Spandidos Publications Logo
  • About
    • About Spandidos
    • Aims and Scopes
    • Abstracting and Indexing
    • Editorial Policies
    • Reprints and Permissions
    • Job Opportunities
    • Terms and Conditions
    • Contact
  • Journals
    • All Journals
    • Oncology Letters
      • Oncology Letters
      • Information for Authors
      • Editorial Policies
      • Editorial Board
      • Aims and Scope
      • Abstracting and Indexing
      • Bibliographic Information
      • Archive
    • International Journal of Oncology
      • International Journal of Oncology
      • Information for Authors
      • Editorial Policies
      • Editorial Board
      • Aims and Scope
      • Abstracting and Indexing
      • Bibliographic Information
      • Archive
    • Molecular and Clinical Oncology
      • Molecular and Clinical Oncology
      • Information for Authors
      • Editorial Policies
      • Editorial Board
      • Aims and Scope
      • Abstracting and Indexing
      • Bibliographic Information
      • Archive
    • Experimental and Therapeutic Medicine
      • Experimental and Therapeutic Medicine
      • Information for Authors
      • Editorial Policies
      • Editorial Board
      • Aims and Scope
      • Abstracting and Indexing
      • Bibliographic Information
      • Archive
    • International Journal of Molecular Medicine
      • International Journal of Molecular Medicine
      • Information for Authors
      • Editorial Policies
      • Editorial Board
      • Aims and Scope
      • Abstracting and Indexing
      • Bibliographic Information
      • Archive
    • Biomedical Reports
      • Biomedical Reports
      • Information for Authors
      • Editorial Policies
      • Editorial Board
      • Aims and Scope
      • Abstracting and Indexing
      • Bibliographic Information
      • Archive
    • Oncology Reports
      • Oncology Reports
      • Information for Authors
      • Editorial Policies
      • Editorial Board
      • Aims and Scope
      • Abstracting and Indexing
      • Bibliographic Information
      • Archive
    • Molecular Medicine Reports
      • Molecular Medicine Reports
      • Information for Authors
      • Editorial Policies
      • Editorial Board
      • Aims and Scope
      • Abstracting and Indexing
      • Bibliographic Information
      • Archive
    • World Academy of Sciences Journal
      • World Academy of Sciences Journal
      • Information for Authors
      • Editorial Policies
      • Editorial Board
      • Aims and Scope
      • Abstracting and Indexing
      • Bibliographic Information
      • Archive
    • International Journal of Functional Nutrition
      • International Journal of Functional Nutrition
      • Information for Authors
      • Editorial Policies
      • Editorial Board
      • Aims and Scope
      • Abstracting and Indexing
      • Bibliographic Information
      • Archive
    • International Journal of Epigenetics
      • International Journal of Epigenetics
      • Information for Authors
      • Editorial Policies
      • Editorial Board
      • Aims and Scope
      • Abstracting and Indexing
      • Bibliographic Information
      • Archive
    • Medicine International
      • Medicine International
      • Information for Authors
      • Editorial Policies
      • Editorial Board
      • Aims and Scope
      • Abstracting and Indexing
      • Bibliographic Information
      • Archive
  • Articles
  • Information
    • Information for Authors
    • Information for Reviewers
    • Information for Librarians
    • Information for Advertisers
    • Conferences
  • Language Editing
Spandidos Publications Logo
  • About
    • About Spandidos
    • Aims and Scopes
    • Abstracting and Indexing
    • Editorial Policies
    • Reprints and Permissions
    • Job Opportunities
    • Terms and Conditions
    • Contact
  • Journals
    • All Journals
    • Biomedical Reports
      • Information for Authors
      • Editorial Policies
      • Editorial Board
      • Aims and Scope
      • Abstracting and Indexing
      • Bibliographic Information
      • Archive
    • Experimental and Therapeutic Medicine
      • Information for Authors
      • Editorial Policies
      • Editorial Board
      • Aims and Scope
      • Abstracting and Indexing
      • Bibliographic Information
      • Archive
    • International Journal of Epigenetics
      • Information for Authors
      • Editorial Policies
      • Editorial Board
      • Aims and Scope
      • Abstracting and Indexing
      • Bibliographic Information
      • Archive
    • International Journal of Functional Nutrition
      • Information for Authors
      • Editorial Policies
      • Editorial Board
      • Aims and Scope
      • Abstracting and Indexing
      • Bibliographic Information
      • Archive
    • International Journal of Molecular Medicine
      • Information for Authors
      • Editorial Policies
      • Editorial Board
      • Aims and Scope
      • Abstracting and Indexing
      • Bibliographic Information
      • Archive
    • International Journal of Oncology
      • Information for Authors
      • Editorial Policies
      • Editorial Board
      • Aims and Scope
      • Abstracting and Indexing
      • Bibliographic Information
      • Archive
    • Medicine International
      • Information for Authors
      • Editorial Policies
      • Editorial Board
      • Aims and Scope
      • Abstracting and Indexing
      • Bibliographic Information
      • Archive
    • Molecular and Clinical Oncology
      • Information for Authors
      • Editorial Policies
      • Editorial Board
      • Aims and Scope
      • Abstracting and Indexing
      • Bibliographic Information
      • Archive
    • Molecular Medicine Reports
      • Information for Authors
      • Editorial Policies
      • Editorial Board
      • Aims and Scope
      • Abstracting and Indexing
      • Bibliographic Information
      • Archive
    • Oncology Letters
      • Information for Authors
      • Editorial Policies
      • Editorial Board
      • Aims and Scope
      • Abstracting and Indexing
      • Bibliographic Information
      • Archive
    • Oncology Reports
      • Information for Authors
      • Editorial Policies
      • Editorial Board
      • Aims and Scope
      • Abstracting and Indexing
      • Bibliographic Information
      • Archive
    • World Academy of Sciences Journal
      • Information for Authors
      • Editorial Policies
      • Editorial Board
      • Aims and Scope
      • Abstracting and Indexing
      • Bibliographic Information
      • Archive
  • Articles
  • Information
    • For Authors
    • For Reviewers
    • For Librarians
    • For Advertisers
    • Conferences
  • Language Editing
Login Register Submit
  • This site uses cookies
  • You can change your cookie settings at any time by following the instructions in our Cookie Policy. To find out more, you may read our Privacy Policy.

    I agree
Search articles by DOI, keyword, author or affiliation
Search
Advanced Search
presentation
Experimental and Therapeutic Medicine
Join Editorial Board Propose a Special Issue
Print ISSN: 1792-0981 Online ISSN: 1792-1015
Journal Cover
April-2026 Volume 31 Issue 4

Full Size Image

Sign up for eToc alerts
Recommend to Library

Journals

International Journal of Molecular Medicine

International Journal of Molecular Medicine

International Journal of Molecular Medicine is an international journal devoted to molecular mechanisms of human disease.

International Journal of Oncology

International Journal of Oncology

International Journal of Oncology is an international journal devoted to oncology research and cancer treatment.

Molecular Medicine Reports

Molecular Medicine Reports

Covers molecular medicine topics such as pharmacology, pathology, genetics, neuroscience, infectious diseases, molecular cardiology, and molecular surgery.

Oncology Reports

Oncology Reports

Oncology Reports is an international journal devoted to fundamental and applied research in Oncology.

Experimental and Therapeutic Medicine

Experimental and Therapeutic Medicine

Experimental and Therapeutic Medicine is an international journal devoted to laboratory and clinical medicine.

Oncology Letters

Oncology Letters

Oncology Letters is an international journal devoted to Experimental and Clinical Oncology.

Biomedical Reports

Biomedical Reports

Explores a wide range of biological and medical fields, including pharmacology, genetics, microbiology, neuroscience, and molecular cardiology.

Molecular and Clinical Oncology

Molecular and Clinical Oncology

International journal addressing all aspects of oncology research, from tumorigenesis and oncogenes to chemotherapy and metastasis.

World Academy of Sciences Journal

World Academy of Sciences Journal

Multidisciplinary open-access journal spanning biochemistry, genetics, neuroscience, environmental health, and synthetic biology.

