      • Information for Authors
      • Editorial Policies
      • Editorial Board
      • Aims and Scope
      • Abstracting and Indexing
      • Bibliographic Information
      • Archive
    • International Journal of Molecular Medicine
      • International Journal of Molecular Medicine
      • Information for Authors
      • Editorial Policies
      • Editorial Board
      • Aims and Scope
      • Abstracting and Indexing
      • Bibliographic Information
      • Archive
    • Biomedical Reports
      • Biomedical Reports
      • Information for Authors
      • Editorial Policies
      • Editorial Board
      • Aims and Scope
      • Abstracting and Indexing
      • Bibliographic Information
      • Archive
    • Oncology Reports
      • Oncology Reports
      • Information for Authors
      • Editorial Policies
      • Editorial Board
      • Aims and Scope
      • Abstracting and Indexing
      • Bibliographic Information
      • Archive
    • Molecular Medicine Reports
      • Molecular Medicine Reports
      • Information for Authors
      • Editorial Policies
      • Editorial Board
      • Aims and Scope
      • Abstracting and Indexing
      • Bibliographic Information
      • Archive
    • World Academy of Sciences Journal
      • World Academy of Sciences Journal
      • Information for Authors
      • Editorial Policies
      • Editorial Board
      • Aims and Scope
      • Abstracting and Indexing
      • Bibliographic Information
      • Archive
    • International Journal of Functional Nutrition
      • International Journal of Functional Nutrition
      • Information for Authors
      • Editorial Policies
      • Editorial Board
      • Aims and Scope
      • Abstracting and Indexing
      • Bibliographic Information
      • Archive
    • International Journal of Epigenetics
      • International Journal of Epigenetics
      • Information for Authors
      • Editorial Policies
      • Editorial Board
      • Aims and Scope
      • Abstracting and Indexing
      • Bibliographic Information
      • Archive
    • Medicine International
      • Medicine International
      • Information for Authors
      • Editorial Policies
      • Editorial Board
      • Aims and Scope
      • Abstracting and Indexing
      • Bibliographic Information
      • Archive
  • Articles
  • Information
    • Information for Authors
    • Information for Reviewers
    • Information for Librarians
    • Information for Advertisers
    • Conferences
  • Language Editing
Spandidos Publications Logo
  • About
    • About Spandidos
    • Aims and Scopes
    • Abstracting and Indexing
    • Editorial Policies
    • Reprints and Permissions
    • Job Opportunities
    • Terms and Conditions
    • Contact
  • Journals
    • All Journals
    • Biomedical Reports
      • Information for Authors
      • Editorial Policies
      • Editorial Board
      • Aims and Scope
      • Abstracting and Indexing
      • Bibliographic Information
      • Archive
    • Experimental and Therapeutic Medicine
      • Information for Authors
      • Editorial Policies
      • Editorial Board
      • Aims and Scope
      • Abstracting and Indexing
      • Bibliographic Information
      • Archive
    • International Journal of Epigenetics
      • Information for Authors
      • Editorial Policies
      • Editorial Board
      • Aims and Scope
      • Abstracting and Indexing
      • Bibliographic Information
      • Archive
    • International Journal of Functional Nutrition
      • Information for Authors
      • Editorial Policies
      • Editorial Board
      • Aims and Scope
      • Abstracting and Indexing
      • Bibliographic Information
      • Archive
    • International Journal of Molecular Medicine
      • Information for Authors
      • Editorial Policies
      • Editorial Board
      • Aims and Scope
      • Abstracting and Indexing
      • Bibliographic Information
      • Archive
    • International Journal of Oncology
      • Information for Authors
      • Editorial Policies
      • Editorial Board
      • Aims and Scope
      • Abstracting and Indexing
      • Bibliographic Information
      • Archive
    • Medicine International
      • Information for Authors
      • Editorial Policies
      • Editorial Board
      • Aims and Scope
      • Abstracting and Indexing
      • Bibliographic Information
      • Archive
    • Molecular and Clinical Oncology
      • Information for Authors
      • Editorial Policies
      • Editorial Board
      • Aims and Scope
      • Abstracting and Indexing
      • Bibliographic Information
      • Archive
    • Molecular Medicine Reports
      • Information for Authors
      • Editorial Policies
      • Editorial Board
      • Aims and Scope
      • Abstracting and Indexing
      • Bibliographic Information
      • Archive
    • Oncology Letters
      • Information for Authors
      • Editorial Policies
      • Editorial Board
      • Aims and Scope
      • Abstracting and Indexing
      • Bibliographic Information
      • Archive
    • Oncology Reports
      • Information for Authors
      • Editorial Policies
      • Editorial Board
      • Aims and Scope
      • Abstracting and Indexing
      • Bibliographic Information
      • Archive
    • World Academy of Sciences Journal
      • Information for Authors
      • Editorial Policies
      • Editorial Board
      • Aims and Scope
      • Abstracting and Indexing
      • Bibliographic Information
      • Archive
  • Articles
  • Information
    • For Authors
    • For Reviewers
    • For Librarians
    • For Advertisers
    • Conferences
  • Language Editing
Login Register Submit
  • This site uses cookies
  • You can change your cookie settings at any time by following the instructions in our Cookie Policy. To find out more, you may read our Privacy Policy.

