Spandidos Publications Logo
  • About
    • About Spandidos
    • Aims and Scopes
    • Abstracting and Indexing
    • Editorial Policies
    • Reprints and Permissions
    • Job Opportunities
    • Terms and Conditions
    • Contact
  • Journals
    • All Journals
    • Oncology Letters
      • Oncology Letters
      • Information for Authors
      • Editorial Policies
      • Editorial Board
      • Aims and Scope
      • Abstracting and Indexing
      • Bibliographic Information
      • Archive
    • International Journal of Oncology
      • International Journal of Oncology
      • Information for Authors
      • Editorial Policies
      • Editorial Board
      • Aims and Scope
      • Abstracting and Indexing
      • Bibliographic Information
      • Archive
    • Molecular and Clinical Oncology
      • Molecular and Clinical Oncology
      • Information for Authors
      • Editorial Policies
      • Editorial Board
      • Aims and Scope
      • Abstracting and Indexing
      • Bibliographic Information
      • Archive
    • Experimental and Therapeutic Medicine
      • Experimental and Therapeutic Medicine
      • Information for Authors
      • Editorial Policies
      • Editorial Board
      • Aims and Scope
      • Abstracting and Indexing
      • Bibliographic Information
      • Archive
    • International Journal of Molecular Medicine
      • International Journal of Molecular Medicine
      • Information for Authors
      • Editorial Policies
      • Editorial Board
      • Aims and Scope
      • Abstracting and Indexing
      • Bibliographic Information
      • Archive
    • Biomedical Reports
      • Biomedical Reports
      • Information for Authors
      • Editorial Policies
      • Editorial Board
      • Aims and Scope
      • Abstracting and Indexing
      • Bibliographic Information
      • Archive
    • Oncology Reports
      • Oncology Reports
      • Information for Authors
      • Editorial Policies
      • Editorial Board
      • Aims and Scope
      • Abstracting and Indexing
      • Bibliographic Information
      • Archive
    • Molecular Medicine Reports
      • Molecular Medicine Reports
      • Information for Authors
      • Editorial Policies
      • Editorial Board
      • Aims and Scope
      • Abstracting and Indexing
      • Bibliographic Information
      • Archive
    • World Academy of Sciences Journal
      • World Academy of Sciences Journal
      • Information for Authors
      • Editorial Policies
      • Editorial Board
      • Aims and Scope
      • Abstracting and Indexing
      • Bibliographic Information
      • Archive
    • International Journal of Functional Nutrition
      • International Journal of Functional Nutrition
      • Information for Authors
      • Editorial Policies
      • Editorial Board
      • Aims and Scope
      • Abstracting and Indexing
      • Bibliographic Information
      • Archive
    • International Journal of Epigenetics
      • International Journal of Epigenetics
      • Information for Authors
      • Editorial Policies
      • Editorial Board
      • Aims and Scope
      • Abstracting and Indexing
      • Bibliographic Information
      • Archive
    • Medicine International
      • Medicine International
      • Information for Authors
      • Editorial Policies
      • Editorial Board
      • Aims and Scope
      • Abstracting and Indexing
      • Bibliographic Information
      • Archive
  • Articles
  • Information
    • Information for Authors
    • Information for Reviewers
    • Information for Librarians
    • Information for Advertisers
    • Conferences
  • Language Editing
Spandidos Publications Logo
  • About
    • About Spandidos
    • Aims and Scopes
    • Abstracting and Indexing
    • Editorial Policies
    • Reprints and Permissions
    • Job Opportunities
    • Terms and Conditions
    • Contact
  • Journals
    • All Journals
    • Biomedical Reports
      • Information for Authors
      • Editorial Policies
      • Editorial Board
      • Aims and Scope
      • Abstracting and Indexing
      • Bibliographic Information
      • Archive
    • Experimental and Therapeutic Medicine
      • Information for Authors
      • Editorial Policies
      • Editorial Board
      • Aims and Scope
      • Abstracting and Indexing
      • Bibliographic Information
      • Archive
    • International Journal of Epigenetics
      • Information for Authors
      • Editorial Policies
      • Editorial Board
      • Aims and Scope
      • Abstracting and Indexing
      • Bibliographic Information
      • Archive
    • International Journal of Functional Nutrition
      • Information for Authors
      • Editorial Policies
      • Editorial Board
      • Aims and Scope
      • Abstracting and Indexing
      • Bibliographic Information
      • Archive
    • International Journal of Molecular Medicine
      • Information for Authors
      • Editorial Policies
      • Editorial Board
      • Aims and Scope
      • Abstracting and Indexing
      • Bibliographic Information
      • Archive
    • International Journal of Oncology
      • Information for Authors
      • Editorial Policies
      • Editorial Board
      • Aims and Scope
      • Abstracting and Indexing
      • Bibliographic Information
      • Archive
    • Medicine International
      • Information for Authors
      • Editorial Policies
      • Editorial Board
      • Aims and Scope
      • Abstracting and Indexing
      • Bibliographic Information
      • Archive
    • Molecular and Clinical Oncology
      • Information for Authors
      • Editorial Policies
      • Editorial Board
      • Aims and Scope
      • Abstracting and Indexing
      • Bibliographic Information
      • Archive
    • Molecular Medicine Reports
      • Information for Authors
      • Editorial Policies
      • Editorial Board
      • Aims and Scope
      • Abstracting and Indexing
      • Bibliographic Information
      • Archive
    • Oncology Letters
      • Information for Authors
      • Editorial Policies
      • Editorial Board
      • Aims and Scope
      • Abstracting and Indexing
      • Bibliographic Information
      • Archive
    • Oncology Reports
      • Information for Authors
      • Editorial Policies
      • Editorial Board
      • Aims and Scope
      • Abstracting and Indexing
      • Bibliographic Information
      • Archive
    • World Academy of Sciences Journal
      • Information for Authors
      • Editorial Policies
      • Editorial Board
      • Aims and Scope
      • Abstracting and Indexing
      • Bibliographic Information
      • Archive
  • Articles
  • Information
    • For Authors
    • For Reviewers
    • For Librarians
    • For Advertisers
    • Conferences
  • Language Editing
Login Register Submit
  • This site uses cookies
  • You can change your cookie settings at any time by following the instructions in our Cookie Policy. To find out more, you may read our Privacy Policy.

    I agree
Search articles by DOI, keyword, author or affiliation
Search
Advanced Search
presentation
International Journal of Molecular Medicine
Join Editorial Board Propose a Special Issue
Print ISSN: 1107-3756 Online ISSN: 1791-244X
Journal Cover
August-2019 Volume 44 Issue 2

Full Size Image

Sign up for eToc alerts
Recommend to Library

Journals

International Journal of Molecular Medicine

International Journal of Molecular Medicine

International Journal of Molecular Medicine is an international journal devoted to molecular mechanisms of human disease.

International Journal of Oncology

International Journal of Oncology

International Journal of Oncology is an international journal devoted to oncology research and cancer treatment.

Molecular Medicine Reports

Molecular Medicine Reports

Covers molecular medicine topics such as pharmacology, pathology, genetics, neuroscience, infectious diseases, molecular cardiology, and molecular surgery.

Oncology Reports

Oncology Reports

Oncology Reports is an international journal devoted to fundamental and applied research in Oncology.

Experimental and Therapeutic Medicine

Experimental and Therapeutic Medicine

Experimental and Therapeutic Medicine is an international journal devoted to laboratory and clinical medicine.

Oncology Letters

Oncology Letters

Oncology Letters is an international journal devoted to Experimental and Clinical Oncology.

Biomedical Reports

Biomedical Reports

Explores a wide range of biological and medical fields, including pharmacology, genetics, microbiology, neuroscience, and molecular cardiology.

Molecular and Clinical Oncology

Molecular and Clinical Oncology

International journal addressing all aspects of oncology research, from tumorigenesis and oncogenes to chemotherapy and metastasis.

World Academy of Sciences Journal

World Academy of Sciences Journal

Multidisciplinary open-access journal spanning biochemistry, genetics, neuroscience, environmental health, and synthetic biology.

International Journal of Functional Nutrition

International Journal of Functional Nutrition

Open-access journal combining biochemistry, pharmacology, immunology, and genetics to advance health through functional nutrition.

International Journal of Epigenetics

International Journal of Epigenetics

Publishes open-access research on using epigenetics to advance understanding and treatment of human disease.

Medicine International

Medicine International

An International Open Access Journal Devoted to General Medicine.

