Spandidos Publications Logo
  • About
    • About Spandidos
    • Aims and Scopes
    • Abstracting and Indexing
    • Editorial Policies
    • Reprints and Permissions
    • Job Opportunities
    • Terms and Conditions
    • Contact
  • Journals
    • All Journals
    • Oncology Letters
      • Oncology Letters
      • Information for Authors
      • Editorial Policies
      • Editorial Board
      • Aims and Scope
      • Abstracting and Indexing
      • Bibliographic Information
      • Archive
    • International Journal of Oncology
      • International Journal of Oncology
      • Information for Authors
      • Editorial Policies
      • Editorial Board
      • Aims and Scope
      • Abstracting and Indexing
      • Bibliographic Information
      • Archive
    • Molecular and Clinical Oncology
      • Molecular and Clinical Oncology
      • Information for Authors
      • Editorial Policies
      • Editorial Board
      • Aims and Scope
      • Abstracting and Indexing
      • Bibliographic Information
      • Archive
    • Experimental and Therapeutic Medicine
      • Experimental and Therapeutic Medicine
      • Information for Authors
      • Editorial Policies
      • Editorial Board
      • Aims and Scope
      • Abstracting and Indexing
      • Bibliographic Information
      • Archive
    • International Journal of Molecular Medicine
      • International Journal of Molecular Medicine
      • Information for Authors
      • Editorial Policies
      • Editorial Board
      • Aims and Scope
      • Abstracting and Indexing
      • Bibliographic Information
      • Archive
    • Biomedical Reports
      • Biomedical Reports
      • Information for Authors
      • Editorial Policies
      • Editorial Board
      • Aims and Scope
      • Abstracting and Indexing
      • Bibliographic Information
      • Archive
    • Oncology Reports
      • Oncology Reports
      • Information for Authors
      • Editorial Policies
      • Editorial Board
      • Aims and Scope
      • Abstracting and Indexing
      • Bibliographic Information
      • Archive
    • Molecular Medicine Reports
      • Molecular Medicine Reports
      • Information for Authors
      • Editorial Policies
      • Editorial Board
      • Aims and Scope
      • Abstracting and Indexing
      • Bibliographic Information
      • Archive
    • World Academy of Sciences Journal
      • World Academy of Sciences Journal
      • Information for Authors
      • Editorial Policies
      • Editorial Board
      • Aims and Scope
      • Abstracting and Indexing
      • Bibliographic Information
      • Archive
    • International Journal of Functional Nutrition
      • International Journal of Functional Nutrition
      • Information for Authors
      • Editorial Policies
      • Editorial Board
      • Aims and Scope
      • Abstracting and Indexing
      • Bibliographic Information
      • Archive
    • International Journal of Epigenetics
      • International Journal of Epigenetics
      • Information for Authors
      • Editorial Policies
      • Editorial Board
      • Aims and Scope
      • Abstracting and Indexing
      • Bibliographic Information
      • Archive
    • Medicine International
      • Medicine International
      • Information for Authors
      • Editorial Policies
      • Editorial Board
      • Aims and Scope
      • Abstracting and Indexing
      • Bibliographic Information
      • Archive
  • Articles
  • Information
    • Information for Authors
    • Information for Reviewers
    • Information for Librarians
    • Information for Advertisers
    • Conferences
  • Language Editing
Spandidos Publications Logo
  • About
    • About Spandidos
    • Aims and Scopes
    • Abstracting and Indexing
    • Editorial Policies
    • Reprints and Permissions
    • Job Opportunities
    • Terms and Conditions
    • Contact
  • Journals
    • All Journals
    • Biomedical Reports
      • Information for Authors
      • Editorial Policies
      • Editorial Board
      • Aims and Scope
      • Abstracting and Indexing
      • Bibliographic Information
      • Archive
    • Experimental and Therapeutic Medicine
      • Information for Authors
      • Editorial Policies
      • Editorial Board
      • Aims and Scope
      • Abstracting and Indexing
      • Bibliographic Information
      • Archive
    • International Journal of Epigenetics
      • Information for Authors
      • Editorial Policies
      • Editorial Board
      • Aims and Scope
      • Abstracting and Indexing
      • Bibliographic Information
      • Archive
    • International Journal of Functional Nutrition
      • Information for Authors
      • Editorial Policies
      • Editorial Board
      • Aims and Scope
      • Abstracting and Indexing
      • Bibliographic Information
      • Archive
    • International Journal of Molecular Medicine
      • Information for Authors
      • Editorial Policies
      • Editorial Board
      • Aims and Scope
      • Abstracting and Indexing
      • Bibliographic Information
      • Archive
    • International Journal of Oncology
      • Information for Authors
      • Editorial Policies
      • Editorial Board
      • Aims and Scope
      • Abstracting and Indexing
      • Bibliographic Information
      • Archive
    • Medicine International
      • Information for Authors
      • Editorial Policies
      • Editorial Board
      • Aims and Scope
      • Abstracting and Indexing
      • Bibliographic Information
      • Archive
    • Molecular and Clinical Oncology
      • Information for Authors
      • Editorial Policies
      • Editorial Board
      • Aims and Scope
      • Abstracting and Indexing
      • Bibliographic Information
      • Archive
    • Molecular Medicine Reports
      • Information for Authors
      • Editorial Policies
      • Editorial Board
      • Aims and Scope
      • Abstracting and Indexing
      • Bibliographic Information
      • Archive
    • Oncology Letters
      • Information for Authors
      • Editorial Policies
      • Editorial Board
      • Aims and Scope
      • Abstracting and Indexing
      • Bibliographic Information
      • Archive
    • Oncology Reports
      • Information for Authors
      • Editorial Policies
      • Editorial Board
      • Aims and Scope
      • Abstracting and Indexing
      • Bibliographic Information
      • Archive
    • World Academy of Sciences Journal
      • Information for Authors
      • Editorial Policies
      • Editorial Board
      • Aims and Scope
      • Abstracting and Indexing
      • Bibliographic Information
      • Archive
  • Articles
  • Information
    • For Authors
    • For Reviewers
    • For Librarians
    • For Advertisers
    • Conferences
  • Language Editing
Login Register Submit
  • This site uses cookies
  • You can change your cookie settings at any time by following the instructions in our Cookie Policy. To find out more, you may read our Privacy Policy.