International Journal of Functional Nutrition

International Journal of Functional Nutrition

Open-access journal combining biochemistry, pharmacology, immunology, and genetics to advance health through functional nutrition.

International Journal of Epigenetics

International Journal of Epigenetics

Publishes open-access research on using epigenetics to advance understanding and treatment of human disease.

Medicine International

Medicine International

An International Open Access Journal Devoted to General Medicine.

Journal Cover
April-2026 Volume 31 Issue 4

Full Size Image

Sign up for eToc alerts
Recommend to Library

  • Article
  • Citations
    • Cite This Article
    • Download Citation
    • Create Citation Alert
    • Remove Citation Alert
    • Cited By
  • Similar Articles
    • Related Articles (in Spandidos Publications)
    • Similar Articles (Google Scholar)
    • Similar Articles (PubMed)
  • Download PDF
  • Download XML
  • View XML
Article Open Access

Effects of the WNT signaling pathway on inflammation and fibrosis in idiopathic pulmonary fibrosis: Clinical, radiological and molecular evaluation

  • Authors:
    • İlknur Kaya
    • Ayşe Koçak Sezgi̇n
    • Meliha Koldemi̇r Gündüz
    • Şebnem Emine Parspur
    • Feride Marim
    • Mehmet Doğan
    • Ümran Toru Erbay
  • View Affiliations / Copyright

    Affiliations: Department of Chest Diseases, Faculty of Medicine, Kütahya Health Sciences University, Kütahya 43100, Türkiye, Department of Medical Biochemistry, Faculty of Medicine, Kütahya Health Sciences University, Kütahya 43100, Türkiye, Department of Engineering Basic Sciences, Faculty of Engineering and Natural Sciences, Kütahya Health Sciences University, Kütahya 43100, Türkiye
    Copyright: © Kaya et al. This is an open access article distributed under the terms of Creative Commons Attribution License.
  • Article Number: 106
    |
    Published online on: February 11, 2026
       https://doi.org/10.3892/etm.2026.13101
  • Expand metrics +
Metrics: Total Views: 0 (Spandidos Publications: | PMC Statistics: )
Metrics: Total PDF Downloads: 0 (Spandidos Publications: | PMC Statistics: )
Cited By (CrossRef): 0 citations Loading Articles...

This article is mentioned in:


Abstract

Idiopathic pulmonary fibrosis (IPF) is a progressive and fatal interstitial lung disease characterized by irreversible fibrosis, radiological honeycombing and a progressive decline in pulmonary function. Although antifibrotic agents such as pirfenidone and nintedanib can slow disease progression, these agents fail to reverse established structural damage, underscoring the urgent need for novel therapeutic strategies. Notably, the WNT signaling pathway has been implicated in fibrogenesis, suggesting it may represent a promising therapeutic target in IPF. The present study aimed to elucidate the role of WNT signaling in IPF pathogenesis, and to evaluate the antifibrotic and anti‑inflammatory effects of the WNT inhibitors ETC‑159 and LGK‑974 in vitro. A prospective case‑control study was conducted, including 33 patients with IPF and 23 healthy controls. WNT gene expression in peripheral blood was quantified using quantitative PCR. Fibrotic markers [α‑smooth muscle actin (α‑SMA) and collagen type I] and inflammatory cytokines (IL‑1β, IL‑6 and TGF‑β2) were measured by ELISA. Additionally, LL29 (AnHa) fibroblasts from a patient with IPF were treated with ETC‑159 or LGK‑974 to assess molecular and phenotypic responses. Patients with IPF exhibited significant upregulation of WNT‑2, WNT‑4, WNT‑6, WNT‑7a/b and WNT‑10a/b, whereas WNT‑1 and WNT‑3a showed no significant change. Collagen type I and α‑SMA levels were also markedly elevated in IPF. Treatment with LGK‑974 significantly reduced both α‑SMA and collagen type I expression, whereas ETC‑159 selectively decreased collagen type I. Both inhibitors suppressed IL‑6, whereas LGK‑974 additionally reduced IL‑1β. In conclusion, aberrant activation of WNT signaling may contribute to fibrogenesis and inflammation in IPF. Pharmacological inhibition of this pathway, particularly with LGK‑974, exerts potent antifibrotic and anti‑inflammatory effects, highlighting WNT signaling as a viable therapeutic target for IPF.

Introduction

Idiopathic pulmonary fibrosis (IPF) is a chronic, progressive interstitial lung condition characterized by radiological and histological features of usual interstitial pneumonia (UIP), leading to progressive dyspnea and declining pulmonary function, particularly in elderly patients (1). Although IPF is a rare disease, its global incidence falls between 0.09-1.30 per 10,000, with a prevalence of 0.33-4.51 per 10,000(2). Without treatment, the median survival time after diagnosis is only 3-5 years (3).

Pulmonary function tests (PFTs) in IPF typically reveal reduced forced vital capacity (FVC), total lung capacity and diffusing capacity of the lungs for carbon monoxide (DLCO); however, parameters may remain normal or only mildly impaired in early disease (1). Notably, pulmonary function testing alone is insufficient to predict mortality, and prognostic indices such as the gender-age-physiology (GAP) score have therefore been proposed as more reliable tools for outcome prediction (4).

IPF is confined to the lungs and is pathologically defined by the UIP pattern, best demonstrated on high-resolution computed tomography (HRCT). Radiologically, UIP shows a subpleural and basal predominance, with hallmark features including honeycombing, traction bronchiolectasis, reticular abnormalities and occasionally ground-glass opacities (1). Honeycomb lung, cystic lung diseases and emphysema are radiologically similar; however, their pathophysiological development is different. Honeycomb formation results from the collapse of fibrotic alveolar septa and expansion of terminal airways, leading to the formation of bronchiolar cysts. Therefore, differentiating honeycombing from paraseptal emphysema or fibrosis-associated cystic changes is important. When considering the diagnosis of IPF, the current guidelines emphasize the importance of radiology over pathology. Notably, honeycomb pattern is an important radiological finding for IPF.

The pathogenesis of IPF involves aberrant wound-healing responses. In normal repair, activated fibroblasts and myofibroblasts deposit extracellular matrix (ECM) components, primarily fibrillar collagen and fibronectin, to provide a provisional scaffold that facilitates the proliferation and differentiation of alveolar epithelial type II cells (5). Chronic injury and aging impair re-epithelialization, driving abnormal mesenchymal activation and disrupting epithelial regeneration. This dysfunctional interaction between epithelial and mesenchymal compartments is central to IPF progression (6). Current evidence suggests that repetitive injury and dysregulated activation of key profibrotic pathways, including TGF-β and WNT signaling, contribute to myofibroblast expansion, cellular senescence and impaired alveolar repair (6,7). Both pathways have therefore emerged as key drivers of fibrogenesis and potential therapeutic targets in IPF.

The approved antifibrotic agents pirfenidone and nintedanib markedly attenuate the decline in FVC (1). However, neither therapy halts structural remodeling nor induces reversal of fibrosis. Given the limited efficacy of current treatments, novel therapeutic strategies aimed at modulating fundamental fibrogenic pathways remain urgently needed (8). A previous study has shown that both canonical (WNT/β-catenin) and non-canonical (such as WNT5A) signaling are implicated in IPF pathogenesis (9). In IPF lungs, WNT/β-catenin activity is increased and is associated with epithelial injury, aberrant alveolar type II cell reprogramming/senescence and impaired epithelial-mesenchymal interaction, thereby fostering profibrotic remodeling (8). Non-canonical WNTs, particularly WNT5A, are upregulated in IPF tissue and extracellular vesicles, and can amplify TGF-β-driven responses and macrophage polarization, processes that promote fibroblast activation and matrix deposition across fibrotic organs (9,10).

Downstream WNT target genes, such as WNT1-inducible signaling protein-1 (WISP1/CCN4), are elevated in IPF and experimental fibrosis, whereas functional inhibition of WISP1 mitigates fibrotic progression, underscoring the translational relevance of WNT-responsive programs (11,12). Chronic activation of the WNT signaling pathway sustains epithelial stress, promotes profibrotic fibroblast phenotypes and drives maladaptive inflammation in IPF, thereby providing a strong rationale for WNT-targeted therapeutic strategies, including porcupine O-acyltransferase (PORCN) inhibitors, which are currently under clinical investigation (13).

