Spandidos Publications Logo
  • About
    • About Spandidos
    • Aims and Scopes
    • Abstracting and Indexing
    • Editorial Policies
    • Reprints and Permissions
    • Job Opportunities
    • Terms and Conditions
    • Contact
  • Journals
    • All Journals
    • Oncology Letters
      • Oncology Letters
      • Information for Authors
      • Editorial Policies
      • Editorial Board
      • Aims and Scope
      • Abstracting and Indexing
      • Bibliographic Information
      • Archive
    • International Journal of Oncology
      • International Journal of Oncology
      • Information for Authors
      • Editorial Policies
      • Editorial Board
      • Aims and Scope
      • Abstracting and Indexing
      • Bibliographic Information
      • Archive
    • Molecular and Clinical Oncology
      • Molecular and Clinical Oncology
      • Information for Authors
      • Editorial Policies
      • Editorial Board
      • Aims and Scope
      • Abstracting and Indexing
      • Bibliographic Information
      • Archive
    • Experimental and Therapeutic Medicine
      • Experimental and Therapeutic Medicine
      • Information for Authors
      • Editorial Policies
      • Editorial Board
      • Aims and Scope
      • Abstracting and Indexing
      • Bibliographic Information
      • Archive
    • International Journal of Molecular Medicine
      • International Journal of Molecular Medicine
      • Information for Authors
      • Editorial Policies
      • Editorial Board
      • Aims and Scope
      • Abstracting and Indexing
      • Bibliographic Information
      • Archive
    • Biomedical Reports
      • Biomedical Reports
      • Information for Authors
      • Editorial Policies
      • Editorial Board
      • Aims and Scope
      • Abstracting and Indexing
      • Bibliographic Information
      • Archive
    • Oncology Reports
      • Oncology Reports
      • Information for Authors
      • Editorial Policies
      • Editorial Board
      • Aims and Scope
      • Abstracting and Indexing
      • Bibliographic Information
      • Archive
    • Molecular Medicine Reports
      • Molecular Medicine Reports
      • Information for Authors
      • Editorial Policies
      • Editorial Board
      • Aims and Scope
      • Abstracting and Indexing
      • Bibliographic Information
      • Archive
    • World Academy of Sciences Journal
      • World Academy of Sciences Journal
      • Information for Authors
      • Editorial Policies
      • Editorial Board
      • Aims and Scope
      • Abstracting and Indexing
      • Bibliographic Information
      • Archive
    • International Journal of Functional Nutrition
      • International Journal of Functional Nutrition
      • Information for Authors
      • Editorial Policies
      • Editorial Board
      • Aims and Scope
      • Abstracting and Indexing
      • Bibliographic Information
      • Archive
    • International Journal of Epigenetics
      • International Journal of Epigenetics
      • Information for Authors
      • Editorial Policies
      • Editorial Board
      • Aims and Scope
      • Abstracting and Indexing
      • Bibliographic Information
      • Archive
    • Medicine International
      • Medicine International
      • Information for Authors
      • Editorial Policies
      • Editorial Board
      • Aims and Scope
      • Abstracting and Indexing
      • Bibliographic Information
      • Archive
  • Articles
  • Information
    • Information for Authors
    • Information for Reviewers
    • Information for Librarians
    • Information for Advertisers
    • Conferences
  • Language Editing
Spandidos Publications Logo
  • About
    • About Spandidos
    • Aims and Scopes
    • Abstracting and Indexing
    • Editorial Policies
    • Reprints and Permissions
    • Job Opportunities
    • Terms and Conditions
    • Contact
  • Journals
    • All Journals
    • Biomedical Reports
      • Information for Authors
      • Editorial Policies
      • Editorial Board
      • Aims and Scope
      • Abstracting and Indexing
      • Bibliographic Information
      • Archive
    • Experimental and Therapeutic Medicine
      • Information for Authors
      • Editorial Policies
      • Editorial Board
      • Aims and Scope
      • Abstracting and Indexing
      • Bibliographic Information
      • Archive
    • International Journal of Epigenetics
      • Information for Authors
      • Editorial Policies
      • Editorial Board
      • Aims and Scope
      • Abstracting and Indexing
      • Bibliographic Information
      • Archive
    • International Journal of Functional Nutrition
      • Information for Authors
      • Editorial Policies
      • Editorial Board
      • Aims and Scope
      • Abstracting and Indexing
      • Bibliographic Information
      • Archive
    • International Journal of Molecular Medicine
      • Information for Authors
      • Editorial Policies
      • Editorial Board
      • Aims and Scope
      • Abstracting and Indexing
      • Bibliographic Information
      • Archive
    • International Journal of Oncology
      • Information for Authors
      • Editorial Policies
      • Editorial Board
      • Aims and Scope
      • Abstracting and Indexing
      • Bibliographic Information
      • Archive
    • Medicine International
      • Information for Authors
      • Editorial Policies
      • Editorial Board
      • Aims and Scope
      • Abstracting and Indexing
      • Bibliographic Information
      • Archive
    • Molecular and Clinical Oncology
      • Information for Authors
      • Editorial Policies
      • Editorial Board
      • Aims and Scope
      • Abstracting and Indexing
      • Bibliographic Information
      • Archive
    • Molecular Medicine Reports
      • Information for Authors
      • Editorial Policies
      • Editorial Board
      • Aims and Scope
      • Abstracting and Indexing
      • Bibliographic Information
      • Archive
    • Oncology Letters
      • Information for Authors
      • Editorial Policies
      • Editorial Board
      • Aims and Scope
      • Abstracting and Indexing
      • Bibliographic Information
      • Archive
    • Oncology Reports
      • Information for Authors
      • Editorial Policies
      • Editorial Board
      • Aims and Scope
      • Abstracting and Indexing
      • Bibliographic Information
      • Archive
    • World Academy of Sciences Journal
      • Information for Authors
      • Editorial Policies
      • Editorial Board
      • Aims and Scope
      • Abstracting and Indexing
      • Bibliographic Information
      • Archive
  • Articles
  • Information
    • For Authors
    • For Reviewers
    • For Librarians
    • For Advertisers
    • Conferences
  • Language Editing
Login Register Submit
  • This site uses cookies
  • You can change your cookie settings at any time by following the instructions in our Cookie Policy. To find out more, you may read our Privacy Policy.

    I agree
Search articles by DOI, keyword, author or affiliation
Search
Advanced Search
presentation
International Journal of Molecular Medicine
Join Editorial Board Propose a Special Issue
Print ISSN: 1107-3756 Online ISSN: 1791-244X
Journal Cover
July-2016 Volume 38 Issue 1

Full Size Image

Sign up for eToc alerts
Recommend to Library

Journals

International Journal of Molecular Medicine

International Journal of Molecular Medicine

International Journal of Molecular Medicine is an international journal devoted to molecular mechanisms of human disease.

International Journal of Oncology

International Journal of Oncology

International Journal of Oncology is an international journal devoted to oncology research and cancer treatment.

Molecular Medicine Reports

Molecular Medicine Reports

Covers molecular medicine topics such as pharmacology, pathology, genetics, neuroscience, infectious diseases, molecular cardiology, and molecular surgery.

Oncology Reports

Oncology Reports

Oncology Reports is an international journal devoted to fundamental and applied research in Oncology.

Experimental and Therapeutic Medicine

Experimental and Therapeutic Medicine

Experimental and Therapeutic Medicine is an international journal devoted to laboratory and clinical medicine.

Oncology Letters

Oncology Letters

Oncology Letters is an international journal devoted to Experimental and Clinical Oncology.

