Spandidos Publications Logo
  • About
    • About Spandidos
    • Aims and Scopes
    • Abstracting and Indexing
    • Editorial Policies
    • Reprints and Permissions
    • Job Opportunities
    • Terms and Conditions
    • Contact
  • Journals
    • All Journals
    • Oncology Letters
      • Oncology Letters
      • Information for Authors
      • Editorial Policies
      • Editorial Board
      • Aims and Scope
      • Abstracting and Indexing
      • Bibliographic Information
      • Archive
    • International Journal of Oncology
      • International Journal of Oncology
      • Information for Authors
      • Editorial Policies
      • Editorial Board
      • Aims and Scope
      • Abstracting and Indexing
      • Bibliographic Information
      • Archive
    • Molecular and Clinical Oncology
      • Molecular and Clinical Oncology
      • Information for Authors
      • Editorial Policies
      • Editorial Board
      • Aims and Scope
      • Abstracting and Indexing
      • Bibliographic Information
      • Archive
    • Experimental and Therapeutic Medicine
      • Experimental and Therapeutic Medicine
      • Information for Authors
      • Editorial Policies
      • Editorial Board
      • Aims and Scope
      • Abstracting and Indexing
      • Bibliographic Information
      • Archive
    • International Journal of Molecular Medicine
      • International Journal of Molecular Medicine
      • Information for Authors
      • Editorial Policies
      • Editorial Board
      • Aims and Scope
      • Abstracting and Indexing
      • Bibliographic Information
      • Archive
    • Biomedical Reports
      • Biomedical Reports
      • Information for Authors
      • Editorial Policies
      • Editorial Board
      • Aims and Scope
      • Abstracting and Indexing
      • Bibliographic Information
      • Archive
    • Oncology Reports
      • Oncology Reports
      • Information for Authors
      • Editorial Policies
      • Editorial Board
      • Aims and Scope
      • Abstracting and Indexing
      • Bibliographic Information
      • Archive
    • Molecular Medicine Reports
      • Molecular Medicine Reports
      • Information for Authors
      • Editorial Policies
      • Editorial Board
      • Aims and Scope
      • Abstracting and Indexing
      • Bibliographic Information
      • Archive
    • World Academy of Sciences Journal
      • World Academy of Sciences Journal
      • Information for Authors
      • Editorial Policies
      • Editorial Board
      • Aims and Scope
      • Abstracting and Indexing
      • Bibliographic Information
      • Archive
    • International Journal of Functional Nutrition
      • International Journal of Functional Nutrition
      • Information for Authors
      • Editorial Policies
      • Editorial Board
      • Aims and Scope
      • Abstracting and Indexing
      • Bibliographic Information
      • Archive
    • International Journal of Epigenetics
      • International Journal of Epigenetics
      • Information for Authors
      • Editorial Policies
      • Editorial Board
      • Aims and Scope
      • Abstracting and Indexing
      • Bibliographic Information
      • Archive
    • Medicine International
      • Medicine International
      • Information for Authors
      • Editorial Policies
      • Editorial Board
      • Aims and Scope
      • Abstracting and Indexing
      • Bibliographic Information
      • Archive
  • Articles
  • Information
    • Information for Authors
    • Information for Reviewers
    • Information for Librarians
    • Information for Advertisers
    • Conferences
  • Language Editing
Spandidos Publications Logo
  • About
    • About Spandidos
    • Aims and Scopes
    • Abstracting and Indexing
    • Editorial Policies
    • Reprints and Permissions
    • Job Opportunities
    • Terms and Conditions
    • Contact
  • Journals
    • All Journals
    • Biomedical Reports
      • Information for Authors
      • Editorial Policies
      • Editorial Board
      • Aims and Scope
      • Abstracting and Indexing
      • Bibliographic Information
      • Archive
    • Experimental and Therapeutic Medicine
      • Information for Authors
      • Editorial Policies
      • Editorial Board
      • Aims and Scope
      • Abstracting and Indexing
      • Bibliographic Information
      • Archive
    • International Journal of Epigenetics
      • Information for Authors
      • Editorial Policies
      • Editorial Board
      • Aims and Scope
      • Abstracting and Indexing
      • Bibliographic Information
      • Archive
    • International Journal of Functional Nutrition
      • Information for Authors
      • Editorial Policies
      • Editorial Board
      • Aims and Scope
      • Abstracting and Indexing
      • Bibliographic Information
      • Archive
    • International Journal of Molecular Medicine
      • Information for Authors
      • Editorial Policies
      • Editorial Board
      • Aims and Scope
      • Abstracting and Indexing
      • Bibliographic Information
      • Archive
    • International Journal of Oncology
      • Information for Authors
      • Editorial Policies
      • Editorial Board
      • Aims and Scope
      • Abstracting and Indexing
      • Bibliographic Information
      • Archive
    • Medicine International
      • Information for Authors
      • Editorial Policies
      • Editorial Board
      • Aims and Scope
      • Abstracting and Indexing
      • Bibliographic Information
      • Archive
    • Molecular and Clinical Oncology
      • Information for Authors
      • Editorial Policies
      • Editorial Board
      • Aims and Scope
      • Abstracting and Indexing
      • Bibliographic Information
      • Archive
    • Molecular Medicine Reports
      • Information for Authors
      • Editorial Policies
      • Editorial Board
      • Aims and Scope
      • Abstracting and Indexing
      • Bibliographic Information
      • Archive
    • Oncology Letters
      • Information for Authors
      • Editorial Policies
      • Editorial Board
      • Aims and Scope
      • Abstracting and Indexing
      • Bibliographic Information
      • Archive
    • Oncology Reports
      • Information for Authors
      • Editorial Policies
      • Editorial Board
      • Aims and Scope
      • Abstracting and Indexing
      • Bibliographic Information
      • Archive
    • World Academy of Sciences Journal
      • Information for Authors
      • Editorial Policies
      • Editorial Board
      • Aims and Scope
      • Abstracting and Indexing
      • Bibliographic Information
      • Archive
  • Articles
  • Information
    • For Authors
    • For Reviewers
    • For Librarians
    • For Advertisers
    • Conferences
  • Language Editing
Login Register Submit
  • This site uses cookies
  • You can change your cookie settings at any time by following the instructions in our Cookie Policy. To find out more, you may read our Privacy Policy.

