Spandidos Publications Logo
  • About
    • About Spandidos
    • Aims and Scopes
    • Abstracting and Indexing
    • Editorial Policies
    • Reprints and Permissions
    • Job Opportunities
    • Terms and Conditions
    • Contact
  • Journals
    • All Journals
    • Oncology Letters
      • Oncology Letters
      • Information for Authors
      • Editorial Policies
      • Editorial Board
      • Aims and Scope
      • Abstracting and Indexing
      • Bibliographic Information
      • Archive
    • International Journal of Oncology
      • International Journal of Oncology
      • Information for Authors
      • Editorial Policies
      • Editorial Board
      • Aims and Scope
      • Abstracting and Indexing
      • Bibliographic Information
      • Archive
    • Molecular and Clinical Oncology
      • Molecular and Clinical Oncology
      • Information for Authors
      • Editorial Policies
      • Editorial Board
      • Aims and Scope
      • Abstracting and Indexing
      • Bibliographic Information
      • Archive
    • Experimental and Therapeutic Medicine
      • Experimental and Therapeutic Medicine
      • Information for Authors
      • Editorial Policies
      • Editorial Board
      • Aims and Scope
      • Abstracting and Indexing
      • Bibliographic Information
      • Archive
    • International Journal of Molecular Medicine
      • International Journal of Molecular Medicine
      • Information for Authors
      • Editorial Policies
      • Editorial Board
      • Aims and Scope
      • Abstracting and Indexing
      • Bibliographic Information
      • Archive
    • Biomedical Reports
      • Biomedical Reports
      • Information for Authors
      • Editorial Policies
      • Editorial Board
      • Aims and Scope
      • Abstracting and Indexing
      • Bibliographic Information
      • Archive
    • Oncology Reports
      • Oncology Reports
      • Information for Authors
      • Editorial Policies
      • Editorial Board
      • Aims and Scope
      • Abstracting and Indexing
      • Bibliographic Information
      • Archive
    • Molecular Medicine Reports
      • Molecular Medicine Reports
      • Information for Authors
      • Editorial Policies
      • Editorial Board
      • Aims and Scope
      • Abstracting and Indexing
      • Bibliographic Information
      • Archive
    • World Academy of Sciences Journal
      • World Academy of Sciences Journal
      • Information for Authors
      • Editorial Policies
      • Editorial Board
      • Aims and Scope
      • Abstracting and Indexing
      • Bibliographic Information
      • Archive
    • International Journal of Functional Nutrition
      • International Journal of Functional Nutrition
      • Information for Authors
      • Editorial Policies
      • Editorial Board
      • Aims and Scope
      • Abstracting and Indexing
      • Bibliographic Information
      • Archive
    • International Journal of Epigenetics
      • International Journal of Epigenetics
      • Information for Authors
      • Editorial Policies
      • Editorial Board
      • Aims and Scope
      • Abstracting and Indexing
      • Bibliographic Information
      • Archive
    • Medicine International
      • Medicine International
      • Information for Authors
      • Editorial Policies
      • Editorial Board
      • Aims and Scope
      • Abstracting and Indexing
      • Bibliographic Information
      • Archive
  • Articles
  • Information
    • Information for Authors
    • Information for Reviewers
    • Information for Librarians
    • Information for Advertisers
    • Conferences
  • Language Editing
Spandidos Publications Logo
  • About
    • About Spandidos
    • Aims and Scopes
    • Abstracting and Indexing
    • Editorial Policies
    • Reprints and Permissions
    • Job Opportunities
    • Terms and Conditions
    • Contact
  • Journals
    • All Journals
    • Biomedical Reports
      • Information for Authors
      • Editorial Policies
      • Editorial Board
      • Aims and Scope
      • Abstracting and Indexing
      • Bibliographic Information
      • Archive
    • Experimental and Therapeutic Medicine
      • Information for Authors
      • Editorial Policies
      • Editorial Board
      • Aims and Scope
      • Abstracting and Indexing
      • Bibliographic Information
      • Archive
    • International Journal of Epigenetics
      • Information for Authors
      • Editorial Policies
      • Editorial Board
      • Aims and Scope
      • Abstracting and Indexing
      • Bibliographic Information
      • Archive
    • International Journal of Functional Nutrition
      • Information for Authors
      • Editorial Policies
      • Editorial Board
      • Aims and Scope
      • Abstracting and Indexing
      • Bibliographic Information
      • Archive
    • International Journal of Molecular Medicine
      • Information for Authors
      • Editorial Policies
      • Editorial Board
      • Aims and Scope
      • Abstracting and Indexing
      • Bibliographic Information
      • Archive
    • International Journal of Oncology
      • Information for Authors
      • Editorial Policies
      • Editorial Board
      • Aims and Scope
      • Abstracting and Indexing
      • Bibliographic Information
      • Archive
    • Medicine International
      • Information for Authors
      • Editorial Policies
      • Editorial Board
      • Aims and Scope
      • Abstracting and Indexing
      • Bibliographic Information
      • Archive
    • Molecular and Clinical Oncology
      • Information for Authors
      • Editorial Policies
      • Editorial Board
      • Aims and Scope
      • Abstracting and Indexing
      • Bibliographic Information
      • Archive
    • Molecular Medicine Reports
      • Information for Authors
      • Editorial Policies
      • Editorial Board
      • Aims and Scope
      • Abstracting and Indexing
      • Bibliographic Information
      • Archive
    • Oncology Letters
      • Information for Authors
      • Editorial Policies
      • Editorial Board
      • Aims and Scope
      • Abstracting and Indexing
      • Bibliographic Information
      • Archive
    • Oncology Reports
      • Information for Authors
      • Editorial Policies
      • Editorial Board
      • Aims and Scope
      • Abstracting and Indexing
      • Bibliographic Information
      • Archive
    • World Academy of Sciences Journal
      • Information for Authors
      • Editorial Policies
      • Editorial Board
      • Aims and Scope
      • Abstracting and Indexing
      • Bibliographic Information
      • Archive
  • Articles
  • Information
    • For Authors
    • For Reviewers
    • For Librarians
    • For Advertisers
    • Conferences
  • Language Editing
Login Register Submit
  • This site uses cookies
  • You can change your cookie settings at any time by following the instructions in our Cookie Policy. To find out more, you may read our Privacy Policy.

