Spandidos Publications Logo
  • About
    • About Spandidos
    • Aims and Scopes
    • Abstracting and Indexing
    • Editorial Policies
    • Reprints and Permissions
    • Job Opportunities
    • Terms and Conditions
    • Contact
  • Journals
    • All Journals
    • Oncology Letters
      • Oncology Letters
      • Information for Authors
      • Editorial Policies
      • Editorial Board
      • Aims and Scope
      • Abstracting and Indexing
      • Bibliographic Information
      • Archive
    • International Journal of Oncology
      • International Journal of Oncology
      • Information for Authors
      • Editorial Policies
      • Editorial Board
      • Aims and Scope
      • Abstracting and Indexing
      • Bibliographic Information
      • Archive
    • Molecular and Clinical Oncology
      • Molecular and Clinical Oncology
      • Information for Authors
      • Editorial Policies
      • Editorial Board
      • Aims and Scope
      • Abstracting and Indexing
      • Bibliographic Information
      • Archive
    • Experimental and Therapeutic Medicine
      • Experimental and Therapeutic Medicine
      • Information for Authors
      • Editorial Policies
      • Editorial Board
      • Aims and Scope
      • Abstracting and Indexing
      • Bibliographic Information
      • Archive
    • International Journal of Molecular Medicine
      • International Journal of Molecular Medicine
      • Information for Authors
      • Editorial Policies
      • Editorial Board
      • Aims and Scope
      • Abstracting and Indexing
      • Bibliographic Information
      • Archive
    • Biomedical Reports
      • Biomedical Reports
      • Information for Authors
      • Editorial Policies
      • Editorial Board
      • Aims and Scope
      • Abstracting and Indexing
      • Bibliographic Information
      • Archive
    • Oncology Reports
      • Oncology Reports
      • Information for Authors
      • Editorial Policies
      • Editorial Board
      • Aims and Scope
      • Abstracting and Indexing
      • Bibliographic Information
      • Archive
    • Molecular Medicine Reports
      • Molecular Medicine Reports
      • Information for Authors
      • Editorial Policies
      • Editorial Board
      • Aims and Scope
      • Abstracting and Indexing
      • Bibliographic Information
      • Archive
    • World Academy of Sciences Journal
      • World Academy of Sciences Journal
      • Information for Authors
      • Editorial Policies
      • Editorial Board
      • Aims and Scope
      • Abstracting and Indexing
      • Bibliographic Information
      • Archive
    • International Journal of Functional Nutrition
      • International Journal of Functional Nutrition
      • Information for Authors
      • Editorial Policies
      • Editorial Board
      • Aims and Scope
      • Abstracting and Indexing
      • Bibliographic Information
      • Archive
    • International Journal of Epigenetics
      • International Journal of Epigenetics
      • Information for Authors
      • Editorial Policies
      • Editorial Board
      • Aims and Scope
      • Abstracting and Indexing
      • Bibliographic Information
      • Archive
    • Medicine International
      • Medicine International
      • Information for Authors
      • Editorial Policies
      • Editorial Board
      • Aims and Scope
      • Abstracting and Indexing
      • Bibliographic Information
      • Archive
  • Articles
  • Information
    • Information for Authors
    • Information for Reviewers
    • Information for Librarians
    • Information for Advertisers
    • Conferences
  • Language Editing
Spandidos Publications Logo
  • About
    • About Spandidos
    • Aims and Scopes
    • Abstracting and Indexing
    • Editorial Policies
    • Reprints and Permissions
    • Job Opportunities
    • Terms and Conditions
    • Contact
  • Journals
    • All Journals
    • Biomedical Reports
      • Information for Authors
      • Editorial Policies
      • Editorial Board
      • Aims and Scope
      • Abstracting and Indexing
      • Bibliographic Information
      • Archive
    • Experimental and Therapeutic Medicine
      • Information for Authors
      • Editorial Policies
      • Editorial Board
      • Aims and Scope
      • Abstracting and Indexing
      • Bibliographic Information
      • Archive
    • International Journal of Epigenetics
      • Information for Authors
      • Editorial Policies
      • Editorial Board
      • Aims and Scope
      • Abstracting and Indexing
      • Bibliographic Information
      • Archive
    • International Journal of Functional Nutrition
      • Information for Authors
      • Editorial Policies
      • Editorial Board
      • Aims and Scope
      • Abstracting and Indexing
      • Bibliographic Information
      • Archive
    • International Journal of Molecular Medicine
      • Information for Authors
      • Editorial Policies
      • Editorial Board
      • Aims and Scope
      • Abstracting and Indexing
      • Bibliographic Information
      • Archive
    • International Journal of Oncology
      • Information for Authors
      • Editorial Policies
      • Editorial Board
      • Aims and Scope
      • Abstracting and Indexing
      • Bibliographic Information
      • Archive
    • Medicine International
      • Information for Authors
      • Editorial Policies
      • Editorial Board
      • Aims and Scope
      • Abstracting and Indexing
      • Bibliographic Information
      • Archive
    • Molecular and Clinical Oncology
      • Information for Authors
      • Editorial Policies
      • Editorial Board
      • Aims and Scope
      • Abstracting and Indexing
      • Bibliographic Information
      • Archive
    • Molecular Medicine Reports
      • Information for Authors
      • Editorial Policies
      • Editorial Board
      • Aims and Scope
      • Abstracting and Indexing
      • Bibliographic Information
      • Archive
    • Oncology Letters
      • Information for Authors
      • Editorial Policies
      • Editorial Board
      • Aims and Scope
      • Abstracting and Indexing
      • Bibliographic Information
      • Archive
    • Oncology Reports
      • Information for Authors
      • Editorial Policies
      • Editorial Board
      • Aims and Scope
      • Abstracting and Indexing
      • Bibliographic Information
      • Archive
    • World Academy of Sciences Journal
      • Information for Authors
      • Editorial Policies
      • Editorial Board
      • Aims and Scope
      • Abstracting and Indexing
      • Bibliographic Information
      • Archive
  • Articles
  • Information
    • For Authors
    • For Reviewers
    • For Librarians
    • For Advertisers
    • Conferences
  • Language Editing
Login Register Submit
  • This site uses cookies
  • You can change your cookie settings at any time by following the instructions in our Cookie Policy. To find out more, you may read our Privacy Policy.

    I agree
Search articles by DOI, keyword, author or affiliation
Search
Advanced Search
presentation
International Journal of Molecular Medicine
Join Editorial Board Propose a Special Issue
Print ISSN: 1107-3756 Online ISSN: 1791-244X
Journal Cover
December 2012 Volume 30 Issue 6

Full Size Image

Sign up for eToc alerts
Recommend to Library

Journals

International Journal of Molecular Medicine

International Journal of Molecular Medicine

International Journal of Molecular Medicine is an international journal devoted to molecular mechanisms of human disease.

International Journal of Oncology

International Journal of Oncology

International Journal of Oncology is an international journal devoted to oncology research and cancer treatment.

Molecular Medicine Reports

Molecular Medicine Reports

Covers molecular medicine topics such as pharmacology, pathology, genetics, neuroscience, infectious diseases, molecular cardiology, and molecular surgery.

Oncology Reports

Oncology Reports

Oncology Reports is an international journal devoted to fundamental and applied research in Oncology.

Experimental and Therapeutic Medicine

Experimental and Therapeutic Medicine

Experimental and Therapeutic Medicine is an international journal devoted to laboratory and clinical medicine.