    I agree
Search articles by DOI, keyword, author or affiliation
Search
Advanced Search
presentation
International Journal of Molecular Medicine
Join Editorial Board Propose a Special Issue
Print ISSN: 1107-3756 Online ISSN: 1791-244X
Journal Cover
October-2015 Volume 36 Issue 4

Full Size Image

Sign up for eToc alerts
Recommend to Library

Journals

International Journal of Molecular Medicine

International Journal of Molecular Medicine

International Journal of Molecular Medicine is an international journal devoted to molecular mechanisms of human disease.

International Journal of Oncology

International Journal of Oncology

International Journal of Oncology is an international journal devoted to oncology research and cancer treatment.

Molecular Medicine Reports

Molecular Medicine Reports

Covers molecular medicine topics such as pharmacology, pathology, genetics, neuroscience, infectious diseases, molecular cardiology, and molecular surgery.

Oncology Reports

Oncology Reports

Oncology Reports is an international journal devoted to fundamental and applied research in Oncology.

Experimental and Therapeutic Medicine

Experimental and Therapeutic Medicine

Experimental and Therapeutic Medicine is an international journal devoted to laboratory and clinical medicine.

Oncology Letters

Oncology Letters

Oncology Letters is an international journal devoted to Experimental and Clinical Oncology.

Biomedical Reports

Biomedical Reports

Explores a wide range of biological and medical fields, including pharmacology, genetics, microbiology, neuroscience, and molecular cardiology.

Molecular and Clinical Oncology

Molecular and Clinical Oncology

International journal addressing all aspects of oncology research, from tumorigenesis and oncogenes to chemotherapy and metastasis.

World Academy of Sciences Journal

World Academy of Sciences Journal

Multidisciplinary open-access journal spanning biochemistry, genetics, neuroscience, environmental health, and synthetic biology.

International Journal of Functional Nutrition

International Journal of Functional Nutrition

Open-access journal combining biochemistry, pharmacology, immunology, and genetics to advance health through functional nutrition.

International Journal of Epigenetics

International Journal of Epigenetics

Publishes open-access research on using epigenetics to advance understanding and treatment of human disease.

Medicine International

Medicine International

An International Open Access Journal Devoted to General Medicine.

Journal Cover
October-2015 Volume 36 Issue 4

Full Size Image

Sign up for eToc alerts
Recommend to Library

  • Article
  • Citations
    • Cite This Article
    • Download Citation
    • Create Citation Alert
    • Remove Citation Alert
    • Cited By
  • Similar Articles
    • Related Articles (in Spandidos Publications)
    • Similar Articles (Google Scholar)
    • Similar Articles (PubMed)
  • Download PDF
  • Download XML
  • View XML
Article

Activin suppresses LPS-induced Toll-like receptor, cytokine and inducible nitric oxide synthase expression in normal human melanocytes by inhibiting NF-κB and MAPK pathway activation

  • Authors:
    • Young Il Kim
    • Seung-Won Park
    • In Jung Kang
    • Min Kyung Shin
    • Mu-Hyoung Lee
  • View Affiliations / Copyright

    Affiliations: Medical Science Research Institute, Kyung Hee University Medical Center and East-West Medical Research Institute, Kyung Hee University, Seoul 130-872, Republic of Korea, Department of Biotechnology, Catholic University of Daegu, Daegu 712-702, Republic of Korea, Department of Dermatology, College of Medicine, Kyung Hee University, Seoul 130-872, Republic of Korea
  • Pages: 1165-1172
    |
    Published online on: August 10, 2015
       https://doi.org/10.3892/ijmm.2015.2308
  • Expand metrics +
Metrics: Total Views: 0 (Spandidos Publications: | PMC Statistics: )
Metrics: Total PDF Downloads: 0 (Spandidos Publications: | PMC Statistics: )
Cited By (CrossRef): 0 citations Loading Articles...

This article is mentioned in:


Abstract

Activins are dimeric growth and differentiation factors that belong to the transforming growth factor (TGF)-β superfamily of structurally related signaling proteins. In the present study, we examined the mechanisms through which activin regulates the lipopolysaccharide (LPS)-induced transcription of Toll-like receptors (TLRs), cytokines and inducible nitric oxide synthase (iNOS) in human melanocytes, as well as the involvement of nuclear factor (NF)-κB and mitogen-activated protein kinase (MAPK) signaling. Cell proliferation was analyzed by cell viability assay, mRNA expression was detected by RT-qPCR, and protein expression was measured by western blot analysis. LPS increased the mRNA expression of TLRs (TLR1-10) and cytokines [interleukin (IL)-1β, IL-6, IL-8 and TNF-α], as well as the mRNA and protein expression of iNOS. Activin decreased the LPS-induced TLR and cytokine mRNA expression, as well as the LPS-induced iNOS mRNA and protein expression. In addition, activin suppressed NF-κB p65 activation and blocked inhibitor of NF-κB (IκBα) degradation in LPS-stimulated melanocytes, and reduced LPS-induced p38 MAPK and MEK/ERK activation. On the whole, our results demonstrated that activin inhibited TLR and cytokine expression in LPS-activated normal human melanocytes and suppressed LPS-induced iNOS gene expression. Moreover, the anti-inflammatory effects of activin were shown to be mediated through the suppression of NF-κB and MAPK signaling, resulting in reduced TLR and iNOS expression, and in the inhibition of inflammatory cytokine expression.

Introduction

Inflammation is a multifaceted process involving changes at the cellular, tissue and systemic levels and it is coordinated through a complex network of cytokine pathways. Many of the key cytokines that are involved in inflammatory processes have been identified and their functions determined. Research is, however, continuing into the activation of the intracellular signaling pathways that are activated and the interactions between immunoregulatory factors and other cytokines and growth factors (1).

