Spandidos Publications Logo
  • About
    • About Spandidos
    • Aims and Scopes
    • Abstracting and Indexing
    • Editorial Policies
    • Reprints and Permissions
    • Job Opportunities
    • Terms and Conditions
    • Contact
  • Journals
    • All Journals
    • Oncology Letters
      • Oncology Letters
      • Information for Authors
      • Editorial Policies
      • Editorial Board
      • Aims and Scope
      • Abstracting and Indexing
      • Bibliographic Information
      • Archive
    • International Journal of Oncology
      • International Journal of Oncology
      • Information for Authors
      • Editorial Policies
      • Editorial Board
      • Aims and Scope
      • Abstracting and Indexing
      • Bibliographic Information
      • Archive
    • Molecular and Clinical Oncology
      • Molecular and Clinical Oncology
      • Information for Authors
      • Editorial Policies
      • Editorial Board
      • Aims and Scope
      • Abstracting and Indexing
      • Bibliographic Information
      • Archive
    • Experimental and Therapeutic Medicine
      • Experimental and Therapeutic Medicine
      • Information for Authors
      • Editorial Policies
      • Editorial Board
      • Aims and Scope
      • Abstracting and Indexing
      • Bibliographic Information
      • Archive
    • International Journal of Molecular Medicine
      • International Journal of Molecular Medicine
      • Information for Authors
      • Editorial Policies
      • Editorial Board
      • Aims and Scope
      • Abstracting and Indexing
      • Bibliographic Information
      • Archive
    • Biomedical Reports
      • Biomedical Reports
      • Information for Authors
      • Editorial Policies
      • Editorial Board
      • Aims and Scope
      • Abstracting and Indexing
      • Bibliographic Information
      • Archive
    • Oncology Reports
      • Oncology Reports
      • Information for Authors
      • Editorial Policies
      • Editorial Board
      • Aims and Scope
      • Abstracting and Indexing
      • Bibliographic Information
      • Archive
    • Molecular Medicine Reports
      • Molecular Medicine Reports
      • Information for Authors
      • Editorial Policies
      • Editorial Board
      • Aims and Scope
      • Abstracting and Indexing
      • Bibliographic Information
      • Archive
    • World Academy of Sciences Journal
      • World Academy of Sciences Journal
      • Information for Authors
      • Editorial Policies
      • Editorial Board
      • Aims and Scope
      • Abstracting and Indexing
      • Bibliographic Information
      • Archive
    • International Journal of Functional Nutrition
      • International Journal of Functional Nutrition
      • Information for Authors
      • Editorial Policies
      • Editorial Board
      • Aims and Scope
      • Abstracting and Indexing
      • Bibliographic Information
      • Archive
    • International Journal of Epigenetics
      • International Journal of Epigenetics
      • Information for Authors
      • Editorial Policies
      • Editorial Board
      • Aims and Scope
      • Abstracting and Indexing
      • Bibliographic Information
      • Archive
    • Medicine International
      • Medicine International
      • Information for Authors
      • Editorial Policies
      • Editorial Board
      • Aims and Scope
      • Abstracting and Indexing
      • Bibliographic Information
      • Archive
  • Articles
  • Information
    • Information for Authors
    • Information for Reviewers
    • Information for Librarians
    • Information for Advertisers
    • Conferences
  • Language Editing
Spandidos Publications Logo
  • About
    • About Spandidos
    • Aims and Scopes
    • Abstracting and Indexing
    • Editorial Policies
    • Reprints and Permissions
    • Job Opportunities
    • Terms and Conditions
    • Contact
  • Journals
    • All Journals
    • Biomedical Reports
      • Information for Authors
      • Editorial Policies
      • Editorial Board
      • Aims and Scope
      • Abstracting and Indexing
      • Bibliographic Information
      • Archive
    • Experimental and Therapeutic Medicine
      • Information for Authors
      • Editorial Policies
      • Editorial Board
      • Aims and Scope
      • Abstracting and Indexing
      • Bibliographic Information
      • Archive
    • International Journal of Epigenetics
      • Information for Authors
      • Editorial Policies
      • Editorial Board
      • Aims and Scope
      • Abstracting and Indexing
      • Bibliographic Information
      • Archive
    • International Journal of Functional Nutrition
      • Information for Authors
      • Editorial Policies
      • Editorial Board
      • Aims and Scope
      • Abstracting and Indexing
      • Bibliographic Information
      • Archive
    • International Journal of Molecular Medicine
      • Information for Authors
      • Editorial Policies
      • Editorial Board
      • Aims and Scope
      • Abstracting and Indexing
      • Bibliographic Information
      • Archive
    • International Journal of Oncology
      • Information for Authors
      • Editorial Policies
      • Editorial Board
      • Aims and Scope
      • Abstracting and Indexing
      • Bibliographic Information
      • Archive
    • Medicine International
      • Information for Authors
      • Editorial Policies
      • Editorial Board
      • Aims and Scope
      • Abstracting and Indexing
      • Bibliographic Information
      • Archive
    • Molecular and Clinical Oncology
      • Information for Authors
      • Editorial Policies
      • Editorial Board
      • Aims and Scope
      • Abstracting and Indexing
      • Bibliographic Information
      • Archive
    • Molecular Medicine Reports
      • Information for Authors
      • Editorial Policies
      • Editorial Board
      • Aims and Scope
      • Abstracting and Indexing
      • Bibliographic Information
      • Archive
    • Oncology Letters
      • Information for Authors
      • Editorial Policies
      • Editorial Board
      • Aims and Scope
      • Abstracting and Indexing
      • Bibliographic Information
      • Archive
    • Oncology Reports
      • Information for Authors
      • Editorial Policies
      • Editorial Board
      • Aims and Scope
      • Abstracting and Indexing
      • Bibliographic Information
      • Archive
    • World Academy of Sciences Journal
      • Information for Authors
      • Editorial Policies
      • Editorial Board
      • Aims and Scope
      • Abstracting and Indexing
      • Bibliographic Information
      • Archive
  • Articles
  • Information
    • For Authors
    • For Reviewers
    • For Librarians
    • For Advertisers
    • Conferences
  • Language Editing
Login Register Submit
  • This site uses cookies
  • You can change your cookie settings at any time by following the instructions in our Cookie Policy. To find out more, you may read our Privacy Policy.

