Spandidos Publications Logo
  • About
    • About Spandidos
    • Aims and Scopes
    • Abstracting and Indexing
    • Editorial Policies
    • Reprints and Permissions
    • Job Opportunities
    • Terms and Conditions
    • Contact
  • Journals
    • All Journals
    • Oncology Letters
      • Oncology Letters
      • Information for Authors
      • Editorial Policies
      • Editorial Board
      • Aims and Scope
      • Abstracting and Indexing
      • Bibliographic Information
      • Archive
    • International Journal of Oncology
      • International Journal of Oncology
      • Information for Authors
      • Editorial Policies
      • Editorial Board
      • Aims and Scope
      • Abstracting and Indexing
      • Bibliographic Information
      • Archive
    • Molecular and Clinical Oncology
      • Molecular and Clinical Oncology
      • Information for Authors
      • Editorial Policies
      • Editorial Board
      • Aims and Scope
      • Abstracting and Indexing
      • Bibliographic Information
      • Archive
    • Experimental and Therapeutic Medicine
      • Experimental and Therapeutic Medicine
      • Information for Authors
      • Editorial Policies
      • Editorial Board
      • Aims and Scope
      • Abstracting and Indexing
      • Bibliographic Information
      • Archive
    • International Journal of Molecular Medicine
      • International Journal of Molecular Medicine
      • Information for Authors
      • Editorial Policies
      • Editorial Board
      • Aims and Scope
      • Abstracting and Indexing
      • Bibliographic Information
      • Archive
    • Biomedical Reports
      • Biomedical Reports
      • Information for Authors
      • Editorial Policies
      • Editorial Board
      • Aims and Scope
      • Abstracting and Indexing
      • Bibliographic Information
      • Archive
    • Oncology Reports
      • Oncology Reports
      • Information for Authors
      • Editorial Policies
      • Editorial Board
      • Aims and Scope
      • Abstracting and Indexing
      • Bibliographic Information
      • Archive
    • Molecular Medicine Reports
      • Molecular Medicine Reports
      • Information for Authors
      • Editorial Policies
      • Editorial Board
      • Aims and Scope
      • Abstracting and Indexing
      • Bibliographic Information
      • Archive
    • World Academy of Sciences Journal
      • World Academy of Sciences Journal
      • Information for Authors
      • Editorial Policies
      • Editorial Board
      • Aims and Scope
      • Abstracting and Indexing
      • Bibliographic Information
      • Archive
    • International Journal of Functional Nutrition
      • International Journal of Functional Nutrition
      • Information for Authors
      • Editorial Policies
      • Editorial Board
      • Aims and Scope
      • Abstracting and Indexing
      • Bibliographic Information
      • Archive
    • International Journal of Epigenetics
      • International Journal of Epigenetics
      • Information for Authors
      • Editorial Policies
      • Editorial Board
      • Aims and Scope
      • Abstracting and Indexing
      • Bibliographic Information
      • Archive
    • Medicine International
      • Medicine International
      • Information for Authors
      • Editorial Policies
      • Editorial Board
      • Aims and Scope
      • Abstracting and Indexing
      • Bibliographic Information
      • Archive
  • Articles
  • Information
    • Information for Authors
    • Information for Reviewers
    • Information for Librarians
    • Information for Advertisers
    • Conferences
  • Language Editing
Spandidos Publications Logo
  • About
    • About Spandidos
    • Aims and Scopes
    • Abstracting and Indexing
    • Editorial Policies
    • Reprints and Permissions
    • Job Opportunities
    • Terms and Conditions
    • Contact
  • Journals
    • All Journals
    • Biomedical Reports
      • Information for Authors
      • Editorial Policies
      • Editorial Board
      • Aims and Scope
      • Abstracting and Indexing
      • Bibliographic Information
      • Archive
    • Experimental and Therapeutic Medicine
      • Information for Authors
      • Editorial Policies
      • Editorial Board
      • Aims and Scope
      • Abstracting and Indexing
      • Bibliographic Information
      • Archive
    • International Journal of Epigenetics
      • Information for Authors
      • Editorial Policies
      • Editorial Board
      • Aims and Scope
      • Abstracting and Indexing
      • Bibliographic Information
      • Archive
    • International Journal of Functional Nutrition
      • Information for Authors
      • Editorial Policies
      • Editorial Board
      • Aims and Scope
      • Abstracting and Indexing
      • Bibliographic Information
      • Archive
    • International Journal of Molecular Medicine
      • Information for Authors
      • Editorial Policies
      • Editorial Board
      • Aims and Scope
      • Abstracting and Indexing
      • Bibliographic Information
      • Archive
    • International Journal of Oncology
      • Information for Authors
      • Editorial Policies
      • Editorial Board
      • Aims and Scope
      • Abstracting and Indexing
      • Bibliographic Information
      • Archive
    • Medicine International
      • Information for Authors
      • Editorial Policies
      • Editorial Board
      • Aims and Scope
      • Abstracting and Indexing
      • Bibliographic Information
      • Archive
    • Molecular and Clinical Oncology
      • Information for Authors
      • Editorial Policies
      • Editorial Board
      • Aims and Scope
      • Abstracting and Indexing
      • Bibliographic Information
      • Archive
    • Molecular Medicine Reports
      • Information for Authors
      • Editorial Policies
      • Editorial Board
      • Aims and Scope
      • Abstracting and Indexing
      • Bibliographic Information
      • Archive
    • Oncology Letters
      • Information for Authors
      • Editorial Policies
      • Editorial Board
      • Aims and Scope
      • Abstracting and Indexing
      • Bibliographic Information
      • Archive
    • Oncology Reports
      • Information for Authors
      • Editorial Policies
      • Editorial Board
      • Aims and Scope
      • Abstracting and Indexing
      • Bibliographic Information
      • Archive
    • World Academy of Sciences Journal
      • Information for Authors
      • Editorial Policies
      • Editorial Board
      • Aims and Scope
      • Abstracting and Indexing
      • Bibliographic Information
      • Archive
  • Articles
  • Information
    • For Authors
    • For Reviewers
    • For Librarians
    • For Advertisers
    • Conferences
  • Language Editing
Login Register Submit
  • This site uses cookies
  • You can change your cookie settings at any time by following the instructions in our Cookie Policy. To find out more, you may read our Privacy Policy.

