Spandidos Publications Logo
  • About
    • About Spandidos
    • Aims and Scopes
    • Abstracting and Indexing
    • Editorial Policies
    • Reprints and Permissions
    • Job Opportunities
    • Terms and Conditions
    • Contact
  • Journals
    • All Journals
    • Oncology Letters
      • Oncology Letters
      • Information for Authors
      • Editorial Policies
      • Editorial Board
      • Aims and Scope
      • Abstracting and Indexing
      • Bibliographic Information
      • Archive
    • International Journal of Oncology
      • International Journal of Oncology
      • Information for Authors
      • Editorial Policies
      • Editorial Board
      • Aims and Scope
      • Abstracting and Indexing
      • Bibliographic Information
      • Archive
    • Molecular and Clinical Oncology
      • Molecular and Clinical Oncology
      • Information for Authors
      • Editorial Policies
      • Editorial Board
      • Aims and Scope
      • Abstracting and Indexing
      • Bibliographic Information
      • Archive
    • Experimental and Therapeutic Medicine
      • Experimental and Therapeutic Medicine
      • Information for Authors
      • Editorial Policies
      • Editorial Board
      • Aims and Scope
      • Abstracting and Indexing
      • Bibliographic Information
      • Archive
    • International Journal of Molecular Medicine
      • International Journal of Molecular Medicine
      • Information for Authors
      • Editorial Policies
      • Editorial Board
      • Aims and Scope
      • Abstracting and Indexing
      • Bibliographic Information
      • Archive
    • Biomedical Reports
      • Biomedical Reports
      • Information for Authors
      • Editorial Policies
      • Editorial Board
      • Aims and Scope
      • Abstracting and Indexing
      • Bibliographic Information
      • Archive
    • Oncology Reports
      • Oncology Reports
      • Information for Authors
      • Editorial Policies
      • Editorial Board
      • Aims and Scope
      • Abstracting and Indexing
      • Bibliographic Information
      • Archive
    • Molecular Medicine Reports
      • Molecular Medicine Reports
      • Information for Authors
      • Editorial Policies
      • Editorial Board
      • Aims and Scope
      • Abstracting and Indexing
      • Bibliographic Information
      • Archive
    • World Academy of Sciences Journal
      • World Academy of Sciences Journal
      • Information for Authors
      • Editorial Policies
      • Editorial Board
      • Aims and Scope
      • Abstracting and Indexing
      • Bibliographic Information
      • Archive
    • International Journal of Functional Nutrition
      • International Journal of Functional Nutrition
      • Information for Authors
      • Editorial Policies
      • Editorial Board
      • Aims and Scope
      • Abstracting and Indexing
      • Bibliographic Information
      • Archive
    • International Journal of Epigenetics
      • International Journal of Epigenetics
      • Information for Authors
      • Editorial Policies
      • Editorial Board
      • Aims and Scope
      • Abstracting and Indexing
      • Bibliographic Information
      • Archive
    • Medicine International
      • Medicine International
      • Information for Authors
      • Editorial Policies
      • Editorial Board
      • Aims and Scope
      • Abstracting and Indexing
      • Bibliographic Information
      • Archive
  • Articles
  • Information
    • Information for Authors
    • Information for Reviewers
    • Information for Librarians
    • Information for Advertisers
    • Conferences
  • Language Editing
Spandidos Publications Logo
  • About
    • About Spandidos
    • Aims and Scopes
    • Abstracting and Indexing
    • Editorial Policies
    • Reprints and Permissions
    • Job Opportunities
    • Terms and Conditions
    • Contact
  • Journals
    • All Journals
    • Biomedical Reports
      • Information for Authors
      • Editorial Policies
      • Editorial Board
      • Aims and Scope
      • Abstracting and Indexing
      • Bibliographic Information
      • Archive
    • Experimental and Therapeutic Medicine
      • Information for Authors
      • Editorial Policies
      • Editorial Board
      • Aims and Scope
      • Abstracting and Indexing
      • Bibliographic Information
      • Archive
    • International Journal of Epigenetics
      • Information for Authors
      • Editorial Policies
      • Editorial Board
      • Aims and Scope
      • Abstracting and Indexing
      • Bibliographic Information
      • Archive
    • International Journal of Functional Nutrition
      • Information for Authors
      • Editorial Policies
      • Editorial Board
      • Aims and Scope
      • Abstracting and Indexing
      • Bibliographic Information
      • Archive
    • International Journal of Molecular Medicine
      • Information for Authors
      • Editorial Policies
      • Editorial Board
      • Aims and Scope
      • Abstracting and Indexing
      • Bibliographic Information
      • Archive
    • International Journal of Oncology
      • Information for Authors
      • Editorial Policies
      • Editorial Board
      • Aims and Scope
      • Abstracting and Indexing
      • Bibliographic Information
      • Archive
    • Medicine International
      • Information for Authors
      • Editorial Policies
      • Editorial Board
      • Aims and Scope
      • Abstracting and Indexing
      • Bibliographic Information
      • Archive
    • Molecular and Clinical Oncology
      • Information for Authors
      • Editorial Policies
      • Editorial Board
      • Aims and Scope
      • Abstracting and Indexing
      • Bibliographic Information
      • Archive
    • Molecular Medicine Reports
      • Information for Authors
      • Editorial Policies
      • Editorial Board
      • Aims and Scope
      • Abstracting and Indexing
      • Bibliographic Information
      • Archive
    • Oncology Letters
      • Information for Authors
      • Editorial Policies
      • Editorial Board
      • Aims and Scope
      • Abstracting and Indexing
      • Bibliographic Information
      • Archive
    • Oncology Reports
      • Information for Authors
      • Editorial Policies
      • Editorial Board
      • Aims and Scope
      • Abstracting and Indexing
      • Bibliographic Information
      • Archive
    • World Academy of Sciences Journal
      • Information for Authors
      • Editorial Policies
      • Editorial Board
      • Aims and Scope
      • Abstracting and Indexing
      • Bibliographic Information
      • Archive
  • Articles
  • Information
    • For Authors
    • For Reviewers
    • For Librarians
    • For Advertisers
    • Conferences
  • Language Editing
Login Register Submit
  • This site uses cookies
  • You can change your cookie settings at any time by following the instructions in our Cookie Policy. To find out more, you may read our Privacy Policy.