Pathogen recognition by innate immune cells is mediated by pattern recognition receptors that recognize conserved pathogen-associated molecular patterns. Humans have various pattern recognition receptors, which include Toll-like receptors (TLRs), nucleotide-binding oligomerization domain (NOD)-like receptors (NLRs) and retinoic acid-inducible gene (RIG)-1-like receptors (2,3). These receptors transduce signals leading to the activation of nuclear factor (NF)-κB, which subsequently drives the induction of several pro-inflammatory cytokines and chemokines (4–6). TLRs play a major role in microbial detection. The regulation of various genes, encoding inflammatory cytokines, such as interleukin (IL)-1β, IL-6, IL-8, IL-12 and tumor necrosis factor (TNF)-α occurs through TLRs on macrophages and other immunocompetent cells (7). NF-κB is a key regulator of pro-inflammatory gene expression. In unstimulated cells, NF-κB is retained in the cytoplasm by binding to a family of inhibitory proteins, the inhibitors of NF-κB (IκB). Upon cell stimulation, the phosphorylation and degradation of IκBα leads to the translocation of free NF-κB to the nucleus (8,9). Nitric oxide (NO) is produced from L-arginine by the action of the enzyme nitric oxide synthase (NOS). Several isoforms of the enzyme exist, the most important of which are the constitutive form (cNOS), which is present in endothelial cells and neurons, and inducible NO synthase (iNOS), which is found in a variety of cells, including macrophages and neutrophils. The latter is not normally expressed, but it is induced by inflammatory cytokines and bacterial lipopolysaccharide (LPS) (10,11).

Activins are dimeric growth and differentiation factors that belong to the transforming growth factor (TGF)-β superfamily of structurally related signaling proteins. Activins are either heterodimers or homodimers of inhibin β subunits (βAβA, βBβB or βAβB). Biological signaling by activins is mediated by receptor complexes consisting of two different activin serine/threonine kinase receptors (ActRs): type I (ActR-I) and type II (ActR-II). Activin-responsive genes have been implicated in the control of homeostasis, development, proliferation, apoptosis, differentiation and inflammation in diverse cellular systems (12,13). Activin produced by microglia acts as an anti-inflammatory cytokine, presumably modulating inflammation in an autocrine manner (14). Activin A decreases the production of inflammatory factors and phagocytosis in activated macrophages by suppressing the maturation of LPS-stimulated macrophages or LPS-TLR4 signal transduction (15).

Human melanocytes are not merely pigment-producing cells; they also act as phagocytes that contribute to inflammatory responses (16), and secrete agents of a wide range of signaling molecules, including cytokines, pro-opiomelanocortin (POMC) peptides, catecholamines and NO in response to ultraviolet (UV) irradiation and other stimuli. Potential targets of these secretory products are keratinocytes, lymphocytes, fibroblasts, mast cells and endothelial cells, all of which express receptors for these signaling molecules (17). However, the regulatory effects of activin A on normal human melanocytes as anti-inflammatory factors remain unclear.

In this study, we examined the mechanisms through which activin regulates the LPS-induced transcription of TLRs, cytokines and NOS in normal human melanocytes, and its effects on NF-κB and mitogen-activated protein kinase (MAPK) signaling.

Materials and methods

Cell culture

Normal human melanocytes were purchased from Cascade Biologics (Gibco, Carlsbad, CA, USA) and cultured in Gibco Medium 254 containing human melanocyte growth supplement (Invitrogen, Grand Island, NY, USA). The cells were incubated at 37°C in a humidified atmosphere of 5% CO2 in 95% air.

Cell viability assay

Cell proliferation was measured using CellTiter 96 AQueous One Solution (Promega, Madison, WI, USA). The cells were seeded (5×103 cells/well) in 96-well plates and incubated with Escherichia coli LPS (E. coli 0111: B4; Sigma-Aldrich Co., St. Louis, MO, USA) and activin A (ProSpec (Protein-Specialists), East Brunswick, NJ, USA) for 24 h. Cell viability was determined by colorimetric assay using PMS/MTS solution. The absorbance was measured at 490 nm, with background subtraction at 650 nm.

Treatment with LPS and activin A

Normal human melanocytes were treated for 20 h with activin A (10 or 25 ng/ml) prior to exposure to LPS (1 µg/ml) for 4 h. At each time point, total RNA and protein were isolated from the cultured melanocytes.

RNA extraction and reverse transcription-quantitative-PCR (RT-qPCR)

Total RNA was purified from the cultured cells using an RNeasy Mini kit according to the manufacturer's instructions (Qiagen, Hilden, Germany). First-Strand cDNA synthesis was performed with 1 µg of total RNA, which was transcribed into cDNA using a reverse transcription system with random hexamers (Promega) according to the manufacturer's instructions. The primer sequences are listed in Table I. Quantitative PCR (qPCR) was performed on a StepOnePlus Real-Time PCR system with Power SYBR-Green PCR Master Mix (Applied Biosystems, Foster City, CA, USA). PCR was performed with 1 µl of cDNA in a 20-µl reaction mixture containing 10 µl of Power SYBR-Green PCR Master Mix, 2 µl of primers, and 7 µl of PCR grade water. The reaction conditions were as follows: denaturation at 95°C for 10 min, followed by 40 cycles of 95°C for 15 sec and 60°C for 1 min. The crossing points of the target genes with β-actin were calculated using the formula 2−(target gene − β-actin) and the relative amounts were quantified.

Table I

Primers used in RT-qPCR.

Table I

Primers used in RT-qPCR.

GenePrimer sequencesProduct length (bp)
TLR1 5′-GCCCAAGGAAAAGAGCAAAC-3′
5′-AAAGCAGCAATATCAACAGGAG-3′
135
TLR2 5′-TCTCCCATTTCCGTCTTTTT-3′
5′-GGTCTTGGTGTTCATTATCTTC-3′
125
TLR3 5′-TAAACTGAACCATGCACTCT-3′
5′-TATGACGAAAGGCACCTATC-3′
101
TLR4 5′-GAAGCTGGTGGCTGTGGA-3′
5′-TGATGTAGAACCCGCAAG-3′
213
TLR5 5′-TTGCTCAAACACCTGGACAC-3′
5′-CTGCTCACAAGACAAACGAT-3′
149
TLR6 5′-GTGCCATTACGAACTCTA-3′
5′-CTTGTTGGGAATGCTGTT-3′
109
TLR7 5′-CTGACCACTGTCCCTGAG-3′
5′-AACCCACCAGACAAACCA-3′
264
TLR8 5′-AACATCAGCAAGACCCAT-3′
5′-GACTCCTTCATTCTCCCT-3′
65
TLR9 5′-CGCCAACGCCCTCAAGACA-3′
5′-GGCGCTTACATCTAGTATTTGC-3′
79
TLR10 5′-CTCCCAACTTTGTCCAGAAT-3′
5′-TGGTGGGAATGCAATAGAAT-3′
132
IL-1β 5′-TGATGGCTTATTACAGTGGCAATG-3′
5′-GTAGTGGTGGTCGGAGATTCG-3′
140
IL-6 5′-GTGTTGCCTGCTGCCTTC-3′
5′-AGTGCCTCTTTGCTGCTTTC-3′
194
IL-8 5′-GACATACTCCAAACCTTTCCAC-3′
5′-CTTCTCCACAACCCTCTGC-3′
160
TNF-α 5′-ATCTTCTCGAACCCCGAGTG-3′
5′-GGGTTTGCTACAACATGGGC-3′
51
iNOS 5′-TGGATGCAACCCCATTGTC-3′
5′-CCCGCTGCCCCAGTTT-3′
59
β-actin 5′-GCGAGAAGATGACCCAGATC-3′
5′-GGATAGCACAGCCTGGATAG-3′
77