    I agree
Search articles by DOI, keyword, author or affiliation
Search
Advanced Search
presentation
Experimental and Therapeutic Medicine
Join Editorial Board Propose a Special Issue
Print ISSN: 1792-0981 Online ISSN: 1792-1015
Journal Cover
September-2024 Volume 28 Issue 3

Full Size Image

Sign up for eToc alerts
Recommend to Library

Journals

International Journal of Molecular Medicine

International Journal of Molecular Medicine

International Journal of Molecular Medicine is an international journal devoted to molecular mechanisms of human disease.

International Journal of Oncology

International Journal of Oncology

International Journal of Oncology is an international journal devoted to oncology research and cancer treatment.

Molecular Medicine Reports

Molecular Medicine Reports

Covers molecular medicine topics such as pharmacology, pathology, genetics, neuroscience, infectious diseases, molecular cardiology, and molecular surgery.

Oncology Reports

Oncology Reports

Oncology Reports is an international journal devoted to fundamental and applied research in Oncology.

Experimental and Therapeutic Medicine

Experimental and Therapeutic Medicine

Experimental and Therapeutic Medicine is an international journal devoted to laboratory and clinical medicine.

Oncology Letters

Oncology Letters

Oncology Letters is an international journal devoted to Experimental and Clinical Oncology.

Biomedical Reports

Biomedical Reports

Explores a wide range of biological and medical fields, including pharmacology, genetics, microbiology, neuroscience, and molecular cardiology.

Molecular and Clinical Oncology

Molecular and Clinical Oncology

International journal addressing all aspects of oncology research, from tumorigenesis and oncogenes to chemotherapy and metastasis.

World Academy of Sciences Journal

World Academy of Sciences Journal

Multidisciplinary open-access journal spanning biochemistry, genetics, neuroscience, environmental health, and synthetic biology.

International Journal of Functional Nutrition

International Journal of Functional Nutrition

Open-access journal combining biochemistry, pharmacology, immunology, and genetics to advance health through functional nutrition.

International Journal of Epigenetics

International Journal of Epigenetics

Publishes open-access research on using epigenetics to advance understanding and treatment of human disease.

Medicine International

Medicine International

An International Open Access Journal Devoted to General Medicine.

