Spandidos Publications Logo
  • About
    • About Spandidos
    • Aims and Scopes
    • Abstracting and Indexing
    • Editorial Policies
    • Reprints and Permissions
    • Job Opportunities
    • Terms and Conditions
    • Contact
  • Journals
    • All Journals
    • Oncology Letters
      • Oncology Letters
      • Information for Authors
      • Editorial Policies
      • Editorial Board
      • Aims and Scope
      • Abstracting and Indexing
      • Bibliographic Information
      • Archive
    • International Journal of Oncology
      • International Journal of Oncology
      • Information for Authors
      • Editorial Policies
      • Editorial Board
      • Aims and Scope
      • Abstracting and Indexing
      • Bibliographic Information
      • Archive
    • Molecular and Clinical Oncology
      • Molecular and Clinical Oncology
      • Information for Authors
      • Editorial Policies
      • Editorial Board
      • Aims and Scope
      • Abstracting and Indexing
      • Bibliographic Information
      • Archive
    • Experimental and Therapeutic Medicine
      • Experimental and Therapeutic Medicine
      • Information for Authors
      • Editorial Policies
      • Editorial Board
      • Aims and Scope
      • Abstracting and Indexing
      • Bibliographic Information
      • Archive
    • International Journal of Molecular Medicine
      • International Journal of Molecular Medicine
      • Information for Authors
      • Editorial Policies
      • Editorial Board
      • Aims and Scope
      • Abstracting and Indexing
      • Bibliographic Information
      • Archive
    • Biomedical Reports
      • Biomedical Reports
      • Information for Authors
      • Editorial Policies
      • Editorial Board
      • Aims and Scope
      • Abstracting and Indexing
      • Bibliographic Information
      • Archive
    • Oncology Reports
      • Oncology Reports
      • Information for Authors
      • Editorial Policies
      • Editorial Board
      • Aims and Scope
      • Abstracting and Indexing
      • Bibliographic Information
      • Archive
    • Molecular Medicine Reports
      • Molecular Medicine Reports
      • Information for Authors
      • Editorial Policies
      • Editorial Board
      • Aims and Scope
      • Abstracting and Indexing
      • Bibliographic Information
      • Archive
    • World Academy of Sciences Journal
      • World Academy of Sciences Journal
      • Information for Authors
      • Editorial Policies
      • Editorial Board
      • Aims and Scope
      • Abstracting and Indexing
      • Bibliographic Information
      • Archive
    • International Journal of Functional Nutrition
      • International Journal of Functional Nutrition
      • Information for Authors
      • Editorial Policies
      • Editorial Board
      • Aims and Scope
      • Abstracting and Indexing
      • Bibliographic Information
      • Archive
    • International Journal of Epigenetics
      • International Journal of Epigenetics
      • Information for Authors
      • Editorial Policies
      • Editorial Board
      • Aims and Scope
      • Abstracting and Indexing
      • Bibliographic Information
      • Archive
    • Medicine International
      • Medicine International
      • Information for Authors
      • Editorial Policies
      • Editorial Board
      • Aims and Scope
      • Abstracting and Indexing
      • Bibliographic Information
      • Archive
  • Articles
  • Information
    • Information for Authors
    • Information for Reviewers
    • Information for Librarians
    • Information for Advertisers
    • Conferences
  • Language Editing
Spandidos Publications Logo
  • About
    • About Spandidos
    • Aims and Scopes
    • Abstracting and Indexing
    • Editorial Policies
    • Reprints and Permissions
    • Job Opportunities
    • Terms and Conditions
    • Contact
  • Journals
    • All Journals
    • Biomedical Reports
      • Information for Authors
      • Editorial Policies
      • Editorial Board
      • Aims and Scope
      • Abstracting and Indexing
      • Bibliographic Information
      • Archive
    • Experimental and Therapeutic Medicine
      • Information for Authors
      • Editorial Policies
      • Editorial Board
      • Aims and Scope
      • Abstracting and Indexing
      • Bibliographic Information
      • Archive
    • International Journal of Epigenetics
      • Information for Authors
      • Editorial Policies
      • Editorial Board
      • Aims and Scope
      • Abstracting and Indexing
      • Bibliographic Information
      • Archive
    • International Journal of Functional Nutrition
      • Information for Authors
      • Editorial Policies
      • Editorial Board
      • Aims and Scope
      • Abstracting and Indexing
      • Bibliographic Information
      • Archive
    • International Journal of Molecular Medicine
      • Information for Authors
      • Editorial Policies
      • Editorial Board
      • Aims and Scope
      • Abstracting and Indexing
      • Bibliographic Information
      • Archive
    • International Journal of Oncology
      • Information for Authors
      • Editorial Policies
      • Editorial Board
      • Aims and Scope
      • Abstracting and Indexing
      • Bibliographic Information
      • Archive
    • Medicine International
      • Information for Authors
      • Editorial Policies
      • Editorial Board
      • Aims and Scope
      • Abstracting and Indexing
      • Bibliographic Information
      • Archive
    • Molecular and Clinical Oncology
      • Information for Authors
      • Editorial Policies
      • Editorial Board
      • Aims and Scope
      • Abstracting and Indexing
      • Bibliographic Information
      • Archive
    • Molecular Medicine Reports
      • Information for Authors
      • Editorial Policies
      • Editorial Board
      • Aims and Scope
      • Abstracting and Indexing
      • Bibliographic Information
      • Archive
    • Oncology Letters
      • Information for Authors
      • Editorial Policies
      • Editorial Board
      • Aims and Scope
      • Abstracting and Indexing
      • Bibliographic Information
      • Archive
    • Oncology Reports
      • Information for Authors
      • Editorial Policies
      • Editorial Board
      • Aims and Scope
      • Abstracting and Indexing
      • Bibliographic Information
      • Archive
    • World Academy of Sciences Journal
      • Information for Authors
      • Editorial Policies
      • Editorial Board
      • Aims and Scope
      • Abstracting and Indexing
      • Bibliographic Information
      • Archive
  • Articles
  • Information
    • For Authors
    • For Reviewers
    • For Librarians
    • For Advertisers
    • Conferences
  • Language Editing
Login Register Submit
  • This site uses cookies
  • You can change your cookie settings at any time by following the instructions in our Cookie Policy. To find out more, you may read our Privacy Policy.

    I agree
Search articles by DOI, keyword, author or affiliation
Search
Advanced Search
presentation
Experimental and Therapeutic Medicine
Join Editorial Board Propose a Special Issue
Print ISSN: 1792-0981 Online ISSN: 1792-1015
Journal Cover
April-2025 Volume 29 Issue 4

Full Size Image

Sign up for eToc alerts
Recommend to Library

Journals

International Journal of Molecular Medicine

International Journal of Molecular Medicine

International Journal of Molecular Medicine is an international journal devoted to molecular mechanisms of human disease.

International Journal of Oncology

International Journal of Oncology

International Journal of Oncology is an international journal devoted to oncology research and cancer treatment.

Molecular Medicine Reports

Molecular Medicine Reports

Covers molecular medicine topics such as pharmacology, pathology, genetics, neuroscience, infectious diseases, molecular cardiology, and molecular surgery.

Oncology Reports

Oncology Reports

Oncology Reports is an international journal devoted to fundamental and applied research in Oncology.

Experimental and Therapeutic Medicine

Experimental and Therapeutic Medicine

Experimental and Therapeutic Medicine is an international journal devoted to laboratory and clinical medicine.

Oncology Letters

Oncology Letters

Oncology Letters is an international journal devoted to Experimental and Clinical Oncology.

Biomedical Reports

Biomedical Reports

Explores a wide range of biological and medical fields, including pharmacology, genetics, microbiology, neuroscience, and molecular cardiology.

Molecular and Clinical Oncology

Molecular and Clinical Oncology

International journal addressing all aspects of oncology research, from tumorigenesis and oncogenes to chemotherapy and metastasis.

World Academy of Sciences Journal

World Academy of Sciences Journal

Multidisciplinary open-access journal spanning biochemistry, genetics, neuroscience, environmental health, and synthetic biology.

International Journal of Functional Nutrition

International Journal of Functional Nutrition

Open-access journal combining biochemistry, pharmacology, immunology, and genetics to advance health through functional nutrition.

International Journal of Epigenetics

International Journal of Epigenetics

Publishes open-access research on using epigenetics to advance understanding and treatment of human disease.

Medicine International

Medicine International

An International Open Access Journal Devoted to General Medicine.

Journal Cover
April-2025 Volume 29 Issue 4

Full Size Image

Sign up for eToc alerts
Recommend to Library

  • Article
  • Citations
    • Cite This Article
    • Download Citation
    • Create Citation Alert
    • Remove Citation Alert
    • Cited By
  • Similar Articles
    • Related Articles (in Spandidos Publications)
    • Similar Articles (Google Scholar)
    • Similar Articles (PubMed)
  • Download PDF
  • Download XML
  • View XML
Article Open Access

Incidence and mortality related risk factors in patients with severe traumatic brain injury: A meta‑analysis

  • Authors:
    • Ming-Wei Liu
    • Zhi-Qiang Ma
    • Ren-Li Liao
    • Wu-Mei Chen
    • Bing-Ran Zhang
    • Qiu-Juan Zhang
    • Yan-Lin Zhu
    • Shu-Ji Gao
    • Yan-E Chen
  • View Affiliations / Copyright

    Affiliations: Department of Emergency, Dali Bai Autonomous Prefecture People's Hospital, Dali, Yunnan 671000, P.R. China, Department of Laboratory, Dali Bai Autonomous Prefecture People's Hospital, Dali, Yunnan 671000, P.R. China, Department of Spine Surgery, Dali Bai Autonomous Prefecture People's Hospital, Dali, Yunnan 671000, P.R. China, Department of Medical Affairs, Dali Bai Autonomous Prefecture People's Hospital, Dali, Yunnan 671000, P.R. China, Department of Emergency, The First Affiliated Hospital of Kunming Medical University, Kunming, Yunnan 650032, P.R. China, Department of Human Resources, Science and Education, Second People's Hospital of Baoshan City, Baoshan, Yunnan 678000, P.R. China
    Copyright: © Liu et al. This is an open access article distributed under the terms of Creative Commons Attribution License.
  • Article Number: 84
    |
    Published online on: February 24, 2025
       https://doi.org/10.3892/etm.2025.12834
  • Expand metrics +
Metrics: Total Views: 0 (Spandidos Publications: | PMC Statistics: )
Metrics: Total PDF Downloads: 0 (Spandidos Publications: | PMC Statistics: )
Cited By (CrossRef): 0 citations Loading Articles...

This article is mentioned in:



Abstract

The present study aimed to clarify the onset of traumatic brain injury (TBI) and identify mortality‑related risk factors in patients with severe TBI, to enable the early identification of high‑risk individuals and timely implementation of prevention and treatment strategies to minimize mortality rates. Comprehensive database searches were conducted across Web of Science, PubMed, CINAHL and EMBASE, covering publications from database inception until October 17, 2023. Search terms in English included ‘head trauma’, ‘brain trauma’, ‘mortality’, ‘death’ and ‘risk factor’. In total, two independent researchers screened and extracted the data on mortality onset and associated risk factors in patients with severe TBI. Meta‑analysis was performed using R 4.2.2. A total of 33 cohort studies, including 71,718 patients with severe TBI, were selected for meta‑analysis. The data indicated an overall mortality rate of 27.8% (95%CI: 22.5‑33.2%) from database inception until October 17, 2023. Subgroup analysis revealed a mortality rate of 25.2% (95%CI: 20.2‑30.1%) in developed countries, compared with 38.0% (95%CI: 21.4‑54.7%) in developing countries. Additionally, the mean age of deceased patients was significantly higher compared with that of survivors (41.53±16.47). Key risk factors found to be associated with mortality included anemia [relative risk (RR), 1.42; 95%CI, 1.04‑1.93], diabetes mellitus (RR, 1.40; 95%CI, 1.00‑1.96), coagulopathy (RR, 4.31; 95%CI, 2.31‑8.05), shock (RR, 3.41; 95%CI, 2.31‑5.04) and systolic blood pressure≤90 mmHg (RR, 2.32; 95%CI, 1.65‑3.27). Furthermore, pre‑hospital intubation (RR, 1.48; 95%CI, 1.13‑1.92),hypotension (RR, 2.04; 95%CI: 1.58, 2.63), hypoxemia (RR, 1.42; 95%CI: 1.13, 1.79), subdural hemorrhage (RR, 1.99; 95%CI: 1.50, 2.62), subarachnoid hemorrhage (RR, 1.64; 95%CI: 1.09, 2.47) and subdural hematoma (SDH; RR, 1.50; 95%CI: 1.04, 2.17). was identified to be a significant risk factor during hospitalization treatment. These results suggest that various factors, such as age, anemia, diabetes, shock, hypotension, hypoxemia, trauma scores and brain injury types, can all contribute to mortality risk in patients with severe TBI. Addressing these risk factors will likely be important for reducing mortality in this patient population.

Introduction

Traumatic brain injury (TBI) is a critical medical condition that defined by structural damage and/or functional impairment of the brain due to excessive external force (1). The yearly incidence of TBI is estimated at 50 million cases worldwide; thus, ~50% of the global population will have an episode of TBI in their life (2). Severe TBI, typically indicated by a Glasgow Coma Scale score of 3-8, reflects a state where patients are typically unconscious or progressively losing awareness post-injury (3). The condition is associated with a high mortality rate, with ~30% of patients not surviving, while ~50% will experience moderate to severe disability within 1year, although a minority (10-20%) exhibit clear recovery (4). Due to its high risk of disability and mortality, severe TBI has been garnering attention. In data from 2014, the Centers for Disease Control and Prevention in the United States noted 2.53 million emergency patients hospitalized due to brain injuries. 288,000 patients admitted to the hospital due to traumatic brain injury, and 56,800 patients succumbed to TBI (5). Between December 22, 2014 and August 1, 2017, 13,138 patients from 52 hospitals in 22 provinces of China were analyzed. Most patients were male [9,782 (74%)], with a median age of 48 years [interquartile range (IQR) 33-61]. Overall, 637 (5%) patients succumbed to TBI, including 552 (20%) with severe TBI. The expected 14-day mortality was 1,116 (13%), but 544 (7%) mortalities within 14 days were observed (observed to expected ratio 0·49) (6). Globally, in 2019, TBI had 27.16 million new cases, 48.99 million prevalent cases and 7.08 million years of life lived with disability. The global age-standardized incidence rate of TBI decreased significantly by -5.5% [95% confidence interval (CI) -8.9% to -3.0%] from 1990-2019. Regionally, in 2019, Eastern Europe and high-income North America had the highest burden of TBI. In 2019, Slovenia and Afghanistan had the highest age-standardized incidence rates of TBI. Falls were the leading cause of TBI in 74% (150/204) of countries/territories, followed by pedestrian road injuries (14%; 29/204), motor vehicle road injuries (5%; 11/204), and conflicts and terrorism (2%; 4/204) (6). In Canada ~160,000 individuals suffer from brain injuries each year, resulting in 11.000 deaths and over 6.000 permanent disabilities (7). Nearly half of the TBI cases in Canada are caused by falls and motor vehicle collisions, with an estimated direct and indirect cost of approximately $3 billion annually associated with TBI (8). Therefore, the incidence, disability and mortality rates of TBI are high in different countries and for different sexes and ages. Studying the risk factors that lead to increased incidence and mortality rates of TBI may help reduce the incidence and mortality rates of TBI.