Biomedical Reports

Biomedical Reports

Explores a wide range of biological and medical fields, including pharmacology, genetics, microbiology, neuroscience, and molecular cardiology.

Molecular and Clinical Oncology

Molecular and Clinical Oncology

International journal addressing all aspects of oncology research, from tumorigenesis and oncogenes to chemotherapy and metastasis.

World Academy of Sciences Journal

World Academy of Sciences Journal

Multidisciplinary open-access journal spanning biochemistry, genetics, neuroscience, environmental health, and synthetic biology.

International Journal of Functional Nutrition

International Journal of Functional Nutrition

Open-access journal combining biochemistry, pharmacology, immunology, and genetics to advance health through functional nutrition.

International Journal of Epigenetics

International Journal of Epigenetics

Publishes open-access research on using epigenetics to advance understanding and treatment of human disease.

Medicine International

Medicine International

An International Open Access Journal Devoted to General Medicine.

Journal Cover
July-2016 Volume 38 Issue 1

Full Size Image

Sign up for eToc alerts
Recommend to Library

  • Article
  • Citations
    • Cite This Article
    • Download Citation
    • Create Citation Alert
    • Remove Citation Alert
    • Cited By
  • Similar Articles
    • Related Articles (in Spandidos Publications)
    • Similar Articles (Google Scholar)
    • Similar Articles (PubMed)
  • Download PDF
  • Download XML
  • View XML
Article

Epigallocatechin gallate exerts protective effects against myocardial ischemia/reperfusion injury through the PI3K/Akt pathway-mediated inhibition of apoptosis and the restoration of the autophagic flux

  • Authors:
    • Feifei Xuan
    • Jie Jian
  • View Affiliations / Copyright

    Affiliations: Department of Pharmacology, Guilin Medical University, Guilin, Guangxi 541001, P.R. China
  • Pages: 328-336
    |
    Published online on: May 31, 2016
       https://doi.org/10.3892/ijmm.2016.2615
  • Expand metrics +
Metrics: Total Views: 0 (Spandidos Publications: | PMC Statistics: )
Metrics: Total PDF Downloads: 0 (Spandidos Publications: | PMC Statistics: )
Cited By (CrossRef): 0 citations Loading Articles...

This article is mentioned in:


Abstract

Epigallocatechin gallate (EGCG), a polyphenol derived from green tea, exhibits a wide range of biological activities, including antioxidant, atherosclerosis and antitumor activities. In this study, the cardioprotective effects of EGCG on myocardial ischemia/reperfusion (I/R) injury in rats and the underlying mechanisms were investigated. A rat model of I/R injury was established by ligating the left anterior descending coronary artery for 30 min, followed by reperfusion for 2 h. The levels of I/R-induced creatine kinase-MB (CK-MB) and the release of lactate dehydrogenase (LDH), as well as the infarct size, cardiomyocyte apoptosis and cardiac functional impairment were examined and compared. Western blot analysis was carried out to elucidate the potential molecular mechanisms of action of EGCG. The results revealed that EGCG post-conditioning significantly decreased the levels of CK-MB and the release of LDH, reduced the myocardial infarct size, decreased the apoptotic rate and partially preserved heart function. Furthermore, EGCG decreased the expression of cleaved caspase-3 concomitantly with the upregulation of PI3K, and the phosphorylation of Akt and endothelial nitric oxide synthase (eNOS). It also inhibited I/R-induced overautophagy and promoted the clearance of autophagosomes, as evidenced by a decrease in the ratio of microtubule-associated protein 1 light chain 3 (LC3)-II/LC3-I, the downregulation of Beclin1, Atg5 and p62, and the upregulation of active cathepsin D. Additionally, we observed an increase in the phosphorylation levels of the mammalian target of rapamycin (mTOR) following treatment with EGCG. Taken together, the findings of this study demonstrate that, EGCG post-conditioning alleviates myocardial I/R injury by inhibiting apoptosis and restoring the autophagic flux, which is associated with several targets of the PI3K/Akt signaling pathway.

Introduction

Myocardial infarction (MI) is a major cause of morbidity and mortality worldwide in patients with coronary heart disease (1). Early reperfusion of the ischemic region by thrombolysis or primary percutaneous coronary intervention, although effective for salvaging the damaged myocardium, can lead to further injury, such as cardiomyocyte death and cardiac dysfunction, which is known as myocardial ischemia/reperfusion (I/R) injury (2). Hence, to improve clinical outcomes in acute MI, it is of pivotal importance to explore the safe and effective therapeutic intervention for mitigating I/R injury.

It is well established that apoptosis, a main type of programmed cell death, plays an important role in the pathogenesis of myocardial I/R injury (3). Caspases are key molecules involved in signaling cascades of programmed cell death, in which caspase-3 has been recognized as an important initiator and promoter of apoptosis (3). Among the key survival signaling transduction pathways, the phosphoinositide 3-kinase/serine/threonine protein kinase (PI3K/Akt) pathway plays an important role in myocardial I/R injury, and is also essential for the regulation of proliferation, differentiation and apoptosis (4). PI3K-activated Akt can regulate pro-apoptotic proteins and transcription factors, and can activate endothelial nitric oxide synthase (eNOS) to produce nitric oxide (NO), thereby promoting cell survival and protecting the heart against I/R injury (5).

Autophagy, responsible for the degradation and recycling of cellular components, is also activated in response to myocardial I/R injury. Research has shown that autophagy is a 'double-edged sword' in I/R: a slight increase in autophagy during ischemia inhibits apoptosis and promotes cell survival; however, an abnormal increase in autophagy during the reperfusion period aggravates myocardial injury (6). Autophagy is a dynamic process involving the segregation of cargo within double membrane-bound autophagosomes that fuse with and are degraded in lysosomes (7). The above process is termed the autophagic flux. Recent evidence has indicated that the impairment of the autophagic flux leads to the progressive consumption of cellular constituents and subsequently, to cell death in myocardial I/R injury (8). The kinase mammalian target of rapamycin (mTOR) is a key regulator of autophagy, the activity of which is enhanced by factors that activate the PI3K/Akt pathway (9).

Green tea [Camellia sinensis L. Ktze. (Theaceae)] is an extremely popular beverage that originated in China several thousands of years ago. An expanding body of evidence suggests that the consumption of green tea has several health benefits; namely, it is known to prevent or ameliorate various diseases, such as obesity, autoimmune disorders and certain types of cancer, as well as neurodegenerative and cardiovascular diseases (10,11). These effects of green tea are mediated by its polyphenols known as catechins. Epigallocatechin gallate (EGCG) is the most abundant catechin found in green tea that has been shown to have antioxidant, anti-inflammatory, anti-mutagenic, anti-proliferative and anti-apoptotic effects in a variety of experimental models (12). It has been reported that EGCG has a beneficial effect on coronary artery disease (13). Previous studies have demonstrated that EGCG protects cardiomyocytes from I/R-induced apoptosis through the inhibition of signal transducer and activator of transcription (STAT)1 phosphorylation, the decrease of nuclear factor-κB (NF-κB) and activator protein 1 expression, as well as the activation of the reperfusion injury salvage kinase (RISK) pathway (14–17). However, the mechanism responsible for the healing effects of EGCG during myocardial I/R injury have not been completely defined. In particular, the association between the autophagic flux and the therapeutic effects of EGCG in myocardial diseases have not been previously investigated, at least to the best of our knowledge.

Therefore, the aim of the present study was to investigate whether EGCG mitigates myocardial I/R injury and to further identify the potential mechanisms involved. It was hypothesized that the influence of the downstream targets of the PI3K/Akt pathway activated by EGCG may suppress apoptosis and restore the autophagic flux, which may contribute to the cardioprotective effects of EGCG against I/R injury.