    I agree
Search articles by DOI, keyword, author or affiliation
Search
Advanced Search
presentation
International Journal of Molecular Medicine
Join Editorial Board Propose a Special Issue
Print ISSN: 1107-3756 Online ISSN: 1791-244X
Journal Cover
2014-April Volume 33 Issue 4

Full Size Image

Sign up for eToc alerts
Recommend to Library

Journals

International Journal of Molecular Medicine

International Journal of Molecular Medicine

International Journal of Molecular Medicine is an international journal devoted to molecular mechanisms of human disease.

International Journal of Oncology

International Journal of Oncology

International Journal of Oncology is an international journal devoted to oncology research and cancer treatment.

Molecular Medicine Reports

Molecular Medicine Reports

Covers molecular medicine topics such as pharmacology, pathology, genetics, neuroscience, infectious diseases, molecular cardiology, and molecular surgery.

Oncology Reports

Oncology Reports

Oncology Reports is an international journal devoted to fundamental and applied research in Oncology.

Experimental and Therapeutic Medicine

Experimental and Therapeutic Medicine

Experimental and Therapeutic Medicine is an international journal devoted to laboratory and clinical medicine.

Oncology Letters

Oncology Letters

Oncology Letters is an international journal devoted to Experimental and Clinical Oncology.

Biomedical Reports

Biomedical Reports

Explores a wide range of biological and medical fields, including pharmacology, genetics, microbiology, neuroscience, and molecular cardiology.

Molecular and Clinical Oncology

Molecular and Clinical Oncology

International journal addressing all aspects of oncology research, from tumorigenesis and oncogenes to chemotherapy and metastasis.

World Academy of Sciences Journal

World Academy of Sciences Journal

Multidisciplinary open-access journal spanning biochemistry, genetics, neuroscience, environmental health, and synthetic biology.

International Journal of Functional Nutrition

International Journal of Functional Nutrition

Open-access journal combining biochemistry, pharmacology, immunology, and genetics to advance health through functional nutrition.

International Journal of Epigenetics

International Journal of Epigenetics

Publishes open-access research on using epigenetics to advance understanding and treatment of human disease.

Medicine International

Medicine International

An International Open Access Journal Devoted to General Medicine.

Journal Cover
2014-April Volume 33 Issue 4

Full Size Image

Sign up for eToc alerts
Recommend to Library

  • Article
  • Citations
    • Cite This Article
    • Download Citation
    • Create Citation Alert
    • Remove Citation Alert
    • Cited By
  • Similar Articles
    • Related Articles (in Spandidos Publications)
    • Similar Articles (Google Scholar)
    • Similar Articles (PubMed)
  • Download PDF
  • Download XML
  • View XML
Article

Resveratrol inhibits BMP-4-stimulated VEGF synthesis in osteoblasts: Suppression of S6 kinase

  • Authors:
    • Akira Kondo
    • Takanobu Otsuka
    • Gen Kuroyanagi
    • Naohiro Yamamoto
    • Rie Matsushima-Nishiwaki
    • Jun Mizutani
    • Osamu Kozawa
    • Haruhiko Tokuda
  • View Affiliations / Copyright

    Affiliations: Department of Orthopedic Surgery, Nagoya City University Graduate School of Medical Sciences, Nagoya, Aichi 467-8601, Japan, Department of Pharmacology, Gifu University Graduate School of Medicine, Gifu, Gifu 501-1194, Japan
  • Pages: 1013-1018
    |
    Published online on: January 17, 2014
       https://doi.org/10.3892/ijmm.2014.1626
  • Expand metrics +
Metrics: Total Views: 0 (Spandidos Publications: | PMC Statistics: )
Metrics: Total PDF Downloads: 0 (Spandidos Publications: | PMC Statistics: )
Cited By (CrossRef): 0 citations Loading Articles...

This article is mentioned in:



Abstract

Resveratrol is well known as a natural polyphenol abundantly found in red wine. We previously reported that bone morphogenetic protein-4 (BMP-4) stimulates vascular endothelial growth factor (VEGF) synthesis via p70 S6 kinase in osteoblast-like MC3T3-E1 cells. In the present study, we investigated the effect of resveratrol on the BMP-4-stimulated VEGF synthesis in MC3T3-E1 cells. Resveratrol significantly suppressed BMP-4-stimulated release and expression levels of VEGF mRNA. SRT1720, an activator of SIRT1 with potencies greater than resveratrol, also reduced VEGF release and the mRNA levels. Both resveratrol and SRT1720 markedly attenuated the BMP-4-induced phosphorylation of p70 S6 kinase without affecting the BMP-4-induced phosphorylation of Smad1/5/8. These findings strongly suggest that resveratrol attenuates BMP-4-stimulated VEGF synthesis through suppression of the activation of p70 S6 kinase in osteoblasts, and that the inhibitory effect is mediated at least in part by SIRT1 activation.

Introduction

Bone metabolism is strictly regulated by osteoblasts and osteoclasts, which are responsible for bone formation and bone resorption, respectively (1). These functional cells are considered to affect one another via humoral factors as well as by direct cell-to-cell interaction. It has been firmly established that osteoblasts also play a crucial role in the regulation of bone resorption through receptor activator of nuclear factor-κB ligand (RANKL) expression in response to a variety of bone resorptive stimuli (2). The resorption of preexisting bone by osteoclasts and the formation of new bone by osteoblasts, bone remodeling, is a strictly coordinated process to maintain adequate bone mass. The disorder of bone remodeling causes metabolic bone diseases such as osteoporosis and fracture healing distress. In the process of bone remodeling, it is generally recognized that numerous humoral factors including cytokines and growth factors play pivotal roles (3).

