Spandidos Publications Logo
  • About
    • About Spandidos
    • Aims and Scopes
    • Abstracting and Indexing
    • Editorial Policies
    • Reprints and Permissions
    • Job Opportunities
    • Terms and Conditions
    • Contact
  • Journals
    • All Journals
    • Oncology Letters
      • Oncology Letters
      • Information for Authors
      • Editorial Policies
      • Editorial Board
      • Aims and Scope
      • Abstracting and Indexing
      • Bibliographic Information
      • Archive
    • International Journal of Oncology
      • International Journal of Oncology
      • Information for Authors
      • Editorial Policies
      • Editorial Board
      • Aims and Scope
      • Abstracting and Indexing
      • Bibliographic Information
      • Archive
    • Molecular and Clinical Oncology
      • Molecular and Clinical Oncology
      • Information for Authors
      • Editorial Policies
      • Editorial Board
      • Aims and Scope
      • Abstracting and Indexing
      • Bibliographic Information
      • Archive
    • Experimental and Therapeutic Medicine
      • Experimental and Therapeutic Medicine
      • Information for Authors
      • Editorial Policies
      • Editorial Board
      • Aims and Scope
      • Abstracting and Indexing
      • Bibliographic Information
      • Archive
    • International Journal of Molecular Medicine
      • International Journal of Molecular Medicine
      • Information for Authors
      • Editorial Policies
      • Editorial Board
      • Aims and Scope
      • Abstracting and Indexing
      • Bibliographic Information
      • Archive
    • Biomedical Reports
      • Biomedical Reports
      • Information for Authors
      • Editorial Policies
      • Editorial Board
      • Aims and Scope
      • Abstracting and Indexing
      • Bibliographic Information
      • Archive
    • Oncology Reports
      • Oncology Reports
      • Information for Authors
      • Editorial Policies
      • Editorial Board
      • Aims and Scope
      • Abstracting and Indexing
      • Bibliographic Information
      • Archive
    • Molecular Medicine Reports
      • Molecular Medicine Reports
      • Information for Authors
      • Editorial Policies
      • Editorial Board
      • Aims and Scope
      • Abstracting and Indexing
      • Bibliographic Information
      • Archive
    • World Academy of Sciences Journal
      • World Academy of Sciences Journal
      • Information for Authors
      • Editorial Policies
      • Editorial Board
      • Aims and Scope
      • Abstracting and Indexing
      • Bibliographic Information
      • Archive
    • International Journal of Functional Nutrition
      • International Journal of Functional Nutrition
      • Information for Authors
      • Editorial Policies
      • Editorial Board
      • Aims and Scope
      • Abstracting and Indexing
      • Bibliographic Information
      • Archive
    • International Journal of Epigenetics
      • International Journal of Epigenetics
      • Information for Authors
      • Editorial Policies
      • Editorial Board
      • Aims and Scope
      • Abstracting and Indexing
      • Bibliographic Information
      • Archive
    • Medicine International
      • Medicine International
      • Information for Authors
      • Editorial Policies
      • Editorial Board
      • Aims and Scope
      • Abstracting and Indexing
      • Bibliographic Information
      • Archive
  • Articles
  • Information
    • Information for Authors
    • Information for Reviewers
    • Information for Librarians
    • Information for Advertisers
    • Conferences
  • Language Editing
Spandidos Publications Logo
  • About
    • About Spandidos
    • Aims and Scopes
    • Abstracting and Indexing
    • Editorial Policies
    • Reprints and Permissions
    • Job Opportunities
    • Terms and Conditions
    • Contact
  • Journals
    • All Journals
    • Biomedical Reports
      • Information for Authors
      • Editorial Policies
      • Editorial Board
      • Aims and Scope
      • Abstracting and Indexing
      • Bibliographic Information
      • Archive
    • Experimental and Therapeutic Medicine
      • Information for Authors
      • Editorial Policies
      • Editorial Board
      • Aims and Scope
      • Abstracting and Indexing
      • Bibliographic Information
      • Archive
    • International Journal of Epigenetics
      • Information for Authors
      • Editorial Policies
      • Editorial Board
      • Aims and Scope
      • Abstracting and Indexing
      • Bibliographic Information
      • Archive
    • International Journal of Functional Nutrition
      • Information for Authors
      • Editorial Policies
      • Editorial Board
      • Aims and Scope
      • Abstracting and Indexing
      • Bibliographic Information
      • Archive
    • International Journal of Molecular Medicine
      • Information for Authors
      • Editorial Policies
      • Editorial Board
      • Aims and Scope
      • Abstracting and Indexing
      • Bibliographic Information
      • Archive
    • International Journal of Oncology
      • Information for Authors
      • Editorial Policies
      • Editorial Board
      • Aims and Scope
      • Abstracting and Indexing
      • Bibliographic Information
      • Archive
    • Medicine International
      • Information for Authors
      • Editorial Policies
      • Editorial Board
      • Aims and Scope
      • Abstracting and Indexing
      • Bibliographic Information
      • Archive
    • Molecular and Clinical Oncology
      • Information for Authors
      • Editorial Policies
      • Editorial Board
      • Aims and Scope
      • Abstracting and Indexing
      • Bibliographic Information
      • Archive
    • Molecular Medicine Reports
      • Information for Authors
      • Editorial Policies
      • Editorial Board
      • Aims and Scope
      • Abstracting and Indexing
      • Bibliographic Information
      • Archive
    • Oncology Letters
      • Information for Authors
      • Editorial Policies
      • Editorial Board
      • Aims and Scope
      • Abstracting and Indexing
      • Bibliographic Information
      • Archive
    • Oncology Reports
      • Information for Authors
      • Editorial Policies
      • Editorial Board
      • Aims and Scope
      • Abstracting and Indexing
      • Bibliographic Information
      • Archive
    • World Academy of Sciences Journal
      • Information for Authors
      • Editorial Policies
      • Editorial Board
      • Aims and Scope
      • Abstracting and Indexing
      • Bibliographic Information
      • Archive
  • Articles
  • Information
    • For Authors
    • For Reviewers
    • For Librarians
    • For Advertisers
    • Conferences
  • Language Editing
Login Register Submit
  • This site uses cookies
  • You can change your cookie settings at any time by following the instructions in our Cookie Policy. To find out more, you may read our Privacy Policy.

    I agree
Search articles by DOI, keyword, author or affiliation
Search
Advanced Search
presentation
International Journal of Molecular Medicine
Join Editorial Board Propose a Special Issue
Print ISSN: 1107-3756 Online ISSN: 1791-244X
Journal Cover
January-2018 Volume 41 Issue 1

Full Size Image

Sign up for eToc alerts
Recommend to Library

Journals

International Journal of Molecular Medicine

International Journal of Molecular Medicine

International Journal of Molecular Medicine is an international journal devoted to molecular mechanisms of human disease.