Materials and methods

Animals and experimental conditions

The experimental procedures and protocols used in this study were approved by the Ethics Committee for the Experimental Use of Animals at Guangxi Medical University (Guangxi, China) on June 18, 2015 (no. 20150618-08) and carried out in accordance with their guidelines. A total of 24 male Sprague-Dawley rats with a body weight of 250–280 g were obtained from the Guangxi Medical University Laboratory Animal Center. The rats were housed under standard conditions (20–25°C, 50–60% humidity, with a 12 h light-dark cycle) and were given standard rodent chow and free access to water.

Drugs and reagents

EGCG (Fig. 1; purity, ≥95%) was obtained from Sigma-Aldrich Inc. (St. Louis, MO, USA) and diluted with saline to an appropriate concentration as needed. The creatine kinase-MB (CK-MB), lactate dehydrogenase (LDH) and NO detection kits were obtained from the Jiancheng Bioengineering Institute (Nanjing, China). A terminal deoxynucleotidyl transferase-mediated dUTP nick-end labeling (TUNEL) apoptosis detection kit was purchased from Roche Diagnostics (Mannheim, Germany). Antibodies recognizing PI3K (p110α; #13364), Akt (#9272), phosphorylated (p)-Akt (Ser473; #9271), eNOS (#9572), p-eNOS (Ser1177; #9571), mTOR (#2983), p-mTOR (Ser2448; #5536), cleaved caspase-3 (#9661), caspase-3 (#9662), light chain 3 (LC3; #3868), Beclin1 (#3495), Atg5 (#12994) and p62 (#5114) were purchased from Cell Signaling Technology, Inc. (Danvers, MA, USA). Casthepsin D antibody (sc-10725) was purchased from Santa Cruz Biotechno logy, Inc. (Santa Cruz, CA, USA).

Figure 1

Chemical structure of epigallocatechin gallate (EGCG).

Experimental design

The rats were randomly assigned into 3 groups (n=8/group): i) the sham-operated group, in which the rats were subjected to surgical manipulation without ligation of the left anterior descending (LAD) coronary artery; ii) the I/R group, in which the rats were subjected to ligation of the LAD artery for 30 min followed by reperfusion for 2 h to induce I/R injury; iii) the I/R + EGCG group, in which the rats were subjected to I/R injury and administered EGCG (10 mg/kg in saline) via a sublingual intravenous injection 10 min prior to the onset of reperfusion. The rats in the sham-operated and I/R model groups were administered an identical dose of normal saline to serve as a control.

General surgical procedure

The rats were anesthetized with 20% ethyl carbamate (5 ml/kg) and placed in the supine position. The chest was opened through the fourth intercostal space, and the ribs were gently retracted to expose the heart. After cutting the pericardium, the LAD coronary artery was positioned between the left atrial appendage and the pulmonary conus. A 6-0 silk suture was passed around the LAD artery, and the ends were pulled through a small vinyl tube to form a snare and then tightened. Oxygen was supplied through the trachea using an animal ventilator (respiration rate 70/min; respiration-to-expiration ratio, 1:2; tidal volume, 50 ml/kg). Myocardial ischemia for 30 min was confirmed by the visual inspection of regional cyanosis of the myocardium and ST-segment elevation on an electrocardiogram. Reperfusion for 2 h was initiated by releasing the ligation of the LAD artery and confirmed by a color change in the ventricular surface from cyanosis to hyperemia, as previously described (18).

Assessment of cardiac function

I/R-induced cardiac dysfunction was determined by invasive hemodynamic evaluation methods. A micro-catheter connected to the MS 4000 organism signal quantitative analytical system (Longfeida Technology Co., Ltd., Shandong, China) was inserted into the left ventricle through the right common carotid artery to record left ventricular systolic pressure (LVSP), left ventricular end-diastolic pressure (LVEDP) and maximum rise/down velocity of left intraventricular pressure (±dp/dtmax) at baseline, at 30 min of ischemia, and after 30, 60, 90 and 120 min of reperfusion.

Determination of infarct size

The myocardial infarct size was measured using 2,3,5-triphenyltetrazolium chloride (TTC) staining as previously described (19). Briefly, the hearts were harvested and rinsed with normal saline. The excised left ventricle was frozen at −80°C for 5 min, and then sectioned from apex to base into approximately 2-mm-thick slices. The slices were incubated in a solution of 1% TTC in phosphate buffered saline (pH 7.4) at 37°C for 20 min in the dark, and then fixed in 10% formaldehyde. The slices were photographed the following day by a digital camera (Nikon, Tokyo, Japan). The infarcted (TTC non-stained) area was isolated from the rest of the cardiac tissue, which was stained red by TTC. The infarcted and normal tissues were separately weighed and the infarct size was expressed as a percentage of the mass of the left ventricle.

Measurement of cardiac enzyme levels and NO content

Blood samples were collected from the carotid artery following reperfusion, and the serum was immediately separated from the blood samples by centrifugation at 3,000 rpm for 10 min. The levels of CK-MB and LDH content were evaluated by a colorimetric method using commercial kits (Jiancheng Bioengineering Institute) according to the manufacturer's instructions, and the absorbance was measured spectrophotometrically at a wavelength of 340 nm and 490 nm, respectively. Due to its instability in physiological solutions, most of the NO is rapidly converted into nitrite (NO2−) and further into nitrate (NO3−). The serum levels of NO2−/NO3− were measured using a NO detection kit according to the manufacturer's instructions. Briefly, nitrate was converted into nitrite using Aspergillus nitrite reductase, and the total nitrite level was measured using Griess reagent. The absorbance was determined at 540 nm using a spectrophotometer.

TUNEL assay

Cardiomyocyte apoptosis was determined using an In Situ Cell Death Detection kit, POD (Roche Diagnostics). TUNEL staining was used to quantify apoptotic cell nuclei as previously described (20). Briefly, tissue sections were washed in phosphate-buffered saline (PBS) and then fixed in a 4% paraformaldehyde solution prior to incubation in 20 µg/ml proteinase K for 15 min. After washing with PBS, the tissue sections were immersed in the TUNEL reaction mixture for 1 h at 37°C in a humid chamber. The reaction was terminated by transferring the slides to a 2X sodium citrate saline solution. Endogenous peroxidase activity was quenched by incubation in 0.3% hydrogen peroxide. Finally, streptavidin horseradish peroxidase was bound to the biotinylated nucleotides and the peroxidase activity was visualized in each section by the application of the stable chromogen, diaminobenzidine. In this method, the apoptotic nuclei were stained dark brown. Normal nuclei were stained blue with hematoxylin. The results were scored semi-quantitatively by averaging the number of apoptotic cells/field at ×400 magnification. Five fields were evaluated per tissue sample, and cardiomyocyte apoptosis was represented as the apoptotic index (AI) calculated as follows: AI = the number of TUNEL-positive cells/the total number of cells counted ×100.