Oncology Letters

Oncology Letters

Oncology Letters is an international journal devoted to Experimental and Clinical Oncology.

Biomedical Reports

Biomedical Reports

Explores a wide range of biological and medical fields, including pharmacology, genetics, microbiology, neuroscience, and molecular cardiology.

Molecular and Clinical Oncology

Molecular and Clinical Oncology

International journal addressing all aspects of oncology research, from tumorigenesis and oncogenes to chemotherapy and metastasis.

World Academy of Sciences Journal

World Academy of Sciences Journal

Multidisciplinary open-access journal spanning biochemistry, genetics, neuroscience, environmental health, and synthetic biology.

International Journal of Functional Nutrition

International Journal of Functional Nutrition

Open-access journal combining biochemistry, pharmacology, immunology, and genetics to advance health through functional nutrition.

International Journal of Epigenetics

International Journal of Epigenetics

Publishes open-access research on using epigenetics to advance understanding and treatment of human disease.

Medicine International

Medicine International

An International Open Access Journal Devoted to General Medicine.

Journal Cover
December 2012 Volume 30 Issue 6

Full Size Image

Sign up for eToc alerts
Recommend to Library

  • Article
  • Citations
    • Cite This Article
    • Download Citation
    • Create Citation Alert
    • Remove Citation Alert
    • Cited By
  • Similar Articles
    • Related Articles (in Spandidos Publications)
    • Similar Articles (Google Scholar)
    • Similar Articles (PubMed)
  • Download PDF
  • Download XML
  • View XML
Article

Transient prehypertensive treatment in spontaneously hypertensive rats: A comparison of losartan and amlodipine regarding long-term blood pressure, cardiac and renal protection

  • Authors:
    • Feng Peng
    • Jinxiu Lin
    • Liming Lin
    • Hong Tang
  • View Affiliations / Copyright

    Affiliations: The First Clinical Medical College of Fujian Medical University, Fuzhou 350005, P.R. China
  • Pages: 1376-1386
    |
    Published online on: October 9, 2012
       https://doi.org/10.3892/ijmm.2012.1153
  • Expand metrics +
Metrics: Total Views: 0 (Spandidos Publications: | PMC Statistics: )
Metrics: Total PDF Downloads: 0 (Spandidos Publications: | PMC Statistics: )
Cited By (CrossRef): 0 citations Loading Articles...

This article is mentioned in:



Abstract

The aim of this study was to compare the effectiveness of transient prehypertensive treatment with losartan compared with amlodipine in spontaneously hypertensive rats (SHRs) on long-term blood pressure (BP), cardiac and renal protection. SHRs were prehypertensively treated with losartan, amlodipine or saline. Rats were followed up until 46 weeks of age. The left ventricular (LV) geometry and function were assessed by echocardiography. Angiotensin II (Ang II) and aldosterone (Aldo) were measured by radioimmunoassay. Ang II type 1 (AT1R) and type 2 (AT2R) receptor protein expression was determined by western blotting. The systolic blood pressure (SBP) in losartan-treated SHRs (SHR-Los) was persistently reduced until 46 weeks of age, but returned to untreated SHR levels in amlodipine-treated SHRs (SHR-Aml) from 30 weeks onwards. Compared to untreated SHRs, the albuminuria excretion in SHR-Los at week 46 was markedly decreased, the plasma, myocardium and renal tissue Ang II and Aldo levels in SHR-Los at week 46 were markedly decreased; AT1R and TGF-β1 protein expression was downregulated and AT2R protein was upregulated. Compared to untreated SHRs, the left ventricular mass index (LVMI) and collagen volume fraction (CVF) in SHR-Los were markedly decreased until week 46, and the left ventricular ejection fraction (LVEF) and cardiac brain natriuretic peptide mRNA expression were improved, whereas similar LVMI and elevated CVF were observed in SHR-Aml, and the LVEF decreased significantly below that of untreated SHRs at week 46, with cardiac BNP mRNA expression increasing slightly. Prehypertensive treatment with losartan was more effective than amlodipine on delaying long-term BP increase and ameliorating cardiac, renal structure and function, which may be related to the permanent attenuation of the circulating and local renin-angiotensin systems.

Introduction

Evidence has demonstrated that individuals with prehypertension are at an increased risk of developing hypertension and suffering cardiovascular events, poor cognitive performance, type 2 diabetes, as well as kidney damage (1–5). Lifestyle modification is recommended as a basis for all subjects belonging to this blood pressure (BP) category by current guidelines for hypertension, and drug therapy is considered for individuals with hypertension concomitant with diabetes or kidney disease when a trial of lifestyle modification fails to reduce their BP to 130/80 mmHg or less (6). However, poor adherence makes its implementation into clinical settings difficult and relatively ineffective. Recently published TROPHY and PHARAO trials demonstrated that prehypertensive treatment with a renin-angiotensin system (RAS) inhibitor over a relatively short time reduces the risk of incident hypertension and is well tolerated (7,8). In addition, studies using spontaneously hypertensive rats (SHRs) also indicate that early and transient treatment with an angiotensin-converting-enzyme inhibitor (ACEI), angiotensin-receptor blockers (ARB) or aldosterone (Aldo) antagonist attenuates the development of hypertension and exerts cardiovascular protective effects up to an advanced age (9–11).

The aforementioned studies suggest that the reninangiotensin-Aldo system (RAAS) blockade may be a feasible and beneficial option for individuals with prehypertension, which raises the question whether the effects are restricted only to RAAS antagonists or whether they may also be extended to other forms of therapies, such as calcium channel blockers (CCBs). To our knowledge, this question remains unanswered.

CCBs are a heterogeneous class of drugs used in the treatment of coronary heart disease and hypertension. Amlodipine, a third-generation dihydropyridine CCB, is characterized by high vascular selectivity and relatively low negative inotropic effects. Previous studies involving animal models have proven that amlodipine is effective in preventing hypertension-related left ventricular hypertrophy (LVH) and dysfunction (12,13). However, research concerned with its use in the prehypertensive stage remains limited.

In the present study, we aimed to compare the effectiveness of prehypertensive treatment with losartan compared with amlodipine in SHRs on long-term BP, renal and cardiac protection, and to investigate the underlying mechanism of their effects.

Materials and methods

Animals and pharmacological treatment

A total of 72 four-week-old male SHRs (purchased from Shanghai Slac Laboratory Animal Co., Ltd.) were randomly divided into 3 groups and were administered losartan [losartan-treated SHRs (SHR-Los), 20 mg/kg/day, n=24], amlodipine [amlodipine-treated SHRs (SHR-Aml), 10 mg/kg/day, n=24] or saline (SHRs, n=24) by gavage for 6 weeks. Age- and gender-matched Wistar-Kyoto rats (WKYs, n=24) served as the normal control. Rats were housed 5/cage under controlled temperature (22±1°C) and humidity (60%) conditions, and were exposed to a 12-h dark-light cycle. Standard food and tap water were supplied ad libitum. All experiments were approved by the Animal Ethics Committee of Fujian Medical University and performed in accordance with institutional guidelines.

Experimental protocol

Rats were followed up until week 46. Systolic blood pressure (SBP) was measured at weeks 4 and 10 and monthly after treatment was stopped. Cardiac, renal structure and function, circulating and local RAS components were repeatedly assessed at weeks 14, 30 and 46, with 8 rats sacrificed/group at each time point for analysis. Cardiac, renal Ang II type 1 receptor (AT1R) and type 2 receptor (AT2R) protein were determined at weeks 14 and 46. Cardiac brain natriuretic peptide (BNP) mRNA was determined at week 46.