The primary aim of the present study was to investigate the role of the WNT signaling pathway in mediating inflammation and fibrosis during the pathogenesis of IPF. A secondary objective was to identify potential therapeutic targets within this pathway that could be exploited for novel treatment strategies.

Therefore, WNT pathway activation was evaluated in the peripheral blood of patients with IPF. Furthermore, the effects of two selective WNT signaling inhibitors, ETC-159 and LGK-974, were assessed within LL29 (AnHa) fibroblasts derived from a patient with IPF. These experiments were designed to elucidate how pharmacological blockade of WNT signaling influences fibrotic and inflammatory responses. Collectively, this approach aimed to define the contribution of WNT signaling to IPF pathogenesis and highlight its potential as a therapeutic target.

Materials and methods

Study design

Designed as a prospective case-control study, the present study was based on the diagnosis of IPF. This was established through a multidisciplinary evaluation involving radiologists, rheumatologists and pulmonologists, based on radiological criteria consistent with IPF (1). Patients with confirmed IPF who presented for routine outpatient follow-up at the Department of Chest Diseases, Kütahya Health Sciences University Faculty of Medicine (Kütahya, Turkey), were invited to participate. After providing written informed consent, peripheral blood samples were collected for subsequent analyses between June 2024 and April 2025. The control group comprised individuals without a diagnosis of IPF who attended the chest diseases outpatient clinic for unrelated reasons and voluntarily consented to participate.

Ethics committee approval

Ethics approval for the present study was obtained from the Kütahya Health Sciences University Faculty of Medicine Non-Interventional Ethics Committee in May 2024 (approval no. 2024/06-23).

Sample size

Sample size calculation was performed using GPower (version 3.1; Heinrich Heine University). An unpaired two-tailed t-test was applied, assuming a medium effect size (d=0.5), α=0.05 and statistical power (1-β)=0.80. The analysis indicated a minimum requirement of n=30/group. Based on this calculation, 33 patients with IPF and 23 healthy controls were recruited. The slightly unequal distribution was due to patient availability and ethical considerations; however, the total sample size remained sufficient to ensure adequate statistical power.

Inclusion criteria

Individuals >40 years of age with a radiological or pathological diagnosis of IPF, no drug use known to cause lung fibrosis, no history of lung infection resulting in fibrosis, and both patients receiving or not receiving treatment for IPF were included in the IPF group. The inclusion criterion for the control group was defined as having no chronic illness.

Exclusion criteria

Individuals who did not give consent to participate in the present study, individuals using long-term oxygen concentrators and those with a history of lung infection resulting in fibrosis were excluded from the present study.

Sample collection

Patients diagnosed with IPF (radiologically or pathologically) and a control group were informed about the present study upon arrival at the outpatient clinic and a 1-ml blood sample was collected from each of the patients who gave their consent. The samples were stored at -80˚C after collection.

Laboratory stages

All laboratory assays [ELISA, quantitative PCR (qPCR) and related wet-lab procedures] were performed under blinded conditions. The researchers conducting the experiments were unaware of the group allocation of the samples to minimize bias and ensure objective data collection.

Clinical, radiological and laboratory parameters were assessed to complement molecular analyses. Clinical parameters included height, weight, age, PFT and Modified Medical Research Council (mMRC) values (14). The PFT values forced expiratory volume in 1 sec (FEV1), FVC and FEV1/FVC were collected. The mMRC score was used to assess dyspnea severity. PFT results and demographic data were obtained from medical records. Radiologically, the presence of honeycomb and septal thickening was determined by examining HRCT images at the time of diagnosis. HRCT was used for radiological confirmation of IPF and evaluation of fibrotic patterns, and fibrotic patterns were recorded. Routine hemogram parameters were obtained from peripheral blood samples as part of standard clinical evaluation.

Cell culture experiments

LL29 (AnHa) cells (CCL-134; American Type Culture Collection) were used in the present study. These cells were cultured in DMEM (cat. no. 11966; Gibco; Thermo Fisher Scientific, Inc.) containing 10% FBS (cat. no. A5256701; Gibco; Thermo Fisher Scientific, Inc.) + 1% glutamine (cat. no. G8540; Sigma-Aldrich; Merck KGaA) + 1% penicillin-streptomycin (cat. no. 15140122; Thermo Fisher Scientific, Inc.) + 1% sodium. All procedures involving the cells were performed in a laminar cabinet. The cells were incubated at 37˚C in an incubator with 5% CO2. When the cells reached 70% density, passaging was performed with EDTA solution used to detach cells. The xCELLigence real-time cell analysis dual purpose system (Agilent Technologies, Inc.) was used in the IC50 and proliferation assay. The cells were seeded at a concentration of 1x106 cells/ml in xCELLigence 16-well E-plates. IC50 values were calculated using xCELLigence real-time impedance measurements. The IC50 values of ETC-159 and LGK-974 were 10 and 1 µM at 48 h, based on nonlinear regression analysis of the dose-response curve.

Cells were maintained at 37˚C in a humidified incubator containing 5% CO2. After 24 h, the culture medium was removed and replaced with fresh medium supplemented with ETC-159 (10 µM; cat. no. S6616; Selleck Chemicals) or LGK-974 (1 µM; cat. no. S7143; Selleck Chemicals), prepared at their final working concentrations and incubated at 37˚C for 48 h. Untreated cells were used as control cells. In all cell culture studies, both treated and untreated cells were left to proliferate to ~3x106 and subsequently frozen at -80˚C until the relevant experimental steps. Each ELISA and RT-qPCR measurement was performed in triplicate to ensure technical reproducibility.

Reverse transcription-qPCR experiments

RT-qPCR data were normalized to the expression of b-actin, which served as the internal control. Relative gene expression levels were calculated using the 2-ΔΔCq method (15). The mRNA expression levels of WNT signaling genes were evaluated in blood samples and cells using RT-qPCR. Briefly, total RNA was extracted from blood and cells using the RNeasy Micro Kit (cat. no. 74004; Qiagen, Inc.), following the manufacturer's protocol. Using 1 µg RNA, cDNA was synthesized with the QuantiTect Reverse Transcription Kit (cat. no. 205311; Qiagen, Inc.), according to the manufacturer's protocol, and was scaled to a final volume of 20 µl. Samples were stored at -20˚C until qPCR. All cDNA samples were equally distributed in a 96-well plate and qPCR was performed using RT2 SYBR® Green Fluor qPCR Mastermix (cat. no. 330513; Qiagen, Inc.). Plates were run on a StepOne Plus qPCR system (Applied Biosystems; Thermo Fisher Scientific, Inc.) under the following thermocycling conditions: Initial denaturation at 95˚C for 10 min, followed by 40 cycles at 95˚C for 15 sec and 60˚C for 30 sec. Melt curve analysis was performed for quality control. Primer sequences are listed in Table I.

Table I

Primer sequences.

Table I

Primer sequences.

GeneSequence, 5'-3'
Human WNT-1F: CTCCACGAACCTGCTTACAGA
 R: GCTCGAGTACCAGTTGCAGA
Human WNT-2F: CTACGACACCTCCCATGTCA
 R: GGAACTTACACCCACACTTGGT
Human WNT-3aF: TCCTCAAGGACAAGTACGACAG
 R: GTGCTTCTCCACCACCATCT
Human WNT-6F: GCATCCTGCAACAGGACAT
 R: AGTGATGGCGAACACGAAG
Human WNT-10aF: GTCCCATCTTCAGCAGAGGT
 R: GATGGCGTAGGCAAAAGC
Human WNT-10bF: CTGGTGCTGCTATGTGCTCT
 R: TCACCCACTCTGTAACCTTGC
Human α-SMAF: CTATGCCTCTGGACGCACAACT
 R: CAGATCCAGACGCATGATGGCA
Human collagen type IF: GATTCCCTGGACCTAAAGGTGC
 R: AGCCTCTCCATCTTTGCCAGCA
Human β-actinF: CACCATTGGCAATGAGCGGTTC
 R: AGGTCTTTGCGGATGTCCACGT
Human WNT-7aF: CGAAAGATCCTGGAGGAGAAC
 R: ACGCCGTGGCACTTACAT
Human WNT-7bF: AAGCCCATGGAGACAGACC
 R: CAGTAGTTGGGCGACTTCTCA
Human WNT-4F: CAGAGGCAGGTGCAGATGT
 R: ACCGAGTCCATGACTTCCAG
Human WNT-16F: TGAAAGCATGACTGATGTCCA
 R: AGGCTGGATGGAGTGGTTACT

[i] α-SMA, α-smooth muscle actin; F, forward; R, reverse.

