Spandidos Publications Logo
  • About
    • About Spandidos
    • Aims and Scopes
    • Abstracting and Indexing
    • Editorial Policies
    • Reprints and Permissions
    • Job Opportunities
    • Terms and Conditions
    • Contact
  • Journals
    • All Journals
    • Oncology Letters
      • Oncology Letters
      • Information for Authors
      • Editorial Policies
      • Editorial Board
      • Aims and Scope
      • Abstracting and Indexing
      • Bibliographic Information
      • Archive
    • International Journal of Oncology
      • International Journal of Oncology
      • Information for Authors
      • Editorial Policies
      • Editorial Board
      • Aims and Scope
      • Abstracting and Indexing
      • Bibliographic Information
      • Archive
    • Molecular and Clinical Oncology
      • Molecular and Clinical Oncology
      • Information for Authors
      • Editorial Policies
      • Editorial Board
      • Aims and Scope
      • Abstracting and Indexing
      • Bibliographic Information
      • Archive
    • Experimental and Therapeutic Medicine
      • Experimental and Therapeutic Medicine
      • Information for Authors
      • Editorial Policies
      • Editorial Board
      • Aims and Scope
      • Abstracting and Indexing
      • Bibliographic Information
      • Archive
    • International Journal of Molecular Medicine
      • International Journal of Molecular Medicine
      • Information for Authors
      • Editorial Policies
      • Editorial Board
      • Aims and Scope
      • Abstracting and Indexing
      • Bibliographic Information
      • Archive
    • Biomedical Reports
      • Biomedical Reports
      • Information for Authors
      • Editorial Policies
      • Editorial Board
      • Aims and Scope
      • Abstracting and Indexing
      • Bibliographic Information
      • Archive
    • Oncology Reports
      • Oncology Reports
      • Information for Authors
      • Editorial Policies
      • Editorial Board
      • Aims and Scope
      • Abstracting and Indexing
      • Bibliographic Information
      • Archive
    • Molecular Medicine Reports
      • Molecular Medicine Reports
      • Information for Authors
      • Editorial Policies
      • Editorial Board
      • Aims and Scope
      • Abstracting and Indexing
      • Bibliographic Information
      • Archive
    • World Academy of Sciences Journal
      • World Academy of Sciences Journal
      • Information for Authors
      • Editorial Policies
      • Editorial Board
      • Aims and Scope
      • Abstracting and Indexing
      • Bibliographic Information
      • Archive
    • International Journal of Functional Nutrition
      • International Journal of Functional Nutrition
      • Information for Authors
      • Editorial Policies
      • Editorial Board
      • Aims and Scope
      • Abstracting and Indexing
      • Bibliographic Information
      • Archive
    • International Journal of Epigenetics
      • International Journal of Epigenetics
      • Information for Authors
      • Editorial Policies
      • Editorial Board
      • Aims and Scope
      • Abstracting and Indexing
      • Bibliographic Information
      • Archive
    • Medicine International
      • Medicine International
      • Information for Authors
      • Editorial Policies
      • Editorial Board
      • Aims and Scope
      • Abstracting and Indexing
      • Bibliographic Information
      • Archive
  • Articles
  • Information
    • Information for Authors
    • Information for Reviewers
    • Information for Librarians
    • Information for Advertisers
    • Conferences
  • Language Editing
Spandidos Publications Logo
  • About
    • About Spandidos
    • Aims and Scopes
    • Abstracting and Indexing
    • Editorial Policies
    • Reprints and Permissions
    • Job Opportunities
    • Terms and Conditions
    • Contact
  • Journals
    • All Journals
    • Biomedical Reports
      • Information for Authors
      • Editorial Policies
      • Editorial Board
      • Aims and Scope
      • Abstracting and Indexing
      • Bibliographic Information
      • Archive
    • Experimental and Therapeutic Medicine
      • Information for Authors
      • Editorial Policies
      • Editorial Board
      • Aims and Scope
      • Abstracting and Indexing
      • Bibliographic Information
      • Archive
    • International Journal of Epigenetics
      • Information for Authors
      • Editorial Policies
      • Editorial Board
      • Aims and Scope
      • Abstracting and Indexing
      • Bibliographic Information
      • Archive
    • International Journal of Functional Nutrition
      • Information for Authors
      • Editorial Policies
      • Editorial Board
      • Aims and Scope
      • Abstracting and Indexing
      • Bibliographic Information
      • Archive
    • International Journal of Molecular Medicine
      • Information for Authors
      • Editorial Policies
      • Editorial Board
      • Aims and Scope
      • Abstracting and Indexing
      • Bibliographic Information
      • Archive
    • International Journal of Oncology
      • Information for Authors
      • Editorial Policies
      • Editorial Board
      • Aims and Scope
      • Abstracting and Indexing
      • Bibliographic Information
      • Archive
    • Medicine International
      • Information for Authors
      • Editorial Policies
      • Editorial Board
      • Aims and Scope
      • Abstracting and Indexing
      • Bibliographic Information
      • Archive
    • Molecular and Clinical Oncology
      • Information for Authors
      • Editorial Policies
      • Editorial Board
      • Aims and Scope
      • Abstracting and Indexing
      • Bibliographic Information
      • Archive
    • Molecular Medicine Reports
      • Information for Authors
      • Editorial Policies
      • Editorial Board
      • Aims and Scope
      • Abstracting and Indexing
      • Bibliographic Information
      • Archive
    • Oncology Letters
      • Information for Authors
      • Editorial Policies
      • Editorial Board
      • Aims and Scope
      • Abstracting and Indexing
      • Bibliographic Information
      • Archive
    • Oncology Reports
      • Information for Authors
      • Editorial Policies
      • Editorial Board
      • Aims and Scope
      • Abstracting and Indexing
      • Bibliographic Information
      • Archive
    • World Academy of Sciences Journal
      • Information for Authors
      • Editorial Policies
      • Editorial Board
      • Aims and Scope
      • Abstracting and Indexing
      • Bibliographic Information
      • Archive
  • Articles
  • Information
    • For Authors
    • For Reviewers
    • For Librarians
    • For Advertisers
    • Conferences
  • Language Editing
Login Register Submit
  • This site uses cookies
  • You can change your cookie settings at any time by following the instructions in our Cookie Policy. To find out more, you may read our Privacy Policy.