    I agree
Search articles by DOI, keyword, author or affiliation
Search
Advanced Search
presentation
Experimental and Therapeutic Medicine
Join Editorial Board Propose a Special Issue
Print ISSN: 1792-0981 Online ISSN: 1792-1015
Journal Cover
April-2025 Volume 29 Issue 4

Full Size Image

Sign up for eToc alerts
Recommend to Library

Journals

International Journal of Molecular Medicine

International Journal of Molecular Medicine

International Journal of Molecular Medicine is an international journal devoted to molecular mechanisms of human disease.

International Journal of Oncology

International Journal of Oncology

International Journal of Oncology is an international journal devoted to oncology research and cancer treatment.

Molecular Medicine Reports

Molecular Medicine Reports

Covers molecular medicine topics such as pharmacology, pathology, genetics, neuroscience, infectious diseases, molecular cardiology, and molecular surgery.

Oncology Reports

Oncology Reports

Oncology Reports is an international journal devoted to fundamental and applied research in Oncology.

Experimental and Therapeutic Medicine

Experimental and Therapeutic Medicine

Experimental and Therapeutic Medicine is an international journal devoted to laboratory and clinical medicine.

Oncology Letters

Oncology Letters

Oncology Letters is an international journal devoted to Experimental and Clinical Oncology.

Biomedical Reports

Biomedical Reports

Explores a wide range of biological and medical fields, including pharmacology, genetics, microbiology, neuroscience, and molecular cardiology.

Molecular and Clinical Oncology

Molecular and Clinical Oncology

International journal addressing all aspects of oncology research, from tumorigenesis and oncogenes to chemotherapy and metastasis.

World Academy of Sciences Journal

World Academy of Sciences Journal

Multidisciplinary open-access journal spanning biochemistry, genetics, neuroscience, environmental health, and synthetic biology.

International Journal of Functional Nutrition

International Journal of Functional Nutrition

Open-access journal combining biochemistry, pharmacology, immunology, and genetics to advance health through functional nutrition.

International Journal of Epigenetics

International Journal of Epigenetics

Publishes open-access research on using epigenetics to advance understanding and treatment of human disease.

Medicine International

Medicine International

An International Open Access Journal Devoted to General Medicine.

Journal Cover
April-2025 Volume 29 Issue 4

Full Size Image

Sign up for eToc alerts
Recommend to Library

  • Article
  • Citations
    • Cite This Article
    • Download Citation
    • Create Citation Alert
    • Remove Citation Alert
    • Cited By
  • Similar Articles
    • Related Articles (in Spandidos Publications)
    • Similar Articles (Google Scholar)
    • Similar Articles (PubMed)
  • Download PDF
  • Download XML
  • View XML

  • Supplementary Files
    • Supplementary_Data1.pdf
    • Supplementary_Data2.pdf
Article Open Access

Preliminary results and a theoretical perspective of co‑treatment using a miR‑93‑5p mimic and aged garlic extract to inhibit the expression of the pro‑inflammatory interleukin‑8 gene

  • Authors:
    • Roberto Gambari
    • Chiara Papi
    • Jessica Gasparello
    • Enzo Agostinelli
    • Alessia Finotti
  • View Affiliations / Copyright

    Affiliations: Department of Life Sciences and Biotechnology, University of Ferrara, I‑44121 Ferrara, Italy, Department of Sensory Organs, Sapienza University of Rome, Policlinico Umberto I, I‑00161 Rome, Italy
    Copyright: © Gambari et al. This is an open access article distributed under the terms of Creative Commons Attribution License.
  • Article Number: 85
    |
    Published online on: February 25, 2025
       https://doi.org/10.3892/etm.2025.12835
  • Expand metrics +
Metrics: Total Views: 0 (Spandidos Publications: | PMC Statistics: )
Metrics: Total PDF Downloads: 0 (Spandidos Publications: | PMC Statistics: )
Cited By (CrossRef): 0 citations Loading Articles...

