Spandidos Publications Logo
  • About
    • About Spandidos
    • Aims and Scopes
    • Abstracting and Indexing
    • Editorial Policies
    • Reprints and Permissions
    • Job Opportunities
    • Terms and Conditions
    • Contact
  • Journals
    • All Journals
    • Oncology Letters
      • Oncology Letters
      • Information for Authors
      • Editorial Policies
      • Editorial Board
      • Aims and Scope
      • Abstracting and Indexing
      • Bibliographic Information
      • Archive
    • International Journal of Oncology
      • International Journal of Oncology
      • Information for Authors
      • Editorial Policies
      • Editorial Board
      • Aims and Scope
      • Abstracting and Indexing
      • Bibliographic Information
      • Archive
    • Molecular and Clinical Oncology
      • Molecular and Clinical Oncology
      • Information for Authors
      • Editorial Policies
      • Editorial Board
      • Aims and Scope
      • Abstracting and Indexing
      • Bibliographic Information
      • Archive
    • Experimental and Therapeutic Medicine
      • Experimental and Therapeutic Medicine
      • Information for Authors
      • Editorial Policies
      • Editorial Board
      • Aims and Scope
      • Abstracting and Indexing
      • Bibliographic Information
      • Archive
    • International Journal of Molecular Medicine
      • International Journal of Molecular Medicine
      • Information for Authors
      • Editorial Policies
      • Editorial Board
      • Aims and Scope
      • Abstracting and Indexing
      • Bibliographic Information
      • Archive
    • Biomedical Reports
      • Biomedical Reports
      • Information for Authors
      • Editorial Policies
      • Editorial Board
      • Aims and Scope
      • Abstracting and Indexing
      • Bibliographic Information
      • Archive
    • Oncology Reports
      • Oncology Reports
      • Information for Authors
      • Editorial Policies
      • Editorial Board
      • Aims and Scope
      • Abstracting and Indexing
      • Bibliographic Information
      • Archive
    • Molecular Medicine Reports
      • Molecular Medicine Reports
      • Information for Authors
      • Editorial Policies
      • Editorial Board
      • Aims and Scope
      • Abstracting and Indexing
      • Bibliographic Information
      • Archive
    • World Academy of Sciences Journal
      • World Academy of Sciences Journal
      • Information for Authors
      • Editorial Policies
      • Editorial Board
      • Aims and Scope
      • Abstracting and Indexing
      • Bibliographic Information
      • Archive
    • International Journal of Functional Nutrition
      • International Journal of Functional Nutrition
      • Information for Authors
      • Editorial Policies
      • Editorial Board
      • Aims and Scope
      • Abstracting and Indexing
      • Bibliographic Information
      • Archive
    • International Journal of Epigenetics
      • International Journal of Epigenetics
      • Information for Authors
      • Editorial Policies
      • Editorial Board
      • Aims and Scope
      • Abstracting and Indexing
      • Bibliographic Information
      • Archive
    • Medicine International
      • Medicine International
      • Information for Authors
      • Editorial Policies
      • Editorial Board
      • Aims and Scope
      • Abstracting and Indexing
      • Bibliographic Information
      • Archive
  • Articles
  • Information
    • Information for Authors
    • Information for Reviewers
    • Information for Librarians
    • Information for Advertisers
    • Conferences
  • Language Editing
Spandidos Publications Logo
  • About
    • About Spandidos
    • Aims and Scopes
    • Abstracting and Indexing
    • Editorial Policies
    • Reprints and Permissions
    • Job Opportunities
    • Terms and Conditions
    • Contact
  • Journals
    • All Journals
    • Biomedical Reports
      • Information for Authors
      • Editorial Policies
      • Editorial Board
      • Aims and Scope
      • Abstracting and Indexing
      • Bibliographic Information
      • Archive
    • Experimental and Therapeutic Medicine
      • Information for Authors
      • Editorial Policies
      • Editorial Board
      • Aims and Scope
      • Abstracting and Indexing
      • Bibliographic Information
      • Archive
    • International Journal of Epigenetics
      • Information for Authors
      • Editorial Policies
      • Editorial Board
      • Aims and Scope
      • Abstracting and Indexing
      • Bibliographic Information
      • Archive
    • International Journal of Functional Nutrition
      • Information for Authors
      • Editorial Policies
      • Editorial Board
      • Aims and Scope
      • Abstracting and Indexing
      • Bibliographic Information
      • Archive
    • International Journal of Molecular Medicine
      • Information for Authors
      • Editorial Policies
      • Editorial Board
      • Aims and Scope
      • Abstracting and Indexing
      • Bibliographic Information
      • Archive
    • International Journal of Oncology
      • Information for Authors
      • Editorial Policies
      • Editorial Board
      • Aims and Scope
      • Abstracting and Indexing
      • Bibliographic Information
      • Archive
    • Medicine International
      • Information for Authors
      • Editorial Policies
      • Editorial Board
      • Aims and Scope
      • Abstracting and Indexing
      • Bibliographic Information
      • Archive
    • Molecular and Clinical Oncology
      • Information for Authors
      • Editorial Policies
      • Editorial Board
      • Aims and Scope
      • Abstracting and Indexing
      • Bibliographic Information
      • Archive
    • Molecular Medicine Reports
      • Information for Authors
      • Editorial Policies
      • Editorial Board
      • Aims and Scope
      • Abstracting and Indexing
      • Bibliographic Information
      • Archive
    • Oncology Letters
      • Information for Authors
      • Editorial Policies
      • Editorial Board
      • Aims and Scope
      • Abstracting and Indexing
      • Bibliographic Information
      • Archive
    • Oncology Reports
      • Information for Authors
      • Editorial Policies
      • Editorial Board
      • Aims and Scope
      • Abstracting and Indexing
      • Bibliographic Information
      • Archive
    • World Academy of Sciences Journal
      • Information for Authors
      • Editorial Policies
      • Editorial Board
      • Aims and Scope
      • Abstracting and Indexing
      • Bibliographic Information
      • Archive
  • Articles
  • Information
    • For Authors
    • For Reviewers
    • For Librarians
    • For Advertisers
    • Conferences
  • Language Editing
Login Register Submit
  • This site uses cookies
  • You can change your cookie settings at any time by following the instructions in our Cookie Policy. To find out more, you may read our Privacy Policy.

    I agree
Search articles by DOI, keyword, author or affiliation
Search
Advanced Search
presentation
Experimental and Therapeutic Medicine
Join Editorial Board Propose a Special Issue
Print ISSN: 1792-0981 Online ISSN: 1792-1015
Journal Cover
September-2024 Volume 28 Issue 3

Full Size Image

Sign up for eToc alerts
Recommend to Library

Journals

International Journal of Molecular Medicine

International Journal of Molecular Medicine

International Journal of Molecular Medicine is an international journal devoted to molecular mechanisms of human disease.