With continuous advancements in diagnosis and treatment, patients with mild TBI are now more frequently discharged without significant long-term neurological effects (9). However, these improvements have not sufficiently impacted the persistently high mortality rates in patients with moderate to severe cranial-cerebral injuries. A previous study has indicated that 60% patients with TBI are vulnerable to emotional, cognitive, behavioral and physical impairments of varying severity (10). The mortality rate for severe TBI remains high, reaching 30-40% (11) and is frequently accompanied with multiple complications. Survivors frequently experience cognitive, motor, speech and psychological deficits, severely diminishing their quality of life (12). This deterioration imposes substantial economic costs and emotional strain on both families and society (10). Therefore, developing novel effective treatment strategies, improving prognostic accuracy and enhancing post-treatment quality of life for patients with severe TBI remain to be pressing challenges in the current clinical landscape. As a result, research into the prognostic factors for severe TBI is gaining increasing focus (9-12). Research shows that country, income level, pre hospital treatment, age, sex, anemia, diabetes, shock, hypotension, hypoxemia, trauma score, GCS, coagulation characteristics, and cerebral hemorrhage types are all incidence- and mobility-related risk factors in patients with severe TBI (13,14). However, these studies are relatively few and some of them are inconsistent, leading to ongoing controversies, such as coagulation characteristics, diffuse axonal injury (DAI), prehospital intubation, and cerebral hemorrhage types (15). Comprehensive meta-analyses and systematic reviews are beneficial tools for identifying mortality risk factors, enabling early recognition, heightened clinical vigilance and timely intervention. These measures are vital for reducing the severe TBI mortality rates.

Materials and methods

Review design

The present study followed the Preferred Reporting Items standards for both Systematic Reviews and Network Meta-Analyses guidelines (16) for conducting systematic reviews and meta-analyses, ensuring compliance with the standards (16). The present systematic review and meta-analysis were also conducted according to the Meta-analyses of Observational Studies in Epidemiology criteria for observational studies (17). The protocol was registered at https://inplasy.com/, with a registration number ofINPLASY202440111.

Literature search

Relevant data were systematically retrieved from PubMed (https://pubmed.ncbi.nlm.nih.gov), Web of Science (https://webofscience.clarivate.cn), CINAHL (www.lib.cgu.edu.tw) and EMBASE (www.embase.com), encompassing studies from database inception until October 17, 2023. The search focused on English-language keywords, such as ‘head trauma’, ‘brain trauma’, ‘mortality’, ‘death’, and ‘risk factor’ (Table I). To minimize potential omissions, manual searches of references from selected studies and relevant reviews were conducted to identify additional literature. Only English-language studies were included.

Table I

Search strategy.

Table I

Search strategy.

DatabaseSearch strategyResults
PubMed(((Death (Title/Abstract)) OR mortality (Title/Abstract))) AND (((((((craniocerebral injuries (MeSH Terms)) OR brain injuries (MeSH Terms)) OR head injur* (Title/Abstract)) OR brain injur* (Title/Abstract)) OR head trauma (Title/Abstract)) OR brain trauma (Title/Abstract)) OR cerebral injur*) AND (risk factor (MeSH Terms)) Searches were limited to English language papers and human population.2,171
Web of(((((TS=(‘brain injur*’)) OR TS=(‘head injur*’)) OR TS=(‘brain trauma’)) OR583
ScienceTS=(‘head trauma’))) AND (((TS=(death)) OR TS=(mortality))) AND (TS=(‘risk factor’)) Searches were limited to English language. Refined by: * (excluding): review, conferenceabstractsand editorial material. 
CINAHLS1 TI mortality OR AB mortality OR TI death OR AB death1,020
 S2 (MH ‘Brain Injuries’) 
 S3 (MH ‘Head Injuries’) 
 S4SU head injur* OR AB head injur* 
 S5SU brain injur* OR AB brain injur* 
 S6SU head trauma OR AB head trauma 
 S7SU brain trauma OR AB brain trauma 
 S8 S2 OR S3 ORS4 OR S5 OR S6 OR S7 
 S9 TX risk factor 
 S9 S1 AND S8 AND S9 
EMBASE((((((‘head injur*’) OR (‘brain injur*’)) OR (‘head trauma’)) OR (‘brain trauma’)) OR (‘cerebral injur*’))):ti,ab,kw AND (‘risk factor’) AND ((((mortality) OR (death))):ti,ab,kw)2,614
Study selection and criteria for consideration of studies

Based on the PICOS framework (18) and established grading criteria for TBI (2,19), inclusion criteria were: i) Study subjects comprise patients with severe TBI (3≤GCS≤8); ii) cohort studies; iii) research content focuses on factors related to mortality in patients with severe TBI; iv) relevant data was extractable. Outcomes were drawn from studies reporting potential risk factors associated with incidence and mortality in severe TBI, including country, income level, pre-admission treatments, age, sex, anemia, diabetes, shock, hypotension, hypoxemia, trauma scores, GCS, coagulation profiles, cerebral hemorrhage types, locations and DAI. The study design focused on observational cohort studies with extractable data, excluding the following: i) Review articles, conference papers and case reports; ii) studies involving patients with mild (GCS ≥13) or moderate (8≤GCS≤12) TBI or mixed cohorts of moderate-to-severe TBI; iii) non-cohort studies; and iv) duplicate studies. In total, two independent reviewers, MWL and WMC, conducted thorough screening of titles and abstracts, retrieving full texts for studies that met the inclusion criteria. Discrepancies were resolved through discussions, with third-party arbitration by MYL when necessary.

Data collection, extraction, and outcomes of interest

Information was independently extracted by two researchers (BRZ and QJZ) from the selected studies, including the lead author, year of publication, country of origin, study design, sample size, subject age, criteria for severe TBI and reported mortality rates. Discrepancies in data extraction were resolved through either consensus or consultation with a third party (MWL). The primary outcomes assessed were incidence and mortality-associated risk factors in patients with severe TBI, including age, anemia, diabetes, shock, hypotension, hypoxemia, trauma scores, GCS and coagulation disorders. Secondary outcomes focused on protective factors against mortality in these patients, such as diffuse axonal injury, EDH and the use of intracranial pressure monitors.

Quality assessment of literature

The quality of cohort studies was evaluated by YLZ and SJG using the Newcastle-Ottawa Scale (NOS), which assessed critical factors, such as population selection, group comparability and outcome assessment. According to previous descriptions (20), the NOS assigned scores ranging from 0 to 9, where a score of ≥7 would suggest high study quality, 4-6 stars suggesting moderate quality and <4 suggesting low quality.

Statistical methods

Statistical analyses were performed using R version 4.2.2 (https://www.r-project.org; R Foundation) to assess the incidence and mortality-related risk factors among patients with severe TBI (21). Dichotomous outcomes were evaluated using risk ratios (RR) (22), whilst continuous outcomes were presented as mean differences (MD). Meta-analyses were performed to synthesize outcome data and pooled odds ratios (ORs) with corresponding 95%CIs were calculated (23). Given that the present meta-analyses incorporate data from patients who underwent various surgical procedures from diverse geographic regions, all outcomes were analyzed using the DerSimonian-Laird (DL) random-effects model (24). According to the recommendations provided by the Cochrane Handbook for Systematic Reviews of Interventions (https://training.cochrane.org/handbook/current/chapter-10#section-10-10-4-1) (25), a random-effects model was utilized for all of our meta-analyses. Subgroup analyses were performed based on country and varying definitions of severe TBI.

Sensitivity analysis

Sensitivity analysis assessed the stability and reliability of research outcomes by systematically removing individual studies to identify potential sources of heterogeneity, followed by an examination of the underlying causes. In the present study, leave-one-out sensitivity analysis was performed to evaluate mortality rates (26), using random-effects model to assess risk factors associated mortality (27).

Publication bias

Publication bias, driven by the study's inherent characteristics and the direction of its findings, influences decisions on whether to publish or disseminate the research, potentially resulting in unreported negative outcomes. Publication bias was evaluated using the Begg's test and funnel plots. P<0.05 was considered to indicate a statistically significant difference (28).

Results

Literature search results

A total of 6,388 articles were retrieved through database searches. After removing duplicates, 1,608 articles were excluded, resulting in 4,783 articles for title and abstract screening. Of these, 4,439 were excluded for the following reasons: 1,249 were reviews or conference papers, 23 were non-English publications and 3,167 were unrelated to the research focus. Following this, 344 articles were subjected to full-text review, leading to the exclusion of additional studies, with 33 articles ultimately included in the meta-analysis (Fig. 1) (29-61). The median sample size was 439 cases, with a range of 77-34,175 cases, totaling 71,718 cases. The median mortality rate across the studies was 30.57%, ranging 5.83-78.72%. Of the selected articles, eight originated from developing countries with lower levels of economy, technology and living standards, including medical standards and 25 were from developed countries with higher levels of economic and social development, as well as higher living standards, including medical standards. Table II summarized the key characteristics of the studies included in the present meta-analysis.

Figure 1

Schematic overview of the literature search and selection process. TBI, traumatic brain injury.

Table II

Characteristics of studies included in the meta-analysis.

Table II

Characteristics of studies included in the meta-analysis.

First author/s, yearCountryPatients typeCohort designSample sizeAge, yearsSex, male/femaleSevere traumatic brain injury definitionIncidence (%)(Refs.)
Jeremitsky et al, 2005USANRRetrospective77Survival, 39.8 ±19.6; death, 55.9±19.051/26GCS≤827/77 (31.17)(29)
van Wessem etal, 2022NetherlandsNRProspective234Survival, 46 (28-59); death, 56 (32-73)157/77AIS head≥357/234 (24.36)(30)
Shen et al, 2023ChinaNRRetrospective269Median, 72.8 (60-89)209/60GCS≤898/269 (36.43)(31)
Failla et al, 2015USANRProspective244Survival, 32.72±13.54; death, 42.69±17.30199/45GCS≤833/244 (13.52)(32)
Tsai et al, 2022ChinaNRRetrospective1,347Survival, 56.0±19.3; death,62.4±18.7910/437AIS head≥3134/1,347 (9.48)(33)
Tang et al, 2021ChinaNRRetrospective94Median, 44.5 (31-57)80/14GCS<574/94 (78.72)(34)
Rodríguez et al, 2019ColombiaNRRetrospective83Survival, 37.8±17.0; death, 81.7±18.776/7Total AIS≥3; GCS≤826/83 (31.33)(35)
Choffat et al, 2019SwitzerlandNRProspective832Median, 54.3 (32.2-71.3)612/220AIS head>3255/832 (30.65)(36)
Hartl et al, 2008USANRProspective797Range, ≥16-GCS≤879/797 (9.91)(37)
Kumar et al, 2019USANRProspective157Survival, 33.54±1.35; death, 51.08±2.29127/30GCS≤848/157 (30.57)(38)
Lele et al, 2019IndiaNRProspective200Mean, 36.9±13.0168/32AIS head≥3; GCS<848/200 (24.00)(39)
Dawes et al, 2015USANRProspective822-603/219GCS≤8319/822 (38.81)(40)
Boto et al, 2014SpainNRProspective652Range, ≥15-GCS≤8114/652 (17.48)(41)
Shibahashi et al, 2021JapanNRRetrospective34,175Survival, 60 (40-74); death, 70 (54-81)23,607/10568AIS head≥34,513/34,175 (13.21)(42)
Emami et al, 2019GermanyIsolatedProspective21,242-15,044/6198AIS head≥3 8,691/21,242(40.91)(43)
Corral et al, 2012SpainNRRetrospective224Median, 35.6 (23-55)189/35GCS≤874/224 (33.04)(44)
Catapano et al, 2019USAIsolatedRetrospective600Mean, 59.8±13.4-AIS head≥335/600 (5.83)(45)
Franschman et al, 2011NetherlandsNRRetrospective274Survival, 36±7; death, 52±3-GCS≤8121/274 (44.16)(46)
Cai et al, 2016USANRRetrospective580Survival, 49.4±19.7; death, 63.3±20.2410/169AIS head≥3; GCS≤8287/580 (49.48)(47)
Lanzillo et al, 2019ItalyNRProspective457Survival, 49.7±17.8; death, 61.9±13.6290/167GCS≤8107/457 (23.41)(48)
Rahimi et al, 2014IranNRRetrospective108Survival, 12.32±5.24; death, 12.55±4.9081/27GCS≤834/108 (31.48)(49)
Yang et al, 2011ChinaNRRetrospective234Survival, 47.6±16.9; death, 55.6±18.0-GCS≤8129/234 (55.13)(50)
Talving et al, 2011USAIsolatedRetrospective320Mean, 10.7±5.1234/86AIS head≥325/320 (7.81)(51)
Catapano et al, 2016USAIsolatedRetrospective698Range, ≥40475/223AIS head≥342/698 (6.02)(52)
Mohseni et al, 2014SwedenNRRetrospective622Mean, 64±13423/199AIS head≥3121/622 (19.45)(53)
Talving et al, 2010USAIsolatedRetrospective815Range, 18-64692/123AIS head≥3111/815 (13.62)(54)
Talving et al, 2009USAAllRetrospective436Mean, 37±20339/97AIS head≥393/414 (22.46)(55)
Wafaisade et al, 2010GermanyIsolatedRetrospective3,114Range ≥162,150/964AIS head≥3773/3,114 (24.82)(56)
Davis et al, 2003USANRProspective836Range ≥18677/159GCS:3~8378/836 (45.22)(57)
Lustenberger et al, 2010USAIsolatedRetrospective132Mean,34.9±1.6106/26AIS head≥343/132 (32.58)(58)
Saadat et al, 2012IranNRRetrospective122Median, 13 (7.75-17)91/31GCS≤849/122 (40.16)(59)
Lustenberger et al, 2011USAIsolatedRetrospective439Mean,37.7±16.4369/70AIS head≥359/439 (13.44)(60)
Salim et al, 2009USANRRetrospective482Mean,38.6±16.9400/82AIS head≥3168/482 (35.06)(61)

[i] NR, not reported; -, notmentioned; GCS, Glasgow Coma Score; AIS, abbreviated injury scale.

Quality assessment of included studies

Table III presented the NOS ratings for the cohort studies, which yielded either 7 or 8 points, with 20 studies achieving a score of 7 and 13 studies receiving a score of 8. A detailed assessment of the overall quality of these studies was provided in Table III.

Table III

Risk of bias assessment according to the NOS score.

Table III

Risk of bias assessment according to the NOS score.

Author, yearSelectionComparabilityOutcomeNOS score(Refs.)
Jeremitsky et al, 20054127(29)
van Wessem et al, 20224138(30)
Shen et al, 20234138(31)
Failla et al, 20154138(32)
Tsai et al, 20224127(33)
Tang et al, 20214138(34)
Rodríguez et al, 20194127(35)
Choffat et al, 20194138(36)
Hartl et al, 20084138(37)
Kumar et al, 20194138(38)
Lele et al, 20194138(39)
Dawes et al, 20154127(40)
Boto et al, 20144138(41)
Shibahashi et al, 20214138(42)
Emami et al, 20194127(43)
Corral et al, 20124127(44)
Catapano et al, 20194127(45)
Franschman et al, 20114127(46)
Cai et al, 20164127(47)
Lanzillo et al, 20194138(48)
Rahimi et al, 20144127(49)
Yang et al, 20114127(50)
Talving et al, 20114138(51)
Catapano et al, 20164127(52)
Mohseni et al, 20144127(53)
Talving et al, 20104127(54)
Talving et al, 20094127(55)
Wafaisade et al, 20104127(56)
Davis et al, 20034127(57)
Lustenberger et al, 20104127(58)
Saadat et al, 20124127(59)
Lustenberger et al, 20114127(60)
Salim et al, 20094127(61)

[i] Each asterisk represents one point. NOS, Newcastle-Ottawa scale.

