Spandidos Publications Logo
  • About
    • About Spandidos
    • Aims and Scopes
    • Abstracting and Indexing
    • Editorial Policies
    • Reprints and Permissions
    • Job Opportunities
    • Terms and Conditions
    • Contact
  • Journals
    • All Journals
    • Oncology Letters
      • Oncology Letters
      • Information for Authors
      • Editorial Policies
      • Editorial Board
      • Aims and Scope
      • Abstracting and Indexing
      • Bibliographic Information
      • Archive
    • International Journal of Oncology
      • International Journal of Oncology
      • Information for Authors
      • Editorial Policies
      • Editorial Board
      • Aims and Scope
      • Abstracting and Indexing
      • Bibliographic Information
      • Archive
    • Molecular and Clinical Oncology
      • Molecular and Clinical Oncology
      • Information for Authors
      • Editorial Policies
      • Editorial Board
      • Aims and Scope
      • Abstracting and Indexing
      • Bibliographic Information
      • Archive
    • Experimental and Therapeutic Medicine
      • Experimental and Therapeutic Medicine
      • Information for Authors
      • Editorial Policies
      • Editorial Board
      • Aims and Scope
      • Abstracting and Indexing
      • Bibliographic Information
      • Archive
    • International Journal of Molecular Medicine
      • International Journal of Molecular Medicine
      • Information for Authors
      • Editorial Policies
      • Editorial Board
      • Aims and Scope
      • Abstracting and Indexing
      • Bibliographic Information
      • Archive
    • Biomedical Reports
      • Biomedical Reports
      • Information for Authors
      • Editorial Policies
      • Editorial Board
      • Aims and Scope
      • Abstracting and Indexing
      • Bibliographic Information
      • Archive
    • Oncology Reports
      • Oncology Reports
      • Information for Authors
      • Editorial Policies
      • Editorial Board
      • Aims and Scope
      • Abstracting and Indexing
      • Bibliographic Information
      • Archive
    • Molecular Medicine Reports
      • Molecular Medicine Reports
      • Information for Authors
      • Editorial Policies
      • Editorial Board
      • Aims and Scope
      • Abstracting and Indexing
      • Bibliographic Information
      • Archive
    • World Academy of Sciences Journal
      • World Academy of Sciences Journal
      • Information for Authors
      • Editorial Policies
      • Editorial Board
      • Aims and Scope
      • Abstracting and Indexing
      • Bibliographic Information
      • Archive
    • International Journal of Functional Nutrition
      • International Journal of Functional Nutrition
      • Information for Authors
      • Editorial Policies
      • Editorial Board
      • Aims and Scope
      • Abstracting and Indexing
      • Bibliographic Information
      • Archive
    • International Journal of Epigenetics
      • International Journal of Epigenetics
      • Information for Authors
      • Editorial Policies
      • Editorial Board
      • Aims and Scope
      • Abstracting and Indexing
      • Bibliographic Information
      • Archive
    • Medicine International
      • Medicine International
      • Information for Authors
      • Editorial Policies
      • Editorial Board
      • Aims and Scope
      • Abstracting and Indexing
      • Bibliographic Information
      • Archive
  • Articles
  • Information
    • Information for Authors
    • Information for Reviewers
    • Information for Librarians
    • Information for Advertisers
    • Conferences
  • Language Editing
Spandidos Publications Logo
  • About
    • About Spandidos
    • Aims and Scopes
    • Abstracting and Indexing
    • Editorial Policies
    • Reprints and Permissions
    • Job Opportunities
    • Terms and Conditions
    • Contact
  • Journals
    • All Journals
    • Biomedical Reports
      • Information for Authors
      • Editorial Policies
      • Editorial Board
      • Aims and Scope
      • Abstracting and Indexing
      • Bibliographic Information
      • Archive
    • Experimental and Therapeutic Medicine
      • Information for Authors
      • Editorial Policies
      • Editorial Board
      • Aims and Scope
      • Abstracting and Indexing
      • Bibliographic Information
      • Archive
    • International Journal of Epigenetics
      • Information for Authors
      • Editorial Policies
      • Editorial Board
      • Aims and Scope
      • Abstracting and Indexing
      • Bibliographic Information
      • Archive
    • International Journal of Functional Nutrition
      • Information for Authors
      • Editorial Policies
      • Editorial Board
      • Aims and Scope
      • Abstracting and Indexing
      • Bibliographic Information
      • Archive
    • International Journal of Molecular Medicine
      • Information for Authors
      • Editorial Policies
      • Editorial Board
      • Aims and Scope
      • Abstracting and Indexing
      • Bibliographic Information
      • Archive
    • International Journal of Oncology
      • Information for Authors
      • Editorial Policies
      • Editorial Board
      • Aims and Scope
      • Abstracting and Indexing
      • Bibliographic Information
      • Archive
    • Medicine International
      • Information for Authors
      • Editorial Policies
      • Editorial Board
      • Aims and Scope
      • Abstracting and Indexing
      • Bibliographic Information
      • Archive
    • Molecular and Clinical Oncology
      • Information for Authors
      • Editorial Policies
      • Editorial Board
      • Aims and Scope
      • Abstracting and Indexing
      • Bibliographic Information
      • Archive
    • Molecular Medicine Reports
      • Information for Authors
      • Editorial Policies
      • Editorial Board
      • Aims and Scope
      • Abstracting and Indexing
      • Bibliographic Information
      • Archive
    • Oncology Letters
      • Information for Authors
      • Editorial Policies
      • Editorial Board
      • Aims and Scope
      • Abstracting and Indexing
      • Bibliographic Information
      • Archive
    • Oncology Reports
      • Information for Authors
      • Editorial Policies
      • Editorial Board
      • Aims and Scope
      • Abstracting and Indexing
      • Bibliographic Information
      • Archive
    • World Academy of Sciences Journal
      • Information for Authors
      • Editorial Policies
      • Editorial Board
      • Aims and Scope
      • Abstracting and Indexing
      • Bibliographic Information
      • Archive
  • Articles
  • Information
    • For Authors
    • For Reviewers
    • For Librarians
    • For Advertisers
    • Conferences
  • Language Editing
Login Register Submit
  • This site uses cookies
  • You can change your cookie settings at any time by following the instructions in our Cookie Policy. To find out more, you may read our Privacy Policy.