    I agree
Search articles by DOI, keyword, author or affiliation
Search
Advanced Search
presentation
International Journal of Molecular Medicine
Join Editorial Board Propose a Special Issue
Print ISSN: 1107-3756 Online ISSN: 1791-244X
Journal Cover
May-2017 Volume 39 Issue 5

Full Size Image

Sign up for eToc alerts
Recommend to Library

Journals

International Journal of Molecular Medicine

International Journal of Molecular Medicine

International Journal of Molecular Medicine is an international journal devoted to molecular mechanisms of human disease.

International Journal of Oncology

International Journal of Oncology

International Journal of Oncology is an international journal devoted to oncology research and cancer treatment.

Molecular Medicine Reports

Molecular Medicine Reports

Covers molecular medicine topics such as pharmacology, pathology, genetics, neuroscience, infectious diseases, molecular cardiology, and molecular surgery.

Oncology Reports

Oncology Reports

Oncology Reports is an international journal devoted to fundamental and applied research in Oncology.

Experimental and Therapeutic Medicine

Experimental and Therapeutic Medicine

Experimental and Therapeutic Medicine is an international journal devoted to laboratory and clinical medicine.

Oncology Letters

Oncology Letters

Oncology Letters is an international journal devoted to Experimental and Clinical Oncology.

Biomedical Reports

Biomedical Reports

Explores a wide range of biological and medical fields, including pharmacology, genetics, microbiology, neuroscience, and molecular cardiology.

Molecular and Clinical Oncology

Molecular and Clinical Oncology

International journal addressing all aspects of oncology research, from tumorigenesis and oncogenes to chemotherapy and metastasis.

