Spandidos Publications Logo
  • About
    • About Spandidos
    • Aims and Scopes
    • Abstracting and Indexing
    • Editorial Policies
    • Reprints and Permissions
    • Job Opportunities
    • Terms and Conditions
    • Contact
  • Journals
    • All Journals
    • Oncology Letters
      • Oncology Letters
      • Information for Authors
      • Editorial Policies
      • Editorial Board
      • Aims and Scope
      • Abstracting and Indexing
      • Bibliographic Information
      • Archive
    • International Journal of Oncology
      • International Journal of Oncology
      • Information for Authors
      • Editorial Policies
      • Editorial Board
      • Aims and Scope
      • Abstracting and Indexing
      • Bibliographic Information
      • Archive
    • Molecular and Clinical Oncology
      • Molecular and Clinical Oncology
      • Information for Authors
      • Editorial Policies
      • Editorial Board
      • Aims and Scope
      • Abstracting and Indexing
      • Bibliographic Information
      • Archive
    • Experimental and Therapeutic Medicine
      • Experimental and Therapeutic Medicine
      • Information for Authors
      • Editorial Policies
      • Editorial Board
      • Aims and Scope
      • Abstracting and Indexing
      • Bibliographic Information
      • Archive
    • International Journal of Molecular Medicine
      • International Journal of Molecular Medicine
      • Information for Authors
      • Editorial Policies
      • Editorial Board
      • Aims and Scope
      • Abstracting and Indexing
      • Bibliographic Information
      • Archive
    • Biomedical Reports
      • Biomedical Reports
      • Information for Authors
      • Editorial Policies
      • Editorial Board
      • Aims and Scope
      • Abstracting and Indexing
      • Bibliographic Information
      • Archive
    • Oncology Reports
      • Oncology Reports
      • Information for Authors
      • Editorial Policies
      • Editorial Board
      • Aims and Scope
      • Abstracting and Indexing
      • Bibliographic Information
      • Archive
    • Molecular Medicine Reports
      • Molecular Medicine Reports
      • Information for Authors
      • Editorial Policies
      • Editorial Board
      • Aims and Scope
      • Abstracting and Indexing
      • Bibliographic Information
      • Archive
    • World Academy of Sciences Journal
      • World Academy of Sciences Journal
      • Information for Authors
      • Editorial Policies
      • Editorial Board
      • Aims and Scope
      • Abstracting and Indexing
      • Bibliographic Information
      • Archive
    • International Journal of Functional Nutrition
      • International Journal of Functional Nutrition
      • Information for Authors
      • Editorial Policies
      • Editorial Board
      • Aims and Scope
      • Abstracting and Indexing
      • Bibliographic Information
      • Archive
    • International Journal of Epigenetics
      • International Journal of Epigenetics
      • Information for Authors
      • Editorial Policies
      • Editorial Board
      • Aims and Scope
      • Abstracting and Indexing
      • Bibliographic Information
      • Archive
    • Medicine International
      • Medicine International
      • Information for Authors
      • Editorial Policies
      • Editorial Board
      • Aims and Scope
      • Abstracting and Indexing
      • Bibliographic Information
      • Archive
  • Articles
  • Information
    • Information for Authors
    • Information for Reviewers
    • Information for Librarians
    • Information for Advertisers
    • Conferences
  • Language Editing
Spandidos Publications Logo
  • About
    • About Spandidos
    • Aims and Scopes
    • Abstracting and Indexing
    • Editorial Policies
    • Reprints and Permissions
    • Job Opportunities
    • Terms and Conditions
    • Contact
  • Journals
    • All Journals
    • Biomedical Reports
      • Information for Authors
      • Editorial Policies
      • Editorial Board
      • Aims and Scope
      • Abstracting and Indexing
      • Bibliographic Information
      • Archive
    • Experimental and Therapeutic Medicine
      • Information for Authors
      • Editorial Policies
      • Editorial Board
      • Aims and Scope
      • Abstracting and Indexing
      • Bibliographic Information
      • Archive
    • International Journal of Epigenetics
      • Information for Authors
      • Editorial Policies
      • Editorial Board
      • Aims and Scope
      • Abstracting and Indexing
      • Bibliographic Information
      • Archive
    • International Journal of Functional Nutrition
      • Information for Authors
      • Editorial Policies
      • Editorial Board
      • Aims and Scope
      • Abstracting and Indexing
      • Bibliographic Information
      • Archive
    • International Journal of Molecular Medicine
      • Information for Authors
      • Editorial Policies
      • Editorial Board
      • Aims and Scope
      • Abstracting and Indexing
      • Bibliographic Information
      • Archive
    • International Journal of Oncology
      • Information for Authors
      • Editorial Policies
      • Editorial Board
      • Aims and Scope
      • Abstracting and Indexing
      • Bibliographic Information
      • Archive
    • Medicine International
      • Information for Authors
      • Editorial Policies
      • Editorial Board
      • Aims and Scope
      • Abstracting and Indexing
      • Bibliographic Information
      • Archive
    • Molecular and Clinical Oncology
      • Information for Authors
      • Editorial Policies
      • Editorial Board
      • Aims and Scope
      • Abstracting and Indexing
      • Bibliographic Information
      • Archive
    • Molecular Medicine Reports
      • Information for Authors
      • Editorial Policies
      • Editorial Board
      • Aims and Scope
      • Abstracting and Indexing
      • Bibliographic Information
      • Archive
    • Oncology Letters
      • Information for Authors
      • Editorial Policies
      • Editorial Board
      • Aims and Scope
      • Abstracting and Indexing
      • Bibliographic Information
      • Archive
    • Oncology Reports
      • Information for Authors
      • Editorial Policies
      • Editorial Board
      • Aims and Scope
      • Abstracting and Indexing
      • Bibliographic Information
      • Archive
    • World Academy of Sciences Journal
      • Information for Authors
      • Editorial Policies
      • Editorial Board
      • Aims and Scope
      • Abstracting and Indexing
      • Bibliographic Information
      • Archive
  • Articles
  • Information
    • For Authors
    • For Reviewers
    • For Librarians
    • For Advertisers
    • Conferences
  • Language Editing
Login Register Submit
  • This site uses cookies
  • You can change your cookie settings at any time by following the instructions in our Cookie Policy. To find out more, you may read our Privacy Policy.

    I agree
Search articles by DOI, keyword, author or affiliation
Search
Advanced Search
presentation
Experimental and Therapeutic Medicine
Join Editorial Board Propose a Special Issue
Print ISSN: 1792-0981 Online ISSN: 1792-1015
Journal Cover
April-2026 Volume 31 Issue 4

Full Size Image

Sign up for eToc alerts
Recommend to Library

Journals

International Journal of Molecular Medicine

International Journal of Molecular Medicine

International Journal of Molecular Medicine is an international journal devoted to molecular mechanisms of human disease.

International Journal of Oncology

International Journal of Oncology

International Journal of Oncology is an international journal devoted to oncology research and cancer treatment.

Molecular Medicine Reports

Molecular Medicine Reports

Covers molecular medicine topics such as pharmacology, pathology, genetics, neuroscience, infectious diseases, molecular cardiology, and molecular surgery.

Oncology Reports

Oncology Reports

Oncology Reports is an international journal devoted to fundamental and applied research in Oncology.

Experimental and Therapeutic Medicine

Experimental and Therapeutic Medicine

Experimental and Therapeutic Medicine is an international journal devoted to laboratory and clinical medicine.

Oncology Letters

Oncology Letters

Oncology Letters is an international journal devoted to Experimental and Clinical Oncology.

Biomedical Reports

Biomedical Reports

Explores a wide range of biological and medical fields, including pharmacology, genetics, microbiology, neuroscience, and molecular cardiology.

Molecular and Clinical Oncology

Molecular and Clinical Oncology

International journal addressing all aspects of oncology research, from tumorigenesis and oncogenes to chemotherapy and metastasis.

World Academy of Sciences Journal

World Academy of Sciences Journal

Multidisciplinary open-access journal spanning biochemistry, genetics, neuroscience, environmental health, and synthetic biology.

International Journal of Functional Nutrition

International Journal of Functional Nutrition

Open-access journal combining biochemistry, pharmacology, immunology, and genetics to advance health through functional nutrition.

International Journal of Epigenetics

International Journal of Epigenetics

Publishes open-access research on using epigenetics to advance understanding and treatment of human disease.

Medicine International

Medicine International

An International Open Access Journal Devoted to General Medicine.