This article is mentioned in:



Abstract

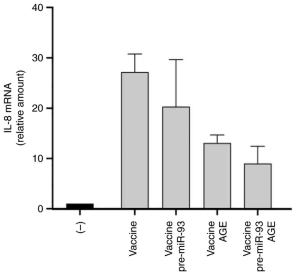
The coronavirus disease‑19 (COVID‑19) pandemic has been a very significant health issue in the period between 2020 and 2023, forcing research to characterize severe acute respiratory syndrome coronavirus 2 (SARS‑CoV‑2) sequences and to develop novel therapeutic approaches. Interleukin‑6 (IL‑6) and IL‑8 are considered significant therapeutic targets for COVID‑19 and emerging evidence has suggested that microRNAs (miRNAs/miRs) serve a key role in regulating these genes. MiRNAs are short, 19‑25 nucleotides in length, non‑coding RNAs that regulate gene expression at the post‑transcriptional level through the sequence‑selective recognition of the 3'‑untranslated region (3'‑UTR) of the regulated mRNAs, eventually repressing translation, commonly, via mRNA degradation. For example, among several miRNAs involved in the regulation of the COVID‑19 ‘cytokine storm’, miR‑93‑5p can inhibit IL‑8 gene expression by directly targeting the 3'‑UTR of IL‑8 mRNA. In addition, miR‑93‑5p can regulate Toll‑like receptor‑4 (TLR4) and interleukin‑1 receptor‑associated kinase 4 (IRAK4) expression, thus affecting the nuclear factor‑κB (NF‑κB) pathway and the expression of NF‑κB‑regulated genes, such as IL‑6, IL‑1β and other hyper‑expressed genes during the COVID‑19 ‘cytokine storm’. In the present study, the results provided preliminary evidence suggesting that the miR‑93‑5p‑based miRNA therapeutics could be combined with the anti‑inflammatory aged garlic extract (AGE) to more effectively inhibit IL‑8 gene expression. The human bronchial epithelial IB3‑1 cell line was employed as experimental model system. IB3‑1 cells were stimulated with the BNT162b2 COVID‑19 vaccine and transfected with pre‑miR‑93‑5p in the absence or in the presence of AGE, to verify the inhibitory effects on the BNT162b2‑induced expression of the IL‑8 gene. The accumulation of IL‑8 mRNA was assessed by RT‑qPCR; the release of IL‑8 protein was determined by Bio‑Plex assay. In addition, the possible applications of TLR4/NF‑κB inhibitory agents (such as miR‑93‑5p and AGE) for treating human pathologies at a hyperinflammatory state, such as COVID‑19, cystic fibrosis and other respiratory diseases, were summarized.
View Figures

Figure 1

Figure 2

Figure 3

Figure 4

Figure 5

View References

1 

Killerby ME, Biggs HM, Midgley CM, Gerber SI and Watson JT: Middle east respiratory syndrome coronavirus transmission. Emerg Infect Dis. 26:191–198. 2020.PubMed/NCBI View Article : Google Scholar

2 

Murakami N, Hayden R, Hills T, Al-Samkari H, Casey J, Del Sorbo L, Lawler PR, Sise ME and Leaf DE: Therapeutic advances in COVID-19. Nat Rev Nephrol. 19:38–52. 2023.PubMed/NCBI View Article : Google Scholar

3 

Narayanan SA, Jamison DA Jr, Guarnieri JW, Zaksas V, Topper M, Koutnik AP, Park J, Clark KB, Enguita FJ, Leitão AL, et al: A comprehensive SARS-CoV-2 and COVID-19 review, Part 2: Host extracellular to systemic effects of SARS-CoV-2 infection. Eur J Hum Genet. 32:10–20. 2024.PubMed/NCBI View Article : Google Scholar

4 

Tulimilli SV, Dallavalasa S, Basavaraju CG, Kumar Rao V, Chikkahonnaiah P, Madhunapantula SV and Veeranna RP: Variants of severe acute respiratory syndrome coronavirus 2 (SARS-CoV-2) and vaccine effectiveness. Vaccines (Basel). 10(1751)2022.PubMed/NCBI View Article : Google Scholar

5 

Watson OJ, Barnsley G, Toor J, Hogan AB, Winskill P and Ghani AC: Global impact of the first year of COVID-19 vaccination: A mathematical modelling study. Lancet Infect Dis. 22:1293–1302. 2022.PubMed/NCBI View Article : Google Scholar

6 

Walker PGT, Whittaker C, Watson OJ, Baguelin M, Winskill P, Hamlet A, Djafaara BA, Cucunubá Z, Olivera Mesa D, Green W, et al: The impact of COVID-19 and strategies for mitigation and suppression in low- and middle-income countries. Science. 369:413–422. 2020.PubMed/NCBI View Article : Google Scholar

7 

Villamagna AH, Gore SJ, Lewis JS and Doggett JS: The need for antiviral drugs for pandemic coronaviruses from a global health perspective. Front Med (Lausanne). 7(596587)2020.PubMed/NCBI View Article : Google Scholar

8 

Mikulska M, Sepulcri C, Dentone C, Magne F, Balletto E, Baldi F, Labate L, Russo C, Mirabella M, Magnasco L, et al: Triple combination therapy with 2 antivirals and monoclonal antibodies for persistent or relapsed severe acute respiratory syndrome coronavirus 2 infection in immunocompromised patients. Clin Infect Dis. 77:280–286. 2023.PubMed/NCBI View Article : Google Scholar

9 

Meyerowitz EA and Li Y: Review: The landscape of antiviral therapy for COVID-19 in the era of widespread population immunity and omicron-lineage viruses. Clin Infect Dis. 78:908–917. 2024.PubMed/NCBI View Article : Google Scholar

10 

Selickman J, Vrettou CS, Mentzelopoulos SD and Marini JJ: COVID-19-related ARDS: Key mechanistic features and treatments. J Clin Med. 11(4896)2022.PubMed/NCBI View Article : Google Scholar