Journal Cover
August-2019 Volume 44 Issue 2

Full Size Image

Sign up for eToc alerts
Recommend to Library

  • Article
  • Citations
    • Cite This Article
    • Download Citation
    • Create Citation Alert
    • Remove Citation Alert
    • Cited By
  • Similar Articles
    • Related Articles (in Spandidos Publications)
    • Similar Articles (Google Scholar)
    • Similar Articles (PubMed)
  • Download PDF
  • Download XML
  • View XML
Article

Protective effect of nicorandil on collapse‑induced lung injury in rabbits by inhibiting apoptosis

  • Authors:
    • Chunguang Wang
    • Honggang Ke
    • Xingguo Xu
    • Junjie Chen
    • Dongyun Sun
    • Fuhai Ji
  • View Affiliations / Copyright

    Affiliations: Department of Anesthesiology, The First Affiliated Hospital of Soochow University, Suzhou, Jiangsu 215006, P.R. China, Department of Cardiothoracic Surgery, The Affiliated Hospital of Nantong University, Nantong, Jiangsu 226001, P.R. China, Department of Anesthesiology, The Affiliated Hospital of Nantong University, Nantong, Jiangsu 226001, P.R. China, Department of Ophthalmic Operating Room, The Affiliated Hospital of Nantong University, Nantong, Jiangsu 226001, P.R. China
  • Pages: 725-736
    |
    Published online on: June 6, 2019
       https://doi.org/10.3892/ijmm.2019.4236
  • Expand metrics +
Metrics: Total Views: 0 (Spandidos Publications: | PMC Statistics: )
Metrics: Total PDF Downloads: 0 (Spandidos Publications: | PMC Statistics: )
Cited By (CrossRef): 0 citations Loading Articles...

This article is mentioned in:



Abstract

The one‑lung ventilation (OLV) technique is vital in thoracic surgery. However, it can result in severe lung injury, which is difficult to manage. The main solution at present is the use of ventilation strategies, including continuous positive oxygen pressure, low tidal volume and high frequency ventilation, and the administering of drugs, including phenylephrine, dexmedetomidine and morphine. However, the protective effect of these methods on the lungs is not sufficient to improve the prognosis of patients. Therefore, how to develop a novel protective drug remains an open question. Nicorandil, a mitochondrial (mito)KATP‑specific opener, serves an important role in cardioprotection, although its effect on lung injury remains unclear. The present study examined the protective role of nicorandil against collapse‑induced lung injury in rabbits undergoing OLV. Changes in arterial oxygen saturation (SaO2), arterial partial pressure for oxygen (PaO2), wet/dry weight ratio, and the microstructure of tissues and cells were observed. Enzyme‑linked immunosorbent assays were used to determine the concentrations of malondialdehyde (MDA) and tumor necrosis factor (TNF)‑α, and the activity of superoxide dismutase (SOD) in rabbits treated with nicorandil. Terminal deoxynucleotidyl transferase transfer‑mediated dUTP nick end‑labeling was used to detect apoptosis and western blotting was used to analyze the relative proteins involved in apoptosis. Western blotting and reverse transcription‑quantitative polymerase chain reaction analysis were used to examine the expression of hypoxia inducible factor 1α (HIF‑1α), phosphatidylinositol‑3‑kinase (PI3K), protein kinase B (Akt) and nuclear factor (NF)‑κB in the lungs of rabbits treated with nicorandil. The SaO2 and PaO2 in the high‑dose group were significantly higher than those in the control group in the process of OLV. The wet/dry weight ratio, and the concentrations of MDA and TNF‑α in the collapsed lung of the high‑dose group were significantly lower than those in the control group. The activity of SOD in the high‑dose group was significantly higher than that in the control group. The lung had improved microstructure and less apoptosis, which was determined by the Bax/Bcl2 ratio in the high‑dose group. The expression levels of PI3K, phosphorylated Akt and HIF‑1α were upregulated, whereas the expression of NF‑κB was downregulated. In conclusion, nicorandil had a protective effect via inhibiting apoptosis in non‑ventilated lung collapsed and re‑expansion during OLV in the rabbit. It acted on mitoKATP through the PI3K/Akt signaling pathway.

Introduction

Evidence (1,2) shows that mitochondria are the main target following ischemia/reperfusion (I/R), and the mitochondrial ATP-sensitive potassium channels (mitoKATP) are located in the mitochondrial inner membrane of important organs, including the heart, brain and lungs, serving an important role in the lung following I/R injury. The mitochondria, which generate reactive oxygen species as a key medium (3), are the triggering factor and end effector of I/R injury. I/R lung injury is a typical manifestation of one-lung ventilation (OLV).

OLV has been widely used in thoracic surgery anesthesia (4). It can prevent secretions and blood from the lung undergoing surgery from flowing into the contralateral lung, ensuring the patency of airways and collapse of the lung undergoing surgery without cross-infection and proliferation of lesions. With the extensive application of thoracoscopic surgical techniques, OLV technique, which facilitates the visual development of thoracic surgery and makes surgery easier to perform, has become essential. However, the inhibition of hypoxemic pulmonary vasoconstriction (HPV), hypoxemia, generation of oxygen free radicals, ischemia/reperfusion (I/R) injury (5) and inflammatory reactions (6) may occur during OLV, and are mainly found in the lung being operated on, leading to lung injury, which is difficult to manage. Current solutions are continuous positive airway pressure and low-flow oxygen insufflation (7,8), which can reduce the accumulation of inflammatory cytokines and moisture, improve oxygenation and reduce lung injury. There is a reasonable selection of anesthetic or vasoactive drugs to protect the lungs, including dexmedetomidine, isoflurane (9,10), morphine and phenylephrine (11). Protective ventilation strategies, including low tidal volume and high frequency ventilation, represent other ways to reduce lung injury (7,8).

To date, the protective effect of these methods on the lungs is far from ideal. Therefore, the investigation of novel types of protective drug has become important. According to the basic principles of cell and tissue protection, concern lies on the focal point of oxidative stress, the mitochondria, and it is reasonable to focus on its KATP agonists.

Nicorandil, a Food and Drug Administration-approved mitoKATP-specific opener, activates the opening of the mito-KATP to protect cells. In the context of cardiology, several reports (12,13) have highlighted the key function in protecting the heart (14). However, only one study (15) has focused on the reduction of lung injury caused by cyclophosphamide. In the present study, a mature rabbit OLV model was used to investigate the protective effect of nicorandil on lung injury and to examine its mechanisms.

Materials and methods

Animals and groups

A total of 36 healthy three month-old male Japanese big-ear white rabbits weighing 2.6-3.2 kg were provided by the Laboratory Animal Center of Nantong University (Nantong, China). The animals were raised under controlled environmental conditions of a constant temperature (25±2°C) and a 12/12 h light/dark cycle. Food for the rabbits was provided by Pizhou Dongfang Breeding Co., Ltd. (Xuzhou, China), which was available ad libitum with water. The physiological status of male animals without fixed physiological cycle is more stable than that of female animals, and the difference between individuals is smaller. (16) The hormone levels in the body are stable and enzyme activity is relatively stable. The investigation was approved by the Ethics Committee for Animal Experimentation of Nantong University. The rabbits were randomly divided into six groups (n=6). Group 1 served as the sham group. Group 2 served as the control group. Groups 3 and 4 served as the high-dose and low-dose nicorandil groups, respectively. Group 5 served as the high-dose nicorandil + glibenclamide group (injected for 1 h at 22°C; 99%; cat. no. G0639; Sigma-Aldrich; Merck KGaA, Darmstadt, Germany). LY294002 (injected for 1 h at 22°C; 98%; cat. no. L9908; Sigma-Aldrich; Merck KGaA) was applied with a high dose of nicorandil for examining its signaling pathway in group 6 rabbits (Fig. 1).

Figure 1

Experimental grouping, schematic of the establishment protocol and the effect of nicorandil on lung oxygenation and water accumulation in a rabbit with collapse-induced lung injury. (A) Experimental grouping and schematic of the model establishment process. (B) Effect of nicorandil on SaO2 via arterial blood gas analysis. (C) Effect of nicorandil on PaO2 via arterial blood gas analysis. (D) Effect of nicorandil on the W/D weight ratio of lung was measured using an electronic balance. *P<0.05 and **P<0.01 vs. control group; #P<0.05 and ##P<0.01 vs. glibenclamide group. OLV, one-lung ventilation; SaO2, arterial oxygen saturation; PaO2, arterial partial pressure for oxygen; W/D ratio, wet/dry weight ratio.