Bone morphogenetic proteins (BMPs) are multifunctional cytokines and belong to the transforming growth factor-β (TGF-β) superfamily (4). It is well known that BMPs expressed in bone are essential for skeletal development and bone remodeling (5). The effects of BMPs on osteoblasts are exerted through Smad (Smad1/5/8)-dependent signaling and Smad-independent signaling such as the mitogen-activated protein (MAP) kinase family (4,6). Moreover, vascular endothelial growth factor (VEGF) is currently recognized to play critical roles in effective coupling of angiogenesis and osteogenesis (7). Among bone cells, the osteoblast lineage is considered as a major source of VEGF (7). In addition, the receptors for VEGF are expressed both on osteoblasts and osteoclasts (7). The production of VEGF by osteoblasts is reportedly modulated by a wide range of stimulations including hormonal, mechanical and environmental influences, suggesting that VEGF synthesis by osteoblasts plays a crucial role for the control of angiogenesis in bone via an autocrine and/or paracrine mechanism (7). We previously demonstrated that BMP-4 stimulates VEGF synthesis through activation of p70 S6 kinase in osteoblast-like MC3T3-E1 cells (8,9).

It has been firmly established that polyphenolic compounds in foods such as vegetables and fruits confer beneficial effects on human being. It has been reported that flavonoids, among the polyphenolic compounds, possess antioxidative, anti-inflammatory and anti-tumor effects (10,11). Resveratrol, a natural polyphenol found abundantly in the skins of red grapes and red wine, has recently received increased attention as a means to improve health and prolong life (12,13). In mammalian cells, the effects of resveratrol are recognized to be dependent upon SIRT1, known as a longevity gene, improving the function of cells and organs via activation of the nicotinamide adenine dinucleotide (NAD+)-dependent deacetylase (14). Regarding the effects of resveratrol on bone, it has been shown that resveratrol promotes osteoblast differentiation (15,16). However, the exact mechanisms underlying the effects of resveratrol on bone metabolism have not yet been clarified.

In the present study, we investigated the effect of resveratrol on BMP-4-stimulated VEGF synthesis in osteoblast-like MC3T3-E1 cells and the related mechanisms. We demonstrated that resveratrol suppresses BMP-4-stimulated VEGF synthesis via inhibition of p70 S6 kinase in these cells.

Materials and methods

Materials

Resveratrol and SRT1720 were obtained from Calbiochem-Novabiochem Co. (La Jolla, CA, USA). BMP-4 and mouse VEGF enzyme-linked immunosorbent assay (ELISA) kits were obtained from R&D Systems, Inc. (Minneapolis, MN, USA). Phospho-specific Smad1/5/8 antibodies, phospho-specific p70 S6 kinase antibodies and p70 S6 kinase antibodies were obtained from Cell Signaling Technology, Inc. (Beverly, MA, USA). Glyceraldehyde-3-phosphate dehydrogenase (GAPDH) antibodies were obtained from Santa Cruz Biotechnology, Inc. (Santa Cruz, CA, USA). An ECL Western blotting detection system was obtained from GE Healthcare (Buckinghamshire, UK). TRIzol reagent was purchased from Invitrogen, Co. (Carlsbad, CA, USA). FastStart DNA Master SYBR-Green I was purchased from Roche Diagnostics (Mannheim, Germany). Omniscript Reverse Transcriptase kit was purchased from Qiagen, Inc. (Hilden, Germany). Other materials and chemicals were obtained from commercial sources. Resveratrol and SRT1720 were dissolved in dimethyl sulfoxide. The maximum concentration of dimethyl sulfoxide was 0.1%, which did not affect either the assay for VEGF or western blot analysis.

Cell culture

Cloned osteoblast-like MC3T3-E1 cells, which were derived from newborn mouse calvaria (17), were maintained as previously described (18). Briefly, the cells were cultured in α-minimum essential medium (α-MEM) containing 10% fetal calf serum (FCS) at 37°C in a humidified atmosphere of 5% CO2/95% air. The cells were seeded into 35-mm (5×104 cells/dish) or 90-mm (2×105 cells/dish) diameter dishes in α-MEM containing 10% FCS. After 5 days, the medium was replaced with α-MEM containing 0.3% FCS. The cells were used for experiments after 48 h.

Assay for VEGF

The cultured cells were pretreated with various doses of resveratrol, SRT1720 or vehicle for 60 min, and then stimulated with 70 ng/ml of BMP-4 or vehicle in 1 ml of α-MEM containing 0.3% FCS for the indicated periods. The conditioned medium was collected, and VEGF in the medium was then measured by mouse VEGF ELISA kits according to the manufacturer’s protocol.

Real-time RT-PCR

The cultured cells were pretreated with 50 μM of resveratrol, 10 μM of SRT1720 or vehicle for 60 min, and then stimulated with 70 ng/ml of BMP-4 or vehicle in α-MEM containing 0.3% FCS for 24 h. Total RNA was isolated and transcribed into complementary DNA using TRIzol reagent and the Omniscript Reverse Transcriptase kit, respectively. Real-time RT-PCR was performed using a LightCycler system in capillaries and FastStart DNA Master SYBR-Green I provided with the kit. Sense and antisense primers for mouse VEGF or GAPDH mRNA were purchased from Takara Bio, Inc. (Tokyo, Japan) (primer set ID: MA039013). The amplified products were determined by melting curve analysis and agarose electrophoresis. VEGF mRNA levels were normalized with those of GAPDH mRNA.

Western blot analysis

The cultured cells were stimulated with BMP-4 for the indicated periods. When indicated, the cells were pretreated with resveratrol or SRT1720 for 60 min. The cells were washed twice with phosphate-buffered saline and then lysed, homogenized and sonicated in a lysis buffer containing 62.5 mM Tris/HCl, pH 6.8, 2% sodium dodecyl sulfate (SDS), 50 mM dithiothreitol and 10% glycerol. SDS-polyacrylamide gel electrophoresis (PAGE) was performed by the method described by Laemmli (19) on 10% polyacrylamide gels. Western blot analysis was performed as described previously (20) by using phospho-specific Smad1/5/8 antibodies, phospho-specific p70 S6 kinase antibodies, p70 S6 kinase antibodies or GAPDH antibodies, with peroxidase-labeled antibodies raised in goat against rabbit IgG being used as secondary antibodies. The peroxidase activity on the PVDF membrane was visualized on X-ray film by means of the ECL western blotting detection system.