    I agree
Search articles by DOI, keyword, author or affiliation
Search
Advanced Search
presentation
Experimental and Therapeutic Medicine
Join Editorial Board Propose a Special Issue
Print ISSN: 1792-0981 Online ISSN: 1792-1015
Journal Cover
September-2024 Volume 28 Issue 3

Full Size Image

Sign up for eToc alerts
Recommend to Library

Journals

International Journal of Molecular Medicine

International Journal of Molecular Medicine

International Journal of Molecular Medicine is an international journal devoted to molecular mechanisms of human disease.

International Journal of Oncology

International Journal of Oncology

International Journal of Oncology is an international journal devoted to oncology research and cancer treatment.

Molecular Medicine Reports

Molecular Medicine Reports

Covers molecular medicine topics such as pharmacology, pathology, genetics, neuroscience, infectious diseases, molecular cardiology, and molecular surgery.

Oncology Reports

Oncology Reports

Oncology Reports is an international journal devoted to fundamental and applied research in Oncology.

Experimental and Therapeutic Medicine

Experimental and Therapeutic Medicine

Experimental and Therapeutic Medicine is an international journal devoted to laboratory and clinical medicine.

Oncology Letters

Oncology Letters

Oncology Letters is an international journal devoted to Experimental and Clinical Oncology.

Biomedical Reports

Biomedical Reports

Explores a wide range of biological and medical fields, including pharmacology, genetics, microbiology, neuroscience, and molecular cardiology.