Measurement of inflammatory (IL-1β and IL-6) and fibrotic (TGF-ß2) markers by ELISA

The Human IL-1β ELISA kit (cat. no. RE1074H; Reed Biotech, Ltd.), Human IL-6 ELISA kit (cat. no. RE3186H; Reed Biotech, Ltd.) and Human TGF-β2 ELISA kit (cat. no. RE3066H; Reed Biotech, Ltd.) were used following the manufacturer's protocols. The optical density was measured spectrophotometrically at a wavelength of 450 nm using the Multiskan™ Plate Reader (Thermo Fisher Scientific, Inc.).

Statistical analysis

All statistical analyses were performed using GraphPad Prism software (version 10; Dotmatics). The Mann-Whitney U test was used to compare two non-parametric groups. When more than two groups were analyzed, the Kruskal-Wallis test was employed, followed by Dunn's multiple-comparison post hoc test with adjusted P-values. For correlation analysis, data distribution was assessed using the Shapiro-Wilk normality test. Since the assumptions of parametric correlation analysis were not met, Spearman's rank correlation coefficient was applied to evaluate monotonic associations between variables. Categorical variables were analyzed using Fisher's exact test, where appropriate. Data are presented as the mean ± SEM. At least three independent biological replicates were assessed in all in vitro experiments. All tests were two-tailed, and P<0.05 was considered to indicate a statistically significant difference.

Results

General findings

A total of 33 patients with IPF (28 male patients and 5 female patients,) and 23 control patients (20 male patients and 3 female patients) were included in the present study (Table II). The mean age of the patients with IPF was 68.91±1.55 years, the mean age of the control group was 63.65±3.06 years. The mean BMI was 27.3±0.69 kg/m2 in the IPF group and 27.06±1.34 kg/m2 in the control group. The mean cigarette pack/year history was 31.35±4.31 in the IPF group and 28.04±4.77 in the control group. No statistically significant differences were observed between the two groups regarding the aforementioned parameters (all P>0.05).

Table II

Clinical, laboratory and radiological characteristics of the IPF and control groups.

Table II

Clinical, laboratory and radiological characteristics of the IPF and control groups.

VariableIPFControlP-value
FEV1, l1.90±-0.112.12±-0.25>0.05
FEV1, %73.55±-3.8478.08±-9.05>0.05
FVC,2.11±-0.132.62±-0.28>0.05
FVC, %64.33±-3.4568.28±-6.51>0.05
FEV1/FVC, %87.91±-3.0588.44±-4.58>0.05
Neutrophil count7.29±-0.885.76±-0.76>0.05
Neutrophils, %64.45±-2.2368.03±-2.66>0.05
GAP score4.65±-0.283.08±-0.450.0076a
Age, years68.91±1.5563.65±3.060.0916
Sex, male/female28/520/3-
BMI, kg/m227.38±0.6927.06±1.340.4086
Cigarette packs/year31.35±4.3128.04±4.770.6209
DLCO, %45.63±4.403.95±1.240.0128a
mMRC score2.16±0.200.78±0.95 <0.0001a
Alveolar septal fibrosis, n (%)   <0.0001a,b
     Yes30 (90.9)0 (0.0) 
     No3 (9.1)23 (100.0) 
Honeycombing, n (%)   <0.0001a,b
     Yes20 (60.6)0 (0.0) 
     No13 (39.4)23 (100.0) 

[i] aP<0.05. Continuous variables are presented as the mean ± SEM and were compared using the Mann-Whitney U test, as appropriate. Categorical variables are presented as number (percentage) and were analyzed using the

[ii] bFisher's exact test. Sex distribution was not statistically compared due to the descriptive nature of the variable. IPF, idiopathic pulmonary fibrosis; FEV1, forced expiratory volume in 1 sec; FVC, forced vital capacity; GAP, gender-age-physiology; DLCO, diffusing capacity of the lungs for carbon monoxide; mMRC, Modified Medical Research Council.

Respiratory parameters and radiological findings

The clinical, demographic and laboratory characteristics of patients with IPF and control subjects are summarized in Table II. There were no significant differences between groups in terms of pulmonary function parameters, including FEV1, FVC, FEV1/FVC ratio, neutrophil count, neutrophil percentage, body mass index, smoking history or age (all P>0.05).

The GAP score was significantly higher in the IPF group compared with that in the control group (4.65±0.28 vs. 3.08±0.45; P=0.0076), indicating greater disease severity. Similarly, DLCO values were significantly reduced in patients with IPF (45.63±4.40 vs. 53.95±1.24%; P=0.0128), and mMRC dyspnea scores were significantly higher in the IPF group (2.16±0.20 vs. 0.78±0.95; P<0.0001).

Alveolar septal fibrosis was observed in 90.9% of patients with IPF (30/33), whereas none of the control subjects exhibited this finding (0/23), indicating a highly significant difference between groups (Fisher's exact test, P<0.0001). Similarly, honeycombing was present in 60.6% of patients with IPF but absent in controls (Fisher's exact test, P<0.0001).

WNT levels in patient samples

Comparison of the WNT gene levels in 33 patients with IPF and 23 control patients revealed that WNT-2, WNT-4, WNT-6, WNT-7a, WNT-7b, WNT-10a and WNT-10b levels were increased in patients with IPF; however, there was no statistically significant difference in WNT-1 or WNT-3a levels (Table III).

Table III

Comparison of WNT levels of the control and IPF groups.

Table III

Comparison of WNT levels of the control and IPF groups.

WNT family gene expressionControlIPF, FCP-value
WNT-110.990.9175
WNT-211.680.0007a
WNT-3a11.310.5909
WNT-411.370.0237a
WNT-611.640.0021a
WNT-7a12.27 <0.0001a
WNT-7b12.46 <0.0001a
WNT-10a12.550.0007a
WNT-10b11.78 <0.0001a
α-SMA12.340.0018a
Collagen type I11.330.0332a

[i] aP<0.05. IPF, idiopathic pulmonary fibrosis; α-SMA, α-smooth muscle actin; FC, fold change.

Fibrotic marker levels

Collagen type I and α-smooth muscle actin (α-SMA) levels, which indicate fibrosis, were significantly higher in samples from patients with IPF compared with those in the control group (P=0.0332 and P=0.0018, respectively; Fig. 1).

Comparison of the fibrotic markers (A)
collagen type I and (B) α-SMA in the IPF group and control group
*P<0.05, **P<0.01 vs. control. α-SMA,
α-smooth muscle actin; IPF, idiopathic pulmonary hypertension.

Figure 1

Comparison of the fibrotic markers (A) collagen type I and (B) α-SMA in the IPF group and control group *P<0.05, **P<0.01 vs. control. α-SMA, α-smooth muscle actin; IPF, idiopathic pulmonary hypertension.

Anti-fibrotic and anti-inflammatory effects of WNT inhibitors

LL29 (AnHa) cells from a patient with IPF were treated with WNT signaling pathway blockers (ETC-159 and LGK-974). After treatment with ETC-159, there was no significant reduction in α-SMA levels in the LL29 (AnHa) cells; however, there was a significant reduction in collagen type I levels (P=0.02; Fig. 2). By contrast, after LGK-974 treatment, there was a statistically significant reduction in both α-SMA and collagen type I levels in the LL29 (AnHa) cells (P=0.01 and P=0.01, respectively).

Comparison of the fibrotic markers (A)
α-SMA and (B) collagen type I after WNT inhibitor ETC-159 and
LGK-974 treatments in IPF cells at the gene level.
*P<0.05 vs. control. α-SMA, α-smooth muscle
actin.