[i] TLR, Toll-like receptor; IL, interleukin; TNF-α, tumor necrosis factor-α; iNOS, inducible nitric oxide synthase.

Immunoblot analysis

The cells were collected and washed with cold PBS then lysed using lysis buffer [20 mM Tris-HCl (pH 7.5), 150 mM NaCl, 1 mM Na2EDTA, 1 mM EGTA, 1% Triton, 2.5 mM sodium pyrophosphate, 1 mM β-glycerophosphate, 1 mM Na3VO4 and 1 µg/ml leupeptin] containing 1 mM PMSF (Cell Signaling Technology, Inc., Boston, MA, USA). The protein concentration was determined using a BCA protein assay kit (Thermo Fisher Scientific, Rockford, IL, USA) according to the manufacturer's instructions. Protein (30 µg) were fractionated by 12% SDS-PAGE and transferred by electrophoresis onto nitrocellulose membranes. The membranes were blocked with 5% non-fat dry milk for 1 h at room temperature and then incubated overnight with antibodies against iNOS (AB5382), NF-κB p65 (#8242), phosphorylated (p-)NF-κB p65 (#3031), IκBα (#9242), p-IκBα (#9246), p38 MAPK (#9228), p-p38 MAPK (#9215), MEK (#4694), p-MEK (#9154), ERK (#4696) and p-ERK1/2 (#4376; Cell Signaling Technology) and β-actin (A5441; Sigma-Aldrich Co.), diluted 1:1,000 with Tris-buffered saline containing 0.05% Tween-20 (TBS-T). After washing with TBS-T for 1 h, the membranes were incubated for 1 h at room temperature with horseradish peroxidase-conjugated secondary antibodies diluted 1:2,500 in TBS-T. The membranes were subsequently washed with TBS-T for 1 h, and proteins were detected using an Enhanced Chemiluminescence kit (Santa Cruz Biotechnology Inc., Santa Cruz, CA, USA). Protein expression was analyzed using a Davinch-Chemi™ Chemiluminescence Imaging system (Davinch-K Co., Ltd., Seoul, Korea).

Statistical analyses

The experiments were repeated 3 times independently. All values are expressed as the means ± SEM. Data were compared by a non-parametric Kruskal-Wallis one-way analysis of variance (ANOVA). Values of P<0.05 and P<0.01 were considered to indicate statistically significant differences.

Results

Effects of activin on the proliferation of normal human melanocytes

Normal human melanocytes were treated with various concentrations of activin A (0–50 ng/ml) for 24 h and cell proliferation was examined by PMS/MTS solution. Activin did not influence the proliferation rate (cell viability) at concentrations of 10 and 25 ng/ml (Fig. 1A). Co-stimulation of the normal human melanocytes with LPS (1 µg/ml) and activin A (10 and 25 ng/ml) for 24 h did not produce any cytotoxic effects (Fig. 1B).

Figure 1

Effects of lipopolysaccharide (LPS) and activin on the proliferation of normal human melanocytes. Normal human melanocytes were treated with (A) various concentrations of activin A, and (B) a combination of LPS and activin A for 24 h. Cell viability was then determined by a PMS/MTS solution. The data represent the means ± SEM of 3 independent experiments repeated in triplicate.

Activin inhibits the LPS-induced increase in the mRNA expression of TLRs in normal human melanocytes