    I agree
Search articles by DOI, keyword, author or affiliation
Search
Advanced Search
presentation
International Journal of Molecular Medicine
Join Editorial Board Propose a Special Issue
Print ISSN: 1107-3756 Online ISSN: 1791-244X
Journal Cover
June-2015 Volume 35 Issue 6

Full Size Image

Sign up for eToc alerts
Recommend to Library

Journals

International Journal of Molecular Medicine

International Journal of Molecular Medicine

International Journal of Molecular Medicine is an international journal devoted to molecular mechanisms of human disease.

International Journal of Oncology

International Journal of Oncology

International Journal of Oncology is an international journal devoted to oncology research and cancer treatment.

Molecular Medicine Reports

Molecular Medicine Reports

Covers molecular medicine topics such as pharmacology, pathology, genetics, neuroscience, infectious diseases, molecular cardiology, and molecular surgery.

Oncology Reports

Oncology Reports

Oncology Reports is an international journal devoted to fundamental and applied research in Oncology.

Experimental and Therapeutic Medicine

Experimental and Therapeutic Medicine

Experimental and Therapeutic Medicine is an international journal devoted to laboratory and clinical medicine.

Oncology Letters

Oncology Letters

Oncology Letters is an international journal devoted to Experimental and Clinical Oncology.

Biomedical Reports

Biomedical Reports

Explores a wide range of biological and medical fields, including pharmacology, genetics, microbiology, neuroscience, and molecular cardiology.

Molecular and Clinical Oncology

Molecular and Clinical Oncology

International journal addressing all aspects of oncology research, from tumorigenesis and oncogenes to chemotherapy and metastasis.

World Academy of Sciences Journal

World Academy of Sciences Journal

Multidisciplinary open-access journal spanning biochemistry, genetics, neuroscience, environmental health, and synthetic biology.

International Journal of Functional Nutrition

International Journal of Functional Nutrition

Open-access journal combining biochemistry, pharmacology, immunology, and genetics to advance health through functional nutrition.

International Journal of Epigenetics

International Journal of Epigenetics

Publishes open-access research on using epigenetics to advance understanding and treatment of human disease.

Medicine International

Medicine International

An International Open Access Journal Devoted to General Medicine.

Journal Cover
June-2015 Volume 35 Issue 6

Full Size Image

Sign up for eToc alerts
Recommend to Library

  • Article
  • Citations
    • Cite This Article
    • Download Citation
    • Create Citation Alert
    • Remove Citation Alert
    • Cited By
  • Similar Articles
    • Related Articles (in Spandidos Publications)
    • Similar Articles (Google Scholar)
    • Similar Articles (PubMed)
  • Download PDF
  • Download XML
  • View XML
Article

Quercetin prevents adipogenesis by regulation of transcriptional factors and lipases in OP9 cells

  • Authors:
    • Yun-Soo Seo
    • Ok-Hwa Kang
    • Sung-Bae Kim
    • Su-Hyun Mun
    • Da-Hye Kang
    • Da-Wun Yang
    • Jang-Gi Choi
    • Young-Mi Lee
    • Dae-Kil Kang
    • Ho-Seog Lee
    • Dong-Yeul Kwon
  • View Affiliations / Copyright

    Affiliations: Department of Oriental Pharmacy, College of Pharmacy and Wonkwang-Oriental Medicines Research Institute, Institute of Biotechnology, Wonkwang University, Iksan, Jeonbuk 570-749, Republic of Korea, BK21 Plus Team, Professional Graduate School of Oriental Medicine, Wonkwang University, Iksan, Jeonbuk 570-749, Republic of Korea
  • Pages: 1779-1785
    |
    Published online on: April 15, 2015
       https://doi.org/10.3892/ijmm.2015.2185
  • Expand metrics +
Metrics: Total Views: 0 (Spandidos Publications: | PMC Statistics: )
Metrics: Total PDF Downloads: 0 (Spandidos Publications: | PMC Statistics: )
Cited By (CrossRef): 0 citations Loading Articles...

This article is mentioned in:



Abstract

With the industrialization of society, the increase in the prevalence of obesity and metabolic disorders has become an important health concern in a number of countries. Quercetin (3,30,40,5,7-pentahydroxyflavone) is well known as a bioactive flavonoid in a variety of biological resources. The aim of the present study was to explore the machanisms responsible for the anti-adipogenic activity of quercetin and its effects on the lipolysis in OP9 mouse stromal cells which rapidly differentiate into adipocytes. The differentiation of OP9 cells into adipocytes was evaluated by the measurement of lipid accumulation by Oil Red O (ORO) staining; lipid accumulation was significantly impaired by treatment with quercetin. Reverse transcription-polymerase chain reaction (RT-PCR) and western blot analysis were used to measure the expression levels of CCAAT/enhancer binding protein α (C/EBPα), proliferator-activated receptor γ (PPARγ), sterol regulatory element-binding protein-1 (SREBP-1) and fatty acid synthase (FAS). The mRNA expression levels of lipases, such as adipose triglyceride lipase (ATGL), hormone sensitive lipase (HSL) and lipoprotein lipase (LPL) were also measured by RT-PCR. Quercetin significantly decreased the expression of transcription factors, including C/EBPα, PPARγ and SREBP-1c both at the protein and mRNA level. The results from the present study demonstrate that quercetin prevents adipogenesis by upregulating ATGL and HSL expression and downregulating FAS, LPL and adipocyte fatty acid-binding protein (aP2) expression, as well as the expression of transcription factors. Our data suggest that quercetin has therapeutic potential by regulating the expression of transcriptional factors and enzymes associated with adipogenesis.