11 

Silva MJA, Ribeiro LR, Gouveia MIM, Marcelino BDR, Santos CSD, Lima KVB and Lima LNGC: Hyperinflammatory response in COVID-19: A systematic review. Viruses. 15(553)2023.PubMed/NCBI View Article : Google Scholar

12 

Conti P, Caraffa A, Gallenga CE, Ross R, Kritas SK, Frydas I, Younes A and Ronconi G: Coronavirus-19 (SARS-CoV-2) induces acute severe lung inflammation via IL-1 causing cytokine storm in COVID-19: A promising inhibitory strategy. J Biol Regul Homeost Agents. 34:1971–1975. 2020.PubMed/NCBI View Article : Google Scholar

13 

Zawawi A, Naser AY, Alwafi H and Minshawi F: Profile of circulatory cytokines and chemokines in human coronaviruses: A systematic review and meta-analysis. Front Immunol. 12(666223)2021.PubMed/NCBI View Article : Google Scholar

14 

Altmann DM, Whettlock EM, Liu S, Arachchillage DJ and Boyton RJ: The immunology of long COVID. Nat Rev Immunol. 23:618–634. 2023.PubMed/NCBI View Article : Google Scholar

15 

Ghorra N, Popotas A, Besse-Hammer T, Rogiers A, Corazza F and Nagant C: Cytokine profile in patients with postacute sequelae of COVID-19. Viral Immunol. 37:346–354. 2024.PubMed/NCBI View Article : Google Scholar

16 

Song P, Li W, Xie J, Hou Y and You C: Cytokine storm induced by SARS-CoV-2. Clin Chim Acta. 509:280–287. 2020.PubMed/NCBI View Article : Google Scholar

17 

Sefik E, Qu R, Junqueira C, Kaffe E, Mirza H, Zhao J, Brewer JR, Han A, Steach HR, Israelow B, et al: Inflammasome activation in infected macrophages drives COVID-19 pathology. Nature. 606:585–593. 2022.PubMed/NCBI View Article : Google Scholar

18 

Majidpoor J and Mortezaee K: Interleukin-6 in SARS-CoV-2 induced disease: Interactions and therapeutic applications. Biomed Pharmacother. 145(112419)2022.PubMed/NCBI View Article : Google Scholar

19 

Santa Cruz A, Mendes-Frias A, Oliveira AI, Dias L, Matos AR, Carvalho A, Capela C, Pedrosa J, Castro AG and Silvestre R: Interleukin-6 is a biomarker for the development of fatal severe acute respiratory syndrome coronavirus 2 pneumonia. Front Immunol. 12(613422)2021.PubMed/NCBI View Article : Google Scholar

20 

Zizzo G, Tamburello A, Castelnovo L, Laria A, Mumoli N, Faggioli PM, Stefani I and Mazzone A: Immunotherapy of COVID-19: Inside and beyond IL-6 signalling. Front Immunol. 13(795315)2022.PubMed/NCBI View Article : Google Scholar

21 

Li L, Li J, Gao M, Fan H, Wang Y, Xu X, Chen C, Liu J, Kim J, Aliyari R, et al: Interleukin-8 as a biomarker for disease prognosis of coronavirus disease-2019 patients. Front Immunol. 11(602395)2021.PubMed/NCBI View Article : Google Scholar

22 

Yu Q, Zhou X, Kapini R, Arsecularatne A, Song W, Li C, Liu Y, Ren J, Münch G, Liu J and Chang D: Cytokine storm in COVID-19: Insight into pathological mechanisms and therapeutic benefits of chinese herbal medicines. Medicines (Basel). 11(14)2024.PubMed/NCBI View Article : Google Scholar

23 

Comarmond C, Drumez E, Labreuche J, Hachulla E, Thomas T, Flipo RM, Seror R, Avouac J, Balandraud N, Desbarbieux R, et al: COVID-19 presentation and outcomes in patients with inflammatory rheumatic and musculoskeletal diseases receiving IL6-receptor antagonists prior to SARS-CoV-2 infection. J Transl Autoimmun. 6(100190)2023.PubMed/NCBI View Article : Google Scholar

24 

Ghosn L, Chaimani A, Evrenoglou T, Davidson M, Graña C, Schmucker C, Bollig C, Henschke N, Sguassero Y, Nejstgaard CH, et al: Interleukin-6 blocking agents for treating COVID-19: A living systematic review. Cochrane Database Syst Rev. 3(CD013881)2021.PubMed/NCBI View Article : Google Scholar

25 

Pomponio G, Ferrarini A, Bonifazi M, Moretti M, Salvi A, Giacometti A, Tavio M, Titolo G, Morbidoni L, Frausini G, et al: Tocilizumab in COVID-19 interstitial pneumonia. J Intern Med. 289:738–746. 2021.PubMed/NCBI View Article : Google Scholar

26 

Castelnovo L, Tamburello A, Lurati A, Zaccara E, Marrazza MG, Olivetti M, Mumoli N, Mastroiacovo D, Colombo D, Ricchiuti E, et al: Anti-IL6 treatment of serious COVID-19 disease: A monocentric retrospective experience. Medicine (Baltimore). 100(e23582)2021.PubMed/NCBI View Article : Google Scholar