Journal Cover
April-2026 Volume 31 Issue 4

Full Size Image

Sign up for eToc alerts
Recommend to Library

  • Article
  • Citations
    • Cite This Article
    • Download Citation
    • Create Citation Alert
    • Remove Citation Alert
    • Cited By
  • Similar Articles
    • Related Articles (in Spandidos Publications)
    • Similar Articles (Google Scholar)
    • Similar Articles (PubMed)
  • Download PDF
  • Download XML
  • View XML

  • Supplementary Files
    • Supplementary_Data.pdf
Article Open Access

Analysis of independent prognostic factors for the occurrence and severity of heart failure after chemotherapy in patients with small cell lung cancer 

  • Authors:
    • Jieqiong Zhao
    • Xiao Wang
    • Xiaoxue Liu
    • Wei Zhao
    • Xia Lu
    • Ruijie Li
    • Xiang Sun
  • View Affiliations / Copyright

    Affiliations: Department of Ultrasound, Functional Department, Hebei Provincial Hospital of Traditional Chinese Medicine, Shijiazhuang, Hebei 050000, P.R. China, Second Department of Oncology, Hebei Provincial Hospital of Traditional Chinese Medicine, Shijiazhuang, Hebei 050000, P.R. China, Department of Rehabilitation, Hebei Provincial Hospital of Traditional Chinese Medicine, Shijiazhuang, Hebei 050000, P.R. China, Pharmacy of Traditional Medicine, Hebei Provincial Hospital of Traditional Chinese Medicine, Shijiazhuang, Hebei 050000, P.R. China, Third Department of Neurology, Xinle Hospital of Traditional Chinese Medicine, Shijiazhuang, Hebei 050799, P.R. China, Second Department of Encephalopathy, Hebei Provincial Hospital of Traditional Chinese Medicine, Shijiazhuang, Hebei 050000, P.R. China
    Copyright: © Zhao et al. This is an open access article distributed under the terms of Creative Commons Attribution License.
  • Article Number: 101
    |
    Published online on: February 9, 2026
       https://doi.org/10.3892/etm.2026.13097
  • Expand metrics +
Metrics: Total Views: 0 (Spandidos Publications: | PMC Statistics: )
Metrics: Total PDF Downloads: 0 (Spandidos Publications: | PMC Statistics: )
Cited By (CrossRef): 0 citations Loading Articles...

This article is mentioned in:


Abstract

Patients with small cell lung cancer (SCLC) may develop heart failure after chemotherapy; therefore, it is crucial to explore the factors that affect the occurrence of heart failure. The present study retrospectively collected data from 550 patients with SCLC who received chemotherapy. Analysis of differences between groups (patients with and without heart failure, as well as patients with different severities of heart failure) was performed on demographic characteristics and cardiac biomarkers, followed by multivariate and multinomial logistic regression analyses on factors that were found to be significantly different in the intergroup analysis, to screen for factors that significantly influence heart failure. Finally, receiver operating characteristic (ROC) curve analysis was performed to assess the predictive ability of combined indicators for the occurrence and severity of heart failure. Multivariate logistic regression analysis initially identified the cumulative dose of chemotherapy drugs, cardiac troponin I (cTnI), N‑terminal pro‑B‑type natriuretic peptide, left ventricular ejection fraction (LVEF) and creatine kinase‑myocardial band as independent prognostic factors of heart failure. Multinomial logistic regression analysis showed that both cTnI and LVEF had significant effects in predicting the severity of heart failure. ROC curve analysis demonstrated that a cTnI level ≥0.044 ng/ml and LVEF ≤39.083% could predict the occurrence of heart failure, whereas a cTnI level ≥0.059 ng/ml and LVEF ≤37.216% were associated with moderate‑to‑severe heart failure. The standardized combination indicators (cTnI and LVEF) also showed strong predictive ability (AUC >0.75). In conclusion, the present study demonstrated that cTnI, LVEF and their combination may serve as independent prognostic factors for predicting the occurrence and severity of heart failure in patients with SCLC after chemotherapy. These findings suggest that cTnI and LVEF should be routinely monitored during the early stages of chemotherapy for identifying patients at high risk for heart failure and early intervention, ultimately improving patient prognosis.

Introduction

Small cell lung cancer (SCLC) is an aggressive subtype of lung cancer, accounting for 10-15% of all lung cancer cases (1). Compared with non-SCLC, SCLC exhibits a more malignant biological behavior, characterized by rapid proliferation and a high propensity for widespread distant metastasis (2), and as a result, patients are often diagnosed at an advanced stage. Although targeted therapies and immunotherapies, such as poly (ADP-ribose) polymerase (PARP) inhibitors and programmed cell death protein-1/programmed death-ligand 1 (PD-1/PD-L1) inhibitors have shown promising efficacy in certain patients with lung cancer in previous years, chemotherapy remains the mainstay of treatment for SCLC, especially in advanced-stage SCLC (3). However, the side effects of chemotherapy are notable, with cardiotoxicity being a crucial factor affecting long-term survival (4,5).

Chemotherapeutic agents, particularly anthracyclines (such as doxorubicin) and platinum-based drugs (such as cisplatin), can induce marked cardiotoxicity while treating tumors (6). This toxicity primarily manifests as myocardial injury and left ventricular dysfunction, ultimately leading to heart failure. Heart failure not only markedly impacts the quality of life of patients but also increases the rates of rehospitalization and mortality (7,8). One study showed that SCLC patients with heart failure have an ~75% higher risk of death compared with those without heart failure (8). Therefore, early identification of high-risk patients and predicting the occurrence and severity of heart failure is of clinical importance (9).

Cardiac troponin I (cTnI) and cardiac troponin T (cTnT) are currently the most commonly used cardiac biomarkers, released into the bloodstream during myocardial cell injury (10,11), with elevated levels of cTnI and cTnT being widely used for the early diagnosis of myocardial infarction and monitoring of cardiotoxicity. B-type natriuretic peptide (BNP) and N-terminal pro-BNP (NT-proBNP) are another class of biomarkers commonly used in the diagnosis of heart failure, with elevated levels typically associated with increased ventricular pressure load and wall stress (12). Additionally, left ventricular ejection fraction (LVEF) is a crucial indicator of left ventricular function that is commonly used to assess the severity of heart failure, and a decrease in LVEF is a marker of impaired cardiac systolic function and often indicates a poor prognosis (13).

However, the predictive ability of a single biomarker may be insufficient to address the complex cardiotoxicity that may arise after chemotherapy. Therefore, a comprehensive assessment combining multiple cardiac biomarkers and functional indicators may improve the accuracy of early detection and prediction of the severity of heart failure (14,15). Moreover, different tumor biological characteristics, treatment regimens and individual patient differences may also influence the risk of heart failure. Thus, a systematic analysis of these potential influencing factors is necessary to identify independent prognostic factors and develop an effective comprehensive predictive model.

The present study aimed to evaluate various clinical and laboratory indicators in patients with SCLC during the early phase of chemotherapy, in order to predict the occurrence and severity of heart failure. The goal was to provide a reliable risk assessment tool for clinical practice, guide intervention strategies and ultimately improve the long-term prognosis of patients with SCLC.

Materials and methods

Study subjects and data collection

The present study retrospectively included patients diagnosed with SCLC receiving chemotherapy at Hebei Provincial Hospital of Traditional Chinese Medicine (Shijiazhuang, China) from January 2016 to January 2018. The inclusion criteria were as follows: i) Patients diagnosed with SCLC through pathology; ii) patients receiving standard chemotherapy of etoposide combined with carboplatin, with the standard chemotherapy regimen dose and treatment cycle recommended by the current National Comprehensive Cancer Network guidelines for SCLC (16); and iii) patients with complete follow-up data, including the occurrence and severity of heart failure during the chemotherapy course and follow-up period. Exclusion criteria included: i) Patients with a history of heart failure or other serious cardiovascular diseases (such as congenital heart disease and pulmonary hypertension); ii) patients who were lost to follow-up during the follow-up process; and iii) patients with severe mental illness or poor compliance (poor treatment adherence), including those with schizophrenia, major depression or bipolar disorder. It is noteworthy that the use of specific medications was not employed as an exclusion criterion in the present study. The patient screening process is shown in Fig. S1. All data in the present study were collected at the end of the first cycle of chemotherapy and follow-up period.

Data collection included the following aspects: i) Baseline demographic information: Age, sex, body mass index (BMI), smoking history and alcohol consumption history; ii) tumor characteristics: Clinical staging of the tumor, primary tumor staging (according to the TNM classification) (17) and gene mutation status; iii) chemotherapy-related information, such as the cumulative dose of chemotherapy drugs received by the patients; iv) cardiac function and biomarkers: LVEF measured by echocardiography (Philips iE33; Philips Medical Systems B.V.), diastolic function assessed for normalcy using echocardiography (Philips iE33), cTnI and cTnT measured by immunoassay (ARCHITECT i2000SR; Abbott), BNP and NT-proBNP measured by immunoassay (Roche Cobas e411; Roche Diagnostics GmbH) and creatine kinase-myocardial band (CK-MB) measured by enzymatic assay (AU5800; Beckman Coulter, Inc.). The specific procedures for BNP and NT-proBNP were as follows: First, peripheral venous blood was collected using ethylenediaminetetraacetic acid (EDTA)-anticoagulated tubes, and after centrifugation (2,000 x g, 10 min, 4˚C), plasma was separated, labeled, registered and loaded onto the analyzer (Roche Cobas e411; Roche Diagnostics GmbH). The samples were then loaded onto an automated immunoassay analyzer (Roche Cobas e411; Roche Diagnostics GmbH) for analysis, and the instrument automatically completed the immunoreaction, signal detection and quantitative determination. The collection method for CK-MB involved peripheral venous blood sampling followed by centrifugation (2,000 x g, 10 min, room temperature) to obtain serum; the samples were subsequently labeled, registered, and loaded onto the analyzer, and CK-MB was measured on an automated biochemical analyzer (AU5800; Beckman Coulter, Inc.), with the instrument automatically completing the detection and calculating CK-MB levels. Heart failure was monitored in all patients, who were followed up for 5 years. Throughout the follow-up period, heart failure occurrence was recorded and graded according to the Common Terminology Criteria for Adverse Events (CTCAE) classification (18) into three levels: Mild heart failure (asymptomatic or mild), moderate-to-severe heart failure and life-threatening heart failure or death. Mild heart failure (asymptomatic or mild) includes CTCAE grade 1 (asymptomatic, with only detected cardiac dysfunction) and grade 2 (symptomatic but with minimal impact on daily activities, possibly requiring medication). Moderate-to-severe heart failure includes CTCAE grade 3 (notable symptoms, impacting daily activities, requiring hospitalization). Life-threatening heart failure or death includes CTCAE grade 4 (life-threatening heart failure, usually requiring emergency treatment or life support) and grade 5 (death related to heart failure).