International Journal of Oncology

International Journal of Oncology

International Journal of Oncology is an international journal devoted to oncology research and cancer treatment.

Molecular Medicine Reports

Molecular Medicine Reports

Covers molecular medicine topics such as pharmacology, pathology, genetics, neuroscience, infectious diseases, molecular cardiology, and molecular surgery.

Oncology Reports

Oncology Reports

Oncology Reports is an international journal devoted to fundamental and applied research in Oncology.

Experimental and Therapeutic Medicine

Experimental and Therapeutic Medicine

Experimental and Therapeutic Medicine is an international journal devoted to laboratory and clinical medicine.

Oncology Letters

Oncology Letters

Oncology Letters is an international journal devoted to Experimental and Clinical Oncology.

Biomedical Reports

Biomedical Reports

Explores a wide range of biological and medical fields, including pharmacology, genetics, microbiology, neuroscience, and molecular cardiology.

Molecular and Clinical Oncology

Molecular and Clinical Oncology

International journal addressing all aspects of oncology research, from tumorigenesis and oncogenes to chemotherapy and metastasis.

World Academy of Sciences Journal

World Academy of Sciences Journal

Multidisciplinary open-access journal spanning biochemistry, genetics, neuroscience, environmental health, and synthetic biology.

International Journal of Functional Nutrition

International Journal of Functional Nutrition

Open-access journal combining biochemistry, pharmacology, immunology, and genetics to advance health through functional nutrition.

International Journal of Epigenetics

International Journal of Epigenetics

Publishes open-access research on using epigenetics to advance understanding and treatment of human disease.

Medicine International

Medicine International

An International Open Access Journal Devoted to General Medicine.

Journal Cover
September-2024 Volume 28 Issue 3

Full Size Image

Sign up for eToc alerts
Recommend to Library

  • Article
  • Citations
    • Cite This Article
    • Download Citation
    • Create Citation Alert
    • Remove Citation Alert
    • Cited By
  • Similar Articles
    • Related Articles (in Spandidos Publications)
    • Similar Articles (Google Scholar)
    • Similar Articles (PubMed)
  • Download PDF
  • Download XML
  • View XML
Article

Expression of MMP2, MMP9, TIMP2 and TIMP3 genes in aortic dissection

  • Authors:
    • Tugba Kose
    • Arzu Antal
    • Tuba Gunel
  • View Affiliations / Copyright

    Affiliations: Department of Molecular Biology and Genetics, Faculty of Science, Istanbul University, 34134 Istanbul, Turkey, Cardiovascular Surgery Clinic, Kartal Kosuyolu High Specialization Education and Research Hospital, 34865 Istanbul, Turkey
  • Article Number: 360
    |
    Published online on: July 10, 2024
       https://doi.org/10.3892/etm.2024.12649
  • Expand metrics +
Metrics: Total Views: 0 (Spandidos Publications: | PMC Statistics: )
Metrics: Total PDF Downloads: 0 (Spandidos Publications: | PMC Statistics: )
Cited By (CrossRef): 0 citations Loading Articles...

This article is mentioned in:



Abstract

Thoracic aortic dissection (TAD) is a highly lethal disease occurring inside the aortic wall and is characterized by matrix degradation. Matrix metalloproteinases (MMPs) are members of a large endopeptidase family that function in the degradation of the extracellular matrix (ECM) proteins, the maintenance of the ECM, and the regulation of signaling in the aorta. MMPs are found in tissue with their natural inhibitors. Tissue inhibitors of metalloproteinases (TIMPs) are actively involved in both the activation and inhibition of MMPs. The present study was designed to determine the mRNA level gene expression differences of MMP2, MMP9, TIMP2 and TIMP3, which are considered to have an essential role in TAD, in aortic tissue and circulating monocyte cells. For the purpose of the present study, aortic vascular tissue and peripheral blood‑derived monocyte cells were obtained from 10 patients with TAD and 10 control individuals. The gene expression levels of targeted genes (MMP2, MMP9, TIMP2 and TIMP3) were examined by droplet digital PCR. In research results, decreased expression of MMP9, TIMP2 and TIMP3 genes (P=0.043, P=0.009 and P=0.028, respectively) and increased ratio of MMP2/TIMP3 (P=0.012) were obtained in the aortic tissue. No changes were observed in terms of gene expression in monocyte cells. When the results obtained were evaluated within the framework of TAD pathogenesis, it was concluded that expression changes in MMP9, TIMP2 and TIMP3 genes may provide a sensitive environment in aortic tissue and may be associated with TAD formation. In addition, since the expression ratios of MMPs and TIMPs may reflect disease development, it was considered that the evaluation of MMPs along with TIMPs may be an appropriate and informative approach for future studies.

Introduction

Thoracic aortic dissection (TAD) is defined as the separation of the aortic layers along the vessel wall following a tear in the intima layer of the aorta (1). TAD is quite a life-threatening and fatal condition. Based on estimations, the incidence of TAD is between 3 to 5 cases per 100.000 individuals per year (2-4). The primary characterization finding for TAD is the degraded aortic media layer (1). Media is the middle layer of the aorta which is composed of smooth muscle cells (SMC), elastic and collagen fibers, proteoglycans, glycosaminoglycans, and some other proteins. The elastic fibers and supportive protein structures located in the media layer are the components of the extracellular matrix (ECM) which has a key role in maintaining the shape and strength of the aortic wall (1,5,6). In the dissected aorta, an excess amount of protease such as matrix metalloproteinases (MMPs) is also found, whose substrates are mainly the ECM components. The functions of MMPs are variable, thus they can either degrade or activate proteins in the ECM (7). Numerous studies have revealed that most of the MMPs exhibit differentiated expression in cases with TAD (8-10). In particular, it has been reported that MMP2 and MMP9 can degrade collagen types I, II and III that have been cleaved by MMP1 at the beginning of the process (11). In addition, it has been stated that both MMP2 and MMP9 can be regulated by transforming growth factor β (TGF-β) signaling, which is known to be involved in matrix synthesis and degradation (12).

MMPs, which have an important role in the formation of TAD (8-10), have natural inhibitors in the cell (13). The tissue inhibitors of matrix metalloproteinases (TIMPs) inhibit the MMP function by binding in the active site of MMPs and prevent matrix degradation (14). Although the inhibitory capacity of TIMP2 and TIMP3 varies, they act on all MMPs. TIMP2 has been reported to be highly effective in inhibiting MMP2. Additionally, TIMP3 has been found to inhibit MMP2 and MMP9 successfully (15,16). In cases with TAD it was shown that the expression levels of TIMPs can be both increased and decreased (8,17,18). Additionally, the MMP/TIMP gene expression ratio appears to direct the cell function into a proteolytic stage, which is a key factor in TAD (1,19).