Meta-analysis results

The pooled analysis of patient mortality yielded a rate of 28.2% (95%CI, 22.8-33.6%; Figs. 2 and 3). Subgroup analysis indicated a mortality rate of 25.1% (95%CI,19.9-30.2%) in developed countries, compared with 38.3% (95%CI,23.8-52.7%) in developing countries (Fig. 2). Regarding clinical scoring, mortality was 35.4% (95%CI, 26.7-44.0%) for the GCS score, 19.9% (95%CI, 14.2-25.5%) for the Abbreviated Injury Scale (AIS) score and 35.2% (95%CI,19.8-50.5%) for both scores combined (Fig. 3).

Figure 2

Forest plot illustrating the incidence of severe traumatic brain injury across different countries (developed and developing countries). IV,I nverse variance.

Figure 3

Forest plot comparing incidence rates of severe traumatic brain injury usingvarying definitions. GCS, Glasgow coma scale; AIS, abbreviated injury scale; IV, inverse variance.

Among the general demographic characteristics, deceased patients with severe TBI were significantly older compared with survivors (49.02±20.09). Female sex (RR, 1.14; 95%CI, 1.08-1.20) and comorbidities such as anemia (RR, 1.42; 95%CI, 1.04-1.93) and diabetes mellitus (RR, 1.40; 95%CI, 1.00-1.96) were identified as significant risk factors for mortality from severe TBI in this cohort. In terms of clinical symptoms, coagulopathy (RR, 4.31; 95%CI, 2.31-8.05), shock (RR, 3.41; 95%CI, 2.31-5.04), systolic blood pressure (SBP) ≤90 mmHg(RR, 2.32; 95%CI, 1.65-3.27), hypotension (RR, 2.04; 95%CI, 1.58-2.63), and hypoxemia (RR,1.42; 95%CI, 1.13-1.79) were all associated with an increased risk of mortality. Furthermore, negative ethanol status (RR, 1.54; 95%CI, 1.13-2.13) and penetrating injury (RR, 4.00; 95%CI, 3.33-4.76) were also significantly associated with increased mortality risk. Injury severity scores further highlighted risk factors for mortality, including GCS 3-5 (RR, 3.54; 95%CI, 1.33-9.43), Injury Severity Score (ISS)≥16 (RR, 3.34; 95%CI, 2.32-4.82) and AIS head ≥4 (RR, 3.00; 95%CI, 2.20-4.09; Fig. 4 and Table III). Neurological injury type also contributed to mortality risk, with subdural hemorrhage (RR, 1.99; 95%CI, 1.50-2.62), subarachnoid hemorrhage (RR, 1.64; 95%CI, 1.09-2.47), and subdural hematoma (SDH) (RR, 1.50; 95%CI, 1.04-2.17) being notable risk factors. Additionally, absence of epidural hemorrhage (EDH; RR, 1.54; 95%CI, 1.09-2.17) was significantly associated with an increased risk of mortality. Regarding treatment interventions, prehospital intubation (RR, 1.48;95%CI, 1.13-1.92) was associated with an increased risk of mortality, whereas intracranial pressure monitoring (RR, 0.84;95%CI, 0.62-1.14) did not show a statistically significant effect (Fig. 4 and Table III).

Figure 4

Forest plot showing risk factors associated with mortality in patients with severe traumatic brain injury. SBP, systolic blood pressure; GCS, Glasgow Coma scale; RR, risk ratio; ETOH, alcohol; AIS, abbreviated injury scale.

Table IV presented the results of the subgroup analysis, identifying several factors associated with an elevated mortality risk in patients with severe TBI across different countries. These factors included age (MD=14.28; 95%CI, 10.45-18.10), anemia (RR, 2.20; 95%CI, 1.20-4.04), diabetes mellitus (RR, 1.70; 95%CI, 1.01-2.88), SBP ≤90 mmHg (RR, 2.58; 95%CI, 1.85-3.59), hypotension (RR, 2.03; 95%CI, 1.40-2.94), hypoxemia (RR, 1.58; 95%CI, 1.21-2.07), subdural hemorrhage (RR, 2.46; 95%CI, 2.33-2.60), and subarachnoid hemorrhage (RR, 1.97; 95%CI, 1.27-3.04) in developed countries. GCS scores of 3-5 (RR, 3.17; 95%CI, 0.82-12.28) and subdural hemorrhage (RR, 2.46; 95%CI, 2.33-2.60) were also found to be significant mortality risk factors in developed countries. Additionally, female sex (RR, 1.10; 95%CI, 0.91-1.25) and absence of EDH (RR, 2.08; 95%CI, 0.81-5.26) demonstrated a positive association with mortality. Under GCS criteria (8≥GCS≥3) (2), age (MD, 10.41; 95%CI, 5.06-15.77), diabetes mellitus (RR, 1.70; 95%CI, 1.01-2.88), coagulopathy (RR, 4.86; 95%CI, 2.16-10.91) and subdural hemorrhage (RR, 1.98; 95%CI, 1.34-2.92) posed heightened mortality risks. SBP ≤90 mmHg (RR, 2.58; 95%CI, 1.85-3.59) was a key risk factor under AIS criteria (AIS≥3) (62). The two criteria identified hypotension (RR, 2.74; 95%CI, 2.26-3.33), hypoxemia (RR, 1.45; 95%CI, 1.14-1.83), subarachnoid hemorrhage (RR, 2.31; 95%CI, 1.90-2.81) and prehospital intubation (RR, 2.28; 95%CI, 1.84-2.84) as significant mortality risks. Additionally, protective effects were observed for female sex (RR, 1.35; 95%CI, 1.00-1.82) and absence of intracranial pressure monitoring (RR, 1.59; 95%CI, 1.12-2.22) under both criteria. Furthermore, absence of diffuse axonal injury (RR, 2.63; 95%CI, 1.47-4.76) and absence of EDH (RR, 2.27; 95%CI, 0.84-5.88) were more strongly associated with increased mortality in cases with GCS scores (8≥GCS≥3).

Table IV

Results of pooled analysis on for risk factors in patients with sTBI.

Table IV

Results of pooled analysis on for risk factors in patients with sTBI.

 CountrysTBI definition 
Risk factorDevelopedDevelopingGCSAISBothTotal
Demographic factors      
     Age years, (mean ± SD)Deaths: 55.78 (15.21)Deaths: 55.78 (15.21)Deaths: 51.83 (19.91)Deaths: 62.40 (18.70)-Deaths: 54.59 (20.103)
 Alive: 41.53 (16.47)Alive: 53.04 (20.69)Alive: 39.88 (18.08)Alive: 56.00 (19.3) Alive: 49.02 (20.09)
     Sex (Female) (female vs. male)1.14 (1.09,1.22)0.96 (0.73,1.25)1.14 (1.06,1.20)1.06 (0.97,1.37)1.35 (1.00,1.82)1.10 (0.97,1.25)
Comorbidity      
     Anemia (yes vs. no)2.20 (1.20,4.04)1.29 (0.99,1.68)---1.42 (1.04,1.93)
     Diabetic mellitus (yes vs. no)1.70 (1.01,2.88)1.22 (0.79,1.89)1.70 (1.01,2.88)1.22 (0.79,1.89)-1.40 (1.00,1.96)
     Coronary artery disease (yes vs. no)-----1.29 (0.54,3.10)
     Hypertension (yes vs. no)-----1.09 (0.57,2.09)
     Seizures (yes vs. no)-----0.72 (0.06,9.07)
     Clinical symptoms      
     Coagulopathy (yes vs. no)--4.86 (2.16,10.91)4.49 (1.89,10.66)-4.31 (2.31,8.05)
     Shock (yes vs. no)-----3.41 (2.31,5.04)
     Systolic blood pressure (≤90 mmHg) (yes vs. no)2.58 (1.85,3.59)1.39 (0.86,2.25)1.39 (0.86,2.25)2.58 (1.85,3.59)-2.32 (1.65,3.27)
     Hypotension (yes vs. no)2.03 (1.40,2.94)1.94 (1.64,2.29)1.90 (1.68,2.16)-2.74 (2.26,3.33)2.04 (1.58,2.63)
     Hypoxemia (yes vs. no)1.58 (1.21,2.07)1.15 (0.92,1.42)1.40 (1.02,1.91)-1.45 (1.14,1.83)1.42 (1.13,1.79)
     ETOH (+) (yes vs. no)-----0.65 (0.47,0.89)
     Injury type (Blunt) (blunt vs. penetrating)-----0.25 (0.21,0.30)
Injury score      
     GCS (3-5)3.17 (0.82,12.28)5.02 (3.06,8.24)---3.54 (1.33,9.43)
     ISS ≥16-----3.34 (2.32,4.82)
     AIS head ≥4-----3.00 (2.20,4.09)
Neurological injury type      
     Subdural hemorrhage (yes vs. no)2.46 (2.33,2.60)1.48 (1.10,1.97)1.98 (1.34,2.92)1.95 (1.16,3.27)-1.99 (1.50,2.62)
     Subarachnoid hemorrhage (yes vs. no)1.97 (1.27,3.04)0.89 (0.68,1.17)2.25 (0.96,5.29)1.15 (0.75,1.76)2.31 (1.90,2.81)1.64 (1.09,2.47)
     Subdural hematoma (yes vs. no)1.53 (0.96,2.42)1.48 (1.03,2.14)1.50 (1.13,1.99)1.59 (0.73,3.48)-1.50 (1.04,2.17)
     Diffuse axonal injury (no vs. yes)--2.63 (1.47,4.76)0.65 (0.38,1.11)-0.97 (0.50,1.89)
     Epidural hematoma (no vs. yes)--1.61 (0.74,3.45)0.93 (0.30,2.78)-1.54 (1.09,2.17)
     Epidural hemorrhage (no vs. yes)2.08 (0.81,5.26)1.39 (0.89,2.17)2.27 (0.92,5.88)1.41 (1.27,1.56)-1.54 (1.15,2.04)
Therapeutic measures      
     Craniotomy (yes vs. no)-----1.75 (0.42,7.31)
     Prehospital intubation (yes vs. no)--1.20 (0.91,1.58)1.41 (1.32,1.50)2.28 (1.84,2.84)1.48 (1.13,1.92)
     Intracranial pressure monitor (no vs. yes)0.97 (0.58,1.61)1.49 (0.93,2.44)1.25 (0.91,1.69)0.45 (0.15,1.30)1.59 (0.89,2.78)1.19 (0.88,1.61)

[i] Only one article included [Age, Tsai et al, 2022(30); Anaemia, Boto et al, 2014(38); Diabetic mellitus, Tsai et al, 2022(30); Coagulopathy, Boto et al, 2014(38); SBP, Saadat et al, 2012(56); Hypotension, Yang et al, 2011 (Country) (47), Choffat et al, 2019 (sTBI Definition) (33); Hypoxemia, Choffat et al, 2019(33); GCS, Shen et al, 2023(28); Subarachnoid hemorrhage, Cai et al, 2016(44); Subdural hematoma, Shen et al, 2023(28); Prehospital intubation, Choffat et al, 2019(33); Intracranial pressure monitor, Lele et al, 2017(36)]; -, Not mentioned; sTBI, severe traumatic brain injury; GCS, Glasgow Coma Score; AIS, Abbreviated Injury Scale; ETOH, ethanol; ISS, injury severity score.

Publication bias

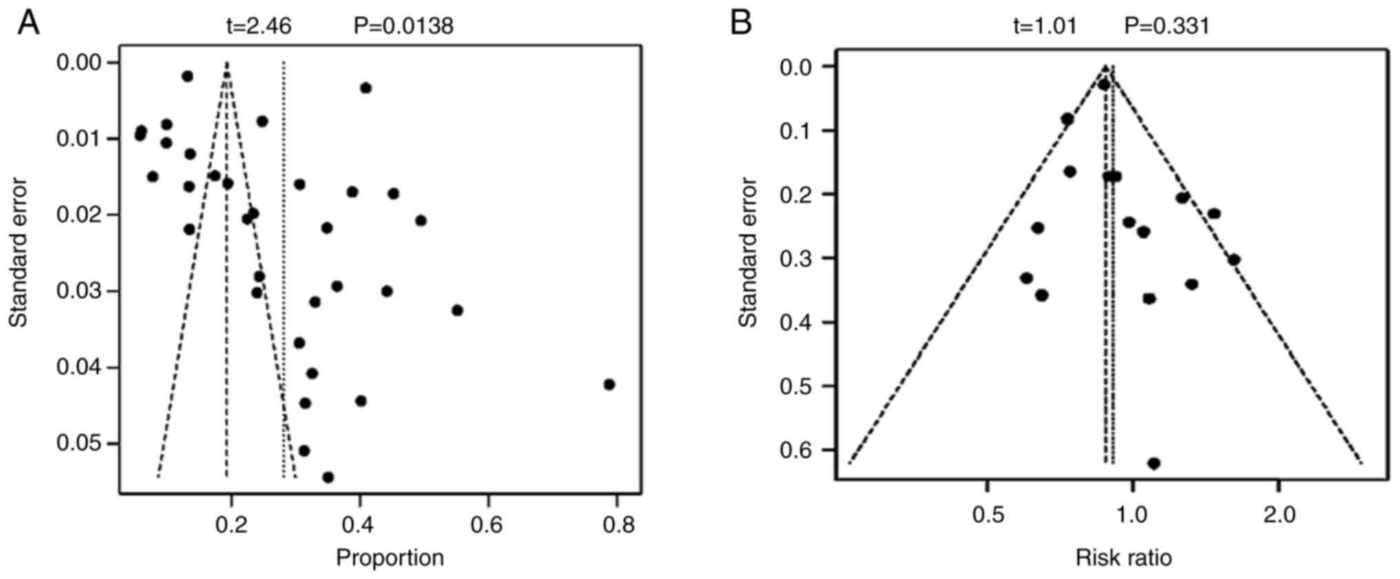
Fig. 5 illustrated the results of the Begg's test for studies with a sample size of ≥10, indicating significant publication bias for incidence (t=2.46; P=0.0138), however, no significant publication bias for incidence of sex was found (t=1.01; P=0.331).

Figure 5

Funnel plot assessing potential publication bias. Publication bias was evaluated using the Begg's test and funnel plots. (A) Funnel plot of risk factors leading to increased mortality in severe TBI patients. (B) Funnel plot of sex.

Sensitivity analysis

Table V presented the sensitivity analysis performed using the leave-one-out method, confirming the stability of the mortality rate results. For mortality-related risk factors, aside from sex, epidural hematoma and intracranial pressure monitoring, all other factors remained consistent following the application of the random-effects model (Fig. 6).

Figure 6

Sensitivity analysis evaluating incidence rates in severe traumatic brain injury cases.

Table V

Sensitivity analysis for risk factors in patients with sTBI.

Table V

Sensitivity analysis for risk factors in patients with sTBI.