International Journal of Oncology

International Journal of Oncology

International Journal of Oncology is an international journal devoted to oncology research and cancer treatment.

Molecular Medicine Reports

Molecular Medicine Reports

Covers molecular medicine topics such as pharmacology, pathology, genetics, neuroscience, infectious diseases, molecular cardiology, and molecular surgery.

Oncology Reports

Oncology Reports

Oncology Reports is an international journal devoted to fundamental and applied research in Oncology.

Experimental and Therapeutic Medicine

Experimental and Therapeutic Medicine

Experimental and Therapeutic Medicine is an international journal devoted to laboratory and clinical medicine.

Oncology Letters

Oncology Letters

Oncology Letters is an international journal devoted to Experimental and Clinical Oncology.

Biomedical Reports

Biomedical Reports

Explores a wide range of biological and medical fields, including pharmacology, genetics, microbiology, neuroscience, and molecular cardiology.

Molecular and Clinical Oncology

Molecular and Clinical Oncology

International journal addressing all aspects of oncology research, from tumorigenesis and oncogenes to chemotherapy and metastasis.

World Academy of Sciences Journal

World Academy of Sciences Journal

Multidisciplinary open-access journal spanning biochemistry, genetics, neuroscience, environmental health, and synthetic biology.

International Journal of Functional Nutrition

International Journal of Functional Nutrition

Open-access journal combining biochemistry, pharmacology, immunology, and genetics to advance health through functional nutrition.

International Journal of Epigenetics

International Journal of Epigenetics

Publishes open-access research on using epigenetics to advance understanding and treatment of human disease.

Medicine International

Medicine International

An International Open Access Journal Devoted to General Medicine.

Journal Cover
January-2018 Volume 41 Issue 1

Full Size Image

Sign up for eToc alerts
Recommend to Library

  • Article
  • Citations
    • Cite This Article
    • Download Citation
    • Create Citation Alert
    • Remove Citation Alert
    • Cited By
  • Similar Articles
    • Related Articles (in Spandidos Publications)
    • Similar Articles (Google Scholar)
    • Similar Articles (PubMed)
  • Download PDF
  • Download XML
  • View XML
Article Open Access

Apolipoprotein C-III in the high-density lipoprotein proteome of cerebral lacunar infarction patients impairs its anti-inflammatory function

  • Authors:
    • Pu Lv
    • Mingming Zhao
    • Yuanyuan Liu
    • Haiqiang Jin
    • Wei Cui
    • Chenghe Fan
    • Yuming Teng
    • Lemin Zheng
    • Yining Huang
  • View Affiliations / Copyright

    Affiliations: Department of Health Care, China-Japan Friendship Hospital, Ministry of Health, Beijing 100029, P.R. China, The Institute of Cardiovascular Sciences and Institute of Systems Biomedicine, School of Basic Medical Sciences, and Key Laboratory of Molecular Cardiovascular Sciences of Ministry of Education, Key Laboratory of Cardiovascular Molecular Biology and Regulatory Peptides of Ministry of Health, Peking University Health Science Center, Beijing 100191, P.R. China, Department of Neurology, Peking University First Hospital, Beijing 100034, P.R. China
    Copyright: © Lv et al. This is an open access article distributed under the terms of Creative Commons Attribution License.
  • Pages: 61-68
    |
    Published online on: October 27, 2017
       https://doi.org/10.3892/ijmm.2017.3216
  • Expand metrics +
Metrics: Total Views: 0 (Spandidos Publications: | PMC Statistics: )
Metrics: Total PDF Downloads: 0 (Spandidos Publications: | PMC Statistics: )
Cited By (CrossRef): 0 citations Loading Articles...

This article is mentioned in:



Abstract

High-density lipoprotein (HDL) proteomic study has identified substantial changes associated with various disease states. In the current study, the HDL proteomes in patients with cerebral lacunar infarction (LACI) and control subjects were investigated. A total of 12 LACI patients without evident large vessel occlusions and 12 controls were enrolled in the study. The HDL fraction from each sample was isolated from the plasma by ultracentrifugation. The protemics of the HDL were investigated using nano liquid chromatography coupled to tandem mass spectrometry. There were 55 proteins identified as differentially expressed in the LACI and control groups. Among the 55 proteins, 33 were upregulated and 22 were downregulated in the patients with LACI. The identified proteins were associated with numerous molecular functions, including lipid and cholesterol transport, lipid metabolism, inflammatory response, the complement and coagulation pathway, metal ion metabolism, hemostasis and endopeptidase inhibitory activity. Serum amyloid A, apolipoprotein C (apoC-III) and apolipoprotein A-II (apoA-II) were selected to confirm the proteomics results via western blotting. HDL from the LACI patients exhibited an impaired ability to inhibit the binding of THP-1 cells to endothelial cells compared with the controls (P<0.01). ApoC-III-rich HDL also had a significantly reduced ability to inhibit the binding of THP-1 cells to endothelial cells (P<0.01). The expression of vascular cell adhesion molecule-1 protein by the endothelial cells exhibited a similar pattern of response to the different HDL samples. In conclusion, the present study demonstrates major modifications of the HDL proteome in patients with LACI. The ApoC-III enrichment of the HDL of patients with LACI may cause a reduction in the anti-inflammatory ability of HDL, which may contribute to the progression of the disease.

Introduction

High-density lipoprotein (HDL) particles are particles with a density of 1.063–1.210 g/ml that are composed of proteins and lipids (1). Compared with other lipoproteins, HDL contains a high level of protein. The protein/lipid ratio differs among HDL subpopulations. In the large and light HDL subfraction HDL2, the ratio is 1:2, and in small dense pre-HDL it is 10:1 (2). Apolipoprotein A-I (apoA-I) is the most abundant protein component (3) in HDL particles. ApoA-I constitutes ~70% of the protein content of HDL, followed by apoA-II, which constitutes 15–20% (4). The remaining proteins include apolipoprotein C (apoC-I, apoC-II and apoC-III), apolipoprotein E (apoE), apolipoprotein D (apoD), apolipoprotein M (apoM), apolipoprotein A-IV (apoA-IV) and other proteins that are involved in lipid metabolism, including lecithin:cholesterol acyl transferase and cholesteryl ester transfer protein. Proteomic studies (5–8) have identified ≥75 different proteins that are contained in HDL obtained by ultracentrifugation.