On the site of the tear, an inflammation also occurs in TAD. Macrophages are one of the main players of inflammation in TAD. Since the circulating monocytes give rise to the macrophages, they are also important components of the process (20,21). It was observed that the percentage of total CD14+ monocytes was increased in patients with TAD, and there were expression changes in the genes managing the formation of TAD (22).

Most of the studies in literature are not focused on the gene expression changes at the mRNA level in patients with TAD. In such complex diseases such as TAD, mRNA levels of target genes both in aortic vascular tissue and in the circulating counterparts, may provide important knowledge in the understanding of the pathogenesis of the disease. Since MMP2 and MMP9 are closely related to the maintenance and degradation of the ECM and its components (7-10,12), they were predicted to make significant contributions to the investigation of the pathogenesis of TAD and were selected among other MMPs. In addition, the fact that TIMP2 and TIMP3 have an effect on all MMPs and are particularly effective in the regulation of MMP2 and MMP9 (15-18) are the reasons for their inclusion in the present study. A two-step study was conducted, in which gene expression analysis was performed both in aortic tissue and circulating monocyte cells in patients with TAD and controls. The mRNA levels of MMP2, MMP9, TIMP2 and TIMP3 genes were investigated to identify candidate factors driving the development of TAD.

Materials and methods

Study design and subjects

The present study included 20 aortic tissue samples and 20 whole blood samples obtained from 10 patients with TAD (2 women and 8 men) and 10 individuals with coronary artery disease (2 women and 8 men) considered as a control group. All the participants underwent a surgical intervention between August 2019 and February 2021. Patients with TAD who were enrolled in the present study were diagnosed by clinicians with acute Stanford Type A aortic dissection. Patients with aortic aneurysms or connective tissue disorders such as Marfan syndrome were excluded. Individuals who underwent coronary artery bypass grafting (CABG) were used as the control. The ascending aorta tissue from the site of the central anastomosis of the CABG was obtained (17,18,23). Whole blood samples were collected during surgery. The experimental flowchart is provided in Fig. 1. The present study was approved (approval no. 2019/525) by the Istanbul Medical Faculty Clinical Research Ethics Committee and the Institute of Graduate Studies in Sciences, Istanbul University (Istanbul, Turkey) and written informed consent was obtained from all the participants.

Figure 1

Flowchart of the experimental applications performed. TAD, thoracic aortic dissection; ddPCR, droplet digital PCR.

Monocyte enrichment and RNA isolation

Venous whole blood (10 ml) was drawn from each patient with TAD and the control group, and stored in EDTA tubes. The human monocyte cells were collected from the whole blood through negative selection by using RosetteSep Human Monocyte Enrichment Cocktail (cat. no. 15668; StemCell Technologies, Inc.) with the help of the Ficoll-Hypaque centrifugation method. To apply this method, a whole blood-Rosette mixture prepared according to the manufacturer's recommended protocol was added to a Falcon tube containing 15 ml Ficoll-Hypaque. The addition was performed by spreading the mixture slowly on the surface of the Ficoll to avoid mixing of the blood-Rosette mixture. The tubes were centrifuged at 1,200 x g for 20 min at 4˚C with the brake off. The desired cells were collected by pipette from the layer between the Ficoll and serum layer. All samples were processed for the RNA isolation using the PureLink RNA Mini Kit (cat. no. 12183018A; Thermo Fisher Scientific, Inc.). The obtained total RNA for each sample was reverse transcribed to cDNA with the iScript cDNA Synthesis Kit (cat. no. 1708890; Bio-Rad Laboratories, Inc.).

Gene expression analysis

To analyze the mRNA expression of target genes, the QX200 Droplet Digital PCR System (ddPCR) (Bio-Rad Laboratories, Inc.) was used. The PCR was set up with EvaGreen Supermix (Bio-Rad Laboratories, Inc.) in 20 µl total volume. The following primer sequences for MMP2, MMP9, TIMP2, TIMP3 and GAPDH genes were used: MMP2 gene forward, 5'-GCTACGATGGAGGCGCTAATG-3' and reverse, 5'-GGGCAGCCATAGAAGGTGTTC-3'; MMP9 gene forward, 5'-TTTGGTGTCGCGGAGCAC-3' and reverse, 5'-CGAGTTGGAACCACGACGC-3'; TIMP2 gene forward, 5'-CTGGACGTTGGAGGAAAGAAGG-3' and reverse, 5'-CATCTGGTACCTGTGGTTCAGG-3'; TIMP3 gene forward, 5'-GCAACTCCGACATCGTGATCC-3' and reverse, 5'-TGGTGAAGCCTCGGTACATCTTC-3'; GAPDH gene forward, 5'-GCACCGTCAAGGCTGAGAAC-3' and reverse, 5'-TGGTGAAGACGCCAGTGGA-3'. The reaction mixture of each sample was partitioned into droplets with the QX200 droplet generator and transferred into a 96-well plate. After sealing, the plate was placed into a T100 Thermal Cycler (Bio-Rad Laboratories, Inc.) and the cycling protocol was activated. PCR cycling conditions were as follows: 1 cycle of preincubation at 94˚C for 180 sec, then 39 cycles of 3-step amplification at 94˚C for 40 sec, 60˚C for 40 sec and 72˚C for 50 sec, and 1 cycle of final extension at 72˚C for 300 sec. Since the EvaGreen is a fluorescent dye, the expression values of the target genes were obtained using the QX200 reader (Bio-Rad Laboratories, Inc.) which is the last component of the ddPCR system.

Statistical analysis

All statistical analyses were performed using GraphPad Prism version 9.3.1 (Dotmatics). The numerical and categorical data were presented as the mean, standard error of the mean (SEM), and percentage (%). To reveal whether the data were normally distributed or not, the Shapiro-Wilk test was used. For descriptive statistical analysis of the study group, Mann-Whitney U and Fisher's exact test were used for continuous and categorical variables, respectively. In the ddPCR method (24,25), the expression values were obtained as copy/ml for each sample using the QuantaSoft™ software (version 1.7.4; Quantosoft, s.r.o.) for the absolute quantification of the target genes. For each test subject, copy/1ng RNA values were calculated by considering the initial amount of RNA used for the individual reactions. In addition to the target genes, a reference gene (GAPDH) was also included in the study to perform the normalization. Since the data was not normally distributed, the expression levels of the target genes (MMP2, MMP9, TIMP2 and TIMP3) between the patients with TAD and the control group were compared using the two-tailed Mann-Whitney U test. The correlation of the expression levels of target genes between aortic tissue and the monocyte cells was performed with the Spearman's correlation test due to the not normally distributed data type. Receiver operating characteristic (ROC) curve analysis was performed and area under the curve (AUC) values were calculated to investigate sensitivity and specificity. The results also revealed the differentiation degree between the patients with TAD and the control group samples and what the diagnostic values of the targeted mRNAs were. For the all-statistical analysis, P<0.05 was considered to indicate a statistically significant difference.