    I agree
Search articles by DOI, keyword, author or affiliation
Search
Advanced Search
presentation
Experimental and Therapeutic Medicine
Join Editorial Board Propose a Special Issue
Print ISSN: 1792-0981 Online ISSN: 1792-1015
Journal Cover
July-2024 Volume 28 Issue 1

Full Size Image

Sign up for eToc alerts
Recommend to Library

Journals

International Journal of Molecular Medicine

International Journal of Molecular Medicine

International Journal of Molecular Medicine is an international journal devoted to molecular mechanisms of human disease.

International Journal of Oncology

International Journal of Oncology

International Journal of Oncology is an international journal devoted to oncology research and cancer treatment.

Molecular Medicine Reports

Molecular Medicine Reports

Covers molecular medicine topics such as pharmacology, pathology, genetics, neuroscience, infectious diseases, molecular cardiology, and molecular surgery.

Oncology Reports

Oncology Reports

Oncology Reports is an international journal devoted to fundamental and applied research in Oncology.

Experimental and Therapeutic Medicine

Experimental and Therapeutic Medicine

Experimental and Therapeutic Medicine is an international journal devoted to laboratory and clinical medicine.

Oncology Letters

Oncology Letters

Oncology Letters is an international journal devoted to Experimental and Clinical Oncology.

Biomedical Reports

Biomedical Reports

Explores a wide range of biological and medical fields, including pharmacology, genetics, microbiology, neuroscience, and molecular cardiology.

Molecular and Clinical Oncology

Molecular and Clinical Oncology

International journal addressing all aspects of oncology research, from tumorigenesis and oncogenes to chemotherapy and metastasis.

World Academy of Sciences Journal

World Academy of Sciences Journal

Multidisciplinary open-access journal spanning biochemistry, genetics, neuroscience, environmental health, and synthetic biology.

International Journal of Functional Nutrition

International Journal of Functional Nutrition

Open-access journal combining biochemistry, pharmacology, immunology, and genetics to advance health through functional nutrition.

International Journal of Epigenetics

International Journal of Epigenetics

Publishes open-access research on using epigenetics to advance understanding and treatment of human disease.

Medicine International

Medicine International

An International Open Access Journal Devoted to General Medicine.