 CountrysTBI Definition 
Risk factorDevelopedDevelopingGCSAISBothTotal
Demographic factors      
Age years, (mean ± SD)Deaths: 56.82 (17.8)Deaths: 51.06 (19.48)Deaths: 52.42 (21.61)Deaths: 59.71 (23.12)-Deaths: 53.81 (18.93)
 Alive: 43.26 (16.9)Alive: 52.31 (23.6)Alive: 40.35 (18.75)Alive: 55.39 (21.04) Alive: 50.69 (23.27)
Sex (Female) (female vs. male)1.19 (1.08, 1.32)0.93 (0.75, 1.15)1.08 (0.83, 1.33)1.14 (1.08, 1.20)1.35 (1.15,1.59)1.10 (0.97,1.25)
Comorbidity      
     Anemia (yes vs. no)2.20 (1.20,4.04)1.35 (1.09,1.66)---1.64 (1.25,2.14)
     Diabetic mellitus (yes vs. no)1.70 (1.18,2.44)1.22 (0.83,1.80)1.70 (1.18,2.44)1.22 (0.83,1.80)-1.46 (1.09,1.94)
     Coronary artery disease (yes vs. no)-----1.34 (0.39,1.95)
     Hypertension (yes vs. no)-----1.26 (0.95,1.69)
     Seizures-----0.50 (0.16,1.51)
Clinical symptoms (yes vs. no)      
     Coagulopathy (yes vs. no)--4.86 (2.16,10.91)3.21 (2.88,3.57)-3.27 (2.93,3.65)
     Shock (yes vs. no)-----3.90 (2.87,5.31)
     SBP (≤90 mmHg)2.34 (2.18,2.51)1.39 (0.86,2.25)1.39 (0.86,2.25)2.34 (2.18,2.51)-2.32 (2.16,2.48)
     Hypotension (yes vs. no)2.06 (1.75,2.43)1.94 (1.64,2.29)1.88 (1.60,2.20)-2.74 (2.26,3.33)2.03 (1.78,2.32)
     Hypoxemia (yes vs. no)1.62 (1.39,1.89)1.15 (0.90,1.46)1.53 (1.31,1.79)-1.45 (1.14,1.83)a1.51 (1.32,1.72)
     ETOH (+) (yes vs. no)-----0.65 (0.51,0.83)
     Injury type (blunt) (blunt vs. penetrating)-----0.26 (0.21,0.33)
Injury score      
     GCS (3-5)3.06 (2.30,4.07)5.02 (3.06,8.24)---3.47 (2.71,4.43)
     ISS ≥16-----3.34 (2.31,4.81)
     AIS head ≥4-----2.98 (2.19,4.06)
Neurological injury type      
     Subdural hemorrhage (yes vs. no)2.46 (2.33,2.60)1.47 (1.09,1.98)2.12 (1.59,2.82)2.43 (2.30,2.57)-2.42 (2.29,2.56)
     Subarachnoid hemorrhage (yes vs. no)2.15 (1.87,2.47)0.83 (0.62,1.10)2.47 (1.95,3.13)1.03 (0.38,1.29)2.31 (1.90,2.81)1.75 (1.55,1.98)
     Subdural hematoma (yes vs. no)1.28 (1.03,1.59)1.48 (1.03,2.14)1.50 (1.13,1.99)1.20 (0.93,1.54)-1.32 (1.10,1.59)
     DDiffuse axonal injury (no vs. yes)--2.63 (1.47,4.76)0.97 (0.85,1.11)-1.03 (0.91,1.18)
     Epidural hematoma (no vs. yes)--1.72 (1.14,2.70)1.20 (0.67,2.13)-1.54 (1.09,2.17)
     Epidural hemorrhage (no vs. yes)2.08 (0.81,5.56)1.43 (1.06,1.96)2.17 (0.88,5.26)1.41 (1.28,1.56)-1.43 (1.30,1.56)
Therapeutic measures      
     Craniotomy (yes vs. no)-----0.94 (0.67,1.31)
     Prehospital intubation (yes vs. no)--1.23 (1.02,1.48)1.41 (1.32,1.50)2.28 (1.84,2.84)1.44 (1.36,1.53)
Therapeutic measures      
     Craniotomy (yes vs. no)-----0.94 (0.67,1.31)
     Prehospital intubation (yes vs. no)--1.23 (1.02,1.48)1.41 (1.32,1.50)2.28 (1.84,2.84)1.44 (1.36,1.53)
     Intracranial pressure monitor (no vs. yes)0.92 (0.53,1.59)1.52 (1.12,2.04)1.23 (0.90,1.69)0.45 (0.17,1.14)1.59 (1.12,2.22)1.22 (0.92,1.59)

[i] Only one article included (Age, Tsai et al, 2022(33); Anaemia, Boto et al, 2014(41); Diabetic mellitus, Tsai et al, 2022(33); Coagulopathy, Boto et al, 2014(41); SBP, Saadat et al, 2012(59); Hypotension, Yang et al, 2011 (Country) (50), Choffat et al, 2019 (sTBI Definition) (36); Hypoxemia, Choffat et al, 2019(36); GCS, Shen et al, 2023(28); Subarachnoid hemorrhage, Cai et al, 2016(44); Subdural hematoma, Shen et al, 2023(28); Prehospital intubation, Choffat et al, 2019(33); Intracranial pressure monitor, Lele et al, 2017(36); -, Not mentioned; sTBI, severe traumatic brain injury; GCS, Glasgow Coma Score; AIS, Abbreviated Injury Scale; ETOH, ethanol; ISS, injury severity score.

Discussion

A total of 33 articles were included in the present meta-analysis to examine the mortality incidence and risk factors associated with severe TBI. The NOS scores for cohort studies varied between 7 and 8, with 20 studies receiving a score of 7 and 13 studies scoring 8. According to previous literature (20), this reflects a considerable amount of literature analyzed, contributing to a relatively robust set of research outcomes. TBI is a non-degenerative, non-reproductive brain injury that is typically caused by excessive external force. It can lead to impaired or altered consciousness and resulting in temporary or permanent cognitive and physical disabilities (63). In the USA, TBI contributes to ~40% of injury-related fatalities (64). According to the Centers for Disease Control and Prevention, ~1.72 million individuals in the USA sustain TBIs annually, with 275,000 requiring hospitalization (65). These injuries lead to 50,000 deaths and 70,000 cases of long-term disability each year, with 5.3 million individuals living with these disabilities, creating significant emotional and socio-economic impact on society and corresponding families (66). A previous study has indicated that TBI is prevalent, which frequently results in neurological deficits, behavioral changes and cognitive decline, particularly among survivors of sports-related injuries (67). The broader public health implications of TBI are considerable (4,5,6,66). Severe TBI is associated with high rates of mortality and disability, with a small proportion of patients remaining in a vegetative state for extended periods (68). Previous studies have reported a median mortality rate of 30.57%, ranging from 5.83 to 78.72% (69-71). In the present analysis, the pooled mortality rate was 27.8% (95%CI: 22.5-33.2%), with subgroup analysis revealing 25.2% (95%CI: 20.2-30.1%) in developed countries and 38.0% (95%CI: 21.4-54.7%) in developing nations, aligning with previous studies (72,73). The significantly lower mortality rate in developed countries is likely attributed to superior economic resources, advanced emergency systems and timely medical interventions, which corroborates earlier findings (74,75). By contrast, in developing countries, such as China, due to insufficient investment in medical equipment, emergency medical systems and training of medical personnel, patients with TBI tended to have a higher mortality rate (76). To change this situation, trauma centers have been established in hospitals at different levels. Concurrently, manpower, material resources and funding have all been increased, which is coupled with the drive of purchasing various advanced medical equipment related to trauma and training medical personnel to enable patients with TBI to receive timely and effective treatment in turn improving prognosis (77,78).

The overall incidence and mortality rates of moderate and severe TBI in Central Norway have remained low, but are significantly increased from the age of 70 years onwards, with the majority of individuals aged ≥80 years succumbing to severe TBI (79,80). These estimates are heavily influenced by the elevated rates in the elderly population (79), aligning with the present findings. This trend is largely attributed to age-related degenerative organ conditions, diminished compensatory mechanisms, reduced physiological resilience and the presence of comorbidities, such as heart and lung failure (81). Additionally, poor regulatory function, coupled with frequent complications, further compounds the risk (81). Elderly patients with intracranial hemorrhage will typically struggle to endure the combined stress of trauma and surgery, worsening pre-existing conditions, lowering the body's tolerance to brain injury and in turn heightening the likelihood of complications, sequelae and mortality (82). These elements critically affect prognosis. Studies (83,84) previously highlighted that patients aged ≥65 years had a higher mortality rate and poorer neurological recovery compared with those in younger patients with TBI. Anemia (RR, 1.42; 95%CI, 1.04-1.93) and diabetes mellitus (RR, 1.41; 95%CI, 1.07-1.84) have been identified as significant mortality risk factors in severe TBI. Hemoglobin, essential for oxygen transport, becomes compromised during anemia, leading to reduced cerebral oxygenation and secondary brain injury (85). A previous study using animal models of TBI has demonstrated that anemia can aggravate brain injury (86). In another study using a rat TBI model, Hare et al (87) observed that anemia enlarged the contusion area and accelerated apoptotic neuron death in cerebral tissue injury following acute neurotrauma, thereby aggravating secondary damage. Decreased hematocrit has been associated with poorer discharge prognosis scores in patients with TBI (88), while hemoglobin levels ≤10 g/dl are associated with reduced cerebral oxygenation and an increased risk of unfavorable outcomes (89). By contrast, transfusion of red blood cell suspension has been documented to enhance cerebral oxygen metabolism in patients with TBI (89). Blood glucose levels have also been implicated in patient prognosis (90-92), with previous studies identifying a relationship between elevated blood glucose upon admission and adverse outcomes in patients with severe cranial injuries the following morning. Post-trauma insulin resistance frequently emerges, impeding the biological efficacy of insulin and contributing to hyperglycemia (90). Ischemia and hypoxia following brain injury trigger anaerobic metabolism, leading to substrate production and the accumulation of acidic metabolites, which exacerbate the ischemia, edema and neuronal necrosis (93). This in turn increases the risk of mortality among patients with severe brain injury. Effective blood glucose regulation has been reported to improve patient outcomes (94). However, early blood sugar reduction alone is insufficient. Instead, sustained stabilization of blood glucose post-reduction creates optimal conditions for a positive prognosis. Zhu et al (95) report that intensive glycemic control (IGC) plays a protective role in improving neurological outcome, decreasing infection rate and reducing the length of stay in intensive care units (ICU). However, IGC therapy can also remarkably increase the risk of hypoglycemia, but it will not affect the mortality in TBI patients. Previous studies on the glucose lability index have indicated that blood glucose variability in patients with severe brain injury constitutes an independent mortality risk factor (96-98). In total, ~66% patients with severe TBI present with abnormal coagulation profiles upon emergency admission, whereas ~50% of those with coagulopathies experience early brain contusion exacerbation or progression of hemorrhage within 48 h post-injury (99). In addition, the severity of the initial brain injury is directly associated the onset of coagulation dysfunction, with more severe injuries precipitating earlier occurrences (100). Post-TBI coagulopathy is commonly associated with poor prognosis, a finding that aligns with the present study (100). Numerous studies have reported an association between coagulation function and patient prognosis (99,101,102). The more severe the TBI, the worse the coagulation function and the worse patient prognosis. The cause may be the abnormal coagulation function caused by the activation of endogenous coagulation pathways after acute trauma, leading to secondary TBI and worsening of patient condition (103). Therefore, timely supplementation of low-dose fresh frozen plasma may improve the coagulation function and prognosis of patients with severe TBI. Previous studies have shown that hypotension (defined as systolic pressure <90 mmHg) and hypoxia (PaO2≤60 mmHg) can double the mortality risk in patients with craniocerebral injuries (104,105). Studies from the 1970s have identified ‘systemic injury’, involving hypotension, hypoxia and hypercapnia, to be predictors of increased mortality (106-109), consistent with the present study. In the present study, diffuse axonal injury (RR, 0.38; 95%CI, 0.21-0.68) and EDH (RR, 0.45; 95%CI, 0.30-0.69) exhibited a more pronounced protective effect against mortality in patients with severe TBI, as measured using the GCS. However, clinical evidence of diffuse axonal injury on MRI appears to be primarily beneficial for predicting short-term functional outcomes during hospitalization, without a clear association with long-term prognosis (110,111). EDH is less likely to cause brain herniation and coagulation dysfunction, which may explain why the mortality rate of EDH is also lower (112).

Previous studies have indicated that EDH is associated with favorable outcomes, defined as a Glasgow Outcome Scale (GOS) of 4 or 5 (good recovery or moderate disability) at discharge or follow-up, with rates ranging from 69 to 95% (mean, 84.3±14.6%; median 88.9%) (113,114). By contrast, the outcomes for subdural hematoma (SDH) during the perioperative period vary significantly, with rates between 9 and 76% (mean 32.1±13.6%, median 26.5%) (115,116). In the present study, subdural hemorrhage (RR, 1.99; 95%CI, 1.50-2.62), subarachnoid hemorrhage (RR, 1.64; 95%CI, 1.09-2.47) and SDH (RR, 1.50; 95%CI, 1.04-2.17) were identified to be mortality risk predictors in patients with severe TBI, whilst epidural hemorrhage (RR, 0.69; 95%CI, 0.63-0.76) was observed to be protective, being associated with improved prognosis and lower mortality rate of episodic hemorrhage. Subdural hemorrhage, subarachnoid hemorrhage and subdural subatoma can not only lead to progressive hemorrhagic injury (PHI), but also to brain herniation and coagulation dysfunction, which can increase the mortality rate of patients with TBI (117). PHI following TBI represents a key secondary injury mechanism that significantly contributes to both disability and mortality in affected patients (118). In total, ~20% patients with TBI patients require surgical intervention due to PHI, with a notably poorer prognosis observed in those who develop PHI compared with those who do not (119). The rate of in-hospital mortality for patients with TBI with adverse outcomes stands at 29%, with mortality rates of 17% for patients without PHI and 44% for those with PHI (119). Stein et al (120) previously identified SDH as having the highest likelihood of PHI among various TBI types. Further analysis of 782 TBI cases revealed a significant association between SDH and the occurrence of PHI (121). Di et al (122) previously identified a significantly higher risk of PHI in patients with EDH compared with those with other types of TBI lesions, with the risk of PHI in patients with EDH being ~4X greater compared with that of patients. The requirement for prehospital intubation (RR, 1.48; 95%CI, 1.13-1.92) found in the present study suggests a severe clinical condition, frequently involving impaired consciousness or respiratory failure, thereby contributing to increased mortality. Despite previous studies reporting that prehospital intubation does not reduce mortality in patients with severe TBI (123,124), the skill level of medical personnel has emerged as a critical factor. Poorly executed intubation by inadequately trained personnel significantly elevates the risk of mortality, suggesting that in the absence of properly trained providers, routine prehospital intubation should be reconsidered for patients with TBI (125). Conversely, recent data indicate that when performed by experienced and well-trained practitioners following current TBI guidelines, prehospital endotracheal intubation can be beneficial (126). However, prehospital intubation remains to be a risk factor for mortality in patients with severe TBI in the present study, whilst the use of intracranial pressure monitors (RR, 0.75; 95%CI, 0.65-0.86) has been shown to be protective.