27 

Tharmarajah E, Buazon A, Patel V, Hannah JR, Adas M, Allen VB, Bechman K, Clarke BD, Nagra D, Norton S, et al: IL-6 inhibition in the treatment of COVID-19: A meta-analysis and meta-regression. J Infect. 82:178–185. 2021.PubMed/NCBI View Article : Google Scholar

28 

Segú-Vergés C, Artigas L, Coma M and Peck RW: Artificial intelligence assessment of the potential of tocilizumab along with corticosteroids therapy for the management of COVID-19 evoked acute respiratory distress syndrome. PLoS One. 18(e0280677)2023.PubMed/NCBI View Article : Google Scholar

29 

Dominguez C, McCampbell KK, David JM and Palena C: Neutralization of IL-8 decreases tumor PMN-MDSCs and reduces mesenchymalization of claudin-low triple-negative breast cancer. JCI Insight. 2(e9496)2017.PubMed/NCBI View Article : Google Scholar

30 

Piemonti L, Landoni G, Voza A, Puoti M, Gentile I, Coppola N, Nava S, Mattei A, Marinangeli F, Marchetti G, et al: Efficacy and safety of reparixin in patients with severe COVID-19 pneumonia: A phase 3, randomized, double-blind placebo-controlled study. Infect Dis Ther. 12:2437–2456. 2023.PubMed/NCBI View Article : Google Scholar

31 

Zarbock A, Allegretti M and Ley K: Therapeutic inhibition of CXCR2 by Reparixin attenuates acute lung injury in mice. Br J Pharmacol. 155:357–364. 2008.PubMed/NCBI View Article : Google Scholar

32 

Kaiser R, Leunig A, Pekayvaz K, Popp O, Joppich M, Polewka V, Escaig R, Anjum A, Hoffknecht ML, Gold C, et al: Self-sustaining IL-8 loops drive a prothrombotic neutrophil phenotype in severe COVID-19. JCI Insight. 6(e150862)2021.PubMed/NCBI View Article : Google Scholar

33 

Shang R, Lee S, Senavirathne G and Lai EC: microRNAs in action: Biogenesis, function and regulation. Nat Rev Genet. 24:816–833. 2023.PubMed/NCBI View Article : Google Scholar

34 

Fazi   and Nervi C: MicroRNA: Basic mechanisms and transcriptional regulatory networks for cell fate determination. Cardiovasc Res. 79:553–561. 2008.PubMed/NCBI View Article : Google Scholar

35 

Ivey KN and Srivastava D: microRNAs as developmental regulators. Cold Spring Harb Perspect Biol. 7(a008144)2015.PubMed/NCBI View Article : Google Scholar

36 

Chaudhuri K and Chatterjee R: MicroRNA detection and target prediction: Integration of computational and experimental approaches. DNA Cell Biol. 26:321–337. 2007.PubMed/NCBI View Article : Google Scholar

37 

Doench JG and Sharp PA: Specificity of microRNA target selection in translational repression. Genes Dev. 18:504–511. 2004.PubMed/NCBI View Article : Google Scholar

38 

Gasparello J, Finotti A and Gambari R: Tackling the COVID-19 ‘cytokine storm’ with microRNA mimics directly targeting the 3'UTR of pro-inflammatory mRNAs. Med Hypotheses. 146(110415)2021.PubMed/NCBI View Article : Google Scholar

39 

Fabbri E, Borgatti M, Montagner G, Bianchi N, Finotti A, Lampronti I, Bezzerri V, Dechecchi MC, Cabrini G and Gambari R: Expression of microRNA-93 and interleukin-8 during pseudomonas aeruginosa-mediated induction of proinflammatory responses. Am J Respir Cell Mol Biol. 50:1144–1155. 2014.PubMed/NCBI View Article : Google Scholar

40 

Gasparello J, d'Aversa E, Breveglieri G, Borgatti M, Finotti A and Gambari R: In vitro induction of interleukin-8 by SARS-CoV-2 spike protein is inhibited in bronchial epithelial IB3-1 cells by a miR-93-5p agomiR. Int Immunopharmacol. 101(108201)2021.PubMed/NCBI View Article : Google Scholar

41 

Wu J, Ding J, Yang J, Guo X and Zheng Y: MicroRNA roles in the nuclear factor kappa B signaling pathway in cancer. Front Immunol. 9(546)2018.PubMed/NCBI View Article : Google Scholar

42 

Hanna J, Hossain G and Kocerha J: The potential for microRNA therapeutics and clinical research. Front Genet. 10(478)2019.PubMed/NCBI View Article : Google Scholar

43 

Momin MY, Gaddam RR, Kravitz M, Gupta A and Vikram A: The challenges and opportunities in the development of MicroRNA therapeutics: A multidisciplinary viewpoint. Cells. 10(3097)2021.PubMed/NCBI View Article : Google Scholar

44 

Diener C, Keller A and Meese E: Emerging concepts of miRNA therapeutics: From cells to clinic. Trends Genet. 38:613–626. 2022.PubMed/NCBI View Article : Google Scholar

45 

Rupaimoole R and Slack FJ: MicroRNA therapeutics: Towards a new era for the management of cancer and other diseases. Nat Rev Drug Discov. 16:203–222. 2017.PubMed/NCBI View Article : Google Scholar

46 

Lee EC, Valencia T, Allerson C, Schairer A, Flaten A, Yheskel M, Kersjes K, Li J, Gatto S, Takhar M, et al: Discovery and preclinical evaluation of anti-miR-17 oligonucleotide RGLS4326 for the treatment of polycystic kidney disease. Nat Commun. 10(4148)2019.PubMed/NCBI View Article : Google Scholar