Statistical analysis

The data were analyzed by ANOVA followed by Bonferroni method for multiple comparisons between pairs, and values of P<0.05 were considered to indicate statistically significant results. All data are presented as the mean ± standard error of the mean (SEM) of triplicate determinations from three independent cell preparations.

Results

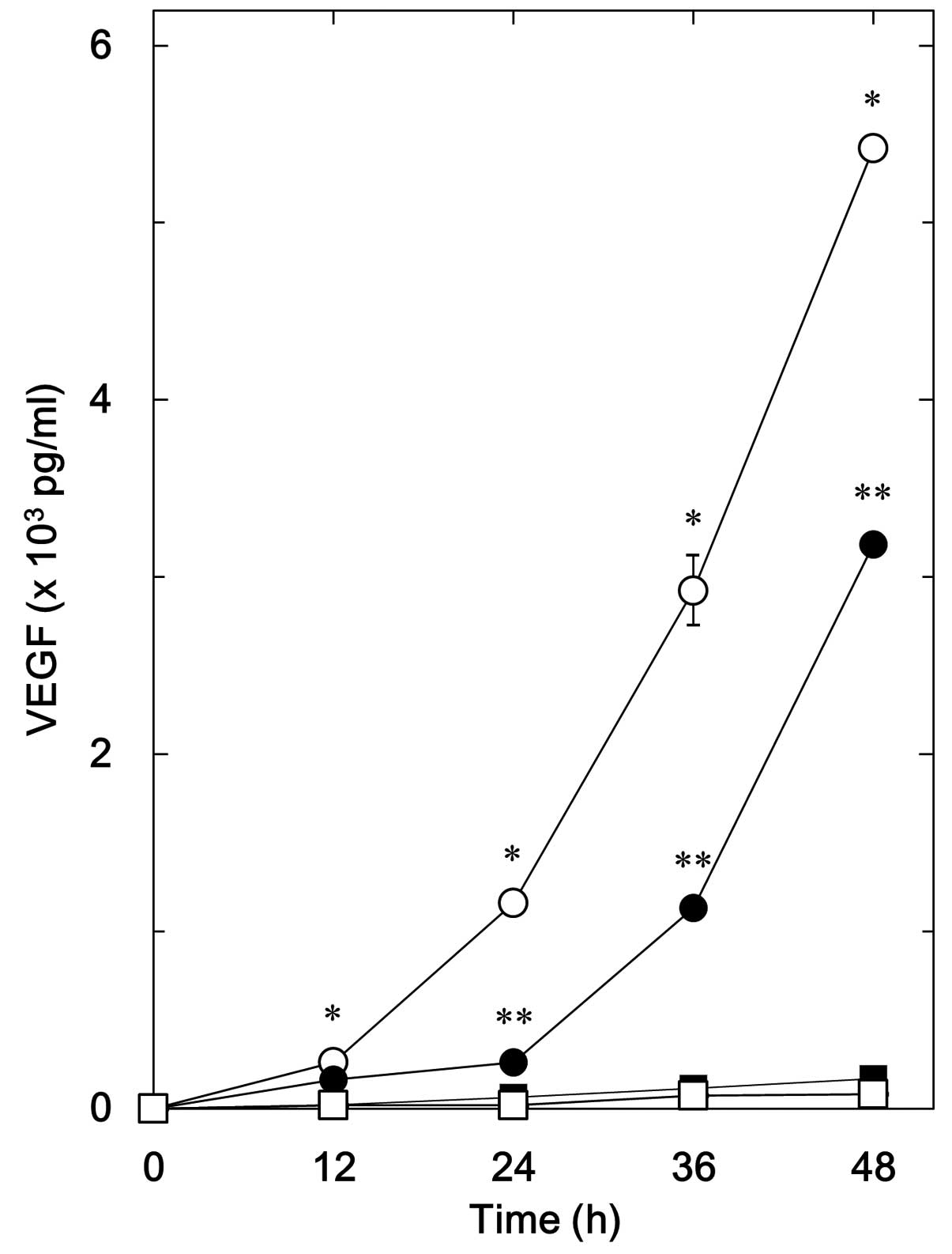
Effect of resveratrol on BMP-4-stimulated VEGF release in MC3T3-E1 cells

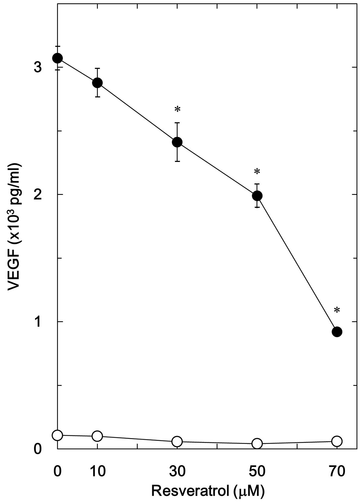
We previously demonstrated that BMP-4 stimulates the synthesis of VEGF in osteoblast-like MC3T3-E1 cells (8). We first examined the effect of resveratrol on BMP-4-stimulated VEGF release. Resveratrol, which alone had little effect on VEGF levels, significantly suppressed BMP-4-stimulated VEGF release in MC3T3-E1 cells (Fig. 1). The inhibitory effect of resveratrol on VEGF synthesis was dose-dependent in the range between 10 and 70 μM (Fig. 2). Resveratrol (70 μM) caused an ~70% decrease in the BMP-4-mediated effect.

Figure 1

Effect of resveratrol on bone morphogenetic protein-4 (BMP-4)-stimulated vascular endothelial growth factor (VEGF) release in MC3T3-E1 cells. The cultured cells were pretreated with 50 μM of resveratrol (● and ■) or vehicle (○ and □) for 60 min, and then stimulated with 70 ng/ml of BMP-4 (● and ○) or vehicle (■ and □) for the indicated time periods. VEGF concentrations in the culture medium were determined by ELISA. Each value represents the mean ± standard error of the mean (SEM) of triplicate determinations from three independent cell preparations. *P<0.05, compared to the value of the control; **P<0.05, compared to the value in cells treated with BMP-4 alone.