Journal Cover
September-2024 Volume 28 Issue 3

Full Size Image

Sign up for eToc alerts
Recommend to Library

  • Article
  • Citations
    • Cite This Article
    • Download Citation
    • Create Citation Alert
    • Remove Citation Alert
    • Cited By
  • Similar Articles
    • Related Articles (in Spandidos Publications)
    • Similar Articles (Google Scholar)
    • Similar Articles (PubMed)
  • Download PDF
  • Download XML
  • View XML
Article Open Access

Newborn concurrent hearing and genetic screening for hearing impairment: A systematic review and meta‑analysis

  • Authors:
    • Ke Pan
    • Zhirong Shang
    • Jialin Liu
    • Yidong Wen
    • Jing Luo
    • Dan Zou
    • Aichun Wang
    • Tao Li
    • Lingyan Liao
    • Pan Xie
  • View Affiliations / Copyright

    Affiliations: Department of Clinical Laboratory, Mianyang Maternity and Child Healthcare Hospital, Mianyang, Sichuan 621000, P.R. China
    Copyright: © Pan et al. This is an open access article distributed under the terms of Creative Commons Attribution License.
  • Article Number: 365
    |
    Published online on: July 16, 2024
       https://doi.org/10.3892/etm.2024.12654
  • Expand metrics +
Metrics: Total Views: 0 (Spandidos Publications: | PMC Statistics: )
Metrics: Total PDF Downloads: 0 (Spandidos Publications: | PMC Statistics: )
Cited By (CrossRef): 0 citations Loading Articles...

This article is mentioned in:



Abstract

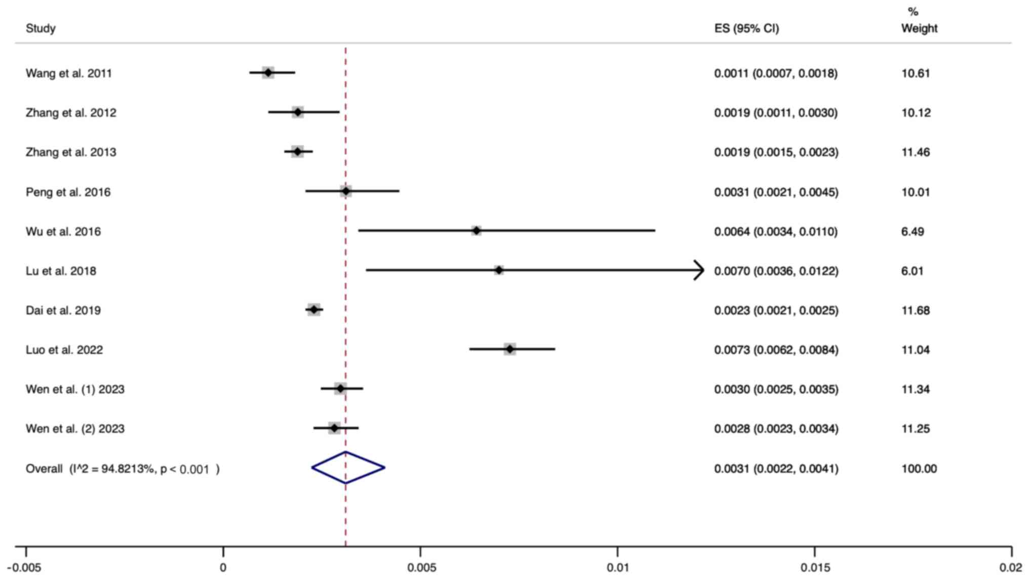
Hearing loss is the most prevalent neurosensory disorder in humans, with significant implications for language, social and cognitive development if not diagnosed and treated early. The present systematic review and meta‑analysis aimed to determine the rate of hearing screening pass and genetic screening failure [universal newborn hearing screening (UNHS) pass/genetic failure] and to investigate the advantages of combining newborn hearing and genetic screening for newborn hearing impairment. The PubMed, Embase and Cochrane databases were searched from inception to September 2023 to identify studies reporting the combination of neonatal hearing screening with genetic screening. Duplicate literature, unpublished literature, studies with incomplete data, animal experiments, literature reviews and systematic studies were excluded. All the data were processed by STATA15.1 statistical software. A total of nine cross‑sectional studies were included in this meta‑analysis. The sample sizes ranged from 1,716 to 180,469, and there were a total of 377,688 participants. The pooled results revealed that the prevalence of passing the UNHS while failing genetic screening was 0.31% (95% CI, 0.22‑0.41%). The prevalence of UNHS pass and gap junction protein beta 2 and solute carrier family 26 member 4 variant screen failure was 0.01% (95% CI, 0.00‑0.02%) and 0.00% (95% CI, 0.00%), respectively, while the prevalence of mitochondrially encoded 12S RRNA variant screening failure and UNHS pass was 0.21% (95% CI, 0.18‑0.26%). Combined screening has a significant advantage over pure hearing screening, especially in terms of identifying newborns with mitochondrial gene mutations that render them sensitive to certain medications. In clinical practice, decision‑makers can consider practical circumstances and leverage the benefits of combined newborn hearing and genetic screening for early diagnosis, early counseling, and early intervention in patients with hearing loss.
View Figures