Figure 2

Comparison of the fibrotic markers (A) α-SMA and (B) collagen type I after WNT inhibitor ETC-159 and LGK-974 treatments in IPF cells at the gene level. *P<0.05 vs. control. α-SMA, α-smooth muscle actin.

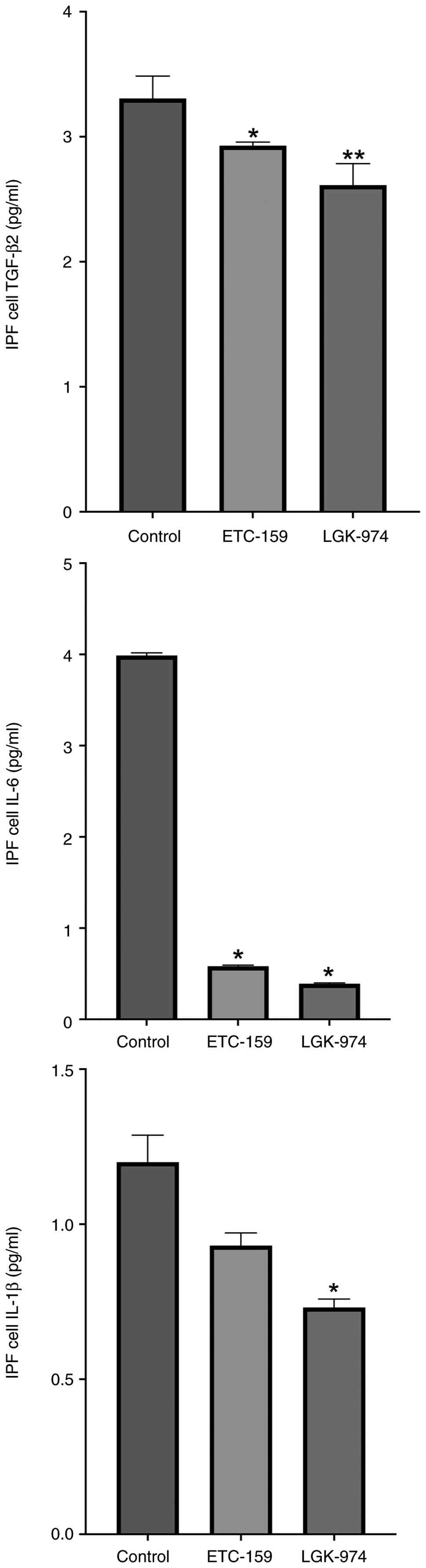
Furthermore, to determine the relationship between the WNT signaling pathway and fibrosis, WNT inhibitors were applied to LL29 (AnHa) IPF cells and the anti-fibrotic and anti-inflammatory effects of WNT inhibitors were investigated. A significant reduction in TGF-β2 levels was observed following treatment with both ETC-159 and LGK-974 compared with in the control group (P=0.0357 and P=0.0079, respectively), (Fig. 3) IL-6 levels were significantly decreased after both ETC-159 and LGK-974 administration compared with those in the control group (P=0.02 and P=0.02). In addition, the administration of LGK-974 but not ETC-259 resulted in a significant decrease in IL-1β levels compared with control (P=0.03).

Comparison of (A) TGF-b2, (B) IL-6
and (C) IL-1b levels after WNT inhibitor ETC-159 and LGK-974
treatments in IPF cells at the mRNA level. *P<0.05,
**P<0.01 vs. control. IPF, idiopathic pulmonary
hypertension.

Figure 3

Comparison of (A) TGF-b2, (B) IL-6 and (C) IL-1b levels after WNT inhibitor ETC-159 and LGK-974 treatments in IPF cells at the mRNA level. *P<0.05, **P<0.01 vs. control. IPF, idiopathic pulmonary hypertension.

Effect of WNT inhibitors on LL29 (AnHa) cells

When WNT levels in LL29 (AnHa) cells treated with WNT inhibitors were examined, it was found that the mRNA expression levels of WNT-6, WNT-10a and WNT-10b were reduced in the treated cells compared with those in the control group (Table IV). Additionally, the levels of WNT-7a were significantly reduced upon ETC-159 treatment, however there was no significant change upon LGK-974 treatment.

Table IV

Effects of ETC-159 and LGK-974 on the expression levels of WNT genes and fibrotic markers.

Table IV

Effects of ETC-159 and LGK-974 on the expression levels of WNT genes and fibrotic markers.

WNT family gene expression (FC)ControlETC-159, FCLGK-974, FCP-value ETC-159P-value LGK-974
WNT-110.520.620.050.05
WNT-210.760.790.050.05
WNT-310.610.750.050.05
WNT-410.730.750.050.05
WNT-610.160.280.02a0.02a
WNT-7a10.821.020.02a0.02a
WNT-7b11.181.000.100.10
WNT-10a10.370.370.02a0.02a
WNT-10b10.460.520.02a0.02a
α-SMA10.820.850.01a0.01a
Collagen type I10.170.380.02a0.01a

[i] aP<0.05. α-SMA, α-smooth muscle actin; FC, fold change.

Evaluation of WNT levels and collagen markers together with clinical, radiological and laboratory parameters

Correlation analysis revealed significant associations between gene expression levels and clinical parameters in patients with IPF (Table V). WNT-3a expression showed a weak positive correlation with GAP score and DLCO. In addition, collagen type I expression was correlated with both FEV1 and FVC values. Neutrophil count and percentage were positively correlated with WNT-1 expression. These findings suggested that increased expression of fibrotic and WNT-related genes may be associated with disease severity and impaired pulmonary function in IPF.

Table V

Correlations of clinical parameters with gene expression levels in patients with idiopathic pulmonary fibrosis.

Table V

Correlations of clinical parameters with gene expression levels in patients with idiopathic pulmonary fibrosis.

Correlation rs-valueP-value
GAP score vs. WNT-3a0.38900.0450a
DLCO vs. WNT-3a0.46020.0236a
FEV1 (l) vs. collagen type I0.31900.0257a
FEV1 (l) vs. WNT-3a0.33600.0192a
FVC (l) vs. collagen type I0.34200.0247a
Neutrophil count vs. WNT-10.47400.0490a
Neutrophil (%) vs. WNT-10.58700.0100a

[i] aP<0.05. Correlations were assessed using Spearman's rank correlation coefficient. Only statistically significant associations are shown. FEV1, forced expiratory volume in 1 sec; FVC, forced vital capacity; GAP, gender-age-physiology; DLCO, diffusing capacity of the lungs for carbon monoxide.

Gene expression according to radiological findings

Gene expression levels were further analyzed according to radiological features of disease severity, including alveolar septal fibrosis and honeycombing (Tables VI and VII). Because both parameters were dichotomous variables, comparisons were performed using Mann-Whitney U test.

Table VI

Comparison of gene expression levels according to alveolar septal fibrosis in patients with idiopathic pulmonary fibrosis.

Table VI

Comparison of gene expression levels according to alveolar septal fibrosis in patients with idiopathic pulmonary fibrosis.

GeneAlveolar septal fibrosis (+)Alveolar septal fibrosis (-)P-value
Collagen type I1.405±0.10570.7106±0.05950.0165
WNT-21.806±0.28600.5324±0.19070.0496
WNT-41.461±0.15190.5756±0.03200.0016
WNT-61.751±0.26290.6701±0.15570.0071
WNT-7a2.431±0.21730.7674±0.07200.0004
WNT-7b2.622±0.26590.9811±0.16560.0044
WNT-10a2.750±0.33680.6435±0.17180.0486
WNT-10b1.891±0.0950.7848±0.14350.0004
α-SMA2.532±0.41480.4982±0.29090.0159

[i] Data are presented as the mean ± SEM. Comparisons between groups were performed using Mann-Whitney U test, as appropriate based on data distribution. α-SMA, α-smooth muscle actin.

Table VII

Comparison of gene expression levels according to honeycombing in patients with idiopathic pulmonary fibrosis.

Table VII

Comparison of gene expression levels according to honeycombing in patients with idiopathic pulmonary fibrosis.