Figure 2

Dose-dependent effect of resveratrol on bone morphogenetic protein-4 (BMP-4)-stimulated vascular endothelial growth factor (VEGF) release in MC3T3-E1 cells. The cultured cells were pretreated with various doses of resveratrol for 60 min, and then stimulated with 70 ng/ml of BMP-4 (●) or vehicle (○) for 48 h, followed by measurement of VEGF in the respective media. VEGF concentrations in the culture medium were determined by ELISA. Each value represents the mean ± standard error of the mean (SEM) of triplicate determinations from three independent cell preparations. *P<0.05, compared to the value of the control.

Effect of resveratrol on BMP-4-induced expression levels of VEGF mRNA in MC3T3-E1 cells

To investigate whether the suppressive effect of resveratrol on BMP-4-stimulated VEGF release is mediated through a transcriptional event, we next examined the effect of resveratrol on BMP-4-induced VEGF mRNA expression. Resveratrol significantly reduced the VEGF mRNA expression levels induced by BMP-4 (Fig. 3).

Figure 3

Effect of resveratrol on bone morphogenetic protein-4 (BMP-4)-induced expression levels of vascular endothelial growth factor (VEGF) mRNA in MC3T3-E1 cells. The cultured cells were pretreated with 50 μM of resveratrol or vehicle for 60 min, and then stimulated with 70 ng/ml of BMP-4 or vehicle for 24 h. The respective total RNA was then isolated and quantified by real-time RT-PCR. Each value represents the mean ± standard error of the mean (SEM) of triplicate determinations from three independent cell preparations. *P<0.05 compared to the value of the control; **P<0.05 compared to the value in cells treated with BMP-4 alone.

Effects of SRT1720 on the release of VEGF and the mRNA expression stimulated by BMP-4 in MC3T3-E1 cells

SRT1720 is also known as an activator of SIRT1 as well as resveratrol, and the potencies are estimated to be ~1,000-fold greater than resveratrol (21,22). Next, we investigated the effect of SRT1720 on BMP-4-stimulated VEGF synthesis in MC3T3-E1 cells. SRT1720, which alone had little effect on VEGF release, significantly suppressed the BMP-4-stimulated VEGF release (Table I). In addition, SRT1720, which alone did not affect the VEGF mRNA expression levels, significantly reduced the expression levels of VEGF mRNA induced by BMP-4 (Table II).

Table I

Effect of SRT1720 on BMP-4-stimulated VEGF release in MC3T3-E1 cells.

Table I

Effect of SRT1720 on BMP-4-stimulated VEGF release in MC3T3-E1 cells.

SRT1720BMP-4VEGF (pg/ml)
−−36.9±1.2
−+2577.0±202.1a
+−32.4±2.2
++1124.4±46.1b

{ label (or @symbol) needed for fn[@id='tfn1-ijmm-33-04-1013'] } The cultured cells were pretreated with 10 μM of SRT1720 or vehicle for 60 min, and then stimulated with 70 ng/ml of BMP-4 or vehicle for 48 h, followed by measurement of VEGF in the respective media. Each value represents the mean ± SEM of triplicate determinations from three independent cell preparations.

a P<0.05, compared to the value of the control.

b P<0.05, compared to the value in cells treated with BMP-4 alone.

{ label (or @symbol) needed for fn[@id='tfn4-ijmm-33-04-1013'] } BMP-4, bone morphogenetic protein-4; VEGF, vascular endothelial growth factor.

Table II

Effect of SRT1720 on BMP-4-induced expression levels of VEGF mRNA in MC3T3-E1 cells.

Table II

Effect of SRT1720 on BMP-4-induced expression levels of VEGF mRNA in MC3T3-E1 cells.

SRT1720BMP-4VEGF mRNA/GAPDH mRNA
−−1.49±0.30
−+8.60±0.71a
+−1.51±0.26
++ 5.94±0.12b

{ label (or @symbol) needed for fn[@id='tfn5-ijmm-33-04-1013'] } The cultured cells were pretreated with 10 μM of SRT1720 or vehicle for 60 min, and then stimulated with 70 ng/ml of BMP-4 or vehicle for 24 h. The respective total RNA was then isolated and quantified by real-time RT-PCR. Each value represents the mean ± SEM of triplicate determinations from three independent cell preparations.

a P<0.05 compared to the value of the control.

** P<0.05 compared to the value in cells treated with BMP-4 alone.

{ label (or @symbol) needed for fn[@id='tfn8-ijmm-33-04-1013'] } BMP-4, bone morphogenetic protein-4; VEGF, vascular endothelial growth factor.

Effects of resveratrol or SRT1720 on the BMP-4-induced phosphorylation of Smad1/5/8 in MC3T3-E1 cells

It has been previously established that the effects of BMPs are exerted through the intracellular signaling of Smad proteins such as Smad1, Smad5 and Smad8 (4). In order to clarify whether the inhibitory effect of resveratrol on the BMP-4-stimulated VEGF synthesis is mediated by the modification of Smad1/5/8 activation in MC3T3-E1 cells, we examined the effect of resveratrol on the BMP-4-induced phosphorylation of Smad1/5/8. Resveratrol, which alone had little effect on the phosphorylation levels of Smad1/5/8, failed to affect the levels induced by BMP-4 at a dose up to 50 μM (Fig. 4A). In addition, SRT1720 did not affect the Smad1/5/8 phosphorylation levels at a dose up to 10 μM (Fig. 4B).

Figure 4

Effect of resveratrol or SRT1720 on bone morphogenetic protein-4 (BMP-4)-induced phosphorylation of Smad1/5/8 in MC3T3-E1 cells. The cultured cells were pretreated with various doses of resveratrol (A) or SRT1720 (B) for 60 min, and then stimulated with 30 ng/ml of BMP-4 or vehicle for 120 min. The cell extracts were then subjected to sodium dodecyl sulfate-polyacrylamide gel electrophoresis (SDS-PAGE) with subsequent western blot analysis with antibodies against phospho-specific Smad1/5/8 and GAPDH. The histogram shows the quantitative representation of the levels of BMP-4-induced phosphorylation obtained from a laser densitometric analysis of three independent experiments. Each value represents the mean ± standard error of the mean (SEM) of triplicate determinations. *P<0.05, compared to the value of the control.