World Academy of Sciences Journal

World Academy of Sciences Journal

Multidisciplinary open-access journal spanning biochemistry, genetics, neuroscience, environmental health, and synthetic biology.

International Journal of Functional Nutrition

International Journal of Functional Nutrition

Open-access journal combining biochemistry, pharmacology, immunology, and genetics to advance health through functional nutrition.

International Journal of Epigenetics

International Journal of Epigenetics

Publishes open-access research on using epigenetics to advance understanding and treatment of human disease.

Medicine International

Medicine International

An International Open Access Journal Devoted to General Medicine.

Journal Cover
May-2017 Volume 39 Issue 5

Full Size Image

Sign up for eToc alerts
Recommend to Library

  • Article
  • Citations
    • Cite This Article
    • Download Citation
    • Create Citation Alert
    • Remove Citation Alert
    • Cited By
  • Similar Articles
    • Related Articles (in Spandidos Publications)
    • Similar Articles (Google Scholar)
    • Similar Articles (PubMed)
  • Download PDF
  • Download XML
  • View XML
Article

Curcumin inhibits angiotensin II-induced inflammation and proliferation of rat vascular smooth muscle cells by elevating PPAR-γ activity and reducing oxidative stress

  • Authors:
    • Hai-Yu Li
    • Mei Yang
    • Ze Li
    • Zhe Meng
  • View Affiliations / Copyright

    Affiliations: Department of Cardiology, The First Affiliated Hospital of Zhengzhou University, Zhengzhou, Henan 450052, P.R. China, Department of General Medicine, Renji Hospital of Shanghai Jiaotong University, Shanghai 200000, P.R. China
  • Pages: 1307-1316
    |
    Published online on: March 20, 2017
       https://doi.org/10.3892/ijmm.2017.2924
  • Expand metrics +
Metrics: Total Views: 0 (Spandidos Publications: | PMC Statistics: )
Metrics: Total PDF Downloads: 0 (Spandidos Publications: | PMC Statistics: )
Cited By (CrossRef): 0 citations Loading Articles...

This article is mentioned in:



Abstract

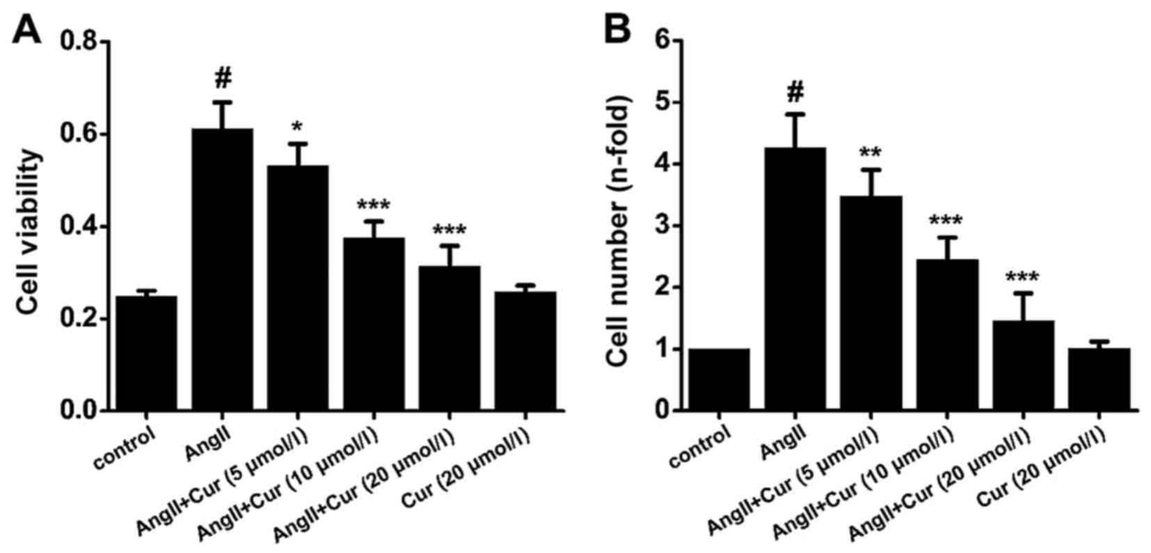
Angiotensin II (AngII)-induced production of inflammatory factors and proliferation in vascular smooth muscle cells (VSMCs) play an important role in the progression of atherosclerotic plaques. Growing evidence has demonstrated that activation of peroxisome proliferator-activated receptor-γ (PPAR-γ) effectively attenuates AngII-induced inflammation and intercellular reactive oxygen species (iROS) production. Curcumin (Cur) inhibits inflammatory responses by enhancing PPAR-γ activity and reducing oxidative stress in various tissues. The aim of the present study was to ascertain whether Cur inhibits AngII-induced inflammation and proliferation, and its underlying molecular mechanism, in VSMCs. Enzyme-linked immunosorbent assay (ELISA) and real-time PCR were used to measure the protein and mRNA expression of interleukin-6 (IL-6) and tumor necrosis factor-α (TNF-α). Nitric oxide (NO) production was measured by Griess reaction. Western blot analysis and a DNA-binding assay were used to measure PPAR-γ activity. iROS production was measured using the DCFH-DA method. In rat VSMCs, Cur attenuated AngII‑induced expression of IL-6 and TNF-α mRNA and protein in a concentration-dependent manner, inhibited NO production by suppressing inducible NO synthase (iNOS) activity, and suppressed proliferation of VSMCs. This was accompanied by increased PPAR-γ expression and activation in Cur-pretreated VSMCs. GW9662, a PPAR-γ antagonist, reversed the anti-inflammatory effect of Cur. Moreover, Cur attenuated AngII-induced oxidative stress by downregulating the expression of p47phox, which is a key subunit of nicotinamide adenine dinucleotide phosphate (NADPH) oxidase. In conclusion, Cur inhibited the expression of IL-6 and TNF-α, decreased the production of NO, and suppressed the proliferation of VSMCs, by elevating PPAR-γ activity and suppressing oxidative stress, leading to attenuated AngII-induced inflammatory responses in VSMCs.
View Figures

Figure 1

Figure 2

Figure 3

Figure 4

Figure 5

Figure 6

Figure 7

Figure 8

View References

1 

Jiang G, Wang D, Li W, Pan Y, Zheng W, Zhang H and Sun YV: Coronary heart disease mortality in China: Age, gender, and urban-rural gaps during epidemiological transition. Rev Panam Salud Publica. 31:317–324. 2012. View Article : Google Scholar : PubMed/NCBI

2 

Bäck M and Hansson GK: Anti-inflammatory therapies for atherosclerosis. Nat Rev Cardiol. 12:199–211. 2015. View Article : Google Scholar : PubMed/NCBI

3 

Libby P: Inflammation in atherosclerosis. Arterioscler Thromb Vasc Biol. 32:2045–2051. 2012. View Article : Google Scholar : PubMed/NCBI

4 

Chistiakov DA, Orekhov AN and Bobryshev YV: Vascular smooth muscle cell in atherosclerosis. Acta Physiol (Oxf). 214:33–50. 2015. View Article : Google Scholar

5 

Meng Z, Yan C, Deng Q, Gao DF and Niu XL: Curcumin inhibits LPS-induced inflammation in rat vascular smooth muscle cells in vitro via ROS-relative TLR4-MAPK/NF-κB pathways. Acta Pharmacol Sin. 34:901–911. 2013. View Article : Google Scholar : PubMed/NCBI

6 

Pacurari M, Kafoury R, Tchounwou PB and Ndebele K: The renin-angiotensin-aldosterone system in vascular inflammation and remodeling. Int J Inflam. 2014:6893602014. View Article : Google Scholar : PubMed/NCBI