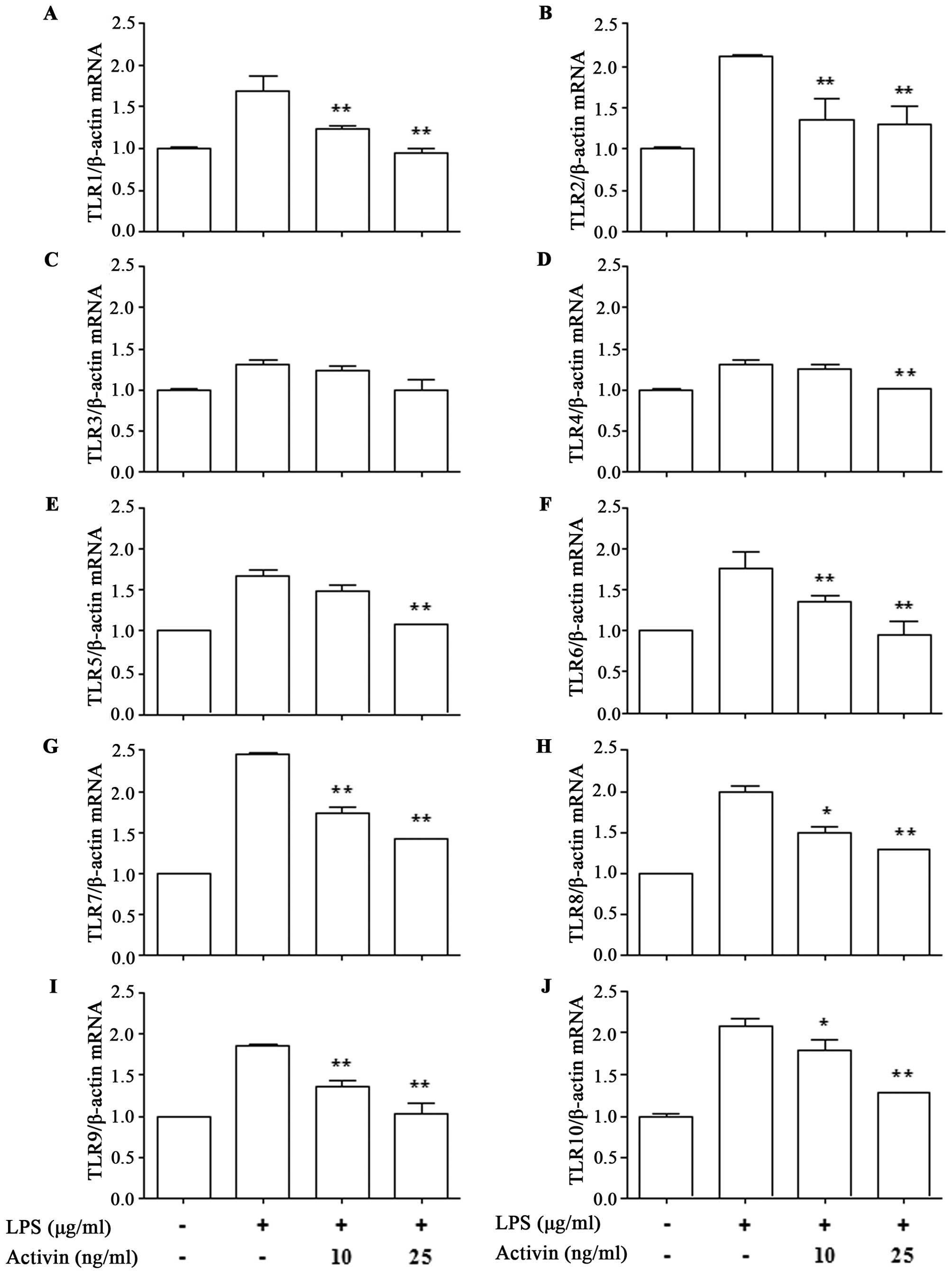
To investigate the effects of activin on the expression of TLR1-10 in normal human melanocytes in the presence of LPS, the mRNA expression of TLR was measured by RT-qPCR. LPS increased the mRNA expression of TLR1-10 compared with the control. However, activin suppressed the LPS-induced increase in the mRNA expression of all TLRs except TLR3 (Fig. 2).

Figure 2

Effects of activin on the lipopolysaccharide (LPS)-induced increase in the mRNA expression of Toll-like receptors (TLRs) in normal human melanocytes. Normal human melanocytes were treated for 20 h with activin A (10 or 25 ng/ml) prior to exposure to LPS (1 µg/ml) for 4 h, and mRNA levels were measured by RT-qPCR (A–J). The crossing points of the TLRs with β-actin were entered into the formula 2−(target gene − β-actin), and relative amounts were quantified. The data represent the means ± SEM of 3 independent samples. *P<0.05 and **P<0.01 compared to stimulation with LPS alone.

Activin inhibits the LPS-induced increase in the mRNA expression of cytokines in normal human melanocytes

We then determined whether activin A affects inflammatory cytokine mRNA transcription. The expression of cytokines was measured by RT-qPCR. LPS increased cytokine mRNA expression compared with the controls, while activin A suppressed the LPS-induced increase in the mRNA expression of IL-1β, IL-6, and IL-8. The decrease in the mRNA expression of TNF-α following the administration of activin A did not reach statistical significance (Fig. 3).

Figure 3

Effects of activin on the lipopolysaccharide (LPS)-induced increase in the mRNA expression of cytokines in normal human melanocytes. Normal human melanocytes were treated for 20 h with activin A (10 or 25 ng/ml) prior to exposure to LPS (1 µg/ml) for 4 h, and mRNA levels were measured by RT-qPCR. The crossing points of (A) IL-1β, (B) IL-6, (C) IL-8 and (D) TNF-α with β-actin were entered into the formula 2−(target gene − β-actin), and relative amounts were quantified. The data represent the means ± SEM of 3 independent samples. *P<0.05 and **P<0.01 compared to stimulation with LPS alone.

Activin inhibits the LPS-induced increase in the mRNA and protein expression of iNOS in normal human melanocytes

To examine the anti-inflammatory activity of activin, we examined its effects on the mRNA and protein expression of iNOS in the LPS-stimulated normal human melanocytes. The mRNA and protein expression of iNOS was measured by RT-qPCR and immunoblot analysis, respectively. LPS increased the mRNA and protein expression of iNOS compared with the controls. However, activin suppressed the LPS-induced increase in the mRNA and protein expression of iNOS (Fig. 4).

Figure 4

Effects of activin on the lipopolysaccharide (LPS)-induced increase in the mRNA and protein expression of inducible nitric oxide synthase (iNOS) in normal human melanocytes. Normal human melanocytes were treated for 20 h with activin A (10 or 25 ng/ml) prior to exposure to LPS (1 µg/ml) for 4 h. (A) mRNA levels of iNOS were measured by RT-qPCR. (B) The crossing points of iNOS with β-actin were entered into the formula 2−(target gene − β-actin), and relative amounts were quantified. iNOS protein expression was examined by immunoblot analysis. Densitometric analyses are presented as the relative ratios of iNOS and β-actin. The data represent the means ± SEM of 3 independent samples. **P<0.01 compared to stimulation with LPS alone.

Activin inhibits the LPS-induced activation of NF-κB signaling and IκBα degradation in normal human melanocytes

To investigate the phenomena involved in the inhibition of NF-κB activity, the effects of activin on IκBα degradation were examined. The NF-κB p65 and IκBα protein levels were measured by immunoblot analysis. LPS promoted the activation of NF-κB p65 and IκBα compared with the controls. No phosphorylated IκBα was detected in the unstimulated normal human melanocytes. The LPS-induced phosphorylation of NF-κB and IκBα was inhibited by activin A (Fig. 5).