GeneHoneycombing (+)Honeycombing (-)P-value
WNT-22.347±0.35090.5865±0.0887<0.0001
WNT-62.126±0.35160.8563±0.050.0002
WNT-7a2.891±0.24351.130±0.1078<0.0001
WNT-7b3.102±0.32951.411±0.12920.0002
WNT-10b1.956±0.14471.432±0.12000.0154

[i] Data are presented as the mean ± SEM. Comparisons between groups were performed using Mann-Whitney U test, as appropriate based on data distribution.

Patients with alveolar septal fibrosis exhibited significantly higher expression levels of fibrosis- and WNT signaling-related genes compared with fibrosis-negative patients. Specifically, the expression levels of collagen type I, WNT-2, WNT-4, WNT-6, WNT-7a, WNT-7b, WNT-10a, WNT-10b and α-SMA were all significantly increased in patients with alveolar septal fibrosis (all P<0.05; Table VI).

Similarly, patients with radiological evidence of honeycombing demonstrated significantly elevated expression of WNT-2, WNT-6, WNT-7a, WNT-7b and WNT-10b compared with patients without honeycombing (all P<0.05; Table VII). These findings indicated that key fibrotic and WNT pathway-related genes are upregulated in association with radiological markers of disease severity in IPF.

Discussion

Within the present study, the majority of patients were male and >65 years old, and there was no difference between the descriptive characteristics of the IPF and control groups. However, patients diagnosed with IPF had decreased functional parameters compared with the control group. Subsequently, WNT-2, WNT-4, WNT-6, WNT-7a, WNT-7b, WNT-10a and WNT-10b levels were higher in patients diagnosed with IPF. Notably, fibrotic markers (α-SMA and collagen type I) were upregulated in patients with IPF compared with those in the control group. In addition, WNT signaling pathway blockers were tested on cells from a patient with IPF [LL29 (AnHa)] to assess their effects on WNT levels, as well as their ability to reduce fibrosis and inflammation in these cells. Wet-lab analyses were carried out under blinded conditions, which helped reduce potential measurement bias despite the non-randomized design.

IPF is an idiopathic condition resulting in impaired lung function and mortality. In a study with 1,001 patients with IPF, researchers examined how FVC and DLCO changed by looking at both diagnosed patients and those who were tested for lung function. As the absolute decline in FVC increased, mortality and progression to lung transplantation increased (16). A previous study in children with asthma indicated that WISP1, one of the WNT signaling genes, was associated with FEV1 and FVC, whereas WNT inhibitory factor-1 was associated with FVC and FEV1/FVC (17). WNT upregulation and β-catenin increase have also been associated with decreased FEV1 and chronic obstructive pulmonary disease (COPD) severity (18). A previous study assessed FEV1 and FVC values in 15 patients with IPF, 32 patients with COPD and 30 healthy individuals. In patients with IPF, the FEV1 and FVC values were 69%; in patients with COPD, FEV1 was found to be 49% and FVC was 81%; and in the control group, FEV1 was 111% and FVC was 114%. No significant differences were observed between the IPF, COPD and control groups (19). Notably, there are limited studies on IPF and PFTs. The present study demonstrated that patients with IPF had lower FEV1 and FVC values compared with those in the control group, although this was not statistically significant.

WNT signaling and its effector β-catenin signaling pathway are known to serve a role in mammalian lung development and organogenesis (13). Additionally, MMP-7, which is activated by β-catenin, has previously been recognized as a key factor in the development of pulmonary fibrosis (19). Furthermore, researchers have observed the involvement of the WNT pathway in the pathogenesis of some fibrosis-associated diseases. In a study of 20 patients with IPF, researchers found that β-catenin was present in the nuclei of spindle cells that make up fibroblast foci in 16 out of the 20 samples (20). In the present study, alveolar septal thickness (90.9%) and/or honeycomb appearance (60.6%) were present in a number of patients with IPF, whereas they were not present in the control group. The present study found that the levels of some WNTs were higher in patients with alveolar septal thickness and honeycombing than those without.

WNT-5A and WNT-5B levels have been reported to increase in the lungs of aged mice (age, 8-12 weeks) independently of β-catenin, compared with in young mouse lungs, and are considered to be responsible for ageing (21). Previous study have shown an increase in WNT-5A levels in IPF and experimental lung fibrosis, which in turn contributes to the proliferation of primary human lung fibroblasts (10). In a study conducted in patients with scleroderma (n=85), a disease characterized by fibrosis, WNT-1, WNT-10b, WNT-2 and WNT-6 gene expression levels were increased compared with those in the healthy control group (22). in the same study, WNT-1 and WNT-2 were found to be higher in scleroderma with organ involvement (22). In the present study, with the exception of WNT-1 and WNT-3, other WNT levels (WNT-2, WNT-4, WNT-6, WNT-7a, WNT-7b, WNT-10a and WNT-10b) were increased in patients with IPF compared with those in the control group.

A previous study reported that a number of patients with coronavirus disease 2019 (COVID-19) develop lung fibrosis after the final stages of the disease (23). Fibrosis after COVID-19 has been reported to be associated with TGF-β1 activation. The medication pirfenidone helps reduce the buildup of inflammatory cells, stops fibroblasts from multiplying and prevents the formation of excess ECM. In addition, it has been observed that pirfenidone modulates signaling pathways such as WNT and β-catenin, which serve a role in the pathogenesis of pulmonary fibrosis after COVID-19, and it is considered that these properties may alleviate fibrosis after COVID-19(23).

In a study conducted with sputum biomarkers in IPF, COPD and healthy volunteers, it was shown that TGF-β levels were upregulated in patients with IPF compared with in healthy subjects. IL-6 levels were also shown to be increased in patients with COPD (19). It has been demonstrated that deposition of collagen type I in the ECM is a characteristic feature of IPF; α-SMA expression, a biomarker for myofibroblast differentiation, is increased in fibrotic lung tissue; and TGF-β is an important inducer in the initiation and maintenance of lung fibrosis (24). In line with previous research, the present study demonstrated that levels of collagen type I and α-SMA were higher in the IPF group compared with those in the control group.

One study has documented that the WNT/β-catenin pathway is aberrantly activated in IPF, and serves a key role in myofibroblast differentiation and activation (25). TGF-β acts on fibroblasts, with a previous study showing that TGF-β interacts with non-canonical WNT pathways (25). There are limited antifibrotic drugs currently used in the treatment of IPF, and these drugs are known to act through TGF-β and tyrosine kinases (3). A previous study reported that nintedanib, one of the therapies used to treat IPF, can attenuate myofibroblast activation by inhibiting the expression of genes downstream of WNT signaling (26). Therefore, inhibitors that act on WNT pathways, which interact with the pathways of currently used drugs, may be promising for the management of this rare, rapidly progressive disease.

In a study using human-derived fibrotic lung fibroblast cells (CCL-191), the PORCN inhibitors LGK-974 and ETC-159 were used to examine their therapeutic effects on fibrosis. CCL-191 cells treated with LGK-974 and ETC-159 exhibited decreased levels of TGFβ-1, α-SMA, collagen type I, WNT-1, WNT-3a, WNT-10a and WNT-10b. In the same study, WNT-6 was notably decreased only in the group treated with ETC-159(27). In the present study, WNT-6, WNT-7a, WNT-10a and WNT-10b levels were decreased when ETC-159 was administered to LL29 (AnHa) cells, whereas WNT-6, WNT-10a, WNT-10b levels were decreased when LGK-974 was administered.

Although the present in vitro findings support the antifibrotic and anti-inflammatory potential of WNT inhibition, translation into clinical practice must be approached with caution. WNT signaling regulates key physiological processes such as stem cell renewal, bone formation and epithelial homeostasis (13). Thus, systemic inhibition may carry risks of adverse effects, including gastrointestinal toxicity, impaired tissue regeneration or metabolic disturbances. An early-phase clinical trial of PORCN inhibitors (including ETC-159 and LGK-974) reported dose-limiting toxicities, underscoring the need for careful dosing and patient selection (28). However, the controlled microenvironment of cell culture does not fully capture the complexity of IPF pathology in vivo. Therefore, while the present results highlight WNT signaling as a promising therapeutic target, further preclinical validation and clinical safety studies are key before considering widespread application to patients with IPF.