Treatment regimen

All patients received antiemetic therapy, gastric protection and nutritional support during chemotherapy. The standard triple antiemetic regimen was used to adequately prevent both acute and delayed nausea and vomiting. Approximately 30 min before the start of chemotherapy, ondansetron (8-16 mg, IV) was administered once, together with dexamethasone 12 mg orally; aprepitant 125 mg orally was given 1 h before chemotherapy. To cover the risk of delayed nausea and vomiting, aprepitant 80 mg and dexamethasone 8 mg were continued orally each morning on days 2-4 after chemotherapy. The same regimen was applied in each chemotherapy cycle. Oral high-protein supplements providing ~15-25 g of protein per day were administered throughout the entire chemotherapy cycle. On the first day of each treatment cycle, carboplatin (Furen Pharmaceutical Group Co., Ltd.) was administered at 200-400 mg/m2 via intravenous infusion once; simultaneously, etoposide injection (Jiangsu Hengrui Pharmaceuticals Co., Ltd.) at 120 mg/m2 was administered via intravenous infusion on days 1-3, once daily. Each cycle lasted 21 days, the remaining days of the cycle served as a rest period, with a total of 4-6 cycles followed.

Statistical analysis

All statistical analyses in this study were performed using R software version 4.4.0(19). Continuous variables are presented as median (minimum-maximum), and categorical variables are presented as frequency (percentage). Fisher's exact test or χ² test was used to analyze the association between categorical variables (such as smoking history, alcohol consumption history and tumor staging) and the occurrence and severity of heart failure. For continuous variables (such as LVEF, cTnI and NT-proBNP), Unpaired Student's t-test or Mann-Whitney U test was used to compare differences between the heart failure group and the non-heart failure group. One-way ANOVA or Kruskal-Wallis test was used to analyze the expression differences of continuous variables among the three heart failure groups (mild, moderate-to-severe and life-threatening or death). No post-hoc tests were performed, and the reported P-values represent the overall comparison among the three groups. P<0.05 was considered to indicate a statistically significant difference.

Multivariate logistic regression analysis. Variables with P<0.05 from the aforementioned statistical analysis were included in a multivariate logistic regression model to identify independent prognostic factors associated with heart failure. Logistic regression analysis was used to calculate the odds ratio (OR) and 95% confidence interval for each variable.

Multinomial logistic regression analysis. A multinomial logistic regression analysis was used to assess the factors influencing the severity of heart failure. ‘No symptoms or mild heart failure’ and ‘moderate-to-severe heart failure’ were set as the reference categories. The regression coefficients, OR and P-values for each independent variable were calculated.

Combined indicator construction and receiver operating characteristic (ROC) curve analysis. Because these two variables differ in their units and numerical ranges, Z-score standardization was applied to transform them into distributions with a mean of 0 and a standard deviation of 1, allowing for direct comparison within the same model. After standardizing cTnI and LVEF, a combined predictive index was constructed using the formula Combined indicator=-LVEF_std + cTnI_std (where ‘std’ indicates the Z-score standardized value of the variable). The performance of cTnI and LVEF individually and their combination in predicting the occurrence and severity of heart failure was analyzed using ROC curves (AUC value, 95% confidence interval, threshold, youden index, sensitivity and specificity). In the analysis of heart failure severity, ‘no symptoms or mild heart failure’ was compared with other heart failure categories and ‘life-threatening heart failure or death’ was compared with the other two categories.

Results

Baseline characteristics

A total of 550 eligible patients with SCLC were included in the present study, with a mean age of 47 years (ranging from 19-75±14.2 years), and 51.09% of the patients were male (n=281). The average BMI of the patients was 21.4 kg/m2, with 36.73% having a history of smoking and 43.09% having a history of alcohol consumption. Regarding tumor staging, 49.64% of the patients were in stage I, 25.27% were in stage II, 16.91% in stage III and 8.18% in stage IV. Analysis of the genetic mutation status showed that 18.36% of the patients had TP53 mutations and 29.64% had RB1 mutations. All patients received standard chemotherapy regimens, with a mean cumulative chemotherapy dose of 354 (range, 114-595) mg/m2. Tumor staging (P<0.001) and primary tumor staging (P<0.001) were significantly associated with the occurrence of heart failure (Table I). During the follow-up period, a total of 93 patients (16.91%) developed heart failure; according to the CTCAE classification, 68 patients (73.12%) experienced asymptomatic or mild heart failure, 19 patients (20.43%) developed moderate-to-severe heart failure and 6 patients (6.45%) experienced life-threatening heart failure or death. The mean age of patients who developed heart failure was 48±11.8 years, with 54.84% being male, 27.96% having a history of smoking and 48.39% having a history of alcohol consumption. The differences in tumor staging (P<0.001) and primary tumor staging (P=0.008) among the groups were statistically significant, suggesting that these factors may be related to the severity of heart failure. Other variables such as age, sex, BMI, smoking, alcohol consumption and genetic mutation status did not show statistically significant differences among the groups (Table II).

Table I

Baseline data analysis of patients with and without heart failure after chemotherapy.

Table I

Baseline data analysis of patients with and without heart failure after chemotherapy.

  Heart failure 
CharacteristicAll patients (n=550)Yes (n=93)No (n=457)P-value
Age, years47 (19-75)48 (27-74)47 (19-75)0.138
Sex, n (%)   0.495
     Male281 (51.09)51 (54.84)230 (50.33) 
     Female269 (48.91)42 (45.16)227 (49.67) 
BMI, kg/m221.4 (18.3-24.9)22 (18.4-24.9)21.4 (18.3-24.9)0.195
Smoking, n (%)   0.059
     Yes202 (36.73)26 (27.96)176 (38.51) 
     No348 (63.27)67 (72.04)281 (61.49) 
Alcohol consumption, n (%)   0.301
     Yes237 (43.09)45 (48.39)192 (42.01) 
     No313 (56.91)48 (51.61)265 (57.99) 
Tumor stage, n (%)   <0.001
     I273 (49.64)39 (41.94)234 (51.2) 
     II139 (25.27)21 (22.58)118 (25.82) 
     III93 (16.91)12 (12.9)81 (17.72) 
     IV45 (8.18)21 (22.58)24 (5.25) 
Gene mutation status, n (%)   0.169
     TP53101 (18.36)11 (11.83)90 (19.69) 
     RB1163 (29.64)30 (32.26)133 (29.1) 
     WYC120 (21.82)26 (27.96)94 (20.57) 
     Others166 (30.18)26 (27.96)140 (30.63) 
Primary tumor stage, n (%)   <0.001
     T1217 (39.45)34 (36.56)183 (40.04) 
     T2150 (27.27)32 (34.41)118 (25.82) 
     T3117 (21.27)7 (7.53)110 (24.07) 
     T466(12)20 (21.51)46 (10.07) 

[i] BMI, body mass index.

Table II

Baseline data analysis of patients with cardiac toxicity after chemotherapy.

Table II

Baseline data analysis of patients with cardiac toxicity after chemotherapy.