Molecular and Clinical Oncology

Molecular and Clinical Oncology

International journal addressing all aspects of oncology research, from tumorigenesis and oncogenes to chemotherapy and metastasis.

World Academy of Sciences Journal

World Academy of Sciences Journal

Multidisciplinary open-access journal spanning biochemistry, genetics, neuroscience, environmental health, and synthetic biology.

International Journal of Functional Nutrition

International Journal of Functional Nutrition

Open-access journal combining biochemistry, pharmacology, immunology, and genetics to advance health through functional nutrition.

International Journal of Epigenetics

International Journal of Epigenetics

Publishes open-access research on using epigenetics to advance understanding and treatment of human disease.

Medicine International

Medicine International

An International Open Access Journal Devoted to General Medicine.

Journal Cover
September-2024 Volume 28 Issue 3

Full Size Image

Sign up for eToc alerts
Recommend to Library

  • Article
  • Citations
    • Cite This Article
    • Download Citation
    • Create Citation Alert
    • Remove Citation Alert
    • Cited By
  • Similar Articles
    • Related Articles (in Spandidos Publications)
    • Similar Articles (Google Scholar)
    • Similar Articles (PubMed)
  • Download PDF
  • Download XML
  • View XML
Article Open Access

Diagnostic features of autoimmune hepatitis in SARS‑CoV‑2‑vaccinated vs. unvaccinated individuals

  • Authors:
    • Akifumi Kuwano
    • Shigehiro Nagasawa
    • Yuta Koga
    • Kosuke Tanaka
    • Masayoshi Yada
    • Akihide Masumoto
    • Kenta Motomura
  • View Affiliations / Copyright

    Affiliations: Department of Hepatology, Aso Iizuka Hospital, Iizuka, Fukuoka 820‑8505, Japan
    Copyright: © Kuwano et al. This is an open access article distributed under the terms of Creative Commons Attribution License.
  • Article Number: 337
    |
    Published online on: June 26, 2024
       https://doi.org/10.3892/etm.2024.12626
  • Expand metrics +
Metrics: Total Views: 0 (Spandidos Publications: | PMC Statistics: )
Metrics: Total PDF Downloads: 0 (Spandidos Publications: | PMC Statistics: )
Cited By (CrossRef): 0 citations Loading Articles...

This article is mentioned in:



Abstract

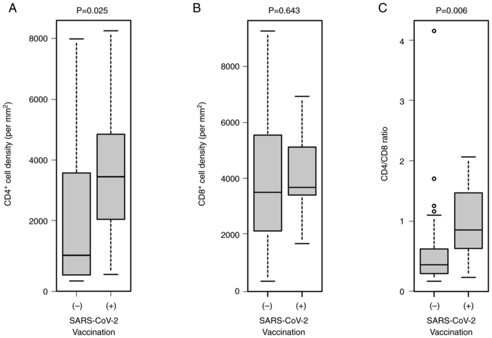
The global coronavirus disease 2019 (COVID‑19) pandemic, caused by severe acute respiratory syndrome coronavirus 2 (SARS‑CoV‑2), has affected millions of lives, leading to significant morbidity and mortality. With >772 million cases and nearly seven million deaths reported worldwide to date, the development of vaccines has been a critical step in mitigating the impact of COVID‑19. However, concerns have arisen regarding the potential for SARS‑CoV‑2 mRNA vaccination to trigger autoimmune diseases, including autoimmune hepatitis (AIH). The present single‑center, retrospective study aimed to compare the clinical and pathological features of AIH in patients with or without a history of SARS‑CoV‑2 mRNA vaccination. A total of 72 patients with AIH were examined. Among them, 10 had received the SARS‑CoV‑2 mRNA vaccination prior to AIH onset. These patients exhibited more pronounced CD4+ T cell infiltration into the liver tissue compared with those who were unvaccinated. No significant differences in the levels of other liver enzymes, autoimmune antibodies, or CD8+ T cell infiltration were observed between the groups. Moreover, the AIH patients with a history of SARS‑CoV‑2 mRNA vaccination had more extensive CD4+ T cell infiltration in their liver tissues than the unvaccinated patients. These findings suggested that the immune response to SARS‑CoV‑2 mRNA vaccination may influence the pathogenesis of AIH, highlighting the need for further research into the relationship between SARS‑CoV‑2 mRNA vaccination and autoimmune liver diseases. Such studies will also help clarify the distinction between vaccine‑induced liver injury and traditional AIH.
View Figures