7 

Askari AT, Shishehbor MH, Kaminski MA, Riley MJ, Hsu A and Lincoff AM; GUSTO-V Investigators: The association between early ventricular arrhythmias, renin-angiotensin-aldosterone system antagonism, and mortality in patients with ST-segment-elevation myocardial infarction: insights from Global Use of Strategies to Open Coronary Arteries (GUSTO) V. Am Heart J. 158:238–243. 2009. View Article : Google Scholar : PubMed/NCBI

8 

Derosa G and Maffioli P: Peroxisome proliferator-activated receptor-γ (PPAR-γ) agonists on glycemic control, lipid profile and cardiovascular risk. Curr Mol Pharmacol. 5:272–281. 2012. View Article : Google Scholar

9 

Usuda D and Kanda T: Peroxisome proliferator-activated receptors for hypertension. World J Cardiol. 6:744–754. 2014. View Article : Google Scholar : PubMed/NCBI

10 

Fuentes E, Guzmán-Jofre L, Moore-Carrasco R and Palomo I: Role of PPARs in inflammatory processes associated with metabolic syndrome (Review). Mol Med Rep. 8:1611–1616. 2013.PubMed/NCBI

11 

Liu WX, Wang T, Zhou F, Wang Y, Xing JW, Zhang S, Gu SZ, Sang LX, Dai C and Wang HL: Voluntary exercise prevents colonic inflammation in high-fat diet-induced obese mice by up-regulating PPAR-gamma activity. Biochem Biophys Res Commun. 459:475–480. 2015. View Article : Google Scholar : PubMed/NCBI

12 

Marchesi C, Rehman A, Rautureau Y, Kasal DA, Briet M, Leibowitz A, Simeone SM, Ebrahimian T, Neves MF, Offermanns S, et al: Protective role of vascular smooth muscle cell PPARγ in angiotensin II-induced vascular disease. Cardiovasc Res. 97:562–570. 2013. View Article : Google Scholar

13 

Ji Y, Liu J, Wang Z, Liu N and Gou W: PPARgamma agonist, rosiglitazone, regulates angiotensin II-induced vascular inflammation through the TLR4-dependent signaling pathway. Lab Invest. 89:887–902. 2009. View Article : Google Scholar : PubMed/NCBI

14 

Meng Z, Yu XH, Chen J, Li L and Li S: Curcumin attenuates cardiac fibrosis in spontaneously hypertensive rats through PPAR-γ activation. Acta Pharmacol Sin. 35:1247–1256. 2014. View Article : Google Scholar : PubMed/NCBI

15 

Li H, Horke S and Förstermann U: Vascular oxidative stress, nitric oxide and atherosclerosis. Atherosclerosis. 237:208–219. 2014. View Article : Google Scholar : PubMed/NCBI

16 

Madamanchi NR and Runge MS: NADPH oxidases and atherosclerosis: Unraveling the details. Am J Physiol Heart Circ Physiol. 298:H1–H2. 2010. View Article : Google Scholar

17 

Barry-Lane PA, Patterson C, van der Merwe M, Hu Z, Holland SM, Yeh ET and Runge MS: p47phox is required for atherosclerotic lesion progression in ApoE(−/−) mice. J Clin Invest. 108:1513–1522. 2001. View Article : Google Scholar : PubMed/NCBI

18 

Kinkade K, Streeter J and Miller FJ: Inhibition of NADPH oxidase by apocynin attenuates progression of atherosclerosis. Int J Mol Sci. 14:17017–17028. 2013. View Article : Google Scholar : PubMed/NCBI

19 

Goel A, Kunnumakkara AB and Aggarwal BB: Curcumin as 'Curecumin': From kitchen to clinic. Biochem Pharmacol. 75:787–809. 2008. View Article : Google Scholar

20 

Barzegar A and Moosavi-Movahedi AA: Intracellular ROS protection efficiency and free radical-scavenging activity of curcumin. PLoS One. 6:e260122011. View Article : Google Scholar : PubMed/NCBI

21 

Feng HL, Fan H, Dang HZ, Chen XP, Ren Y, Yang JD and Wang PW: Neuroprotective effect of curcumin to Aβ of double transgenic mice with Alzheimer's disease. Zhongguo Zhong Yao Za Zhi. 39:3846–3849. 2014.In Chinese.