Rabbit OLV model establishment

A rabbit OLV model was established, as previously described (17,18). Nicorandil is a mature drug used in cardiovascular medicine, with an advised usual dose of 2 mg/h in the specifications (19). The conventional dose for rabbits was then calculated as a high dose (100 µg/kg·h), half of which was defined as a low dose, according to the rabbit body and human body surface area conversion formula. The rabbits were induced with 2% odium pentobarbital (20 mg/kg), (20) and then maintained under 10% propofol (5 mg/kg·h), 2% sodium pentobarbital (4 mg/kg) each for 30 min, and vecuronium bromide (0.25 mg/kg·h) (21,22). Following induction, the right common carotid artery was cannulated to monitor arterial blood pressure and arterial blood samples were collected. Tracheotomy and a self-made double-lumen endotracheal tube were used for mechanical ventilation. The parameters were as follows: FiO2, 1.0; RR, 40 bpm; VT, 10 ml/kg. Auscultation was used to adjust the position of the endotracheal tube. The animal was adjusted into a right lateral position, and the left lumen was closed to establish the rabbit OLV model; thoracotomy was performed to directly observe whether the left lung had collapsed. At 1 h post-OLV, both lungs were ventilated for 30 min. The rabbits were under anesthesia with propofol and sodium pentobarbital. At the end of each experiment, the animals were sacrificed by injection of a lethal dose of pentobarbital sodium (23). In the absence of mechanical ventilation, 100 mg/kg sodium pentobarbital was injected through the ear vein. No respiratory motion, no heartbeat and no detectable SPO2 were observed in the rabbit, which confirmed the rabbit had died. The operated lung was rapidly excised and washed with ice-cold saline. One part was dried and weighed, the other was preserved at −80°C. Changes in SaO2 and PaO2 were observed in the perioperative period. Following surgery, the wet/dry ratio was measured. Changes of the micro-structure of the lung tissues were observed by hematoxylin and eosin (H&E) staining and transmission electron microscopy. The concentrations of malondialdehyde (MDA; cat. no. S0131; Beyotime Institute of Biotechnology, Haimen, China) and tumor necrosis factor-α (TNF-α; cat. no. PT512; Beyotime Institute of Biotechnology) and the activity of superoxide dismutase (SOD; cat. no. S0101; Beyotime Institute of Biotechnology) were measured by ELISA. Terminal deoxynucleotidyl transferase transfer-mediated dUTP nick end-labeling (TUNEL) was used to observe the apoptosis of lung tissues. The expression of phosphatidylinositol-3-kinase (PI3K), protein kinase B (Akt), phosphorylated (p-)Akt, nuclear factor-κB (NF-κB) and hypoxia-inducible factor 1α (HIF-1α) were detected by western blotting. Reverse transcription-quantitative polymerase chain reaction (RT-qPCR) analysis was used to detect the transcription of HIF-1α mRNA in lung tissues. The expression of downstream proteins Bax, Bcl2 and caspase-3 were detected by western blotting.

Wet/dry (W/D) weight ratio

Following collection, the operated lung was weighed for its wet weight, and then placed in an oven (80°C, 48 h), and heated to a constant weight. In the following day, the dry weight was determined and the W/D weight ratio of the lung was calculated.

Measurement of the lung injury score (H&E staining)

For histopathological analysis, the lung tissues were fixed in 4% formalin at 4°C for 24 h and embedded in paraffin. Subsequently, sections (5-µm thick) were prepared, stained with H&E at 22°C for 30 sec for pathological observation, and then examined using a light microscope (magnification, ×40). The lung injury score of each slide was assessed by two independent pathologists in a blinded manner. The score represents the average of the pathologists scores. Each section was scored according to the following four criteria (24): i) Alveolar septal congestion; ii) alveolar hemorrhage; iii) intra-alveolar cell infiltrates; and iv) intra-alveolar fibrin deposition.

Transmission electron microscopy

Lung tissue sections (1-mm3) were fixed in 2.5% glutaraldehyde at 4°C for 24 h, followed by 1% osmium tetroxide and embedded in epoxy resin 618. Subsequently, these samples were cut into ultrathin sections (0.5 µm) and then examined using a Hitachi HT-7700 transmission electron microscope (magnification, ×3,000; HT-7700; Hitachi, Tokyo, Japan).

TUNEL assay

When a cell undergoes apoptosis, it activates a number of endonucleases that can cut off nucleosomal DNA. When genomic DNA is disrupted, the exposed 3'-OH can be labeled with fluorescein-dUTP by terminal deoxynucleotidyl transferase (TdT) so that it can be detected by fluorescence microscopy. In this way, TUNEL (cat. no. A112; Vazyme, Piscataway, NJ, USA) was used for the detection of apop-tosis. The specific procedures for the paraffin sections were as follows: Dewaxing, in which moisture was increased with ethyl alcohol; protein dissolved with proteinase K; immersing DNA in equilibration buffer (DNA incubated with TDT buffer containing FITC-12-DUTP labeling mix) for 1 h at 37°C; nuclear staining with Hoechst (20 mg/ml) for 10 min at 22°C; and observation of slides after mounting in neutral gum with a fluorescent microscope in at least three different fields.

Western blot analysis

The lung tissues were homogenized with lysis buffer (cat. no. KPG250; Nanjing KeyGen Biotech Co., Ltd., Nanjing, China), which contained protease inhibitor, phosphatase inhibitor and phosphorylase inhibitor. The homogenate was incubated at 4°C for 30 min and then centrifuged at 14,300 × g for 15 min at 4°C. The supernatant was harvested and stored at -80°C for further analysis. Total protein concentration in the supernatant was measured using a BCA protein assay. Subsequently, 300 µg protein in each group was separated on 5/10% SDS-PAGE gels by electrophoresis and then transferred onto a polyvinylidene difluoride membrane (EMD Millipore, Billerica, MA, USA). Following blocking with 5% fat-free milk for 2 h at 22°C, the membranes were incubated with primary antibodies against NF-κB (1:500, cat. no. MAB3026; EMD Millipore) or β-actin (1:1,000; cat. no. 3700, Santa Cruz Biotechnology, Inc., Dallas, TX, USA) overnight at 4°C. Following washing three times with TBST, the membranes were incubated with horseradish peroxidase-conjugated secondary antibody (1:5,000; cat. no. AP124P; EMD Millipore) for 2 h at room temperature. The protein bands were visualized using an ECL system (cat. no. K-12045; Advansta, San Jose, CA, USA). The PI3K (1:1,000; cat. no. AF1966; Beyotime Institute of Biotechnology), Akt (1:1,000; cat. no. AF0045; Beyotime Institute of Biotechnology), p-Akt (1:1,000; cat. no. AF1546; Beyotime Institute of Biotechnology), HIF-1α (1:500; cat. no. NB100-105; Novus International, Inc., St Charles, MO, USA), Bax (1:1,000; cat. no. AB026; Beyotime Institute of Biotechnology), Bcl2 (1:1,000; cat. no. AF0060; Beyotime Institute of Biotechnology) and caspase-3 (1:1,000; cat. no. 9665; Santa Cruz Biotechnology, Inc.) proteins were assayed using the same method, however, bovine serum albumin (5 mg/ml; cat. no. P007; Beyotime Institute of Biotechnology) was used for blocking and as a medium to incubate the primary antibody for the detection of p-Akt.

RT-qPCR analysis

Total RNA from the lung tissue specimens was extracted with TRIzol® reagent (Sigma-Aldrich; Merck KGaA). The cDNA was amplified by PTC-200 according to the RT-PCR kit instructions. PCR was performed on the basis of cDNA. The primer sequences were as follows: HIF-1α (NM_001082782), upstream 5'-CAACATCACCACCATACA-3' and downstream 5'-TCAGGAGCAGTAGTTCTTT-3'. The length of the amplified product was 148 bp. The amplification reaction conditions were as follows: 94°C pre-denaturation for 3 min, 94°C denaturation for 30 sec, 56°C annealing for 30 sec, 72°C extension for 45 sec, 32 cycles. The primer sequences for GAPDH (NM_001082253) were as follows: Upstream 5'-AGAGCACCAGAGGAGGACG-3' and downstream 5'-CTGGGATGGAAACTGTGAAGAG-3', with a product 105 bp. The amplification reaction conditions were as follows: 94°C pre-denaturation for 3 min, 94°C denaturation for 30 sec, 57°C annealing for 30 sec, 72°C extension for 45 sec, 32 cycles. SYBR Green PCR Master mix was used to generate fluorescence. The fluorescence intensity was measured using a real-time fluorescence qPCR instrument for the results using the 2−ΔΔCq method (25), which were on the basis of the sham group.

Statistical analysis

All data are presented as the mean ± standard error of the mean and each experiment was repeated at least three times. The results were analyzed by one-way analysis of variance with Bonferroni's correction for the post-hoc comparisons. Statistical analysis was performed using GraphPad Prism software (version 5; GraphPad Software, Inc., La Jolla, CA, USA). For all of the statistical tests, P<0.05 was considered to indicate a statistically significant difference.

Results

Effect of nicorandil on lung oxygenation and water accumulation in rabbits with collapse-induced lung injury

By measuring SaO2 and PaO2, the respiratory status was evaluated. It was observed that the pressure in the airway was significantly upregulated in OLV. The SaO2 and PaO2 in the high-dose group were significantly higher than those in the control group in the process of OLV (P= 0.0012 and P= 0.0001, respectively). In accordance with the previous findings, the W/D weight ratio of the collapsed lung in the high-dose group was significantly lower than that in the control group (P=0.0008) (Fig. 1). These data validate the hypothesis that nicorandil can improve lung oxygenation and decrease edema of the lung.

Effect of nicorandil on collapse-induced lung injury by improving its microstructure

Based on the H&E staining images, there was severe damage to the alveolar microstruc-ture, in which some alveoli had collapsed and disappeared in the control group. Consequently, marked hemorrhage and hyperemia were observed in the lung tissue. There was more infiltration of erythrocytes and inflammatory cells in the alveolar cavity. The alveolar wall was hyperemic, thickened and with serous exudation, and a transparent membrane had formed (Fig. 2).

Figure 2

Protective effect of nicorandil on collapse-induced lung injury by one-lung ventilation. Effects were detected by hematoxylin and eosin staining. Scale bar, 50 µm.

According to results of electron microscopy, the three types of nuclei exhibited shrinkage, a lobed state and broadening of the perinuclear space. The type II epithelial cell lamellar body was significantly evacuated and the microvilli on the cell membrane became smaller and less numerous (Fig. 3). These results validate the hypothesis that nicorandil can protect the collapsed lung via improving its microstructure.