Journal Cover
July-2024 Volume 28 Issue 1

Full Size Image

Sign up for eToc alerts
Recommend to Library

  • Article
  • Citations
    • Cite This Article
    • Download Citation
    • Create Citation Alert
    • Remove Citation Alert
    • Cited By
  • Similar Articles
    • Related Articles (in Spandidos Publications)
    • Similar Articles (Google Scholar)
    • Similar Articles (PubMed)
  • Download PDF
  • Download XML
  • View XML
Article Open Access

Predictive value of fluorometric method and tandem mass spectrometry for hyperphenylalaninemia and its subtypes in China: A systematic review and meta‑analysis

  • Authors:
    • Zhirong Shang
    • Pan Xie
    • Ke Pan
    • Jialin Liu
    • Wei Xu
    • Yue Hu
    • Li Tang
    • Qinghua Leng
    • Shuyu Liu
    • Chengchuan He
  • View Affiliations / Copyright

    Affiliations: Department of Clinical Laboratory, Mianyang Maternity and Child Healthcare Hospital, Mianyang, Sichuan 621000, P.R. China
    Copyright: © Shang et al. This is an open access article distributed under the terms of Creative Commons Attribution License.
  • Article Number: 278
    |
    Published online on: May 10, 2024
       https://doi.org/10.3892/etm.2024.12566
  • Expand metrics +
Metrics: Total Views: 0 (Spandidos Publications: | PMC Statistics: )
Metrics: Total PDF Downloads: 0 (Spandidos Publications: | PMC Statistics: )
Cited By (CrossRef): 0 citations Loading Articles...

This article is mentioned in:



Abstract

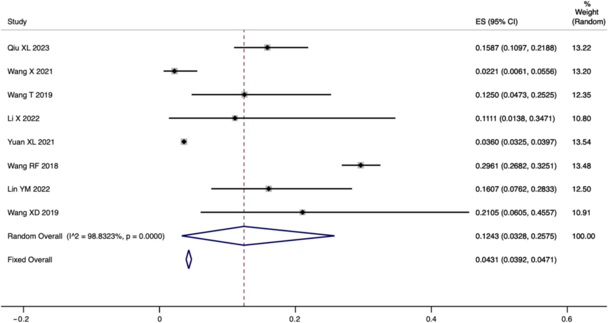
The present study aimed to conduct a comprehensive meta‑analysis to assess the diagnostic value of fluorometric assays and tandem mass spectrometry (MS/MS) for hyperphenylalaninemia (HPA) and its subtypes. The PubMed, Embase and Cochrane Library databases were searched from inception to October 2023. The present study included studies that reported the newborn screening and genetic features of patients with HPA and excluded duplicate publications, studies without full text, studies with incomplete information, studies from which it was not possible to extract data, animal experiments, reviews and systematic reviews. STATA 15.1 was used to analyze the data. The pooled results revealed that 0.04% [95% confidence interval (CI): 0.019‑0.069] of neonatal HPA fluorometric assays and MS/MS. The positive predictive value (PPV) of neonatal HPA screening using fluorometric assays and tandem mass spectrometry was 31.7% (95% CI: 19.6‑45.2). Notably, the PPV of neonatal HPA screening using fluorometric assays was 8.3% (95% CI: 7.1‑9.6), while the PPV of neonatal HPA screening using tandem mass spectrometry was 31.8% (95% CI: 16.4‑49.4). Additionally, the pooled results showed that the incidence of tetrahydrobiopterin deficiency (BH4D) in HPA patients was 12.43% (95% CI: 3.28‑25.75) and the incidence of phenylalanine hydroxylase deficiency (PAHD) in HPA patients was 88.65% (95% CI: 78.84‑95.86). Newborn screening is an effective method for the early detection of HPA and MS/MS has a greater PPA than fluorometric assays for diagnosing HPA. In addition, in the screening of HPA, the proportion of HPA patients with PAHD was significantly higher than that of patients with BH4D.
View Figures

Figure 1

Figure 2

Figure 3

Figure 4

Figure 5

Figure 6

Figure 7

View References

1 

van Spronsen FJ, Blau N, Harding C, Burlina A, Longo N and Bosch AM: Phenylketonuria. Nat Rev Dis Primers. 7(36)2021.PubMed/NCBI View Article : Google Scholar

2 

Loeber JG: Neonatal screening in Europe; the situation in 2004. J Inherit Metab Dis. 30:430–438. 2007.PubMed/NCBI View Article : Google Scholar