    I agree
Search articles by DOI, keyword, author or affiliation
Search
Advanced Search
presentation
International Journal of Molecular Medicine
Join Editorial Board Propose a Special Issue
Print ISSN: 1107-3756 Online ISSN: 1791-244X
Journal Cover
May-2016 Volume 37 Issue 5

Full Size Image

Sign up for eToc alerts
Recommend to Library

Journals

International Journal of Molecular Medicine

International Journal of Molecular Medicine

International Journal of Molecular Medicine is an international journal devoted to molecular mechanisms of human disease.

International Journal of Oncology

International Journal of Oncology

International Journal of Oncology is an international journal devoted to oncology research and cancer treatment.

Molecular Medicine Reports

Molecular Medicine Reports

Covers molecular medicine topics such as pharmacology, pathology, genetics, neuroscience, infectious diseases, molecular cardiology, and molecular surgery.

Oncology Reports

Oncology Reports

Oncology Reports is an international journal devoted to fundamental and applied research in Oncology.

Experimental and Therapeutic Medicine

Experimental and Therapeutic Medicine

Experimental and Therapeutic Medicine is an international journal devoted to laboratory and clinical medicine.

Oncology Letters

Oncology Letters

Oncology Letters is an international journal devoted to Experimental and Clinical Oncology.

Biomedical Reports

Biomedical Reports

Explores a wide range of biological and medical fields, including pharmacology, genetics, microbiology, neuroscience, and molecular cardiology.

Molecular and Clinical Oncology

Molecular and Clinical Oncology

International journal addressing all aspects of oncology research, from tumorigenesis and oncogenes to chemotherapy and metastasis.

World Academy of Sciences Journal

World Academy of Sciences Journal

Multidisciplinary open-access journal spanning biochemistry, genetics, neuroscience, environmental health, and synthetic biology.

International Journal of Functional Nutrition

International Journal of Functional Nutrition

Open-access journal combining biochemistry, pharmacology, immunology, and genetics to advance health through functional nutrition.

International Journal of Epigenetics

International Journal of Epigenetics

Publishes open-access research on using epigenetics to advance understanding and treatment of human disease.

Medicine International

Medicine International

An International Open Access Journal Devoted to General Medicine.

Journal Cover
May-2016 Volume 37 Issue 5

Full Size Image

Sign up for eToc alerts
Recommend to Library

  • Article
  • Citations
    • Cite This Article
    • Download Citation
    • Create Citation Alert
    • Remove Citation Alert
    • Cited By
  • Similar Articles
    • Related Articles (in Spandidos Publications)
    • Similar Articles (Google Scholar)
    • Similar Articles (PubMed)
  • Download PDF
  • Download XML
  • View XML
Article Open Access

Prediction of the molecular mechanisms and potential therapeutic targets for diabetic nephropathy by bioinformatics methods

  • Authors:
    • Wan-Ning Wang
    • Wen-Long Zhang
    • Guang-Yu Zhou
    • Fu-Zhe Ma
    • Tao Sun
    • Sen-Sen Su
    • Zhong-Gao Xu
  • View Affiliations / Copyright

    Affiliations: Department of Nephrology, The First Hospital of Jilin University, Changchun, Jilin 130021, P.R. China, Department of Hematology and Oncology, China-Japan Union Hospital of Jilin University, Changchun, Jilin 130033, P.R. China, Department of Nephrology, China-Japan Union Hospital of Jilin University, Changchun, Jilin 130033, P.R. China
    Copyright: © Wang et al. This is an open access article distributed under the terms of Creative Commons Attribution License.
  • Pages: 1181-1188
    |
    Published online on: March 15, 2016
       https://doi.org/10.3892/ijmm.2016.2527
  • Expand metrics +
Metrics: Total Views: 0 (Spandidos Publications: | PMC Statistics: )
Metrics: Total PDF Downloads: 0 (Spandidos Publications: | PMC Statistics: )
Cited By (CrossRef): 0 citations Loading Articles...

This article is mentioned in:



Abstract

In this study, we aimed to explore the molecular mechanisms of and genetic factors influencing diabetic nephropathy (DN). Gene expression profiles associated with DN were obtained from the GEO database (Accession no. GSE20844). The differentially expressed genes (DEGs) between diabetic mice and non-diabetic mice were screened. Subsequently, the DEGs were subjected to functional and pathway analysis. The protein-protein interaction (PPI) network was constructed and the transcription factors (TFs) were screened among the DEGs. A total of 92 upregulated and 118 downregulated genes were screened. Pathway analysis revealed that the p53 signaling pathway, the transforming growth factor (TGF)-β signaling pathway and the mitogen-activated protein kinase (MAPK) signaling pathway were significantly enriched by upregulated genes. Serpine1 (also known as plasminogen activator inhibitor-1), early growth response 1 (Egr1) and Mdk were found to be significant nodes in the PPI network by three methods. A total of 12 TFs were found to be differentially expressed, of which nuclear receptor subfamily 4, group A, member 1 (Nr4a1) and peroxisome proliferator-activated receptor gamma (Pparg) were found to have multiple interactions with other DEGs. We demonstrated that the p53 signaling pathway, the TGF-β signaling pathway and the MAPK signaling pathway were dysregulated in the diabetic mice. The significant nodes (Serpine1, Egr1 and Mdk) and differentially expressed TFs (Nr4a1 and Pparg) may provide a novel avenue for the targeted therapy of DN.