Introduction

The increasing prevalence of obesity is a major health concern in industrialized countries. Obesity is a primary causative factor in the development of metabolic disorders, such as hypertention, insulin resistence and type II diabetes, which is a complex, multi-factorial and chronic disease (1). Obesity is characterized by the accumulation of inordinate fat in the body which involves the pathological growth of adipocytes caused by an imbalance in energy intake and expenditure (2).

The maintenance of lipid homeostasis and energy balance is connected to adipocytes that regulate the storage of triglycerides (TGs) or the release of free fatty acids (FFAs) through changes in energy states (3,4). Adipocytes not only control lipid metabolism, but also glucose metabolism and endocrine function through insulin-dependent glucose uptake and the secretion of hormones and cytokines (5). Adipogenesis is the process through which an undifferentiated preadipocyte is reorganized into a fully differentiated adipocyte (6). The differentiation process through which preadipocytes are converted into adipocytes is associated with the stimulation of transcriptional factors, including CCAAT/enhancer-binding protein α (C/EBPα) and peroxisome proliferator activated receptor γ (PPARγ). When the cascade of transcription factors is initiated, the induction of differentiation begins and the expression of C/EBPα and PPARγ increases from undetectable levels in preadipocytes to detectable levels within 2 days; C/EBPα and PPARγ are fully expressed following the initiation of the differentiation process within approximately 5 days (7). This activation of transcription factors leads to terminal differentiation and regulates the expression of genes involved in the induction of the adipocyte phenotype (7).

Adipogenesis is characterized by the accumulation of TGs accompanied by an increase in the expression of various enzymes that are involved in lipogenesis or lipolysis. Sterol regulatory element binding proteins (SREBPs) are transcription factors that control both cholesterol and fatty acid biosynthetic processes, termed lipogenesis. SREBP-1c which is one of the SREBP isoforms, has been shown to play a role in fatty acid synthesis and insulin-induced glucose metabolism (8). Fatty acid synthase (FAS), which is key enzyme of lipogenesis that produces long-chain fatty acids from acetyl-coA and malonyl-coA, is associated with the activation of transcription factors, such as SREBP-1 and PPARγ at the transcriptional level through signaling mechanisms (9,10). Lipoprotein lipase (LPL), which plays an important role in TG accumulation, hydrolyzes lipoproteins and provides substrates for fatty acid uptake into adipose tissue (11). Hormone sensitive lipase (HSL) and adipose triglyceride lipase (ATGL) are enzymes that play a role in lipolysis and catabolize stored TGs in lipid droplets (12). ATGL decomposes TGs into diglycerides (DGs) that are hydrolyzed by HSL (13,14).

Quercetin (3,30,40,5,7-pentahydroxyflavone) is one of the most common and bioactive flavonoids found in a variety of vegetables, fruits and botanicals, such as red onions, apples and tea (15). It has attracted much attention as a potential antioxidant of dietary origin. Previous studies have indicated that quercetin has multiple pharmacological effects, such as the scavenging of oxygen radicals, the prevention of lipid peroxidation, as well as anti-adipogenic, anti-apoptotic and anti-inflammatory effects (16–19). However, to the best of our knowledge, there is no published study to date on adipogenesis and lipolysis in OP9 cells. The association between quercetin and lipolyis remains undetermined. Thus, the aim of this study was to determine the effects of quercetin on adipogenesis and lipolysis. Furthermore, we investigated the molecular mechanisms of action of quercetin in OP9 mouse stromal cells, a new model of adipocytes.

Materials and methods

Materials

Quercetin used in this study was purchased from Sigma-Aldrich (St. Louis, MΟ, USA). The Oil Red O (ORO) staining dye was also purchased from Sigma-Aldrich. The 3-(4,5-dimethylthiazol-2-yl)-5-(3-carboxymethoxyphenyl)-2-(4-sulfophenyl)-2H-tetrazolium (MTS) solution was purchased from Promega (Madison, WI, USA). Anti-β-actin (sc-47778), anti-C/EBPα (sc-61), anti-PPARγ (sc-7273), anti-SREBP-1c (sc-366), anti-mouse (sc-2005) and anti-rabbit (sc-2004) immunoglobulin antibodies were obtained from Santa Cruz Biotechnology, Inc. (Santa Cruz, CA, USA).

Cell culture

OP9 cells, bone marrow-derived mouse stromal cells, were obtained from the American Type Culture Collection (ATCC, Manassas, VA, USA) and grown in α-minimum essential medium (α-MEM) supplemented with 20% fetal bovine serum (FBS), 100 U/ml penicillin, 100 μg/ml streptomycin and 2 mM L-glutamine (HyClone®, Thermo Scientific, Logan, UT, USA). The cells were cultured at 37°C in a humidified atmosphere of 95% air to 5% CO2.

Cell differentiation into adipocytes

Adipocyte differentiation was induced as previously described (20) with minor modifications. OP9 preadipocytes were seeded at 60,000 cells/cm2. The cells allowed to reach confluence for 2 days. At this time point (day 0), the medium were switched to MDI differentiation medium [α-MEM, 10% FBS, 0.25 μM dexamethasone, 0.25 mM isobutylmethylxanthine (IBMX) and 10 μg/ml insulin] for 2 days. At this time point, the cells were treated with differentiation medium in the presence of various concentrations of quercetin to examine the effects of quercetin on adipogenesis. On day 2, the dexamethasone and IBMX were removed, leaving insulin in the cell medium with or without quercetin for an additional 2 days. Thereafter, the cells were maintained in the original propagation α-MEM with changes in medium every 2 days. On day 6, when the differentiation process was completed, the cells were harvested.

Cytotoxicity assay

Cell viability was examined by MTS assay. Briefly, the OP9 cells were seeded at a density of 1×106 cells/ml in 96-well plates. In order to determine the concentration of quercetin which is non-toxic to the cells, quercetin (5, 10, 25, 50 and 100 μM) was then added to each well. The plates were then incubated for 24 h at 37°C under 5% CO2. MTS solution (5 mg/ml) was added to each well and the cells were then cultured for a further 2 h, after which the optical density was read at 490 nm. Cytotoxicity was then calculated using the following formula: 1 - (mean absorbance value of treated cells/mean absorbance value of untreated cells).