Blood pressure determinations

SBP was measured noninvasively in unanesthetized rats by the tail-cuff method using a specialized pressure transducer (PowerLab ML125/R NIBP System; ADInstruments) as previously described (14). SBP was determined when the cuff pressure corresponded to the restoration of the first caudal artery pulse. Three consecutive readings were averaged for each determination.

Evaluation of cardiac hypertrophy and fibrosis

Under anesthesia with chloral hydrate (300 mg/100 g, i.p.), the animals were sacrificed and the hearts were removed and blotted dry, the left ventricle (LV) was carefully dissected and weighed, and the left ventricular mass index (LVMI) (LV weight/100 g body weight) was calculated to indicate cardiac hypertrophy. Then, the hearts were further incubated for 24 h in formalin, embedded in paraffin and cut into 4-μm sections for Sirius Red staining. Sections were carefully scanned with a light microscope (Olympus, Japan) connected to a computer using the Image Pro Plus 6.0 software for histomorphometry at a magnification of ×100. The collagen volume fraction (CVF), an index of cardiac fibrosis, was determined as the percentage of the Sirius Red-stained area/total myocardial tissue area.

Echocardiography

Transthoracic echocardiography was performed on the animals in the left lateral decubitus position, after being anesthetized with chloral hydrate (300 mg/100 g, i.p.). A vivid 7 echocardiographic system (GE Healthcare, USA) with a 10-MHz transducer was used to obtain an M-mode echocardiogram from the long axis view of the LV. The left ventricular end-diastolic dimension (LVEDD), end-diastolic interventricular septum thickness (IVSTd) and left ventricular ejection fraction (LVEF) were measured following the guidelines of the American Society of Echocardiography (15).

24-h urinary albumin and creatinine clearance rate

The 24-h urine excretion was collected in metabolic cages. These studies were performed during the same weeks as the echocardiography. Urinary albumin was measured by immnonephelometric analysis (BN-II analyzer; Dade Behring, Eschborn, Germany). Creatine in serum and urine were measured by the sarcosine oxidase enzymic method using an automatic Biochemistry Analyzer (AU2700; Olympus) to calculate the creatinine clearance rate (CCr) with the standard formula: CCr = (urinary creatinine × 24-h urine flow)/(serum creatinine × 1440) mg/min.

Renal histology

The kidneys were removed from the animals under pentobarbital sodium anesthesia, fixed in 4% formalin and embedded in paraffin. Central cross-sections of the whole kidney including the cortex and medulla were prepared for examination. The glomerulosclerosis index (GSI) was measured in 4-μm sections, stained with periodic acid Schiff. GSI was calculated in both superficial and juxtamedullary glomeruli for the whole interstitial area with a light microscope (Olympus) by a nephropathologist in a blinded manner using a cumulative semi-quantitative scoring as previously described (16).

Plasma, renal cortex tissue and myocardium angiotensin II (Ang II) and Aldo

The heart and renal cortex tissues were weighed (100 mg), boiled and homogenized by Polytron in 1 ml PBS, respectively. The homogenate was centrifuged at 3,500 rpm for 10 min. The tissue supernatant and plasma Ang II and Aldo levels were determined by radioimmunoassay using a commercially available kit (Beijing North Institute of Biological Technology, Beijing, China).

Western blot analysis for AT1R and AT2R proteins

Western blot analysis was performed as described by Xu et al (17) Briefly, LV tissue (10 mg) and renal cortex tissue (10 mg) were electrophoresed on SDS-polyacrylamide gels under reducing conditions, respectively. Proteins were transferred onto nitro-cellulose membranes, blocked with 5% non-fat milk in TBS containing 0.05% Tween-20 (TBST) and then incubated with an anti-AT1R antibody (1:500, ab9391; Abcam), anti-AT2R antibody (1:800, ab19134; Abcam) or anti-actin antibody (1:1000, sc-1616; Santa Cruz Biotechnology, Inc.) overnight at 4°C. After 5 washes with TBST and 2 washes with TBS, the membranes were incubated for 1 h at room temperature with horseradish peroxidase-conjugated secondary antibody. Following another 2 washes with TBST, labeled proteins were visualized using ECL (sc-2048; Santa Cruz Biotechnology, Inc.) on high-performance chemiluminescence film. The intensity of the bands was quantified by densitometry with image analysis software. Results for AT1R and AT2R were expressed as a ratio of AT1R or AT2R over β-actin.

Quantification of cardiac BNP mRNA

Total RNA from ventricular tissue was isolated with TRIzol reagent (Invitrogen), and the concentration was determined by measuring the absorbance at 260 nm. The RNA was transcribed into cDNA using M-MLV reverse transcriptase (Promega) and amplified (Takara PCR Amplification kit) using primers (Table I) specific to each gene of interest. The cycle profiles were programed as follows: initial 5-min denaturation at 95°C followed by 35 cycles of denaturation at 95°C for 30 sec, annealing at 59 or 55°C (for BNP and GAPDH, respectively) for 30 sec and extension at 72°C for 30 sec, with a final extension at 72°C for 5 min. PCR products were analyzed by 1.5% agarose gel electrophoresis. The photodensity of amplified cDNA product bands was quantified by densitometry. The BNP mRNA abundance was defined as a ratio to GAPDH mRNA.

Table I

Primer sequences.

Table I

Primer sequences.

PrimerSequence 5′ to 3′Annealing temperature (°C)Amplification product (bp)
BNPUp GCTGCTTTGGGCAGAAGATAGA
Down ACAACCTCAGCCCGTCACA
59169
GAPDHUp CAACGGCACAGTCAAGG
Down CCAGTGGATGCAGGGAT
55468

[i] BNP, brain natriuretic peptide; GAPDH, glyceraldehyde phosphate dehydrogenase.

Statistical analysis

All analyses were performed with SPSS software version 13.0 (Chicago, IL, USA). Continuous data are presented as the means ± standard deviation (SD). Differences between groups were compared by one-way analysis of variance, followed by LSD t-test for multiple comparisons. P<0.05 values were considered to indicate a statistically significant difference. For all tests, a two-tailed P-value <0.05 was considered to indicate a significant result.

Results

Systolic blood pressure

At week 10, the SBP in the untreated SHRs was significantly higher compared to that in the WKYs (SHRs vs. WKYs: 170±5 vs. 116±8 mmHg, P<0.05). Prehypertensive treatment with losatran and amlodipine equally reduced BP to a midway level between untreated SHRs and WKYs (SHR-Los vs. SHR-Aml: 126±6 vs. 124±7 mmHg; P>0.05). After drug withdrawal, the SBP in SHR-Los remained significantly lower compared to that in untreated SHRs until week 46 (P<0.05), whereas SBP gradually increased to untreated SHR levels in SHR-Aml from 30 weeks onwards (P>0.05) (Fig. 1).

Figure 1

Comparison of SBP development in losartan-treated and amlodipine-treated SHRs after the discontinuation of prehypertensive treatment. SBP, systolic blood pressure. *P<0.05 vs. SHRs at the same age.