Figure 3

Protective effect of nicorandil on collapse-induced lung injury by one-lung ventilation. Effects were detected by electron microscopy. White arrows indicate abnormal nucleus, black arrows indicate normal nucleus. Scale bar, 20 or 50 µm.

Mechanism underlying the effect of nicorandil on collapse-induced lung injury by decreasing oxidative stress

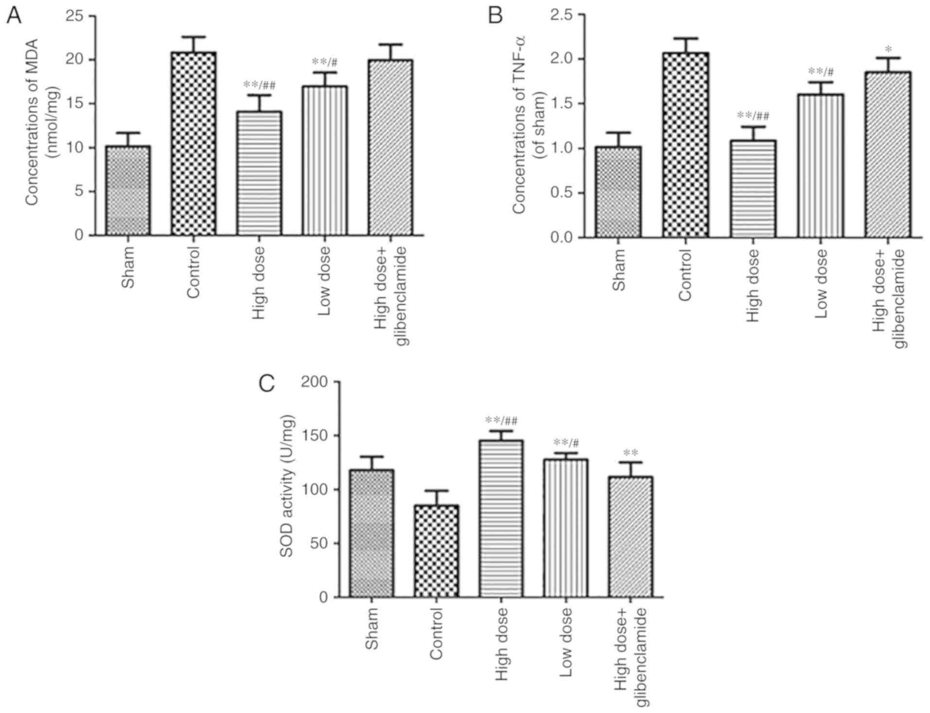
The oxidative stress status, which is a mechanism of protection, was evaluated by the measurement of MDA, TNF-α and the activity of SOD. The levels of MDA and TNF-α in the collapsed lung of the high-dose group were significantly lower than those in the control group (P=0.0008 and P<0.0001, respectively). The activity of SOD in the high-dose group was significantly higher than that in the control group (P<0.0001; Fig. 4). These results confirm the hypothesis that nicorandil can protect the collapsed lung by decreasing oxidative stress.

Figure 4

Effects of nicorandil on the activity of SOD and concentrations of MDA and TNF-α, measured by enzyme-linked immunosorbent assay. Nicorandil downregulated the concentrations of (A) MDA and (B) TNF-α proteins in the collapsed lung, but (C) upregulated the activity of SOD. *P<0.05 and **P<0.01 vs. control group; #P<0.05 and ##P<0.01 vs. glibenclamide group. MDA, malondialdehyde; TNF-α, tumor necrosis factor-α; SOD, superoxide dismutase.

Mechanism underlying the effect of nicorandil on collapse-induced lung injury by inhibiting apoptosis

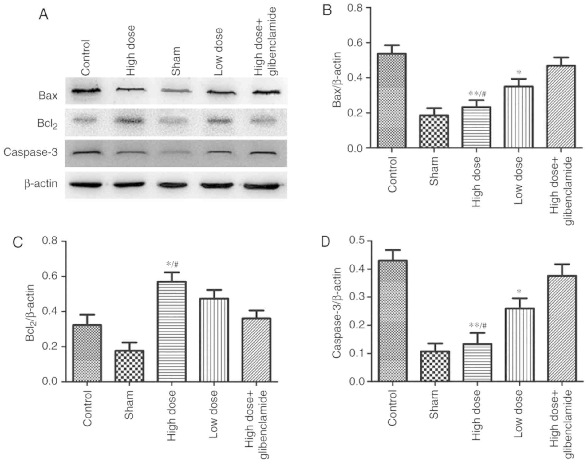
The results of alveolar apoptosis were observed following a TUNEL assay under a fluorescent microscope. In the control group and glibenclamide group, there were significant increases in the number of apoptotic cells, which was consistent with the positive control group in the TUNEL assay (Fig. 5). Taken together, the results of the high-dose group showed a significant decrease in apoptosis, compared with that in the control group, similar to that in the sham group, and was partially reversed by glibenclamide. A high dose of nicorandil demonstrated better results compared with a low dose of nicorandil. The expression levels of Bax and caspase-3 in the high-dose group were significantly lower than those in the control group (P=0.0085 and P=0.0056, respectively). By contrast, the expression of Bcl2 in the high-dose group was significantly higher than that in the control group (P=0.036) (Fig. 6A-D). These results were also reversed by glibenclamide, with a low dose of nicorandil having less effect.

Figure 5

Effects of nicorandil on apoptosis in the lung. Apoptosis was analyzed using a TUNEL assay. Scale bar=50 µm. TUNEL, TdT-mediated dUTP nick end labeling.

Figure 6

Effects of nicorandil on the expression of apoptosis-related molecules. (A) Effects were detected by western blot analysis. (B) Nicorandil downregu-lated the expression of Bax, (C) upregulated the expression of Bcl2 and (D) downregulated the expression of caspase-3 proteins in the collapsed lung. β-actin served as the internal standard for the western blot analysis. *P<0.05 and **P<0.01 vs. control group; #P<0.05 vs. glibenclamide group.

Signaling pathway involved in the mechanism of nicorandil on collapse-induced lung injury

The PI3K/Akt signaling pathway is a classical signal transduction pathway. NF-κB and HIF-1α form the bond between Akt and downstream genes. It was observed that the expression levels of p-Akt and PI3K in the high-dose group were significantly higher than those in the control group (P<0.0001 and P=0.0039, respectively). The results were reversed by LY294002 (P=0.0004 and P=0.0001, respectively). The protein expression of NF-κB in the high-dose group was significantly lower than that in the control group (P=0.0005). The protein and mRNA levels of HIF-1α in the high-dose group were significantly higher than those in the control group (P<0.0001 and P<0.0001; respectively; Figs. 7A-F and 8).

Figure 7

Effects of nicorandil on the signaling pathway was detected by western blotting and reverse transcription-quantitative polymerase chain reaction analysis. (A) Western blot analysis revealed that nicorandil upregulated the protein expression of (B) PI3K and (C) p-Akt in the collapsed lung, but (D) down-regulated the protein expression of NF-κB. Nicorandil also upregulated the (E) protein and (F) mRNA expression of HIF-1α. GAPDH served as the internal standard for mRNA analysis. β-actin served as the internal standard for the western blot analysis. *P<0.05 and **P<0.01 vs. control group; ##P<0.01 vs. gliben-clamide group. PI3K, phosphatidylinositol-3-kinase; Akt, protein kinase B; p-, phosphorylated; NF-κB, nuclear factor-κB; HIF-1α, hypoxia inducible factor 1α.

Figure 8

Effects of nicorandil on the PI3K/Akt signaling pathway are reversed by LY294002. Nicorandil upregulated the protein expression of PI3K and p-Akt in the collapsed lung. LY294002 downregulated the protein expression of PI3K and p-Akt in the collapsed lung. β-actin served as the internal standard for the western blot analysis. **P<0.01 vs. control group; ##P<0.01 vs. LY294002 group. PI3K, phosphatidylinositol-3-kinase; Akt, protein kinase B; p-, phosphorylated.