ORO staining

For the examination of fat accumulation in the OP9 cells, the cells were treated as described above in ‘Cell differentiation into adipocytes’. The cells were rinsed with cold phosphate-buffered saline (PBS) twice and fixed in 10% paraformaldehyde for 30 min in room temperature. After the cells were washed with 60% isopropanol, the cells were stained for at least 1 h in a freshly diluted 0.3% ORO solution (6 parts 0.5% ORO stock solution in isopropanol and 4 parts H2O). After the stain was removed and the cells were washed with 60% isopropanol, an image of each group was acquired using an Olympus IX71 Research Inverted Phase microscope (Olympus Co., Tokyo, Japan). The stained lipid droplets were then extracted with isopropanol for quantification by measuring its absorbance at 490 nm.

Reverse transcriptase-polymerase chain reaction (RT-PCR)

Total RNA was isolated using an easy-BLUE total RNA extraction kit (iNtRon, Seongnam, Korea) according to the instructions provided by the manufacturer. Single-strand cDNA synthesis was performed using the QuantiTect reverse transcription kit (Qiagen, Hilden, Germany) according to the manufacturer’s instructions. PCR reactions were performed in a total volume of 20 μl comprising 2 μl of cDNA product, 0.2 mM of each dNTP, 20 pmol of each primer and 0.8 units of Taq polymerase. The primer sequences for C/EBPα, PPARγ, SREBP1, FAS, adipocyte fatty acid-binding protein (aP2), ATGL, HSL, LPL and β-actin are presented in Table I. PCR reactions were conducted under the following conditions: 95°C for 3 min (1 cycle), 95°C for 30 sec, 50–62°C for 30 sec, 72°C for (40 cycles). The PCR products increased as the concentration of the RNA increased. Finally, the products were electrophoresed on a 2.0% agarose gel using the Dyne Gel Safe Red kit (II) (DyneBio, Seongnam, Korea) visualized under UV light.

Table I

Gene-specific primers used for RT-PCR.

Table I

Gene-specific primers used for RT-PCR.

cDNAPrimer sequences
C/EBPαF: 5′-CGCAAGAGCCGAGATAAAGC-3′
R: 5′-AGAGGTCCACAGAGCTGATTCC-3′
PPARγF 5′-CGCTGATGCACTGCCTATGA-3′
R: 5′-AGAGGTCCACAGAGCTGATTCC-3′
SREBP-1F: 5′-GGCACTAAGTGCCCTCAACCT-3′
R: 5′-GCCACATAGATCTCTGCCAGTGT-3′
FASF: 5′-CCTGGATAGCATTCCGAACCT-3′
R: 5′-AGCACATCTCGAAGGCTACACA-3′
aP2F: 5′-CATGGCCAAGCCCAACAT-3′
R: 5′-CGCCCAGTTTGAAGGAAATC-3′
ATGLF: 5′-ATTTATCCCGGTGTACTGTG-3′
R: 5′-GGGACACTGTGATGGTATTC-3′
HSLF: 5′-ACTCAGACCAGAAGGCACTA-3′
R: 5′-TAGTTCCAGGAAGGAGTTGA-3′
LPLF: 5′-ACTTGTCATCTCATTCCTGG-3′
R: 5′-TCTCATACATTCCCGTTACC-3′
β-actinF: 5′-TGTCCACCTTCCAGCAGATGT-3′
R: 5′-AGCTCAGTAACAGTCCGCCTAGA-3′

[i] F, forward; R, reverse; RT-PCR, reverse transcriptase-polymerase chain reaction; C/EBPα, CCAAT/enhancer binding protein α; PPARγ, proliferator-activated receptor γ; SREBP-1, sterol regulatory element-binding protein-1; FAS, fatty acid synthase; aP2, adipocyte fatty acid-binding protein; ATGL, adipose triglyceride lipase; HSL, hormone sensitive lipase; LPL, lipoprotein lipase.

Western blot analysis

Protein expression was assessed by western blot analysis according to standard procedures. The OP9 cells which had completed the differentiation process were washed twice in PBS. The cell pellets were resuspended in lysis buffer on ice for 20 min, and the supernatant was collected by centrifugation (13,000 rpm, 10 min, 4°C). The protein concentrations in the supernatant were determined using the Bio-Rad protein assay reagent (Bio-Rad Laboratories, Hercules, CA, USA) according to the manufacturer’s instructions. Equal amounts of protein (20 μg) were subjected to sodium dodecyl sulphate-polyacrylamide gel electrophoresis (SDS-PAGE) and then transferred onto a polyvinylidene membrane (Millipore, Bedford, MA, USA). The membrane was blocked for >1 h with 5% skim milk in Tris-buffered saline (150 mM NaCl and 20 mM Tris-HCl, pH 7.4) with 0.05% Tween-20. After blocking, the membrane was incubated with primary antibodies for 18 h. The membrane was then washed with Tris-buffered saline with Tween-20 and incubated with anti-mouse or anti-rabbit immunoglobulin G horseradish peroxidase-conjugated secondary antibodies. The proteins were then supplemented with ECL prime western blot detection reagents and the ImageQuant LAS 4000 Mini Biomolecular Imager (both from GE Healthcare, Buckinghamshire, UK) was used for evaluating the bands. The bands were quantified using ImageJ software.

Statistical analysis

Statistical analysis was performed followed by one-way analysis of variance (ANOVA) using IBM SPSS statistical software version 19. The data from the experiments are presented as the means ± SD.