Introduction

Diabetic nephropathy (DN) is a chronic kidney disease and is a serious complication of long-term diabetes mellitus (1). DN develops in 30–40% of patients with type I and II diabetes mellitus and is a risk factor for increased mortality in patients with cardiovascular disease (2). Although the signs of early DN are not evident, the clinical evidence for DN is the presence of proteinuria, glomerular hypertrophy, decreased glomerular filtration and a decline in renal function (1). DN continues to present a health concern worldwide.

Accumulating experimental in vivo and in vitro evidence has indicated that multiple pathways and cytokines play a role in the pathogenesis of DN. For example, a recent study suggested a cardinal role of inflammatory molecular and pathways in the pathogenesis of DN (3). The activation of the innate immune response associated with various inflammatory molecules, such as interleukin (IL)-1, IL-18 and tumor necrosis factor (TNF) has also been shown to contribute to the renal injury observed in patients with DN (4). Furthermore, it has been reported that the nuclear factor (NF)-κB signaling pathway induces the expression of inflammatory genes during the progression of DN, and these effects are modulated by the Ras homolog gene family, member A (RhoA)/Rho-associated protein kinase (ROCK) signaling pathway (5). A good understanding of the molecular mechanisms responsible for the disease may aid in the development of effective therapies. However, the molecular mechanisms of DN have not yet been fully clarified.

Microarray data have been widely used to connect genes and molecules to diseases (6). Reiniger et al proved the target role of receptor for advanced glycation end-products (RAGE) in the treatment of DN based on microarray data (Accession no. GSE20844) (7). In the present study, we downloaded the same microarray data from the Gene Expression Omnibus (GEO) database. Subsequently, based on the gene expression profiles, the differentially expressed genes (DEGs) were analyzed and the DEG-related functions and pathways were predicted. The aim of the present study was to elucidate the mechanisms of DN pathogenesis and to identify associated significant genes.

Data collection methods

Data acquisition and preprocessing

Whole-genome micro-array gene expression data for glomeruli from diabetic male OVE26 mice (diabetic group, n=4) and glomeruli from non-diabetic male FVB mice (control group, n=3) have been deposited in the GEO archive database (Accession no. GSE20844) (7). We downloaded the raw Affymetrix CEL files based on the platform of Affymetrix Mouse Genome 430 2.0 Array.

The raw data underwent pre-processing, including background correction, quantile normalization and probe summarization with the application of bioconductor package 'affy', as previousy described (8).

Analysis of DEGs

The DEGs in the diabetic group compared with the non-diabetic controls were analyzed using the Bioconductor package 'limma', as previousy described (9). The P-value for each gene was calculated using the Student's t-test. Genes with differences in expression denoted by values of p<0.05 and |log2FC (fold change)|≥0.58, screened as DEGs. In order to compare the differences in the profiles of DEGs between the diabetic and control samples, the gene expression data was clustered using R gplots software package (http://cran.r-project.org/web/packages/gplots/index.html.). Subsequently, the chromosomal location of the DEGs was explored based on the chip annotation information.

Gene Ontology (GO) and pathway analysis

The upregulated and downregulated genes were subjected to GO and Kyoto Encyclopedia of Genes and Genomes (KEGG) pathway analysis. The genes were enriched in three GO categories, such as biological process (BP), molecular function (MF) and cellular component (CC). The enrichment analysis based on the hypergeometric distribution was performed using the Database for Annotation, Visualization and Integrated Discovery (DAVID) online tool (10). The cut-off value for a significant GO term and pathway was set to P<0.05 and count ≥2.

Protein-protein interaction (PPI) network

The functional protein interactions among the DEGs and the encoding proteins were predicted using the Search Tool for the Retrieval of Interacting Genes (STRING) (11). The PPI score was set as 0.4 and other parameters were set as the default value. Cytoscape was used to visualize the PPI network.

Subsequently, with the application of CytoNCA (12), the hub nodes were measured based on the degree centrality (13), betweenness centrality (14) and subgraph centrality (15). The hub genes were then subjected to cluster analysis using the R gplots software package.

Transcription factor (TF) analysis

TFs encoded by DEGs were explored combined with the mouse TF information recorded in The Animal Transcription Factor DataBase (AnimalTFDB) (http://www.bioguo.org/AnimalTFDB/index.php) (16). Based on the TRANSFAC database, the TF-DEG interactions were predicted according to the information provided in the TRANSFAC database using the cytoscape plugin termed iRegulon (17).

Results

Identification of DEGs

After preprocessing, the gene expression data were normalized (Fig. 1). According to values of p<0.05 and |log2FC(fold change)|≥0.58, a total of 210 genes were found to be differentially expressed in the diabetic group, including 92 upregulated and 118 downregulated genes. Hierarchical clustering analysis revealed that the upregulated and downregulated genes were relatively distinguished between the different groups (Fig. 2).

Figure 1

Gene expression data before and after normalization. Horizontal axis represents the sample symbol and the vertical axis represents the gene expression values. The black line in the box plot represents the median value of gene expression.

Figure 2

The heatmap of gene expression profiles in diabetic and non-diabetic samples. Green, low gene expression value; red, high gene expression value; black, no differential expression.