47 

Reid G, Kao SC, Pavlakis N, Brahmbhatt H, MacDiarmid J, Clarke S, Boyer M and van Zandwijk N: Clinical development of TargomiRs, a miRNA mimic-based treatment for patients with recurrent thoracic cancer. Epigenomics. 8:1079–1085. 2016.PubMed/NCBI View Article : Google Scholar

48 

Zurlo M, Gasparello J, Verona M, Papi C, Cosenza LC, Finotti A, Marzaro G and Gambari R: The anti-SARS-CoV-2 BNT162b2 vaccine suppresses mithramycin-induced erythroid differentiation and expression of embryo-fetal globin genes in human erythroleukemia K562 cells. Exp Cell Res. 433(113853)2023.PubMed/NCBI View Article : Google Scholar

49 

Cosenza LC, Marzaro G, Zurlo M, Gasparello J, Zuccato C, Finotti A and Gambari R: Inhibitory effects of SARS-CoV-2 spike protein and BNT162b2 vaccine on erythropoietin-induced globin gene expression in erythroid precursor cells from patients with β-thalassemia. Exp Hematol. 129(104128)2024.PubMed/NCBI View Article : Google Scholar

50 

Gasparello J, D'Aversa E, Papi C, Gambari L, Grigolo B, Borgatti M, Finotti A and Gambari R: Sulforaphane inhibits the expression of interleukin-6 and interleukin-8 induced in bronchial epithelial IB3-1 cells by exposure to the SARS-CoV-2 spike protein. Phytomedicine. 87(153583)2021.PubMed/NCBI View Article : Google Scholar

51 

Verbeke R, Hogan MJ, Loré K and Pardi N: Innate immune mechanisms of mRNA vaccines. Immunity. 55:1993–2005. 2022.PubMed/NCBI View Article : Google Scholar

52 

Sartorius R, Trovato M, Manco R, D'Apice L and De Berardinis P: Exploiting viral sensing mediated by Toll-like receptors to design innovative vaccines. NPJ Vaccines. 6(127)2021.PubMed/NCBI View Article : Google Scholar

53 

Delehedde C, Even L, Midoux P, Pichon C and Perche F: Intracellular routing and recognition of lipid-based mRNA nanoparticles. Pharmaceutics. 13(945)2021.PubMed/NCBI View Article : Google Scholar

54 

Dechecchi MC, Nicolis E, Norez C, Bezzerri V, Borgatti M, Mancini I, Rizzotti P, Ribeiro CM, Gambari R, Becq F and Cabrini G: Anti-inflammatory effect of miglustat in bronchial epithelial cells. J Cyst Fibros. 7:555–565. 2008.PubMed/NCBI View Article : Google Scholar

55 

Gambari R, Borgatti M, Lampronti I, Fabbri E, Brognara E, Bianchi N, Piccagli L, Yuen MCW, Kan CW, Hau DKP, et al: Corilagin is a potent inhibitor of NF-kappaB activity and downregulates TNF-alpha induced expression of IL-8 gene in cystic fibrosis IB3-1 cells. Int Immunopharmacol. 13:308–315. 2012.PubMed/NCBI View Article : Google Scholar

56 

De Stefano D, Ungaro F, Giovino C, Polimeno A, Quaglia F and Carnuccio R: Sustained inhibition of IL-6 and IL-8 expression by decoy ODN to NF-κB delivered through respirable large porous particles in LPS-stimulated cystic fibrosis bronchial cells. J Gene Med. 13:200–208. 2011.PubMed/NCBI View Article : Google Scholar

57 

Gao H, Xiao D, Gao L and Li  : MicroRNA-93 contributes to the suppression of lung inflammatory responses in LPS-induced acute lung injury in mice via the TLR4/MyD88/NF-κB signaling pathway. Int J Mol Med. 46:561–570. 2020.PubMed/NCBI View Article : Google Scholar

58 

Silva-Aguiar RP, Teixeira DE, Peruchetti DB, Peres RAS, Alves SAS, Calil PT, Arruda LB, Costa LJ, Silva PL, Schmaier AH, et al: Toll like receptor 4 mediates the inhibitory effect of SARS-CoV-2 spike protein on proximal tubule albumin endocytosis. Biochim Biophys Acta Mol Basis Dis. 1870(167155)2024.PubMed/NCBI View Article : Google Scholar

59 

Chakraborty C, Mallick B, Bhattacharya M and Byrareddy S: SARS-CoV-2 omicron spike shows strong binding affinity and favourable interaction landscape with the TLR4/MD2 compared to other variants. J Genet Eng Biotechnol. 22(100347)2024.PubMed/NCBI View Article : Google Scholar

60 

Fontes-Dantas FL, Fernandes GG, Gutman EG, De Lima EV, Antonio LS, Hammerle MB, Mota-Araujo HP, Colodeti LC, Araújo SMB, Froz GM, et al: SARS-CoV-2 spike protein induces TLR4-mediated long-term cognitive dysfunction recapitulating post-COVID-19 syndrome in mice. Cell Rep. 42(112189)2023.PubMed/NCBI View Article : Google Scholar