Effects of resveratrol or SRT1720 on the BMP-4-induced phosphorylation of p70 S6 kinase in MC3T3-E1 cells

We previously demonstrated that BMP-4 stimulates VEGF synthesis through activation of p70 S6 kinase in osteoblast-like MC3T3-E1 cells (8). In order to elucidate whether the suppressive effect of resveratrol on BMP-4-stimulated VEGF synthesis is mediated by the modulation of p70 S6 kinase activation in MC3T3-E1 cells, we examined the effect of resveratrol on the BMP-4-induced phosphorylation of p70 S6 kinase. Resveratrol significantly attenuated the phosphorylation of p70 S6 kinase induced by BMP-4 in a dose-dependent manner between 10 and 50 μM (Fig. 5A). Furthermore, SRT1720, which alone barely affected the phosphorylation of p70 S6 kinase, also suppressed the p70 S6 kinase phosphorylation in these cells (Fig. 5B).

Figure 5

Effect of resveratrol or SRT1720 on bone morphogenetic protein-4 (BMP-4)-induced phosphorylation of p70 S6 kinase in MC3T3-E1 cells. The cultured cells were pretreated with various doses of resveratrol (A) or 10 μM of SRT1720 (B) for 60 min, and then stimulated with 30 ng/ml of BMP-4 or vehicle for 90 min. The cell extracts were then subjected to sodium dodecyl sulfate-polyacrylamide gel electrophoresis (SDS-PAGE) with subsequent western blot analysis with antibodies against phospho-specific p70 S6 kinase and p70 S6 kinase. The histogram shows the quantitative representation of the levels of BMP-4-induced phosphorylation obtained from a laser densitometric analysis of three independent experiments. Each value represents the mean ± standard error of the mean (SEM) of triplicate determinations. *P<0.05, compared to the value of the control; **P<0.05, compared to the value in the cells treated with BMP-4 alone.

Discussion

In the present study, we demonstrated that resveratrol, a polyphenolic flavonoid enriched in the skins of red grapes or red wine (12,13), significantly suppressed BMP-4-stimulated VEGF release in osteoblast-like MC3T3-E1 cells. Resveratrol reportedly functions at least in part via activation of SIRT1, which is known as one of the longevity genes (21). We also found that SRT1720 suppressed BMP-4-stimulated VEGF release in these cells. Therefore, the suppressive effect of resveratrol on BMP-4-induced VEGF synthesis in osteoblasts appears to be a SIRT1-dependent event. In addition, we demonstrated that both resveratrol and SRT1720 markedly decreased the BMP-4-induced expression levels of VEGF mRNA. Based on our findings, it is probable that the inhibitory effect of resveratrol on BMP-4-induced VEGF release is mediated through transcriptional events. To the best of our knowledge, this is the first report to demonstrate the suppression of VEGF synthesis by resveratrol in osteoblasts.

It is well known that Smad proteins are central mediators of the intracellular signaling system of the TGF-β superfamily such as TGF-β and BMPs (23). Regarding BMP signaling, BMPs employ the activation of Smad1/5/8 as receptor-regulated Smads (23). Thus, we investigated whether Smad1/5/8 are involved in the inhibitory effects of resveratrol or SRT1720 on BMP-4-stimulated VEGF synthesis in osteoblast-like MC3T3-E1 cells. However, neither resveratrol nor SRT1720 affected the BMP-4-induced phosphorylation levels of Smad1/5/8. Therefore, it seems unlikely that the suppressive effect of resveratrol on VEGF synthesis stimulated by BMP-4 is due to the modulation of Smad1/5/8-mediating signaling. Moreover, accumulating evidence indicates that the TGF-β superfamily exerts their effects on a variety of biological functions via Smad-independent signaling (24). We previously reported that activation of p70 S6 kinase positively regulates BMP-4-stimulated VEGF synthesis in osteoblast-like MC3T3-E1 cells (8). Thus, we next investigated whether resveratrol or SRT1720 affects the activation of p70 S6 kinase upregulated by BMP-4 in MC3T3-E1 cells. We found that the phosphorylation levels of p70 S6 kinase induced by BMP-4 were significantly attenuated by both resveratrol and SRT1720. Based on our findings, it is likely that the suppression of BMP-4-stimulated VEGF synthesis by resveratrol through SIRT-1 activation is mediated by the modulation of p70 S6 kinase in osteoblast-like MC3T3-E1 cells.

Resveratrol is a natural polyphenol abundantly found in grape skins and red wine and shows numerous favorable effects on the health of humans through antioxidation, anti-aging and anti-stress (12,13). It has been reported that resveratrol prevents various types of cancers such as colon carcinoma, and attenuates the progression of Alzheimer’s disease, in addition to protection against obesity and its associated diseases (25–27). Recent studies have also linked resveratrol to a prolonged lifespan in humans and other species (28,29). It has been shown that BMP signaling is required for both bone development and angiogenesis (30). During bone development and fracture healing, BMPs not only increase bone formation, but also enhance angiogenesis through regulation of the expression of VEGF. Moreover, modifications of VEGF expression were reportedly observed in osteoporosis in vivo (7). Both the reduction in VEGF expression in the tibial metaphysis and the contrasting increases in VEGF expression related to vascularization in the periosteum have been recognized in osteoporotic rat models (7), suggesting the complicated mechanism of the pathogenesis. Thus, our present findings, clearly demonstrating the reduction of BMP-4-induced VEGF synthesis by resveratrol in osteoblasts-like MC3T3-E1 cells, provides novel insight underlying the favorable effects of polyphenols on the health of humans particularly on elder individuals. Further investigation is necessary to clarify the detailed mechanisms of resveratrol underlying the VEGF synthesis in osteoblasts.

In conclusion, our findings strongly suggest that resveratrol attenuates BMP-4-stimulated VEGF synthesis through suppression of the activation of p70 S6 kinase in osteoblasts, and that the inhibitory effect is at least in part mediated by SIRT1 activation.

Acknowledgements

We are grateful to Yumiko Kurokawa for her skillful technical assistance. This investigation was supported in part by a Grant-in-Aid for Scientific Research (19591042) from the Ministry of Education, Science, Sports and Culture of Japan, the Foundation for Growth Science, and the Research Funding for Longevity Sciences (22-4, 23-9) from the National Center for Geriatrics and Gerontology (NCGG), Japan.