Evaluation of cardiac hypertrophy and fibrosis

Cardiac hypertrophy and fibrosis, expressed by the left ventricular hypertrophy index and myocardial CVF, respectively, were both significantly elevated in untreated SHRs compared with WKYs throughout the study (P<0.05). The LVMI and CVF in SHR-Los displayed similar values compared to those in WKYs at week 14 (LVMI, 2.29±0.34 vs. 2.33±0.21 mg/g; CVF, 2.6±0.7 vs. 2.6±0.4%, both P>0.05) and remained midway between untreated SHRs and WKYs at weeks 30 and 46 (P<0.05). Unlike losartan treatment, the LVMI in SHR-Aml was not different from that in untreated SHRs at weeks 14 and 46 (P>0.05), but was slightly reduced at week 30 (2.61±0.18 vs. 3.11±0.09 mg/g, P<0.05) (Fig. 2A); the CVF in SHR-Aml demonstrated comparable values to untreated SHRs at weeks 14 and 30 (P>0.05), but was significantly higher compared to that in untreated SHRs at week 46 (12.1±1.3 vs. 7.8±1.5%, P<0.05) (Fig. 2B).

Figure 2

(A) Comparison of the long-term effects on LVMI with prehypertensive losartan and amlodipine treatment. (B) Comparison of the long-term effects on CVF with prehypertensive losartan and amlodipine treatment. Myocardial interstitial collagen appears in red and cardiac myocytes in yellow after picrosirius red staining. Original magnification, ×10. *P<0.05 vs. SHRs at the same age; #P<0.05 vs. WKYs at the same age; &P<0.05 vs. SHR-Los at the same age. LVMI, left ventricular mass index; CVF, collagen volume fraction.

Echocardiography

As shown in Table II, the IVSTd in untreated SHRs was significantly higher compared to that in WKYs throughout the experiment (P<0.05), and the IVSTd in SHR-Los revealed similar values as in WKYs (P>0.05), whereas an insignificant reduction of IVSTd was observed in SHR-Aml compared with untreated SHRs (P>0.05). The LVEDDs in the WKY and SHR-Los groups remained stable over the follow-up period, but increased progressively in untreated SHRs and SHR-Aml at week 46 as compared to previous values. The LVEF deteriorated significantly in untreated SHRs and even more sharply in SHR-Aml as compared with WKYs at week 46 (SHR, 79.5±1.9%; SHR-Aml, 74.4±4.3%; WKY, 84.2±2.3%; both P<0.05), but values remained similar for the WKY and SHR-Los groups (83.1±2.3%).

Table II

Longitudinal echocardiographic evaluation of WKYs, untreated and prehypertensively treated SHRs.

Table II

Longitudinal echocardiographic evaluation of WKYs, untreated and prehypertensively treated SHRs.

GroupAge (Weeks)IVSTd (mm)LVEDD (mm)EF (%)
SHR142.52±0.236.9±0.683.2±2.9
302.64±0.176.9±0.683.5±2.7
462.60±0.257.6±0.7d79.5±1.9
WKY141.72±0.07a7.2±0.685.1±2.2
301.96±0.11a7.3±0.485.1±1.8
461.92±0.22a7.3±0.584.2±2.3a
SHR-Los141.78±0.12a7.2±0.983.2±3.2
301.85±0.13a7.2±0.582.8±2.5
461.88±0.16a7.3±0.483.1±2.3a
SHR-Aml14 2.62±0.15b,c6.8±0.782.7±3.1
30 2.54±0.21b,c7.0±0.380.5±4.6
46 2.52±0.22b,c7.8±0.7d 74.4±4.3a–c

{ label (or @symbol) needed for fn[@id='tfn2-ijmm-30-06-1376'] } IVSTd, end-diastolic interventricular septum thickness; LVEDD, left ventricular end-diastolic dimension; EF, ejection fraction.

a P<0.05 vs. SHRs at the same age;

b P<0.05 vs. WKYs at the same age;

c P<0.05 vs. SHR-Los at the same age;

d P<0.05 vs. previous follow-up time.

Renal state until advanced age

Compared with WKYs, 24-h albuminuria was increased in untreated SHRs and prehypertensively treated SHRs throughout the study period. A steep increase in albumin excretion was noticed in untreated SHRs (20.51±4.61 mg/day, P<0.05) and SHR-Aml (18.20±3.24 mg/day, P<0.05) at 30 weeks of age. However, this surge was blunted in SHR-Los (15.35±5.05 mg/day, P<0.05). Albuminuria, however, remained significantly higher in these rats compared to WKYs (9.24±1.40 mg/day). At 46 weeks of age, 24-h albuminuria remained low in WKYs (10.27±2.19 mg/day), but increased further in untreated SHRs (45.46±5.55 mg/day, P<0.05) and SHR-Aml (40.92±4.48 mg/day, P<0.05), whereas the difference between the two groups with respect to albuminuria was further pronounced (SHR-Los 22.66±3.16 mg/day, P<0.05). Contrary to 24-h albuminuria, continual decline in CCr occurred in the untreated SHR and SHR-Aml groups throughout the study period, whereas the level was stable in WKYs. A steep increase in CCr was noticed in untreated SHRs (0.71±0.06 ml/min, P<0.05) and SHR-Aml (1.11±0.10 ml/min, P<0.05) at 46 weeks of age. However, this surge was blunted in SHR-Los (1.52±0.08 ml/min, P<0.05). The data obtained are depicted in Table III. Glomerular morphology at 14 weeks of age demonstrated enhanced sclerosis in untreated SHRs as compared with WKYs. Intermediate values were revealed in SHR-Los and SHR-Aml. A rapid progression of glomerulosclerosis occurred in the untreated SHR and SHR-Aml groups. There were no differences in SHR-Aml compared to untreated SHRs, whereas SHR-Los had a significantly attenuated glomerulosclerosis compared to both groups in 46-week-old animals. This pattern was most pronounced in juxtamedullary glomeruli (Fig. 3A and B).

Figure 3

(A) Sections from rat kidneys with H&E staining. H&E-stained sections were evaluated by a veterinary pathologist who was blinded to the experimental conditions. The SHR group demonstrated a proliferation of mesangial cells and matrix, an enlargement of the mesangial region, glomerulosclerosis and a compressive deformation of capillary loops. The SHR-Los group demonstrated a significantly attenuated glomerulosclerosis compared to the SHR group. Treatment with losartan prevented the development of alterations. The SHR-Los group attenuated deposit of matrix, an inconspicuous enlargement of the mesangial region or proliferation of mesangial cells. A rapid progression of glomerulosclerosis occurred in the SHR-Aml group. All images were captured at a magnification of ×400. (B) Influence of losartan and amlodipine on glomerulosclerosis index (GSI). Values represent the means ± SD, n=8/group for analysis. *P<0.05 vs. SHRs at the same age; #P<0.05 vs. WKYs at the same age; &P<0.05 vs. SHR-Los at the same age.

Table III

Longitudinal renal function evaluation of WKYs, untreated and prehypertensively treated SHRs (n=8).

Table III

Longitudinal renal function evaluation of WKYs, untreated and prehypertensively treated SHRs (n=8).