Figure 1

Figure 2

Figure 3

Figure 4

Figure 5

Figure 6

View References

1 

Nieman CL and McMahon CM: The World Health Organization's world report on hearing: A call to action for hearing care providers. J Laryngol Otol. 134:377–378. 2020.PubMed/NCBI View Article : Google Scholar

2 

Fortnum HM, Summerfield AQ, Marshall DH, Davis AC and Bamford JM: Prevalence of permanent childhood hearing impairment in the United Kingdom and implications for universal neonatal hearing screening: Questionnaire based ascertainment study. BMJ. 323:536–540. 2001.PubMed/NCBI View Article : Google Scholar

3 

Kennedy C and McCann D: Universal neonatal hearing screening moving from evidence to practice. Arch Dis Child Fetal Neonatal Ed. 89:F378–F383. 2004.PubMed/NCBI View Article : Google Scholar

4 

Tobe RG, Mori R, Huang L, Xu L, Han D and Shibuya K: Cost-effectiveness analysis of a national neonatal hearing screening program in China: Conditions for the scale-up. PLoS One. 8(e51990)2013.PubMed/NCBI View Article : Google Scholar

5 

Huang LH, Zhang L, Tobe RY, Qi FH, Sun L, Teng Y, Ke QL, Mai F, Zhang XF, Zhang M, et al: Cost-effectiveness analysis of neonatal hearing screening program in China: Should universal screening be prioritized? BMC Health Serv Res. 12(97)2012.PubMed/NCBI View Article : Google Scholar

6 

Young NM, Reilly BK and Burke L: Limitations of universal newborn hearing screening in early identification of pediatric cochlear implant candidates. Arch Otolaryngol Head Neck Surg. 137:230–234. 2011.PubMed/NCBI View Article : Google Scholar

7 

Morton CC and Nance WE: Newborn hearing screening-a silent revolution. N Engl J Med. 354:2151–2164. 2006.PubMed/NCBI View Article : Google Scholar

8 

Wang Q, Xiang J, Sun J, Yang Y, Guan J, Wang D, Song C, Guo L, Wang H, Chen Y, et al: Nationwide population genetic screening improves outcomes of newborn screening for hearing loss in China. Genet Med. 21:2231–2238. 2019.PubMed/NCBI View Article : Google Scholar

9 

Tang X, Liu L, Liang S, Liang M, Liao T, Luo S, Yan T and Chen J: Concurrent newborn hearing and genetic screening in a Multi-ethnic population in South China. Front Pediatr. 9(734300)2021.PubMed/NCBI View Article : Google Scholar

10 

Barendregt JJ, Doi SA, Lee YY, Norman RE and Vos T: Meta-analysis of prevalence. J Epidemiol Community Health. 67:974–978. 2013.PubMed/NCBI View Article : Google Scholar

11 

Yáñez-Baeza C, Aguilera-Eguía RA, Fuentes-Barría H and Roco-Videla Á: Importance of the PRISMA guideline. Nutr Hosp. 40:670–675. 2023.PubMed/NCBI View Article : Google Scholar : (In Spanish).