New treatment options are required for the management of IPF, which is a rare disease with a short life expectancy. Developing new treatment options is key for improving patient outcomes. The elevated levels of fibrotic markers (α-SMA and collagen type I) alongside pro-inflammatory cytokines (IL-6 and IL-1β) in patients with IPF emphasize the interconnected roles of fibroblast activation and chronic inflammation in disease progression. These findings reinforce the concept that IPF pathogenesis is not solely a fibrotic process but also driven by sustained inflammatory responses. Clinically, such biomarkers may serve as indicators of disease severity and progression, aiding in patient stratification and monitoring. Moreover, their modulation by WNT signaling suggests therapeutic potential in targeting WNT-driven fibroblast activation while simultaneously attenuating pro-inflammatory cytokine production. Together, these findings suggest a dual therapeutic strategy capable of attenuating IPF progression, consistent with emerging treatment paradigms that combine antifibrotic and anti-inflammatory interventions to improve clinical outcomes (28,29).

A limitation of the present study was the relatively small sample size (33 patients with IPF and 23 controls), which reduces statistical power and limits the generalizability of the present findings. However, significant differences in WNT signaling markers were observed, consistent with previous reports (8-11), suggesting the robustness of the observed effects despite the restricted cohort. Future studies with larger populations are warranted to validate these results. In particular, multicenter designs would improve external validity by including more diverse patient groups, thereby strengthening the translational relevance of targeting WNT signaling in IPF. As IPF is a disease of advanced age, additional comorbidities were not addressed in detail, potentially an additional limitation to the present study. However, patients with a history of infections that could result in fibrosis, such as COVID-19 were specifically excluded. An additional limitation may be that IPF was studied in a single center within the present study and since IPF is a rare disease, collecting patients from a number of centers may have been more desirable.

In conclusion, IPF is a rare disease with no definitive cure and fibrosis is involved in its pathophysiology. Both TGF-β and WNT signaling are responsible for the regulation of myofibroblast differentiation and cellular senescence, which have been proposed as targets for IPF therapy. Therefore, it is considered that the present study, which investigated the impact of WNT inhibitors, could potentially contribute to the treatment of IPF. Future studies, particularly those involving human materials, are needed to evaluate the efficacy of WNT inhibitors. Further in vivo and in vitro studies are necessary for the development of a new therapeutic product.

Acknowledgements

Not applicable.

Funding

Funding: Kütahya Health Sciences University Scientific Research Projects Coordination Unit supported the present study (grant no. TSA-2024-196).

Availability of data and materials

The data generated in the present study may be requested from the corresponding author.

Authors' contributions

İK contributed to the investigation, methodology, funding acquisition, data curation and conceptualization. Also, İK contributed to writing, reviewing and editing the manuscript. AKS contributed to formal analysis, methodology, investigation, providing supervision, and reviewing and editing the manuscript. MG contributed to providing supervision of wet-lab experiments. SEP, FM, ÜTE and MD provided acquisition and interpretation of data. İK and AKS confirm the authenticity of all the raw data. All authors read and approved the final manuscript.

Ethics approval and consent to participate

Ethics approval for the present study was obtained by the Kütahya Health Sciences University Faculty of Medicine Non-Interventional Ethics Committee in May 2024 (approval no. 2024/06-23). Written informed consent was obtained from all participants prior to their inclusion in the study.

Patient consent for publication

Not applicable.

Competing interests

The authors declare that they have no competing interests.

References

1 

Raghu G, Remy-Jardin M, Richeldi L, Thomson CC, Inoue Y, Johkoh T, Kreuter M, Lynch DA, Maher TM, Martinez FJ, et al: Idiopathic pulmonary fibrosis (an update) and progressive pulmonary fibrosis in adults: An official ATS/ERS/JRS/ALAT clinical practice guideline. Am J Respir Crit Care Med. 205:e18–e47. 2022.PubMed/NCBI View Article : Google Scholar

2 

Maher TM, Bendstrup E, Dron L, Langley J, Smith G, Khalid JM, Patel H and Kreuter M: Global incidence and prevalence of idiopathic pulmonary fibrosis. Respir Res. 22(197)2021.PubMed/NCBI View Article : Google Scholar

3 

Cottin V, Tomassetti S, Valenzuela C, Walsh SLF, Antoniou KM, Bonella F, Brown KK, Collard HR, Corte TJ, Flaherty KR, et al: Integrating clinical probability into the diagnostic approach to idiopathic pulmonary fibrosis: An international working group perspective. Am J Respir Crit Care Med. 206:247–259. 2022.PubMed/NCBI View Article : Google Scholar

4 

Barratt SL, Creamer A, Hayton C and Chaudhuri N: Idiopathic pulmonary fibrosis (IPF): An overview. J Clin Med. 7(201)2018.PubMed/NCBI View Article : Google Scholar

5 

Chambers RC and Mercer PF: Mechanisms of alveolar epithelial injury, repair, and fibrosis. Ann Am Thorac Soc. 12 (Suppl 1):S16–S20. 2015.PubMed/NCBI View Article : Google Scholar

6 

Chanda D, Otoupalova E, Smith SR, Volckaert T, De Langhe SP and Thannickal VJ: Developmental pathways in the pathogenesis of lung fibrosis. Mol Aspects Med. 65:56–69. 2019.PubMed/NCBI View Article : Google Scholar

7 

Schafer MJ, White TA, Iijima K, Haak AJ, Ligresti G, Atkinson EJ, Oberg AL, Birch J, Salmonowicz H, Zhu Y, et al: Cellular senescence mediates fibrotic pulmonary disease. Nat Commun. 8(14532)2017.PubMed/NCBI View Article : Google Scholar

8 

Königshoff M, Balsara N, Pfaff EM, Kramer M, Chrobak I, Seeger W and Eickelberg O: Functional Wnt signaling is increased in idiopathic pulmonary fibrosis. PLoS One. 3(e2142)2008.PubMed/NCBI View Article : Google Scholar

9 

Newman DR, Sills WS, Hanrahan K, Ziegler A, Tidd KM, Cook E and Sannes PL: Expression of WNT5A in idiopathic pulmonary fibrosis and its control by TGF-β and WNT7B in human lung fibroblasts. J Histochem Cytochem. 64:99–111. 2016.PubMed/NCBI View Article : Google Scholar

10 

Martin-Medina A, Lehmann M, Burgy O, Hermann S, Baarsma HA, Wagner DE, De Santis MM, Ciolek F, Hofer TP, Frankenberger M, et al: Increased vesicles mediate WNT5A signaling in idiopathic pulmonary fibrosis. Am J Respir Crit Care Med. 198:1527–1538. 2018.PubMed/NCBI View Article : Google Scholar

11 

Königshoff M, Kramer M, Balsara N, Wilhelm J, Amarie OV, Jahn A, Rose F, Fink L, Seeger W, Schaefer L, et al: WNT1-inducible signaling protein-1 mediates pulmonary fibrosis in mice and is upregulated in humans with idiopathic pulmonary fibrosis. J Clin Invest. 119:772–787. 2009.PubMed/NCBI View Article : Google Scholar

12 

Berschneider B and Königshoff M: WNT1 inducible signaling pathway protein 1 (WISP1): A novel mediator linking development and disease. Int J Biochem Cell Biol. 43:306–309. 2011.PubMed/NCBI View Article : Google Scholar

13 

Baarsma H and Königshoff M: ‘WNT-er is coming’: WNT signalling in chronic lung diseases. Thorax. 72:746–759. 2017.PubMed/NCBI View Article : Google Scholar

14 

Mahler DA and Wells CK: Evaluation of clinical methods for rating dyspnea. Chest. 93:580–586. 1988.PubMed/NCBI View Article : Google Scholar

15 

Livak KJ and Schmittgen TD: Analysis of relative gene expression data using real-time quantitative PCR and the 2(-Delta Delta C(T)) method. Methods. 25:402–408. 2001.PubMed/NCBI View Article : Google Scholar

16 

Oldham JM, Neely Wojdyla DM, Gulati M, Li P, Patel DC, Palmer SM and Todd JL: IPF-PRO Registry Investigators. Changes in lung function and mortality risk in patients with idiopathic pulmonary fibrosis. Chest. 168:415–422. 2025.PubMed/NCBI View Article : Google Scholar