References

1 

Karsenty G and Wagner EF: Reaching a genetic and molecular understanding of skeletal development. Dev Cell. 2:389–406. 2002. View Article : Google Scholar : PubMed/NCBI

2 

Boyce BF and Xing L: Functions of RANKL/RANK/OPG in bone modeling and remodeling. Arch Biochem Biophys. 473:139–146. 2008. View Article : Google Scholar : PubMed/NCBI

3 

Parfitt AM: Targeted and nontargeted bone remodeling: relationship to basic multicellular unit origination and progression. Bone. 30:5–7. 2002. View Article : Google Scholar : PubMed/NCBI

4 

Miyazono K, Maeda S and Imamura T: BMP receptor signaling: transcriptional targets, regulation of signals, and signaling cross-talk. Cytokine Growth Factor Rev. 16:251–263. 2005. View Article : Google Scholar : PubMed/NCBI

5 

Krause C, de Gorter DJJ, Karperien M and ten Dijke P: Signal transduction cascades controlling osteoblast differentiation. Primer on the Metabolic Bone Diseases and Disorders of Mineral Metabolism. Rosen CJ: 7th edition. American Society for Bone and Mineral Research; Washington: pp. 10–16. 2008, View Article : Google Scholar

6 

Yamaguchi K, Nagai S, Ninomiya-Tsuji J, Nishita M, Tamai K, Irie K, Ueno N, Nishida E, Shibuya H and Matsumoto K: XIAP, a cellular member of the inhibitor of apoptosis protein family, links the receptors to TAB1-TAK1 in the BMP signaling pathway. EMBO J. 18:179–187. 1999. View Article : Google Scholar : PubMed/NCBI

7 

Clarkin CE and Gerstenfeld LC: VEGF and bone cell signalling: an essential vessel for communication? Cell Biochem Funct. 31:1–11. 2013. View Article : Google Scholar : PubMed/NCBI

8 

Kozawa O, Matsuno H and Uematsu T: Involvement of p70 S6 kinase in bone morphogenetic protein signaling: vascular endothelial growth factor synthesis by bone morphogenetic protein-4 in osteoblasts. J Cell Biochem. 81:430–436. 2001. View Article : Google Scholar : PubMed/NCBI

9 

Tokuda H, Hatakeyama D, Shibata T, Akamatsu S, Oiso Y and Kozawa O: p38 MAP kinase regulates BMP-4-stimulated VEGF synthesis via p70 S6 kinase in osteoblasts. Am J Physiol Endcrinol Metab. 284:E1202–E1209. 2003.PubMed/NCBI

10 

Jankun J, Selman SH, Swiercz R and Skrzypczak-Jankun E: Why drinking green tea could prevent cancer. Nature. 387:5611997. View Article : Google Scholar : PubMed/NCBI

11 

Harborne JB and Williams CA: Advances in flavonoid research since 1992. Phytochemistry. 55:481–504. 2000. View Article : Google Scholar : PubMed/NCBI

12 

Blander G and Guarente L: The Sir2 family of protein deacetylases. Annu Rev Biochem. 73:417–435. 2004. View Article : Google Scholar : PubMed/NCBI

13 

Koo SH and Montminy M: In vino veritas: a tale of two sirt1s? Cell. 127:1091–1093. 2006. View Article : Google Scholar : PubMed/NCBI

14 

Baur JA, Pearson KJ, Price NL, Jamieson HA, Lerin C, Kalra A, Prabhu VV, Allard JS, Lopez-Lluch G, Lewis K, Pistell PJ, Poosala S, Becker KG, Boss O, Gwinn D, Wang M, Ramaswamy S, Fishbein KW, Spencer RG, Lakatta EG, Le Couteur D, Shaw RJ, Navas P, Puigserver P, Ingram DK, de Cabo R and Sinclair DA: Resveratrol improves health and survival of mice on a high-calorie diet. Nature. 444:337–342. 2006. View Article : Google Scholar : PubMed/NCBI

15 

Mizutani K, Ikeda K, Kawai Y and Yamori Y: Resveratrol stimulates the proliferation and differentiation of osteoblastic MC3T3-E1 cells. Biochem Biophys Res Commun. 253:859–863. 1998. View Article : Google Scholar : PubMed/NCBI

16 

Kupisiewicz K, Boissy P, Abdallah BM, Hansen FD, Erben RG, Savouret JF, Søe K, Andersen TL, Plesner T and Delaisse JM: Potential of resveratrol analogues as antagonists of osteoclasts and promoters of osteoblasts. Calcif Tissue Int. 87:437–449. 2010. View Article : Google Scholar : PubMed/NCBI

17 

Sudo H, Kodama HA, Amagai Y, Yamamoto S and Kasai S: In vitro differentiation and calcification in a new clonal osteogenic cell line derived from newborn mouse calvaria. J Cell Biol. 96:191–198. 1983. View Article : Google Scholar : PubMed/NCBI

18 

Kozawa O, Tokuda H, Miwa M, Kotoyori J and Oiso Y: Cross-talk regulation between cyclic AMP production and phosphoinositide hydrolysis induced by prostaglandin E2 in osteoblast-like cells. Exp Cell Res. 198:130–134. 1992. View Article : Google Scholar : PubMed/NCBI

19 

Laemmli UK: Cleavage of structural proteins during the assembly of the head of bacteriophage T4. Nature. 227:680–685. 1970. View Article : Google Scholar : PubMed/NCBI

20 

Kato K, Ito H, Hasegawa K, Inaguma Y, Kozawa O and Asano T: Modulation of the stress-induced synthesis of hsp27 and αB-crystallin by cyclic AMP in C6 rat glioma cells. J Neurochem. 66:946–950. 1996.