Discussion

Nicorandil has been widely used for cardioprotection in angina pectoris and myocardial infarction (26-28). It has almost no effect on blood pressure or heart rate when it is applied in clinical practice (29,30). It also has been used in protection of the brain (31), liver (32), lungs (12) and kidneys (33). However, there is currently no evidence regarding its application in OLV. With the extensive application of thoracoscopic techniques in surgery, OLV has become essential. However, the inhibition of HPV, imbalance of ventilation/perfusion (V/Q), damage from reactive oxygen free radicals, I/R injury and inflammatory reactions, and even mechanical and pressure injury, can result in lung injury, which has a serious impact on patients. Compared with two-lung ventilation (TLV), an increase in peak airway pressure of ~55% occurs during OLV (34,35). Szegedi et al (36) firstly demonstrated that the effect of gravity on V/Q matching, independent of HPV, resulted in more severe oxidative stress on the operated lung. Misthos et al (37) reported that reactivation of the collapsed lung can activate severe oxidative stress, which was correlated with the time of OLV by reviewing 212 cases between 2001 and 2003 of lung injury caused by re-expansion and reperfusion. Lung I/R injury, which is difficult to manage, always occurs during OLV. Although ventilation strategies and drugs have been found to treat this, the results remain unsatisfactory in terms of improving the prognosis of patients. The present study may provide a novel program to protect lung tissues during OLV. The pathophysiological mechanism in OLV may be multifactorial, and its further examination requires a suitable animal model to be established. In the present study, a well-established rabbit OLV model was used, which has been confirmed to be mature and similar to clinical procedures. The suitable diameter of the endotracheal tube is particularly important; the maximum diameter of the left branch of the double-lumen endotracheal tube was 3.0 mm, which is consistent with the internal diameter of the left bronchus of the rabbit. The appropriate pipe length was 20 cm. Its specific shape was key to ensure the success rate of endotracheal intubation. However, the double-lumen tube is a 'double-edged sword', which in turn leads to lung damage. OLV, which is one of the most challenging techniques for anesthesiologists, is an intraoperative vital ventilation technique (1). OLV must ensure the most convenient surgical field while maintaining adequate gas exchange and minimizing damage to the two lungs (38). Achieving this largely depends on how well the non-ventilatory lung is isolated from the other lung. It is well-known that ventilator-induced lung injury (VILI) (15) has a negative effect (39,40) and a significant effect on patient prognosis (41,42). Ventilation is increasingly recognized as a harmful intervention as it can cause lung injury, frequently referred to as VILI (43) and may injure the respiratory muscles, also termed ventilator-induced diaphragm dysfunction (VIDD) (44). The occurrence of hypoxemia in OLV mainly depends on correct placement of the double-lumen tube, the underlying disease, the setting of the ventilator and the experience of the anesthesiologist in thoracic surgery (45,46). Accompanied by the imbalance of V/Q, HPV is significantly depressed during anesthesia. In addition to atelectasis, regions with low V/Q also contribute to typical arterial oxygenation defects during OLV (47), thus, shunting of the non-ventilatory lung is considered to be the leading cause of hypoxemia (48). Significant hypoxemia (22) occurs in 5-20% of patients undergoing OLV due to increasing V/Q mismatching and intrapulmonary shunting (49,50).

During OLV, nicorandil was found to significantly improve lung oxygenation, with notable changes in SaO2 and PaO2 under general anesthesia. The reversal of the index following the use of glibenclamide (specific antagonist) demonstrated that the protective effects of nicorandil on the lung relied on mitoKATP. The result of W/D ratio detection indicated that the infusion of nicorandil protected the respiratory membrane, preventing it from thickening. Therefore, the lung had little edema, which was the protective mechanism of nicorandil. The results showed that the microstructure of the non-ventilatory lung, which was improved following the implementation of a high dose of nicorandil, was seriously damaged in the control group, including the nuclei, membrane and alveolar wall. H&E staining revealed that the high-dose group, similar to the sham group, exhibited less serious damage to the alveolar structure, with minimal hemorrhage, congestion and infiltration of inflammatory cells. The alveolar wall exhibited no congestion, thickening or exudation. These results were partially reversed by glibenclamide. The electron microscopy images also revealed that the high-dose group, similar to the sham group, led to no pyknosis or lobulation of nuclei, and no significant emptying of lamellar bodies or decreasing of microvilli in type II epithelial cells. These results were also partially reversed by glibenclamide. Taken together, these results demonstrated that nicorandil had a protective effect on the collapsed lung in terms of its microstructure and function. Therefore, the mechanism underlying its protective role became an important focus of the present study, which inferred it may affect oxidative stress in the lungs.

Nieman et al (51) also suggested that mechanical ventilation can result in lung damage, also caused by OLV, owing to I/R lung injury from the collapse and re-expansion of the operated lung during OLV (52). A high pressure of oxygen in hypoxic-ischemic lung tissue may lead to reactive oxygen species production, cell damage and local leukocyte infiltration. The quantity of oxygen free radicals is proportional to the duration of OLV (37,53). Re-expansion of the collapsed lung at the end of surgery and high airway pressure during mechanical ventilation may be other causes of lung injury besides I/R. It has been reported (54,55) that re-expansion of the operated lung can lead to increased expression of inflammatory mediators (56,57). The mechanism of I/R injury, which is more complex, is currently considered to be associated with reactive oxygen species, endothelial cell injury, increased vascular permeability, and activation of neutrophils and the complement system, which also activates a series of inflammatory reactions and results in a large accumulation of inflammatory cytokines. In the present study, it was found that the concentrations of MDA and TNF-α in the control group were significantly higher than those in the high-dose group, which confirmed that the mechanism of nicorandil was to reduce oxidative stress and inflammatory reaction. SOD, which can eliminate reactive oxygen species generated by organisms, is important in decreasing I/R injury. Chen et al (58) found that SOD had protective effect and led to a significant change in the morphology of myocardial I/R injury, mainly due to the reduction of oxidative stress. The present study also found that nicorandil reduced I/R injury to protect lung function via SOD, which was high in the nicorandil group.

In addition, TUNEL staining, which revealed another mechanism, indicated that nicorandil significantly reduced apoptosis, the start of structural and functional damage. In the present study, nicorandil had a protective effect, regulated by apoptosis-related genes. Bcl2 family members, which can be divided into two categories, are crucial in apoptosis. One category comprises anti-apoptotic members, including Bcl2 and Bcl-xl. The other promotes apoptotic rate, including Bax and Bak. Bax protein, which inhibits Bcl2, can form a heterodimer with Bcl2. Caspase-3 is a protease identified by Fernandez-Alnemri in 1994, which was named caspase-3 in 1996. Caspase-3 is now considered the most important terminal enzyme, which serves an irreplaceable role in the process of apoptosis. It has been found that the apoptosis (59) in lung injury can be regulated by the Bax/Bcl2 ratio and the expression of downstream Bax and Bcl2 genes (60), and can be inhibited by downregulating the main executive protein, caspase-3 (24). The present study found that, compared with the control group, the gene expression of Bax in the high-dose group was significantly downregulated, whereas the Bcl2 gene was significantly upregulated. When the Bax/Bcl2 ratio declined, the protein expression of caspase-3 decreased significantly. As a result, there was minimal apoptosis in the high-dose group. This effect was reversed by glibenclamide, however, the effect in the high-dose of nicorandil group was significantly higher than that of the low-dose group. These results demonstrate the important mechanisms comprising the reduced expression of caspase-3 and downregulation of the Bax/Bcl2 ratio, which resulted in reduced hypoxemia, oxidative stress and I/R injury, and improved microstructure in the operated lung in the high-dose group through decreased apoptosis.

As nicorandil can activate the opening of mitoKATP to protect cells, it has been confirmed (14,61) that the cytoprotective effect of nicorandil relies on the PI3K/Akt signaling pathway, which is a classical pathway involved in cell proliferation, differentiation and apoptosis. The phosphorylation of Akt (p-Akt) can activate inhibitor of NF-κB (IκB) kinase, resulting in the degradation of IκB, an inhibitor of NF-κB, which is released from the cytoplasm for nuclear translocation and activates its target gene to promote cell survival. However, the increase of NF-κB following I/R injury promotes the transcription of downstream genes of additional cytokines (62,63), including TNF-α (64), interleukin-1β, inducible nitric oxide synthase and cyclooxygenase 2. In lung injury of mechanical ventilation, activated NF-κB can lead to the production of a large number of chemokines and cytokines and the recruitment of neutrophils, monocytes, macrophages and lymphocytes, which trigger pulmonary inflammatory responses (65).

In the present study, the expression levels of PI3K, p-Akt and the p-Akt/Akt ratio in the high-dose group were upregulated, and reversed by glibenclamide and LY294002, indicating that nicorandil acted on mitoKATP through the PI3K/Akt pathway to inhibit apoptosis in the non-ventilatory lung. In addition, NF-κB, which is closely associated with the inflammatory reaction, was downregulated in the high-dose group, whereas HIF-1α, a nuclear transcription factor, was upregulated, and these effects were reversed by its antagonist, glibenclamide. It was also demonstrated that a high dose of nicorandil had better results compared with a low dose. These results were consistent with the two previous independent studies (66,67), which demonstrated that the expression of NF-κB and mitochondrial apoptotic pathway were first inhibited in pulmonary vascular endothelial cells following the opening of mitochondrial potassium channels. The expression of HIF-1α is regulated by oxygen concentration, specifically activated in hypoxia and initiated firstly in endogenous protective mechanisms (68). Zhao et al (69) showed that HIF-1α is one of the important mechanisms of I/R lung injury following the application of DMOG, an HIF-1α stabilizing agent. The results of the present study are partially consistent with those of Wan et al (70). Hypoxia and I/R in OLV can lead to the overloading of intracellular calcium, and the overload of calcium into mitochondria over its translocation limit causes mitochondrial calcium overload, triggering opening of the mitochondrial membrane permeability transition pore (mPTP). Opening of the mPTP (71) uncouples the mitochondrial respiratory chain, and leads to membrane potential collapse and the release of cytochrome c and other apoptotic factors, which ultimately leads to cell death. Nicorandil may serve a protective role by inhibiting the overload of calcium in mitochondria, thus triggering activation of the PI3K/Akt pathway, shutting of the mPTP, downregulating NF-κB, upregulating HIF-1α, and then downregulating Bax/Bcl2, inhibiting caspase-3 and reducing apoptosis (72). However, further investigation of the specific mechanisms and concentration-response association are required to validate these findings.