Figure 5

Effects of activin on the lipopolysaccharide (LPS)-induced phosphorylation of NF-κB p65 and IκBα degradation in normal human melanocytes. Normal human melanocytes were treated for 20 h with activin A (10 or 25 ng/ml) prior to exposure to LPS (1 µg/ml) for 4 h, and the protein expression of NF-κB p65 and IκBα was examined by immunoblot analysis. Densitometric analyses are presented as the relative ratios of (A) phosphorylated (p)-NF-κB p65/NF-κB p65 or (B) p-IκBα/IκBα and β-actin. The data represent the means ± SEM of 3 independent samples. **P<0.01 compared to stimulation with LPS alone.

Activin inhibits the LPS-induced activation of p38 MAPK and MEK/ERK in normal human melanocytes

We then evaluated the activation of signaling molecules related to inflammation by activin. The expression levels of p38 MAPK, MEK and ERK were measured by immunoblot blot analysis. LPS promoted the activation of p38 MAPK, MEK and ERK compared with the controls, while activin inhibited the LPS-induced activation of p38 MAPK, MEK and ERK in normal human melanocytes (Fig. 6).

Figure 6

Effects of activin on the lipopolysaccharide (LPS)-induced phosphorylation of p38 mitogen-activated protein kinase (MAPK) and MEK/ERK in normal human melanocytes. (A) Normal human melanocytes were treated for 20 h with activin A (10 or 25 ng/ml) prior to exposure to LPS (1 µg/ml) for 4 h, and the protein expression of p38 MAPK, MEK and ERK was examined by immunoblot analysis. Densitometric analyses are presented as the relative ratios of (B) phosphorylated (p)-p38 MAPK/p38 MAPK, (C) p-MEK/ME, (D) p-ERK/ERK and β-actin. The data represent the means ± SEM of 3 independent samples. *P<0.05 and **P<0.01 compared to stimulation with LPS alone.

Discussion

Activin plays an important physiological role in cell differentiation and inflammation (18). However, its effects on normal human melanocytes remain unclear. In a previous study, LPS inhibited melanocyte proliferation in a dose-dependent manner when applied for 5 days (19). Activin (25 ng/ml) has been shown to suppress the growth of normal human melanocytes when applied for 4 days (20). In this study, we investigated the effects of LPS and activin A on the proliferation of normal human melanocytes. The cells stimulated with activin (10 and 25 ng/ml) for 24 h did not show any cytotoxicity. Therefore, these concentrations of activin were deemed to be appropriate for our experiments.

Humans have various pattern recognition receptors, including TLRs, NLRs and RIG-1-like receptors (21–23). Human melanocytes constitutively express mRNA and protein for TLRs 2–5, 7, 9 and 10 (19–24,25); however, the mRNA expression of NODs and RIG-1 in melanocytes is unclear. In the present study, we demonstrate that activin regulates TLR gene transcription in normal human melanocytes. Activin inhibited the LPS-induced mRNA expression of TLRs (except TLR3). These results suggest that activin plays a regulatory role in inflammation at the level of TLR transcription. However, to the best of our knowledge, the modulation of LPS-activated TLRs by activin has not been previously reported in normal human melanocytes.

Activin A acts as an anti-inflammatory cytokine produced by microglia and macrophages, and it is involved in regulation of the acute-phase response in inflammatory diseases, in an autocrine or paracrine manner (14,15). Activin was shown to significantly inhibit the LPS-induced production of IL-6, IL-18, iNOS and IL-1β-converting enzyme (ICE), in vivo and in vitro (14). In the present study, we found that activin suppressed the LPS-induced increase in the mRNA expression of IL-1β, IL-6 and IL-8, whereas the mRNA levels of TNF-α were not altered significantly. These results suggest that activin modulates the transcription of inflammatory cyto-kines in normal human melanocytes. In a previous study, no mRNA expression of IL-2, IL-3, IL-4, IL-9, IL-12p40, IFN-α, or IFN-γ was detected in human melanocytes (18).

Human melanocytes produce NO in response to UV radiation and bacterial LPS. NO is produced through the enzymatic action of NOS, of which both the constitutive (cNOS) and inducible (iNOS) isoforms exist. In the control unstimulated melanocytes, iNOS expression was detected, which suggests that, unlike in most cell types, low levels of iNOS are constitutively expressed in melanocytes (26). Normal dermal fibroblasts express both endothelial NOS (eNOS) and iNOS mRNA (27). Cultured normal human melanocytes have been shown to express iNOS when stimulated with LPS/cytokines (28). To determine whether activin exerts an inhibitory effect on iNOS production in melanocytes, we investigated its effects on iNOS mRNA expression in the presence of LPS. Our results revealed that, under these conditions, activin blocked the stimulatory effect of LPS on iNOS mRNA and protein expression. These findings suggest that activin inhibits iNOS at the transcriptional and translational levels in normal human melanocytes exposed to inflammatory stimuli, such as LPS.

NF-κB plays a crucial role in the expression of a number of the genes involved in immune and inflammatory responses (29). LPS has been shown to induce the nuclear translocation of NF-κB in human melanocytes (19). Activated NF-κB acts as a transcription factor that increases the expression of several inflammation-associated genes, including iNOS, COX-2, IL-1β, IL-6 and TNF-α (30). In this study, we observed that activin blocked the degradation of IκBα, suggesting that it attenuates the LPS-stimulated translocation of NF-κB in normal human melanocytes by blocking IκBα degradation. The phosphorylation and activation of 3 major MAPKs (p38 MAPK, JNK and ERK1/2) has been shown to initiate the expression inflammation-associated genes in LPS-stimulated macrophages. Activated p38 induces TNF-α and iNOS production by modulating NF-κB (31). It has been demonstrated that activin stimulates the production of IL-1β, IL-6 and TNF-α (32) by modulating IκB degradation, the nuclear translocation of NF-κB, and the phosphorylation of p38 MAPK and ERK1/2 (33,34). In this study, we found that activin inhibited the LPS-induced phosphorylation of p38 MAPK and MEK/ERK in normal human melanocytes. Taken together, our results demonstrated that in LPS-stimulated normal human melanocytes, activin exerted anti-inflammatory effects by modulating MAPK phosphorylation and inactivating NF-κB by blocking IκBα degradation.

In conclusion, the findings of the present study demonstrated that activin inhibited LPS-induced TLR, cytokine and iNOS expression in normal human melanocytes. Moreover, activin exerted anti-inflammatory effects on LPS-activated normal human melanocytes by modulating MAPK phosphorylation and NF-κB inactivation.