Western blot analysis

At the end of reperfusion, a section of approximately 70 mg of myocardial tissue was taken from the infarct area of the left ventricle. Following homogenization and protein quantification, equal amounts of protein from each sample were separated by sodium dodecyl sulfate-polyacrylamide gel electrophoresis (SDS-PAGE) and then transferred onto polyvinylidene difluoride (PVDF)-plus membranes. After blocking with 5% bovine serum albumin (BSA), the membranes were incubated overnight at 4°C with the following primary antibodies: PI3K (1:1,000), Akt (1:2,000), p-Akt (Ser473, 1:1,000), p-eNOS (Ser1177, 1:1,000), p-mTOR (Ser2448, 1:1,000), Atg5 (1:1,000), Beclin1 (1:1,000), LC3 (1:1,000), p62 (1:1,000) and cathepsin D (1:500). The membranes were then washed 3 times in Tris-buffered saline with 0.1% Tween-20 (TBST) and incubated with the corresponding secondary antibody (anti-rabbit IgG, HRP-linked; #7074; 1:5,000; Cell Signaling Technology, Inc.) conjugated to horseradish peroxidase at room temperature for 2 h. Finally, the membranes were washed 3 times in TBST. Relative densitometry was performed using a computerized software package (NIH Image 1.63 software).

Statistical analysis

Each sample was assayed in triplicate. The results were averaged and expressed as the means ± SD and data were evaluated using the Sigma Stat (version 21.0) statistical analysis program (SPSS Inc., Chicago, IL, USA). A one-way analysis of variance followed by Bonferroni's multiple comparison test was used for statistical analysis. P-values <0.05 were considered to indicate statistically significant differences.

Results

EGCG promotes recovery following I/R-induced cardiac dysfunction

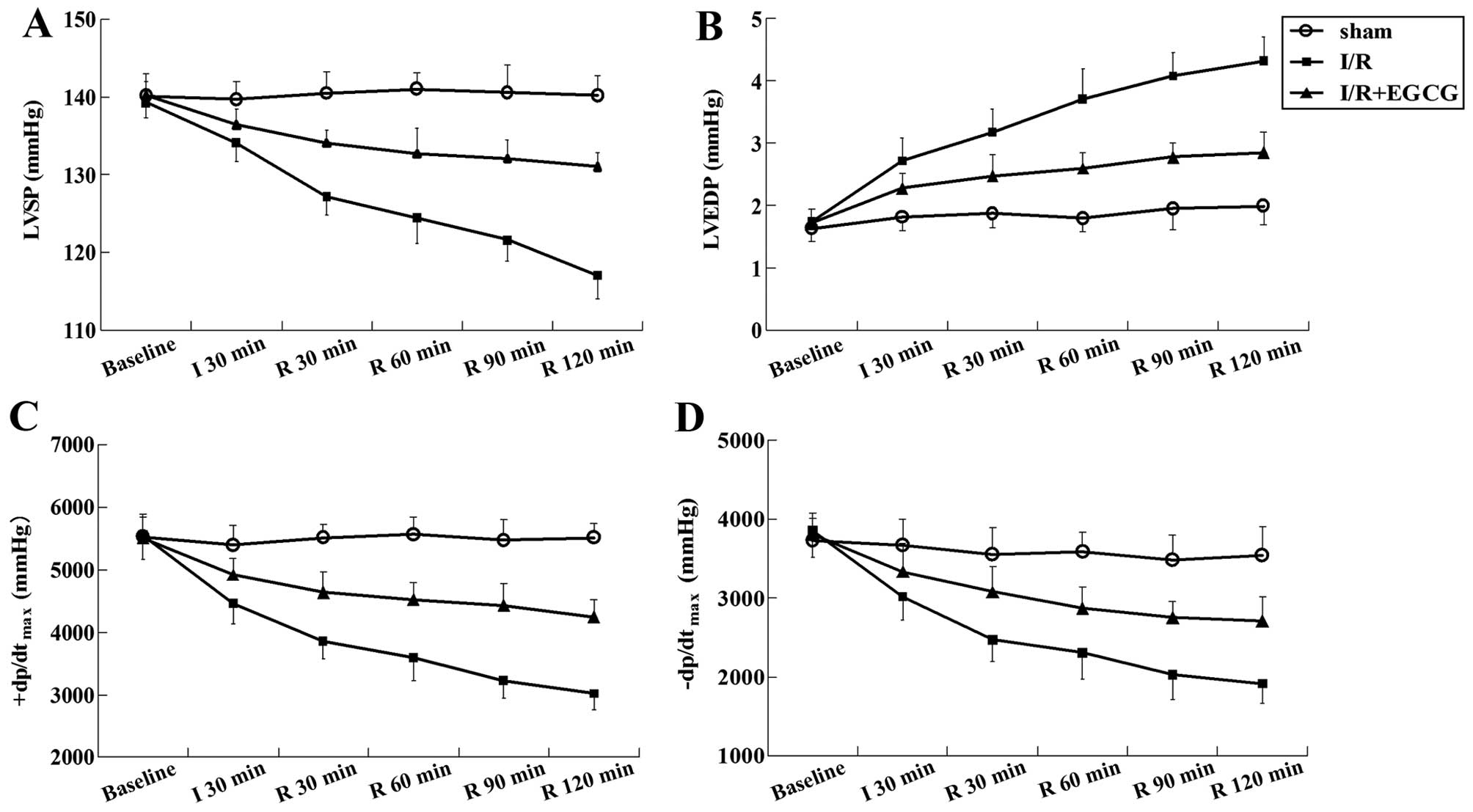
No significant differences in cardiac performance were observed among the different groups prior to ischemia. During the occlusion and reperfusion process, myocardial I/R led to left ventricular dysfunction characterized by a significant increase in LVEDP, and a decrease in LVSP, +dp/dtmax and −dp/dtmax (P<0.05 or P<0.01). As expected, treatment with EGCG preserved cardiac function by decreasing LVEDP, and increasing LVSP, +dp/dtmax and −dp/dtmax (P<0.05 or P<0.01) (Fig. 2 and Table I).

Figure 2

Effects of epigallocatechin gallate (EGCG) on left ventricular function during myocardial ischemia/reperfusion (I/R) in rats. (A) Left ventricular systolic pressure (LVSP). (B) Left ventricular end-diastolic pressure (LVEDP). (C) +dp/dtmax. (D) −dp/dtmax. Sham, sham-operated.

Table I

Effects of EGCG on hemodynamics in a rat model of I/R injury.

Table I

Effects of EGCG on hemodynamics in a rat model of I/R injury.

GroupTime
(mmHg)
LVSPLVEDP
(mmHg)
+dp/dtmax
(mmHg/sec)
−dp/dtmax
(mmHg/sec)
Sham-operatedBaseline140.10±2.871.64±0.215529.20±320.593731.60±283.00
I 30 min131.68±2.261.82±0.225395.80±309.773667.80±333.64
R 30 min140.48±2.741.88±0.235514.20±211.443557.20±340.45
R 60 min139.98±2.111.80±0.225470.60±282.393586.00±252.16
R 90 min140.54±3.621.95±0.355469.60±329.243840.20±320.00
R 120 min140.14±2.542.00±0.305512.60±217.013543.00±363.41
I/RBaseline139.24±1.961.74±0.215547.2±377.603861.60±342.25
I 30 min134.02±2.40a2.72±0.36b 4465.00±329.12b 3014.00±296.94a
R 30 min127.18±2.40b3.18±0.38b 3861.80±286.29b 2475.00±280.36b
R 60 min124.46±3.25b3.72±0.48b 3593.20±376.92b 2310.40±334.27b
R 90 min121.58±2.67b3.90±0.55b 3230.60±284.41b 2027.80±316.04b
R 120 min117.00±2.97b4.32±0.40b 3019.60±253.87b 1915.00±240.77b
I/R + EGCGBaseline140.20±1.751.72±0.235511.80±381.233814.20±263.84
I 30 min136.40±2.042.28±0.24 4921.80±263.34c 3333.40±365.40c
R 30 min134.10±1.62d2.48±0.34c 4643.20±319.91d 3082.40±313.37c
R 60 min132.68±3.23d2.60±0.25d 4523.20±283.33d 2871.80±274.12c
R 90 min132.00±2.45d2.78±0.22d 4435.20±345.67d 2758.00±198.41d
R 120 min131.02±1.83d2.86±0.32d 4249.00±266.26d 2708.00±303.62d

{ label (or @symbol) needed for fn[@id='tfn1-ijmm-38-01-0328'] } The data are presented as the means ± SD (n=8 rats per group).

a P<0.05 and

b P<0.01 vs. sham-operated group;

c P<0.05 and

d P<0.01 vs. I/R group. LVSP, left ventricular systolic pressure; LVEDP, left ventricular end-diastolic pressure; ±dp/dtmax, maximum rise/down velocity of left intraventricular pressure. I/R, ischemia/reperfusion; EGCG, epigallocatechin gallate.