Figure 1

Figure 2

Figure 3

View References

1 

World Health Organization (WHO): COVID-19 epidemiological. WHO, Geneva, 2023. https://www.who.int/publications/m/item/covid-19-epidemiological-update-22-december-2023.

2 

Ariño H, Heartshorne R, Michael BD, Nicholson TR, Vincent A, Pollak TA and Vogrig A: Neuroimmune disorders in COVID-19. J Neurol. 269:2827–2839. 2022.PubMed/NCBI View Article : Google Scholar

3 

Tutal E, Ozaras R and Leblebicioglu H: Systematic review of COVID-19 and autoimmune thyroiditis. Travel Med Infect Dis. 47(102314)2022.PubMed/NCBI View Article : Google Scholar

4 

Gracia-Ramos AE, Martin-Nares E and Hernández-Molina G: New onset of autoimmune diseases following COVID-19 diagnosis. Cells. 10(3592)2021.PubMed/NCBI View Article : Google Scholar

5 

Polatoğlu I, Oncu-Oner T, Dalman I and Ozdogan S: COVID-19 in early 2023: Structure, replication mechanism, variants of SARS-CoV-2, diagnostic tests, and vaccine & drug development studies. MedComm. 4(e228)2023.PubMed/NCBI View Article : Google Scholar

6 

Guo M, Liu X, Chen X and Li Q: Insights into new-onset autoimmune diseases after COVID-19 vaccination. Autoimmun Rev. 22(103340)2023.PubMed/NCBI View Article : Google Scholar

7 

Lee EJ, Cines DB, Gernsheimer T, Kessler C, Michel M, Tarantino MD, Semple JW, Arnold DM, Godeau B, Lambert MP and Bussel JB: Thrombocytopenia following Pfizer and Moderna SARS-CoV-2 vaccination. Am J Hematol. 96:534–537. 2021.PubMed/NCBI View Article : Google Scholar

8 

Tarawneh O and Tarawneh H: Immune thrombocytopenia in a 22-year-old post COVID-19 vaccine. Am J Hematol. 96:E133–E134. 2021.PubMed/NCBI View Article : Google Scholar

9 

Watad A, De Marco G, Mahajna H, Druyan A, Eltity M, Hijazi N, Haddad A, Elias M, Zisman D, Naffaa ME, et al: Immune-mediated disease flares or new-onset disease in 27 subjects following mRNA/DNA SARS-CoV-2 vaccination. Vaccines (Basel). 9(435)2021.PubMed/NCBI View Article : Google Scholar

10 

Mieli-Vergani G and Vergani D: Autoimmune hepatitis. Nat Rev Gastroenterol Hepatol. 8:320–329. 2011.PubMed/NCBI View Article : Google Scholar

11 

Czaja AJ: Understanding the pathogenesis of autoimmune hepatitis. Am J Gastroenterol. 96:1224–1231. 2001.PubMed/NCBI View Article : Google Scholar

12 

Björnsson E, Talwalkar J, Treeprasertsuk S, Kamath PS, Takahashi N, Sanderson S, Neuhauser M and Lindor K: Drug-induced autoimmune hepatitis: Clinical characteristics and prognosis. Hepatology. 51:2040–2048. 2010.PubMed/NCBI View Article : Google Scholar

13 

Della Corte C, Carlucci A, Francalanci P, Alisi A and Nobili V: Autoimmune hepatitis type 2 following anti-papillomavirus vaccination in a 11-year-old girl. Vaccine. 29:4654–4656. 2011.PubMed/NCBI View Article : Google Scholar