Results

Descriptive characteristics

The descriptive characteristics of the patients with TAD and the control group are revealed in Table I. There was no statistically significant difference in age, height, weight, body mass index (BMI), smoking status, sex and hypertension between the patients with TAD and the respective control group.

Table I

Descriptive characteristics of patients with TAD and the control group.

Table I

Descriptive characteristics of patients with TAD and the control group.

ParametersPatients with TAD (n=10)Control group (n=10)P-value
Mean age ± SEM, years53.80±3.1555.10±1.950.492
Mean height ± SEM, cm167.30±2.26167.60±2.080.896
Mean weight ± SEM, kg84.20±3.6080.80±2.240.245
Mean BMI ± SEM, kg/m230.29±1.6728.99±1.420.393
Smokers, %60 (n=6)80 (n=8)0.639
Sex (female/male), %20/80 (n=2/8)20/80 (n=2/8)0.999
Hypertension, %100 (n=10)80 (n=8)0.478

[i] Mann-Whitney U test was used for continuous variables, and Fisher's exact test was used for categorical variables. TAD, thoracic aortic dissection; SEM, standard error of mean; BMI, body mass index.

mRNA expression analysis

In the aortic wall tissue, the expression level of MMP2 did not demonstrate a significant difference between patients with TAD and the control group (P=0.85). Expression levels of MMP9, TIMP2 and TIMP3 genes were revealed to be significantly lower in patients with TAD compared with the control group (P=0.043, P=0.009 and P=0.028, respectively). In the monocyte cells, while the expression level of TIMP2 (P=0.248) increased, the expression levels of MMP2 (P=0.148), MMP9 (P=0.114) and TIMP3 (P=0.370) slightly decreased in patients with TAD compared with the respective control groups (Table II). However, the observed changes in the expression level of any target genes were not statistically significant in monocyte cells (Fig. 2).

Figure 2

mRNA expression levels of target genes. MMP2, MMP9, TIMP2 and TIMP3 expression levels for both patients with TAD and controls in (A) aortic tissue and (B) monocytes cells. *P<0.05 and **P<0.01. MMP, matrix metalloproteinases; TIMP, tissue inhibitors of metalloproteinases; TAD, thoracic aortic dissection.

Table II

mRNA expression levels of target genes in aortic tissue and monocyte cells.

Table II

mRNA expression levels of target genes in aortic tissue and monocyte cells.

A, Aortic tissue
 MMP2MMP9TIMP2TIMP3
GroupsMean ± SEMP-valueMean ± SEMP-valueMean ± SEMP-valueMean ± SEMP-value
TAD0.0186±0.0045 0.0035±0.0013 0.23±0.035 0.058±0.018 
Control0.0187±0.00410.8530.0088±0.00290.043a0.39±0.0490.009a0.180±0.0480.028a
B, Monocyte cells
GroupsMean ± SEMP-valueMean ± SEMP-valueMean ± SEMP-valueMean ± SEMP-value
TAD0.028±0.025 0.0074±0.0027 0.12±0.053  0.00081±0.00024 
Control0.0030±0.0030.1480.021±0.00670.1140.11±0.0220.2480.0037±0.00270.370

[i] Mann-Whitney U test was used to calculate the P-values.

[ii] aP<0.05 indicates a statistically significant difference. MMP, matrix metalloproteinases; TIMP, tissue inhibitors of metalloproteinases; SEM, standard error of mean; TAD, thoracic aortic dissection.

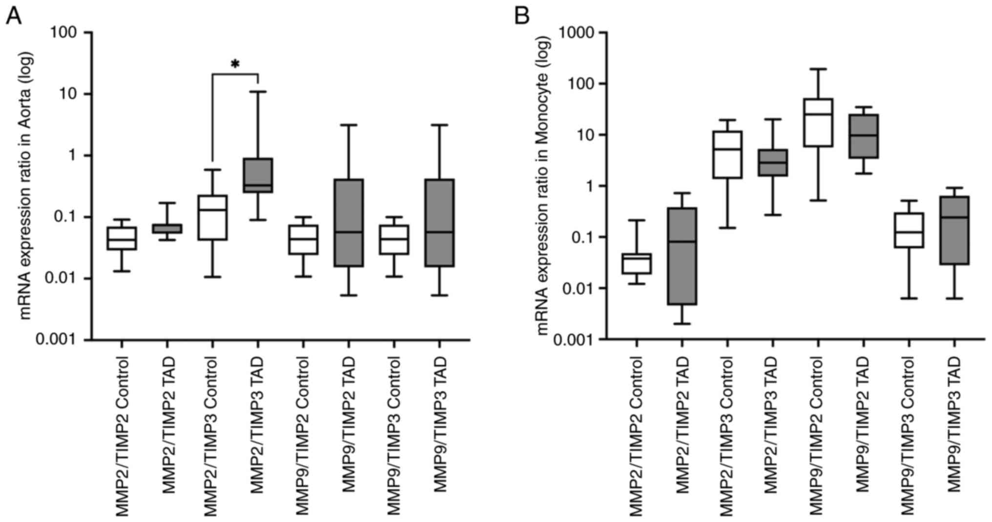
The gene expression level ratios of MMP2/TIMP2, MMP2/TIMP3, MMP9/TIMP2 and MMP9/TIMP3 were also calculated in both aorta samples and the circulated monocyte cells. In the aorta samples, MMP2/TIMP3 (P=0.012) expression ratio was higher in the patients with TAD compared with the control group and this difference was statistically significant. There was no significant difference in MMP2/TIMP2 (P=0.063), MMP9/TIMP2 (P=0.248) and MMP9/TIMP3 (P=0.796) gene expression ratios between the tested groups. In monocyte cells, none of the MMP/TIMP ratios of the examined target genes exhibited a significant difference between the patients with TAD and the respective control group. The following values were found: MMP2/TIMP2 (P=0.447), MMP2/TIMP3 (P=0.681), MMP9/TIMP2 (P=0.796) and MMP9/TIMP3 (P=0.279) (Fig. 3).