Regarding disease states, HDL proteomic studies have observed substantial changes in HDL in individuals with cardiovascular disease (8–11), diabetes mellitus (DM) (12), chronic kidney disease (13–15) and rheumatoid arthritis (16) in comparison with healthy individuals, while the plasma HDL-cholesterol (HDL-C) did not change markedly (8,9). Disorders such as atherosclerosis and type 2 DM cause a prominent chronic inflammatory state affecting endothelial cells, which induces a proteomic change of HDL with the subsequent impairment of their antiatherogenic, antioxidant and anti-inflammatory functions (17). HDL subpopulations are associated with stroke subtype; a previous study identified that smaller HDL-C particles were associated with a reduced risk of lacunar infarction (LACI) (18).

The biological mechanism underlying the beneficial role of small HDL particles in LACI is not well understood. It is considered that the anti-inflammatory effects of smaller HDL particles (19,20) inhibit angionecrosis or microatheroma formation in cerebral vessels, and thereby reduce the risk of LACI (21,22). Proteomics may be helpful in identifying the molecules associated with HDL that intervene in their inverse association with cerebrovascular disease, as the quantitative measurement of HDL-C level does not explain this satisfactorily (23). Proteomic analysis may drive a shift in the classical classification of HDL subfractions, from the previous physicochemical model towards a novel pattern based on their physiological function and pathophysiological roles (24,25). In the present study, the HDL proteomes in patients with LACI and controls were investigated.

Materials and methods

Ethics statement

The study was approved by the Ethics Committee of Peking University First Hospital (Beijing, China). Written informed consent was provided by all patients and controls.

Subjects and biochemical analysis

The study included 12 patients with LACI (7 males and 5 females, aged 45–69 years old) without any evident large vessel occlusions and 12 control subjects (7 males and 5 females, aged 48–62 years old). The patients and controls were recruited in the Neurology Ward of Peking University First Hospital from January 1, 2015 to March 31, 2015. Exclusion criteria were having infectious, inflammatory or autoimmune disorders, advanced kidney or liver failure, neoplastic disease, and a history of major surgery or trauma within the previous month. Patients with LACI were defined as having lacunar syndrome and signs, and brain neuroimaging evidence of an infarct of size ≤1.5 cm at a typical location (26,27). The patient and control groups were equivalent with regard to sex proportion and age range. Blood samples were drawn into EDTA-coated tubes following an 8-h fast. Fasting blood glucose and creatinine were determined using a Beckman CX5 Automated Analyzer. DM was defined either as records of fasting blood glucose >7.0 mmol/l, post-prandial blood glucose >11.1 mmol/l or used to on anti-diabetic treatments. Hyperlipidemia was defined as abnormally elevated levels of any or all lipids or lipoproteins in the blood and needed treatment with lipid-lowering therapy. The plasma was obtained by centrifugation at 200 × g for 10 min at 15°C, and was reserved at −80°C. All plasma samples underwent 2 freeze/thaw cycles. Measurements of the total cholesterol, HDL-C and triglycerides in the plasma were conducted by biochemical assays using a Beckman CX5 Automated Analyzer (Beckman Coulter, Inc., Brea, CA, USA). The quantification of apoA-II, serum amyloid A (SAA) and apoC-III in the individual HDL samples was conducted by an immunoblotting assay. A sample containing 10 µg total proteins was separated by 10% SDS-PAGE and blotted onto a nitrocellulose membrane. Anti-apoA-II (ab109897), anti-SAA (ab190802) and anti-apoC-III (ab76305) anti-bodies (all from Abcam, Cambridge, UK) were used as the primary antibodies. The primary antibodies were incubated at 4°C overnight. Horseradish peroxidase-conjugated goat anti-rabbit monoclonal antibody (cat. no. sc-2004; Santa Cruz Biotechnology, Inc., Dallas, TX, USA; 1:1,000) was used as the secondary antibody. The secondary antibody was incubated at 25°C for 1 h. Antibody binding was detected using a Super Signal West Pico kit (Pierce; Thermo Fisher Scientific, Inc., Waltham, MA, USA) according to the manufacturer's protocol.

HDL isolation from plasma

HDL particles (density, 1.063–1.21 g/ml) in the plasma were separated by sequential density ultracentrifugation using potassium bromide (KBr) as described previously (28). Briefly, the plasma density was adjusted to 1.3 g/ml with KBr, and normal saline (1.006 g/ml) was layered over the adjusted plasma to form a discontinuous NaCl/KBr density gradient. The tubes loaded with sample and gradient were placed in the P40ST rotor of an ultracentrifuge (model CP70MX; Hitachi, Ltd., Tokyo, Japan) and were centrifuged at 350,000 × g for 3.5 h at 4°C. The HDL layer was collected. The protein concentration was measured in triplicate using a Micro BCA kit (Pierce; Thermo Fisher Scientific, Inc.). The purity of the HDL was evaluated by 12% sodium dodecyl sulfate-polyacrylamide gel electrophoresis (SDS-PAGE) and western blot analysis using goat anti-apoA-I polyclonal antibody (ab64308; Abcam) and quantified through the measurement of apoA-I content by nephelometry (Dimension XPand; Siemens Healthineers, Erlangen, Germany).

Mass spectrometry (MS)

The specific gel band was excised and destained with 25 mM NH4HCO3 in 50% acetonitrile. Proteins were reduced by 10 mM dithiothreitol at 56°C for 30 min and alkylated using 50 mM iodoacetamide at 25°C for 30 min. After drying in 100% acetonitrile, the gel band was digested using sequencing grade trypsin (Promega Corporation, Madison, WI, USA) at 37°C overnight. The extracted peptides were suspended in 0.1% formic acid and subjected to nano liquid chromatography-MS/MS analysis. Peptides were eluted with a linear gradient from 5 to 40% of 100% acetonitrile and 0.1% formic acid at a flow rate of 300 nl/min using a self-made 100 µm × 10 cm reversed-phase C18 fused silica emitter. The data-dependent mass spectra were acquired with an LTQ Orbitrap Elite mass spectrometer equipped with a nano-electrospray ion source (Thermo Fisher Scientific, Inc.). Raw mass spectra files were processed with Proteome Discoverer 1.4 (Thermo Fisher Scientific, Inc.) and searched using the SEQUEST search engine (29) against the human uniprot database (version 2014_02; http://www.uniprot.org/). The precursor ion mass tolerance was set to 10 ppm, and the MS/MS tolerance was 0.02 Da. Relative quantification was based on the ratio of the areas under the reporter peaks. Protein-protein interaction networks of differentially expressed proteins were constructed using STRING 9.1 (http://string-db.org/). The name of each individual protein was given as a query to the STRING database and the corresponding PPI information was retrieved by enabling different prediction methods. The networks were made with a confidence cutoff of 0.4.