Trauma scoring quantifies injury severity through objective criteria, serving a fundamental role in trauma management (127). The GCS score remains a widely accepted tool for assessing both the severity and prognosis of patients with TBI. It mainly evaluates three parameters, eye, verbal and motor responses, with the total score reflecting the patient's level of consciousness. A score of 15 represents normal consciousness, whilst lower scores correspond to increasing levels of impairment (128). TBI severity can be categorized into three levels based on GCS scores: Mild (13≤GCS<15); moderate (9≤GCS<12); and severe (3≤GCS<8) (129). Nevertheless, the GCS has its limitations, particularly in its subjectivity and inability to accurately evaluate patients requiring endotracheal intubation or those unable to communicate verbally (128). Studies have demonstrated that the GCS-Full Outline of Unresponsiveness (FOUR) score are comparable in predicting TBI outcomes, including mortality, length of hospital stay and morbidity (130,131). The FOUR score, however, offers a more comprehensive neurological assessment with higher specificity and positive predictive value, making it a valuable clinical tool (130). In patients with TBI, the FOUR score has been reported to surpass GCS in predicting hospital stay duration and morbidity (132). Additionally, injury severity, low GCS and polytrauma are key predictors of early in-hospital mortality, while surgical interventions such as head, chest, abdomen, limb, blood vessels and other surgical procedures are associated with extended hospitalizations (133). The AIS divides the body into nine compartments, which are then reclassified into six regions for calculating the ISS. The AIS code consists of 6 ‘front points’ for injury location and 1 ‘rear point’ for injury severity. Severity is rated from 1 to 5, with a score of 6 indicating a non-survivable injury (134). A previous study has shown that patients with severe TBI in the unfavorable outcome group have an average AIS score of 4.39±0.82 and a higher frequency of AIS scores of 5. Therefore, an AIS head score of five significantly raises the likelihood of an unfavorable prognosis (135). In the present study, GCS scoring contributed 35.0% (95%CI: 25.8-44.3%) and AIS scoring contributed 19.9% (95%CI: 14.2-25.5%), whereas their combined use accounted for 33.4% (95%CI: 21.8-45.0%), indicating that GCS remains a widely employed tool for assessing patients with severe TBI. The present study identified several factors that were significantly associated with increased mortality risk in patients with TBI with GCS scores: Age (MD, 10.41; 95%CI, 5.06-15.77), diabetes mellitus (RR, 1.70; 95%CI, 1.18-2.45), coagulopathy (RR, 4.86; 95%CI, 2.16-10.91) and subdural hemorrhage (RR, 1.98; 95%CI, 1.34-2.92). In severe TBI cases with AIS scores, SBP ≤90 mmHg (RR, 2.58; 95%CI, 1.85-3.59) was associated with a higher mortality risk. Additionally, for severe TBI cases evaluated using both GCS and AIS scores, hypotension (RR, 2.74; 95%CI, 2.26-3.33), hypoxemia (RR, 1.42; 95%CI, 1.13-1.79), subarachnoid hemorrhage (RR, 2.31; 95%CI, 1.90-2.81) and prehospital intubation (RR, 2.28; 95%CI, 1.84-2.84) were associated with an elevated risk of mortality. These results indicated that GCS provides a more accurate prediction of mortality risk in elderly patients and those with diabetes, coagulopathy or subdural hemorrhage, whereas AIS demonstrates greater predictive value in cases involving SBP ≤90 mmHg. In patients experiencing hypotension, hypoxemia, subarachnoid hemorrhage or requiring prehospital intubation, both GCS and AIS offer improved predictive capabilities for assessing mortality risk in severe TBI. Furthermore, diffuse axonal injury (DAI; RR, 0.38; 95%CI, 0.21-0.68) was found to have a notable protective effect against mortality in severe TBI cases with GCS scores, which may be related to the relatively small effect of TBI combined with DAI on the mortality rate of TBI patients and clinical evidence of DAI on MRI may only be useful for predicting short-term in-hospital functional outcome (136). However, a previous study has indicated that neither clinical nor anatomic DAI associates with survival, Glasgow Outcome Scale-Extended or Quality of Life after Brain Injury-Overall Scale outcomes (136). A single-point reduction in GCS score nearly doubles the risk of in-hospital mortality, whilst coagulopathy increases the risk of in-hospital mortality ~6 times (137).

In the general population across all age groups (0-65 years), TBI incidence is typically higher in male compared with female patients (138). However, certain studies have suggested that female patients tend to exhibit a greater frequency and longer duration of post-TBI symptoms, such as headaches, anxiety and depression, compared with those in male patients (139,140), which is consistent with the results of the present study. Additionally, in the present study, male sex and intracranial pressure monitoring appear to be protective factors in severe TBI cases. This association may result from the early detection of intracranial pressure changes and timely therapeutic interventions. Psychological resilience may also serve a role, with male patients exhibiting greater resilience during TBI recovery (141,142), whilst female patients may face higher risks of anemia, hypotension and immune disorders (141,143).

Neuroinflammation and neurodegeneration triggered by TBI can disrupt intestinal function through the bidirectional brain-gut axis, leading to motility disorders and increased mucosal permeability (144,145). Alterations in microbiota composition, along with activation of resident and recruited immune cells, intensify both systemic and neuroinflammation, further aggravating brain damage. Children with TBI commonly experience gastrointestinal dysfunction, which can be evaluated using the gastrointestinal failure (GIF) score. This score provides a critical assessment of gastrointestinal function, where its average over the first 3 days holds significant prognostic value for predicting ICU mortality in surgical intensive care units (146). As such, gastrointestinal dysfunction and the GIF score may represent potential risk factors for mortality in patients with severe brain injury, though further research is required. Previous studies have also indicated that patients with severe TBI exhibit fluid overload in brain tissue (147,148). However, fluid overload has not been significantly associated with mortality, prolonged ventilator use, increased risk of acute kidney injury or extended pediatric intensive care unit stay (147), suggesting it may not be a major determinant of mortality in this context. In moderate to severe TBI cases, hypocalcemia occurs most frequently, followed by hypomagnesemia, hypokalemia, hypernatremia, hyponatremia and hypermagnesemia (149). Hypocalcemia, hypomagnesemia and hypokalemia generally present early after TBI, whereas hypernatremia typically arises during the intracranial pressure (ICP) phase and hyponatremia appears predominantly after ICP reduction (149). The concurrent presence of hypernatremia and hypocalcemia has been associated with prognostic outcomes (150). Furthermore, early post-traumatic seizures have been associated with extended ICU and hospital stays, prolonged mechanical ventilation and worse 24-month outcomes, including mortality and the development of post-traumatic epilepsy (151).

The present meta-analysis examined risk factors possibly contributing to the incidence and mortality of patients with severe TBI, encompassing variables, such as age, geographic region, income level, anemia, diabetes, shock, hypotension, hypoxemia, trauma severity scores and specific types of brain injury. The cohort studies included were of high quality, as reflected by NOS scores ranging from 7 to 8, with 20 studies scoring 7 and 13 studies scoring 8.

However, limitations in the present study must be acknowledged. Evaluation standards for TBI vary significantly among hospitals and countries, which may have affected the uniformity of assessment criteria. In addition, the prognosis of severe TBI is shaped by medical expertise, economic resources, available emergency systems and medical infrastructure, which can lead to disparities between developed and developing nations. The type, location and presence of associated organ damage in brain injuries can further contribute to outcome variability. Furthermore, it should also be noted that GCS scores in patients with TBI may be skewed by confounding factors, such as hypoxia, hypotension and shock. Publication bias in the Begg test for the incidence of severe brain trauma may be due to the heterogeneity in the study population included in the meta-analysis. In the included studies, there may be significant differences in basic diseases (such as anemia and diabetes), physiological status (such as shock, hypotension and hypoxemia), trauma scores, and brain injury types in each patient. These factors may have varying degrees of effect on the incidence of severe brain trauma, leading to biased results. In addition, there may be differences in the criteria for defining and grading brain injury among different studies, which may also increase heterogeneity between studies and affect the results of the meta-analysis.

The present study identified age, anemia, diabetes, shock, hypotension, hypoxemia, trauma score, brain injury type and coagulation dysfunction as significant risk factors for both the onset of TBI and mortality in severe TBI. Immediate correction of anemia, diabetes, shock, hypotension, hypoxemia and coagulation dysfunction in patients with severe TBI is therefore recommended to improve prognosis.

TBI with a GCS score of <8 associated with a poor outcome (2). Prognosis can vary depending on the specific nature of the TBI (152). Additionally, various factors, such as anemia, hypoxemia and shock, may influence GCS scores, potentially leading to inaccurate assessments. Nevertheless, recent advances in comprehensive treatment have resulted in improved outcomes for some patients.

The present study found that the GCS and AIS have their own advantages and disadvantages in evaluating severe TBI. GCS provides a more accurate prediction of mortality risk in elderly patients and those with diabetes, coagulopathy or subdural hemorrhage, whereas AIS demonstrates a greater predictive value in cases involving SBP ≤90 mmHg. In patients experiencing hypotension, hypoxemia, subarachnoid hemorrhage or requiring prehospital intubation, both GCS and AIS offer improved predictive capabilities for assessing the mortality risk in severe TBI (153).

In the present study, prehospital intubation was identified to be a risk factor for mortality in severe TBI, though its role in treatment remains a subject of debate. Despite this, prehospital intubation is recommended for patients in deep coma or with respiratory and circulatory instability (154). In such cases, intubation by trained and experienced practitioners is essential to manage ventilation, optimize oxygenation and secure the airway, providing critical time for more advanced interventions upon hospital admission.

The present study also identified ICP as a protective factor in severe TBI, though it remains widely recognized that ICP is strongly associated with both preoperative and postoperative mortality (155,156). Consequently, continuous monitoring of ICP in patients with severe TBI, both before and after surgery, is essential to ensure prompt and effective intervention.

Previous studies have indicated that neither clinical nor anatomical DAI significantly influenced survival, Glasgow Outcome Scale-Extended or Quality of Life after Brain Injury-Overall Scale outcomes (135,157). However, EDH was associated with a higher survival rate (113). In the present analysis, both DAI and EDH demonstrated a stronger protective effect against mortality in severe TBI cases compared with that with lower GCS scores, which is inconsistent with previous studies and requires further research to confirm. While prior studies did not identify sex as an independent predictor of poor outcomes in severe TBI (158), the present results suggest that male sex exhibits a more pronounced mortality-preventing effect in such cases.

Future iterations of the present study are anticipated to include a broader range of high-quality literature. Whilst the present study has examined the risk factors influencing both the incidence and mortality in severe TBI patients, more robust trial designs and high-quality clinical studies are needed to generate more comprehensive and higher-tier evidence. Such advancements will deepen the understanding of factors contributing to the occurrence and mortality of severe TBI. Effective management of various factors that can be effectively treated outside the hospital by the ambulance team, such as diabetes, shock, hypotension, hypoxemia and prehospital intubation, can eventually result in a decreased mortality rate. By contrast, coagulopathy, subdermal hemorrhage, subarachnoid hemorrhage and subatoma can only be effectively treated in a hospital setting. Therefore, prompt transportation to the hospital is of paramount importance because the treatment for coagulopathy, coagulopathy, subdermal hemorrhage, subarachnoid hemorrhage and subatoma should be introduced as soon as possible. With the continuous improvement in the economy, medical system, medical level, and medical equipment, whether in developed countries or not, the level of treatment and prevention of TBI brain injury is also constantly improving, and the mortality and disability rates of severe TBI will further decrease.

Acknowledgements

Not applicable.

Funding

Funding: The present study was supported by Nature Science Foundation of China (grant no. 81960350) and Union Foundation Yunnan Provincial Science and Technology Department and Kunming Medical University of China (grant no. 202201AY070001-091).

Availability of data and materials

The data generated in the present study may be requested from the corresponding author.

Authors' contributions

MWL, BRZ, RLL and WMC had full access to all the data in the study and take responsibility for the integrity of the data and the accuracy of the data analysis. ZQM, BRZ, RLL, YEC and QJZ contributed to the conceptualization, data curation, formal analysis and writing original draft. YEC, SJG, YLZ and MWL contributed to the methodological design, writing reviewing and editing. MWL, YLZ and SJG verified research data. MWL, RLL, WC, ZQM and YLZ contributed to the investigation (data collection). MWL and YEC confirm the authenticity of all the raw data. All authors read and approved the final manuscript.

Ethics approval and consent to participate

Not applicable.

Patient consent for publication

Not applicable.

Competing interests

The authors declare that they have no competing interests.

References

1 

Khellaf A, Khan DZ and Helmy A: Recent advances in traumatic brain injury. J Neurol. 266:2878–2889. 2019.PubMed/NCBI View Article : Google Scholar

2 

Robinson CP: Moderate and severe traumatic brain injury. Continuum (Minneap Minn). 27:1278–1300. 2021.PubMed/NCBI View Article : Google Scholar

3 

Bazarian JJ, McClung J, Cheng YT, Flesher W and Schneider SM: Emergency department management of mild traumatic brain injury in the USA. Emerg Med J. 22:473–477. 2005.PubMed/NCBI View Article : Google Scholar

4 

Capizzi A, Woo J and Verduzco-Gutierrez M: Traumatic brain injury: An overview of epidemiology, pathophysiology, and medical management. Med Clin North Am. 104:213–238. 2020.PubMed/NCBI View Article : Google Scholar

5 

Traumatic Brain Injury and Spinal Cord Injury Collaborators. Global, regional, and national burden of traumatic brain injury and spinal cord injury, 1990-2016: A systematic analysis for the Global Burden of Disease Study 2016 GBD 2016. Lancet Neurol. 18:56–87. 2019.PubMed/NCBI View Article : Google Scholar

6 

Gao G, Wu X, Feng J, Hui J, Mao Q, Lecky F, Lingsma H, Maas AIR and Jiang J: China CENTER-TBI Registry Participants. Clinical characteristics and outcomes in patients with traumatic brain injury in China: A prospective, multicentre, longitudinal, observational study. Lancet Neurol. 19:670–677. 2020.PubMed/NCBI View Article : Google Scholar

7 

Guan B, Anderson DB, Chen L, Feng S and Zhou H: Global, regional and national burden of traumatic brain injury and spinal cord injury, 1990-2019: A systematic analysis for the Global Burden of Disease Study 2019. BMJ Open. 13(e075049)2023.PubMed/NCBI View Article : Google Scholar

8 

Juengst SB, Perrin PB, Klyce DW, O'Neil-Pirozzi TM, Herrera S, Wright B, Lengenfelder J, Lercher K, Callender L and Arango-Lasprilla JC: Caregiver Characteristics of Adults with Acute Traumatic Brain Injury in the United States and Latin America. Int J Environ Res Public Health. 19(5717)2022.PubMed/NCBI View Article : Google Scholar

9 

Pundlik J, Perna R and Arenivas A: Mild TBI in interdisciplinary neurorehabilitation: Treatment challenges and insights. NeuroRehabilitation. 46:227–241. 2020.PubMed/NCBI View Article : Google Scholar

10 

Wang KK, Yang Z, Zhu T, Shi Y, Rubenstein R, Tyndall JA and Manley GT: An update on diagnostic and prognostic biomarkers for traumatic brain injury. Expert Rev Mol Diagn. 18:165–180. 2018.PubMed/NCBI View Article : Google Scholar

11 

Dang B, Chen W, He W and Chen G: Rehabilitation treatment and progress of traumatic brain injury dysfunction. Neural Plast. 2017(1582182)2017.PubMed/NCBI View Article : Google Scholar

12 

Dijkland SA, Foks KA, Polinder S, Dippel DWJ, Maas AIR, Lingsma HF and Steyerberg EW: Prognosisin moderate and severe traumatic brain injury: A systematic review of contemporary models and validation studies. J Neurotrauma. 37:1–13. 2020.PubMed/NCBI View Article : Google Scholar

13 

Kamabu LK, Bbosa GS, Lekuya HM, Cho EJ, Kyaruzi VM, Nyalundja AD, Deng D, Sekabunga JN, Kataka LM, Obiga DOD, et al: Burden, riskfactors, neurosurgical evacuation outcomes, and predictors of mortality among traumatic brain injury patients with expansive intracranial hematomas in Uganda: A mixed methods study design. BMC Surg. 23(326)2023.PubMed/NCBI View Article : Google Scholar

14 

Tunthanathip T, Phuenpathom N, Saehaeng S, Oearsakul T, Sakarunchai I and Kaewborisutsakul A: Traumatic cerebrovascular injury: Prevalence and risk factors. Am J Emerg Med. 38:182–186. 2020.PubMed/NCBI View Article : Google Scholar

15 

Kolakowsky-Hayner SA, Bellon K and Yang Y: Unintentional injuries after TBI: Potential risk factors, impacts, and prevention. NeuroRehabilitation. 39:363–370. 2016.PubMed/NCBI View Article : Google Scholar

16 

Page MJ, McKenzie JE, Bossuyt PM, Boutron I, Hoffmann TC, Mulrow CD, Shamseer L, Tetzlaff JM, Akl EA, Brennan SE, et al: The PRISMA 2020 statement: An updated guideline for reporting systematic reviews. BMJ. 372(n71)2021.PubMed/NCBI View Article : Google Scholar

17 

Brooke BS, Schwartz TA and Pawlik TM: MOOSE reporting guidelines for Meta-analyses of Observational studies. JAMA Surg. 156:787–788. 2021.PubMed/NCBI View Article : Google Scholar

18 

Amir-Behghadami M and Janati A: Population, intervention, comparison, outcomes and Study (PICOS) design as a framework to formulate eligibility criteria in systematic reviews. Emerg Med J. 37(387)2020.PubMed/NCBI View Article : Google Scholar

19 

Silver JM, McAllister TW and Yudofsky SC: Textbook of traumatic brain injury. 293. 2005.