Results

Cytotoxicity of quercetin in OP9 cells

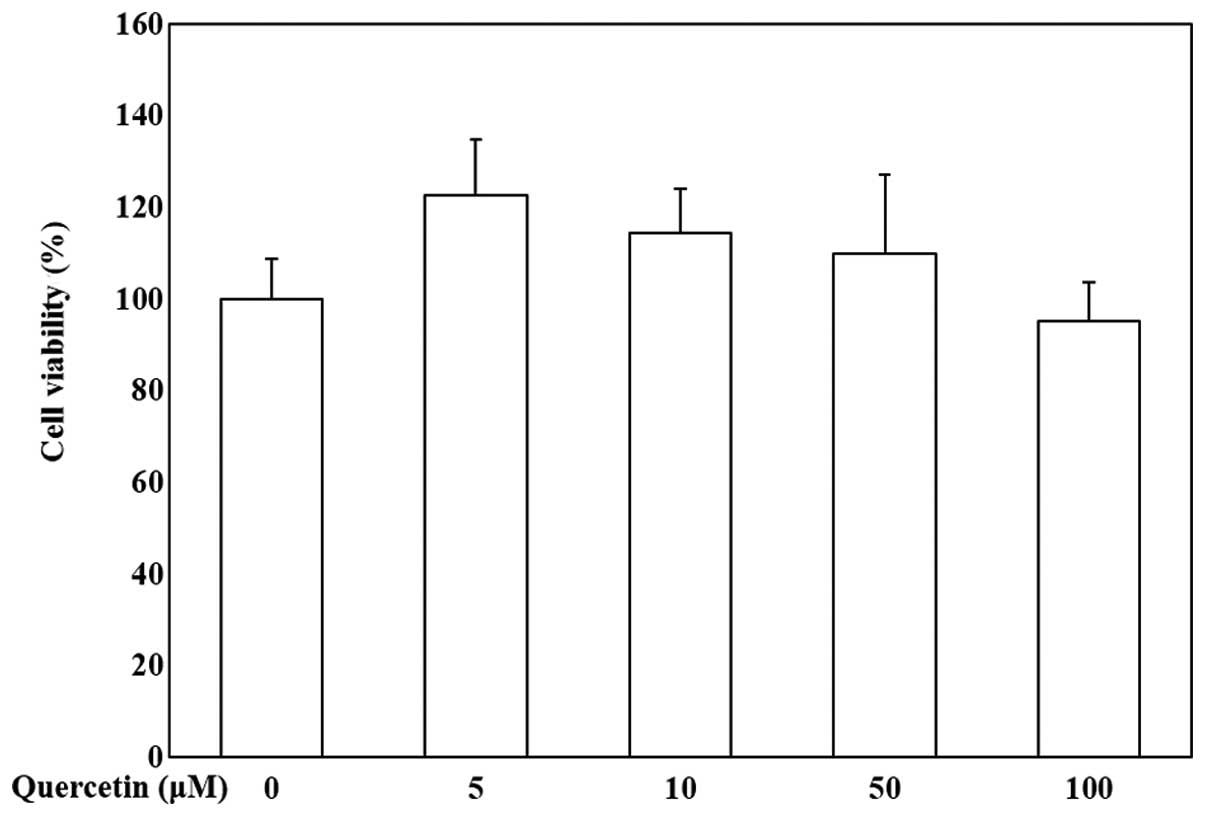
To evaluate the effects of quercetin on the viability of OP9 cells, the cells were treated with various concentrations of quercetin (0, 5, 10, 50 and 100 μM) and MTS assay was then conducted. Our data indicated that quercetin was not cytotoxic to the OP9 cells (Fig. 1). Quercetin at the concentration of 5, 10 and 50 μM was used to evaluate its anti-adipogenic activity.

Figure 1

Cytotoxicity of quercetin in OP9 cells. OP9 cells were treated with the indicated concentrations of quercetin for 24 h. The viability of OP9 cells was determined by MTS assay. The results are presented as the means ± SD of 3 independent experiments.

Inhibitory effects of quercetin on the differentiation of OP9 cells into adipocytes

The OP9 cells were treated with quercetin (5, 10 and 50 μM) to determine its effects on the accumulation of lipid droplets in the cytoplasm. After the preadipocytes had differentiated into adipocytes, morphological alterations were observed due to the accumulation of intracellular lipids (Fig. 2A). As shown by our results, lipid accumulation in the quercetin-treated cells was significantly decreased compared with the untreated cells. The quantitative data of ORO staining indicated that treatment with quercetin at 10 and 50 μM led to a 11.5 and 34.4% decrease in lipid accumulation, respectively (Fig. 2B).

Figure 2

Effects of quercetin on intracellular lipid accumulation in OP9 cells. OP9 cells were treated with the indicated concentrations of quercetin in the process of adipogenesis. The cells were stained with (A) Oil Red O (ORO) and (B) analyzed by spectrophotometer. Quantitative assessment of the percentage of lipid accumulation. The average of 3 independent experiments is shown. *P<0.05 and **P<0.001, as compared with the value for the untreated cells.

Effect of quercetin on the expression of transcriptional regulators

To determine the effects of quercetin on adipocyte differentiation at the protein level, western blot analysis was performed to measure the expression of factors and enzymes associated with adipogenis. The adipocytes undergoing MDI-induced differentiation were treated with various doses of quercetin (0, 5, 10 and 50 μM). The increase in C/EBPα, PPARγ and SREBP-1 protein expression was significantly suppressed by treatment with quercetin (Fig. 3A). The expression levels of C/EBPα and PPARγ were decreased following treatment with quercetin in a dose-dependent manner. The mRNA expression levels were also significantly decreased in the cells treated with quercetin following adipocyte differentiation compared with the untreated cells (Fig. 3B). Following treatment with 5, 10 and 50 μM quercetin, the expression of SREBP-1 was reduced to 57.2, 42.7 and 33%, respectively in a dose-dependent manner compared with the untreated cells. Following treatment with 50 μM quercetin, the expression level of C/EBPα and PPARγ also decreased to 71.6 and 71.7%, respectively (Fig. 3D).

Figure 3

Effects of quercetin on the (A and C) protein and (B and D) mRNA expression. Expression levels were normalized to the β-actin level. Data are representative of 3 independent experiments and quantified by densitometric analysis. *P<0.05 and **P<0.001, as compared with the value for the untreated cells. C/EBPα, CCAAT/enhancer binding protein α; PPARγ, proliferator-activated receptor γ; SREBP-1, sterol regulatory element-binding protein-1.