 Degree of heart failure 
CharacteristicAll patients n=93Asymptomatic or mild symptomatic (n=68)Moderate-to-severe symptomatic (n=19)Life-threatening or death (n=6)P-value
Age, years48 (27-74)45.5 (41-64)52 (38-71)52.5 (27-74)0.708
Sex, n (%)    0.676
     Male51 (54.84)36 (48.53)12 (52.63)3(50) 
     Female42 (45.16)33 (51.47)7 (47.37)2(50) 
BMI, kg/m222 (18.4-24.9)21.7 (18.5-24.8)21.6 (19.5-24.6)24 (18.4-24.9)0.304
Smoking, n (%)    0.068
     Yes26 (27.96)15 (22.06)9 (47.37)2 (33.33) 
     No67 (72.04)53 (77.94)10 (52.63)4 (66.67) 
Alcohol consumption, n (%)    0.051
     Yes45 (48.39)35 (51.47)10 (52.63)0 (0) 
     No48 (51.61)33 (48.53)9 (47.37)6(100) 
Tumor stage, n (%)    <0.001
     I39 (41.94)37 (54.41)2 (10.53)0 (0.00) 
     II21 (22.58)17 (25.00)4 (21.05)0 (0.00) 
     III12 (12.9)4 (5.88)6 (31.58)2 (33.33) 
     IV21 (22.58)10 (14.71)7 (36.84)4 (66.67) 
Gene mutation status, n (%)    0.512
     TP5311 (11.83)7 (10.29)3 (15.79)1 (16.67) 
     RB130 (32.26)20 (29.41)8 (42.11)2 (33.33) 
     WYC26 (27.96)20 (29.41)3 (15.79)3 (50.00) 
     Others26 (27.96)21 (30.88)5 (26.32)0 (0.00) 
Primary tumor stage, n (%)    0.008
     T134 (36.56)30 (44.12)2 (10.53)2 (33.33) 
     T232 (34.41)18 (26.47)12 (63.16)2 (33.33) 
     T37 (7.53)4 (5.88)1 (5.26)2 (33.33) 
     T420 (21.51)16 (23.53)4 (21.05)0 (0) 

[i] BMI, body mass index.

Cardiac function and biomarkers

Among the 550 patients with SCLC, the cumulative chemotherapy dose was significantly higher in the heart failure group compared with the dose in the non-heart failure group (398 vs. 346 mg/m2; P=0.007), and the levels of cTnI and cTnT were also significantly elevated in the heart failure group compared with those in the non-heart failure group (0.06 vs. 0.05 ng/ml, P=0.038; 0.013 vs. 0.014 ng/ml, P=0.036, respectively). Additionally, the LVEF was significantly reduced (38.0 vs. 43.6%; P=0.004), the proportion of patients with abnormal diastolic dysfunction was higher (39.78 vs. 28.01%; P=0.026) and CK-MB levels were significantly elevated (7.63 vs. 6.96 ng/ml; P=0.017) in the heart failure group. Conversely, BNP and NT-proBNP levels were higher in the heart failure group but the differences did not reach statistical significance. These results suggested that cumulative chemotherapy dose, cTnI, cTnT, LVEF, diastolic function and CK-MB potentially play important roles in predicting the risk of heart failure after chemotherapy in patients with SCLC (Table III). Among the 93 patients with heart failure, as the severity of heart failure increased, the cumulative chemotherapy dose (P=0.040) and cTnI levels (P=0.023) significantly increased, whereas LVEF significantly decreased (P=0.027). Although cTnT levels were slightly higher in the most severe heart failure group, the difference was not statistically significant (P=0.254). Additionally, BNP and CK-MB levels were significantly elevated in patients with more severe heart failure (P=0.031 and P=0.020, respectively), and the proportion of patients with abnormal diastolic dysfunction increased with the severity of heart failure (P=0.013). However, this did not occur between the moderate/severe and life-threatening groups. These results indicated that cumulative chemotherapy dose, cTnI, BNP, LVEF, diastolic function and CK-MB may be closely related to and are potential indicators for predicting the severity of heart failure (Table IV).

Table III

Comparison of clinical indicators between patients with and without heart failure.

Table III

Comparison of clinical indicators between patients with and without heart failure.

  Heart failure 
Clinical indicatorReference rangeAll patients (n=550)Yes (n=93)No (n=457)P-value
Cumulative dose, mg/m²-354 (114-595)398 (120-588)346 (114-595)0.007
cTnI, ng/ml<0.04000.0548 (0.0303-0.0799)0.0557 (0.0306-0.0788)0.05 (0.0303-0.0799)0.038
cTnT, ng/ml<0.01400.0135 (0.00801-0.0200)0.013 (0.00801-0.0200)0.014 (0.00826-0.0198)0.036
BNP, pg/ml<100304 (81.1-546)319 (81.1-546)267 (81.8-546)0.242
NT-proBNP, pg/ml<125311 (101-499)296 (115-499)276 (101-493)0.098
LVEF, %50.0-70.041.8 (25.1-52.6)38.0 (25.1-49.5)43.6 (37.3-52.6)0.004
Diastolic function, n (%)-   0.026
     Normal 385 (70.00)56 (60.22)329 (71.99) 
     Abnormal 165 (30.00)37 (39.78)128 (28.01) 
CK-MB, ng/ml0.00-5.007.04 (4.00-9.99)7.63 (4.01-9.9)6.96 (4.00-9.99)0.017

[i] cTnI, cardiac troponin I; cTnT, cardiac troponin T; BNP, B-type natriuretic peptide; NT-proBNP, N-terminal pro-BNP; LVEF, left ventricular ejection fraction; CK-MB, creatine kinase-myocardial band.

Table IV

Comparison of clinical indicators among patients with different degrees of heart failure.

Table IV

Comparison of clinical indicators among patients with different degrees of heart failure.

  Degree of heart failure 
Clinical indicatorReference rangeAll patients (n=93)Asymptomatic or mild symptomatic (n=68)Moderate-to-severe symptomatic (n=19)Life-threatening or death (n=6)P-value
Cumulative dose, mg/m²-398 (120-588)282 (134-450)298 (200-426)362 (120-588)0.040
cTnI, ng/ml<0.04000.0557 (0.0306-0.0788)0.0469 (0.0323-0.0624)0.0502 (0.0311-0.0773)0.0608 (0.0306-0.0788)0.023
cTnT, ng/ml<0.01400.013 (0.00801-0.0199)0.013 (0.00894-0.0143)0.0132 (0.00821-0.0197)0.0144 (0.00801-0.0199)0.254
BNP, pg/ml<100319 (81.1-546)178 (117-333)262 (81.1-546)354 (129-537)0.031
NT-proBNP, pg/ml<125296 (115-498)276 (138-408)341 (115-458)347 (81.1-546)0.413
LVEF, %50.0-70.038.0 (25.1-49.5)39.9 (34.1-48.7)37.3 (30.4-49.5)34.4 (25.1-41.3)0.027
Diastolic function, n (%)-    0.013
     Normal 56 (60.22)46 (68.66)7 (35.00)3 (50.00) 
     Abnormal 37 (39.78)21 (31.34)13 (65.00)3 (50.00) 
CK-MB, ng/ml0.00-5.007.63 (4.01-9.90)4.65 (4.01-6.14)7.05 (4.10-9.47)7.16 (4.04-9.90)0.020

[i] cTnI, cardiac troponin I; cTnT, cardiac troponin T; BNP, B-type natriuretic peptide; NT-proBNP, N-terminal pro-BNP; LVEF, left ventricular ejection fraction; CK-MB, creatine kinase-myocardial band.

Multivariate logistic regression analysis

Based on the aforementioned factors that were significantly associated with heart failure, further logistic regression analysis showed that cumulative chemotherapy dose, cTnI, BNP, LVEF and CK-MB were independent prognostic factors for heart failure. Cumulative chemotherapy dose (OR=1.002; P=0.016), cTnI (OR=12.953; P=0.032), BNP (OR=1.002; P=0.020) and CK-MB (OR=1.150; P=0.041) were significantly associated with an increased risk of heart failure, whereas low levels of LVEF (OR=0.929; P=0.012) were significantly associated with a risk of heart failure (Table V).

Table V

Multivariate logistic regression analysis of factors affecting heart failure in patients with small cell lung cancer undergoing chemotherapy.

Table V

Multivariate logistic regression analysis of factors affecting heart failure in patients with small cell lung cancer undergoing chemotherapy.

IndicatorBSEP-valueORCI lowerCI upper
Cumulative dose, mg/m²0.0020.0010.0161.0021.0001.004
cTnI, ng/ml2.5610.2910.03212.9537.31422.954
BNP, pg/ml0.0020.0010.0201.0021.0001.005
LVEF, %-0.0730.0290.0120.9290.8780.984
CK-MB, ng/ml0.1400.0680.0411.1501.0061.315

[i] SE, standard error; OR, odds ratio; CI, confidence interval; cTnI, cardiac troponin I; BNP, B-type natriuretic peptide; LVEF, left ventricular ejection fraction; CK-MB, creatine kinase-myocardial band.

Multinomial logistic regression analysis

Based on the aforementioned factors influencing significantly the severity of heart failure, further multinomial logistic regression analysis was conducted. The results showed that cumulative chemotherapy dose exhibited significant differences between asymptomatic vs. moderate and life-threatening heart failure (both P<0.010) but not between moderate and life-threatening heart failure (P>0.050). cTnI exhibited significant differences across all comparisons made between different levels of heart failure severity (all P<0.001). BNP also showed significant differences between asymptomatic and life-threatening heart failure (P=0.014), while LVEF exhibited significant differences between asymptomatic and life-threatening and between moderate and life-threatening heart failure (P=0.012 and P=0.015, respectively). However, the difference in diastolic function did not show statistical significance (P>0.050). CK-MB showed a significant difference between asymptomatic and moderate heart failure (P=0.031). These results indicated that cTnI and LVEF may be key factors influencing the severity of heart failure (Table VI).