17 

Sharma S, Tantisira K, Carey V, Murphy AJ, Lasky-Su J, Celedón JC, Lazarus R, Klanderman B, Rogers A, Soto-Quirós M, et al: A role for Wnt signaling genes in the pathogenesis of impaired lung function in asthma. Am J Respir Crit Care Med. 181:328–336. 2010.PubMed/NCBI View Article : Google Scholar

18 

Carlier FM, Dupasquier S, Ambroise J, Detry B, Lecocq M, Biétry-Claudet C, Boukala Y, Gala JL, Bouzin C, Verleden SE, et al: Canonical WNT pathway is activated in the airway epithelium in chronic obstructive pulmonary disease. EBioMedicine. 61(103034)2020.PubMed/NCBI View Article : Google Scholar

19 

Guiot J, Henket M, Corhay JL, Moermans C and Louis R: Sputum biomarkers in IPF: Evidence for raised gene expression and protein level of IGFBP-2, IL-8 and MMP-7. PLoS One. 12(e0171344)2017.PubMed/NCBI View Article : Google Scholar

20 

Chilosi M, Poletti V, Zamò A, Lestani M, Montagna L, Piccoli P, Pedron S, Bertaso M, Scarpa A, Murer B, et al: Aberrant Wnt/beta-catenin pathway activation in idiopathic pulmonary fibrosis. Am J Pathol. 162:1495–1502. 2003.PubMed/NCBI View Article : Google Scholar

21 

Wu X, van Dijk EM, Ng-Blichfeldt JP, Bos IST, Ciminieri C, Königshoff M, Kistemaker LEM and Gosens R: Mesenchymal WNT-5A/5B signaling represses lung alveolar epithelial progenitors. Cells. 8(1147)2019.PubMed/NCBI View Article : Google Scholar

22 

Koçak A, Harmancı D, Güner Akdoğan G and Birlik M: Relationship of Wnt pathway activity and organ involvement in scleroderma types. Int J Rheum Dis. 23:1558–1567. 2020.PubMed/NCBI View Article : Google Scholar

23 

Al-Kuraishy HM, Batiha GE, Faidah H, Al-Gareeb AI, Saad HM and Simal-Gandara J: Pirfenidone and post-Covid-19 pulmonary fibrosis: Invoked again for realistic goals. Inflammopharmacology. 30:2017–2026. 2022.PubMed/NCBI View Article : Google Scholar

24 

Ding H, Chen J, Qin J, Chen R and Yi Z: TGF-β-induced α-SMA expression is mediated by C/EBPβ acetylation in human alveolar epithelial cells. Mol Med. 27(22)2021.PubMed/NCBI View Article : Google Scholar

25 

Cohen ML, Brumwell AN, Ho TC, Garakani K, Montas G, Leong D, Ding VW, Golden JA, Trinh BN, Jablons DM, et al: A fibroblast-dependent TGF-β1/sFRP2 noncanonical Wnt signaling axis promotes epithelial metaplasia in idiopathic pulmonary fibrosis. J Clin Invest. 134(e174598)2024.PubMed/NCBI View Article : Google Scholar

26 

Li X, Liu X, Deng R, Gao S, Yu H, Huang K, Jiang Q, Liu R, Li X, Zhang L, et al: Nintedanib inhibits Wnt3a-induced myofibroblast activation by suppressing the Src/β-catenin pathway. Front Pharmacol. 11(310)2020.PubMed/NCBI View Article : Google Scholar

27 

Koçak A, Gülle S and Birlik M: Porcupine inhibitors LGK-974 and ETC-159 inhibit Wnt/β-catenin signaling and result in inhibition of the fibrosis. Toxicol In Vitro. 104(105986)2025.PubMed/NCBI View Article : Google Scholar

28 

Shah K, Panchal S and Patel B: Porcupine inhibitors: Novel and emerging anti-cancer therapeutics targeting the Wnt signaling pathway. Pharmacol Res. 167(105532)2021.PubMed/NCBI View Article : Google Scholar

29 

Rodon J, Argilés G, Connolly RM, Vaishampayan U, de Jonge M, Garralda E, Giannakis M, Smith DC, Dobson JR, McLaughlin ME, et al: Phase 1 study of single-agent WNT974, a first-in-class porcupine inhibitor, in patients with advanced solid tumours. Br J Cancer. 125:28–37. 2021.PubMed/NCBI View Article : Google Scholar

Related Articles

  • Abstract
  • View
  • Download
  • Twitter
Copy and paste a formatted citation
Spandidos Publications style
Kaya I, Sezgi̇n AK, Gündüz MK, Parspur ŞE, Marim F, Doğan M and Erbay ÜT: Effects of the WNT signaling pathway on inflammation and fibrosis in idiopathic pulmonary fibrosis: Clinical, radiological and molecular evaluation. Exp Ther Med 31: 106, 2026.
APA
Kaya, I., Sezgi̇n, A.K., Gündüz, M.K., Parspur, Ş.E., Marim, F., Doğan, M., & Erbay, Ü.T. (2026). Effects of the WNT signaling pathway on inflammation and fibrosis in idiopathic pulmonary fibrosis: Clinical, radiological and molecular evaluation. Experimental and Therapeutic Medicine, 31, 106. https://doi.org/10.3892/etm.2026.13101
MLA
Kaya, I., Sezgi̇n, A. K., Gündüz, M. K., Parspur, Ş. E., Marim, F., Doğan, M., Erbay, Ü. T."Effects of the WNT signaling pathway on inflammation and fibrosis in idiopathic pulmonary fibrosis: Clinical, radiological and molecular evaluation". Experimental and Therapeutic Medicine 31.4 (2026): 106.
Chicago
Kaya, I., Sezgi̇n, A. K., Gündüz, M. K., Parspur, Ş. E., Marim, F., Doğan, M., Erbay, Ü. T."Effects of the WNT signaling pathway on inflammation and fibrosis in idiopathic pulmonary fibrosis: Clinical, radiological and molecular evaluation". Experimental and Therapeutic Medicine 31, no. 4 (2026): 106. https://doi.org/10.3892/etm.2026.13101
Copy and paste a formatted citation
x
Spandidos Publications style
Kaya I, Sezgi̇n AK, Gündüz MK, Parspur ŞE, Marim F, Doğan M and Erbay ÜT: Effects of the WNT signaling pathway on inflammation and fibrosis in idiopathic pulmonary fibrosis: Clinical, radiological and molecular evaluation. Exp Ther Med 31: 106, 2026.
APA
Kaya, I., Sezgi̇n, A.K., Gündüz, M.K., Parspur, Ş.E., Marim, F., Doğan, M., & Erbay, Ü.T. (2026). Effects of the WNT signaling pathway on inflammation and fibrosis in idiopathic pulmonary fibrosis: Clinical, radiological and molecular evaluation. Experimental and Therapeutic Medicine, 31, 106. https://doi.org/10.3892/etm.2026.13101
MLA
Kaya, I., Sezgi̇n, A. K., Gündüz, M. K., Parspur, Ş. E., Marim, F., Doğan, M., Erbay, Ü. T."Effects of the WNT signaling pathway on inflammation and fibrosis in idiopathic pulmonary fibrosis: Clinical, radiological and molecular evaluation". Experimental and Therapeutic Medicine 31.4 (2026): 106.
Chicago
Kaya, I., Sezgi̇n, A. K., Gündüz, M. K., Parspur, Ş. E., Marim, F., Doğan, M., Erbay, Ü. T."Effects of the WNT signaling pathway on inflammation and fibrosis in idiopathic pulmonary fibrosis: Clinical, radiological and molecular evaluation". Experimental and Therapeutic Medicine 31, no. 4 (2026): 106. https://doi.org/10.3892/etm.2026.13101
Follow us
  • Twitter
  • LinkedIn
  • Facebook
About
  • Spandidos Publications
  • Careers
  • Cookie Policy
  • Privacy Policy
How can we help?
  • Help
  • Live Chat
  • Contact
  • Email to our Support Team