EGCG decreases the levels of myocardial enzyme and increases the NO content

To further evaluate and validate the protective function of EGCG during I/R injury, we measured the levels of myocardial enzymes (CK-MB and LDH) in serum (Fig. 3A and B). We found that while the I/R rats exhibited a significant increase in CK-MB and LDH levels compared with the sham-operated group (P<0.05), the increase in these levels was significantly abrogated in the I/R + EGCG group (P<0.05). In addition, compared with the I/R group, the NO content in the I/R + EGCG group was markedly elevated (P<0.05; Fig. 3C).

Figure 3

Effects of epigallocatechin gallate (EGCG) on the serum levels of (A) creatine kinase-MB (CK-MB), (B) lactate dehydrogenase (LDH) and (C) nitric oxide (NO). The data are presented as the means ± SD (n=8 rats per group). *P<0.05 vs. sham-operated (sham) group; #P<0.05 vs. I/R group.

EGCG reduces the infarct size and prevents cardiomyocyte apoptosis following I/R injury

The myocardial infarct size was enlarged in the I/R group in comparison with the sham-operated group (P<0.01; Fig. 4). However, EGCG post-conditioning evidently decreased the infarct size when compared with the I/R group (P<0.05). Furthermore, TUNEL staining revealed that apoptosis was absent in the sham-operated group. Conversely, the rats in the I/R group exhibited severe tissue damage that appeared to markedly increase the number of TUNEL-positive cells (P<0.01). Of note, post-conditioning with EGCG resulted in a marked reduction in the number of TUNEL-positive cells compared with the I/R model group (P<0.05; Fig. 5A and B). In order to explore the underlying mechanisms responsible for the anti-apoptotic effects of EGCG, the expression of caspase-3 was examined by western blot analysis. The protein expression of cleaved caspase-3 was significantly decreased following treatment with EGCG compared to the myocardial I/R model group (P<0.05; Fig. 5C and D).

Figure 4

Effects of epigallocatechin gallate (EGCG) on the myocardial infarct size in rats subjected to ischemia/reperfusion (I/R) injury. (A) Representative images of TTC-stained sections. (B) Myocardial infarct size is expressed as the percentage of the total left ventricle volume. The data are presented as the means ± SD (n=8 rats per group). **P<0.01 vs. sham-operated (sham) group; #P<0.05 vs. I/R group.

Figure 5

Effects of epigallocatechin gallate (EGCG) on myocardial apoptosis induced by ischemia/reperfusion (I/R). (A) Representative photomicrographs of TUNEL staining (×400 magnificatin). (B) Quantitative analysis of the percentage of cardiomyocyte apoptotic events. (C) Representative western blots of caspase-3 and cleaved caspase-3. (D) Quantitative analysis demonstrated the expression of caspase-3 and cleaved caspase-3. Results were normalized to glyceraldehyde 3-phosphate dehydrogenase (GAPDH). The data are presented as the means ± SD (n=8 rats per group). **P<0.01 vs. sham-operated (sham) group; #P<0.01 vs. I/R group.

EGCG restores the autophagic flux following myocardial I/R injury

To investigate whether the I/R-induced myocardial injury was dependent on the impairment of the autophagic flux, the expression levels of autophagic markers, including the LC3-II/LC3-I ratio, Beclin1, Atg5 and p62, as well as the lysosomal protease, cathepsin D, were measured by western blot analysis. Beclin1 and Atg5 are essential proteins required for the initiation of autophagosome formation (21). The conversion of LC3-I to LC3-II is closely correlated with the number of autophagosomes (33). SQSTM1/p62 is an adapter protein that links aggregated proteins in autophagosomes and promotes degradation in autolysosomes. Increased p62 levels indicate an impaired autophagic flux (22). I/R significantly increased the LC3-II/LC3-I ratio, and Beclin1, Atg5 and p62 expression compared to the sham-operated group (P<0.05 or P<0.01), suggesting increased autophagic activity or an impaired autophagic flux (Fig. 6). Following treatment with EGCG, the increase in the levels of Beclin1, Atg5 and p62, and the LC3-II/LC3-I ratio were abrogated when compared with the I/R group (P<0.05), indicating that EGCG prevented excessive autophagy and promoted the clearance of autophagosomes. Furthermore, an elevated level of active cathepsin D was noted in the I/R + EGCG group compared with the I/R group (P<0.05), indicating that EGCG restores the autophagic flux by enhancing lysosomal function.

Figure 6

Epigallocatechin gallate (EGCG) restores the autophagic flux following myocardial ischemia/reperfusion (I/R) at 2 h of reperfusion. (A) Representative western blots of LC3-I, LC3-II, Beclin1, Atg5, p62 and cathepsin D; (B–F) Quantitative analysis demonstrated the expression of LC3-II/LC3-I ratio, Beclin1, Atg5, p62 and actived cathepsin D. The data are presented as the means ± SD (n=8 rats per group). *P<0.05 and **P<0.01 vs. sham-operated (sham) group; #P<0.05 vs. I/R group.

EGCG increases the expression of PI3K, p-Akt, p-eNOS and p-mTOR in the myocardium following I/R

In order to elucidate the role of the PI3K/Akt signaling pathway in the protective effects of EGCG against myocardial I/R injury, the expression of PI3K and p-Akt (Ser473), as well as that of the downstream targets, p-eNOS (Ser1177) and p-mTOR (Ser2448) was further investigated (Fig. 7). Compared to the sham-operated group, a significant decrease in the levels of PI3K, p-Akt, p-eNOS and p-mTOR was noted in the I/R model group (P<0.05); however, a marked increase in the levels of these proteins was noted in the I/R + EGCG group (P<0.01). These results indicate EGCG may enhance the phosphorylation of eNOS and mTOR via the activation of the PI3K/Akt pathway.

Figure 7

Epigallocatechin gallate (EGCG) enhances the expression of PI3K, p-Akt, p-endothelial nitric oxide synthase (eNOS) and p-mammalian target of rapamycin (mTOR) in the myocardium following ischemia/reperfusion (I/R). (A) Representative western blots of PI3K, p-Akt, Akt, p-eNOS, eNOS, p-mTOR and mTOR in the sham-operated (sham_, I/R and I/R + EGCG groups. (B–E) Quantitative analysis demonstrated the levels of PI3K, p-Akt, p-eNOS, and p-mTOR. Results were normalized to glyceraldehyde 3-phosphate dehydrogenase (GAPDH), total Akt, eNOS and mTOR, respectively. The data are presented as the means ± SD (n=8 rats per group). *P<0.05 vs. sham group; ##P<0.01 vs. I/R group.