GroupAge (Weeks)Serum creatinine (μmol/l)Serum urea nitrogen (mmol/l)CCr (ml/min)Albuminuria (mg/24 h)
SHR1430.84±4.347.79±1.001.76±0.1411.42±2.60
3037.80±7.097.87±1.241.40±0.1220.51±4.61
4641.25±5.188.85±1.300.71±0.0645.46±5.55
WKY1430.61±4.417.17±1.161.81±0.1210.65±1.91
3034.53±5.787.28±1.261.89±0.16a9.24±1.40a
4634.81±6.50a7.92±1.091.74±0.06a10.27±2.19a
SHR-Los1430.74±2.437.10±1.021.74±0.1110.44±1.40
3034.81±8.207.29±1.10 1.71±0.13a,b 15.35±5.05a,b
4635.40±5.19a8.21±1.21 1.52±0.08a,b 22.66±3.16a,b
SHR-Aml1431.50±3.537.46±0.691.79±0.1310.97±3.06
3033.96±6.467.56±0.70 1.70±0.11a,b18.20±3.24b
4636.44±3.758.35±1.18 1.11±0.10a–c 40.92±4.48b,c

{ label (or @symbol) needed for fn[@id='tfn7-ijmm-30-06-1376'] } CCr, creatinine clearance rate;

a P<0.05 vs. SHRs at the same age;

b P<0.05 vs. WKYs at the same age;

c P<0.05 vs. SHR-Los at the same age. The data are represented as the means ± SD.

Plasma, renal cortex tissue and myocardium Ang II and Aldo

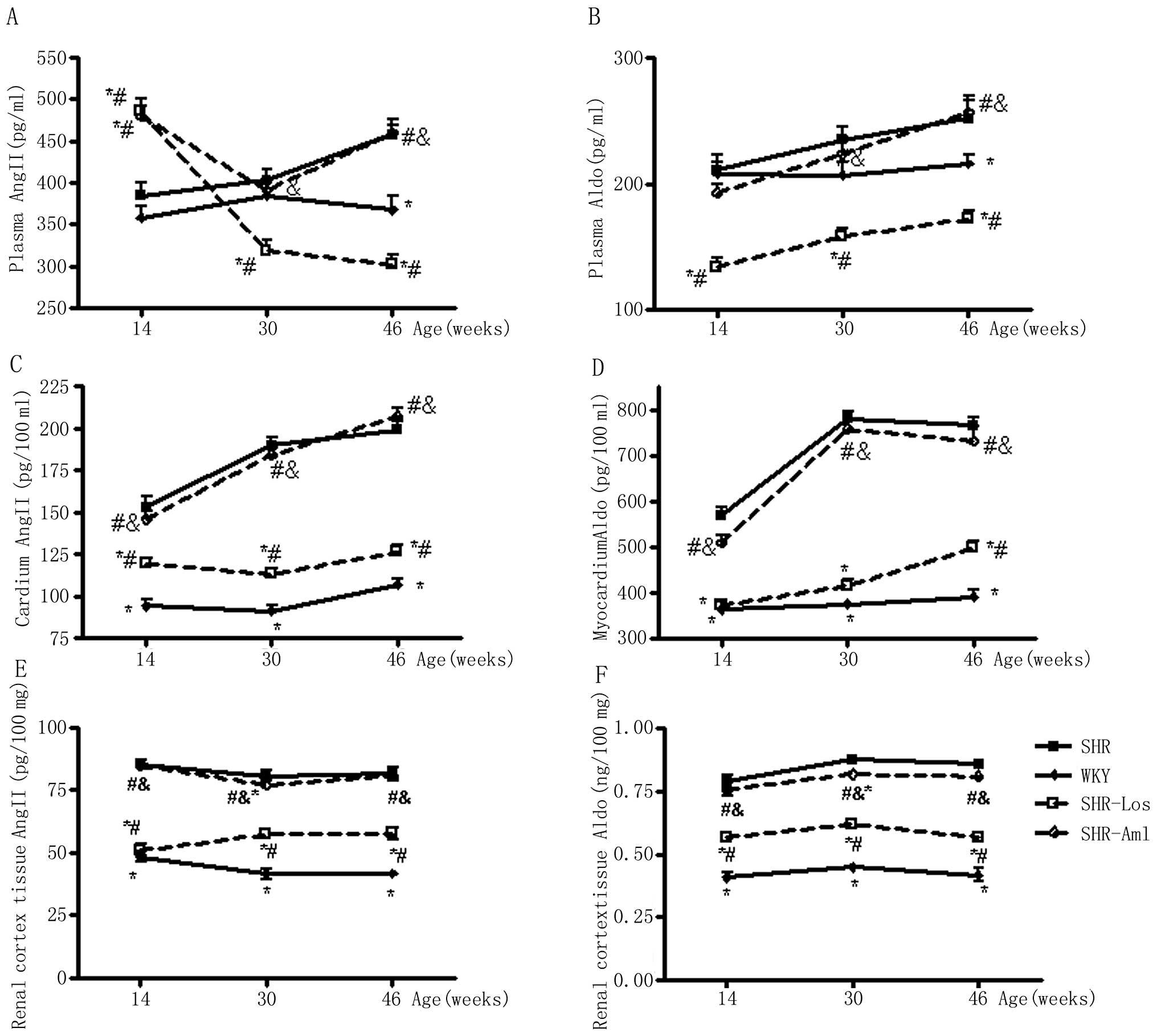
The plasma Ang II in untreated SHRs was comparable to WKYs at weeks 14 and 30, but was significantly higher compared to that in WKYs at week 46. The plasma Ang II in SHR-Los and SHR-Aml were both significantly higher compared to those in untreated SHRs at week 14 (P<0.05). At weeks 30 and 46, the plasma Ang II in SHR-Los was significantly reduced compared with the untreated SHR and WKY groups (P<0.05), whereas the plasma Ang II in SHR-Aml exhibited similar values to untreated SHRs (P>0.05). The difference in plasma Aldo between untreated SHR and WKY groups was consistent with that in plasma Ang II throughout the study period. The plasma Aldo in SHR-Los was permanently attenuated compared with untreated SHRs (P<0.05), however, no significant difference of plasma Aldo was observed between the SHR-Aml and untreated SHR groups (P>0.05) (Fig. 4A and B). The Ang II and Aldo of renal cortex tissue and myocardium in untreated SHRs were markedly higher compared to those in WKYs throughout the follow-up period. The myocardium Ang II and Aldo in SHR-Los were significantly decreased compared with untreated SHRs (P<0.05), whereas no significant difference of myocardium Ang II and Aldo was observed between the SHR-Aml and untreated SHR groups (P>0.05) (Fig. 4C and D). The renal cortex tissue Ang II and Aldo in SHR-Los were significantly decreased compared with untreated SHRs (P<0.05), whereas no significant difference of renal cortex tissue Ang II and Aldo was observed between the SHR-Aml and untreated SHR groups (P>0.05) (Fig. 4E and F and Table IV).

Figure 4

Comparison of the long-term effects of prehypertensive treatment with losartan and amlodipine on (A and B) plasma, (C and D) myocardium and (E and F) renal cortex tissue Ang II and Aldo levels. Ang II, angiotensin II; Aldo, aldosterone. *P<0.05 vs. SHRs at the same age; #P<0.05 vs. WKYs at the same age; &P<0.05 vs. SHR-Los at the same age; &P<0.05 vs. SHR-Los at the same age.

Table IV

Evaluation of longitudinal plasma and renal cortex tissue Ang II and Aldo levels of WKYs, untreated and prehypertensively treated SHRs (n=8).

Table IV

Evaluation of longitudinal plasma and renal cortex tissue Ang II and Aldo levels of WKYs, untreated and prehypertensively treated SHRs (n=8).