Table VI

Factors affecting the degree of heart failure in patients with small cell lung cancer undergoing chemotherapy.

Table VI

Factors affecting the degree of heart failure in patients with small cell lung cancer undergoing chemotherapy.

ComparisonP-value for cumulative doseP-value for cTnIP-value for BNPP-value for LVEFP-value for diastolic functionP-value for CK-MB
Asymptomatic or mild symptomatic vs. moderate-to-severe symptomatic heart failure0.006<0.0010.2230.0910.1310.031
Asymptomatic or mild symptomatic vs. life-threatening heart failure or death0.008<0.0010.0140.0120.1260.201
Moderate-to-severe symptomatic heart failure vs. life-threatening heart failure or death0.072<0.0010.0480.0150.4930.853

[i] cTnI, cardiac troponin I; NT-proBNP, N-terminal pro-B-type natriuretic peptide; LVEF, left ventricular ejection fraction; CK-MB, creatine kinase-myocardial band.

ROC curve analysis of independent prognostic factors and combined indicators

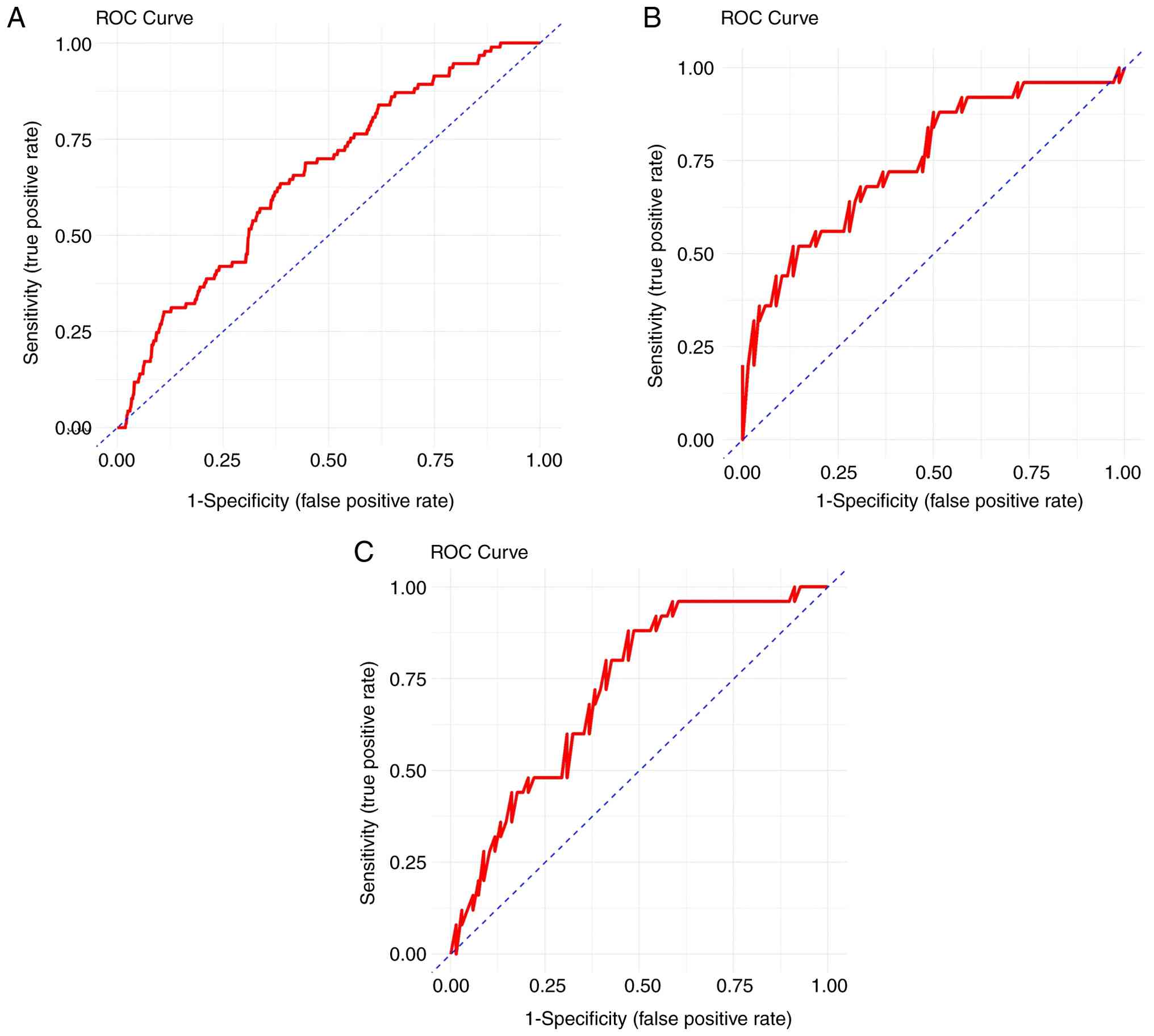
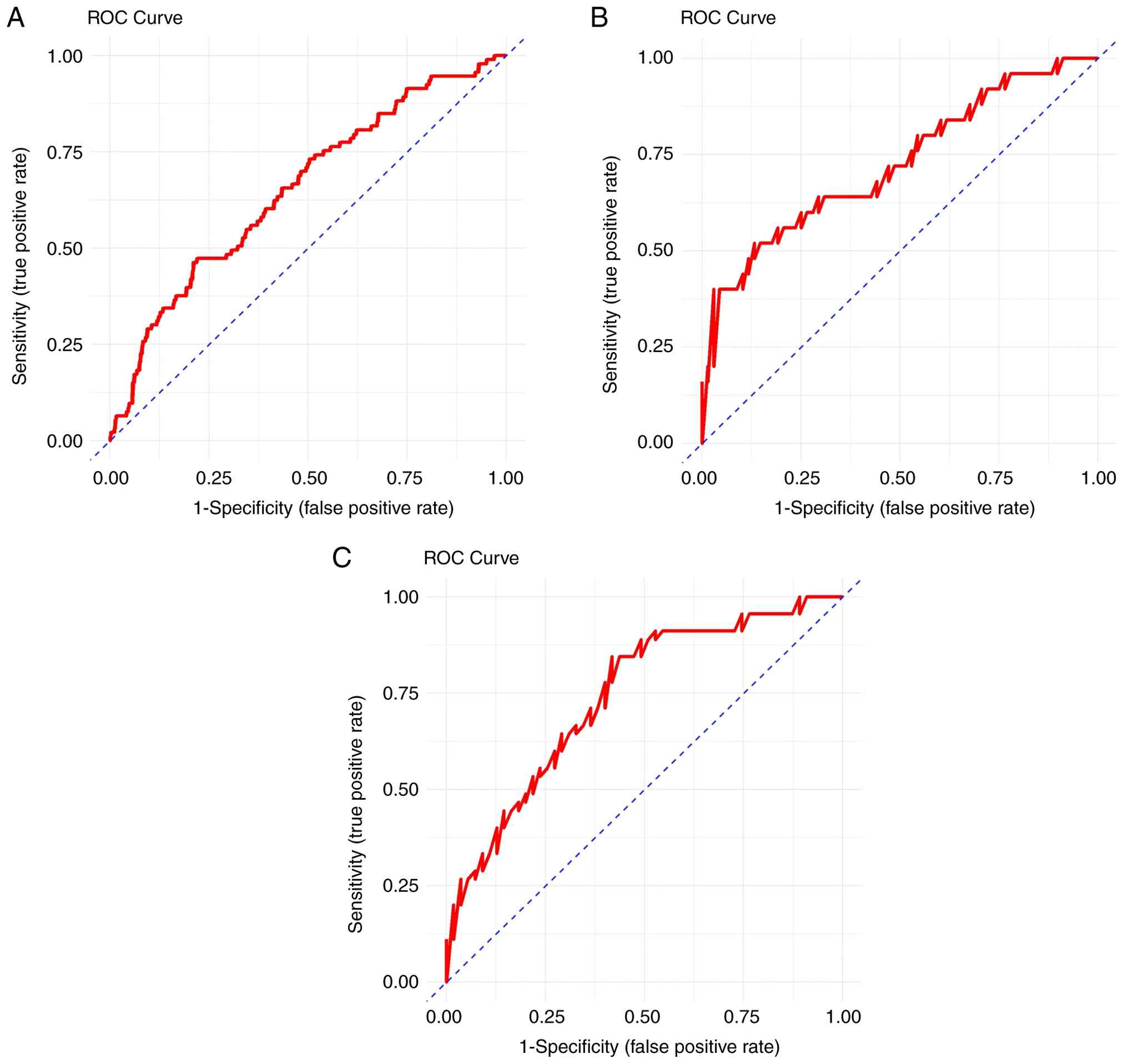
In summary, cTnI and LVEF were identified as independent prognostic factors for the occurrence and severity of heart failure. ROC curves were plotted, and the area under the curve (AUC) values for cTnI were 0.651, 0.753 and 0.711 for predicting mild, moderate and life-threatening heart failure respectively, with optimal thresholds of 0.044, 0.059 and 0.063 ng/ml, respectively. These findings indicated that when cTnI is <0.044 ng/ml, heart failure is not expected to occur; however, when cTnI is ≥0.044 ng/ml and <0.059 ng/ml, asymptomatic or mild heart failure is likely; when cTnI is ≥0.059 ng/ml and <0.063 ng/ml, moderate-to-severe heart failure is likely; and when cTnI is ≥0.063 ng/ml, life-threatening heart failure or death is expected (Fig. 1). For LVEF, the AUC values were 0.671, 0.724 and 0.749 for predicting mild, moderate and life-threatening heart failure respectively, with optimal thresholds of 39.083, 37.216 and 35.532%, respectively. These findings indicated that when LVEF is >39.083%, heart failure is not expected to occur; when LVEF is ≤39.083% and >37.216%, asymptomatic or mild heart failure is likely; when LVEF is ≤37.216% and >35.532%, moderate-to-severe heart failure is likely; and when LVEF is ≤35.532%, life-threatening heart failure or death is expected (Fig. 2).