20 

Lo CK, Mertz D and Loeb M: Newcastle-Ottawa Scale: Comparing reviewers' to authors' assessments. BMC Med Res Methodol. 14(45)2014.PubMed/NCBI View Article : Google Scholar

21 

Balduzzi S, Rücker G and Schwarzer G: How to perform a meta-analysis with R: A practical tutorial. Evid Based Ment Health. 22:153–160. 2019.PubMed/NCBI View Article : Google Scholar

22 

Hancock M and Kent P: Interpretation of dichotomous outcomes: Risk, odds, risk ratios, odds ratios and number needed to treat. J Physiother. 62:172–174. 2016.PubMed/NCBI View Article : Google Scholar

23 

Alavi M, Hunt GE, Visentin DC, Watson R, Thapa DK and Cleary M: Using risk and odds ratios to assess effect size for meta-analysis outcome measures. J Adv Nurs. 76:3231–3234. 2020.PubMed/NCBI View Article : Google Scholar

24 

DerSimonian R and Laird N: Meta-analysis in clinical trials. Control Clin Trials. 7:177–188. 1986.PubMed/NCBI View Article : Google Scholar

25 

Cumpston M, Li T, Page MJ, Chandler J, Welch VA, Higgins JP and Thomas J: Updated guidance for trusted systematic reviews: A new edition of the Cochrane Handbook for Systematic Reviews of Interventions. Cochrane Database Syst Rev. 10(ED000142)2019.PubMed/NCBI View Article : Google Scholar

26 

Ancona N, Maestri R, Marinazzo D, Nitti L, Pellicoro M, Pinna GD and Stramaglia S: Leave-one-out prediction error of systolic arterial pressure time series under paced breathing. Physiol Meas. 26:363–372. 2005.PubMed/NCBI View Article : Google Scholar

27 

Burgess S and Thompson SG: Interpreting findings from Mendelian randomization using the MR-egger method. Eur J Epidemiol. 32:377–389. 2017.PubMed/NCBI View Article : Google Scholar

28 

Mavridis D and Salanti G: How to assess publication bias: Funnel plot, trim-and-fill method and selection models. Evid Based Ment Health. 17(30)2014.PubMed/NCBI View Article : Google Scholar

29 

Jeremitsky E, Omert LA, Dunham CM, Wilberger J and Rodriguez A: The impact of hyperglycemia on patients with severe brain injury. J Trauma. 58:47–50. 2005.PubMed/NCBI View Article : Google Scholar

30 

van Wessem KJP, Jochems D and Leenen LPH: The effect of prehospital tranexamic acid on outcome in polytrauma patients with associated severe brain injury. Eur J Trauma Emerg Surg. 48:1589–1599. 2022.PubMed/NCBI View Article : Google Scholar

31 

Shen H, Liu H, He J, Wei L and Wang S: Risk factors of prognosis in older patients with severe brain injury after surgical intervention. Eur J Med Res. 28(479)2023.PubMed/NCBI View Article : Google Scholar

32 

Failla MD, Kumar RG, Peitzman AB, Conley YP, Ferrell RE and Wagner AK: Variation in the BDNF gene interacts with age to predict mortality in a prospective, longitudinal cohort with severe TBI. Neurorehabil Neural Repair. 29:234–246. 2015.PubMed/NCBI View Article : Google Scholar

33 

Tsai CH, Rau CS, Chou SE, Su WT, Hsu SY and Hsieh CH: Delta de Ritis ratio is associated with worse mortality outcomes in adult trauma patients with moderate-to-severe traumatic brain injuries. Diagnostics (Basel). 12(3004)2022.PubMed/NCBI View Article : Google Scholar

34 

Tang Z, Yang R, Zhang J, Huang Q, Zhou X, Wei W and Jiang Q: Outcomes of traumatic brain-injured patients with Glasgow coma scale <5 and bilateral dilated pupils undergoing decompressive craniectomy. Front Neurol. 12(656369)2021.PubMed/NCBI View Article : Google Scholar

35 

Rodríguez-Triviño CY, Torres Castro I and Dueñas Z: Hypochloremia in patients with severe traumatic brain injury: A possible risk factor for increased mortality. World Neurosurg. 124:e783–e788. 2019.PubMed/NCBI View Article : Google Scholar

36 

Choffat C, Delhumeau C, Fournier N and Schoettker P: Effect of Pre-hospital intubation in patients with severe traumatic brain injury on outcome: A prospective cohort study. J Clin Med. 8(470)2019.PubMed/NCBI View Article : Google Scholar

37 

Härtl R, Gerber LM, Ni Q and Ghajar J: Effect of early nutrition on deaths due to severe traumatic brain injury. J Neurosurg. 109:50–56. 2008.PubMed/NCBI View Article : Google Scholar

38 

Kumar RG, DiSanto D, Awan N, Vaughan LE, Levochkina MS, Weppner JL, Wright DW, Berga SL, Conley YP, Brooks MM and Wagner AK: Temporal acute serum estradiol and tumor necrosis factor-α associations and risk of death after severe traumatic brain injury. J Neurotrauma. 37:2198–2210. 2020.PubMed/NCBI View Article : Google Scholar

39 

Lele A, Kannan N, Vavilala MS, Sharma D, Mossa-Basha M, Agyem K, Mock C, Pandey RM, Dash HH, Mahapatra A and Gupta D: Patients who benefit from intracranial pressure monitoring without cerebrospinal fluid drainage after severe traumatic brain injury. Neurosurgery. 85:231–239. 2019.PubMed/NCBI View Article : Google Scholar

40 

Dawes AJ, Sacks GD, Cryer HG, Gruen JP, Preston C, Gorospe D, Cohen M, McArthur DL, Russell MM, Maggard-Gibbons M and Ko CY: Intracranial pressure monitoring and inpatient mortality in severe traumatic brain injury: A propensity score-matched analysis. J Trauma Acute Care Surg. 78:492–501. 2015.PubMed/NCBI View Article : Google Scholar

41 

Boto GR, Gómez PA, De La Cruz J and Lobato RD: Severe head injury and the risk of early death. J Neurol Neurosurg Psychiatry. 77:1054–1059. 2006.PubMed/NCBI View Article : Google Scholar

42 

Shibahashi K, Hoda H, Okura Y and Hamabe Y: Acceptable blood pressure levels in the prehospital setting for patients with traumatic brain injury: A multicenter observational study. World Neurosurg. 149:e504–e511. 2021.PubMed/NCBI View Article : Google Scholar

43 

Emami P, Czorlich P, Fritzsche FS, Westphal M, Rueger JM, Lefering R and Hoffmann M: Observed versus expected mortality in pediatric patients intubated in the field with Glasgow Coma Scale scores <9. Eur J Trauma Emerg Surg. 45:769–776. 2019.PubMed/NCBI View Article : Google Scholar

44 

Corral L, Javierre CF, Ventura JL, Marcos P, Herrero JI and Mañez R: Impact of non-neurological complications in severe traumatic brain injury outcome. Crit Care. 16(R44)2012.PubMed/NCBI View Article : Google Scholar

45 

Catapano JS, Chapman AJ, Dull M, Abbatematteo JM, Horner LP, Godzik J, Brigeman S, Morgan CD, Whiting AC, Lu M, et al: Association of Angiotensin-converting enzyme inhibitors with increased mortality among patients with isolated severe traumatic brain injury. Neurocrit Care. 31:507–513. 2019.PubMed/NCBI View Article : Google Scholar

46 

Franschman G, Peerdeman SM, Andriessen TM, Greuters S, Toor AE, Vos PE, Bakker FC, Loer SA and Boer C: Effect of secondary prehospital risk factors on outcome in severe traumatic brain injury in the context of fast access to trauma care. J Trauma. 71:826–832. 2011.PubMed/NCBI View Article : Google Scholar

47 

Cai SS, Bonds BW, Hu PF and Stein DM: The role of cardiac troponin I in prognostication of patients with isolated severe traumatic brain injury. J Trauma Acute Care Surg. 80:477–483. 2016.PubMed/NCBI View Article : Google Scholar

48 

Lanzillo B, Piscosquito G, Marcuccio L, Lanzillo A and Vitale DF: Prognosis of severe acquired brain injury: Short and long-term outcome determinants and their potential clinical relevance after rehabilitation. A comprehensive approach to analyze cohort studies. PLoS One. 14(e0216507)2019.PubMed/NCBI View Article : Google Scholar

49 

Rahimi S, Bidabadi E, Mashouf M, Seyed Saadat SM and Rahimi S: Prognostic value of arterial blood gas disturbances for in-hospital mortality in pediatric patients with severe traumatic brain injury. Acta Neurochir (Wien). 156:187–192. 2014.PubMed/NCBI View Article : Google Scholar

50 

Yang CJ, Hsiao KY, Su IC and Chen IC: The association between anemia and the mortality of severe traumatic brain injury in emergency department. J Trauma. 71:E132–E135. 2011.PubMed/NCBI View Article : Google Scholar

51 

Talving P, Lustenberger T, Lam L, Inaba K, Mohseni S, Plurad D, Green DJ and Demetriades D: Coagulopathy after isolated severe traumatic brain injury in children. J Trauma. 71:1205–1210. 2011.PubMed/NCBI View Article : Google Scholar

52 

Catapano JS, Chapman AJ, Horner LP, Lu M, Fraser DR and Fildes JJ: Pre-injury polypharmacy predicts mortality in isolated severe traumatic brain injury patients. Am J Surg. 213:1104–1108. 2017.PubMed/NCBI View Article : Google Scholar

53 

Mohseni S, Talving P, Wallin G, Ljungqvist O and Riddez L: Preinjury β-blockade is protective in isolated severe traumatic brain injury. J Trauma Acute Care Surg. 76:804–808. 2014.PubMed/NCBI View Article : Google Scholar

54 

Talving P, Plurad D, Barmparas G, Dubose J, Inaba K, Lam L, Chan L and Demetriades D: Isolated severe traumatic brain injuries: Association of blood alcohol levels with the severity of injuries and outcomes. J Trauma. 68:357–362. 2010.PubMed/NCBI View Article : Google Scholar

55 

Talving P, Benfield R, Hadjizacharia P, Inaba K, Chan LS and Demetriades D: Coagulopathy in severe traumatic brain injury: A prospective study. J Trauma. 66:55–61. 2009.PubMed/NCBI View Article : Google Scholar

56 

Wafaisade A, Lefering R, Tjardes T, Wutzler S, Simanski C, Paffrath T, Fischer P, Bouillon B and Maegele M: Acute coagulopathy in isolated blunt traumatic brain injury. Neurocrit Care. 12:211–219. 2010.PubMed/NCBI View Article : Google Scholar

57 

Davis DP, Hoyt DB, Ochs M, Fortlage D, Holbrook T, Marshall LK and Rosen P: The effect of paramedic rapid sequence intubation on outcome in patients with severe traumatic brain injury. J Trauma. 54:444–453. 2003.PubMed/NCBI View Article : Google Scholar

58 

Lustenberger T, Talving P, Kobayashi L, Barmparas G, Inaba K, Lam L, Branco BC and Demetriades D: Early coagulopathy after isolated severe traumatic brain injury: Relationship with hypoperfusion challenged. J Trauma. 69:1410–1414. 2010.PubMed/NCBI View Article : Google Scholar

59 

Seyed Saadat SM, Bidabadi E, Seyed Saadat SN, Mashouf M, Salamat F and Yousefzadeh S: Association of persistent hyperglycemia with outcome of severe traumatic brain injury in pediatric population. Childs Nerv Syst. 28:1773–1777. 2012.PubMed/NCBI View Article : Google Scholar

60 

Lustenberger T, Inaba K, Barmparas G, Talving P, Plurad D, Lam L, Konstantinidis A and Demetriades D: Ethanol intoxication is associated with a lower incidence of admission coagulopathy in severe traumatic brain injury patients. J Neurotrauma. 28:1699–1706. 2011.PubMed/NCBI View Article : Google Scholar

61 

Salim A, Teixeira P, Ley EJ, DuBose J, Inaba K and Margulies DR: Serum ethanol levels: Predictor of survival after severe traumatic brain injury. J Trauma. 67:697–703. 2009.PubMed/NCBI View Article : Google Scholar

62 

van Wessem KJP, Niemeyer MJS and Leenen LPH: Polytrauma patients with severe cervical spine injuries are different than with severe TBI despite similar AIS scores. Sci Rep. 12(21538)2022.PubMed/NCBI View Article : Google Scholar

63 

Pavlovic D, Pekic S, Stojanovic M and Popovic V: Traumatic brain injury: Neuropathological, neurocognitive and neurobehavioral sequelae. Pituitary. 22:270–282. 2019.PubMed/NCBI View Article : Google Scholar

64 

Marin JR, Weaver MD and Mannix RC: Burden of USA hospital charges for traumatic brain injury. Brain Inj. 31:24–31. 2017.PubMed/NCBI View Article : Google Scholar

65 

Thurman DJ, Alverson C, Dunn KA, Guerrero J and Sniezek JE: Traumatic brain injury in the United States: A public health perspective. J Head Trauma Rehabil. 14:602–615. 1999.PubMed/NCBI View Article : Google Scholar

66 

Lee E, Jayasinghe N, Swenson C and Dams-O'Connor K: Dispositional optimism and cognitive functioning following traumatic brain injury. Brain Inj. 33:985–990. 2019.PubMed/NCBI View Article : Google Scholar