Figure 3

MMP/TIMP mRNA gene expression level ratios of target genes. MMP/TIMP gene expression ratios of target genes in patients with TAD and controls in (A) aortic tissue and (B) monocyte cells.*P<0.05. MMP, matrix metalloproteinases; TIMP, tissue inhibitors of metalloproteinases; TAD, thoracic aortic dissection.

Findings of the ROC curve analyses of the target genes, which demonstrated statistically significant changes at the mRNA expression levels between the patients with TAD and the control group, are as follows. MMP9 (P=0.041; AUC=0.77; 95% CI, 0.490-0.971), TIMP2 (P=0.010; AUC=0.840; 95% CI, 0.633-1.00), TIMP3 (P=0.028; AUC=0.800; 95% CI, 0.600-0.999), MMP2/TIMP3 (P=0.013; AUC=0.830; 95% CI, 0.644-1.00). The data are presented in Fig. 4. The correlation analysis was performed to reveal whether there was a relationship between the obtained expression levels of the target genes in the aorta and the monocyte cells. Additionally, the correlation analysis was also performed to check the possible relationship between the expression levels of target genes in the same tissue. No significant correlation was identified in the expression levels of MMP2 (rs=-0.771, P=0.103), MMP9 (rs=0.267, P=0.493), TIMP2 (rs=0.503, P=0.144) and TIMP3 (rs=-0.524, P=0.197) genes between the aorta and the monocyte cells. In addition, a significant positive correlation between the expression of MMP2 and TIMP2 (rs=0.93, P<0.001) genes in aorta was observed. All the r and P values are presented in Table III.

Figure 4

ROC curve analyses and AUC of MMP9, TIMP2, TIMP3 and MMP2/TIMP3 gene expression levels in patients with TAD and the control group in aorta. (A) MMP9 (P=0.041; AUC=0.77; 95% CI, 0.490-0.971), (B) TIMP2 (P=0.010; AUC=0.840; 95% CI, 0.633-1.00), (C) TIMP3 (P=0.028; AUC=0.800; 95% CI, 0.600-0.999), (D) MMP2/TIMP3 (P=0.013; AUC=0.830; 95% CI, 0.644-1.00). ROC, receiver operating characteristic; AUC, area under curve; CI, confidence interval; MMP, matrix metalloproteinases; TIMP, tissue inhibitors of metalloproteinases; TAD, thoracic aortic dissection.

Table III

Spearman's correlation analysis of the target genes.

Table III

Spearman's correlation analysis of the target genes.

A, Gene expression in aortic tissue
 MMP2TIMP2MMP9TIMP3
GenesrsP-valuersP-valuersP-valuersP-value
MMP21.00-0.93 <0.001a0.020.9730.300.407
TIMP20.93 <0.001a1.00--0.030.9460.330.349
MMP90.020.973-0.030.9461.00-0.040.918
TIMP30.300.4070.330.3490.040.9181.00-
B, Gene expression in monocyte cells
 MMP2TIMP2MMP9TIMP3
GenesrsP-valuersP-valuersP-valuersP-value
MMP2-0.770.103-0.600.2420.140.803-0.540.297
TIMP20.380.2790.500.1440.240.5130.410.247
MMP9-0.050.9120.150.7080.260.493-0.600.097
TIMP3-0.210.619-0.070.8820.170.703-0.520.197

[i] aP<0.01 indicates a statistically significant difference. rs Spearman's correlation coefficient; MMP, matrix metalloproteinases; TIMP, tissue inhibitors of metalloproteinases.

Discussion

TAD is a lethal condition that occurs when there is a tear in the intima and media layer of the aorta, and can result in death if not treated immediately. Since the aorta is a multilayered tissue, it is composed of numerous different types of cells and molecules. In TAD, a tear in the intima layer extends along the vessel, providing a new route for blood flow and weakening the aortic tissue (20). Although the details of the molecular background and pathogenesis of TAD have not been completely elucidated, MMPs are one of the most important players in TAD and are considered to be responsible for ECM degradation (26,27). Numerous studies have revealed that the expression levels of MMPs differ in cases of TAD (8,9,17,28). The importance of MMPs for the pathogenesis of TAD makes it reasonable to consider their tissue inhibitors as well (14). TIMPs regulate the proteolytic ability and activities of MMPs (29,30).

The present study aimed to investigate the mRNA gene expression levels of MMP2, MMP9, TIMP2 and TIMP3 genes in the aortic wall and circulating monocyte cells in patients with TAD. The mRNA expression level of the MMP2 gene both in the aortic wall and monocyte cells did not reveal a statistically significant change in patients with TAD and control subjects (P=0.85 and P=0.15, respectively). MMP2 can be expressed by the SMC in the aorta. During formation of TAD, a considerable amount of SMC might be lost due to apoptosis (31). MMP2 also has an important role in tissue remodeling in patients with TAD, which can be considered as an important part of the wound healing process. The MMP2 level starts to increase after the acute phase in TAD (32). It is clearly observed that MMP2 levels can vary, and can either be increased or decreased in the aortic tissues of patients with TAD, as revealed in previous studies (8,17). These inconsistencies with regard to the MMP2 levels may be due to the disease stage differences in patients with TAD (31). Additionally, the results of a meta-analysis study supported that there was no difference between patients with TAD and control groups for the circulating mRNA expression level of the MMP2 gene (10). The complex molecular background of TAD and the fact that MMPs often work cooperatively with other MMPs and TIMPs to exert different functions (degradation of ECM and remodeling of tissues) rather than working alone may explain the undifferentiated gene expression level of MMP2 in cases of TAD.

In addition, it was further revealed in the present study that the mRNA gene expression level of the MMP9 gene in aortic tissue was significantly decreased (P=0.043) in patients with TAD. Even though a decreased mRNA level for the MMP9 gene was also detected in monocyte cells in cases with TAD, the result was not statistically significant (P=0.114). Moreover, the results of the MMP9 ROC curve analysis in the aorta revealed that MMP9 expression levels may be used to differentiate patients with TAD and the control group (AUC=0.770; P=0.041). It was revealed that the level of MMP9 did not present a statistically significant difference in patients with TAD (17). Since MMP9 is an important player in the wound-healing process in the intima layer of the aorta (33), it can be inferred that its measured amount might be affected by the rupture within the onset of the dissection. By contrast, there are a number of studies that conclude that the expression level of MMP9 was increased in patients with TAD whether in aortic tissue or in plasma (8-10,17). It is known that MMP9 is also stimulated in response to mechanical injury (34). The aortic region where the medial dissection begins may be the site of ECM alteration caused by hemodynamic stress (35,36). This may explain the changes in the expression level of MMP9 in the patients with TAD (9). The decreased MMP9 mRNA expression level obtained in patients with TAD in the present study expresses the level at a particular time point, not the time-dependent variation. It can be surmised that the aortic samples obtained during the surgical operation might not represent the exact same disease stage. The aortic tissue may still be under the influence of mechanical signaling or the wound may not have started the healing process. This difference may lead to different MMP9 levels in patients with TAD. It can be concluded that further studies are required to confirm the importance of the findings on MMP9 for improved understanding of the pathogenesis of TAD.