61 

Choudhury A and Mukherjee S: In silico studies on the comparative characterization of the interactions of SARS-CoV-2 spike glycoprotein with ACE-2 receptor homologs and human TLRs. J Med Virol. 92:2105–2113. 2020.PubMed/NCBI View Article : Google Scholar

62 

Zhao Y, Kuang M, Li J, Zhu L, Jia Z, Guo X, Hu Y, Kong J, Yin H, Wang X and You F: SARS-CoV-2 spike protein interacts with and activates TLR41. Cell Res. 31:818–820. 2021.PubMed/NCBI View Article : Google Scholar

63 

Patra R, Chandra Das N and Mukherjee S: Targeting human TLRs to combat COVID-19: A solution? J Med Virol. 93:615–617. 2021.PubMed/NCBI View Article : Google Scholar

64 

Das NC, Labala R, Patra R, Chattoraj A and Mukherjee S: In silico identification of new anti-SARS-CoV-2 agents from bioactive phytocompounds targeting the viral spike glycoprotein and human TLR4. Lettr Drug Des Discov. 19:175–191. 2022.

65 

Sahanic S, Hilbe R, Dünser C, Tymoszuk P, Löffler-Ragg J, Rieder D, Trajanoski Z, Krogsdam A, Demetz E, Yurchenko M, et al: SARS-CoV-2 activates the TLR4/MyD88 pathway in human macrophages: A possible correlation with strong pro-inflammatory responses in severe COVID-19. Heliyon. 9(e21893)2023.PubMed/NCBI View Article : Google Scholar

66 

Nakazawa D, Takeda Y, Kanda M, Tomaru U, Ogawa H, Kudo T, Shiratori-Aso S, Watanabe-Kusunoki K, Ueda Y, Miyoshi A, et al: Inhibition of Toll-like receptor 4 and Interleukin-1 receptor prevent SARS-CoV-2 mediated kidney injury. Cell Death Discov. 9(293)2023.PubMed/NCBI View Article : Google Scholar

67 

Asaba CN, Ekabe CJ, Ayuk HS, Gwanyama BN, Bitazar R and Bukong TN: Interplay of TLR4 and SARS-CoV-2: Unveiling the complex mechanisms of inflammation and severity in COVID-19 infections. J Inflamm Res. 17:5077–5091. 2024.PubMed/NCBI View Article : Google Scholar

68 

Gasparello J, Papi C, Marzaro G, Macone A, Zurlo M, Finotti A, Agostinelli E and Gambari R: Aged garlic extract (AGE) and its constituents S-allyl-cysteine (SAC) inhibit the expression of pro-inflammatory genes induced in bronchial epithelial IB3-1 cells by exposure to the SARS-CoV-2 spike protein and the BNT162b2 vaccine. Molecules. 29(5938)2024.PubMed/NCBI View Article : Google Scholar

69 

Gasparello J, Marzaro G, Papi C, Gentili V, Rizzo R, Zurlo M, Scapoli C, Finotti A and Gambari R: Effects of Sulforaphane on SARS-CoV-2 infection and NF-κB dependent expression of genes involved in the COVID-19 ‘cytokine storm’. Int J Mol Med. 52(76)2023.PubMed/NCBI View Article : Google Scholar

70 

Fertig TE, Chitoiu L, Marta DS, Ionescu VS, Cismasiu VB, Radu E, Angheluta G, Dobre M, Serbanescu A, Hinescu ME and Gherghiceanu M: Vaccine mRNA can be detected in blood at 15 days post-vaccination. Biomedicines. 10(1538)2022.PubMed/NCBI View Article : Google Scholar

71 

Zhou Q, Zhang L, Dong Y, Wang Y, Zhang B, Zhou S, Huang Q, Wu T and Chen G: The role of SARS-CoV-2-mediated NF-κB activation in COVID-19 patients. Hypertens Res. 47:375–384. 2024.PubMed/NCBI View Article : Google Scholar

72 

Forsyth CB, Zhang L, Bhushan A, Swanson B, Zhang L, Mamede JI, Voigt RM, Shaikh M, Engen PA and Keshavarzian A: The SARS-CoV-2 S1 spike protein promotes MAPK and NF-κB activation in human lung cells and inflammatory cytokine production in human lung and intestinal epithelial cells. Microorganisms. 10(1996)2022.PubMed/NCBI View Article : Google Scholar

73 

Zhang G and Ghosh S: Toll-like receptor-mediated NF-kappaB activation: A phylogenetically conserved paradigm in innate immunity. J Clin Invest. 107:13–19. 2001.PubMed/NCBI View Article : Google Scholar

74 

Gargiulo S, Gamba P, Testa G, Rossin D, Biasi F, Poli G and Leonarduzzi G: Relation between TLR4/NF-κB signaling pathway activation by 27-hydroxycholesterol and 4-hydroxynonenal, and atherosclerotic plaque instability. Aging Cell. 14:569–581. 2015.PubMed/NCBI View Article : Google Scholar

75 

Muir A, Soong G, Sokol S, Reddy B, Gomez MI, Van Heeckeren A and Prince A: Toll-like receptors in normal and cystic fibrosis airway epithelial cells. Am J Respir Cell Mol Biol. 30:777–783. 2004.PubMed/NCBI View Article : Google Scholar

76 

Greene CM, Carroll TP, Smith SGJ, Taggart CC, Devaney J, Griffin S, O'neill SJ and McElvaney NG: TLR-induced inflammation in cystic fibrosis and non-cystic fibrosis airway epithelial cells. J Immunol. 174:1638–1646. 2005.PubMed/NCBI View Article : Google Scholar