Abbreviations:

IκB

inhibitors of NF-κB

IL

interleukin

iNOS

inducible nitric oxide synthase

LPS

lipopolysaccharide

MAPK

mitogen-activated protein kinase

NF-κB

nuclear factor-κB

TLR

Τoll-like receptor

References

1 

Phillips DJ, Jones KL, Scheerlinck JY, Hedger MP and de Kretser DM: Evidence for activin A and follistatin involvement in the systemic inflammatory response. Mol Cell Endocrinol. 180:155–162. 2001. View Article : Google Scholar : PubMed/NCBI

2 

Marshak-Rothstein A and Rifkin IR: Immunologically active autoantigens: the role of toll-like receptors in the development of chronic inflammatory disease. Annu Rev Immunol. 25:419–441. 2007. View Article : Google Scholar : PubMed/NCBI

3 

Takeuchi O and Akira S: Pattern recognition receptors and inflammation. Cell. 140:805–820. 2010. View Article : Google Scholar : PubMed/NCBI

4 

Akira S, Takeda K and Kaisho T: Toll-like receptors: critical proteins linking innate and acquired immunity. Nat Immunol. 2:675–680. 2001. View Article : Google Scholar : PubMed/NCBI

5 

Medzhitov R: Toll-like receptors and innate immunity. Nat Rev Immunol. 1:135–145. 2001. View Article : Google Scholar

6 

Barton GM and Medzhitov R: Toll-like receptor signaling pathways. Science. 300:1524–1525. 2003. View Article : Google Scholar : PubMed/NCBI

7 

Kawai T and Akira S: TLR signaling. Semin Immunol. 19:24–32. 2007. View Article : Google Scholar : PubMed/NCBI

8 

Lee YM, Seon MR, Cho HJ, Kim JS and Park JH: Benzyl isothiocyanate exhibits anti-inflammatory effects in murine macrophages and in mouse skin. J Mol Med Berl. 87:1251–1261. 2009. View Article : Google Scholar : PubMed/NCBI

9 

Zaidi SF, Yamamoto T, Refaat A, Ahmed K, Sakurai H, Saiki I, Kondo T, Usmanghani K, Kadowaki M and Sugiyama T: Modulation of activation-induced cytidine deaminase by curcumin in Helicobacter pylori-infected gastric epithelial cells. Helicobacter. 14:588–595. 2009. View Article : Google Scholar : PubMed/NCBI

10 

Marletta MA: Approaches toward selective inhibition of nitric oxide synthase. J Med Chem. 37:1899–1907. 1994. View Article : Google Scholar : PubMed/NCBI

11 

Nathan C and Xie QW: Nitric oxide synthases: Roles, tolls, and controls. Cell. 78:915–918. 1994. View Article : Google Scholar : PubMed/NCBI

12 

Mathews LS: Activin receptors and cellular signaling by the receptor serine kinase family. Endocr Rev. 15:310–325. 1994. View Article : Google Scholar : PubMed/NCBI

13 

Mather JP, Moore A and Li RH: Activins, inhibins, and follistatins: further thoughts on a growing family of regulators. Proc Soc Exp Biol Med. 215:209–222. 1997. View Article : Google Scholar : PubMed/NCBI

14 

Sugama S, Takenouchi T, Kitani H, Fujita M and Hashimoto M: Activin as an anti-inflammatory cytokine produced by microglia. J Neuroimmunol. 192:31–39. 2007. View Article : Google Scholar : PubMed/NCBI

15 

Wang SY, Tai GX, Zhang PY, Mu DP, Zhang XJ and Liu ZH: Inhibitory effect of activin A on activation of lipopolysaccharide-stimulated mouse macrophage RAW264.7 cells. Cytokine. 42:85–91. 2008. View Article : Google Scholar : PubMed/NCBI

16 

Plonka PM, Passeron T, Brenner M, Tobin DJ, Shibahara S, Thomas A, Slominski A, Kadekaro AL, Hershkovitz D, Peters E, et al: What are melanocytes really doing all day long? Exp Dermatol. 18:799–819. 2009. View Article : Google Scholar : PubMed/NCBI

17 

Tsatmali M, Ancans J and Thody AJ: Melanocyte function and its control by melanocortin peptides. J Histochem Cytochem. 50:125–133. 2002. View Article : Google Scholar : PubMed/NCBI

18 

Mattei S, Colombo MP, Melani C, Silvani A, Parmiani G and Herlyn M: Expression of cytokine/growth factors and their receptors in human melanoma and melanocytes. Int J Cancer. 56:853–857. 1994. View Article : Google Scholar : PubMed/NCBI

19 

Ahn JH, Park TJ, Jin SH and Kang HY: Human melanocytes express functional Toll-like receptor 4. Exp Dermatol. 17:412–417. 2008. View Article : Google Scholar : PubMed/NCBI

20 

Stove C, Vanrobaeys F, Devreese B, Van Beeumen J, Mareel M and Bracke M: Melanoma cells secrete follistatin, an antagonist of activin-mediated growth inhibition. Oncogene. 23:5330–5339. 2004. View Article : Google Scholar : PubMed/NCBI

21 

Sabroe I, Read RC, Whyte MK, Dockrell DH, Vogel SN and Dower SK: Toll-like receptors in health and disease: complex questions remain. J Immunol. 171:1630–1635. 2003. View Article : Google Scholar : PubMed/NCBI

22 

Cook DN, Pisetsky DS and Schwartz DA: Toll-like receptors in the pathogenesis of human disease. Nat Immunol. 5:975–979. 2004. View Article : Google Scholar : PubMed/NCBI

23 

Strober W, Murray PJ, Kitani A and Watanabe T: Signalling pathways and molecular interactions of NOD1 and NOD2. Nat Rev Immunol. 6:9–20. 2006. View Article : Google Scholar : PubMed/NCBI

24 

Yu N, Zhang S, Zuo F, Kang K, Guan M and Xiang L: Cultured human melanocytes express functional toll-like receptors 2–4, 7 and 9. J Dermatol Sci. 56:113–120. 2009. View Article : Google Scholar : PubMed/NCBI