Discussion

It is well known that myocardial I/R injury results in a high proportion of cardiac dysfunction and heart failure and that no effective treatment is available to prevent this damage (2). In the present study, we confirm that EGCG post-conditioning mitigated myocardial I/R injury in rats, as manifested by a reduction of the infarct area, a decrease in the levels of cardiac enzymes and an improvement of cardiac function. These results are in accordance with those of a previous study (16). Additionally, we demonstrated that the role of EGCG in myocardial I/R recovery was related to the restoration of the autophagic flux and the inhibition of apoptosis, potentially by affecting the downstream targets of the PI3K/Akt signaling pathway.

Accumulating evidence suggests that myocardial apoptosis significantly contributes to cardiomyocyte death during I/R injury, and blocking the apoptotic process may reduce the loss of contractile cells, minimizing myocardial I/R injury (23). It has been shown that EGCG protects cardiomyocytes against I/R-induced apoptosis in vitro and in vivo (14). Consistent with the findings of previous studies, we found that apoptosis in the group treated with EGCG, as indicated by the TUNEL-staining counting result, presented a marked reduction compared to the I/R group. Furthermore, our data lend support to the hypothesis that cleaved (activated) caspase-3 plays a pivotal role in promoting the apoptotic signaling cascade. Caspase-3 is an established member of the caspase family that participates in the final execution phase of apoptosis (24). As shown in this study, cleaved caspase-3 in the myocardium was widely expressed in the I/R group, but failed to exhibit excessive activation in the rats treated with EGCG (Fig. 5). Therefore, we concluded that the inhibition of apoptosis may be one of the mechanisms through which EGCG exerts cardioprotective effects against I/R injury.

The PI3K/Akt pathway is known to be a target of I/R injury and plays a key role in pro-survival and anti-apoptosis (4). The activation of the PI3K/Akt signaling pathway leads to Akt phosphorylation at the Ser473 locus, producing p-Akt, and stimulates downstream targets, such as eNOS, mTOR, NF-κB, the Bcl-2 family of proteins and the caspase family proteins; these then regulate apoptosis, adjust transcription factors, affect metabolism, enhance cardiomyocyte survival, and reduce the morbidity and mortality of I/R injury (25). PI3K/Akt has been reported to be activated by EGCG and to mediate EGCG-induced protection against I/R injury in the heart and kidneys (16,26). Among potential cytoprotective downstream targets of Akt, the phosphorylation of eNOS with the subsequent production of NO has been identified to play a critical role in PI3K/Akt-mediated protection, particularly in the anti-apoptotic effects of Akt (27). Accordingly, we further investigated the effects of EGCG post-conditioning on eNOS activity and NO production. Our data revealed that an increase in eNOS phosphorylation and NO production occurred concomitantly with the upregulation of PI3K protein and Akt phosphorylation. Thus, this suggests that EGCG protects the heart, at least in part, via the PI3K/Akt/eNOS pathway, resulting in an augmented NO content and reduced apoptosis.

In addition to apoptosis, the importance of autophagy in ischemic disease has received much attention in recent years. Autophagy is a highly regulated process in which cytosolic proteins and organelles are sequestrated by double-membrane structures of autophagosomes, transferred to lysosomes and degraded by proteases therein (28). This complete autophagic flux is essential for maintaining intracellular homeostasis and cell survival (29). Research has indicated that the myocardial I/R-induced impairment of the autophagic flux and excessive autophagy lead to cardiomyocyte death (8). Despite previous reports on how EGCG affects autophagy (30,31), the mechanism through which autophagy, as a dynamic process, participate in the cardioprotective effets of EGCG remain unknown.

We hypothesized that treatment with EGCG will restore the autophagic flux during myocardial I/R, which in turn contributes to its cardioprotective effects. The process of autophagy involves nucleation, autophagosome formation, the fusion of autophagosomes to lysosomes, and degradation in lysosomes (28). Beclin1 forms a complex with class III PI3K and is localized to the pre-autophagosomal structure mediating vesicle nucleation (32). The formation of the autophagosome is initiated by the Atg12-Atg5-Atg16 complex and LC3-I-phospholipid conjugates (LC3-II) (33). Thus, the increased ratio of LC3-II/LC3-I, Beclin1 and Atg5 are markers for autophagosome formation (34). Cathepsin D is a major lysosomal protease that degrades materials delivered to lysosomes. The inhibition of cathepsin D activity may compromise lysosomal function, thus blocking the fusion of autophagosomes with lysosomes, increasing the accumulation of autophagosomes (35). Moreover, the p62 protein is a well-known autophagy substrate, which upon direct binding to LC3-II incorporates into autophagosomes and is efficiently degraded by autophagy (36). Accordingly, when the autophagic degradation pathway is blocked, p62 accumulation occurs. In this study, myocardial I/R increased the LC3-II/LC3-I ratio, and upregulated the protein expression of Beclin1, Atg5 and p62 compared to the sham-operated rats. These results indicated that myocardial I/R led to the impairment of the autophagic flux by inducing autophagosome formation, but impairing autophagosome clearance. In support of our hypothesis, EGCG restored the I/R-impaired autophagy flux, which was characterized by a decrease in the protein expression levels of the autophagy proteins, Beclin1, Atg5 and p62, and the LC3-II/LC3-I ratio, as well as an increase in the level of active cathepsin D.

It has been shown that the PI3K/Akt signaling pathway is involved in the cardioprotection of EGCG (16). The kinase mammalian target of rapamycin, mTOR, is an important downstream target of the PI3K/Akt pathway, which is positively regulated by PI3K/Akt and results in the inhibition of autophagy (37). Previous studies have demonstrated that phosphorylated mTOR provides cardioprotection by restoring the impaired autophagic flux and enhancing recovery in myocardial I/R injury (38). Coincidently, the present study demonstrated that EGCG inhibited the over-activation of autophagy and promoted autophagosome clearance, accompanied by the upregulation of both p-Akt and p-mTOR. Since the activation of mTOR signaling is known to inhibit autophagic activity and improve autophagic flux (39,40), our data suggest that EGCG attenuates I/R-induced excessive autophagy and restores the autophagic flux through the PI3K/Akt/mTOR pathway.

Autophagy has been demonstrated to engage in a complex interplay with apoptosis. Recently, interconnections between the autophagic and the apoptotic pathways, as well as their alternative functions in cell survival or death have been demonstrated (7). For instance, an autophagic flux inhibitor induces the activation of caspases and the apoptosis of cardiomyocytes (8). Atg5 depletion promotes apoptosis (41). In the present study, EGCG restored the autophagic flux and simultaneously inhibited cardiomyocyte apoptosis. Nevertheless, further investigations are warranted in order to elucidate the interactions between the underlying mechanisms responsible for the autophagic flux and apoptosis.

In conclusion, treatment with EGCG effectively protected the rat hearts from I/R injury in vivo. This effect of EGCG may be related to the inhibition of apoptosis and the restoration of the autophagic flux via the regulation of several downstream molecules of the PI3K/Akt signaling pathway.

However, there are some limitations to the present study. Firstly, the autophagic flux needs to be further evaluated by comparing the extent of autophagosome accumulation in the presence of inhibitors of lysosomal fusion or degradation or both. Secondly, our data manifested that the inhibition of apoptosis and the restoration of the autophagic flux were involved in the cardioprotective effects of EGCG; however, further studies are required in order to clarify the causal link between these mechanisms.

Acknowledgments

This study was supported by the National Natural Science Foundation of China (no. 81360041), the Project of Natural Science Foundation of Guangxi, China (2012GXNSFAA053148) and by the Guangxi College of Higher Education Outstanding Talent project.