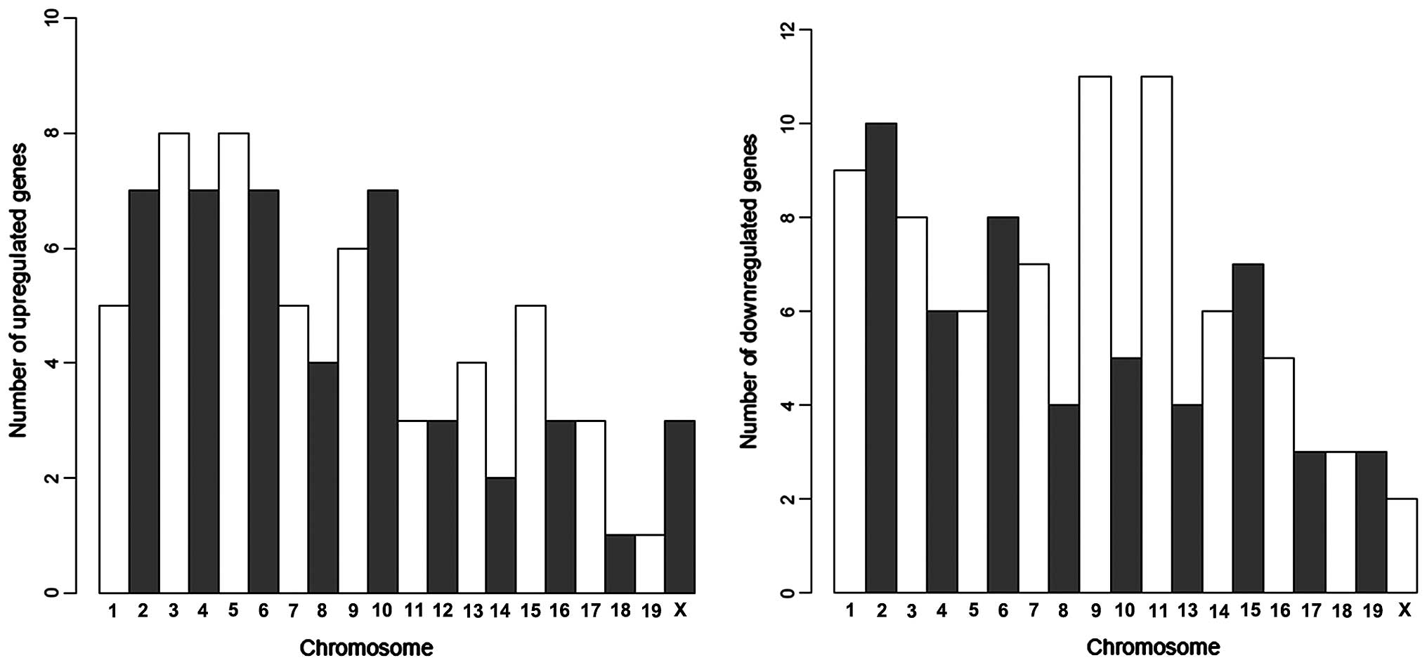
As shown in Fig. 3, the majority of upregulated genes were located on chromosome 3, whereas chromosomes 9 and 11 had the majority of downregulated genes.

Figure 3

Distribution information of the upregulated and downregulated genes on the respective chromosomes.

GO and pathway analysis

The over-represented GO terms for the upregulated and downregulated genes are listed in Table I. Significantly enriched GO terms for upregulated genes included the regulation of angiogenesis, extracellular region and vascular endothelial growth factor receptor binding. For genes that were downregulated, the significantly enriched GO terms included cellular ion homeostasis, apical plasma membrane and symporter activity.

Table I

The significant GO terms enriched by DEGs.

Table I

The significant GO terms enriched by DEGs.

TermCountP-value
Upregulated genes
 BP
  GO:0042127 - regulation of cell proliferation132.30E-05
  GO:0045765 - regulation of angiogenesis59.16E-05
  GO:0016525 - negative regulation of angiogenesis42.04E-04
  GO:0008285 - negative regulation of cell proliferation70.001184688
  GO:0009611 - response to wounding80.002365745
 CC
  GO:0005576 - extracellular region205.60E-05
  GO:0044421 - extracellular region part110.001793488
  GO:0046658 - anchored to plasma membrane30.002476471
  GO:0005615 - extracellular space80.006777968
  GO:0044459 - plasma membrane part140.022475418
 MF
  GO:0005172 - vascular endothelial growth factor receptor binding32.41E-04
  GO:0005539 - glycosaminoglycan binding50.002459879
  GO:0030247 - polysaccharide binding50.00373434
  GO:0001871 - pattern binding50.00373434
  GO:0030246 - carbohydrate binding70.00480543
Downregulated genes
 BP
  GO:0006873 - cellular ion homeostasis70.002754032
  GO:0055082 - cellular chemical homeostasis70.003139335
  GO:0048878 - chemical homeostasis80.003390517
  GO:0050801 - ion homeostasis70.004850765
  GO:0019725 - cellular homeostasis70.010204447
 CC
  GO:0016324 - apical plasma membrane63.76E-04
  GO:0005576 - extracellular region220.001139987
  GO:0045177 - apical part of cell60.001580783
  GO:0005615 - extracellular space90.014078693
  GO:0005903 - brush border30.020010741
 MF
  GO:0015293 - symporter activity50.008223849
  GO:0019807 - aspartoacylase activity20.012005144
  GO:0008201 - heparin binding40.013672168
  GO:0004046 - aminoacylase activity20.023867944
  GO:0031402 - sodium ion binding40.024166754

[i] GO, Gene Ontology; DEGs, differentially expressed genes; BP, biological process; CC, cellular component; MF, molecular function.