THP-1 cell adhesion assay and determination of adhesion molecules by western blot analysis

The method used was as described previously (30). THP-1 monocytic cells were labeled with 3 µg/ml 2′,7′-bis-(2-carboxyethyl)-5-(and-6)-carboxyfluorescein, acetoxymethyl ester at 37°C for 30 min. The labeled cells were washed three times with phosphate-buffered saline (PBS), and were then resuspended in RPMI-1640 (R1640; Gibco, Paisley, UK) containing 0.1% bovine serum albumin (Gibco). The cell suspensions were overlaid (1.5×106 cells/ml, 500 µl/well) on confluent monolayers of human umbilical vein endothelial cells (HUVECs; CRL-1730; ATCC, Manassas, VA, USA) that had been grown in 12-well plates and treated with various types of HCL: HDL from the control group (HDLn), HDL from LACI patients (HDLLI) and HDL with an elevated level of apoC-III [HDL/apoC-III; obtained after incubation of HDL with apoC-III (100 µg/ml; TP306566; Origene, Beijing, China) for 2 h at 37°C]. PBS treatment was used as a negative control. Following incubation for 15 min at 37°C, nonadherent THP-1 monocytic cells were removed by washing five times with prewarmed RPMI-1640 containing 0.1% bovine serum albumin. The number of THP-1 monocytic cells on the HUVECs was counted in four views using fluorescence microscopy at ×100 magnification to determine the number of adhering cells.

Western blot analysis was conducted to investigate the expression of vascular cell adhesion molecule-1 (VCAM-1) by the endothelial cells. The cells were washed twice with cold PBS, and the cytoplasmic proteins were collected using Nucleoprotein Extraction kit (BSP009; Shenggong, Shanghai, China) following the manuals. The proteins were quantified using Protein Quantitative kit (DQ111-01; Transgen Biotech, Beijing, China) following the manuals. A sample containing 30 µg cytoplasmic proteins was separated by 10 or 15% SDS-PAGE and blotted onto a nitrocellulose membrane. Rabbit monoclonal antibody to VCAM-1 (ab134047; 1:1,000; Abcam) was used as the primary antibody and was incubated at 4°C overnight. Horseradish peroxidase-conjugated goat anti-rabbit monoclonal antibody (1:1,000; cat. no. sc-2004; Santa Cruz Biotechnology, Inc.) was used as the secondary antibody and was incubated at 25°C for 1 h. Antibody binding was detected using a Super Signal West Pico kit (Pierce; Thermo Fisher Scientific, Inc.) according to the manufacturer's protocol.

Statistical analysis

Data are presented as the mean ± standard deviation or number (%). Continuous data were analyzed using t-tests, while discrete data were analyzed using Chi-square tests. One-way ANOVA method was used for comparison of multiple groups. P<0.05 was considered to indicate a statistically significant difference. The SPSS 16.0 software package (SPSS, Inc., Chicago, IL, USA) was used for data analysis. Gene Ontology (GO) analysis was conducted using DAVID bioinformatics resources (http://david.abcc.ncifcrf.gov) as described previously (31,32).

Results

Characteristics of the study population

The characteristics of the patients and controls are summarized in Table I. No difference in the proportions of sex, DM and hyperlipidemia was observed between the two groups. In addition, there was no difference in the plasma total cholesterol, triglyceride, HDL-C, fasting blood glucose and serum creatinine levels between the LACI and control subjects.

Table I

Clinical characteristics of study subjects.

Table I

Clinical characteristics of study subjects.

FeaturesLACI patients
(n=12)
control
(n=12)
Age (years)57±655±4
Male, n (%)7 (58.33)7 (58.33)
DM, n (%)3 (25)3 (25)
Hyperlipidemia, n (%)6 (50)4 (33.33)
Total cholesterol (mg/dl)4.16±1.094.30±0.63
Triglyceride (mg/dl)1.65±0.691.70±0.55
HDL cholesterol (mmol/l)1.04±0.241.05±0.37
Fasting blood glucose (mg/dl)5.59±1.416.08±1.71
Creatinine (mg/dl)93.90±14.3290.02±15.17

[i] Data expressed as mean ± standard deviation or number (%). LACI, lacunar infarction; DM, diabetes mellitus; HDL, high-density lipoprotein.

HDL proteomics

Proteins that had a differential expression of ≥1.5-fold or ≤0.67-fold relative in the LACI samples compared with the control samples were considered as differentially expressed. In total, 55 proteins were identified to be differentially expressed in the LACI and control groups (Fig. 1). Among these 55 proteins, 33 were upregulated and 22 were downregulated in the patients with LACI compared with the control subjects. The level of LACI's haptoglobin was less compared to 1/5 of the control subjects.

Figure 1

Relative abundance of proteins identified by MS from the HDL of patients with LACI and healthy controls. Data are from 12 subjects with LACI and 12 controls. The relative abundance of the HDL-associated proteins was assessed as described in Materials and methods. MS, mass spectroscopy; HDL, high-density lipoprotein; LACI, lacunar infarction.