ROC curve evaluation of the ability of
cTnI to predict heart failure. The ability of cTnI to predict the
occurrence of (A) mild heart failure, (B) moderate-to-severe heart
failure and (C) life-threatening heart failure or death. ROC,
receiver operating characteristic.

Figure 1

ROC curve evaluation of the ability of cTnI to predict heart failure. The ability of cTnI to predict the occurrence of (A) mild heart failure, (B) moderate-to-severe heart failure and (C) life-threatening heart failure or death. ROC, receiver operating characteristic.

ROC curve evaluation of the ability of
LVEF to predict heart failure. The ability of LVEF to predict the
occurrence of (A) mild heart failure, (B) moderate-to-severe heart
failure and (C) life-threatening heart failure or death. ROC,
receiver operating characteristic.

Figure 2

ROC curve evaluation of the ability of LVEF to predict heart failure. The ability of LVEF to predict the occurrence of (A) mild heart failure, (B) moderate-to-severe heart failure and (C) life-threatening heart failure or death. ROC, receiver operating characteristic.

For the combined cTnI and LVEF indicator, the AUC values were 0.763, 0.775 and 0.777 for predicting mild, moderate and life-threatening heart failure, respectively, with optimal thresholds of -0.035, 1.317 and 1.682, respectively. These findings indicated that when the combined indicator is <-0.035, heart failure is not expected to occur; when the combined indicator is ≥-0.035 and <1.317, asymptomatic or mild heart failure is likely; when the combined indicator is ≥1.317 and <1.682, moderate-to-severe heart failure is likely; and when the combined indicator is ≥1.682, life-threatening heart failure or death is expected (Fig. 3). The AUC values of the combined indicator showed higher diagnostic efficacy, especially in predicting life-threatening heart failure, with a sensitivity of 0.831 and a specificity of 0.645. These results suggested that the combination of cTnI and LVEF may have higher diagnostic value in predicting heart failure compared with individual indicators (Table VII).

ROC curve evaluation of the ability of
the combined indicator to predict heart failure. The ability of
cTnI and LVEF combined to predict the occurrence of (A) mild heart
failure, (B) moderate-to-severe heart failure and (C)
life-threatening heart failure or death. ROC, receiver operating
characteristic.

Figure 3

ROC curve evaluation of the ability of the combined indicator to predict heart failure. The ability of cTnI and LVEF combined to predict the occurrence of (A) mild heart failure, (B) moderate-to-severe heart failure and (C) life-threatening heart failure or death. ROC, receiver operating characteristic.

Table VII

Receiver operating characteristic curve parameters for independent risk factors.

Table VII

Receiver operating characteristic curve parameters for independent risk factors.

A, cTnI
PredictionAUCAUC CI lowerAUC CI upperThresholdYouden indexSensitivitySpecificity
Occurrence of mild heart failure0.6510.5910.7100.0440.2790.7850.495
Occurrence of moderate-to-severe heart failure0.7530.6470.8590.0590.4280.8400.588
Occurrence of life-threatening heart failure or death0.7110.4670.9540.0630.4080.8330.575
B, LVEF
PredictionAUCAUC CI lowerAUC CI upperThresholdYouden indexSensitivitySpecificity
Occurrence of mild heart failure0.6710.6110.73139.0830.3020.6340.667
Occurrence of moderate-to-severe heart failure0.7240.6040.84337.2160.4580.8400.618
Occurrence of life-threatening heart failure or death0.7490.6150.88335.5320.5861.0000.586
C, cTnI and LVEF
PredictionAUCAUC CI lowerAUC CI upperThresholdYouden indexSensitivitySpecificity
Occurrence of mild heart failure0.7630.6610.861-0.0350.4630.6460.817
Occurrence of moderate-to-severe heart failure0.7750.7040.8351.3170.3520.7420.610
Occurrence of life-threatening heart failure or death0.7770.6970.8351.6820.4760.8310.645

[i] AUC, area under the curve; CI, confidence interval; cTnI, cardiac troponin I; LVEF, left ventricular ejection fraction.

Discussion

The present study systematically collected demographic characteristics and cardiac function biomarkers of patients with SCLC in the early stage of chemotherapy. Through intergroup comparisons, multivariate logistic regression and multinomial logistic regression analyses, risk factors related to heart failure were identified, and the predictive performance of risk factors was evaluated through ROC curve analysis.

The key indicators identified in the present study as independent prognostic factors for heart failure include the cumulative dose of chemotherapy drugs, cTnI, NT-proBNP, LVEF and CK-MB. Previous research has found that the platinum-based chemotherapy may be associated with cardiotoxicity. Carboplatin has been shown to promote the generation of reactive oxygen species, leading to mitochondrial dysfunction in cardiomyocytes, which in turn induces cell apoptosis and impairs myocardial contractile function, thereby increasing the risk of heart failure (20). The elevation of cTnI and BNP are considered a reliable biomarker for myocardial stress and injury (21), and a decrease in LVEF typically indicates a weakened pumping function of the heart, thus increasing the likelihood of developing heart failure in the future (22,23). In addition, CK-MB serves as a specific marker of myocardial injury, and its elevation indicates damage to myocardial cells, thus increasing the risk of future heart failure (24).

ROC curve analysis showed that combining cTnI and LVEF provides a more accurate prediction of heart failure occurrence and severity in patients with SCLC following chemotherapy when compared against using only one of the two biomarkers. The present study identified several key thresholds that can help clinicians monitor and manage the cardiac health of patients more effectively in daily practice. For example, when the level of cTnI is ≥0.044 ng/ml or LVEF is ≤39.083%, this indicates that the patient may develop heart failure in the future, and this information is crucial for the timely adjustment of treatment plans. When cTnI levels rise to 0.063 ng/ml or LVEF drops ≤35.532%, this indicates a risk of life-threatening heart failure, necessitating more aggressive treatment measures to prevent further deterioration of the cardiac function, such as early initiation of angiotensin-converting enzyme inhibitors (25). Additionally, the present study established a standardized combined indicator, optimizing the combined use of cTnI and LVEF to enhance the predictive ability for heart failure occurrence. Specifically, the results demonstrated that when the value of this combined indicator is ≥-0.035, it can predict the occurrence of heart failure; when it is ≥1.682, it strongly suggests that the patient may be at risk of life-threatening heart failure. This standardized indicator may provide clinicians with a more intuitive and easy-to-apply tool that can serve as a reference in the routine monitoring of patients.

However, compared with cTnI and LVEF, the predictive value of other traditional myocardial markers (such as CK-MB) is relatively limited. This may be because CK-MB has a short half-life and is typically used to reflect acute and short-term myocardial injury (26) . Therefore, its ability to predict long-term heart failure is inferior to that of LVEF and cTnI. This may also be one of the reasons why CK-MB demonstrated lower significance compared with cTnI and LVEF in the present study.

In the baseline data analysis performed in the present study, there was no significant association between the occurrence of gene mutations and heart failure after chemotherapy. Overall, the relationship between gene mutations and chemotherapy-induced HF remains uncertain, the evidence is mixed, and further studies are needed. However, specific gene mutations, such as TP53 and RB1, have been found to be closely associated with the efficacy and prognosis of patients with SCLC after chemotherapy (27). Patients carrying these mutations may have different reactions to chemotherapy and exhibit a higher risk of disease recurrence. It has been suggested that specific gene mutations, such as those related to cardiac function, such as TTN truncating variants (28), may affect the structure and function of the heart and be associated with changes in the levels of cardiac markers, such as BNP and cTnI (29). In the future, large-scale longitudinal cohort studies should be considered to determine which specific gene mutations are associated with changes in cardiac markers and explore whether these factors can predict the occurrence of heart failure alone or in combination.