Of the 7 significantly enriched pathways, Pentose and glucuronate interconversions were found to be closely associated with the downregulated genes. Other pathways, such as the p53 signaling pathway, cytokine-cytokine receptor interaction, the transforming growth factor (TGF)-β signaling pathway and the mitogen-activated protein kinase (MAPK) signaling pathway were significantly enriched by upregulated genes (Table II).

Table II

Pathways significantly enriched by differentially expressed genes.

Table II

Pathways significantly enriched by differentially expressed genes.

TermCountP-value
Upregulation
 mmu04115: p53 signaling pathway57.57E-04
 mmu04110: Cell cycle50.007243672
 mmu04060: Cytokine-cytokine receptor interaction60.015248477
 mmu04350: TGF-β signaling pathway40.015533727
 mmu04010: MAPK signaling pathway60.021089527
 mmu05219: Bladder cancer30.026718766
Downregulation
 mmu00040: Pentose and glucuronate interconversions30.003652816
PPI network

With a PPI score >0.4, a PPI network with 123 nodes and 219 edges was constructed, as shown in Fig. 4. The top 15 nodes based on the degree, betweenness and subgraph centralities were screened (Table III). Top 3 nodes such as early growth response 1 (Egr1), Serpine1 [also known as plasminogen activator inhibitor-1 (PAI-1)] and Mdk were shared based on the degree, betweenness and subgraph centralities. Merging the overlapping genes, we obtained 24 significant genes. Hierarchical clustering analysis revealed that the diabetic and non-diabetic samples were distinguished based on the gene expression profiles of the 24 significant genes (Fig. 5), suggesting that these genes were feature genes in diabetic samples.

Figure 4

Protein-protein interaction (PPI) network for differentially expressed genes (DEGs). Green, downregulated genes; red, upregulated genes.

Figure 5

Hierarchical clustering analysis for the gene expression profiles of 24 significant genes in the protein-protein interaction (PPI) network.

Table III

Top 15 significant nodes in the protein-protein interaction network based on degree, betweenness and subgraph centralities.

Table III

Top 15 significant nodes in the protein-protein interaction network based on degree, betweenness and subgraph centralities.

NodeDegreeNode betweennessBetweennessNode subgraghSubgragh
Serpine116Serpine12905.323Egr1337.665
Egr115Egr12433.539Serpine1337.1419
Mdk14Mdk2319.191Mdk285.9198
Nr4a112Pparg2105.681Icam1209.8053
Icam112Lrp22064.846Cdkn1a187.7399
Cdkn1a12Cdh161583.724Nr4a1178.7159
Tlr411Umod1440.558Tlr4147.8937
Cdk110Ltf1421.087Dusp1119.8608
Bmp210Ggt11384.699Bmp2117.067
Dusp19Tlr41286.763Cyr61104.8729
Pparg8Slc12a11250.098Pparg85.67106
Ltf7Nr4a11248.253Cybb68.2394
Egf7Icam11223.037Smad663.11027
Cybb7Cdk11119.84Cdk156.22912
Tgfb37Wfdc15b1082.356Map3k852.32016

In order to analyze the pathways associated with these feature genes, we performed KEGG pathway analysis. As shown in Table IV, the significant genes were closely associated with the MAPK signaling pathway, the p53 signaling pathway and the TGF-β signaling pathway.

Table IV

The significant pathways enriched by 24 significant nodes in the protein-protein interaction network.

Table IV

The significant pathways enriched by 24 significant nodes in the protein-protein interaction network.

TermP-valueGenes
mmu04010: MAPK signaling pathway0.005210429Dusp1, Map3K8, Tgfb3, Nr4A1, Egf
mmu05200: Pathways in cancer0.010457331Cdkn1A, Bmp2, Pparg, Tgfb3, Egf
mmu04115: p53 signaling pathway0.015340116Cdk1, Cdkn1A, Serpine1
mmu04350: TGF-β signaling pathway0.023759324Bmp2, Smad6, Tgfb3
mmu04110: Cell cycle0.048314969Cdk1, Cdkn1A, Tgfb3
Analysis of TFs

Combined with the TF information recorded in TFDB, we obtained 12 differentially expressed TFs from 9 TF families (Table V). The interactions between differentially expressed TFs and DEGs predicted by the TRANSFAC database are shown in Fig. 6. The TFs, nuclear receptor subfamily 4, group A, member 1 (Nr4a1) and peroxisome proliferator-activated receptor gamma (Pparg), were shown to have interactions with multiple genes.

Figure 6

Interactions between transcription factors (TFs) and target genes. Red, upregulated genes; green, downregulated genes. Triangle represents TFs and the box plot represents target genes.

Table V

Differentially expressed transcription factors in diabetic samples.

Table V

Differentially expressed transcription factors in diabetic samples.

TF familyTF gene symbol
bHLHAtoh8
bHLHHey1
HMGTox2
HomeoboxMeox1
HomeoboxSix4
IRFIrf6
MH1Smad6
Nuclear orphan receptorNr4a1
PPAR receptorPparg
Thyroid hormone receptorVdr
zf-C2H2Klf6
zf-C2H2Egr1

Discussion

DN is a chronic kidney disease and is more prevalent in patients with diabetes mellitus (18). ND increases the risk factor of cardiovascular disease and mortality in diabetic patients (19). There is thus a need for the development of more effective treatments for patients with DN. In this study, we attempted to explore the potential molecular mechanisms of DN based on the bioinformatics methods and to provide a prospective novel therapeutic target. In the present study, we screened out 92 upregulated and 118 downregulated genes. All the genes with changes in expression were proven to be significant according to hierarchical clustering analysis.