14 

Perumalswami P, Peng L and Odin JA: Vaccination as a triggering event for autoimmune hepatitis. Semin Liver Dis. 29:331–334. 2009.PubMed/NCBI View Article : Google Scholar

15 

Muratori P, Serio I, Lalanne C and Lenzi M: Development of autoimmune hepatitis after influenza vaccination; trigger or killer? Clin Res Hepatol Gastroenterol. 43:e95–e96. 2019.PubMed/NCBI View Article : Google Scholar

16 

Sasaki T, Suzuki Y, Ishida K, Kakisaka K, Abe H, Sugai T and Takikawa Y: Autoimmune hepatitis following influenza virus vaccination: Two case reports. Medicine (Baltimore). 97(e11621)2018.PubMed/NCBI View Article : Google Scholar

17 

Berry PA and Smith-Laing G: Hepatitis A vaccine associated with autoimmune hepatitis. World J Gastroenterol. 13:2238–2239. 2007.PubMed/NCBI View Article : Google Scholar

18 

van Gemeren MA, van Wijngaarden P, Doukas M and de Man RA: Vaccine-related autoimmune hepatitis: The same disease as idiopathic autoimmune hepatitis? Two clinical reports and review. Scand J Gastroenterol. 52:18–22. 2017.PubMed/NCBI View Article : Google Scholar

19 

Csepregi A, Treiber G, Röcken C and Malfertheiner P: Acute exacerbation of autoimmune hepatitis induced by Twinrix. World J Gastroenterol. 11:4114–4116. 2005.PubMed/NCBI View Article : Google Scholar

20 

Lohse AW, Sebode M, Bhathal PS, Clouston AD, Dienes HP, Jain D, Gouw ASH, Guindi M, Kakar S, Kleiner DE, et al: Consensus recommendations for histological criteria of autoimmune hepatitis from the International AIH Pathology Group: Results of a workshop on AIH histology hosted by the European Reference Network on Hepatological Diseases and the European Society of Pathology: Results of a workshop on AIH histology hosted by the European Reference Network on Hepatological Diseases and the European Society of Pathology. Liver Int. 42:1058–1069. 2022.PubMed/NCBI View Article : Google Scholar

21 

Hennes EM, Zeniya M, Czaja AJ, Parés A, Dalekos GN, Krawitt EL, Bittencourt PL, Porta G, Boberg KM, Hofer H, et al: Simplified criteria for the diagnosis of autoimmune hepatitis. Hepatology. 48:169–176. 2008.PubMed/NCBI View Article : Google Scholar

22 

LAlvarez F, Berg PA, Bianchi FB, Bianchi L, Burroughs AK, Cancado EL, Chapman RW, Cooksley WG, Czaja AJ, Desmet VJ, et al: International Autoimmune Hepatitis Group Report: Review of criteria for diagnosis of autoimmune hepatitis. J Hepatol. 31:929–938. 1999.PubMed/NCBI View Article : Google Scholar

23 

Czaja AJ: Performance parameters of the diagnostic scoring systems for autoimmune hepatitis. Hepatology. 48:1540–1548. 2008.PubMed/NCBI View Article : Google Scholar

24 

Boettler T, Csernalabics B, Salié H, Luxenburger H, Wischer L, Salimi Alizei E, Zoldan K, Krimmel L, Bronsert P, Schwabenland M, et al: SARS-CoV-2 vaccination can elicit a CD8 T-cell dominant hepatitis. J Hepatol. 77:653–659. 2022.PubMed/NCBI View Article : Google Scholar

25 

Grifoni A, Weiskopf D, Ramirez SI, Mateus J, Dan JM, Moderbacher CR, Rawlings SA, Sutherland A, Premkumar L, Jadi RS, et al: Targets of T cell responses to SARS-CoV-2 coronavirus in humans with COVID-19 disease and unexposed individuals. Cell. 181:1489–1501.e15. 2020.PubMed/NCBI View Article : Google Scholar