As a retrospective study, the present research provided a foundation for future validation of the prediction model in different centers and populations. Through comprehensive analysis, the importance of the combined indicator of cTnI and LVEF was confirmed in predicting chemotherapy-related heart failure in patients with SCLC. Existing models, such as the cardiotoxicity risk score (CRS) (30), primarily assess clinical risk factors such as age, history of cardiovascular disease, hypertension and chemotherapy dosage; however, these static variables mainly reflect the baseline condition of the patient and do not directly capture the extent of myocardial injury or the actual status of cardiac function, which creates certain limitations in predicting heart failure. By contrast, the present study identified cTnI and LVEF as core indicators that directly reflect the cardiac status, and their combined use may enable a more accurate prediction of the occurrence and severity of heart failure. Even when based solely on early data before chemotherapy, these indicators may potentially compensate for the limitations of the CRS model in assessing myocardial damage or changes in cardiac function; however, this is merely a hypothesis proposed in the present study and requires validation in future research, cTnI and LVEF are important indicators for assessing myocardial injury and cardiac function, and numerous studies have applied them to the evaluation of heart failure and its prognosis (31). For example, in pediatric patients with heart failure, cTnI levels at admission have marked clinical value in assessing the severity and progression of heart failure (32), and continuous measurement of cTnI is closely associated with the prognosis of acute heart failure (33). However, to the best of our knowledge, studies focusing on chemotherapy-related heart failure in patients with SCLC remain relatively limited, and research on the combined use of these two indicators for predicting heart failure is even rarer. The present study demonstrated that cTnI and LVEF can predict the occurrence and severity of heart failure in patients with SCLC undergoing chemotherapy, providing a reference for clinical monitoring and intervention.

The present study also has certain limitations. As a retrospective analysis, the current study is subject to selection bias and information bias, and some important confounding factors, such as nutritional status, hypertension and diabetes, may not have been fully controlled. The lack of dynamic monitoring of cardiac biomarkers (such as cTnI, CK-MB and NT-proBNP) during chemotherapy and the reliance solely on baseline values for analysis, may underestimate the true risk of heart failure and the predictive capability of these biomarkers. Future prospective studies should incorporate dynamic monitoring to more comprehensively evaluate the predictive value of temporal changes in cardiac biomarkers for heart failure and provide a basis for early intervention. Although the present study explored the association between chemotherapy-related factors and heart failure, other potential risk factors (such as hypertension and diabetes) were not monitored. Furthermore, due to the retrospective nature of the present study, causal relationships cannot be established. Lastly, the data may be affected by time-related changes, as certain chemotherapy regimens and cardiac function evaluation methods may have evolved. Therefore, future multicenter, large-sample, prospective studies are needed to validate these findings.

In conclusion, the present study showed that cTnI and LVEF are independent prognostic factors for predicting heart failure and its severity in patients with SCLC following chemotherapy, and the combined indicator of cTnI with LVEF demonstrated higher accuracy. The key thresholds and standardized combined indicator identified in the present study provide clinicians with effective tools for the early identification of high-risk patients. This offers important scientific evidence for improving treatment outcomes in patients with SCLC.

Supplementary Material

Flowchart of patient selection.

Acknowledgements

Not applicable.

Funding

Funding: This study is funded by Administration of Traditional Chinese Medicine of Hebei Province [The 2024 Annual Research Project Plan for Traditional Chinese Medicine (project no. 2024022)].

Availability of data and materials

The data generated in the present study may be requested from the corresponding author.

Authors' contributions

JZ and XW were responsible for the conceptualization of the present study, data curation, creation of the study design and analysis plan, software tools used for data analysis and visualization, and writing the original draft. XLi, WZ, XLu and RL were involved in the statistical analysis of the collected data, project administration and creation of figures and charts. XS was responsible for the collection of data, performing experiments or assessments related to the study, checking the accuracy and reliability of the collected data and analyses, supervision, and reviewing and editing the manuscript. All authors read and approved the final manuscript. JZ and XS confirm the authenticity of all the raw data.

Ethics approval and consent to participate

The present study was conducted in accordance with The Declaration of Helsinki and was approved by the Ethics Committee of Hebei Provincial Hospital of Traditional Chinese Medicine (approval no. 20240910; Shijiazhuang, China). The requirement for informed consent was waived due to the retrospective nature of the study, which involved anonymized clinical data and posed no more than minimal risk to the participants.

Patient consent for publication

Not applicable.

Competing interests

The authors declare that they have no competing interests.

References

1 

Saltos A, Shafique M and Chiappori A: Update on the biology, management, and treatment of small cell lung cancer (SCLC). Front Oncol. 10(1074)2020.PubMed/NCBI View Article : Google Scholar

2 

Rous FA, Singhi EK, Sridhar A, Faisal MS and Desai A: Lung cancer treatment advances in 2022. Cancer Invest. 41:12–24. 2023.PubMed/NCBI View Article : Google Scholar

3 

Yang S, Zhang Z and Wang Q: Emerging therapies for small cell lung cancer. J Hematol Oncol. 12(47)2019.PubMed/NCBI View Article : Google Scholar

4 

Curigliano G, Cardinale D, Suter T, Plataniotis G, de Azambuja E, Sandri MT, Criscitiello C, Goldhirsch A, Cipolla C and Roila F: ESMO Guidelines Working Group. Cardiovascular toxicity induced by chemotherapy, targeted agents and radiotherapy: ESMO clinical practice guidelines. Ann Oncol. 23 (Suppl 7):vii155–vii166. 2012.PubMed/NCBI View Article : Google Scholar

5 

Lyon AR, Dent S, Stanway S, Earl H, Brezden-Masley C, Cohen-Solal A, Tocchetti CG, Moslehi JJ, Groarke JD, Bergler-Klein J, et al: Baseline cardiovascular risk assessment in cancer patients scheduled to receive cardiotoxic cancer therapies: A position statement and new risk assessment tools from the Cardio-Oncology Study Group of the Heart failure association of the European Society of cardiology in collaboration with the international cardio-oncology society. Eur J Heart Fail. 22:1945–1960. 2020.PubMed/NCBI View Article : Google Scholar

6 

Zhang S, Liu X, Bawa-Khalfe T, Lu LS, Lyu YL, Liu LF and Yeh ET: Identification of the molecular basis of doxorubicin-induced cardiotoxicity. Nat Med. 18:1639–1642. 2012.PubMed/NCBI View Article : Google Scholar

7 

Herrmann J, Lerman A, Sandhu NP, Villarraga HR, Mulvagh SL and Kohli M: Evaluation and management of patients with heart disease and cancer: Cardio-oncology. Mayo Clin Proc. 89:1287–1306. 2014.PubMed/NCBI View Article : Google Scholar

8 

Liang H, Wang T, Liu D, Wang H, Ba Z, Xiao Y, Liu Y, Yuan J and Yang W: Cardiovascular comorbidities and their prognostic value in small cell lung cancer patients with chemoradiotherapy. Clin Transl Oncol. 26:1348–1356. 2024.PubMed/NCBI View Article : Google Scholar

9 

Minotti G, Menna P, Salvatorelli E, Cairo G and Gianni L: Anthracyclines: Molecular advances and pharmacologic developments in antitumor activity and cardiotoxicity. Pharmacol Rev. 56:185–229. 2004.PubMed/NCBI View Article : Google Scholar

10 

Cardinale D, Colombo A, Torrisi R, Sandri MT, Civelli M, Salvatici M, Lamantia G, Colombo N, Cortinovis S, Dessanai MA, et al: Trastuzumab-induced cardiotoxicity: Clinical and prognostic implications of troponin I evaluation. J Clin Oncol. 28:3910–3916. 2010.PubMed/NCBI View Article : Google Scholar

11 

Sawaya H, Sebag IA, Plana JC, Januzzi JL, Ky B, Cohen V, Gosavi S, Carver JR, Wiegers SE, Martin RP, et al: Early detection and prediction of cardiotoxicity in chemotherapy-treated patients. Am J Cardiol. 107:1375–1380. 2011.PubMed/NCBI View Article : Google Scholar

12 

Maisel A, Mueller C, Adams K Jr, Anker SD, Aspromonte N, Cleland JG, Cohen-Solal A, Dahlstrom U, DeMaria A, Di Somma S, et al: State of the art: Using natriuretic peptide levels in clinical practice. Eur J Heart Fail. 10:824–839. 2008.PubMed/NCBI View Article : Google Scholar

13 

Neilan TG, Coelho-Filho OR, Shah RV, Feng JH, Pena-Herrera D, Mandry D, Pierre-Mongeon F, Heydari B, Francis SA, Moslehi J, et al: Myocardial extracellular volume by cardiac magnetic resonance imaging in patients treated with anthracycline-based chemotherapy. Am J Cardiol. 111:717–722. 2013.PubMed/NCBI View Article : Google Scholar

14 

Yu AF and Ky B: Roadmap for biomarkers of cancer therapy cardiotoxicity. Heart. 102:425–430. 2016.PubMed/NCBI View Article : Google Scholar

15 

Cartas-Espinel I, Telechea-Fernández M, Delgado CM, Barrera AA, Cuevas NS and Riffo-Campos AL: Novel molecular biomarkers of cancer therapy-induced cardiotoxicity in adult population: A scoping review. ESC Heart Fail. 9:1651–1665. 2022.PubMed/NCBI View Article : Google Scholar

16 

Ganti AKP, Loo BW, Bassetti M, Blakely C, Chiang A, D'Amico TA, D'Avella C, Dowlati A, Downey RJ, Edelman M, et al: Small cell lung cancer, version 2.2022, NCCN clinical practice guidelines in oncology. J Natl Compr Canc Netw. 19:1441–1464. 2021.PubMed/NCBI View Article : Google Scholar

17 

Vallières E, Shepherd FA, Crowley J, Van Houtte P, Postmus PE, Carney D, Chansky K, Shaikh Z and Goldstraw P: International Association for the Study of Lung Cancer International Staging Committee and Participating Institutions. The IASLC lung cancer staging project: Proposals regarding the relevance of TNM in the pathologic staging of small cell lung cancer in the forthcoming (seventh) edition of the TNM classification for lung cancer. J Thorac Oncol. 4:1049–1059. 2009.PubMed/NCBI View Article : Google Scholar

18 

Zhang S, Liang F and Tannock I: Use and misuse of common terminology criteria for adverse events in cancer clinical trials. BMC Cancer. 16(392)2016.PubMed/NCBI View Article : Google Scholar

19 

a19. R Core Team (2021). R: A language and environment for statistical computing. R Foundation for Statistical Computing, Vienna, Austria. URL https://www.R-project.org/.