KEGG pathway analysis for both DEGs and significant nodes in the PPI network revealed that the p53 signaling pathway, the TGF-β signaling pathway and the MAPK signaling pathway were the significantly enriched pathways. It has been reported that the overexpression of p53 is associated with the progression of DN. The expression of p53 and TGF-β was shown to be overexpressed in the renal cortex of diabetic mice. The crosstalk between p53 and miR-192, which is mediated by TGF-β was shown to be involved in the pathogenesis of DN (20). The MAPK signaling pathway is a regulator of the expression of pro-inflammatory molecules in DN. Targeted therapy for inhibiting the p38 MAPK signaling pathway has shown preventive effects on streptozotocin-induced DN (21). The p38 MAPK signaling pathway also plays a partial role in fibrosis associated with DN (22). These findings suggest that our findings are significant.

In our study, the PPI network showed that Egr1, Serpine1 and Mdk were the top 3 nodes based on the degree of centrality, betweenness centrality and subgraph centrality. Serpine1, also known as PAI-1, is a serine protease inhibitor and a key regulator of extracellular matrix (ECM). PAI-1 has been widely investigated in many diseases including the kidney disease (23,24). It is reported that ECM accumulation is implicated in the development and progression of DN (25). The expression of PAI-1 contributes to the fibrosis of kidney by inhibiting ECM degradation (26). PAI-1 has been proposed to be the potential target in renal fibrogenesis (26). PAI-1 was found to be overexpressed in the kidney of diabetic mice and its deficiency prevents glomerular injury of diabetic mice (27). Therefore, PAI-1 contributes to the progression of DN and PAI-1 knockdown may prove to be an effective therapeutic strategy for the treatment of DN. Additionally, midkine encoded by the Mdk gene has been proven to play a physiological role in kidney disease, including DN. Mdk plays a role in the occurrence and progression of acute kidney injury and contributes to the development of DN (28). Recent evidence has indicated that the diverse role of Mdk may open a new avenues for targeted therapies for DN (28).

Furthermore, Egr1 is a TF and plays a role in inducing the overexpression of heparanase in DN. The upregulation of heparanase is closely associated with albuminuria and renal damage in diabetic mice (29). The inhibition of Egr1 may be an effective strategy for preventing DN in diabetes. In the present study, other TFs, such as Nr4a1 and Pparg were found to play regulatory roles in the differential expression of genes. Nr4a1 is a member of the nuclear orphan receptor family of TFs. Nr4a1 has been found to play a significant role in atherosclerosis, psoriasis and other chronic inflammatory diseases (30). As we all know, hypertension is closely related with the progression of DN. Nr4a1 has been found to be differentially expressed in the kidneys of hypertensive patients (31). Nr4a1 is a susceptible gene in chronic kidney disease and a deficiency in Nr4a1 has been shown to be involved in kidney injury and renal function disorder (32). Otherwise, the other TF, Pparg, from the TF PPAR receptor family has been found to be associated with DN. Previous studies have demonstrated that Pparg variation contributes to DN development in type 2 diabetes (33). Thus, the significant genes identified in our study may be candidate therapeutic targets in DN.

Although we predicted the significant genes and pathways involved in the pathogenesis of DN, the lack of experimental validation was a limitation in our study. Experimental studies need be conducted to validate the differential gene expression profile and gene interaction pairs in the future.

In conclusion, we proved the significant role of the p53 signaling pathway, the TGF-β signaling pathway and the MAPK signaling pathway in the progression of DN. The significant genes, such as Egr1, Serpine1, Mdk, Nr4a1 and Pparg may prove to be potential therapeutic targets for the treatment of DN. Our findings need be further validated by experimental evidence.

Acknowledgments

The project was supported by grants from the National Natural Science Foundation of China (nos. 81070578 and 81270809).

References

1 

Sun YM, Su Y, Li J and Wang LF: Recent advances in understanding the biochemical and molecular mechanism of diabetic nephropathy. Biochem Biophys Res Commun. 433:359–361. 2013. View Article : Google Scholar : PubMed/NCBI

2 

Gross JL, de Azevedo MJ, Silveiro SP, Canani LH, Caramori ML and Zelmanovitz T: Diabetic nephropathy: diagnosis, prevention, and treatment. Diabetes Care. 28:164–176. 2005. View Article : Google Scholar

3 

Navarro-González JF, Mora-Fernández C, Muros de Fuentes M and García-Pérez J: Inflammatory molecules and pathways in the pathogenesis of diabetic nephropathy. Nat Rev Nephrol. 7:327–340. 2011. View Article : Google Scholar : PubMed/NCBI

4 

Luis-Rodríguez D, Martínez-Castelao A, Górriz JL, De-Álvaro F and Navarro-González JF: Pathophysiological role and therapeutic implications of inflammation in diabetic nephropathy. World J Diabetes. 3:7–18. 2012. View Article : Google Scholar : PubMed/NCBI

5 

Xie X, Peng J, Chang X, Huang K, Huang J, Wang S, Shen X, Liu P and Huang H: Activation of RhoA/ROCK regulates NF-κB signaling pathway in experimental diabetic nephropathy. Mol Cell Endocrinol. 369:86–97. 2013. View Article : Google Scholar : PubMed/NCBI

6 

Lamb J, Crawford ED, Peck D, Modell JW, Blat IC, Wrobel MJ, Lerner J, Brunet J-P, Subramanian A, Ross KN, et al: The Connectivity Map: using gene-expression signatures to connect small molecules, genes, and disease. Science. 313:1929–1935. 2006. View Article : Google Scholar : PubMed/NCBI