22 

Sahebkar A: Dual effect of curcumin in preventing atherosclerosis: The potential role of pro-oxidant-antioxidant mechanisms. Nat Prod Res. 29:491–492. 2015. View Article : Google Scholar

23 

Griendling KK, Taubman MB, Akers M, Mendlowitz M and Alexander RW: Characterization of phosphatidylinositol-specific phospholipase C from cultured vascular smooth muscle cells. J Biol Chem. 266:15498–15504. 1991.PubMed/NCBI

24 

Van Hoogmoed LM, Snyder JR and Harmon F: In vitro investigation of the effect of prostaglandins and nonsteroidal anti-inflammatory drugs on contractile activity of the equine smooth muscle of the dorsal colon, ventral colon, and pelvic flexure. Am J Vet Res. 61:1259–1266. 2000. View Article : Google Scholar : PubMed/NCBI

25 

Jeong JM, Choi CH, Kang SK, Lee IH, Lee JY and Jung H: Antioxidant and chemosensitizing effects of flavonoids with hydroxy and/or methoxy groups and structure-activity relationship. J Pharm Pharm Sci. 10:537–546. 2007. View Article : Google Scholar

26 

Mehta JL and Romeo F: Inflammation, infection and atherosclerosis: Do antibacterials have a role in the therapy of coronary artery disease? Drugs. 59:159–170. 2000. View Article : Google Scholar : PubMed/NCBI

27 

Peters S: Inhibition of atherosclerosis by angiotensin II type 1 receptor antagonists. Am J Cardiovasc Drugs. 13:221–224. 2013. View Article : Google Scholar : PubMed/NCBI

28 

Durante A, Peretto G, Laricchia A, Ancona F, Spartera M, Mangieri A and Cianflone D: Role of the renin-angiotensin-aldosterone system in the pathogenesis of atherosclerosis. Curr Pharm Des. 18:981–1004. 2012. View Article : Google Scholar : PubMed/NCBI

29 

Fu Z, Wang M, Gucek M, Zhang J, Wu J, Jiang L, Monticone RE, Khazan B, Telljohann R and Mattison J: Milk fat globule protein epidermal growth factor-8: A pivotal relay element within the angiotensin II and monocyte chemoattractant protein-1 signaling cascade mediating vascular smooth muscle cells invasion. Circ Res. 104:1337–1346. 2009. View Article : Google Scholar : PubMed/NCBI

30 

Kawashima S: The two faces of endothelial nitric oxide synthase in the pathophysiology of atherosclerosis. Endothelium. 11:99–107. 2004. View Article : Google Scholar : PubMed/NCBI

31 

Bunderson M, Coffin JD and Beall HD: Arsenic induces peroxynitrite generation and cyclooxygenase-2 protein expression in aortic endothelial cells: Possible role in atherosclerosis. Toxicol Appl Pharmacol. 184:11–18. 2002. View Article : Google Scholar : PubMed/NCBI

32 

Detmers PA, Hernandez M, Mudgett J, Hassing H, Burton C, Mundt S, Chun S, Fletcher D, Card DJ, Lisnock J, et al: Deficiency in inducible nitric oxide synthase results in reduced atherosclerosis in apolipoprotein E-deficient mice. J Immunol. 165:3430–3435. 2000. View Article : Google Scholar : PubMed/NCBI

33 

Grygiel-Górniak B: Peroxisome proliferator-activated receptors and their ligands: Nutritional and clinical implications - a review. Nutr J. 13:172014. View Article : Google Scholar

34 

Azhar S: Peroxisome proliferator-activated receptors, metabolic syndrome and cardiovascular disease. Future Cardiol. 6:657–691. 2010. View Article : Google Scholar : PubMed/NCBI