3 

National Institutes of Health Consensus Development Panel: national institutes of health consensus development conference statement. Phenylketonuria: Screening and management, October 16-18, 2000. Pediatrics. 108:972–982. 2001.PubMed/NCBI View Article : Google Scholar

4 

Gu X, Wang Z, Ye J, Han L and Qiu W: Newborn screening in China: Phenylketonuria, congenital hypothyroidism and expanded screening. Ann Acad Med Singap. 37 (Suppl 12):S107–S104. 2008.PubMed/NCBI

5 

Mitchell JJ, Trakadis YJ and Scriver CR: Phenylalanine hydroxylase deficiency. Genet Med. 13:697–707. 2011.PubMed/NCBI View Article : Google Scholar

6 

Blau N, Hennermann JB, Langenbeck U and Lichter-Konecki U: Diagnosis, classification, and genetics of phenylketonuria and tetrahydrobiopterin (BH4) deficiencies. Mol Genet Metab. 104 (Suppl 1):S2–S9. 2011.PubMed/NCBI View Article : Google Scholar

7 

Yang Y and Ye Y: Subspecial Group of Endocrine, Hereditary and Metabolic Diseases; Society of Pediatrics, Chinese Medical Association; Newborn Screening Committee of Professional Society of Birth Defect Prevention and Control; Chinese Assocation of Preventive Medical. Consensus about the diagnosis and treatment of hyperphenylalaninemia. Zhonghua Er Ke Za Zhi. 52:420–425. 2014.PubMed/NCBI(In Chinese).

8 

Subspecialty Group of Newborn Screening, Society of Birth Defects Prevention and Control, Chinese Preventive Medicine Association; Subspecialty Group of Clinical Nutrition, the Society of Pediatrics, Chinese Medical Association; Subspecialty Committee of Clinical Biochemistry and Genetics, the Society of Medical Genetics, Chinese Medical Doctor Association; Subspecialty Group of Clinical Genetics. Consensus statement on dietary treatment and nutritional management for phenylalanine hydroxylase deficiency. Zhonghua Er Ke Za Zhi. 57:405–409. 2019.PubMed/NCBI View Article : Google Scholar : (In Chinese).

9 

Perko D, Groselj U, Cuk V, Iztok Remec Z, Zerjav Tansek M, Drole Torkar A, Krhin B, Bicek A, Oblak A, Battelino T and Repic Lampret B: Comparison of tandem mass spectrometry and the fluorometric method-parallel phenylalanine measurement on a large fresh sample series and implications for newborn screening for phenylketonuria. Int J Mol Sci. 24(2487)2023.PubMed/NCBI View Article : Google Scholar

10 

Feng S, Mei J, Yang L, Luo P, Wang X, Wang Y, Yao J, Cui L, Pan L, Wang Z and Xin L: Benzene derivatives from ink lead to false positive results in neonatal hyperphenylalaninemia screening with ninhydrin fluorometric method. Int J Neonatal Screen. 6(14)2020.PubMed/NCBI View Article : Google Scholar

11 

Groselj U, Murko S, Zerjav Tansek M, Kovac J, Trampus Bakija A, Repic Lampret B and Battelino T: Comparison of tandem mass spectrometry and amino acid analyzer for phenylalanine and tyrosine monitoring--implications for clinical management of patients with hyperphenylalaninemia. Clin Biochem. 48:14–18. 2015.PubMed/NCBI View Article : Google Scholar

12 

Slim K, Nini E, Forestier D, Kwiatkowski F, Panis Y and Chipponi J: Methodological index for non-randomized studies (minors): Development and validation of a new instrument. ANZ J Surg. 73:712–716. 2003.PubMed/NCBI View Article : Google Scholar

13 

Ma Y, Huo X, Kong S, Xu W, Zhao W and Zhu M: A review about C-TIRADS, ACR-TIRADS, and K-TIRADS combined with real-time tissue elastography to diagnose thyroid nodules. Discov Med. 35:1–10. 2023.PubMed/NCBI View Article : Google Scholar