In conclusion, nicorandil had a protective effect via inhibiting apoptosis in the non-ventilated lung, which had been collapsed and re-expanded during OLV, in the rabbit. This occurred through acting on mitoKATP through the PI3K/Akt signaling pathway.

Abbreviations:

OLV

one-lung ventilation

TLV

two-lung ventilation

I/R

ischemia/reperfusion

mitoKATP

mitochondrial ATP-sensitive potassium channels

HPV

hypoxemic pulmonary vasoconstriction

H&E

hematoxylin and eosin

SaO2

arterial oxygen saturation

SPO2

pulse oxygen saturation

PaO2

arterial partial pressure for oxygen

MDA

malondialdehyde

TNF-α

tumor necrosis factor-α

SOD

superoxide dismutase

ELISA

enzyme-linked immunosorbent assay

TUNEL

terminal deoxynucleotidyl transferase transfer-mediated dUTP nick end-labeling

PI3K

phosphatidylinositol-3-kinase

Akt

protein kinase B

NF-κB

nuclear factor-κB

HIF-1α

hypoxia-inducible factor 1α

RT-qPCR

reverse transcription-quantitative polymerase chain reaction

caspase-3

cysteinyl aspartate-specific proteinase-3

W/D ratio

wet/dry weight ratio

V/Q

ventilation/perfusion

mPTP

mitochondrial membrane permeability transition pore

VILI

ventilator-induced lung injury

VIDD

ventilator-induced diaphragm dysfunction

Acknowledgments

The authors wish to thank Dr Maorong Jiang of the Laboratory Animal Center of Nantong University for their assistance in the preparation of the manuscript.

Funding

The present study was supported by the Natural Science Foundation of Jiangsu Province, China (grant no. BK20151268).

Availability of data and materials

The datasets supporting the conclusions of this study are included within the article.

Authors' contributions

CW and FJ designed the study; CW, HK and JC performed the experiments; XX and DS analyzed the data; CW and FJ wrote the manuscript. All authors read and approved the final manuscript.

Ethics approval and consent to participate

The experiments were reviewed and approved by the Ethics Committee for Animal Experimentation of Nantong University (Nantong, China).

Patient consent for publication

Not applicable.

Competing interests

The authors declare that they have no competing interests.

References

1 

Shiva S, Sack MN, Greer JJ, Duranski M, Ringwood LA, Burwell L, Wang X, MacArthur PH, Shoja A, Raghavachari N, et al: Nitrite augments tolerance to ischemia/reperfusion injury via the modulation of mitochondrial electron transfer. J Exp Med. 204:2089–2102. 2007. View Article : Google Scholar : PubMed/NCBI

2 

Liu B, Tewari AK, Zhang L, Green-Church KB, Zweier JL, Chen YR and He G: Proteomic analysis of protein tyrosine nitration after ischemia reperfusion injury: Mitochondria as the major target. Biochim Biophys Acta. 1794:476–485. 2009. View Article : Google Scholar : PubMed/NCBI

3 

Pak O, Sydykov A, Kosanovic D, Schermuly RT, Dietrich A, Schröder K, Brandes RP, Gudermann T, Sommer N and Weissmann N: Lung ischaemia-reperfusion injury: The role of reactive oxygen species. Adv Exp Med Biol. 967:195–225. 2017. View Article : Google Scholar : PubMed/NCBI

4 

Bernasconi F and Piccioni FL: One-lung ventilation for thoracic surgery: Current perspectives. Tumori. 103:495–503. 2017. View Article : Google Scholar : PubMed/NCBI

5 

Dolch ME, Choukèr A, Hornuss C, Frey L, Irlbeck M, Praun S, Leidlmair C, Villinger J and Schelling G: Quantification of propionaldehyde in breath of patients after lung transplantation. Free Radic Biol Med. 85:157–164. 2015. View Article : Google Scholar : PubMed/NCBI

6 

Ju NY, Gao H, Huang W, Niu FF, Lan WX, Li F and Gao W: Therapeutic effect of inhaled budesonide (pulmicort® turbuhaler) on the inflammatory response to one-lung ventilation. Anaesthesia. 69:14–23. 2014. View Article : Google Scholar

7 

Tojo K, Goto T and Kurahashi K: Protective effects of continuous positive airway pressure on a nonventilated lung during one-lung ventilation: A prospective laboratory study in rats. Eur J Anaesthesiol. 33:776–783. 2016. View Article : Google Scholar : PubMed/NCBI

8 

Jung DM, Ahn HJ, Jung SH, Yang M, Kim JA, Shin SM and Jeon S: Apneic oxygen insufflation decreases the incidence of hypoxemia during one-lung ventilation in open and thoraco-scopic pulmonary lobectomy: A randomized controlled trial. J Thorac Cardiovasc Surg. 154:360–366. 2017. View Article : Google Scholar : PubMed/NCBI

9 

Xia R, Xu J, Yin H, Wu H, Xia Z, Zhou D, Xia ZY, Zhang L, Li H and Xiao X: Intravenous infusion of dexmedetomidine combined isoflurane inhalation reduces oxidative stress and potentiates hypoxia pulmonary vasoconstriction during one-lung ventilation in patients. Mediators Inflamm. 2015:2380412015. View Article : Google Scholar : PubMed/NCBI

10 

Huang SQ, Zhang J, Zhang XX, Liu L, Yu Y, Kang XH, Wu XM and Zhu SM: Can dexmedetomidine improve arterial oxygenation and intrapulmonary shunt during one-lung ventilation in adults undergoing thoracic surgery? A meta-analysis of randomized, placebo-controlled trials. Chin Med J (Engl). 130:1707–1714. 2017. View Article : Google Scholar

11 

Schloss B, Martin D, Beebe A, Klamar J and Tobias JD: Phenylephrine to treat hypoxemia during one-lung ventilation in a pediatric patient. Thorac Cardiovasc Surg Rep. 2:16–18. 2013. View Article : Google Scholar

12 

Yang J, Zhang J, Cui W, Liu F, Xie R, Yang X, Gu G, Zheng H, Lu J, Yang X, et al: Cardioprotective effects of single oral dose of nicorandil before selective percutaneous coronary intervention. Anatol J Cardiol. 15:125–131. 2015. View Article : Google Scholar

13 

Saha KK, Kumar A, Deval MM, Saha KK, Jacob RV, Jagdale L and Kaul SK: Nicorandil infusion during off-pump coronary artery bypass grafting reduces incidence of intra-aortic balloon pump insertion. Innovations (Phila). 11:123–127. 2016. View Article : Google Scholar

14 

Su Q, Li L, Zhao J, Sun Y and Yang H: Effects of nicorandil on PI3K/Akt signaling pathway and its anti-apoptotic mechanisms in coronary microembolization in rats. Oncotarget. 8:99347–99358. 2017. View Article : Google Scholar : PubMed/NCBI

15 

Ahmed LA, El-Maraghy SA and Rizk SM: Role of the KATP channel in the protective effect of nicorandil on cyclophosphamide-induced lung and testicular toxicity in rats. Sci Rep. 5:140432015. View Article : Google Scholar : PubMed/NCBI

16 

Asarian L and Geary N: Sex differences in the physiology of eating. Am J Physiol Regul Integr Comp Physiol. 305:R1215–R1267. 2013. View Article : Google Scholar : PubMed/NCBI

17 

Xu ZP, Gu LB, Bian QM, Li PY, Wang LJ, Chen XX and Zhang JY: A novel method for right one-lung ventilation modeling in rabbits. Exp Ther Med. 12:1213–1219. 2016. View Article : Google Scholar : PubMed/NCBI

18 

You Z, Feng D, Xu H, Cheng M, Li Z, Kan M and Yao S: Nuclear factor-kappa B mediates one-lung ventilation-induced acute lung injury in rabbits. J Invest Surg. 25:78–85. 2012. View Article : Google Scholar : PubMed/NCBI

19 

Ito H, Taniyama Y, Iwakura K, Nishikawa N, Masuyama T, Kuzuya T, Hori M, Higashino Y, Fujii K and Minamino T: Intravenous nicorandil can preserve microvascular integrity and myocardial viability in patients with reperfused anterior wall myocardial infarction. J Am Coll Cardiol. 33:654–660. 1999. View Article : Google Scholar : PubMed/NCBI

20 

Olson ME, McCabe K and Walker RL: Guaifenesin alone or in combination with ketamine or sodium pentobarbital as an anesthetic in rabbits. Can J Vet Res. 51:383–386. 1987.PubMed/NCBI

21 

Pérez-Martínez A, Gonzálvez-Piñera J, Marco-Macián A, Carpintero-Moreno F and Moya-Marchante M: Propofol in continuous perfusion as anesthetic in experimental surgery in the rabbit. Rev Esp Anestesiol Reanim. 42:253–256. 1995.In Spanish.

22 

Bellis DJ, Day S and Barnes PK: The chronotropic effect of acetylcholine in the presence of vecuronium and atracurium. A study in the isolated perfused rabbit heart Anaesthesia. 45:118–119. 1990.