TIMPs are found in aortic tissue concurrently with MMPs. Any change in the expression level of a TIMP may change the MMP/TIMP ratio, resulting in a change in MMP activity (14). In the present study, it was revealed that there was a statistically significant decrease in the mRNA expression levels of TIMP2 (P=0.009) and TIMP3 (P=0.028) in the aorta of cases with TAD. Furthermore, ROC curve analyses of TIMP2 (AUC=0.840; P=0.010) and TIMP3 (AUC=0.800; P=0.028) in aortic tissue demonstrated that patients with TAD and control groups can be differentiated by using TIMP2 and TIMP3 mRNA expression levels in aorta. No significant difference was observed in terms of TIMP2 and TIMP3 gene expression in monocyte cells. In a previous study, in which ELISA was used, it was revealed that the expression level of TIMP2 was decreased in the aorta of cases with TAD. It is stated that the decreased expression level of TIMP2 might represent the pre-dissection situation rather than the dissection-related function such as wound healing (17). In addition, it was revealed that the mRNA level of TIMP3 was decreased in aortic tissue in patients with TAD. It was shown that the decrease in TIMP3 level may have occurred as a result of stimulation by TNF-α and TGF-β signalling in vitro (37). Considering the role of TGF-β on ECM component regulation, fibrosis, and the regulation of MMP2 and MMP9 genes (1), it can be inferred that the decrease of TGF-β may directly affect the expression levels of TIMP3, MMP2, and MMP9. The present study has provided supporting results to the previous studies (1,17,37) for TIMP2 and TIMP3 gene expression in patients with TAD. Since TIMPs are the regulators of the MMPs, the decrease in their gene expression levels might be associated with the elevated MMP function or the elevated MMP/TIMP ratio, which may cause increased degradation in aorta tissue in patients with TAD.

MMP/TIMP ratio is as important as the individual expression changes of MMP and TIMP genes in explaining the pathogenesis of TAD. It has been reported that due to impaired MMP/TIMP balance, MMP functions in the cell are moving toward the proteolytic state (1,19). Decreased TIMP2/MMP2 results were also obtained in patients with TAD in a study by Manabe et al (17), and they supported the theory that an increased MMP/TIMP ratio has shifted the cell into the proteolytic stage. In the results of the present study, the increase of MMP2/TIMP2 (P=0.063), MMP2/TIMP3 (P=0.012) gene expression ratios were revealed in aortic tissue. Based on these findings, it can be considered that increasing MMP/TIMP ratios may cause a tendency to increase aortic lysis. Moreover, ROC curve analysis of the MMP2/TIMP3 expression ratio revealed that MMP2/TIMP3 (AUC=0.830; P=0.013) may differentiate patients with TAD from the control group.

The aim of the present study was to also investigate whether there was a relationship between aortic tissue and monocyte cells in terms of the expression levels of target genes. As a result of the correlation analysis, it was revealed that gene expression levels of MMP2 and TIMP2 exhibited a positive correlation in the aortic tissue (rs=0.93; P<0.001). This result supports the close functional relationship of MMP2 and TIMP2 genes with each other (14,15). Accordingly, the positive correlation of the mRNA levels of MMPs and TIMPs, which may alter the MMP/TIMP ratio, might support the importance of the MMP/TIMP ratio in cases with TAD. Further analysis may provide further insight with regard to the MMP-TIMP relationship in patients with TAD.

Additionally, a limitation of the present study is the absence of protein level analysis. It is clear that performing protein level analysis would contribute greatly to the validation of the gene expression data. However, protein analysis could not be included in the present study due to the limited amount of vascular material used as control tissue. Considering the risks of dividing the small amount of tissue into two parts, the obtained material was only used for RNA isolation in sufficient quantity.

In conclusion, the present study revealed that MMP9, TIMP2 and TIMP3 genes have differentiated gene expression in aortic vascular tissue of patients with TAD. Considering the role of MMPs in matrix maintenance, altered gene expression might be expected in TAD. However, the altered expression of MMP inhibitors (TIMPs) in cases with TAD are noteworthy. It can be acknowledged that TIMPs as well as MMPs have an important role in understanding the pathogenesis of TAD. Additionally, it was considered that examining MMPs along with TIMPs rather than alone is more informative in terms of understanding the disease pathogenesis. Considering the statistically significant differences in MMP9, TIMP2 and TIMP3 gene expression, as well as MMP2/TIMP3 ratio, it can be inferred that future studies in both aortic tissue and circulation at the protein level by increasing the sample size may be an important step for the early diagnosis of TAD. Furthermore, considering the large number of members of the MMP and TIMP gene families, it is likely that they affect each other in various combinations. In accordance with this point of view, the possible cross-interference of all MMPs and TIMPs are planned to be analyzed in future studies.

Acknowledgements

Not applicable.

Funding

Funding: The funding of the present study was provided by the Scientific Research Projects Coordination Unit of Istanbul University (grant no. 34118).

Availability of data and materials

The data generated in the present study are not publicly available due to sensitivity reasons but may be requested from the corresponding author.

Authors' contributions

TK, TG and AA designed the study. AA provided the patient and control samples through the surgical process. TK performed the isolations and ddPCR applications. TK and TG performed the statistical analysis and prepared the manuscript. AA revised the final version of the manuscript. TK and TG confirm the authenticity of all the raw data. All authors read and approved the final version of the manuscript.

Ethics approval and consent to participate

The present study was approved (approval no. 2019/525) by the Istanbul Medical Faculty Clinical Research Ethics Committee and the Institute of Graduate Studies in Sciences, Istanbul University (Istanbul, Turkey). Written informed consent was obtained from all the participants. All the procedures and applications conducted in the present study adhere to the tenets of The Declaration of Helsinki.

Patient consent for publication

Not applicable.

Competing interests

The authors declare that they have no competing interests.