12 

Zhu QW, Li MT, Zhuang X, Chen K, Xu WQ, Jiang YH and Qin G: Assessment of hearing screening combined with limited and expanded genetic screening for newborns in Nantong, China. JAMA Netw Open. 4(e2125544)2021.PubMed/NCBI View Article : Google Scholar

13 

Zeng X, Liu Z, Wang J and Zeng X: Combined hearing screening and genetic screening of deafness among Hakka newborns in China. Int J Pediatr Otorhinolaryngol. 136(110120)2020.PubMed/NCBI View Article : Google Scholar

14 

Egger M, Davey Smith G, Schneider M and Minder C: Bias in meta-analysis detected by a simple, graphical test. BMJ. 315:629–634. 1997.PubMed/NCBI View Article : Google Scholar

15 

Wang QJ, Zhao YL, Rao SQ, Guo YF, He Y, Lan L, Yang WY, Zheng QY, Ruben RJ, Han DY and Shen Y: Newborn hearing concurrent gene screening can improve care for hearing loss: A study on 14,913 Chinese newborns. Int J Pediatr Otorhinolaryngol. 75:535–542. 2011.PubMed/NCBI View Article : Google Scholar

16 

Zhang Z, Ding W, Liu X, Xu B, Du W, Nan S and Guo Y: Auditory screening concurrent deafness predisposing genes screening in 10,043 neonates in Gansu province, China. Int J Pediatr Otorhinolaryngol. 76:984–988. 2012.PubMed/NCBI View Article : Google Scholar

17 

Zhang J, Wang P, Han B, Ding Y, Pan L, Zou J, Liu H, Pang X, Liu E, Wang H, et al: Newborn hearing concurrent genetic screening for hearing impairment-a clinical practice in 58,397 neonates in Tianjin, China. Int J Pediatr Otorhinolaryngol. 77:1929–1935. 2013.PubMed/NCBI View Article : Google Scholar

18 

Peng Q, Huang S, Liang Y, Ma K, Li S, Yang L, Li W, Ma Q, Liu Q, Zhong B and Lu X: Concurrent genetic and standard screening for hearing impairment in 9317 Southern Chinese Newborns. Genet Test Mol Biomarkers. 20:603–608. 2016.PubMed/NCBI View Article : Google Scholar

19 

Wu CC, Tsai CH, Hung CC, Lin YH, Lin YH, Huang FL, Tsao PN, Su YN, Lee YL, Hsieh WS and Hsu CJ: Newborn genetic screening for hearing impairment: A population-based longitudinal study. Genet Med. 19:6–12. 2017.PubMed/NCBI View Article : Google Scholar

20 

Lu CY, Tsao PN, Ke YY, Lin YH, Lin YH, Hung CC, Su YN, Hsu WC, Hsieh WS, Huang LM, et al: Concurrent hearing, genetic, and cytomegalovirus screening in Newborns, Taiwan. J Pediatr. 199:144–50.e1. 2018.PubMed/NCBI View Article : Google Scholar

21 

Dai P, Huang LH, Wang GJ, Gao X, Qu CY, Chen XW, Ma FR, Zhang J, Xing WL, Xi SY, et al: Concurrent hearing and genetic screening of 180,469 neonates with Follow-up in Beijing, China. Am J Hum Genet. 105:803–812. 2019.PubMed/NCBI View Article : Google Scholar

22 

Luo H, Yang Y, Wang X, Xu F, Huang C, Liu D, Zhang L, Huang T, Ma P, Lu Q, et al: Concurrent newborn hearing and genetic screening of common hearing loss variants with bloodspot-based targeted next generation sequencing in Jiangxi province. Front Pediatr. 10(1020519)2022.PubMed/NCBI View Article : Google Scholar

23 

Wen C, Yang X, Cheng X, Zhang W, Li Y, Wang J, Wang C, Ruan Y, Zhao L, Lu H, et al: Optimized concurrent hearing and genetic screening in Beijing, China: A cross-sectional study. Biosci Trends. 17:148–159. 2023.PubMed/NCBI View Article : Google Scholar

24 

Wang QJ, Zhao YL, Lan L, Zhao C, Han MK and Han DY: Studies of the strategy for newborn gene screening. Zhonghua Er Bi Yan Hou Tou Jing Wai Ke Za Zhi. 42:809–813. 2007.PubMed/NCBI(In Chinese).