23 

Shinozawa E and Kawamura M: Anti-thrombotic effect of a factor Xa inhibitor TAK-442 in a rabbit model of arteriove-nous shunt thrombosis stimulated with tissue factor. BMC Res Notes. 11:7762018. View Article : Google Scholar

24 

Lin L, Zhang L, Yu L, Han L, Ji W, Shen H and Hu Z: Time-dependent changes of autophagy and apoptosis in lipopolysaccharide-induced rat acute lung injury. Iran J Basic Med Sci. 19:632–637. 2016.PubMed/NCBI

25 

Livak KJ and Schmittgen TD: Analysis of relative gene expression data using real-time quantitative PCR and the 2(−Delta Delta C(T)) method. Methods. 25:402–408. 2001. View Article : Google Scholar

26 

Kostic J, Djordjevic-Dikic A, Dobric M, Milasinovic D, Nedeljkovic M, Stojkovic S, Stepanovic J, Tesic M, Trifunovic Z, Zamaklar-Tifunovic D, et al: The effects of nicorandil on microvascular function in patients with ST segment elevation myocardial infarction undergoing primary PCI. Cardiovasc Ultrasound. 13:262015. View Article : Google Scholar : PubMed/NCBI

27 

Wang YP, Zhang Y, Sun YR, Sun ZG, Zuo ZK, Feng ZR, Chang FY, Xu YC, Chen BZ and Ye YY: Effect of nicorandil on ventricular arrhythmia in patients with acute ST-segment elevation myocardial infarction underwent emergent percutaneous coronary intervention treatment. Zhonghua Xin Xue Guan Bing Za Zhi. 45:701–705. 2017.In Chinese. PubMed/NCBI

28 

Suleimani HF, Eshraghi A, Daloee MH, Hoseini S and Nakhaee N: Effect of nicorandil on QT dispersion in patients with stable angina pectoris undergoing elective angioplasty: A triple-blind, randomized, placebo-controlled study. Electron Physician. 9:4934–4941. 2017. View Article : Google Scholar : PubMed/NCBI

29 

Tanaka K, Kato K, Takano T, Katagiri T, Asanoi H, Nejima J, Nakashima M, Kamijo T and Sakanashi M: Acute effects of intravenous nicorandil on hemodynamics in patients hospitalized with acute decompensated heart failure. J Cardiol. 56:291–299. 2010. View Article : Google Scholar : PubMed/NCBI

30 

Minami Y, Nagashima M, Kajimoto K, Shiga T and Hagiwara N: Acute efficacy and safety of intravenous administration of nicorandil in patients with acute heart failure syndromes: Usefulness of noninvasive echocardiographic hemodynamic evaluation. J Cardiovasc Pharmacol. 54:335–340. 2009. View Article : Google Scholar : PubMed/NCBI

31 

Kong J, Ren G, Jia N, Wang Y, Zhang H, Zhang W, Chen B and Cao Y: Effects of nicorandil in neuroprotective activation of PI3K/AKT pathways in a cellular model of Alzheimer's disease. Eur Neurol. 70:233–241. 2013. View Article : Google Scholar : PubMed/NCBI

32 

Yamazaki H, Oshima K, Sato H, Kobayashi K, Suto Y, Hirai K, Odawara H, Matsumoto K and Takeyoshi I: The effect of nicorandil on ischemia-reperfusion injury in a porcine total hepatic vascular exclusion model. J Surg Res. 167:49–55. 2011. View Article : Google Scholar

33 

Shimizu S, Saito M, Kinoshita Y, Ohmasa F, Dimitriadis F, Shomori K, Hayashi A and Satoh K: Nicorandil ameliorates ischaemia-reperfusion injury in the rat kidney. Br J Pharmacol. 163:272–282. 2011. View Article : Google Scholar : PubMed/NCBI

34 

Szegedi LL, Bardoczky GI, Engelman EE and d'Hollander AA: Airway pressure changes during one-lung ventilation. Anesth Analg. 84:1034–1037. 1997. View Article : Google Scholar : PubMed/NCBI

35 

Kilpatrick B and Slinger P: Lung protective strategies in anaesthesia. Br J Anaesth. 105(Suppl 1): i108–i116. 2010. View Article : Google Scholar : PubMed/NCBI

36 

Szegedi LL, D'Hollander AA, Vermassen FE, Deryck F and Wouters PF: Gravity is an important determinant of oxygenation during one-lung ventilation. Acta Anaesthesiol Scand. 54:744–750. 2010. View Article : Google Scholar : PubMed/NCBI

37 

Misthos P, Katsaragakis S, Milingos N, Kakaris S, Sepsas E, Athanassiadi K, Theodorou D and Skottis I: Postresectional pulmonary oxidative stress in lung cancer patients. The role of one-lung ventilation. Eur J Cardiothorac Surg. 27:379–382; discussion 382-383. 2005. View Article : Google Scholar : PubMed/NCBI

38 

Licker M, Fauconnet P, Villiger Y and Tschopp JM: Acute lung injury and outcomes after thoracic surgery. Curr Opin Anaesthesiol. 22:61–67. 2009. View Article : Google Scholar : PubMed/NCBI

39 

Jeon K, Yoon JW, Suh GY, Kim J, Kim K, Yang M, Kim H, Kwon OJ and Shim YM: Risk factors for post-pneumonectomy acute lung injury/acute respiratory distress syndrome in primary lung cancer patients. Anaesth Intensive Care. 37:14–19. 2009. View Article : Google Scholar : PubMed/NCBI

40 

Tusman G, Böhm SH, Warner DO and Sprung J: Atelectasis and perioperative pulmonary complications in high-risk patients. Curr Opin Anaesthesiol. 25:1–10. 2012. View Article : Google Scholar

41 

Gajic O, Dara SI, Mendez JL, Adesanya AO, Festic E, Caples SM, Rana R, St Sauver JL, Lymp JF, Afessa B and Hubmayr RD: Ventilator-associated lung injury in patients without acute lung injury at the onset of mechanical ventilation. Crit Care Med. 32:1817–1824. 2004. View Article : Google Scholar : PubMed/NCBI

42 

Serpa Neto A, Cardoso SO, Manetta JA, Pereira VG, Espósito DC, Pasqualucci Mde O, Damasceno MC and Schultz MJ: Association between use of lung-protective ventilation with lower tidal volumes and clinical outcomes among patients without acute respiratory distress syndrome: A meta-analysis. JAMA. 308:1651–1659. 2012. View Article : Google Scholar : PubMed/NCBI

43 

Slutsky AS and Ranieri VM: Ventilator-induced lung injury. N Engl J Med. 370:9802014.PubMed/NCBI

44 

Levine S, Nguyen T, Taylor N, Friscia ME, Budak MT, Rothenberg P, Zhu J, Sachdeva R, Sonnad S, Kaiser LR, et al: Rapid disuse atrophy of diaphragm fibers in mechanically ventilated humans. N Engl J Med. 358:1327–1335. 2008. View Article : Google Scholar : PubMed/NCBI

45 

Karzai W and Schwarzkopf K: Hypoxemia during one-lung ventilation: Prediction, prevention, and treatment. Anesthesiology. 110:1402–1411. 2009. View Article : Google Scholar : PubMed/NCBI

46 

Ishikawa S and Lohser J: One-lung ventilation and arterial oxygenation. Curr Opin Anaesthesiol. 24:24–31. 2011. View Article : Google Scholar

47 

Kozian A, Schilling T, Schütze H, Heres F, Hachenberg T and Hedenstierna G: Lung computed tomography density distribution in a porcine model of one-lung ventilation. Br J Anaesth. 102:551–560. 2009. View Article : Google Scholar : PubMed/NCBI

48 

Benumof JL: One-lung ventilation and hypoxic pulmonary vasoconstriction: Implications for anesthetic management. Anesth Analg. 64:821–833. 1985. View Article : Google Scholar : PubMed/NCBI

49 

Rozé H, Lafargue M and Ouattara A: Case scenario: Management of intraoperative hypoxemia during one-lung ventilation. Anesthesiology. 114:167–174. 2011. View Article : Google Scholar

50 

Lee SM, Kim WH, Ahn HJ, Kim JA, Yang MK, Lee CH, Lee JH, Kim YR and Choi JW: The effects of prolonged inspiratory time during one-lung ventilation: A randomised controlled trial. Anaesthesia. 68:908–916. 2013. View Article : Google Scholar : PubMed/NCBI

51 

Nieman GF, Satalin J, Andrews P, Aiash H, Habashi NM and Gatto LA: Personalizing mechanical ventilation according to physiologic parameters to stabilize alveoli and minimize ventilator induced lung injury (VILI). Intensive Care Med Exp. 5:82017. View Article : Google Scholar : PubMed/NCBI

52 

de Perrot M, Liu M, Waddell TK and Keshavjee S: Ischemia-reperfusion-induced lung injury. Am J Respir Crit Care Med. 167:490–511. 2003. View Article : Google Scholar : PubMed/NCBI

53 

Cheng YJ, Chan KC, Chien CT, Sun WZ and Lin CJ: Oxidative stress during 1-lung ventilation. J Thorac Cardiovasc Surg. 132:513–518. 2006. View Article : Google Scholar : PubMed/NCBI