67 

Ansari A, Zoghi S, Tavanaei R, Payman AA, Lu VM, Niakan A, Taheri R and Khalili H: Characteristics and recovery trends of severe TBI patients with a favorable functional outcome at 6-month follow-up. Neurosurg Rev. 48(41)2025.PubMed/NCBI View Article : Google Scholar

68 

Maegele M, Lefering R, Sakowitz O, Kopp MA, Schwab JM, Steudel WI, Unterberg A, Hoffmann R, Uhl E and Marzi I: The incidence and management of moderate to severe head injury. Dtsch Arztebl Int. 116:167–173. 2019.PubMed/NCBI View Article : Google Scholar

69 

Chang HYM, Flahive J, Bose A, Goostrey K, Osgood M, Carandang R, Hall W and Muehlschlegel S: Predicting mortality in moderate-severe TBI patients without early withdrawal of life-sustaining treatments including ICU complications: The MYSTIC-score. J Crit Care. 72(154147)2022.PubMed/NCBI View Article : Google Scholar

70 

O'Reilly GM, Afroz A, Curtis K, Mitra B, Kim Y, Solly E, Ryder C, Hunter K, Hendrie DV, Rushworth N, et al: The determinants for death in hospital following moderate to severe traumatic brain injury in Australia. Emerg Med Australas. 37(e14562)2025.PubMed/NCBI View Article : Google Scholar

71 

Strnad M, Borovnik Lesjak V, Vujanović V and Križmarić M: Predictors of mortality in patients with isolated severe traumatic brain injury. Wien Klin Wochenschr. 129:110–114. 2017.PubMed/NCBI View Article : Google Scholar

72 

Arango JI, George L, Griswold DP, Johnson ED, Suarez MN, Caquimbo LD, Molano M, Echeverri RA, Rubiano AM and Adelson PD: Severe pediatric TBI management in a Middle-income country and a high-income country: A comparative assessment of two centers. Front Surg. 8(670546)2021.PubMed/NCBI View Article : Google Scholar

73 

Teasell R, Flores-Sandoval C, Janzen S, MacKenzie HM, Mehrabi S, Sequeira K, Bayley M and Bateman EA: Comparing randomized controlled trials of moderate to severe traumatic brain injury in lower to middle income countries versus high income countries. J Neurotrauma. 41:1271–1281. 2024.PubMed/NCBI View Article : Google Scholar

74 

Rivera-Lara L, Videtta W, Calvillo E, Mejia-Mantilla J, March K, Ortega-Gutierrez S, Obrego GC, Paranhos JE and Suarez JI: Reducing the incidence and mortality of traumatic brain injury in Latin America. Eur J Trauma Emerg Surg. 49:2381–2388. 2023.PubMed/NCBI View Article : Google Scholar

75 

Tropeano MP, Spaggiari R, Ileyassoff H, Park KB, Kolias AG, Hutchinson PJ and Servadei F: A comparison of publication to TBI burden ratio of low- and middle-income countries versus high-income countries: How can we improve worldwide care of TBI? Neurosurg Focus. 47(E5)2019.PubMed/NCBI View Article : Google Scholar

76 

Naik A, Bederson MM, Detchou D, Dharnipragada R, Hassaneen W, Arnold PM and Germano IM: Traumatic brain injury mortality and correlates in low- and middle-income countries: A meta-epidemiological study. Neurosurgery. 93:736–744. 2023.PubMed/NCBI View Article : Google Scholar

77 

Shakir M, Altaf A, Irshad HA, Hussain N, Pirzada S, Tariq M, Trillo-Ordonez Y and Enam SA: Factors delaying the continuum of care for the management of traumatic brain injury in low- and Middle-income countries: A systematic review. World Neurosurg. 180:169–193. 2023.PubMed/NCBI View Article : Google Scholar

78 

Wooldridge G, Hansmann A, Aziz O and O'Brien N: Survey of resources available to implement severe pediatric traumatic brain injury management guidelines in low and middle-income countries. Childs Nerv Syst. 36:2647–2655. 2020.PubMed/NCBI View Article : Google Scholar

79 

Pantelatos RI, Rahim S, Vik A, Rao V, Müller TB, Nilsen TIL and Skandsen T: The epidemiology of moderate and severe traumatic brain injury in central norway. Neuroepidemiology. 57:185–196. 2023.PubMed/NCBI View Article : Google Scholar

80 

Rahim S, Laugsand EA, Fyllingen EH, Rao V, Pantelatos RI, Müller TB, Vik A and Skandsen T: Moderate and severe traumatic brain injury in general hospitals: A ten-year population-based retrospective cohort study in central Norway. Scand J Trauma Resusc Emerg Med. 30(68)2022.PubMed/NCBI View Article : Google Scholar

81 

Guindo-Martínez M, Amela R, Bonàs-Guarch S, Puiggròs M, Salvoro C, Miguel-Escalada I, Carey CE, Cole JB, Rüeger S, Atkinson E, et al: The impact of non-additive genetic associations on age-related complex diseases. Nat Commun. 12(2436)2021.PubMed/NCBI View Article : Google Scholar

82 

Diaz J, Rooney A, Calvo RY, Benham DA, Carr M, Badiee J, Sise CB, Sise MJ, Bansal V and Martin MJ: Isolated intracranial hemorrhage in elderly patients with pre-injury anticoagulation: Is full trauma team activation necessary? J Surg Res. 268:491–497. 2021.PubMed/NCBI View Article : Google Scholar

83 

Toida C, Muguruma T, Gakumazawa M, Shinohara M, Abe T, Takeuchi I and Morimura N: Age- and severity-related in-hospital mortality trends and risks of severe traumatic brain injury in Japan: A nationwide 10-year retrospective study. J Clin Med. 10(1072)2021.PubMed/NCBI View Article : Google Scholar

84 

Wågberg S, Stålnacke BM and Magnusson BM: Gender and age differences in outcomes after mild traumatic brain injury. J Clin Med. 12(4883)2023.PubMed/NCBI View Article : Google Scholar

85 

Desjardins P, Turgeon AF, Tremblay MH, Lauzier F, Zarychanski R, Boutin A, Moore L, McIntyre LA, English SW, Rigamonti A, et al: Hemoglobin levels and transfusions in neurocritically ill patients: A systematic review of comparative studies. Crit Care. 16(R54)2012.PubMed/NCBI View Article : Google Scholar

86 

Vanhala H, Junttila E, Kataja A, Huhtala H, Luostarinen T and Luoto T: Incidence and associated factors of anemiain patients with acute moderate and severe traumatic brain injury. Neurocrit Care. 37:629–637. 2022.PubMed/NCBI View Article : Google Scholar

87 

Hare GM, Mazer CD, Hutchison JS, McLaren AT, Liu E, Rassouli A, Ai J, Shaye RE, Lockwood JA, Hawkins CE, et al: Severe hemodilutional anemia increases cerebral tissue injury following acute neurotrauma. J Appl Physiol (1985). 103:1021–1029. 2007.PubMed/NCBI View Article : Google Scholar

88 

Acker SN, Partrick DA, Ross JT, Nadlonek NA, Bronsert M and Bensard DD: Head injury and unclear mechanism of injury: Initial hematocrit less than 30 is predictive of abusive head trauma in young children. J Pediatr Surg. 49:338–340. 2014.PubMed/NCBI View Article : Google Scholar

89 

Komurcu O, Dost B, Ozdemir E, Aras M and Ulger F: Red blood cell transfusion and hemoglobin level on neurological outcome in the first 24 hours of traumatic brain injury. Am J Emerg Med. 59:74–78. 2022.PubMed/NCBI View Article : Google Scholar

90 

Gul HF, Dolanbay T, Simsek AT and Aras M: Evaluation of blood urea, creatinine, and glucose levels as biochemical indicators of the type and severity of traumatic brain injury. Turk Neurosurg. 31:333–338. 2021.PubMed/NCBI View Article : Google Scholar

91 

Hajikarimloo B, Jabbaripour S, Tohidinia AM, Valinejad Qanati A, Fahim F, Javadpour P and Ghasemi R: Insulin potential in preventing brain damage after traumatic brain injury: What we know. J Neuroendocrinol. 37(e13458)2025.PubMed/NCBI View Article : Google Scholar

92 

Lozano A, Franchi F, Seastres RJ, Oddo M, Lheureux O, Badenes R, Scolletta S, Vincent JL, Creteur J and Taccone FS: Glucose and lactate concentrations in cerebrospinal fluid after traumatic brain injury. J Neurosurg Anesthesiol. 32:162–169. 2020.PubMed/NCBI View Article : Google Scholar

93 

Tregub P, Malinovskaya N, Hilazheva E, Morgun A and Kulikov V: Permissive hypercapnia and hypercapnic hypoxia inhibit signaling pathways of neuronal apoptosis in ischemic/hypoxic rats. Mol Biol Rep. 50:2317–2333. 2023.PubMed/NCBI View Article : Google Scholar

94 

Gribnau A, van Zuylen ML, Coles JP, Plummer MP, Hermanns H and Hermanides J: Cerebral glucose metabolism following TBI: Changes in plasma glucose, glucose transport and alternative pathways of Glycolysis-A translational narrative review. Int J Mol Sci. 25(2513)2024.PubMed/NCBI View Article : Google Scholar

95 

Zhu C, Chen J, Pan J, Qiu Z and Xu T: Therapeutic effect of intensive glycemic control therapy in patients with traumatic brain injury: A systematic review and meta-analysis of randomized controlled trials. Medicine (Baltimore). 97(e11671)2018.PubMed/NCBI View Article : Google Scholar

96 

Hanna M, Balintescu A, Glassford N, Lipcsey M, Eastwood G, Oldner A, Bellomo R and Mårtensson J: Glycemic lability index and mortality in critically ill patients-A multicenter cohort study. Acta Anaesthesiol Scand. 65:1267–1275. 2021.PubMed/NCBI View Article : Google Scholar

97 

Kurtz P and Rocha EEM: Nutrition therapy, glucose control, and brain metabolism in traumatic brain injury: A multimodal monitoring approach. Front Neurosci. 14(190)2020.PubMed/NCBI View Article : Google Scholar

98 

Xue B, Ruan S, Xie P, Yan K, Gu Z, Meng N, Zhang J, Liu H, Lu J, Zuo S and Zhang H: Prospective analysis of glycemic variability in patients with severe traumatic brain injury: Modified Leuven's adjustment process versus conventional adjustment process. J Int Med Res. 46:1505–1516. 2018.PubMed/NCBI View Article : Google Scholar

99 

Böhm JK, Schaeben V, Schäfer N, Güting H, Lefering R, Thorn S, Schöchl H, Zipperle J, Grottke O, Rossaint R, et al: Extended coagulation profiling in isolated traumatic brain injury: A CENTER-TBI Analysis. Neurocrit Care. 36:927–941. 2022.PubMed/NCBI View Article : Google Scholar

100 

Dong JF, Zhang F and Zhang J: Detecting traumatic brain injury-induced coagulopathy: What we are testing and what we are not. J Trauma Acute Care Surg. 94 (Suppl 1):S50–S55. 2023.PubMed/NCBI View Article : Google Scholar

101 

Nakae R, Fujiki Y, Takayama Y, Kanaya T, Igarashi Y, Suzuki G, Naoe Y and Yokobori S: Time course of coagulation and fibrinolytic parameters in pediatric traumatic brain injury. J Neurosurg Pediatr. 28:526–532. 2021.PubMed/NCBI View Article : Google Scholar

102 

Maegele M, Aversa J, Marsee MK, McCauley R, Chitta SH, Vyakaranam S and Walsh M: Changes in coagulation following brain injury. Semin Thromb Hemost. 46:155–166. 2020.PubMed/NCBI View Article : Google Scholar

103 

Zhang LM, Li R, Sun WB, Wang XP, Qi MM, Bai Y, Bai J and Zheng WC: Low-dose, early fresh frozen plasma transfusion therapy after severe trauma brain injury: A clinical, prospective, randomized, controlled study. World Neurosurg. 132:e21–e27. 2019.PubMed/NCBI View Article : Google Scholar

104 

Chesnut RM, Marshall LF, Klauber MR, Blunt BA, Baldwin N, Eisenberg HM, Jane JA, Marmarou A and Foulkes MA: The role of secondary brain injury in determining outcome from severe head injury. J Trauma. 34:216–222. 1993.PubMed/NCBI View Article : Google Scholar

105 

Jeremitsky E, Omert L, Dunham CM, Protetch J and Rodriguez A: Harbingers of poor outcome the day after severe brain injury: Hypothermia, hypoxia, and hypoperfusion. J Trauma. 54:312–319. 2003.PubMed/NCBI View Article : Google Scholar

106 

Vella MA, Crandall ML and Patel MB: Acute management of traumatic brain injury. Surg Clin North Am. 97:1015–1030. 2017.PubMed/NCBI View Article : Google Scholar

107 

Rice AD, Hu C, Spaite DW, Barnhart BJ, Chikani V, Gaither JB, Denninghoff KR, Bradley GH, Howard JT, Keim SM and Bobrow BJ: Correlation between prehospital and in-hospital hypotension and outcomes after traumatic brain injury. Am J Emerg Med. 65:95–103. 2023.PubMed/NCBI View Article : Google Scholar

108 

Rahaman P and Del Bigio MR: Histology of brain trauma and Hypoxia-ischemia. Acad Forensic Pathol. 8:539–554. 2018.PubMed/NCBI View Article : Google Scholar

109 

Reddy P, Izzetoglu K, Shewokis PA, Sangobowale M and Diaz-Arrastia R: Differences in time-frequency characteristics between healthy controls and TBI patients during hypercapnia assessed via fNIRS. Neuroimage Clin. 40(103504)2023.PubMed/NCBI View Article : Google Scholar

110 

Hazwani T, Khalifa AM, Azzubi M, Alhammad A, Aloboudi A, Jorya A, Alkhuraiji A, Alhelabi S and Shaheen N: Diffuse axonal injury on magnetic resonance imaging and its relation to neurological outcomes in pediatric traumatic brain injury. Clin Neurol Neurosurg. 237(108166)2024.PubMed/NCBI View Article : Google Scholar

111 

Johnson VE, Stewart W and Smith DH: Axonal pathology in traumatic brain injury. Exp Neurol. 246:35–43. 2013.PubMed/NCBI View Article : Google Scholar

112 

Zhang S, Wang S, Wan X, Liu S, Shu K and Lei T: Clinical evaluation of post-operative cerebral infarction in traumatic epidural haematoma. Brain Inj. 31:215–220. 2017.PubMed/NCBI View Article : Google Scholar

113 

Behzadnia MJ, Anbarlouei M, Hosseini SM and Boroumand AB: Prognostic factors in traumatic brain injuries in emergency department. J Res Med Sci. 27(83)2022.PubMed/NCBI View Article : Google Scholar

114 

Gutowski P, Meier U, Rohde V, Lemcke J and von der Brelie C: Clinical outcome of epidural hematoma treated surgically in the era of modern resuscitation and trauma care. World Neurosurg. 118:e166–e174. 2018.PubMed/NCBI View Article : Google Scholar

115 

Karnjanasavitree W, Phuenpathom N and Tunthanathip T: The optimal operative timing of traumatic intracranial acute subdural hematoma correlated with outcome. Asian J Neurosurg. 13:1158–1164. 2018.PubMed/NCBI View Article : Google Scholar