GroupAge (Weeks)Plasma Ang II (pg/ml)Plasma Aldo (ng/ml)Renal cortex tissue Ang II (pg/100 mg)Renal cortex tissue Ang II (ng/100 mg)
SHR14385.02±45.240.21±0.03385.15±5.530.79±0.076
30403.23±36.860.23±0.03180.66±6.540.88±0.035
46458.88±32.480.25±0.04181.34±7.030.86±0.041
WKY14358.18±78.020.20±0.02648.24±5.71a0.41±0.055a
30385.23±41.430.20±0.02941.64±5.79a0.45±0.041a
46 367.71±43.69a0.21±0.019a41.70±5.02a0.42±0.071a
SHR-Los14 485.18±94.25a,b 0.13±0.021a,b50.90±6.61a 0.57±0.035a,b
30 319.02±53.78a,b 0.15±0.020a,b 57.21±4.17a,b 0.62±0.042a,b
46 302.11±32.36a,b 0.17±0.020a,b 57.70±6.31a,b 0.57±0.056a,b
SHR-Aml14 478.92±73.99a,b0.19±0.019 84.75±4.96b,c 0.76±0.071b,c
30 391.39±40.56c0.22±0.036c 76.89±3.31a–c 0.82±0.022a–c
46 458.91±46.26b,c 0.25±0.036b,c 80.51±4.07b,c 0.81±0.052b,c

a P<0.05 vs. SHRs at the same age;

b P<0.05 vs. WKYs at the same age;

c P<0.05 vs. SHR-Los at the same age. The data are represented as the means ± SD.

Western blot analysis for AT1R and AT2R proteins

At weeks 14 and 46, the cardiac AT1R protein expression in untreated SHRs was significantly higher compared to that in WKYs (P<0.05), and the reverse occurred for the AT2R protein (P<0.05) (Fig. 5). The AT1R protein expression was downregulated while the AT2R protein was upregulated in the SHR-Los group as compared with untreated SHRs; no significant difference of the two protein levels was observed between the SHR-Aml and untreated SHR groups (P>0.05). The renal AT1R and AT2R protein expression levels were similar to the results of the cardiac levels at weeks 14 and 46, and TGF-β1 protein expression in untreated SHRs was significantly higher compared to that in WKYs (P<0.05). The renal TGF-β1 protein expression was lower in SHR-Los as compared with untreated SHRs, and no significant difference of the two protein levels was observed between the SHR-Aml and untreated SHR group (Fig 6).

Figure 5

Western blotting of AT1R and AT2R in myocardium of 14- and 46-week-old WKYs, and untreated and prehypertensively treated SHRs. AT1R, angiotensin II type 1 receptor; AT2R, angiotensin II type 2 receptor. *P<0.05 vs. SHR; #P<0.05 vs. WKY; &P<0.05 vs. SHR-Los.

Figure 6

Representative western blotting autoradiogram of AT1R, AT2R, TGF-β1 protein in renal cortex tissue of 14- and 46-week-old WKYs, and untreated and prehypertensively treated SHRs. *P<0.05 vs. SHR; #P<0.05 vs. WKY; &P<0.05 vs. SHR-Los.

Quantification of cardiac BNP mRNA

At week 46, the cardiac BNP mRNA expression in untreated SHRs was notably higher compared to that in WKYs (P<0.05), the cardiac BNP mRNA in SHR-Los was observably decreased as compared with untreated SHRs, but was still higher compared to that in WKYs (P<0.05) (Fig. 7). In contrast, the cardiac BNP mRNA expression in SHR-Aml was slightly and significantly increased compared with untreated SHRs (P<0.05).

Figure 7

Comparison of cardiac BNP mRNA expression in 46-week-old WKYs, untreated and prehypertensively treated SHRs. BNP, brain natriuretic peptide; GAPDH, glyceraldehyde phosphate dehydrogenase. *P<0.05 vs. SHR; #P<0.05 vs. WKY; &P<0.05 vs. SHR-Los.

Discussion

In the present study, we demonstrated that transient prehypertensive treatment with losartan was more effective than amlodipine in delaying a long-term blood pressure (BP) increase and ameliorating renal, cardiac structure and function, and that the mechanism responsible for losartan’s superiority may be due to its permanent attenuation of both circulating and local renin-angiotensin systems (RAS).

Our results demonstrated that although the antihypertensive effects were similar between the two therapeutic regimens during treatment, BP development differed significantly after drug withdrawal. BP in losartan-treated SHRs (SHR-Los) remained significantly lower compared to that in untreated SHRs until week 46, whereas BP in amlodipine-treated SHRs (SHR-Aml) returned to untreated SHR levels from 30 weeks onwards. This finding notably coincides with a previous study by Christensen et al (18) that SHR treatment with angiotensin-converting-enzyme inhibitor (ACEI) rather than β-blocker, vasodilator or calcium antagonist prevented BP increase after withdrawal of long-term treatment. Whether or not the ACEI or angiotensin-receptor blockers (ARB) had longer effects on BP reduction compared to other forms of therapies remains unclear. One possibility is related to the ‘RAS block memory’ via suppression of a ‘reno-vascular amplifier’ mechanism (19–21). According to this hypothesis, during the critical period of hypertension development in juveniles, increased BP leads to vascular hypertrophy in the resistance vessels, which decreases glomerular perfusion and results in increased synthesis of renin and activation of RAS. These changes cause a further BP increase and initiate a positive feedback loop. RAS inhibitors may block this vicious cycle by attenuating the rise in BP and importantly, by decreasing the vascular hypertrophy. Other possibilities are that alterations in the central RAS, decreases in plasma AVP levels and alterations in endothelial function may be involved in the prolonged hypotensive effect (22–24). Recently Baumann et al (25) demonstrated that a BP decrease after transient ARB is associated with an increased medullary blood flow and a reduced medullary pericyte number. These possibilities are not mutually exclusive, and it is possible that multiple mechanisms may be involved in the sustained suppression of BP. As to the prolonged pressure-lowering effects of amlodipine, BP development after drug withdrawal in our study was different from the result reported by Sevilla et al (26). They indicated that treatments of adult SHRs with 8 and 20 mg/kg/day of amlodipine for six months yielded persistent hypotensive effects even at three months after drug withdrawal. A potential reason for this difference was that amlodipine treatment was administered too early and for a limited time period to reverse vascular hypertrophy and break the vicious cycle.

With respect to the effects on cardiac protection, our results demonstrated that prehypertensive treatment with losartan permanently reduced cardiac hypertrophy and fibrosis until week 46. Longitudinal echocardiographic evaluation revealed identical values of interventricular septum thickness (IVSTd) between SHR-Los and WKYs, and the left ventricular end-diastolic dimension (LVEDD) remained stable over the follow-up period. Besides these, the left ventricular ejection fraction (LVEF) and cardiac BNP mRNA expression were improved in SHR-Los compared with untreated SHRs at week 46. All the above changes suggest prolonged cardioprotective effects by losartan treatment. The mechanism to determine how transient prehypertensive treatment with losartan exerts sustained cardiac protection is required. Previous studies have mainly explained the mechanism through the reduction of gene expression of cardiac Ang II type 1 receptor (AT1R) (10) or plasma Ang II concentration (27) and not by a BP decrease alone. In our study, we measured the circulating and local angiotensin II and Aldo levels by radioimmunoassay and discovered that, besides the suppressant effects on circulating RAS (at week 14, the plasma Ang II was elevated via negative feedback regulation), the cardiac RAS was also significantly inhibited, which has been proven to be involved in the pathogenesis of cardiac hypertrophy and fibrosis (28,29). Furthermore, western blot analysis detected a favorably altered AT1R/AT2R balance with losartan treatment, which consisted of downregulated cardiac AT1R protein but upregulated AT2R protein. Although how low levels of local Ang II act on high levels of AT2R to ameliorate cardiac damage remains unknown, our results revealed that transient prehypertensive treatment with losartan may maintain the circulating and local RAS in an initial low-activity or physiologic state. Unlike the results reported by Baumann et al (10) the SBP in our study remained lower compared to the untreated SHRs during the experimental period; thus, it cannot be precluded that the beneficial effects of losartan treatment is related to a BP decrease alone.