35 

Matsumura T, Kinoshita H, Ishii N, Fukuda K, Motoshima H, Senokuchi T, Taketa K, Kawasaki S, Nishimaki-Mogami T, Kawada T, et al: Telmisartan exerts antiatherosclerotic effects by activating peroxisome proliferator-activated receptor-γ in macrophages. Arterioscler Thromb Vasc Biol. 31:1268–1275. 2011. View Article : Google Scholar : PubMed/NCBI

36 

Siddiqui AM, Cui X, Wu R, Dong W, Zhou M, Hu M, Simms HH and Wang P: The anti-inflammatory effect of curcumin in an experimental model of sepsis is mediated by up-regulation of peroxisome proliferator-activated receptor-gamma. Crit Care Med. 34:1874–1882. 2006. View Article : Google Scholar : PubMed/NCBI

37 

Ghosh SS, Massey HD, Krieg R, Fazelbhoy ZA, Ghosh S, Sica DA, Fakhry I and Gehr TW: Curcumin ameliorates renal failure in 5/6 nephrectomized rats: Role of inflammation. Am J Physiol Renal Physiol. 296:F1146–F1157. 2009. View Article : Google Scholar : PubMed/NCBI

38 

Fu Y, Zheng S, Lin J, Ryerse J and Chen A: Curcumin protects the rat liver from CCl4-caused injury and fibrogenesis by attenuating oxidative stress and suppressing inflammation. Mol Pharmacol. 73:399–409. 2008. View Article : Google Scholar

39 

Tousoulis D, Psaltopoulou T, Androulakis E, Papageorgiou N, Papaioannou S, Oikonomou E, Synetos A and Stefanadis C: Oxidative stress and early atherosclerosis: Novel antioxidant treatment. Cardiovasc Drugs Ther. 29:75–88. 2015. View Article : Google Scholar

40 

Li H, Horke S and Förstermann U: Oxidative stress in vascular disease and its pharmacological prevention. Trends Pharmacol Sci. 34:313–319. 2013. View Article : Google Scholar : PubMed/NCBI

41 

Sun GB, Qin M, Ye JX, Pan RL, Meng XB, Wang M, Luo Y, Li ZY, Wang HW and Sun XB: Inhibitory effects of myricitrin on oxidative stress-induced endothelial damage and early atherosclerosis in ApoE−/− mice. Toxicol Appl Pharmacol. 271:114–126. 2013. View Article : Google Scholar : PubMed/NCBI

42 

Hort MA, Straliotto MR, Netto PM, da Rocha JB, de Bem AF and Ribeiro-do-Valle RM: Diphenyl diselenide effectively reduces atherosclerotic lesions in LDLr−/− mice by attenuation of oxidative stress and inflammation. J Cardiovasc Pharmacol. 58:91–101. 2011. View Article : Google Scholar : PubMed/NCBI

43 

Rong S, Zhao Y, Bao W, Xiao X, Wang D, Nussler AK, Yan H, Yao P and Liu L: Curcumin prevents chronic alcohol-induced liver disease involving decreasing ROS generation and enhancing antioxidative capacity. Phytomedicine. 19:545–550. 2012. View Article : Google Scholar : PubMed/NCBI

44 

Yu W, Wu J, Cai F, Xiang J, Zha W, Fan D, Guo S, Ming Z and Liu C: Curcumin alleviates diabetic cardiomyopathy in experimental diabetic rats. PLoS One. 7:e520132012. View Article : Google Scholar : PubMed/NCBI

45 

Bruder-Nascimento T, Chinnasamy P, Riascos-Bernal DF, Cau SB, Callera GE, Touyz RM, Tostes RC and Sibinga NE: Angiotensin II induces Fat1 expression/activation and vascular smooth muscle cell migration via Nox1-dependent reactive oxygen species generation. J Mol Cell Cardiol. 66:18–26. 2014. View Article : Google Scholar : PubMed/NCBI

46 

Gray SP, Di Marco E, Okabe J, Szyndralewiez C, Heitz F, Montezano AC, de Haan JB, Koulis C, El-Osta A, Andrews KL, et al: NADPH oxidase 1 plays a key role in diabetes mellitus-accelerated atherosclerosis. Circulation. 127:1888–1902. 2013. View Article : Google Scholar : PubMed/NCBI