116 

Aromatario M, Torsello A, D'Errico S, Bertozzi G, Sessa F, Cipolloni L and Baldari B: Traumatic epidural and subdural hematoma: Epidemiology, outcome, and dating. Medicina (Kaunas). 57(125)2021.PubMed/NCBI View Article : Google Scholar

117 

Chen L, Xia S, Lin Y, Chen Y, Xian L, Yang Y, Qiu X, Xu L, Xingshu Z, Chen D, et al: The role of coagulopathy and subdural hematoma thickness at admission in predicting the prognoses of patients with severe traumatic brain injury: A multicenter retrospective cohort study from China. Int J Surg. 110:5545–5562. 2024.PubMed/NCBI View Article : Google Scholar

118 

Folkerson LE, Sloan D, Cotton BA, Holcomb JB, Tomasek JS and Wade CE: Predicting progressive hemorrhagic injury from isolated traumatic brain injury and coagulation. Surgery. 158:655–661. 2015.PubMed/NCBI View Article : Google Scholar

119 

Chen T, Chen S, Wu Y, Chen Y, Wang L and Liu J: A predictive model for postoperative progressive haemorrhagic injury in traumatic brain injuries. BMC Neurol. 22(16)2022.PubMed/NCBI View Article : Google Scholar

120 

Stein SC, Young GS, Talucci RC, Greenbaum BH and Ross SE: Delayed brain injury after head trauma: Significance of coagulopathy. Neurosurgery. 30:160–165. 1992.PubMed/NCBI View Article : Google Scholar

121 

Powers AY, Pinto MB, Aldridge AM, Tang OY, Chen JS, Berube RL, Doberstein C, Fox JM, Carnevale JA and Asaad WF: Factors associated with the progression of conservatively managed acute traumatic subdural hemorrhage. J Crit Care. 48:243–250. 2018.PubMed/NCBI View Article : Google Scholar

122 

Di G and Liu H, Jiang X, Dai Y, Chen S, Wang Z and Liu H: Clinical predictors of progressive hemorrhagic injury in children with mild traumatic brain injury. Front Neurol. 8(560)2017.PubMed/NCBI View Article : Google Scholar

123 

Dumont TM, Visioni AJ, Rughani AI, Tranmer BI and Crookes B: Inappropriate prehospital ventilation in severe traumatic brain injury increases in-hospital mortality. J Neurotrauma. 27:1233–1241. 2010.PubMed/NCBI View Article : Google Scholar

124 

Haltmeier T, Benjamin E, Siboni S, Dilektasli E, Inaba K and Demetriades D: Prehospital intubationfor isolated severe blunt traumatic brain injury: Worse outcomes and higher mortality. Eur J Trauma Emerg Surg. 43:731–739. 2017.PubMed/NCBI View Article : Google Scholar

125 

Bossers SM, Schwarte LA, Loer SA, Twisk JW, Boer C and Schober P: Experience in prehospital endotracheal intubation significantly influences mortality of patients with severe traumatic brain injury: A systematic review and Meta-analysis. PLoS One. 10(e0141034)2015.PubMed/NCBI View Article : Google Scholar

126 

Anderson J, Ebeid A and Stallwood-Hall C: Pre-hospital tracheal intubation in severe traumatic brain injury: A systematic review and meta-analysis. Br J Anaesth. 129:977–984. 2022.PubMed/NCBI View Article : Google Scholar

127 

Eichelberger MR, Gotschall CS, Sacco WJ, Bowman LM, Mangubat EA and Lowenstein AD: A comparison of the trauma score, the revised trauma score, and the pediatric trauma score. Ann Emerg Med. 18:1053–1058. 1989.PubMed/NCBI View Article : Google Scholar

128 

Ambesi V, Miller C, Fitzgerald MC and Mitra B: The GCS-Pupils (GCS-P) score to assess outcomes after traumatic brain injury: A retrospective study. Br J Neurosurg. 23:1–4. 2024.PubMed/NCBI View Article : Google Scholar

129 

Anand KV, Shahid PT and Shameel KK: Evaluating GCS and FOUR score in predicting mortality of traumatic brain injury patients (TBI): A prospective study in a tertiary hospital of south malabar. J Pharm Bioallied Sci. 16 (Suppl 1):S598–S600. 2024.PubMed/NCBI View Article : Google Scholar

130 

Anand KV, Shahid PT and Shameel KK: Assessment of GCS and FOUR score as prognostic indicators for hospital stay and morbidity in traumatic brain injury patients: An observational study. J Pharm Bioallied Sci. 16 (Suppl 1):S601–S604. 2024.PubMed/NCBI View Article : Google Scholar

131 

Ahmadi S, Sarveazad A, Babahajian A, Ahmadzadeh K and Yousefifard M: Comparison of Glasgow Coma Scale and Full Outline of UnResponsiveness score for prediction of in-hospital mortality in traumatic brain injury patients: A systematic review and meta-analysis. Eur J Trauma Emerg Surg. 49:1693–1706. 2023.PubMed/NCBI View Article : Google Scholar

132 

Shestopalov AE, Yakovleva AV, Yadgarov MY, Sergeev IV and Kuzovlev AN: Prevalence and impact of malnutrition risk on outcomes in critically Ill patients with traumatic brain injury and stroke: A retrospective cohort study using electronic health records. Nutrients. 16(2396)2024.PubMed/NCBI View Article : Google Scholar

133 

Pastor IS, Para I, Vesa ȘC and Florian IȘ: Identifying predictive factors for mortality in patients with TBI at a neurosurgery department. J Med Life. 16:554–558. 2023.PubMed/NCBI View Article : Google Scholar

134 

Khormali M, Payandemehr P, Zafarmandi S, Baigi V, Zafarghandi M and Sharif-Alhoseini M: Predictive utility of the glasgow coma scale and the head abbreviated injury scale in traumatic brain injury: Results from the national trauma registry of iran. Arch Iran Med. 25:496–501. 2022.PubMed/NCBI View Article : Google Scholar

135 

Jeong TS, Choi DH and Kim WK: The relationship between trauma scoring systems and outcomes in patients with severe traumatic brain injury. Korean J Neurotrauma. 18:169–177. 2022.PubMed/NCBI View Article : Google Scholar

136 

Humble SS, Wilson LD, Wang L, Long DA, Smith MA, Siktberg JC, Mirhoseini MF, Bhatia A, Pruthi S, Day MA, et al: Prognosis of diffuse axonal injury with traumatic brain injury. J Trauma Acute Care Surg. 85:155–159. 2018.PubMed/NCBI View Article : Google Scholar

137 

Kulesza B, Mazurek M, Nogalski A and Rola R: Factors with the strongest prognostic value associated with in-hospital mortality rate among patients operated for acute subdural and epidural hematoma. Eur J Trauma Emerg Surg. 47:1517–1525. 2021.PubMed/NCBI View Article : Google Scholar

138 

Turkstra LS, Mutlu B, Ryan CW, Despins Stafslien EH, Richmond EK, Hosokawa E and Duff MC: Sex and gender differences in emotion recognition and theory of mind after TBI: A narrative review and directions for future research. Front Neurol. 11(59)2020.PubMed/NCBI View Article : Google Scholar

139 

Sandhu MRS, Schonwald A, Boyko M, Jafar TD, Freedman IG, Woeste J, Kurup A, Funaro MC, Zlotnik A, Gruenbaum SE, et al: The association between female sex and depression following traumatic brain injury: A systematic review and meta-analysis. Neurosci Biobehav Rev. 168(105952)2025.PubMed/NCBI View Article : Google Scholar

140 

Cogan AM, McCaughey VK and Scholten J: Gender differences in outcomes after traumatic brain injury among service members and veterans. PM R. 12:301–314. 2020.PubMed/NCBI View Article : Google Scholar

141 

Oliverio R, Karelina K and Weil ZM: Sex, Drugs, and TBI: The role of sex in substance abuse related to traumatic brain injuries. Front Neurol. 11(546775)2020.PubMed/NCBI View Article : Google Scholar

142 

Mollayeva T, Mollayeva S and Colantonio A: Traumatic brain injury: Sex, genderand intersecting vulnerabilities. Nat Rev Neurol. 14:711–722. 2018.PubMed/NCBI View Article : Google Scholar

143 

Giordano KR, Rojas-Valencia LM, Bhargava V and Lifshitz J: Beyond binary: Influence of sex and gender on outcome after traumatic brain injury. J Neurotrauma. 37:2454–2459. 2020.PubMed/NCBI View Article : Google Scholar

144 

Hanscom M, Loane DJ and Shea-Donohue T: Brain-gut axis dysfunction in the pathogenesis of traumatic brain injury. J Clin Invest. 131(e143777)2021.PubMed/NCBI View Article : Google Scholar

145 

Weaver JL: The brain-gut axis: A prime therapeutic target in traumatic brain injury. Brain Res. 1753(147225)2021.PubMed/NCBI View Article : Google Scholar

146 

Zhou Y, Lu W and Tang W: Gastrointestinal failure score in children with traumatic brain injury. BMC Pediatr. 21(219)2021.PubMed/NCBI View Article : Google Scholar

147 

Stulce C, Reisner A, Kane JM, Shin HS, McCracken C, Williamson J, Walson K and Paden M: Fluid overload in pediatric severe traumatic brain injury. Pediatr Crit Care Med. 21:164–169. 2020.PubMed/NCBI View Article : Google Scholar

148 

Jha RM, Kochanek PM and Simard JM: Pathophysiology and treatment of cerebral edema in traumatic brain injury. Neuropharmacology. 145:230–246. 2019.PubMed/NCBI View Article : Google Scholar

149 

Mekkodathil A, El-Menyar A, Hakim S, Al Jogol H, Parchani A, Peralta R, Rizoli S and Al-Thani H: Initial serum levels of magnesium and calcium as predictors of mortality in traumatic brain injury patients: A retrospective study. Diagnostics (Basel). 13(1172)2023.PubMed/NCBI View Article : Google Scholar

150 

Wang GH, Yan Y, Shen HP and Chu Z: The clinical characteristics of electrolyte disturbance in patients with moderate and severe traumatic brain injury who underwent craniotomy and its influence on prognosis. J Korean Neurosurg Soc. 66:332–339. 2023.PubMed/NCBI View Article : Google Scholar

151 

Laing J, Gabbe B, Chen Z, Perucca P, Kwan P and O'Brien TJ: Risk factors and prognosis of early posttraumatic seizures in moderate to severe traumatic brain injury. JAMA Neurol. 79:334–341. 2022.PubMed/NCBI View Article : Google Scholar

152 

Forssten SP, Ahl Hulme R, Forssten MP, Ribeiro MAF Jr, Sarani B and Mohseni S: Predictors of outcomes in geriatric patients with moderate traumatic brain injury after ground level falls. Front Med (Lausanne). 10(1290201)2023.PubMed/NCBI View Article : Google Scholar

153 

Al-Salihi MM, Ayyad A, Al-Jebur MS and Rahman MM: The ‘Talk and Die’ phenomenon in traumatic brain injury: A meta-analysis. Clin Neurol Neurosurg. 218(107262)2022.PubMed/NCBI View Article : Google Scholar

154 

Couret M, Gendre G, Magnusson L, Schoettker P and Ribordy V: Out-of-hospital tracheal intubation and alternatives in the prehospital setting. Rev Med Suisse. 16:325–330. 2020.PubMed/NCBI

155 

Sun G, Shi L, Pan T, Li X and Zhang S: Technique of ICP monitored stepwise intracranial decompression effectively reduces postoperative complications of severe bifrontal contusion. Front Neurol. 7(56)2016.PubMed/NCBI View Article : Google Scholar

156 

McHugh DC, Fiore SM, Strong N and Egnor MR: Bifrontal biparietal cruciate decompressive craniectomy in pediatric traumatic brain injury. Pediatr Neurosurg. 54:6–11. 2019.PubMed/NCBI View Article : Google Scholar

157 

Ma J, Zhang K, Wang Z and Chen G: Progress of research on diffuse axonal injury after traumatic brain injuryy. Neural Plast. 9746313:2016.PubMed/NCBI View Article : Google Scholar

158 

Kennedy L, Nuno M, Gurkoff GG, Nosova K and Zwienenberg M: Moderate and severe TBI in children and adolescents: The effects of age, sex, and injury severity on patient outcome 6 months after injury. Front Neurol. 13(741717)2022.PubMed/NCBI View Article : Google Scholar

Related Articles

  • Abstract
  • View
  • Download
  • Twitter
Copy and paste a formatted citation
Spandidos Publications style
Liu M, Ma Z, Liao R, Chen W, Zhang B, Zhang Q, Zhu Y, Gao S and Chen Y: Incidence and mortality related risk factors in patients with severe traumatic brain injury: A meta‑analysis. Exp Ther Med 29: 84, 2025.
APA
Liu, M., Ma, Z., Liao, R., Chen, W., Zhang, B., Zhang, Q. ... Chen, Y. (2025). Incidence and mortality related risk factors in patients with severe traumatic brain injury: A meta‑analysis. Experimental and Therapeutic Medicine, 29, 84. https://doi.org/10.3892/etm.2025.12834
MLA
Liu, M., Ma, Z., Liao, R., Chen, W., Zhang, B., Zhang, Q., Zhu, Y., Gao, S., Chen, Y."Incidence and mortality related risk factors in patients with severe traumatic brain injury: A meta‑analysis". Experimental and Therapeutic Medicine 29.4 (2025): 84.
Chicago
Liu, M., Ma, Z., Liao, R., Chen, W., Zhang, B., Zhang, Q., Zhu, Y., Gao, S., Chen, Y."Incidence and mortality related risk factors in patients with severe traumatic brain injury: A meta‑analysis". Experimental and Therapeutic Medicine 29, no. 4 (2025): 84. https://doi.org/10.3892/etm.2025.12834
Copy and paste a formatted citation
x
Spandidos Publications style
Liu M, Ma Z, Liao R, Chen W, Zhang B, Zhang Q, Zhu Y, Gao S and Chen Y: Incidence and mortality related risk factors in patients with severe traumatic brain injury: A meta‑analysis. Exp Ther Med 29: 84, 2025.
APA
Liu, M., Ma, Z., Liao, R., Chen, W., Zhang, B., Zhang, Q. ... Chen, Y. (2025). Incidence and mortality related risk factors in patients with severe traumatic brain injury: A meta‑analysis. Experimental and Therapeutic Medicine, 29, 84. https://doi.org/10.3892/etm.2025.12834
MLA
Liu, M., Ma, Z., Liao, R., Chen, W., Zhang, B., Zhang, Q., Zhu, Y., Gao, S., Chen, Y."Incidence and mortality related risk factors in patients with severe traumatic brain injury: A meta‑analysis". Experimental and Therapeutic Medicine 29.4 (2025): 84.
Chicago
Liu, M., Ma, Z., Liao, R., Chen, W., Zhang, B., Zhang, Q., Zhu, Y., Gao, S., Chen, Y."Incidence and mortality related risk factors in patients with severe traumatic brain injury: A meta‑analysis". Experimental and Therapeutic Medicine 29, no. 4 (2025): 84. https://doi.org/10.3892/etm.2025.12834
Follow us
  • Twitter
  • LinkedIn
  • Facebook
About
  • Spandidos Publications
  • Careers
  • Cookie Policy
  • Privacy Policy
How can we help?
  • Help
  • Live Chat
  • Contact
  • Email to our Support Team