Downregulatory effects of quercetin on FAS and aP2 expression

Quercetin significantly decreased the mRNA expression levels of FAS and aP2 in the OP9 adipocytes (Fig. 4). Our results revealed that treatment with quercetin (50 μM) significantly decreased FAS and aP2 mRNA expression by 48.3 and 37.1%, respectively when compared with the untreated cells (Fig. 4B). Additionally, a decrease in FAS mRNA expression was observed following treatment with various concentrations of quercetin in a dose-dependent manner.

Figure 4

Effects of quercetin on mRNA expression were analyzed by RT-PCR. (A) Expression levels were normalized to the β-actin mRNA level. (B) Data are representative of 3 independent experiments and quantified by densitometric analysis. *P<0.05 and **P<0.001, as compared with the value for the untreated cells. FAS, fatty acid synthase; aP2, adipocyte fatty acid-binding protein.

Effect quercetin on the mRNA expression of ATGL, HSL and LPL in OP9 adipocytes

To determine the effects of quercetin on lipases, RT-PCR was performed. The results revealed that there was a significant increase in the expression of ATGL and HSL (Fig. 5A) following treatment with quercetin. The mRNA expression levels of of ATGL increased by >4-fold in a dose-dependent manner compared with the untreated cells. In addition, the expression of HSL increased by >2-fold compared with the untreated cells (Fig. 5B). It can be observed from the results presented in Fig. 5 that LPL expression was deceased in the OP9 adipocytes treated with quercetin.

Figure 5

Effects of quercetin on mRNA expression were analyzed by RT-PCR. (A) Expression levels were normalized to the β-actin mRNA level. (B) Data are representative of 3 independent experiments and quantified by densitometric analysis. *P<0.05 and **P<0.001, as compared with the value for the untreated cells. ATGL, adipose triglyceride lipase; HSL, hormone sensitive lipase; LPL, lipoprotein lipase.

Discussion

The present study demonstrated that quercetin inhibited the differentiation of OP9 preadipocytes induced by hormone cocktail treatment. In fact, treatment with quercetin decreased adipogenesis in the differentiated OP9 cells, as indicated by measurements of total lipid accumulation; quercetin also downregulated the expression of key adipogenesis-related transcription factors and their target genes. Moreover, we demonstrated that the treatment of adipocytes with quercetin enhanced lipolytic activity by increasing the expression levels of lipases, thereby diminishing lipid storage in adipocytes.

OP9 mouse stromal cells have received attention as a new useful model of rapid adipogenesis for the study of adipocyte biology (20). Adipocyte differentiation in response to various stimuli is a complex process involving coordinated changes in hormone sensitivity and gene expression. Adipogenesis is characterized by the accumulation of intracellular lipid droplets fully filled with TGs that are synthesized followed by lipogenesis with glycerol and fatty acids. Our findings indicated that treatment with quercetin markedly decreased the accumulation of intracellular TGs (Fig. 2). The number of lipid droplets in the adipocytes was significantly decreased and the amount of lipids in the cytoplasm also decreased following treatment with quercetin.

Adipogenesis requires the sequential activation of numerous transcription factors, including PPARγ, C/EBPs and SREBPs (7,21–23). The expression C/EBPα and PPARγ genes is sequentially activated by early-phase transcription factors, such as C/EBPβ and C/EBPδ, key transcription factors in the adipogenesis (24). The expression of C/EBPα and PPARγ increases the expression of downstream target genes that are involved in TG metabolism and finally leads to fully differentiated adipocytes (25). As shown by our data, the mRNA and protein expression levels of C/EBPα and PPARγ (Fig. 3) were significantly decreased by treatment with quercetin compared with the untreated cells. It has also been previously demonstrated that SREBP-1c plays an important role in the regulation of the mRNA expression of genes involved in adipocyte differentiation and fatty acid synthesis (26). In this study, the expression of SREBP-1c was decreased in the adipocytes treated with quercetin compared with the untreated cells. The fact that C/EBPα and PPARγ are essential for the intitiation of the cascade of transcription factors that lead to adipogenesis and that SREBP-1c is associated with lipogenesis and transcription, suggests that quercetin has ability to prevent adipogenesis, as shown by our results.

Adipogenesis can be induced through changes in the expression of programmed specific genes, such as FAS and aP2. These genes are regulated by transcription factors, such as PPARγ, C/EBPα and SREBP-1c, which are known to be critical activators of adipogenesis (5). The aP2 and FAS genes are known as terminal differentiation markers of adipocytes. The aP2 gene plays a central role in the pathway which links obesity to insulin resistance and fatty acid metabolism. The expression of the FAS enzyme is involved in lipoginesis and leads to the activation of PPARγ and SREBP-1c as a metabolic cascade. This activation is also clearly able to cross-activate the FAS promoter (27). In the present study, treatment with quercetin induced the downregulation of the FAS gene, as well as the aP2 gene (Fig. 4). Thus, quercetin may suppress the downstream adipocyte-specific gene promoters, including aP2 and FAS, which are associated with adipocyte differentiation and lipogenesis.

Since quercetin suppressed intracellular lipid accumulation, we examined the effects of quercetion not only on transcription factors involved in adipocyte differentiation, but also on lipases, such as ATGL, HSL and LPL associated with lipolysis. Previous studies have demonstrated that ATGL is capable of hydrolyzing TGs and that the level of ATGL determines the rate of lipolysis (14). ATGL selectively performs the first step in TG hydrolysis resulting in the formation of DGs and FFAs (12). HSL has been shown to exhibit broad substrate specificity and is capable of hydrolyzing cholesterylester, TGs, DGs and monoacylglycerol. The enzyme is most active against DGs which are hydrolyzed ~10-fold nore rapidly than TGs (28). In this study, quercetin significantly increased the adipocyte mRNA levels of the major TG lipases, ATGL and HSL. Treatment with quercetin stimulated lipolysis, indicated by the increased expression of ATGL and HSL, leading to TG hydrolysis. LPL is a main lipoprotein enzyme in fat cells and is secreted into capillary vessels and cell envelopes and participates in lipoprotein metabolism (29). LPL is an early marker of adipocyte differentiation that dissolves lipids in lipoproteins, such as very low density lipoprotein (VLDL) and low density lipoprotein (LDL) into one monoacylglycerol and two FFAs to allow fatty acid entry into fat tissue; thus, the overexpression of LPL indicates the initiation of lipid accumulation (30).