Noteworthy, the LVMI in amlodipine-treated SHR was similar to that in untreated SHRs at weeks 14 and 46, but was significantly decreased at week 30. The possible reason for this phenomenon is that the cardiac hypertrophy of SHRs is fully established between week 14 and 30 (30), and amlodipine treatment causes hypertrophy regression via its residual pressure reduction during this period and the antihypertrophy action tapers with the disappearance of antihypertensive effects from 30 weeks onwards. Unexpectedly, the SHR-Aml exhibited no difference in CVF from untreated SHRs at weeks 14 and 30, but an observably higher value compared to the untreated SHRs at week 46. Moreover, the echocardiography displayed enlarged LVEDD and declined EF at the end of follow-up, and RT-PCR assay detected a slightly and significantly increased expression of BNP mRNA. These results implied a detrimental effect of amlodipine treatment, which we speculated may be related to the negative inotropic effects of amlodipine since the plasma and myocardium Ang II and Aldo levels were comparable between SHR-Aml and untreated SHRs at week 46. Our speculation contradicted the commonly accepted properties of amlodipine of insignificant negative inotropic effects (31). The specific intervention period or inappropriate dose of amlodipine in our study may be responsible for this discrepancy, yet a detailed mechanism needs to be further investigated.

Circulating RAS regulates physiological responses, whereas the local RAS is activated during tissue injury and contributes to pathological processes, including cell proliferation/apoptosis, fibrosis and inflammation. Ang II is one key factor in the development of renal fibrosis. In this study, our data demonstrated that transient prehypertensive treatment with losartan reduces Ang II and Aldo concentrations both in plasma and renal tissue, upregulates AT2R protein expression while downregulating AT1R protein expression. It revealed that transient prehypertensive treatment with losartan may maintain the circulating and local RAS in a low-activity state. Furthermore, AT2R upregulation in SHR-Los inhibits progress of glomerulosclerosis, supporting key effects of AT1R/AT2R balance in fibrotic states. Although regulation of the expression of the AT2R is poorly understood, previous studies have proven the AT2R actions contribute to ARB effects in the kidney (32).

In summary, our results suggest that transient AT1R blockade in young SHRs is superior to the calcium antagonist on delaying long-term BP rise and ameliorating cardiac, renal structure and function, which corroborated the effectiveness and feasibility of an RAS inhibitor for prehypertensive treatment demonstrated by TROPHY and PHARAO trials. However, the superiority of ARB over a calcium channel blocker (CCB) observed in animal experiments should be cautiously interpreted when translated into clinical settings, since the prehypertensive condition of human beings is far more complicated (e.g., strain difference, attendant obesity, dyslipidemia or impaired glucose tolerance) as compared with SHRs. Moreover, since the recently published trial of DHYPP demonstrated that one year of candesartan treatment in subjects with high familial risk of future hypertension had no persistent effect on BP when treatment was discontinued (33), further studies to explore how to ‘apply’ the prolonged cardioprotective effects observed in animals to human beings is required. Nevertheless, our data have important clinical implications that ARB may be a better choice compared with CCB for hypertension prevention and cardiac protection.

Acknowledgements

This study was supported by a grant from the National Natural Science Foundation of China (81070207). Amlodipine was generously supplied by Pfizer Pharmaceutical, Inc. The authors would like to thank Meiyan Lin and Shusheng Liao for their technical support.

References

1. 

RS VasanMG LarsonEP LeipWB KannelD LevyAssessment of frequency of progression to hypertension in non-hypertensive participants in the Framingham Heart Study: a cohort studyLancet35816821686200110.1016/S0140-6736(01)06710-111728544

2. 

J HsiaKL MargolisCB EatonPrehypertension and cardiovascular disease risk in the Women’s Health InitiativeCirculation1158558602007

3. 

S KnechtH WerschingH LohmannHigh-normal blood pressure is associated with poor cognitive performanceHypertension51663668200810.1161/HYPERTENSIONAHA.107.10557718250360

4. 

DR MullicanC LorenzoSM HaffnerIs prehypertension a risk factor for the development of type 2 diabetes?Diabetes Care3218701872200910.2337/dc09-032819628813

5. 

T NinomiyaM KuboY DoiPrehypertension increases the risk for renal arteriosclerosis in autopsies: the Hisayama StudyJ Am Soc Nephrol1821352142200710.1681/ASN.200701006717582160

6. 

AV ChobanianGL BakrisHR BlackThe Seventh Report of the Joint National Committee on Prevention, Detection, Evaluation, and Treatment of High Blood Pressure: the JNC 7 reportJAMA28925602572200310.1001/jama.289.19.2560

7. 

S JuliusSD NesbittBM EganFeasibility of treating prehypertension with an angiotensin-receptor blockerN Engl J Med35416851697200610.1056/NEJMoa06083816537662

8. 

S LudersJ SchraderJ BergerThe PHARAO study: prevention of hypertension with the angiotensin-converting enzyme inhibitor ramipril in patients with high-normal blood pressure: a prospective, randomized, controlled prevention trial of the German Hypertension LeagueJ Hypertens2614871496200810.1097/HJH.0b013e3282ff8864

9. 

SB HarrapWM Van der MerweSA GriffinF MacphersonAF LeverBrief angiotensin converting enzyme inhibitor treatment in young spontaneously hypertensive rats reduces blood pressure long-termHypertension16603614199010.1161/01.HYP.16.6.603

10. 

M BaumannBJ JanssenJJ HermansTransient AT1 receptor-inhibition in prehypertensive spontaneously hypertensive rats results in maintained cardiac protection until advanced ageJ Hypertens25207215200710.1097/HJH.0b013e3280102bff

11. 

M BaumannJJ HermansBJ JanssenTransient prehypertensive treatment in spontaneously hypertensive rats: a comparison of spironolactone and losartan regarding long-term blood pressure and target organ damageJ Hypertens2525042511200710.1097/HJH.0b013e3282ef84f8

12. 

D TomassoniM SabbatiniF AmentaEffect of different dihydropyridine-type Ca2+ antagonists on left ventricle hypertrophy and coronary changes in spontaneously hypertensive ratsJ Cardiovasc Pharmacol41544552200312658055

13. 

M WatanabeH KawaguchiH OnozukaChronic effects of enalapril and amlodipine on cardiac remodeling in cardiomyopathic hamster heartsJ Cardiovasc Pharmacol32248259199810.1097/00005344-199808000-000129700987

14. 

RE WiddopXC LiA simple versatile method for measuring tail cuff systolic blood pressure in conscious ratsClin Sci (Lond)9319119419979337632

15. 

RM LangM BierigRB DevereuxRecommendations for chamber quantification: a report from the American Society of Echocardiography’s Guidelines and Standards Committee and the Chamber Quantification Writing Group, developed in conjunction with the European Association of Echocardiography, a branch of the European Society of CardiologyJ Am Soc Echocardiogr1814401463200516376782

16. 