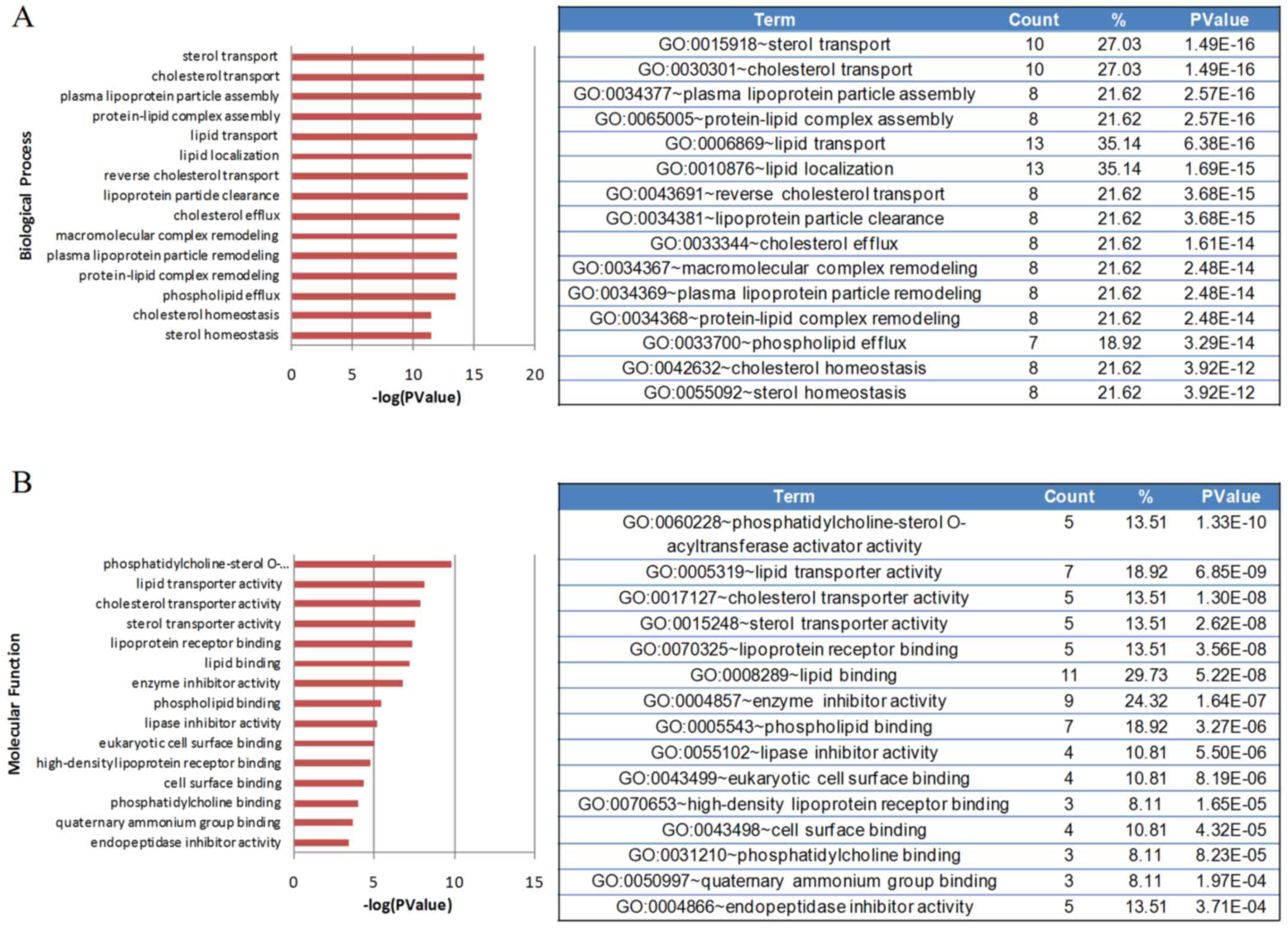
The GO classification system was used to classify the identified proteins into different clusters according to biological processes and molecular functions. Fig. 2 shows the GO categories of the identified proteins. The differentially identified proteins were associated with numerous molecular functions, including lipid and cholesterol metabolism, inflammatory response, the complement and coagulation pathway, hemostasis, metal ion metabolism and endopeptidase inhibitory activity. Proteins associated with lipid/cholesterol transport and metabolism exhibited the most significant changes.

Figure 2

Gene Ontology category enrichments for the differentially expressed proteins in the high-density lipoprotein fraction. (A) Biological process and (B) molecular function of the differentially expressed proteins.

Fig. 3 shows an organic network that graphically depicts statistically significant correlations between identified proteins (nodes) as connecting lines (edges). Long/thin lines indicate weak correlations. Short/thick lines indicate strong correlations; tightly correlated proteins appear in the same color in the network. The differentially expressed proteins formed five different functional clusters, indicating an involvement in lipid metabolism, hemostasis, metal binding, hemoglobin metabolism and inflammatory response.

Figure 3

Functional interaction network based on the String database and Gene Ontology classification. The green nodes correspond to proteins involved in hemostasis. The purple nodes correspond to proteins involved in metal binding. The yellow nodes correspond to proteins involved in lipid metabolism. The red nodes correspond to proteins involved in hemoglobin metabolism. The dark green nodes correspond to proteins involved in inflammatory response.

Biochemical confirmation of the differentially expressed proteins

The expression levels of three proteins identified by MS analysis in the majority of the 12 LACI patients were evaluated by western blot assay to validate the difference observed. SAA (P<0.001) and apoC-III (P= 0.007) were significantly upregulated whereas apoA-II (P=0.002) was significantly downregulated in the LACI patient group compared with the controls in the proteomic analysis. The results of the western blot analysis were in agreement with the MS findings, with the majority of the patients having a decreased level of apoA-II and increased levels of apoC-III and SAA (Fig. 4).

Figure 4

Validation of apoA-II, SAA and apoC-III levels in high-density lipoprotein isolated from control and LACI subjects by western blot analysis. (A) apoA-II, apoC-III and SAA were quantified by western blot analysis. (B) Mass spectometry results of apoA-II, apoC-III and SAA between the patients and controls. **P<0.01 and ***P<0.001 vs. the control by a two-tailed Student's t-test. apoA-II, apolipoprotein A-II; SAA, serum amyloid A; apoC-III, apolipoprotein C-III; LACI, lacunar infarction.

HDL of LACI patients has an increased apoC-III content that impairs its anti-inflammatory function

The treatment of HUVECs with HDLn reduced the binding of THP-1 cells to the HUVECs compared with the PBS-treated controls (Fig. 5). However, HDLLI had an impaired ability to inhibit the binding of THP-1 cells to HUVECs compared with HDLn (P<0.01). HDL/apoC-III also exhibited a significantly reduced ability to inhibit the binding of THP-1 cells to HUVECs compared with HDLn (P<0.01). The expression of VCAM-1 protein exhibited a response to the HDL treatments that paralleled the response of the binding ability. Treatment with HDL/apoC-III induced a significantly higher expression of VCAM-1 compared with HDLn (P<0.001). Treatment with HDLLI induced a significantly higher expression of VCAM-1 compared with HDLn (P<0.05).

Figure 5

HDLLI and HDL/apoC-III have impaired ability to inhibit THP-1 cell adhesion. (A) THP-1 cell adhesion to endothelial cells (cells labeled with 2′,7′-bis-(2-carboxyethyl)-5-(and-6)-carboxyfluorescein, acetoxymethyl ester). (B) Quantification of the THP-1 cell adhesion and (C) VCAM-1 expression of endothelial cells. *P<0.05, **P<0.01 and ***P<0.01 vs. the PBS control ##P<0.01 vs. the PBS control. HDLn, HDL from the control group; HDLLI, HDL from patients with lacunar infarction; HDL/apoC-III, HDL with an elevated content of apolipoproten C-III; VCAM-1, vascular cell adhesion molecule-1.