References

1 

Finegold JA, Asaria P and Francis DP: Mortality from ischaemic heart disease by country, region, and age: Statistics from World Health Organisation and United Nations. Int J Cardiol. 168:934–945. 2013. View Article : Google Scholar :

2 

Hausenloy DJ and Yellon DM: Myocardial ischemia-reperfusion injury: A neglected therapeutic target. J Clin Invest. 123:92–100. 2013. View Article : Google Scholar : PubMed/NCBI

3 

Ganesan R, Mittl PR, Jelakovic S and Grütter MG: Extended substrate recognition in caspase-3 revealed by high resolution X-ray structure analysis. J Mol Biol. 359:1378–1388. 2006. View Article : Google Scholar : PubMed/NCBI

4 

Ha T, Hu Y, Liu L, Lu C, McMullen JR, Kelley J, Kao RL, Williams DL, Gao X and Li C: TLR2 ligands induce cardioprotection against ischaemia/reperfusion injury through a PI3K/Akt-dependent mechanism. Cardiovasc Res. 87:694–703. 2010. View Article : Google Scholar : PubMed/NCBI

5 

Ou HC, Lee WJ, Lee SD, Huang CY, Chiu TH, Tsai KL, Hsu WC and Sheu WH: Ellagic acid protects endothelial cells from oxidized low-density lipoprotein-induced apoptosis by modulating the PI3K/Akt/eNOS pathway. Toxicol Appl Pharmacol. 248:134–143. 2010. View Article : Google Scholar : PubMed/NCBI

6 

Wei K, Wang P and Miao CY: A double-edged sword with therapeutic potential: An updated role of autophagy in ischemic cerebral injury. CNS Neurosci Ther. 18:879–886. 2012. View Article : Google Scholar : PubMed/NCBI

7 

Zhang YL, Yao YT, Fang NX, Zhou CH, Gong JS and Li LH: Restoration of autophagic flux in myocardial tissues is required for cardioprotection of sevoflurane postconditioning in rats. Acta Pharmacol Sin. 35:758–769. 2014. View Article : Google Scholar : PubMed/NCBI

8 

Ma X, Liu H, Foyil SR, Godar RJ, Weinheimer CJ, Hill JA and Diwan A: Impaired autophagosome clearance contributes to cardiomyocyte death in ischemia/reperfusion injury. Circulation. 125:3170–3181. 2012. View Article : Google Scholar : PubMed/NCBI

9 

Xiao J, Zhu X, Ji G, Yang Q, Kang B, Zhao J, Yao F, Wu L, Ni X and Wang Z: Ulinastatin protects cardiomyocytes against ischemia reperfusion injury by regulating autophagy through mTOR activation. Mol Med Rep. 10:1949–1953. 2014.PubMed/NCBI

10 

Pae M and Wu D: Immunomodulating effects of epigallocatechin-3-gallate from green tea: Mechanisms and applications. Food Funct. 4:1287–1303. 2013. View Article : Google Scholar : PubMed/NCBI

11 

Zeng X, Li Q, Zhang M, Wang W and Tan X: Green tea may be benefit to the therapy of atrial fibrillation. J Cell Biochem. 112:1709–1712. 2011. View Article : Google Scholar : PubMed/NCBI

12 

Chen L and Zhang HY: Cancer preventive mechanisms of the green tea polyphenol (-)-epigallocatechin-3-gallate. Molecules. 12:946–957. 2007. View Article : Google Scholar : PubMed/NCBI

13 

Widlansky ME, Hamburg NM, Anter E, Holbrook M, Kahn DF, Elliott JG, Keaney JF Jr and Vita JA: Acute EGCG supplementation reverses endothelial dysfunction in patients with coronary artery disease. J Am Coll Nutr. 26:95–102. 2007. View Article : Google Scholar : PubMed/NCBI

14 

Townsend PA, Scarabelli TM, Pasini E, Gitti G, Menegazzi M, Suzuki H, Knight RA, Latchman DS and Stephanou A: Epigallocatechin-3-gallate inhibits STAT-1 activation and protects cardiac myocytes from ischemia/reperfusion-induced apoptosis. FASEB J. 18:1621–1623. 2004.PubMed/NCBI

15 

Aneja R, Hake PW, Burroughs TJ, Denenberg AG, Wong HR and Zingarelli B: Epigallocatechin, a green tea polyphenol, attenuates myocardial ischemia reperfusion injury in rats. Mol Med. 10:55–62. 2004. View Article : Google Scholar : PubMed/NCBI

16 

Kim SJ, Li M, Jeong CW, Bae HB, Kwak SH, Lee SH, Lee HJ, Heo BH, Yook KB and Yoo KY: Epigallocatechin-3-gallate, a green tea catechin, protects the heart against regional ischemia-reperfusion injuries through activation of RISK survival pathways in rats. Arch Pharm Res. 37:1079–1085. 2014. View Article : Google Scholar

17 

Piao CS, Kim DS, Ha KC, Kim HR, Chae HJ and Chae SW: The protective effect of epigallocatechin-3 gallate on ischemia/reperfusion injury in isolated rat hearts: An ex vivo Approach. Korean J Physiol Pharmacol. 15:259–266. 2011. View Article : Google Scholar : PubMed/NCBI

18 

Ahmed LA, Salem HA, Attia AS and Agha AM: Pharmacological preconditioning with nicorandil and pioglitazone attenuates myocardial ischemia/reperfusion injury in rats. Eur J Pharmacol. 663:51–58. 2011. View Article : Google Scholar : PubMed/NCBI

19 

Yao C, Shi X, Lin X, Shen L, Xu D and Feng Y: Increased cardiac distribution of mono-PEGylated Radix Ophiopogonis polysaccharide in both myocardial infarction and ischemia/reperfusion rats. Int J Nanomedicine. 10:409–418. 2015.PubMed/NCBI

20 

Wu N, Li W, Shu W and Jia D: Protective effect of picroside II on myocardial ischemia reperfusion injury in rats. Drug Des Devel Ther. 8:545–554. 2014.PubMed/NCBI

21 

Ohsumi Y: Molecular dissection of autophagy: two ubiquitin-like systems. Nat Rev Mol Cell Biol. 2:211–216. 2001. View Article : Google Scholar : PubMed/NCBI

22 

Bjørkøy G, Lamark T, Pankiv S, Øvervatn A, Brech A and Johansen T: Monitoring autophagic degradation of p62/SQSTM1. Methods Enzymol. 452:181–197. 2009. View Article : Google Scholar : PubMed/NCBI

23 

Liu H, Guo X, Chu Y and Lu S: Heart protective effects and mechanism of quercetin preconditioning on anti-myocardial ischemia reperfusion (IR) injuries in rats. Gene. 545:149–155. 2014. View Article : Google Scholar : PubMed/NCBI

24 

Giakoustidis DE, Giakoustidis AE, Iliadis S, Koliakou K, Antoniadis N, Kontos N, Papanikolaou V, Papageorgiou G, Kaldrimidou E and Takoudas D: Attenuation of liver ischemia/reperfusion induced apoptosis by epigallocatechin-3-gallate via down-regulation of NF-kappaB and c-Jun expression. J Surg Res. 159:720–728. 2010. View Article : Google Scholar

25 

Yao H and Han X and Han X: The cardioprotection of the insulin-mediated PI3K/Akt/mTOR signaling pathway. Am J Cardiovasc Drugs. 14:433–442. 2014. View Article : Google Scholar : PubMed/NCBI

26 

Lv J, Feng M, Zhang L, Wan X, Zeng YC, Liang PF and Xu AP: Protective effect of epigallocatechin gallate, a major constituent of green tea, against renal ischemia-reperfusion injury in rats. Int Urol Nephrol. 47:1429–1435. 2015. View Article : Google Scholar : PubMed/NCBI