References

1 

Wu D, Shen YH, Russell L, Coselli JS and LeMaire SA: Molecular mechanisms of thoracic aortic dissection. J Surg Res. 184:907–924. 2013.PubMed/NCBI View Article : Google Scholar

2 

Clouse WD, Hallett JW Jr, Schaff HV, Spittell PC, Rowland CM, Ilstrup DM and Melton LJ: Acute aortic dissection: Population-based incidence compared with degenerative aortic aneurysm rupture. Mayo Clin Proc. 79:176–180. 2004.PubMed/NCBI View Article : Google Scholar

3 

Mészáros I, Mórocz J, Szlávi J, Schmidt J, Tornóci L, Nagy L and Szép L: Epidemiology and clinicopathology of aortic dissection. Chest. 117:1271–1278. 2000.PubMed/NCBI View Article : Google Scholar

4 

Golledge J and Eagle KA: Acute aortic dissection. Lancet. 372:55–66. 2008.PubMed/NCBI View Article : Google Scholar

5 

He R, Guo DC, Estrera AL, Safi HJ, Huynh TT, Yin Z, Cao SN, Lin J, Kurian T, Buja LM, et al: Characterization of the inflammatory and apoptotic cells in the aortas of patients with ascending thoracic aortic aneurysms and dissections. J Thorac Cardiovasc Surg. 131:671–678. 2006.PubMed/NCBI View Article : Google Scholar

6 

Ishii T and Asuwa N: Collagen and elastin degradation by matrix metalloproteinases and tissue inhibitors of matrix metalloproteinase in aortic dissection. Hum Pathol. 31:640–646. 2000.PubMed/NCBI View Article : Google Scholar

7 

Ra HJ and Parks WC: Control of matrix metalloproteinase catalytic activity. Matrix Biol. 26:587–596. 2007.PubMed/NCBI View Article : Google Scholar

8 

Koullias GJ, Ravichandran P, Korkolis DP, Rimm DL and Elefteriades JA: Increased tissue microarray matrix metalloproteinase expression favors proteolysis in thoracic aortic aneurysms and dissections. Ann Thorac Surg. 78:2106–2110; discussion 2110-2101. 2004.PubMed/NCBI View Article : Google Scholar

9 

Sangiorgi G, Trimarchi S, Mauriello A, Righini P, Bossone E, Suzuki T, Rampoldi V and Eagle KA: Plasma levels of metalloproteinases-9 and -2 in the acute and subacute phases of type A and type B aortic dissection. J Cardiovasc Med (Hagerstown). 7:307–315. 2006.PubMed/NCBI View Article : Google Scholar

10 

Takagi H, Hari Y, Nakashima K, Kuno T and Ando T: Matrix metalloproteinases and acute aortic dissection: Et Tu, Brute? Interact Cardiovasc Thorac Surg. 30:465–476. 2020.PubMed/NCBI View Article : Google Scholar

11 

Wang X, LeMaire SA, Chen L, Shen YH, Gan Y, Bartsch H, Carter SA, Utama B, Ou H, Coselli JS and Wang XL: Increased collagen deposition and elevated expression of connective tissue growth factor in human thoracic aortic dissection. Circulation. 114 (1 Suppl):I200–I205. 2006.PubMed/NCBI View Article : Google Scholar

12 

Chung AW, Yang HH, Radomski MW and van Breemen C: Long-term doxycycline is more effective than atenolol to prevent thoracic aortic aneurysm in marfan syndrome through the inhibition of matrix metalloproteinase-2 and -9. Circ Res. 102:e73–e85. 2008.PubMed/NCBI View Article : Google Scholar

13 

Chow AK, Cena J and Schulz R: Acute actions and novel targets of matrix metalloproteinases in the heart and vasculature. Br J Pharmacol. 152:189–205. 2007.PubMed/NCBI View Article : Google Scholar

14 

Wang X and Khalil RA: Matrix metalloproteinases, vascular remodeling, and vascular disease. Adv Pharmacol. 81:241–330. 2018.PubMed/NCBI View Article : Google Scholar

15 

Bourboulia D and Stetler-Stevenson WG: Matrix metalloproteinases (mmps) and tissue inhibitors of metalloproteinases (timps): Positive and negative regulators in tumor cell adhesion. Semin Cancer Biol. 20:161–168. 2010.PubMed/NCBI View Article : Google Scholar

16 

Arpino V, Brock M and Gill SE: The role of timps in regulation of extracellular matrix proteolysis. Matrix Biol. 44-46:247–254. 2015.PubMed/NCBI View Article : Google Scholar

17 

Manabe T, Imoto K, Uchida K, Doi C and Takanashi Y: Decreased tissue inhibitor of metalloproteinase-2/matrix metalloproteinase ratio in the acute phase of aortic dissection. Surg Today. 34:220–225. 2004.PubMed/NCBI View Article : Google Scholar

18 

Lesauskaite V, Tanganelli P, Sassi C, Neri E, Diciolla F, Ivanoviene L, Epistolato MC, Lalinga AV, Alessandrini C and Spina D: Smooth muscle cells of the media in the dilatative pathology of ascending thoracic aorta: Morphology, immunoreactivity for osteopontin, matrix metalloproteinases, and their inhibitors. Hum Pathol. 32:1003–1011. 2001.PubMed/NCBI View Article : Google Scholar

19 

Chow BS, Chew EG, Zhao C, Bathgate RA, Hewitson TD and Samuel CS: Relaxin signals through a rxfp1-perk-nnos-no-cgmp-dependent pathway to up-regulate matrix metalloproteinases: The additional involvement of inos. PLoS One. 7(e42714)2012.PubMed/NCBI View Article : Google Scholar

20 

Shen YH and LeMaire SA: Molecular pathogenesis of genetic and sporadic aortic aneurysms and dissections. Curr Probl Surg. 54:95–155. 2017.PubMed/NCBI View Article : Google Scholar

21 

Samadzadeh KM, Chun KC, Nguyen AT, Baker PM, Bains S and Lee ES: Monocyte activity is linked with abdominal aortic aneurysm diameter. J Surg Res. 190:328–334. 2014.PubMed/NCBI View Article : Google Scholar

22 

Lu L, Tong Y, Wang W, Hou Y, Dou H and Liu Z: Characterization and significance of monocytes in acute stanford type B aortic dissection. J Immunol Res. 2020(9670360)2020.PubMed/NCBI View Article : Google Scholar

23 

Zhang L, Yu C, Chang Q, Luo X, Qiu J and Liu S: Comparison of gene expression profiles in aortic dissection and normal human aortic tissues. Biomed Rep. 5:421–427. 2016.PubMed/NCBI View Article : Google Scholar

24 

Hindson BJ, Ness KD, Masquelier DA, Belgrader P, Heredia NJ, Makarewicz AJ, Bright IJ, Lucero MY, Hiddessen AL, Legler TC, et al: High-throughput droplet digital PCR system for absolute quantitation of DNA copy number. Anal Chem. 83:8604–8610. 2011.PubMed/NCBI View Article : Google Scholar