Discussion

There are ~50 proteins associated with the HDL fraction that have been identified by previous studies using MS methods (5,7,8,13,25,33). In the present study, 55 differentially expressed proteins were identified, which included the majority of the previously identified proteins (19,25–28,30,31). The proteins identified as being associated with HDL are involved in numerous functions, including lipid metabolism, inflammatory response, the complement and coagulation pathway, and endopeptidase inhibitory activity. Several apolipoproteins and enzymes associated with lipid metabolism were detected, including apoA-I, apoA-II, apoC-III, apoA-IV, apoC-I, apoC-II, apoD, apoJ, apoE, apoF, apoL-I, apoM, phospholipid transfer protein and phosphatidylcholine-sterol acyltransferase. Other proteins that are involved in the inflammation response and oxidative pathways were also identified, including serum amyloid A proteins and certain complement components.

There were 55 proteins that were identified to be differentially expressed between the patients and controls in the present study. Among these proteins, three proteins that were differentially expressed in the majority of the 12 LACI patients were further validated using a biochemical method. The results of western blot analysis validated the increase of apoC-III and SAA, as well as the reduction of apoA-II in the HDL fraction of LACI patients compared with the controls.

Another notable finding in the present study was that an increased level of apoC-III in the HDL of LACI patients was associated with an impaired anti-inflammatory function. ApoC-III is a small apolipoprotein that is synthesized mainly in the liver and circulates in the plasma in association with apoB-containing lipoproteins and HDL (35). The main physiological processes that apoC-III is involved in are inhibition of lipoprotein lipase and hepatic lipase, and inhibition of the hepatic uptake of triglyceride-rich particles (34). Furthermore, apoC-III activates β-integrin, protein kinase C β and downstream VCAM-1 in monocytes, which increases the adhesion of monocytes to vascular endothelial cells (35). In the present study, the HDL of LACI patients, with its upregulation of apoC-III, had a reduced ability to inhibit leukocyte binding to endothelial cells. Furthermore, ApoC-III-rich HDL did not inhibit monocyte adhesion to endothelial cells, while the HDL of control subjects decreased the adhesion, suggesting that apoC-III in HDL reduces the anti-inflammatory property of HDL. This phenomenon clearly implies that the apoC-III metabolism is changed in cerebrovacular disease.

In addition to a reverse cholesterol transport function, HDL has other vasculoprotective effects, including antioxidative and anti-inflammatory properties (4,36,37). For instance, HDL attenuates low-density lipoprotein (LDL) oxidation, a critical process in the onset and aggravation of atherosclerotic plaques (38). Metal ions, such as iron or copper, may promote lipid peroxidation in the process of LDL oxidation (39). The present study identified a number of proteins associated with metal ion metabolism. The level of haptoglobin was decreased in the HDL fraction of LACI patients compared with that of the control subjects. Haptoglobin is an acute phase protein. It exclusively binds to hemoglobin and releases it into the plasma during physiological and pathological hemolysis, thereby preventing iron- and heme-mediated oxidative side effects (40,41).

In conclusion, the present study revealed the proteomic changes of HDL in patients with LACI. There were 55 proteins that were identified to be quantitatively different between the patients with LACI and the control group, which were mainly associated with the processes of lipid metabolism, the inflammatory response, metal ion homeostasis, and the complement pathway. The expression levels of apoA-II, apoC-III and SAA were validated biochemically, and the results were consistent with the MS data. The ApoC-III enrichment of the HDL in patients with LACI may reduce the adhesion of THP-1 to endothelial cells, and thereby decrease the anti-inflammatory effect of HDL. Future studies with a larger number of subjects are required to determine whether the identified proteins are suitable and relevant risk biomarkers. Furthermore, the underlying mechanism of the apoC-III mediated HDL dysfunction requires elucidation.

References

1 

Havel RJ, Eder HA and Bragdon JH: The distribution and chemical composition of ultracentrifugally separated lipoproteins in human serum. J Clin Invest. 34:1345–1353. 1955. View Article : Google Scholar : PubMed/NCBI

2 

Kontush A and Chapman MJ: Antiatherogenic small, dense HDL–guardian angel of the arterial wall. Nat Clin Pract Cardiovasc Med. 3:144–153. 2006. View Article : Google Scholar : PubMed/NCBI

3 

Davidson WS and Thompson TB: The structure of apolipoprotein A-I in high density lipoproteins. J Biol Chem. 282:22249–22253. 2007. View Article : Google Scholar : PubMed/NCBI

4 

Kontush A and Chapman MJ: Functionally defective high-density lipoprotein: A new therapeutic target at the crossroads of dyslipidemia, inflammation, and atherosclerosis. Pharmacol Rev. 58:342–374. 2006. View Article : Google Scholar : PubMed/NCBI

5 

Karlsson H, Leanderson P, Tagesson C and Lindahl M: Lipoproteomics II: Mapping of proteins in high-density lipoprotein using two-dimensional gel electrophoresis and mass spectrometry. Proteomics. 5:1431–1445. 2005. View Article : Google Scholar : PubMed/NCBI

6 

Heller M, Stalder D, Schlappritzi E, Hayn G, Matter U and Haeberli A: Mass spectrometry-based analytical tools for the molecular protein characterization of human plasma lipoproteins. Proteomics. 5:2619–2630. 2005. View Article : Google Scholar : PubMed/NCBI

7 

Rezaee F, Casetta B, Levels JH, Speijer D and Meijers JC: Proteomic analysis of high-density lipoprotein. Proteomics. 6:721–730. 2006. View Article : Google Scholar : PubMed/NCBI

8 

Vaisar T, Pennathur S, Green PS, Gharib SA, Hoofnagle AN, Cheung MC, Byun J, Vuletic S, Kassim S, Singh P, et al: Shotgun proteomics implicates protease inhibition and complement activation in the antiinflammatory properties of HDL. J Clin Invest. 117:746–756. 2007. View Article : Google Scholar : PubMed/NCBI

9 

Tan Y, Liu TR, Hu SW, Tian D, Li C, Zhong JK, Sun HG, Luo TT, Lai WY and Guo ZG: Acute coronary syndrome remodels the protein cargo and functions of high-density lipoprotein subfractions. PLoS One. 9:e942642014. View Article : Google Scholar : PubMed/NCBI

10 

Yan LR, Wang DX, Liu H, Zhang XX, Zhao H, Hua L, Xu P and Li YS: A pro-atherogenic HDL profile in coronary heart disease patients: An iTRAQ labelling-based proteomic approach. PLoS One. 9:e983682014. View Article : Google Scholar : PubMed/NCBI