27 

Deng C, Sun Z, Tong G, Yi W, Ma L, Zhao B, Cheng L, Zhang J, Cao F and Yi D: α-Lipoic acid reduces infarct size and preserves cardiac function in rat myocardial ischemia/reperfusion injury through activation of PI3K/Akt/Nrf2 pathway. PLoS One. 8:e583712013. View Article : Google Scholar

28 

Hariharan N, Zhai P and Sadoshima J: Oxidative stress stimulates autophagic flux during ischemia/reperfusion. Antioxid Redox Signal. 14:2179–2190. 2011. View Article : Google Scholar :

29 

Xie H, Xu Q, Jia J, Ao G, Sun Y, Hu L, Alkayed NJ, Wang C and Cheng J: Hydrogen sulfide protects against myocardial ischemia and reperfusion injury by activating AMP-activated protein kinase to restore autophagic flux. Biochem Biophys Res Commun. 458:632–638. 2015. View Article : Google Scholar : PubMed/NCBI

30 

Li W, Zhu S, Li J, Assa A, Jundoria A, Xu J, Fan S, Eissa NT, Tracey KJ, Sama AE and Wang H: EGCG stimulates autophagy and reduces cytoplasmic HMGB1 levels in endotoxin-stimulated macrophages. Biochem Pharmacol. 81:1152–1163. 2011. View Article : Google Scholar : PubMed/NCBI

31 

Kim HS, Montana V, Jang HJ, Parpura V and Kim JA: Epigallocatechin gallate (EGCG) stimulates autophagy in vascular endothelial cells: A potential role for reducing lipid accumulation. J Biol Chem. 288:22693–22705. 2013. View Article : Google Scholar : PubMed/NCBI

32 

Kang R, Zeh HJ, Lotze MT and Tang D: The Beclin 1 network regulates autophagy and apoptosis. Cell Death Differ. 18:571–580. 2011. View Article : Google Scholar : PubMed/NCBI

33 

Herzog C, Yang C, Holmes A and Kaushal GP: zVAD-fmk prevents cisplatin-induced cleavage of autophagy proteins but impairs autophagic flux and worsens renal function. Am J Physiol Renal Physiol. 303:F1239–F1250. 2012. View Article : Google Scholar : PubMed/NCBI

34 

Weidberg H, Shvets E and Elazar Z: Biogenesis and cargo selectivity of autophagosomes. Annu Rev Biochem. 80:125–156. 2011. View Article : Google Scholar : PubMed/NCBI

35 

Tatti M, Motta M, Di Bartolomeo S, Scarpa S, Cianfanelli V, Cecconi F and Salvioli R: Reduced cathepsins B and D cause impaired autophagic degradation that can be almost completely restored by overexpression of these two proteases in Sap C-deficient fibroblasts. Hum Mol Genet. 21:5159–5173. 2012. View Article : Google Scholar : PubMed/NCBI

36 

Mizushima N, Yoshimori T and Levine B: Methods in mammalian autophagy research. Cell. 140:313–326. 2010. View Article : Google Scholar : PubMed/NCBI

37 

Wang ZG, Wang Y, Huang Y, Lu Q, Zheng L, Hu D, Feng WK, Liu YL, Ji KT, Zhang HY, et al: bFGF regulates autophagy and ubiquitinated protein accumulation induced by myocardial ischemia/reperfusion via the activation of the PI3K/Akt/mTOR pathway. Sci Rep. 5:92872015. View Article : Google Scholar : PubMed/NCBI

38 

Sciarretta S, Volpe M and Sadoshima J: Mammalian target of rapamycin signaling in cardiac physiology and disease. Circ Res. 114:549–564. 2014. View Article : Google Scholar : PubMed/NCBI

39 

Hu YY, Zhou CH, Dou WH, Tang W, Hu CY, Hu DM, Feng H, Wang JZ, Qian MJ, Cheng GL and Wang SF: Improved autophagic flux is correlated with mTOR activation in the later recovery stage of experimental acute pancreatitis. Pancreatology. 15:470–477. 2015. View Article : Google Scholar : PubMed/NCBI

40 

Jung CH, Ro SH, Cao J, Otto NM and Kim DH: mTOR regulation of autophagy. FEBS Lett. 584:1287–1295. 2010. View Article : Google Scholar : PubMed/NCBI

41 

Yue W, Hamaï A, Tonelli G, Bauvy C, Nicolas V, Tharinger H, Codogno P and Mehrpour M: Inhibition of the autophagic flux by salinomycin in breast cancer stem-like/progenitor cells interferes with their maintenance. Autophagy. 9:714–729. 2013. View Article : Google Scholar : PubMed/NCBI

Related Articles

  • Abstract
  • View
  • Download
  • Twitter
Copy and paste a formatted citation
Spandidos Publications style
Xuan F and Jian J: Epigallocatechin gallate exerts protective effects against myocardial ischemia/reperfusion injury through the PI3K/Akt pathway-mediated inhibition of apoptosis and the restoration of the autophagic flux. Int J Mol Med 38: 328-336, 2016.
APA
Xuan, F., & Jian, J. (2016). Epigallocatechin gallate exerts protective effects against myocardial ischemia/reperfusion injury through the PI3K/Akt pathway-mediated inhibition of apoptosis and the restoration of the autophagic flux. International Journal of Molecular Medicine, 38, 328-336. https://doi.org/10.3892/ijmm.2016.2615
MLA
Xuan, F., Jian, J."Epigallocatechin gallate exerts protective effects against myocardial ischemia/reperfusion injury through the PI3K/Akt pathway-mediated inhibition of apoptosis and the restoration of the autophagic flux". International Journal of Molecular Medicine 38.1 (2016): 328-336.
Chicago
Xuan, F., Jian, J."Epigallocatechin gallate exerts protective effects against myocardial ischemia/reperfusion injury through the PI3K/Akt pathway-mediated inhibition of apoptosis and the restoration of the autophagic flux". International Journal of Molecular Medicine 38, no. 1 (2016): 328-336. https://doi.org/10.3892/ijmm.2016.2615
Copy and paste a formatted citation
x
Spandidos Publications style
Xuan F and Jian J: Epigallocatechin gallate exerts protective effects against myocardial ischemia/reperfusion injury through the PI3K/Akt pathway-mediated inhibition of apoptosis and the restoration of the autophagic flux. Int J Mol Med 38: 328-336, 2016.
APA
Xuan, F., & Jian, J. (2016). Epigallocatechin gallate exerts protective effects against myocardial ischemia/reperfusion injury through the PI3K/Akt pathway-mediated inhibition of apoptosis and the restoration of the autophagic flux. International Journal of Molecular Medicine, 38, 328-336. https://doi.org/10.3892/ijmm.2016.2615
MLA
Xuan, F., Jian, J."Epigallocatechin gallate exerts protective effects against myocardial ischemia/reperfusion injury through the PI3K/Akt pathway-mediated inhibition of apoptosis and the restoration of the autophagic flux". International Journal of Molecular Medicine 38.1 (2016): 328-336.
Chicago
Xuan, F., Jian, J."Epigallocatechin gallate exerts protective effects against myocardial ischemia/reperfusion injury through the PI3K/Akt pathway-mediated inhibition of apoptosis and the restoration of the autophagic flux". International Journal of Molecular Medicine 38, no. 1 (2016): 328-336. https://doi.org/10.3892/ijmm.2016.2615
Follow us
  • Twitter
  • LinkedIn
  • Facebook
About
  • Spandidos Publications
  • Careers
  • Cookie Policy
  • Privacy Policy
How can we help?
  • Help
  • Live Chat
  • Contact
  • Email to our Support Team