7 

Reiniger N, Lau K, McCalla D, Eby B, Cheng B, Lu Y, Qu W, Quadri N, Ananthakrishnan R, Furmansky M, et al: Deletion of the receptor for advanced glycation end products reduces glomerulosclerosis and preserves renal function in the diabetic OVE26 mouse. Diabetes. 59:2043–2054. 2010. View Article : Google Scholar : PubMed/NCBI

8 

Gautier L, Cope L, Bolstad BM and Irizarry RA: affy-analysis of Affymetrix GeneChip data at the probe level. Bioinformatics. 20:307–315. 2004. View Article : Google Scholar : PubMed/NCBI

9 

Smyth GK: limma: linear models for microarray data. Bioinformatics and Computational Biology Solutions Using R and Bioconductor. Gentleman R, Carey VJ, Huber W, Irizarry RA and Dudoit S: Springer; New York, NY: pp. 397–420. 2005, View Article : Google Scholar

10 

Huang W, Sherman BT and Lempicki RA: Systematic and integrative analysis of large gene lists using DAVID bioinformatics resources. Nat Protoc. 4:44–57. 2009. View Article : Google Scholar

11 

Szklarczyk D, Franceschini A, Wyder S, Forslund K, Heller D, Huerta-Cepas J, Simonovic M, Roth A, Santos A, Tsafou KP, et al: STRING v10: protein-protein interaction networks, integrated over the tree of life. Nucleic Acids Res. 43:D447–D452. 2014. View Article : Google Scholar : PubMed/NCBI

12 

Tang Y, Li M, Wang J, Pan Y and Wu FX: CytoNCA: a cytoscape plugin for centrality analysis and evaluation of protein interaction networks. Biosystems. 127:67–72. 2015. View Article : Google Scholar

13 

Jeong H, Mason SP, Barabási AL and Oltvai ZN: Lethality and centrality in protein networks. Nature. 411:41–42. 2001. View Article : Google Scholar : PubMed/NCBI

14 

Goh KI, Oh E, Kahng B and Kim D: Betweenness centrality correlation in social networks. Phys Rev E Stat Nonlin Soft Matter Phys. 67:0171012003. View Article : Google Scholar : PubMed/NCBI

15 

Estrada E and Rodríguez-Velázquez JA: Subgraph centrality in complex networks. Phys Rev E Stat Nonlin Soft Matter Phys. 71:0561032005. View Article : Google Scholar : PubMed/NCBI

16 

Zhang HM, Liu T, Liu CJ, Song S, Zhang X, Liu W, Jia H, Xue Y and Guo AY: AnimalTFDB 2.0: a resource for expression, prediction and functional study of animal transcription factors. Nucleic Acids Res. 43:D76–D81. 2014. View Article : Google Scholar : PubMed/NCBI

17 

Janky R, Verfaillie A, Imrichová H, Van de Sande B, Standaert L, Christiaens V, Hulselmans G, Herten K, Naval Sanchez M, Potier D, et al: iRegulon: from a gene list to a gene regulatory network using large motif and track collections. PLoS Comput Biol. 10:e10037312014. View Article : Google Scholar : PubMed/NCBI

18 

Go AS, Chertow GM, Fan D, McCulloch CE and Hsu CY: Chronic kidney disease and the risks of death, cardiovascular events, and hospitalization. N Engl J Med. 351:1296–1305. 2004. View Article : Google Scholar : PubMed/NCBI

19 

Pfeffer MA, Burdmann EA, Chen C-Y, Cooper ME, de Zeeuw D, Eckardt K-U, Feyzi JM, Ivanovich P, Kewalramani R, Levey AS, et al: TREAT Investigators: A trial of darbepoetin alfa in type 2 diabetes and chronic kidney disease. N Engl J Med. 361:2019–2032. 2009. View Article : Google Scholar : PubMed/NCBI

20 

Deshpande SD, Putta S, Wang M, Lai JY, Bitzer M, Nelson RG, Lanting LL, Kato M and Natarajan R: Transforming growth factor-β-induced cross talk between p53 and a microRNA in the pathogenesis of diabetic nephropathy. Diabetes. 62:3151–3162. 2013. View Article : Google Scholar : PubMed/NCBI

21 

Fang Y, Tian X, Bai S, Fan J, Hou W, Tong H and Li D: Autologous transplantation of adipose-derived mesenchymal stem cells ameliorates streptozotocin-induced diabetic nephropathy in rats by inhibiting oxidative stress, pro-inflammatory cytokines and the p38 MAPK signaling pathway. Int J Mol Med. 30:85–92. 2012.PubMed/NCBI

22 

Adhikary L, Chow F, Nikolic-Paterson DJ, Stambe C, Dowling J, Atkins RC and Tesch GH: Abnormal p38 mitogen-activated protein kinase signalling in human and experimental diabetic nephropathy. Diabetologia. 47:1210–1222. 2004. View Article : Google Scholar : PubMed/NCBI

23 

Oda T, Jung YO, Kim HS, Cai X, López-Guisa JM, Ikeda Y and Eddy AA: PAI-1 deficiency attenuates the fibrogenic response to ureteral obstruction. Kidney Int. 60:587–596. 2001. View Article : Google Scholar : PubMed/NCBI

24 

Kitching AR, Kong YZ, Huang XR, Davenport P, Edgtton KL, Carmeliet P, Holdsworth SR and Tipping PG: Plasminogen activator inhibitor-1 is a significant determinant of renal injury in experimental crescentic glomerulonephritis. J Am Soc Nephrol. 14:1487–1495. 2003. View Article : Google Scholar : PubMed/NCBI