J FloegeB HackmannV KliemAge-related glomerulosclerosis and interstitial fibrosis in Milan normotensive rats: a podocyte diseaseKidney Int51230243199710.1038/ki.1997.288995738

17. 

Y XuD KumarJR DyckAT(1) and AT(2) receptor expression and blockade after acute ischemia-reperfusion in isolated working rat heartsAm J Physiol Heart Circ Physiol282H1206H1215200210.1152/ajpheart.00839.200011893553

18. 

KL ChristensenLT JespersenMJ MulvanyDevelopment of blood pressure in spontaneously hypertensive rats after withdrawal of long-term treatment related to vascular structureJ Hypertens78390198910.1097/00004872-198902000-000022522478

19. 

K IshiguroH SasamuraY SakamakiH ItohT SarutaDevelopmental activity of the renin-angiotensin system during the ‘critical period’ modulates later L-NAME-induced hypertension and renal injuryHypertens Res3063752007

20. 

H NakayaH SasamuraM MifunePrepubertal treatment with angiotensin receptor blocker causes partial attenuation of hypertension and renal damage in adult Dahl salt-sensitive ratsNephron91710718200210.1159/00006503512138277

21. 

H SasamuraK HayashiK IshiguroH NakayaT SarutaH ItohPrevention and regression of hypertension: role of renal microvascular protectionHypertens Res32658664200910.1038/hr.2009.8519521419

22. 

AK KeatonCR WhiteKH BerecekCaptopril treatment and its withdrawal prevents impairment of endothelium-dependent responses in the spontaneously hypertensive ratClin Exp Hypertens20847866199810.3109/106419698090532519817606

23. 

L ZhangDG EdwardsKH BerecekEffects of early captopril treatment and its removal on plasma angiotensin converting enzyme (ACE) activity and arginine vasopressin in hypertensive rats (SHR) and normotensive rats (WKY)Clin Exp Hypertens18201226199610.3109/106419696090817658869001

24. 

JN WuKH BerecekPrevention of genetic hypertension by early treatment of spontaneously hypertensive rats with the angiotensin converting enzyme inhibitor captoprilHypertension22139146199310.1161/01.HYP.22.2.1398340149

25. 

M BaumannBJ JanssenJJ Rob HermansR BartholomeJF SmitsHA Struijker BoudierRenal medullary effects of transient prehypertensive treatment in young spontaneously hypertensive ratsActa Physiol (Oxf)196231237200910.1111/j.1748-1716.2008.01916.x18983459

26. 

MA SevillaF VocesR CarronAmlodipine decreases fibrosis and cardiac hypertrophy in spontaneously hypertensive rats: persistent effects after withdrawalLife Sci75881891200410.1016/j.lfs.2004.04.00415183079

27. 

K TakemoriH IshidaH ItoContinuous inhibition of the renin-angiotensin system and protection from hypertensive end-organ damage by brief treatment with angiotensin II type 1 receptor blocker in stroke-prone spontaneously hypertensive ratsLife Sci7722332245200510.1016/j.lfs.2004.12.048

28. 

M BaderRole of the local renin-angiotensin system in cardiac damage: a minireview focussing on transgenic animal modelsJ Mol Cell Cardiol3414551462200210.1006/jmcc.2002.207712431444

29. 

K MizunoM TaniS HashimotoEffects of losartan, a nonpeptide angiotensin II receptor antagonist, on cardiac hypertrophy and the tissue angiotensin II content in spontaneously hypertensive ratsLife Sci51367374199210.1016/0024-3205(92)90589-H

30. 

MA AdamsA BobikPI KornerDifferential development of vascular and cardiac hypertrophy in genetic hypertension. Relation to sympathetic functionHypertension14191202198910.1161/01.HYP.14.2.1912527201

31. 

R BurgesD MoiseyUnique pharmacologic properties of amlodipineAm J Cardiol732A9A199410.1016/0002-9149(94)90268-2

32. 

T NaitoLJ MaH YangAngiotensin type 2 receptor actions contribute to angiotensin type 1 receptor blocker effects on kidney fibrosisAm J Physiol Renal Physiol298F683F691201010.1152/ajprenal.00503.200920042458

33. 

K SkovH EiskjaerHE HansenJK MadsenS KvistMJ MulvanyTreatment of young subjects at high familial risk of future hypertension with an angiotensin-receptor blockerHypertension508995200710.1161/HYPERTENSIONAHA.107.08953217485597

Related Articles

  • Abstract
  • View
  • Download
  • Twitter
Copy and paste a formatted citation
Spandidos Publications style
Peng F, Lin J, Lin L and Tang H: Transient prehypertensive treatment in spontaneously hypertensive rats: A comparison of losartan and amlodipine regarding long-term blood pressure, cardiac and renal protection. Int J Mol Med 30: 1376-1386, 2012.
APA
Peng, F., Lin, J., Lin, L., & Tang, H. (2012). Transient prehypertensive treatment in spontaneously hypertensive rats: A comparison of losartan and amlodipine regarding long-term blood pressure, cardiac and renal protection. International Journal of Molecular Medicine, 30, 1376-1386. https://doi.org/10.3892/ijmm.2012.1153
MLA
Peng, F., Lin, J., Lin, L., Tang, H."Transient prehypertensive treatment in spontaneously hypertensive rats: A comparison of losartan and amlodipine regarding long-term blood pressure, cardiac and renal protection". International Journal of Molecular Medicine 30.6 (2012): 1376-1386.
Chicago
Peng, F., Lin, J., Lin, L., Tang, H."Transient prehypertensive treatment in spontaneously hypertensive rats: A comparison of losartan and amlodipine regarding long-term blood pressure, cardiac and renal protection". International Journal of Molecular Medicine 30, no. 6 (2012): 1376-1386. https://doi.org/10.3892/ijmm.2012.1153
Copy and paste a formatted citation
x
Spandidos Publications style
Peng F, Lin J, Lin L and Tang H: Transient prehypertensive treatment in spontaneously hypertensive rats: A comparison of losartan and amlodipine regarding long-term blood pressure, cardiac and renal protection. Int J Mol Med 30: 1376-1386, 2012.
APA
Peng, F., Lin, J., Lin, L., & Tang, H. (2012). Transient prehypertensive treatment in spontaneously hypertensive rats: A comparison of losartan and amlodipine regarding long-term blood pressure, cardiac and renal protection. International Journal of Molecular Medicine, 30, 1376-1386. https://doi.org/10.3892/ijmm.2012.1153
MLA
Peng, F., Lin, J., Lin, L., Tang, H."Transient prehypertensive treatment in spontaneously hypertensive rats: A comparison of losartan and amlodipine regarding long-term blood pressure, cardiac and renal protection". International Journal of Molecular Medicine 30.6 (2012): 1376-1386.
Chicago
Peng, F., Lin, J., Lin, L., Tang, H."Transient prehypertensive treatment in spontaneously hypertensive rats: A comparison of losartan and amlodipine regarding long-term blood pressure, cardiac and renal protection". International Journal of Molecular Medicine 30, no. 6 (2012): 1376-1386. https://doi.org/10.3892/ijmm.2012.1153
Follow us
  • Twitter
  • LinkedIn
  • Facebook
About
  • Spandidos Publications
  • Careers
  • Cookie Policy
  • Privacy Policy
How can we help?
  • Help
  • Live Chat
  • Contact
  • Email to our Support Team