25 

Hindson CM, Chevillet JR, Briggs HA, Gallichotte EN, Ruf IK, Hindson BJ, Vessella RL and Tewari M: Absolute quantification by droplet digital PCR versus analog real-time PCR. Nat Methods. 10:1003–1005. 2013.PubMed/NCBI View Article : Google Scholar

26 

Iyer RP, Patterson NL, Fields GB and Lindsey ML: The history of matrix metalloproteinases: Milestones, myths, and misperceptions. Am J Physiol Heart Circ Physiol. 303:H919–H930. 2012.PubMed/NCBI View Article : Google Scholar

27 

Coady MA, Rizzo JA, Goldstein LJ and Elefteriades JA: Natural history, pathogenesis, and etiology of thoracic aortic aneurysms and dissections. Cardiol Clin. 17:615–635, vii. 1999.PubMed/NCBI View Article : Google Scholar

28 

Weis-Müller BT, Modlich O, Drobinskaya I, Unay D, Huber R, Bojar H, Schipke JD, Feindt P, Gams E, Müller W, et al: Gene expression in acute stanford type A dissection: A comparative microarray study. J Transl Med. 4(29)2006.PubMed/NCBI View Article : Google Scholar

29 

Djuric T and Zivkovic M: Overview of MMP biology and gene associations in human diseases. In: The Role of Matrix Metalloproteinase in Human Body Pathologies. IntechOpen, London, 2017.

30 

Brew K and Nagase H: The tissue inhibitors of metalloproteinases (timps): An ancient family with structural and functional diversity. Biochim Biophys Acta. 1803:55–71. 2010.PubMed/NCBI View Article : Google Scholar

31 

Zhang X, Wu D, Choi JC, Minard CG, Hou X, Coselli JS, Shen YH and LeMaire SA: Matrix metalloproteinase levels in chronic thoracic aortic dissection. J Surg Res. 189:348–358. 2014.PubMed/NCBI View Article : Google Scholar

32 

Akiyama M, Ohtani H, Sato E, Nagura H and Tabayashi K: Up-regulation of matrix metalloproteinase-2 and membrane-type 1-matrix metalloproteinase were coupled with that of type I procollagen in granulation tissue response after the onset of aortic dissection. Virchows Arch. 448:811–821. 2006.PubMed/NCBI View Article : Google Scholar

33 

Schneiderman J, Bordin GM, Adar R, Smolinsky A, Seiffert D, Engelberg I, Dilley RB, Thinnes T and Loskutoff DJ: Patterns of expression of fibrinolytic genes and matrix metalloproteinase-9 in dissecting aortic aneurysms. Am J Pathol. 152:703–710. 1998.PubMed/NCBI

34 

James TW, Wagner R, White LA, Zwolak RM and Brinckerhoff CE: Induction of collagenase and stromelysin gene expression by mechanical injury in a vascular smooth muscle-derived cell line. J Cell Physiol. 157:426–437. 1993.PubMed/NCBI View Article : Google Scholar

35 

Schlatmann TJ and Becker AE: Pathogenesis of dissecting aneurysm of aorta. Comparative histopathologic study of significance of medial changes. Am J Cardiol. 39:21–26. 1977.PubMed/NCBI View Article : Google Scholar

36 

Roberts WC: Aortic dissection: Anatomy, consequences, and causes. Am Heart J. 101:195–214. 1981.PubMed/NCBI View Article : Google Scholar

37 

Kimura N, Futamura K, Arakawa M, Okada N, Emrich F, Okamura H, Sato T, Shudo Y, Koyano TK, Yamaguchi A, et al: Gene expression profiling of acute type A aortic dissection combined with in vitro assessment. Eur J Cardiothorac Surg. 52:810–817. 2017.PubMed/NCBI View Article : Google Scholar

Related Articles

  • Abstract
  • View
  • Download
  • Twitter
Copy and paste a formatted citation
Spandidos Publications style
Kose T, Antal A and Gunel T: Expression of <em>MMP2</em>, <em>MMP9</em>, <em>TIMP2</em> and <em>TIMP3</em> genes in aortic dissection. Exp Ther Med 28: 360, 2024.
APA
Kose, T., Antal, A., & Gunel, T. (2024). Expression of <em>MMP2</em>, <em>MMP9</em>, <em>TIMP2</em> and <em>TIMP3</em> genes in aortic dissection. Experimental and Therapeutic Medicine, 28, 360. https://doi.org/10.3892/etm.2024.12649
MLA
Kose, T., Antal, A., Gunel, T."Expression of <em>MMP2</em>, <em>MMP9</em>, <em>TIMP2</em> and <em>TIMP3</em> genes in aortic dissection". Experimental and Therapeutic Medicine 28.3 (2024): 360.
Chicago
Kose, T., Antal, A., Gunel, T."Expression of <em>MMP2</em>, <em>MMP9</em>, <em>TIMP2</em> and <em>TIMP3</em> genes in aortic dissection". Experimental and Therapeutic Medicine 28, no. 3 (2024): 360. https://doi.org/10.3892/etm.2024.12649
Copy and paste a formatted citation
x
Spandidos Publications style
Kose T, Antal A and Gunel T: Expression of <em>MMP2</em>, <em>MMP9</em>, <em>TIMP2</em> and <em>TIMP3</em> genes in aortic dissection. Exp Ther Med 28: 360, 2024.
APA
Kose, T., Antal, A., & Gunel, T. (2024). Expression of <em>MMP2</em>, <em>MMP9</em>, <em>TIMP2</em> and <em>TIMP3</em> genes in aortic dissection. Experimental and Therapeutic Medicine, 28, 360. https://doi.org/10.3892/etm.2024.12649
MLA
Kose, T., Antal, A., Gunel, T."Expression of <em>MMP2</em>, <em>MMP9</em>, <em>TIMP2</em> and <em>TIMP3</em> genes in aortic dissection". Experimental and Therapeutic Medicine 28.3 (2024): 360.
Chicago
Kose, T., Antal, A., Gunel, T."Expression of <em>MMP2</em>, <em>MMP9</em>, <em>TIMP2</em> and <em>TIMP3</em> genes in aortic dissection". Experimental and Therapeutic Medicine 28, no. 3 (2024): 360. https://doi.org/10.3892/etm.2024.12649
Follow us
  • Twitter
  • LinkedIn
  • Facebook
About
  • Spandidos Publications
  • Careers
  • Cookie Policy
  • Privacy Policy
How can we help?
  • Help
  • Live Chat
  • Contact
  • Email to our Support Team