47 

Ushio-Fukai M: Localizing NADPH oxidase-derived ROS. Sci STKE. 2006:re82006.PubMed/NCBI

48 

Zhao WC, Zhang B, Liao MJ, Zhang WX, He WY, Wang HB and Yang CX: Curcumin ameliorated diabetic neuropathy partially by inhibition of NADPH oxidase mediating oxidative stress in the spinal cord. Neurosci Lett. 560:81–85. 2014. View Article : Google Scholar

49 

Derochette S, Franck T, Mouithys-Mickalad A, Ceusters J, Deby-Dupont G, Lejeune JP, Neven P and Serteyn D: Curcumin and resveratrol act by different ways on NADPH oxidase activity and reactive oxygen species produced by equine neutrophils. Chem Biol Interact. 206:186–193. 2013. View Article : Google Scholar : PubMed/NCBI

Related Articles

  • Abstract
  • View
  • Download
  • Twitter
Copy and paste a formatted citation
Spandidos Publications style
Li H, Yang M, Li Z and Meng Z: Curcumin inhibits angiotensin II-induced inflammation and proliferation of rat vascular smooth muscle cells by elevating PPAR-γ activity and reducing oxidative stress. Int J Mol Med 39: 1307-1316, 2017.
APA
Li, H., Yang, M., Li, Z., & Meng, Z. (2017). Curcumin inhibits angiotensin II-induced inflammation and proliferation of rat vascular smooth muscle cells by elevating PPAR-γ activity and reducing oxidative stress. International Journal of Molecular Medicine, 39, 1307-1316. https://doi.org/10.3892/ijmm.2017.2924
MLA
Li, H., Yang, M., Li, Z., Meng, Z."Curcumin inhibits angiotensin II-induced inflammation and proliferation of rat vascular smooth muscle cells by elevating PPAR-γ activity and reducing oxidative stress". International Journal of Molecular Medicine 39.5 (2017): 1307-1316.
Chicago
Li, H., Yang, M., Li, Z., Meng, Z."Curcumin inhibits angiotensin II-induced inflammation and proliferation of rat vascular smooth muscle cells by elevating PPAR-γ activity and reducing oxidative stress". International Journal of Molecular Medicine 39, no. 5 (2017): 1307-1316. https://doi.org/10.3892/ijmm.2017.2924
Copy and paste a formatted citation
x
Spandidos Publications style
Li H, Yang M, Li Z and Meng Z: Curcumin inhibits angiotensin II-induced inflammation and proliferation of rat vascular smooth muscle cells by elevating PPAR-γ activity and reducing oxidative stress. Int J Mol Med 39: 1307-1316, 2017.
APA
Li, H., Yang, M., Li, Z., & Meng, Z. (2017). Curcumin inhibits angiotensin II-induced inflammation and proliferation of rat vascular smooth muscle cells by elevating PPAR-γ activity and reducing oxidative stress. International Journal of Molecular Medicine, 39, 1307-1316. https://doi.org/10.3892/ijmm.2017.2924
MLA
Li, H., Yang, M., Li, Z., Meng, Z."Curcumin inhibits angiotensin II-induced inflammation and proliferation of rat vascular smooth muscle cells by elevating PPAR-γ activity and reducing oxidative stress". International Journal of Molecular Medicine 39.5 (2017): 1307-1316.
Chicago
Li, H., Yang, M., Li, Z., Meng, Z."Curcumin inhibits angiotensin II-induced inflammation and proliferation of rat vascular smooth muscle cells by elevating PPAR-γ activity and reducing oxidative stress". International Journal of Molecular Medicine 39, no. 5 (2017): 1307-1316. https://doi.org/10.3892/ijmm.2017.2924
Follow us
  • Twitter
  • LinkedIn
  • Facebook
About
  • Spandidos Publications
  • Careers
  • Cookie Policy
  • Privacy Policy
How can we help?
  • Help
  • Live Chat
  • Contact
  • Email to our Support Team