11 

Lepedda AJ, Nieddu G, Zinellu E, De Muro P, Piredda F, Guarino A, Spirito R, Carta F, Turrini F and Formato M: Proteomic analysis of plasma-purified VLDL, LDL, and HDL fractions from atherosclerotic patients undergoing carotid endarterectomy: Identification of serum amyloid A as a potential marker. Oxid Med Cell Longev. 385214:2013. View Article : Google Scholar

12 

Ståhlman M, Fagerberg B, Adiels M, Ekroos K, Chapman JM, Kontush A and Borén J: Dyslipidemia, but not hyperglycemia and insulin resistance, is associated with marked alterations in the HDL lipidome in type 2 diabetic subjects in the DIWA cohort: Impact on small HDL particles. Biochim Biophys Acta. 1831:1609–1617. 2013. View Article : Google Scholar : PubMed/NCBI

13 

Holzer M, Birner-Gruenberger R, Stojakovic T, El-Gamal D, Binder V, Wadsack C, Heinemann A and Marsche G: Uremia alters HDL composition and function. J Am Soc Nephrol. 22:1631–1641. 2011. View Article : Google Scholar : PubMed/NCBI

14 

Mangé A, Goux A, Badiou S, Patrier L, Canaud B, Maudelonde T, Cristol JP and Solassol J: HDL proteome in hemodialysis patients: A quantitative nanoflow liquid chromatography-tandem mass spectrometry approach. PLoS One. 7:e341072012. View Article : Google Scholar : PubMed/NCBI

15 

Kopecky C, Genser B, Drechsler C, Krane V, Kaltenecker CC, Hengstschläger M, März W, Wanner C, Säemann MD and Weichhart T: Quantification of HDL proteins, cardiac events, and mortality in patients with type 2 diabetes on hemodialysis. Clin J Am Soc Nephrol. 10:224–231. 2015. View Article : Google Scholar :

16 

Watanabe J, Charles-Schoeman C, Miao Y, Elashoff D, Lee YY, Katselis G, Lee TD and Reddy ST: Proteomic profiling following immunoaffinity capture of high-density lipoprotein: Association of acute-phase proteins and complement factors with proinflammatory high-density lipoprotein in rheumatoid arthritis. Arthritis Rheum. 64:1828–1837. 2012. View Article : Google Scholar : PubMed/NCBI

17 

Chait A, Han CY, Oram JF and Heinecke JW: Thematic review series: The immune system and atherogenesis. Lipoprotein-associated inflammatory proteins: Markers or mediators of cardiovascular disease. J Lipid Res. 46:389–403. 2005. View Article : Google Scholar : PubMed/NCBI

18 

Chei CL, Yamagishi K, Kitamura A, Kiyama M, Imano H, Ohira T, Cui R, Tanigawa T, Sankai T, Ishikawa Y, et al: CIRCS Investigators: High-density lipoprotein subclasses and risk of stroke and its subtypes in Japanese population: The Circulatory Risk in Communities Study. Stroke. 44:327–333. 2013. View Article : Google Scholar : PubMed/NCBI

19 

Ashby DT, Rye KA, Clay MA, Vadas MA, Gamble JR and Barter PJ: Factors influencing the ability of HDL to inhibit expression of vascular cell adhesion molecule-1 in endothelial cells. Arterioscler Thromb Vasc Biol. 18:1450–1455. 1998. View Article : Google Scholar : PubMed/NCBI

20 

Barter PJ, Nicholls S, Rye KA, Anantharamaiah GM, Navab M and Fogelman AM: Antiinflammatory properties of HDL. Circ Res. 95:764–772. 2004. View Article : Google Scholar : PubMed/NCBI

21 

Fisher CM: The arterial lesions underlying lacunes. Acta Neuropathol. 12:1–15. 1968. View Article : Google Scholar : PubMed/NCBI

22 

Ogata J, Yamanishi H and Ishibashi-Ueda H: Review: Role of cerebral vessels in ischaemic injury of the brain. Neuropathol Appl Neurobiol. 37:40–55. 2011. View Article : Google Scholar

23 

Sorci-Thomas MG and Thomas MJ: Why targeting HDL should work as a therapeutic tool, but has not. J Cardiovasc Pharmacol. 62:239–246. 2013. View Article : Google Scholar : PubMed/NCBI

24 

Hsieh JY, Chang CT, Huang MT, Chang CM, Chen CY, Shen MY, Liao HY, Wang GJ, Chen CH, Chen CJ, et al: Biochemical and functional characterization of charge-defined subfractions of high-density lipoprotein from normal adults. Anal Chem. 85:11440–11448. 2013. View Article : Google Scholar : PubMed/NCBI

25 

Davidson WS, Silva RA, Chantepie S, Lagor WR, Chapman MJ and Kontush A: Proteomic analysis of defined HDL subpopulations reveals particle-specific protein clusters: Relevance to antioxidative function. Arterioscler Thromb Vasc Biol. 29:870–876. 2009. View Article : Google Scholar : PubMed/NCBI

26 

Patel B and Markus HS: Magnetic resonance imaging in cerebral small vessel disease and its use as a surrogate disease marker. Int J Stroke. 6:47–59. 2011. View Article : Google Scholar : PubMed/NCBI

27 

Turin TC, Kita Y, Rumana N, Nakamura Y, Takashima N, Ichikawa M, Sugihara H, Morita Y, Hirose K, Okayama A, et al: Ischemic stroke subtypes in a Japanese population: Takashima Stroke Registry, 1988–2004. Stroke. 41:1871–1876. 2010. View Article : Google Scholar : PubMed/NCBI

28 

Liu D, Ji L, Tong X, Pan B, Han JY, Huang Y, Chen YE, Pennathur S, Zhang Y and Zheng L: Human apolipoprotein A-I induces cyclooxygenase-2 expression and prostaglandin I-2 release in endothelial cells through ATP-binding cassette transporter A1. Am J Physiol Cell Physiol. 301:C739–C748. 2011. View Article : Google Scholar : PubMed/NCBI

29 

Eng JK, McCormack AL and Yates JR: An approach to correlate tandem mass spectral data of peptides with amino acid sequences in a protein database. J Am Soc Mass Spectrom. 5:976–989. 1994. View Article : Google Scholar : PubMed/NCBI