In our study, the mRNA expression level of LPL in adipocytes treated with quercetin was markedly decreased by up to 48.4%. This result indicated that quercetin suppressed the accumulation of intracellular TGs by downregulating LPL and upregulating ATGL and HSL (Fig. 5).

In the present study, we examined the effects of quercetin on the differentiation of preadipocytes into adipocytes and the mechanisms responsible for the prevention of adipogenesis. Our data indicated quercetin suppressed the expression of transcription factors, such as PPARγ, C/EBPα and SREBP-1c and their downstream target genes, including FAS and aP2. In addition, quercetin regulated the expression of enzymes associate with lipolysis, such as ATGL, HSL and LPL. These results suggest that quercetin has potential for use in the prevention of adipogenesis. However, further studies are required to explore the full potential of quercetin in the management of obesity.

Acknowledgments

This study was financially supported by a grant from the Ministry of Knowledge Economy (MKE), the Korea Institute for Advancement of Technology (KIAT) through the Inter-ER Cooperation Projects (R0002019), the National Research Foundation of Korea (NRF) grant funded by the Korean government (MSIP) (2008-0062484) and NRF-2013R1A1A2064673.

References

1 

Kopelman PG: Obesity as a medical problem. Nature. 404:635–643. 2000.PubMed/NCBI

2 

Isganaitis E and Lustig RH: Fast food, central nervous system insulin resistance, and obesity. Arterioscler Thromb Vasc Biol. 25:2451–2462. 2005. View Article : Google Scholar : PubMed/NCBI

3 

Frühbeck G1, Gómez-Ambrosi J, Muruzábal FJ and Burrell MA: The adipocyte: a model for integration of endocrine and metabolic signaling in energy metabolism regulation. Am J Physiol Endocrinol Metab. 280:E827–E847. 2001.PubMed/NCBI

4 

Tang QQ, Jiang MS and Lane MD: Repressive effect of Sp1 on the C/EBP alpha gene promoter: role in adipocyte differentiation. Mol Cell Biol. 19:4855–4865. 1999.PubMed/NCBI

5 

Gregoire FM, Smas CM and Sul HS: Understanding adipocyte differentiation. Physiol Rev. 78:783–809. 1998.PubMed/NCBI

6 

Otto TC and Lane MD: Adipose development: from stem cell to adipocyte. Crit Rev Biochem Mol Biol. 40:229–242. 2005. View Article : Google Scholar : PubMed/NCBI

7 

White UA and Stephens JM: Transcriptional factors that promote formation of white adipose tissue. Mol Cell Endocrinol. 318:10–14. 2010. View Article : Google Scholar

8 

Eberlé D1, Hegarty B, Bossard P, Ferré P and Foufelle F: SREBP transcription factors: master regulators of lipid homeostasis. Biochimie. 86:839–848. 2004. View Article : Google Scholar : PubMed/NCBI

9 

Griffin MJ and Sul HS: Insulin regulation of fatty acid synthase gene transcription: roles of USF and SREBP-1c. IUBMB Life. 56:595–600. 2004. View Article : Google Scholar

10 

Lodhi IJ, Yin L, Jensen-Urstad AP, et al: Inhibiting adipose tissue lipogenesis reprograms thermogenesis and PPARγ activation to decrease diet-induced obesity. Cell Metab. 16:189–201. 2012. View Article : Google Scholar : PubMed/NCBI

11 

Benkalfat NB, Merzouk H, Bouanane S, et al: Altered adipose tissue metabolism in offspring of dietary obese rat dams. Clin Sci (Lond). 121:19–28. 2011. View Article : Google Scholar

12 

Zimmermann R, Lass A, Haemmerle G and Zechner R: Fate of fat: the role of adipose triglyceride lipase in lipolysis. Biochim Biophys Acta. 1791:494–500. 2009. View Article : Google Scholar

13 

Bezaire V, Mairal A, Ribet C, et al: Contribution of adipose triglyceride lipase and hormone-sensitive lipase to lipolysis in hMADS adipocytes. J Biol Chem. 284:18282–18291. 2009. View Article : Google Scholar : PubMed/NCBI

14 

Zimmermann R, Strauss JG, Haemmerle G, et al: Fat mobilization in adipose tissue is promoted by adipose triglyceride lipase. Science. 306:1383–1386. 2004. View Article : Google Scholar : PubMed/NCBI

15 

Bischoff SC: Quercetin: potentials in the prevention and therapy of disease. Curr Opin Clin Nutr Metab Care. 11:733–740. 2008. View Article : Google Scholar : PubMed/NCBI

16 

Vicentini FT, Fonseca YM, Pitol DL, Iyomasa MM, Bentley MV and Fonseca MJ: Evaluation of protective effect of a water-in-oil microemulsion incorporating quercetin against UVB-induced damage in hairless mice skin. J Pharm Pharm Sci. 13:pp. 274–285. 2010, PubMed/NCBI

17 

Wagner C, Vargas AP, Roos DH, et al: Comparative study of quercetin and its two glycoside derivatives quercetin and rutin against methylmercury (MgHg)-induced ROS production in rat brain slices. Arch Toxicol. 84:pp. 89–97. 2010, View Article : Google Scholar

18 

Chen-yu G, Chun-fen Y, Qi-lu L, Qi T, Yan-wei X, Wei-na L and Guang-xi Z: Development of a quercetin-loaded nanostructured lipid carrier formulation for topical delivery. Int J Pharm. 430:292–298. 2012. View Article : Google Scholar : PubMed/NCBI