14 

Qiu X, Zhao P, Luo J, Li G, Deng L, Zeng Y, Xu L and Zhou J: Biochemical and molecular features of tetrahydrobiopterin deficiency in Fujian Province, southeastern China. Front Genet. 14(1250568)2023.PubMed/NCBI View Article : Google Scholar

15 

Wang X, Wang Y, Ma D, Zhang Z, Li Y, Yang P, Sun Y and Jiang T: Neonatal screening and genotype-phenotype correlation of hyperphenylalaninemia in the Chinese population. Orphanet J Rare Dis. 16(214)2021.PubMed/NCBI View Article : Google Scholar

16 

Wang T, Ma J, Zhang Q, Gao A, Wang Q, Li H, Xiang J and Wang B: Expanded newborn screening for inborn errors of metabolism by tandem mass spectrometry in Suzhou, China: Disease spectrum, prevalence, genetic characteristics in a Chinese population. Front Genet. 10(1052)2019.PubMed/NCBI View Article : Google Scholar

17 

Li X, He J, He L, Zeng Y, Huang X, Luo Y and Li Y: Spectrum analysis of inherited metabolic disorders for expanded newborn screening in a Central Chinese population. Front Genet. 12(763222)2022.PubMed/NCBI View Article : Google Scholar

18 

Yuan X, Zhu J, Liu H, Xiang L, Yao Y, Li Q, Deng K and Li X: Birth prevalence of tetrahydrobiopterin deficiency in China: Data from the national newborn screening program, 2013-2019. J Pediatr Endocrinol Metab. 34:835–841. 2021.PubMed/NCBI View Article : Google Scholar

19 

Wang R, Shen N, Ye J, Han L, Qiu W, Zhang H, Liang L, Sun Y, Fan Y, Wang L, et al: Mutation spectrum of hyperphenylalaninemia candidate genes and the genotype-phenotype correlation in the Chinese population. Clin Chim Acta. 481:132–138. 2018.PubMed/NCBI View Article : Google Scholar

20 

Lin Y, Lin W, Su R, Zheng Z, Fu Q and Wang G: Newborn screening and genetic features of patients with hyperphenylalaninemia in a southern Chinese population. Clin Chim Acta. 535:13–18. 2022.PubMed/NCBI View Article : Google Scholar

21 

Wang X, He Y, Jiang Y, Feng X, Zhang G, Xia Z and Zhou Y: Screening and mutation analysis of hyperphenylalaninemia in newborns from Xiamen, China. Clin Chim Acta. 498:161–166. 2019.PubMed/NCBI View Article : Google Scholar

22 

Ramalho AR, Ramalho RJ, Oliveira CR, Magalhães MM, Santos EG, Sarmento PM, Matos DO, Oliveira MC, Oliveira AL and Aguiar-Oliveira MH: Evaluation of effectiveness and outcome of PKU screening and management in the State of Sergipe, Brazil. Arq Bras Endocrinol Metabol. 58:62–67. 2014.PubMed/NCBI View Article : Google Scholar

23 

Steinfeld R, Kohlschütter A, Ullrich K and Lukacs Z: Efficiency of long-term tetrahydrobiopterin monotherapy in phenylketonuria. J Inherit Metab Dis. 27:449–453. 2004.PubMed/NCBI View Article : Google Scholar

24 

Aoki K: Long term follow-up of patients with inborn errors of metabolism detected by the newborn screening program in Japan. Southeast Asian J Trop Med Public Health. 34 (Suppl 3):S19–S23. 2003.PubMed/NCBI

25 

Kaye CI: Committee on Genetics. Accurso F, La Franchi S, Lane PA, Hope N, Sonya P, G Bradley S and Michele ALP: Newborn screening fact sheets. Pediatrics. 118:e934–e963. 2006.PubMed/NCBI View Article : Google Scholar

26 

Lin Y, Zheng Q, Zheng T, Zheng Z, Lin W and Fu Q: Expanded newborn screening for inherited metabolic disorders and genetic characteristics in a southern Chinese population. Clin Chim Acta. 494:106–111. 2019.PubMed/NCBI View Article : Google Scholar