54 

Riva DR, Contador RS, Baez-Garcia CS, Xisto DG, Cagido VR, Martini SV, Morales MM, Rocco PR, Faffe DS and Zin WA: Recruitment maneuver: RAMP versus CPAP pressure profile in a model of acute lung injury. Respir Physiol Neurobiol. 169:62–68. 2009. View Article : Google Scholar : PubMed/NCBI

55 

Rzezinski AF, Oliveira GP, Santiago VR, Santos RS, Ornellas DS, Morales MM, Capelozzi VL, Amato MB, Conde MB, Pelosi P and Rocco PR: Prolonged recruitment manoeuvre improves lung function with less ultrastructural damage in experimental mild acute lung injury. Respir Physiol Neurobiol. 169:271–281. 2009. View Article : Google Scholar : PubMed/NCBI

56 

Silva PL, Moraes L, Santos RS, Samary C, Ornellas DS, Maron-Gutierrez T, Morales MM, Saddy F, Capelozzi VL, Pelosi P, et al: Impact of pressure profile and duration of recruitment maneuvers on morphofunctional and biochemical variables in experimental lung injury. Crit Care Med. 39:1074–1081. 2011. View Article : Google Scholar : PubMed/NCBI

57 

Arnal JM, Paquet J, Wysocki M, Demory D, Donati S, Granier I, Corno G and Durand-Gasselin J: Optimal duration of a sustained inflation recruitment maneuver in ARDS patients. Intensive Care Med. 37:1588–1594. 2011. View Article : Google Scholar : PubMed/NCBI

58 

Chen C, Lu W, Wu G, Lv L, Chen W, Huang L, Wu X, Xu N and Wu Y: Cardioprotective effects of combined therapy with diltiazem and superoxide dismutase on myocardial ischemia-reperfusion injury in rats. Life Sci. 183:50–59. 2017. View Article : Google Scholar : PubMed/NCBI

59 

Liu G, Zhang J, Chen H, Wang C, Qiu Y, Liu Y, Wan J and Guo H: Effects and mechanisms of alveolar type II epithelial cell apoptosis in severe pancreatitis-induced acute lung injury. Exp Ther Med. 7:565–572. 2014. View Article : Google Scholar : PubMed/NCBI

60 

Wu Z, Dai F, Ren W, Liu H, Li B and Chang J: Angiotensin II induces apoptosis of human pulmonary microvascular endothelial cells in acute aortic dissection complicated with lung injury patients through modulating the expression of monocyte chemoattractant protein-1. Am J Transl Res. 8:28–36. 2016.PubMed/NCBI

61 

Yu D, Fan C, Zhang W, Wen Z, Hu L, Yang L, Feng Y, Yin KJ and Mo X: Neuroprotective effect of nicorandil through inhibition of apoptosis by the PI3K/Akt1 pathway in a mouse model of deep hypothermic low flow. J Neurol Sci. 357:119–125. 2015. View Article : Google Scholar : PubMed/NCBI

62 

Broucek JR, Francescatti AB, Swanson GR, Keshavarzian A, Brand MI and Saclarides TJ: Unusual thrombotic complications. Am Surg. 78:728–729. 2012.PubMed/NCBI

63 

Xia Z, Peng W, Cheng S, Zhong B, Sheng C, Zhang C, Gong W, Cheng S, Li J and Wang Z: Naoling decoction restores cognitive function by inhibiting the neuroinflammatory network in a rat model of Alzheimer's disease. Oncotarget. 8:42648–42663. 2017. View Article : Google Scholar : PubMed/NCBI

64 

Ambros JT, Herrero-Fresneda I, Borau OG and Boira JM: Ischemic preconditioning in solid organ transplantation: From experimental to clinics. Transpl Int. 20:219–229. 2007. View Article : Google Scholar : PubMed/NCBI

65 

Suzuki T, Yamashita K, Jomen W, Ueki S, Aoyagi T, Fukai M, Furukawa H, Umezawa K, Ozaki M and Todo S: The novel NF-kappaB inhibitor, dehydroxymethylepoxyquinomicin, prevents local and remote organ injury following intestinal ischemia/reperfusion in rats. J Surg Res. 149:69–75. 2008. View Article : Google Scholar : PubMed/NCBI

66 

Wang H, Zuo X, Wang Q, Yu Y, Xie L, Wang H, Wu H and Xie W: Nicorandil inhibits hypoxia-induced apoptosis in human pulmonary artery endothelial cells through activation of mito-KATP and regulation of eNOS and the NF-κB pathway. Int J Mol Med. 32:187–194. 2013. View Article : Google Scholar : PubMed/NCBI

67 

Xu CQ, Liu BJ, Wu JF, Xu YC, Duan XH, Cao YX and Dong JC: Icariin attenuates LPS-induced acute inflammatory responses: Involvement of PI3K/Akt and NF-kappaB signaling pathway. Eur J Pharmacol. 642:146–153. 2010. View Article : Google Scholar : PubMed/NCBI

68 

Sakamoto N, Ishibashi T, Sugimoto K, Sawamura T, Sakamoto T, Inoue N, Saitoh S, Kamioka M, Uekita H, Ohkawara H, et al: Role of LOX-1 in monocyte adhesion-triggered redox, Akt/eNOS and Ca2+ signaling pathways in endothelial cells. J Cell Physiol. 220:706–715. 2009. View Article : Google Scholar : PubMed/NCBI

69 

Zhao X, Jin Y, Li H, Wang Z, Zhang W and Feng C: Hypoxia-inducible factor 1 alpha contributes to pulmonary vascular dysfunction in lung ischemia-reperfusion injury. Int J Clin Exp Pathol. 7:3081–3088. 2014.PubMed/NCBI

70 

Wan J, Wu W, Chen Y, Kang N and Zhang R: Insufficient radio-frequency ablation promotes the growth of non-small cell lung cancer cells through PI3K/Akt/HIF-1α signals. Acta Biochim Biophys Sin (Shanghai). 48:371–377. 2016. View Article : Google Scholar

71 

Gomez L, Li B, Mewton N, Sanchez I, Piot C, Elbaz M and Ovize M: Inhibition of mitochondrial permeability transition pore opening: Translation to patients. Cardiovasc Res. 83:226–233. 2009. View Article : Google Scholar : PubMed/NCBI

72 

Forgiarini LA Jr, Grun G, Kretzmann NA, de Muñoz GA, de Almeida A, Forgiarini LF and Andrade CF: When is injury potentially reversible in a lung ischemia-reperfusion model? J Surg Res. 179:168–174. 2013. View Article : Google Scholar

Related Articles

  • Abstract
  • View
  • Download
  • Twitter
Copy and paste a formatted citation
Spandidos Publications style
Wang C, Ke H, Xu X, Chen J, Sun D and Ji F: Protective effect of nicorandil on collapse‑induced lung injury in rabbits by inhibiting apoptosis. Int J Mol Med 44: 725-736, 2019.
APA
Wang, C., Ke, H., Xu, X., Chen, J., Sun, D., & Ji, F. (2019). Protective effect of nicorandil on collapse‑induced lung injury in rabbits by inhibiting apoptosis. International Journal of Molecular Medicine, 44, 725-736. https://doi.org/10.3892/ijmm.2019.4236
MLA
Wang, C., Ke, H., Xu, X., Chen, J., Sun, D., Ji, F."Protective effect of nicorandil on collapse‑induced lung injury in rabbits by inhibiting apoptosis". International Journal of Molecular Medicine 44.2 (2019): 725-736.
Chicago
Wang, C., Ke, H., Xu, X., Chen, J., Sun, D., Ji, F."Protective effect of nicorandil on collapse‑induced lung injury in rabbits by inhibiting apoptosis". International Journal of Molecular Medicine 44, no. 2 (2019): 725-736. https://doi.org/10.3892/ijmm.2019.4236
Copy and paste a formatted citation
x
Spandidos Publications style
Wang C, Ke H, Xu X, Chen J, Sun D and Ji F: Protective effect of nicorandil on collapse‑induced lung injury in rabbits by inhibiting apoptosis. Int J Mol Med 44: 725-736, 2019.
APA
Wang, C., Ke, H., Xu, X., Chen, J., Sun, D., & Ji, F. (2019). Protective effect of nicorandil on collapse‑induced lung injury in rabbits by inhibiting apoptosis. International Journal of Molecular Medicine, 44, 725-736. https://doi.org/10.3892/ijmm.2019.4236
MLA
Wang, C., Ke, H., Xu, X., Chen, J., Sun, D., Ji, F."Protective effect of nicorandil on collapse‑induced lung injury in rabbits by inhibiting apoptosis". International Journal of Molecular Medicine 44.2 (2019): 725-736.
Chicago
Wang, C., Ke, H., Xu, X., Chen, J., Sun, D., Ji, F."Protective effect of nicorandil on collapse‑induced lung injury in rabbits by inhibiting apoptosis". International Journal of Molecular Medicine 44, no. 2 (2019): 725-736. https://doi.org/10.3892/ijmm.2019.4236
Follow us
  • Twitter
  • LinkedIn
  • Facebook
About
  • Spandidos Publications
  • Careers
  • Cookie Policy
  • Privacy Policy
How can we help?
  • Help
  • Live Chat
  • Contact
  • Email to our Support Team