77 

Xu Y, Jin H, Yang X, Wang L, Su L, Liu K, Gu Q and Xu X: MicroRNA-93 inhibits inflammatory cytokine production in LPS-stimulated murine macrophages by targeting IRAK4. FEBS Lett. 588:1692–1698. 2014.PubMed/NCBI View Article : Google Scholar

78 

Tian F, Yuan C, Hu L and Shan S: MicroRNA-93 inhibits inflammatory responses and cell apoptosis after cerebral ischemia reperfusion by targeting interleukin-1 receptor-associated kinase 4. Exp Ther Med. 14:2903–2910. 2017.PubMed/NCBI View Article : Google Scholar

79 

Wei L and Zhao D: M2 macrophage-derived exosomal miR-145-5p protects against the hypoxia/reoxygenation-induced pyroptosis of cardiomyocytes by inhibiting TLR4 expression. Ann Transl Med. 10(1376)2022.PubMed/NCBI View Article : Google Scholar

80 

Jin C, Wang A, Liu L, Wang G, Li G and Han Z: miR-145-5p inhibits tumor occurrence and metastasis through the NF-κB signaling pathway by targeting TLR4 in malignant melanoma. J Cell Biochem. 120:11115–11126. 2019.PubMed/NCBI View Article : Google Scholar

81 

Ma X, Becker Buscaglia LE, Barker JR and Li Y: MicroRNAs in NF-kappaB signaling. J Mol Cell Biol. 3:159–166. 2011.PubMed/NCBI View Article : Google Scholar

82 

Ghafouri-Fard S, Abak A, Fattahi F, Hussen BM, Bahroudi Z, Shoorei H and Taheri M: . The interaction between miRNAs/lncRNAs and nuclear factor-κB (NF-κB) in human disorders. Biomed Pharmacother. 138(111519)2021.PubMed/NCBI View Article : Google Scholar

Related Articles

  • Abstract
  • View
  • Download
  • Twitter
Copy and paste a formatted citation
Spandidos Publications style
Gambari R, Papi C, Gasparello J, Agostinelli E and Finotti A: Preliminary results and a theoretical perspective of co‑treatment using a miR‑93‑5p mimic and aged garlic extract to inhibit the expression of the pro‑inflammatory interleukin‑8 gene. Exp Ther Med 29: 85, 2025.
APA
Gambari, R., Papi, C., Gasparello, J., Agostinelli, E., & Finotti, A. (2025). Preliminary results and a theoretical perspective of co‑treatment using a miR‑93‑5p mimic and aged garlic extract to inhibit the expression of the pro‑inflammatory interleukin‑8 gene. Experimental and Therapeutic Medicine, 29, 85. https://doi.org/10.3892/etm.2025.12835
MLA
Gambari, R., Papi, C., Gasparello, J., Agostinelli, E., Finotti, A."Preliminary results and a theoretical perspective of co‑treatment using a miR‑93‑5p mimic and aged garlic extract to inhibit the expression of the pro‑inflammatory interleukin‑8 gene". Experimental and Therapeutic Medicine 29.4 (2025): 85.
Chicago
Gambari, R., Papi, C., Gasparello, J., Agostinelli, E., Finotti, A."Preliminary results and a theoretical perspective of co‑treatment using a miR‑93‑5p mimic and aged garlic extract to inhibit the expression of the pro‑inflammatory interleukin‑8 gene". Experimental and Therapeutic Medicine 29, no. 4 (2025): 85. https://doi.org/10.3892/etm.2025.12835
Copy and paste a formatted citation
x
Spandidos Publications style
Gambari R, Papi C, Gasparello J, Agostinelli E and Finotti A: Preliminary results and a theoretical perspective of co‑treatment using a miR‑93‑5p mimic and aged garlic extract to inhibit the expression of the pro‑inflammatory interleukin‑8 gene. Exp Ther Med 29: 85, 2025.
APA
Gambari, R., Papi, C., Gasparello, J., Agostinelli, E., & Finotti, A. (2025). Preliminary results and a theoretical perspective of co‑treatment using a miR‑93‑5p mimic and aged garlic extract to inhibit the expression of the pro‑inflammatory interleukin‑8 gene. Experimental and Therapeutic Medicine, 29, 85. https://doi.org/10.3892/etm.2025.12835
MLA
Gambari, R., Papi, C., Gasparello, J., Agostinelli, E., Finotti, A."Preliminary results and a theoretical perspective of co‑treatment using a miR‑93‑5p mimic and aged garlic extract to inhibit the expression of the pro‑inflammatory interleukin‑8 gene". Experimental and Therapeutic Medicine 29.4 (2025): 85.
Chicago
Gambari, R., Papi, C., Gasparello, J., Agostinelli, E., Finotti, A."Preliminary results and a theoretical perspective of co‑treatment using a miR‑93‑5p mimic and aged garlic extract to inhibit the expression of the pro‑inflammatory interleukin‑8 gene". Experimental and Therapeutic Medicine 29, no. 4 (2025): 85. https://doi.org/10.3892/etm.2025.12835
Follow us
  • Twitter
  • LinkedIn
  • Facebook
About
  • Spandidos Publications
  • Careers
  • Cookie Policy
  • Privacy Policy
How can we help?
  • Help
  • Live Chat
  • Contact
  • Email to our Support Team