19 

Ahn J, Lee H, Kim S, Park J and Ha T: The anti-obesity effect of quercetin is mediated by the AMPK and MAPK signaling pathways. Biochem Biophys Res Commun. 373:545–549. 2008. View Article : Google Scholar : PubMed/NCBI

20 

Wolins NE, Quaynor BK, Skinner JR, Tzekov A, Park C, Choi K and Bickel PE: OP9 mouse stromal cells rapidly differentiate into adipocytes: characterization of a useful new model of adipogenesis. J Lipid Res. 47:450–460. 2006. View Article : Google Scholar

21 

Rosen E, Eguchi J and Xu Z: Transcriptional targets in adipocyte biology. Expert Opin Ther Targets. 13:975–986. 2009. View Article : Google Scholar : PubMed/NCBI

22 

Rosen ED and Spiegelman BM: Molecular regulation of adipogenesis. Annu Rev Cell Dev Biol. 16:145–171. 2000. View Article : Google Scholar : PubMed/NCBI

23 

Rosen ED, Walkey CJ, Puigserver P and Spiegelman BM: Transcriptional regulation of adipogenesis. Genes Dev. 14:1293–1307. 2000.PubMed/NCBI

24 

Darlington GJ, Ross SE and MacDougald OA: The role of C/EBP genes in adipocyte differentiation. J Biol Chem. 273:30057–30060. 1998. View Article : Google Scholar : PubMed/NCBI

25 

Farmer SR: Transcriptional control of adipocyte formation. Cell Metab. 4:263–273. 2006. View Article : Google Scholar : PubMed/NCBI

26 

Shimano H: Sterol regulatory element-binding protein family as global regulators of lipid synthetic genes in energy metabolism. Vitam Horm. 65:167–194. 2002. View Article : Google Scholar : PubMed/NCBI

27 

Palmer DG, Rutter GA and Tavare JM: Insulin-stimulated fatty acid synthase gene expression does not require increased sterol response element binding protein 1 transcription in primary adipocytes. Biochem Biophys Res Commun. 291:439–443. 2002. View Article : Google Scholar : PubMed/NCBI

28 

Yeaman SJ, Smith GM, Jepson CA, Wood SL and Emmison N: The multifunctional role of hormone-sensitive lipase in lipid metabolism. Adv Enzyme Regul. 34:355–370. 1994. View Article : Google Scholar : PubMed/NCBI

29 

Kim MS, Wang Y and Rodrigues B: Lipoprotein lipase mediated fatty acid delivery and its impact in diabetic cardiomyopathy. Biochim Biophys Acta. 1821:800–808. 2012. View Article : Google Scholar

30 

Gonzales AM and Orlando RA: Role of adipocyte-derived lipoprotein lipase in adipocyte hypertrophy. Nutr Metab (Lond). 4:222007. View Article : Google Scholar

Related Articles

  • Abstract
  • View
  • Download
  • Twitter
Copy and paste a formatted citation
Spandidos Publications style
Seo Y, Kang O, Kim S, Mun S, Kang D, Yang D, Choi J, Lee Y, Kang D, Lee H, Lee H, et al: Quercetin prevents adipogenesis by regulation of transcriptional factors and lipases in OP9 cells. Int J Mol Med 35: 1779-1785, 2015.
APA
Seo, Y., Kang, O., Kim, S., Mun, S., Kang, D., Yang, D. ... Kwon, D. (2015). Quercetin prevents adipogenesis by regulation of transcriptional factors and lipases in OP9 cells. International Journal of Molecular Medicine, 35, 1779-1785. https://doi.org/10.3892/ijmm.2015.2185
MLA
Seo, Y., Kang, O., Kim, S., Mun, S., Kang, D., Yang, D., Choi, J., Lee, Y., Kang, D., Lee, H., Kwon, D."Quercetin prevents adipogenesis by regulation of transcriptional factors and lipases in OP9 cells". International Journal of Molecular Medicine 35.6 (2015): 1779-1785.
Chicago
Seo, Y., Kang, O., Kim, S., Mun, S., Kang, D., Yang, D., Choi, J., Lee, Y., Kang, D., Lee, H., Kwon, D."Quercetin prevents adipogenesis by regulation of transcriptional factors and lipases in OP9 cells". International Journal of Molecular Medicine 35, no. 6 (2015): 1779-1785. https://doi.org/10.3892/ijmm.2015.2185
Copy and paste a formatted citation
x
Spandidos Publications style
Seo Y, Kang O, Kim S, Mun S, Kang D, Yang D, Choi J, Lee Y, Kang D, Lee H, Lee H, et al: Quercetin prevents adipogenesis by regulation of transcriptional factors and lipases in OP9 cells. Int J Mol Med 35: 1779-1785, 2015.
APA
Seo, Y., Kang, O., Kim, S., Mun, S., Kang, D., Yang, D. ... Kwon, D. (2015). Quercetin prevents adipogenesis by regulation of transcriptional factors and lipases in OP9 cells. International Journal of Molecular Medicine, 35, 1779-1785. https://doi.org/10.3892/ijmm.2015.2185
MLA
Seo, Y., Kang, O., Kim, S., Mun, S., Kang, D., Yang, D., Choi, J., Lee, Y., Kang, D., Lee, H., Kwon, D."Quercetin prevents adipogenesis by regulation of transcriptional factors and lipases in OP9 cells". International Journal of Molecular Medicine 35.6 (2015): 1779-1785.
Chicago
Seo, Y., Kang, O., Kim, S., Mun, S., Kang, D., Yang, D., Choi, J., Lee, Y., Kang, D., Lee, H., Kwon, D."Quercetin prevents adipogenesis by regulation of transcriptional factors and lipases in OP9 cells". International Journal of Molecular Medicine 35, no. 6 (2015): 1779-1785. https://doi.org/10.3892/ijmm.2015.2185
Follow us
  • Twitter
  • LinkedIn
  • Facebook
About
  • Spandidos Publications
  • Careers
  • Cookie Policy
  • Privacy Policy
How can we help?
  • Help
  • Live Chat
  • Contact
  • Email to our Support Team