30 

Kimura T, Tomura H, Mogi C, Kuwabara A, Damirin A, Ishizuka T, Sekiguchi A, Ishiwara M, Im DS, Sato K, et al: Role of scavenger receptor class B type I and sphingosine 1-phosphate receptors in high density lipoprotein-induced inhibition of adhesion molecule expression in endothelial cells. J Biol Chem. 281:37457–37467. 2006. View Article : Google Scholar : PubMed/NCBI

31 

Huang W, Sherman BT and Lempicki RA: Bioinformatics enrichment tools: Paths toward the comprehensive functional analysis of large gene lists. Nucleic Acids Res. 37:1–13. 2009. View Article : Google Scholar :

32 

Franceschini A, Szklarczyk D, Frankild S, Kuhn M, Simonovic M, Roth A, Lin J, Minguez P, Bork P, von Mering C, et al: STRING v9.1: Protein-protein interaction networks, with increased coverage and integration. Nucleic Acids Res. 41:D808–D815. 2013. View Article : Google Scholar :

33 

Gordon SM, Deng J, Lu LJ and Davidson WS: Proteomic characterization of human plasma high density lipoprotein fractionated by gel filtration chromatography. J Proteome Res. 9:5239–5249. 2010. View Article : Google Scholar : PubMed/NCBI

34 

Bernelot Moens SJ, van Capelleveen JC and Stroes ESG: Inhibition of ApoCIII: The next CSK9? Curr Opin Lipidol. 25:418–422. 2014. View Article : Google Scholar : PubMed/NCBI

35 

Kawakami A and Yoshida M: Apolipoprotein CIII links dyslipidemia with atherosclerosis. J Atheroscler Thromb. 16:6–11. 2009. View Article : Google Scholar : PubMed/NCBI

36 

Feig JE, Shamir R and Fisher EA: Atheroprotective effects of HDL: Beyond reverse cholesterol transport. Curr Drug Targets. 9:196–203. 2008. View Article : Google Scholar : PubMed/NCBI

37 

Ansell BJ, Fonarow GC and Fogelman AM: The paradox of dysfunctional high-density lipoprotein. Curr Opin Lipidol. 18:427–434. 2007. View Article : Google Scholar : PubMed/NCBI

38 

Watson AD, Berliner JA, Hama SY, La Du BN, Faull KF, Fogelman AM and Navab M: Protective effect of high density lipoprotein associated paraoxonase. Inhibition of the biological activity of minimally oxidized low density lipoprotein. J Clin Invest. 96:2882–2891. 1995. View Article : Google Scholar : PubMed/NCBI

39 

Blokhina O, Virolainen E and Fagerstedt KV: Antioxidants, oxidative damage and oxygen deprivation stress: A review. Ann Bot (Lond). 91:179–194. 2003. View Article : Google Scholar

40 

Katoh N and Nakagawa H: Detection of haptoglobin in the high-density lipoprotein and the very high-density lipoprotein fractions from sera of calves with experimental pneumonia and cows with naturally occurring fatty liver. J Vet Med Sci. 61:119–124. 1999. View Article : Google Scholar : PubMed/NCBI

41 

Nielsen MJ, Petersen SV, Jacobsen C, Oxvig C, Rees D, Møller HJ and Moestrup SK: Haptoglobin-related protein is a high-affinity hemoglobin-binding plasma protein. Blood. 108:2846–2849. 2006. View Article : Google Scholar : PubMed/NCBI

Related Articles

  • Abstract
  • View
  • Download
  • Twitter
Copy and paste a formatted citation
Spandidos Publications style
Lv P, Zhao M, Liu Y, Jin H, Cui W, Fan C, Teng Y, Zheng L and Huang Y: Apolipoprotein C-III in the high-density lipoprotein proteome of cerebral lacunar infarction patients impairs its anti-inflammatory function. Int J Mol Med 41: 61-68, 2018.
APA
Lv, P., Zhao, M., Liu, Y., Jin, H., Cui, W., Fan, C. ... Huang, Y. (2018). Apolipoprotein C-III in the high-density lipoprotein proteome of cerebral lacunar infarction patients impairs its anti-inflammatory function. International Journal of Molecular Medicine, 41, 61-68. https://doi.org/10.3892/ijmm.2017.3216
MLA
Lv, P., Zhao, M., Liu, Y., Jin, H., Cui, W., Fan, C., Teng, Y., Zheng, L., Huang, Y."Apolipoprotein C-III in the high-density lipoprotein proteome of cerebral lacunar infarction patients impairs its anti-inflammatory function". International Journal of Molecular Medicine 41.1 (2018): 61-68.
Chicago
Lv, P., Zhao, M., Liu, Y., Jin, H., Cui, W., Fan, C., Teng, Y., Zheng, L., Huang, Y."Apolipoprotein C-III in the high-density lipoprotein proteome of cerebral lacunar infarction patients impairs its anti-inflammatory function". International Journal of Molecular Medicine 41, no. 1 (2018): 61-68. https://doi.org/10.3892/ijmm.2017.3216
Copy and paste a formatted citation
x
Spandidos Publications style
Lv P, Zhao M, Liu Y, Jin H, Cui W, Fan C, Teng Y, Zheng L and Huang Y: Apolipoprotein C-III in the high-density lipoprotein proteome of cerebral lacunar infarction patients impairs its anti-inflammatory function. Int J Mol Med 41: 61-68, 2018.
APA
Lv, P., Zhao, M., Liu, Y., Jin, H., Cui, W., Fan, C. ... Huang, Y. (2018). Apolipoprotein C-III in the high-density lipoprotein proteome of cerebral lacunar infarction patients impairs its anti-inflammatory function. International Journal of Molecular Medicine, 41, 61-68. https://doi.org/10.3892/ijmm.2017.3216
MLA
Lv, P., Zhao, M., Liu, Y., Jin, H., Cui, W., Fan, C., Teng, Y., Zheng, L., Huang, Y."Apolipoprotein C-III in the high-density lipoprotein proteome of cerebral lacunar infarction patients impairs its anti-inflammatory function". International Journal of Molecular Medicine 41.1 (2018): 61-68.
Chicago
Lv, P., Zhao, M., Liu, Y., Jin, H., Cui, W., Fan, C., Teng, Y., Zheng, L., Huang, Y."Apolipoprotein C-III in the high-density lipoprotein proteome of cerebral lacunar infarction patients impairs its anti-inflammatory function". International Journal of Molecular Medicine 41, no. 1 (2018): 61-68. https://doi.org/10.3892/ijmm.2017.3216
Follow us
  • Twitter
  • LinkedIn
  • Facebook
About
  • Spandidos Publications
  • Careers
  • Cookie Policy
  • Privacy Policy
How can we help?
  • Help
  • Live Chat
  • Contact
  • Email to our Support Team