27 

Opladen T, López-Laso E, Cortès-Saladelafont E, Pearson TS, Sivri HS, Yildiz Y, Assmann B, Kurian MA, Leuzzi V, Heales S, et al: Consensus guideline for the diagnosis and treatment of tetrahydrobiopterin (BH4) deficiencies. Orphanet J Rare Dis. 15(126)2020.PubMed/NCBI View Article : Google Scholar

Related Articles

  • Abstract
  • View
  • Download
  • Twitter
Copy and paste a formatted citation
Spandidos Publications style
Shang Z, Xie P, Pan K, Liu J, Xu W, Hu Y, Tang L, Leng Q, Liu S, He C, He C, et al: Predictive value of fluorometric method and tandem mass spectrometry for hyperphenylalaninemia and its subtypes in China: A systematic review and meta‑analysis. Exp Ther Med 28: 278, 2024.
APA
Shang, Z., Xie, P., Pan, K., Liu, J., Xu, W., Hu, Y. ... He, C. (2024). Predictive value of fluorometric method and tandem mass spectrometry for hyperphenylalaninemia and its subtypes in China: A systematic review and meta‑analysis. Experimental and Therapeutic Medicine, 28, 278. https://doi.org/10.3892/etm.2024.12566
MLA
Shang, Z., Xie, P., Pan, K., Liu, J., Xu, W., Hu, Y., Tang, L., Leng, Q., Liu, S., He, C."Predictive value of fluorometric method and tandem mass spectrometry for hyperphenylalaninemia and its subtypes in China: A systematic review and meta‑analysis". Experimental and Therapeutic Medicine 28.1 (2024): 278.
Chicago
Shang, Z., Xie, P., Pan, K., Liu, J., Xu, W., Hu, Y., Tang, L., Leng, Q., Liu, S., He, C."Predictive value of fluorometric method and tandem mass spectrometry for hyperphenylalaninemia and its subtypes in China: A systematic review and meta‑analysis". Experimental and Therapeutic Medicine 28, no. 1 (2024): 278. https://doi.org/10.3892/etm.2024.12566
Copy and paste a formatted citation
x
Spandidos Publications style
Shang Z, Xie P, Pan K, Liu J, Xu W, Hu Y, Tang L, Leng Q, Liu S, He C, He C, et al: Predictive value of fluorometric method and tandem mass spectrometry for hyperphenylalaninemia and its subtypes in China: A systematic review and meta‑analysis. Exp Ther Med 28: 278, 2024.
APA
Shang, Z., Xie, P., Pan, K., Liu, J., Xu, W., Hu, Y. ... He, C. (2024). Predictive value of fluorometric method and tandem mass spectrometry for hyperphenylalaninemia and its subtypes in China: A systematic review and meta‑analysis. Experimental and Therapeutic Medicine, 28, 278. https://doi.org/10.3892/etm.2024.12566
MLA
Shang, Z., Xie, P., Pan, K., Liu, J., Xu, W., Hu, Y., Tang, L., Leng, Q., Liu, S., He, C."Predictive value of fluorometric method and tandem mass spectrometry for hyperphenylalaninemia and its subtypes in China: A systematic review and meta‑analysis". Experimental and Therapeutic Medicine 28.1 (2024): 278.
Chicago
Shang, Z., Xie, P., Pan, K., Liu, J., Xu, W., Hu, Y., Tang, L., Leng, Q., Liu, S., He, C."Predictive value of fluorometric method and tandem mass spectrometry for hyperphenylalaninemia and its subtypes in China: A systematic review and meta‑analysis". Experimental and Therapeutic Medicine 28, no. 1 (2024): 278. https://doi.org/10.3892/etm.2024.12566
Follow us
  • Twitter
  • LinkedIn
  • Facebook
About
  • Spandidos Publications
  • Careers
  • Cookie Policy
  • Privacy Policy
How can we help?
  • Help
  • Live Chat
  • Contact
  • Email to our Support Team