25 

Alvarez ML and DiStefano JK: Functional characterization of the plasmacytoma variant translocation 1 gene (PVT1) in diabetic nephropathy. PLoS One. 6:e186712011. View Article : Google Scholar : PubMed/NCBI

26 

Rerolle JP, Hertig A, Nguyen G, Sraer JD and Rondeau EP: Plasminogen activator inhibitor type 1 is a potential target in renal fibrogenesis. Kidney Int. 58:1841–1850. 2000. View Article : Google Scholar : PubMed/NCBI

27 

Lassila M, Fukami K, Jandeleit-Dahm K, Semple T, Carmeliet P, Cooper ME and Kitching AR: Plasminogen activator inhibitor-1 production is pathogenetic in experimental murine diabetic renal disease. Diabetologia. 50:1315–1326. 2007. View Article : Google Scholar : PubMed/NCBI

28 

Kosugi T and Sato W: Midkine and the kidney: health and diseases. Nephrol Dial Transplant. 27:16–21. 2012. View Article : Google Scholar

29 

Gil N, Goldberg R, Neuman T, Garsen M, Zcharia E, Rubinstein AM, van Kuppevelt T, Meirovitz A, Pisano C, Li JP, et al: Heparanase is essential for the development of diabetic nephropathy in mice. Diabetes. 61:208–216. 2012. View Article : Google Scholar :

30 

McMorrow JP and Murphy EP: Inflammation: a role for NR4A orphan nuclear receptors? Biochem Soc Trans. 39:688–693. 2011. View Article : Google Scholar : PubMed/NCBI

31 

Hagiwara S, Mcclelland A and Kantharidis P: MicroRNA in diabetic nephropathy: renin angiotensin, aGE/RAGE, and oxidative stress pathway. J Diabetes Res. 2013:1737832013. View Article : Google Scholar

32 

Westbrook L, Johnson AC, Regner KR, Williams JM, Mattson DL, Kyle PB, Henegar JR and Garrett MR: Genetic susceptibility and loss of Nr4a1 enhances macrophage-mediated renal injury in CKD. J Am Soc Nephrol. 25:2499–2510. 2014. View Article : Google Scholar : PubMed/NCBI

33 

Lapice E, Pinelli M, Riccardi G and Vaccaro O: Pro12Ala polymorphism in the PPARG gene contributes to the development of diabetic nephropathy in Chinese type 2 diabetic patients: comment on the study Liu et al. Diabetes Care. 33:e114author reply e115. 2010. View Article : Google Scholar

Related Articles

  • Abstract
  • View
  • Download
  • Twitter
Copy and paste a formatted citation
Spandidos Publications style
Wang W, Zhang W, Zhou G, Ma F, Sun T, Su S and Xu Z: Prediction of the molecular mechanisms and potential therapeutic targets for diabetic nephropathy by bioinformatics methods. Int J Mol Med 37: 1181-1188, 2016.
APA
Wang, W., Zhang, W., Zhou, G., Ma, F., Sun, T., Su, S., & Xu, Z. (2016). Prediction of the molecular mechanisms and potential therapeutic targets for diabetic nephropathy by bioinformatics methods. International Journal of Molecular Medicine, 37, 1181-1188. https://doi.org/10.3892/ijmm.2016.2527
MLA
Wang, W., Zhang, W., Zhou, G., Ma, F., Sun, T., Su, S., Xu, Z."Prediction of the molecular mechanisms and potential therapeutic targets for diabetic nephropathy by bioinformatics methods". International Journal of Molecular Medicine 37.5 (2016): 1181-1188.
Chicago
Wang, W., Zhang, W., Zhou, G., Ma, F., Sun, T., Su, S., Xu, Z."Prediction of the molecular mechanisms and potential therapeutic targets for diabetic nephropathy by bioinformatics methods". International Journal of Molecular Medicine 37, no. 5 (2016): 1181-1188. https://doi.org/10.3892/ijmm.2016.2527
Copy and paste a formatted citation
x
Spandidos Publications style
Wang W, Zhang W, Zhou G, Ma F, Sun T, Su S and Xu Z: Prediction of the molecular mechanisms and potential therapeutic targets for diabetic nephropathy by bioinformatics methods. Int J Mol Med 37: 1181-1188, 2016.
APA
Wang, W., Zhang, W., Zhou, G., Ma, F., Sun, T., Su, S., & Xu, Z. (2016). Prediction of the molecular mechanisms and potential therapeutic targets for diabetic nephropathy by bioinformatics methods. International Journal of Molecular Medicine, 37, 1181-1188. https://doi.org/10.3892/ijmm.2016.2527
MLA
Wang, W., Zhang, W., Zhou, G., Ma, F., Sun, T., Su, S., Xu, Z."Prediction of the molecular mechanisms and potential therapeutic targets for diabetic nephropathy by bioinformatics methods". International Journal of Molecular Medicine 37.5 (2016): 1181-1188.
Chicago
Wang, W., Zhang, W., Zhou, G., Ma, F., Sun, T., Su, S., Xu, Z."Prediction of the molecular mechanisms and potential therapeutic targets for diabetic nephropathy by bioinformatics methods". International Journal of Molecular Medicine 37, no. 5 (2016): 1181-1188. https://doi.org/10.3892/ijmm.2016.2527
Follow us
  • Twitter
  • LinkedIn
  • Facebook
About
  • Spandidos Publications
  • Careers
  • Cookie Policy
  • Privacy Policy
How can we help?
  • Help
  • Live Chat
  • Contact
  • Email to our Support Team