26 

Sekine T, Perez-Potti A, Rivera-Ballesteros O, Strålin K, Gorin JB, Olsson A, Llewellyn-Lacey S, Kamal H, Bogdanovic G, Muschiol S, et al: Robust T cell immunity in convalescent individuals with asymptomatic or mild COVID-19. Cell. 183:158–168.e14. 2020.PubMed/NCBI View Article : Google Scholar

27 

Sirbe C, Simu G, Szabo I, Grama A and Pop TL: Pathogenesis of autoimmune hepatitis-cellular and molecular mechanisms. Int J Mol Sci. 22(13578)2021.PubMed/NCBI View Article : Google Scholar

28 

Béland K, Marceau G, Labardy A, Bourbonnais S and Alvarez F: Depletion of B cells induces remission of autoimmune hepatitis in mice through reduced antigen presentation and help to T cells. Hepatology. 62:1511–1523. 2015.PubMed/NCBI View Article : Google Scholar

29 

John K, Hardtke-Wolenski M, Jaeckel E, Manns MP, Schulze-Osthoff K and Bantel H: Increased apoptosis of regulatory T cells in patients with active autoimmune hepatitis. Cell Death Dis. 8(3219)2017.PubMed/NCBI View Article : Google Scholar

30 

Wack S, Patton T and Ferris LK: COVID-19 vaccine safety and efficacy in patients with immune-mediated inflammatory disease: Review of available evidence. J Am Acad Dermatol. 85:1274–1284. 2021.PubMed/NCBI View Article : Google Scholar

31 

Pacheco Y, Acosta-Ampudia Y, Monsalve DM, Chang C, Gershwin ME and Anaya JM: Bystander activation and autoimmunity. J Autoimmun. 103(102301)2019.PubMed/NCBI View Article : Google Scholar

32 

Salemi S and D'Amelio R: Could autoimmunity be induced by vaccination? Int Rev Immunol. 29:247–269. 2010.PubMed/NCBI View Article : Google Scholar

33 

Ichiki Y, Aoki CA, Bowlus CL, Shimoda S, Ishibashi H and Gershwin ME: T cell immunity in autoimmune hepatitis. Autoimmun Rev. 4:315–321. 2005.PubMed/NCBI View Article : Google Scholar

34 

Tanaka A, Iwabuchi S, Takatori M, Ohno A, Yamada H, Hashimoto N, Ikeda Y, Kato T, Nishioka K, Iino S and Yamamoto K: Clonotypic analysis of T cells in patients with autoimmune and viral hepatitis. Hepatology. 25:1070–1076. 1997.PubMed/NCBI View Article : Google Scholar

35 

Vojdani A and Kharrazian D: Potential antigenic cross-reactivity between SARS-CoV-2 and human tissue with a possible link to an increase in autoimmune diseases. Clin Immunol. 217(108480)2020.PubMed/NCBI View Article : Google Scholar

36 

Uzun S, Zinner CP, Beenen AC, Alborelli I, Bartoszek EM, Yeung J, Calgua B, Reinscheid M, Bronsert P, Stalder AK, et al: Morphologic and molecular analysis of liver injury after SARS-CoV-2 vaccination reveals distinct characteristics. J Hepatol. 79:666–676. 2023.PubMed/NCBI View Article : Google Scholar

37 

Codoni G, Kirchner T, Engel B, Villamil AM, Efe C, Stättermayer AF, Weltzsch JP, Sebode M, Bernsmeier C, Lleo A, et al: Histological and serological features of acute liver injury after SARS-CoV-2 vaccination. JHEP Rep. 5(100605)2022.PubMed/NCBI View Article : Google Scholar