21 

Bradamante S, Barenghi L and Villa A: Cardiovascular protective effects of resveratrol. Cardiovasc Drug Rev. 22:169–188. 2004. View Article : Google Scholar

22 

Milne JC, Lambert PD, Schenk S, Carney DP, Smith JJ, Gagne DJ, Jin L, Boss O, Perni RB, Vu CB, Bemis JE, Xie R, Disch JS, Ng PY, Nunes JJ, Lynch AV, Yang H, Galonek H, Israelian K, Choy W, Iffland A, Lavu S, Medvedik O, Sinclair DA, Olefsky JM, Jirousek MR, Elliott PJ and Westphal CH: Small molecule activators of SIRT1 as therapeutics for the treatment of type 2 diabetes. Nature. 450:712–716. 2007. View Article : Google Scholar : PubMed/NCBI

23 

Miyazawa K, Shinozaki M, Hara T, Furuya T and Miyazono K: Two major Smad pathways in TGF-β superfamily signalling. Genes Cells. 7:1191–1204. 2002.

24 

Moustakas A and Heldin CH: Non-Smad TGF-beta signals. J Cell Sci. 118:3573–3584. 2005. View Article : Google Scholar : PubMed/NCBI

25 

Kundu JK and Surh YJ: Cancer chemopreventive and therapeutic potential of resveratrol: mechanistic perspectives. Cancer Lett. 269:243–261. 2008. View Article : Google Scholar : PubMed/NCBI

26 

Ramassamy C: Emerging role of polyphenolic compounds in the treatment of neurodegenerative diseases: a review of their intracellular targets. Eur J Pharmacol. 545:51–64. 2006. View Article : Google Scholar : PubMed/NCBI

27 

Li F, Gong Q, Dong H and Shi J: Resveratrol, a neuroprotective supplement for Alzheimer’s disease. Curr Pharm Des. 18:27–33. 2012.

28 

Howitz KT, Bitterman KJ, Cohen HY, Lamming DW, Lavu S, Wood JG, Zipkin RE, Chung P, Kisielewski A, Zhang LL, Scherer B and Sinclair DA: Small molecule activators of sirtuins extend Saccharomyces cerevisiae lifespan. Nature. 425:191–196. 2003. View Article : Google Scholar : PubMed/NCBI

29 

Wood JG, Rogina B, Lavu S, Howitz K, Helfand SL, Tatar M and Sinclair D: Sirtuin activators mimic caloric restriction and delay ageing in metazoans. Nature. 430:686–689. 2004. View Article : Google Scholar : PubMed/NCBI

30 

Zhang F, Qiu T, Wu X, Wan C, Shi W, Wang Y, Chen JG, Wan M, Clemens TL and Cao X: Sustained BMP signaling in osteoblasts stimulates bone formation by promoting angiogenesis and osteoblast differentiation. J Bone Miner Res. 24:1224–1233. 2009. View Article : Google Scholar : PubMed/NCBI

Related Articles

  • Abstract
  • View
  • Download
  • Twitter
Copy and paste a formatted citation
Spandidos Publications style
Kondo A, Otsuka T, Kuroyanagi G, Yamamoto N, Matsushima-Nishiwaki R, Mizutani J, Kozawa O and Tokuda H: Resveratrol inhibits BMP-4-stimulated VEGF synthesis in osteoblasts: Suppression of S6 kinase. Int J Mol Med 33: 1013-1018, 2014.
APA
Kondo, A., Otsuka, T., Kuroyanagi, G., Yamamoto, N., Matsushima-Nishiwaki, R., Mizutani, J. ... Tokuda, H. (2014). Resveratrol inhibits BMP-4-stimulated VEGF synthesis in osteoblasts: Suppression of S6 kinase. International Journal of Molecular Medicine, 33, 1013-1018. https://doi.org/10.3892/ijmm.2014.1626
MLA
Kondo, A., Otsuka, T., Kuroyanagi, G., Yamamoto, N., Matsushima-Nishiwaki, R., Mizutani, J., Kozawa, O., Tokuda, H."Resveratrol inhibits BMP-4-stimulated VEGF synthesis in osteoblasts: Suppression of S6 kinase". International Journal of Molecular Medicine 33.4 (2014): 1013-1018.
Chicago
Kondo, A., Otsuka, T., Kuroyanagi, G., Yamamoto, N., Matsushima-Nishiwaki, R., Mizutani, J., Kozawa, O., Tokuda, H."Resveratrol inhibits BMP-4-stimulated VEGF synthesis in osteoblasts: Suppression of S6 kinase". International Journal of Molecular Medicine 33, no. 4 (2014): 1013-1018. https://doi.org/10.3892/ijmm.2014.1626
Copy and paste a formatted citation
x
Spandidos Publications style
Kondo A, Otsuka T, Kuroyanagi G, Yamamoto N, Matsushima-Nishiwaki R, Mizutani J, Kozawa O and Tokuda H: Resveratrol inhibits BMP-4-stimulated VEGF synthesis in osteoblasts: Suppression of S6 kinase. Int J Mol Med 33: 1013-1018, 2014.
APA
Kondo, A., Otsuka, T., Kuroyanagi, G., Yamamoto, N., Matsushima-Nishiwaki, R., Mizutani, J. ... Tokuda, H. (2014). Resveratrol inhibits BMP-4-stimulated VEGF synthesis in osteoblasts: Suppression of S6 kinase. International Journal of Molecular Medicine, 33, 1013-1018. https://doi.org/10.3892/ijmm.2014.1626
MLA
Kondo, A., Otsuka, T., Kuroyanagi, G., Yamamoto, N., Matsushima-Nishiwaki, R., Mizutani, J., Kozawa, O., Tokuda, H."Resveratrol inhibits BMP-4-stimulated VEGF synthesis in osteoblasts: Suppression of S6 kinase". International Journal of Molecular Medicine 33.4 (2014): 1013-1018.
Chicago
Kondo, A., Otsuka, T., Kuroyanagi, G., Yamamoto, N., Matsushima-Nishiwaki, R., Mizutani, J., Kozawa, O., Tokuda, H."Resveratrol inhibits BMP-4-stimulated VEGF synthesis in osteoblasts: Suppression of S6 kinase". International Journal of Molecular Medicine 33, no. 4 (2014): 1013-1018. https://doi.org/10.3892/ijmm.2014.1626
Follow us
  • Twitter
  • LinkedIn
  • Facebook
About
  • Spandidos Publications
  • Careers
  • Cookie Policy
  • Privacy Policy
How can we help?
  • Help
  • Live Chat
  • Contact
  • Email to our Support Team