20 

Chan SHY, Khatib Y, Webley S, Layton D and Salek S: Identification of cardiotoxicity related to non-small cell lung cancer (NSCLC) treatments: A systematic review. Front Pharmacol. 14(1137983)2023.PubMed/NCBI View Article : Google Scholar

21 

Cardinale D, Sandri MT, Colombo A, Colombo N, Boeri M, Lamantia G, Civelli M, Peccatori F, Martinelli G, Fiorentini C and Cipolla CM: Prognostic value of troponin I in cardiac risk stratification of cancer patients undergoing high-dose chemotherapy. Circulation. 109:2749–2754. 2004.PubMed/NCBI View Article : Google Scholar

22 

Gevaert AB, Kataria R, Zannad F, Sauer AJ, Damman K, Sharma K, Shah SJ and Van Spall HGC: Heart failure with preserved ejection fraction: Recent concepts in diagnosis, mechanisms and management. Heart. 108:1342–1350. 2022.PubMed/NCBI View Article : Google Scholar

23 

Reding KW, O'Connell NS, D'Agostino RB Jr, Hundley W, Lucas AR, Ladd AC, Jordan JH, Heiston EM, Ge Y and Hundley WG: Both intermuscular fat and LVEF decline promote heart failure symptoms in cancer survivors. Cardiooncology. 7(16)2021.PubMed/NCBI View Article : Google Scholar

24 

Gupta V, Singh SK, Agrawal V and Singh TB: Role of ACE inhibitors in anthracycline-induced cardiotoxicity: A randomized, double-blind, placebo-controlled trial. Pediatr Blood Cancer. 65(e27308)2018.PubMed/NCBI View Article : Google Scholar

25 

Rydzek J, Gąsior ZT, Dąbek J, Wojnar J and Skrzypek M: Assessment of risk factors for mortality in patients with cardiovascular disease and a history of treatment for malignancy. Kardiol Pol. 73:730–739. 2015.PubMed/NCBI View Article : Google Scholar

26 

Katsioupa M, Kourampi I, Oikonomou E, Tsigkou V, Theofilis P, Charalambous G, Marinos G, Gialamas I, Zisimos K, Anastasiou A, et al: Novel biomarkers and their role in the diagnosis and prognosis of acute coronary syndrome. Life (Basel). 13(1992)2023.PubMed/NCBI View Article : Google Scholar

27 

Chen D, Xu J, Qiao R, Zhao Y, Chu T, Han B and Zhong R: Detection of genetic mutations by next-generation sequencing for predicting prognosis of extensive-stage small-cell lung cancer. J Oncol. 2020(8811487)2020.PubMed/NCBI View Article : Google Scholar

28 

Linschoten M, Teske AJ, Baas AF, Vink A, Dooijes D, Baars HF and Asselbergs FW: Truncating Titin (TTN) variants in chemotherapy-induced cardiomyopathy. J Card Fail. 23:476–479. 2017.PubMed/NCBI View Article : Google Scholar

29 

Tham YK, Bernardo BC, Ooi JY, Weeks KL and McMullen JR: Pathophysiology of cardiac hypertrophy and heart failure: Signaling pathways and novel therapeutic targets. Arch Toxicol. 89:1401–1438. 2015.PubMed/NCBI View Article : Google Scholar

30 

Öztürk C, Validyev D, Becher UM, Weber M, Nickenig G and Tiyerili V: A novel scoring system to estimate chemotherapy-induced myocardial toxicity: Risk assessment prior to non-anthracycline chemotherapy regimens. Int J Cardiol Heart Vasc. 33(100751)2021.PubMed/NCBI View Article : Google Scholar

31 

Savarese G, Stolfo D, Sinagra G and Lund LH: Heart failure with mid-range or mildly reduced ejection fraction. Nat Rev Cardiol. 19:100–116. 2022.PubMed/NCBI View Article : Google Scholar

32 

Salem SS, Saleh NY, Soliman SE and Abo-Haded HM: On-admission plasma levels of BNP, MR-proADM, and cTnI in pediatric heart failure: Contributions to diagnosis, prognosis, and outcome. Ir J Med Sci. 191:263–270. 2022.PubMed/NCBI View Article : Google Scholar

33 

Gürgöze MT, van Vark LC, Baart SJ, Kardys I, Akkerhuis KM, Manintveld OC, Postmus D, Hillege HL, Lesman-Leegte I, Asselbergs FW, et al: Multimarker analysis of serially measured GDF-15, NT-proBNP, ST2, GAL-3, cTnI, creatinine, and prognosis in acute heart failure. Circ Heart Fail. 16(e009526)2023.PubMed/NCBI View Article : Google Scholar

Related Articles

  • Abstract
  • View
  • Download
  • Twitter
Copy and paste a formatted citation
Spandidos Publications style
Zhao J, Wang X, Liu X, Zhao W, Lu X, Li R and Sun X: <p>Analysis of independent prognostic factors for the occurrence and severity of heart failure after chemotherapy in patients with small cell lung cancer&nbsp;</p>. Exp Ther Med 31: 101, 2026.
APA
Zhao, J., Wang, X., Liu, X., Zhao, W., Lu, X., Li, R., & Sun, X. (2026). <p>Analysis of independent prognostic factors for the occurrence and severity of heart failure after chemotherapy in patients with small cell lung cancer&nbsp;</p>. Experimental and Therapeutic Medicine, 31, 101. https://doi.org/10.3892/etm.2026.13097
MLA
Zhao, J., Wang, X., Liu, X., Zhao, W., Lu, X., Li, R., Sun, X."<p>Analysis of independent prognostic factors for the occurrence and severity of heart failure after chemotherapy in patients with small cell lung cancer&nbsp;</p>". Experimental and Therapeutic Medicine 31.4 (2026): 101.
Chicago
Zhao, J., Wang, X., Liu, X., Zhao, W., Lu, X., Li, R., Sun, X."<p>Analysis of independent prognostic factors for the occurrence and severity of heart failure after chemotherapy in patients with small cell lung cancer&nbsp;</p>". Experimental and Therapeutic Medicine 31, no. 4 (2026): 101. https://doi.org/10.3892/etm.2026.13097
Copy and paste a formatted citation
x
Spandidos Publications style
Zhao J, Wang X, Liu X, Zhao W, Lu X, Li R and Sun X: <p>Analysis of independent prognostic factors for the occurrence and severity of heart failure after chemotherapy in patients with small cell lung cancer&nbsp;</p>. Exp Ther Med 31: 101, 2026.
APA
Zhao, J., Wang, X., Liu, X., Zhao, W., Lu, X., Li, R., & Sun, X. (2026). <p>Analysis of independent prognostic factors for the occurrence and severity of heart failure after chemotherapy in patients with small cell lung cancer&nbsp;</p>. Experimental and Therapeutic Medicine, 31, 101. https://doi.org/10.3892/etm.2026.13097
MLA
Zhao, J., Wang, X., Liu, X., Zhao, W., Lu, X., Li, R., Sun, X."<p>Analysis of independent prognostic factors for the occurrence and severity of heart failure after chemotherapy in patients with small cell lung cancer&nbsp;</p>". Experimental and Therapeutic Medicine 31.4 (2026): 101.
Chicago
Zhao, J., Wang, X., Liu, X., Zhao, W., Lu, X., Li, R., Sun, X."<p>Analysis of independent prognostic factors for the occurrence and severity of heart failure after chemotherapy in patients with small cell lung cancer&nbsp;</p>". Experimental and Therapeutic Medicine 31, no. 4 (2026): 101. https://doi.org/10.3892/etm.2026.13097
Follow us
  • Twitter
  • LinkedIn
  • Facebook
About
  • Spandidos Publications
  • Careers
  • Cookie Policy
  • Privacy Policy
How can we help?
  • Help
  • Live Chat
  • Contact
  • Email to our Support Team