25 

Jin SH and Kang HY: Activation of toll-like receptors 1, 2, 4, 5, and 7 on human melanocytes modulate pigmentation. Ann Dermatol. 22:486–489. 2010. View Article : Google Scholar : PubMed/NCBI

26 

Tsatmali M, Graham A, Szatkowski D, Ancans J, Manning P, McNeil CJ, Graham AM and Thody AJ: alpha-melanocyte-stimulating hormone modulates nitric oxide production in melanocytes. J Invest Dermatol. 114:520–526. 2000. View Article : Google Scholar : PubMed/NCBI

27 

Wang R, Ghahary A, Shen YJ, Scott PG and Tredget EE: Human dermal fibroblasts produce nitric oxide and express both constitutive and inducible nitric oxide synthase isoforms. J Invest Dermatol. 106:419–427. 1996. View Article : Google Scholar : PubMed/NCBI

28 

Rocha IM and Guillo LA: Lipopolysaccharide and cytokines induce nitric oxide synthase and produce nitric oxide in cultured normal human melanocytes. Arch Dermatol Res. 293:245–248. 2001. View Article : Google Scholar : PubMed/NCBI

29 

Gupta SC, Sundaram C, Reuter S and Aggarwal BB: Inhibiting NF-κB activation by small molecules as a therapeutic strategy. Biochim Biophys Acta. 1799:775–787. 2010. View Article : Google Scholar : PubMed/NCBI

30 

Wan F and Lenardo MJ: The nuclear signaling of NF-kappaB: current knowledge, new insights, and future perspectives. Cell Res. 20:24–33. 2010. View Article : Google Scholar

31 

Kaminska B: MAPK signalling pathways as molecular targets for anti-inflammatory therapy - from molecular mechanisms to therapeutic benefits. Biochim Biophys Acta. 1754:253–262. 2005. View Article : Google Scholar : PubMed/NCBI

32 

Yamashita N, Nakajima T, Takahashi H, Kaneoka H, Mizushima Y and Sakane T: Effects of activin A on IgE synthesis and cytokine production by human peripheral mononuclear cells. Clin Exp Immunol. 94:214–219. 1993. View Article : Google Scholar : PubMed/NCBI

33 

Murase Y, Okahashi N, Koseki T, Itoh K, Udagawa N, Hashimoto O, Sugino H, Noguchi T and Nishihara T: Possible involvement of protein kinases and Smad2 signaling pathways on osteoclast differentiation enhanced by activin A. J Cell Physiol. 188:236–242. 2001. View Article : Google Scholar : PubMed/NCBI

34 

Sugatani T, Alvarez UM and Hruska KA: Activin A stimulates IkappaB-alpha/NFkappaB and RANK expression for osteoclast differentiation, but not AKT survival pathway in osteoclast precursors. J Cell Biochem. 90:59–67. 2003. View Article : Google Scholar : PubMed/NCBI

Related Articles

  • Abstract
  • View
  • Download
  • Twitter
Copy and paste a formatted citation
Spandidos Publications style
Kim YI, Park S, Kang IJ, Shin MK and Lee M: Activin suppresses LPS-induced Toll-like receptor, cytokine and inducible nitric oxide synthase expression in normal human melanocytes by inhibiting NF-κB and MAPK pathway activation. Int J Mol Med 36: 1165-1172, 2015.
APA
Kim, Y.I., Park, S., Kang, I.J., Shin, M.K., & Lee, M. (2015). Activin suppresses LPS-induced Toll-like receptor, cytokine and inducible nitric oxide synthase expression in normal human melanocytes by inhibiting NF-κB and MAPK pathway activation. International Journal of Molecular Medicine, 36, 1165-1172. https://doi.org/10.3892/ijmm.2015.2308
MLA
Kim, Y. I., Park, S., Kang, I. J., Shin, M. K., Lee, M."Activin suppresses LPS-induced Toll-like receptor, cytokine and inducible nitric oxide synthase expression in normal human melanocytes by inhibiting NF-κB and MAPK pathway activation". International Journal of Molecular Medicine 36.4 (2015): 1165-1172.
Chicago
Kim, Y. I., Park, S., Kang, I. J., Shin, M. K., Lee, M."Activin suppresses LPS-induced Toll-like receptor, cytokine and inducible nitric oxide synthase expression in normal human melanocytes by inhibiting NF-κB and MAPK pathway activation". International Journal of Molecular Medicine 36, no. 4 (2015): 1165-1172. https://doi.org/10.3892/ijmm.2015.2308
Copy and paste a formatted citation
x
Spandidos Publications style
Kim YI, Park S, Kang IJ, Shin MK and Lee M: Activin suppresses LPS-induced Toll-like receptor, cytokine and inducible nitric oxide synthase expression in normal human melanocytes by inhibiting NF-κB and MAPK pathway activation. Int J Mol Med 36: 1165-1172, 2015.
APA
Kim, Y.I., Park, S., Kang, I.J., Shin, M.K., & Lee, M. (2015). Activin suppresses LPS-induced Toll-like receptor, cytokine and inducible nitric oxide synthase expression in normal human melanocytes by inhibiting NF-κB and MAPK pathway activation. International Journal of Molecular Medicine, 36, 1165-1172. https://doi.org/10.3892/ijmm.2015.2308
MLA
Kim, Y. I., Park, S., Kang, I. J., Shin, M. K., Lee, M."Activin suppresses LPS-induced Toll-like receptor, cytokine and inducible nitric oxide synthase expression in normal human melanocytes by inhibiting NF-κB and MAPK pathway activation". International Journal of Molecular Medicine 36.4 (2015): 1165-1172.
Chicago
Kim, Y. I., Park, S., Kang, I. J., Shin, M. K., Lee, M."Activin suppresses LPS-induced Toll-like receptor, cytokine and inducible nitric oxide synthase expression in normal human melanocytes by inhibiting NF-κB and MAPK pathway activation". International Journal of Molecular Medicine 36, no. 4 (2015): 1165-1172. https://doi.org/10.3892/ijmm.2015.2308
Follow us
  • Twitter
  • LinkedIn
  • Facebook
About
  • Spandidos Publications
  • Careers
  • Cookie Policy
  • Privacy Policy
How can we help?
  • Help
  • Live Chat
  • Contact
  • Email to our Support Team