25 

D'Aguillo C, Bressler S, Yan D, Mittal R, Fifer R, Blanton SH and Liu X: Genetic screening as an adjunct to universal newborn hearing screening: Literature review and implications for non-congenital pre-lingual hearing loss. Int J Audiol. 58:834–850. 2019.PubMed/NCBI View Article : Google Scholar

26 

Nivoloni Kde A, da Silva-Costa SM, Pomilio MC, Pereira T, Lopes Kde C, de Moraes VC, Alexandrino F, de Oliveira CA and Sartorato EL: Newborn hearing screening and genetic testing in 8974 Brazilian neonates. Int J Pediatr Otorhinolaryngol. 74:926–929. 2010.PubMed/NCBI View Article : Google Scholar

27 

Han B, Zong L, Li Q, Zhang Z, Wang D, Lan L, Zhang J, Zhao Y and Wang Q: Newborn genetic screening for high risk deafness-associated mutations with a new Tetra-primer ARMS PCR kit. Int J Pediatr Otorhinolaryngol. 77:1440–1445. 2013.PubMed/NCBI View Article : Google Scholar

28 

Guo L, Xiang J, Sun L, Yan X, Yang J, Wu H, Guo K, Peng J, Xie X, Yin Y, et al: Concurrent hearing and genetic screening in a general newborn population. Hum Genet. 139:521–530. 2020.PubMed/NCBI View Article : Google Scholar

Related Articles

  • Abstract
  • View
  • Download
  • Twitter
Copy and paste a formatted citation
Spandidos Publications style
Pan K, Shang Z, Liu J, Wen Y, Luo J, Zou D, Wang A, Li T, Liao L, Xie P, Xie P, et al: Newborn concurrent hearing and genetic screening for hearing impairment: A systematic review and meta‑analysis. Exp Ther Med 28: 365, 2024.
APA
Pan, K., Shang, Z., Liu, J., Wen, Y., Luo, J., Zou, D. ... Xie, P. (2024). Newborn concurrent hearing and genetic screening for hearing impairment: A systematic review and meta‑analysis. Experimental and Therapeutic Medicine, 28, 365. https://doi.org/10.3892/etm.2024.12654
MLA
Pan, K., Shang, Z., Liu, J., Wen, Y., Luo, J., Zou, D., Wang, A., Li, T., Liao, L., Xie, P."Newborn concurrent hearing and genetic screening for hearing impairment: A systematic review and meta‑analysis". Experimental and Therapeutic Medicine 28.3 (2024): 365.
Chicago
Pan, K., Shang, Z., Liu, J., Wen, Y., Luo, J., Zou, D., Wang, A., Li, T., Liao, L., Xie, P."Newborn concurrent hearing and genetic screening for hearing impairment: A systematic review and meta‑analysis". Experimental and Therapeutic Medicine 28, no. 3 (2024): 365. https://doi.org/10.3892/etm.2024.12654
Copy and paste a formatted citation
x
Spandidos Publications style
Pan K, Shang Z, Liu J, Wen Y, Luo J, Zou D, Wang A, Li T, Liao L, Xie P, Xie P, et al: Newborn concurrent hearing and genetic screening for hearing impairment: A systematic review and meta‑analysis. Exp Ther Med 28: 365, 2024.
APA
Pan, K., Shang, Z., Liu, J., Wen, Y., Luo, J., Zou, D. ... Xie, P. (2024). Newborn concurrent hearing and genetic screening for hearing impairment: A systematic review and meta‑analysis. Experimental and Therapeutic Medicine, 28, 365. https://doi.org/10.3892/etm.2024.12654
MLA
Pan, K., Shang, Z., Liu, J., Wen, Y., Luo, J., Zou, D., Wang, A., Li, T., Liao, L., Xie, P."Newborn concurrent hearing and genetic screening for hearing impairment: A systematic review and meta‑analysis". Experimental and Therapeutic Medicine 28.3 (2024): 365.
Chicago
Pan, K., Shang, Z., Liu, J., Wen, Y., Luo, J., Zou, D., Wang, A., Li, T., Liao, L., Xie, P."Newborn concurrent hearing and genetic screening for hearing impairment: A systematic review and meta‑analysis". Experimental and Therapeutic Medicine 28, no. 3 (2024): 365. https://doi.org/10.3892/etm.2024.12654
Follow us
  • Twitter
  • LinkedIn
  • Facebook
About
  • Spandidos Publications
  • Careers
  • Cookie Policy
  • Privacy Policy
How can we help?
  • Help
  • Live Chat
  • Contact
  • Email to our Support Team