38 

Efe C, Kulkarni AV, Terziroli Beretta-Piccoli B, Magro B, Stättermayer A, Cengiz M, Clayton-Chubb D, Lammert C, Bernsmeier C, Gül Ö, et al: Liver injury after SARS-CoV-2 vaccination: Features of immune-mediated hepatitis, role of corticosteroid therapy and outcome. Hepatology. 76:1576–1586. 2022.PubMed/NCBI View Article : Google Scholar

39 

Manns MP, Czaja AJ, Gorham JD, Krawitt EL, Mieli-Vergani G, Vergani D and Vierling JM: American Association for the Study of Liver Diseases. Diagnosis and management of autoimmune hepatitis. Hepatology. 51:2193–2213. 2010.PubMed/NCBI View Article : Google Scholar

Related Articles

  • Abstract
  • View
  • Download
  • Twitter
Copy and paste a formatted citation
Spandidos Publications style
Kuwano A, Nagasawa S, Koga Y, Tanaka K, Yada M, Masumoto A and Motomura K: Diagnostic features of autoimmune hepatitis in SARS‑CoV‑2‑vaccinated vs. unvaccinated individuals. Exp Ther Med 28: 337, 2024.
APA
Kuwano, A., Nagasawa, S., Koga, Y., Tanaka, K., Yada, M., Masumoto, A., & Motomura, K. (2024). Diagnostic features of autoimmune hepatitis in SARS‑CoV‑2‑vaccinated vs. unvaccinated individuals. Experimental and Therapeutic Medicine, 28, 337. https://doi.org/10.3892/etm.2024.12626
MLA
Kuwano, A., Nagasawa, S., Koga, Y., Tanaka, K., Yada, M., Masumoto, A., Motomura, K."Diagnostic features of autoimmune hepatitis in SARS‑CoV‑2‑vaccinated vs. unvaccinated individuals". Experimental and Therapeutic Medicine 28.3 (2024): 337.
Chicago
Kuwano, A., Nagasawa, S., Koga, Y., Tanaka, K., Yada, M., Masumoto, A., Motomura, K."Diagnostic features of autoimmune hepatitis in SARS‑CoV‑2‑vaccinated vs. unvaccinated individuals". Experimental and Therapeutic Medicine 28, no. 3 (2024): 337. https://doi.org/10.3892/etm.2024.12626
Copy and paste a formatted citation
x
Spandidos Publications style
Kuwano A, Nagasawa S, Koga Y, Tanaka K, Yada M, Masumoto A and Motomura K: Diagnostic features of autoimmune hepatitis in SARS‑CoV‑2‑vaccinated vs. unvaccinated individuals. Exp Ther Med 28: 337, 2024.
APA
Kuwano, A., Nagasawa, S., Koga, Y., Tanaka, K., Yada, M., Masumoto, A., & Motomura, K. (2024). Diagnostic features of autoimmune hepatitis in SARS‑CoV‑2‑vaccinated vs. unvaccinated individuals. Experimental and Therapeutic Medicine, 28, 337. https://doi.org/10.3892/etm.2024.12626
MLA
Kuwano, A., Nagasawa, S., Koga, Y., Tanaka, K., Yada, M., Masumoto, A., Motomura, K."Diagnostic features of autoimmune hepatitis in SARS‑CoV‑2‑vaccinated vs. unvaccinated individuals". Experimental and Therapeutic Medicine 28.3 (2024): 337.
Chicago
Kuwano, A., Nagasawa, S., Koga, Y., Tanaka, K., Yada, M., Masumoto, A., Motomura, K."Diagnostic features of autoimmune hepatitis in SARS‑CoV‑2‑vaccinated vs. unvaccinated individuals". Experimental and Therapeutic Medicine 28, no. 3 (2024): 337. https://doi.org/10.3892/etm.2024.12626
Follow us
  • Twitter
  • LinkedIn
  • Facebook
About
  • Spandidos Publications
  • Careers
  • Cookie Policy
  • Privacy Policy
How can we help?
  • Help
  • Live Chat
  • Contact
  • Email to our Support Team